Regulation of Nitrogen Utilization and Lodging Resistance of Rice in Northeast China Through Continuous Straw Return and Nitrogen Fertilizer Application
Abstract
1. Introduction
2. Materials and Methods
2.1. Experimental Site and Experimental Materials
2.2. Experimental Design
2.3. Measurement Index and Methods
2.3.1. Measurement of Tiller Dynamics
2.3.2. Measurement of Plant Height
2.3.3. Determination of Dry Matter Weight
2.3.4. Determination of Nitrogen Content
2.3.5. Indicators Related to Stalk Morphology and Mechanical Traits Were Measured
2.3.6. Yield and Yield Components
2.4. Statistical Analysis
3. Results
3.1. Grain Yield and Yield Components
3.2. Effects of Different Nitrogen Application Rates on Rice Agronomic Traits Under Various Straw Return Durations
3.2.1. Effects of Different Nitrogen Application Rates on Rice Tillering Dynamics Under Various Straw Return Durations
3.2.2. Effects of Different Nitrogen Application Rates on Rice Plant Height Under Different Years of Straw Return Conditions
3.3. Dry Matter Translocation and Accumulation
3.4. Effects of Different Nitrogen Application Rates on Nitrogen Accumulation in Various Rice Organs Under Different Years of Straw Return Conditions
3.5. Effects of Different Nitrogen Application Rates on Nitrogen Transport in Rice Under Different Years of Straw Return Conditions
3.6. Effects of Different Nitrogen Application Rates on Nitrogen Efficiency of Rice Under Different Years of Straw Return Conditions
3.7. Effect of Different Years of Straw Return on the Resistance of Rice to Lodging
3.7.1. The Effect of Different Years of Straw Return on the Rice Lodging Index
3.7.2. Effects of Different Years of Straw Return on Morphological Traits of Rice Stem
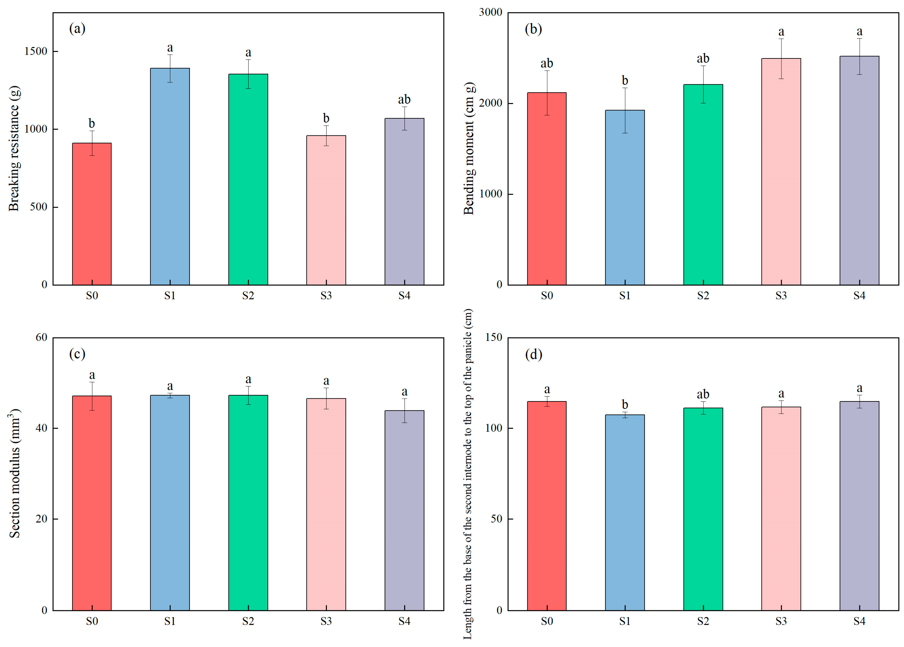
3.7.3. Effects of Different Years of Straw Return on Mechanical Traits of Rice Stem
4. Discussion
4.1. Effects of Different Nitrogen Application Rates on Rice Yield and Yield Components Under Different Years of Straw Return Conditions
4.2. Effects of Different Nitrogen Application Rates on Nitrogen Transport and Utilization in Rice Under Different Years of Straw Return Conditions
4.3. Effect of Different Years of Straw Return on the Resistance of Rice to Buckling
5. Conclusions
Author Contributions
Funding
Data Availability Statement
Conflicts of Interest
References
- Liu, Z.; Gao, T.; Tian, S.; Hu, H.; Li, G.; Ning, T. Soil organic carbon increment sources and crop yields under long-term conservation tillage practices in wheat maize systems. Land Degrad. Dev. 2020, 31, 1138–1150. [Google Scholar] [CrossRef]
- Wang, Z.; Sui, P.; Lian, H.; Li, Y.; Liu, X.; Xu, H.; Zhang, H.; Xu, Y.; Gong, X.; Qi, H.; et al. Tillage with straw incorporation reduces the optimal nitrogen rate for maize production by affecting crop uptake, utility efficiency, and the soil balance of nitrogen. Land Degrad. Dev. 2023, 34, 2825–2837. [Google Scholar] [CrossRef]
- Li, X.; Wang, H.; Sun, S.; Ji, X.; Wang, X.; Wang, Z.; Shang, J.; Jiang, Y.; Gong, X.; Qi, H. Optimization of the morphological, structural, and physicochemical properties of maize starch using straw returning and nitrogen fertilization in Northeast China. Int. J. Biol. Macromol. 2024, 265, 130791. [Google Scholar] [CrossRef] [PubMed]
- Pramanick, B.; Kumar, M.; Naik, B.M.; Singh, S.K.; Kumar, M.; Singh, S.V. Soil carbon-nutrient cycling, energetics, and carbon footprint in calcareous soils with adoption of long-term conservation tillage practices and cropping systems diversification. Sci. Total Environ. 2024, 912, 169421. [Google Scholar] [CrossRef] [PubMed]
- Zhao, S.; Li, K.; Zhou, W.; Qiu, S.; Huang, S.; He, P. Changes in soil microbial community, enzyme activities and organic matter fractions under long-term straw return in north-central China. Agric. Ecosyst. Environ. 2016, 216, 82–88. [Google Scholar] [CrossRef]
- Wang, Y.P.; He, J.L.; Wei, L.; Cheng, W.G.; Shaaban, M.; Jiang, Y.B. The effects of continuous straw returning strategies on SOC balance upon fresh straw incorporation. Environ. Res. 2023, 232, 116225. [Google Scholar] [CrossRef]
- Fan, M.; Shen, J.; Yuan, L.; Jiang, R.; Chen, X.; Davies, W.J.; Zhang, F. Improving crop productivity and resource use efficiency to ensure food security and environmental quality in China. J. Exp. Bot. 2012, 63, 13–24. [Google Scholar] [CrossRef]
- Huang, T.; Yang, N.; Lu, C.; Qin, X.; Siddique, K.H.M. Soil organic carbon, total nitrogen, available nutrients, and yield under different straw returning methods. Soil Tillage Res. 2021, 214, 105171. [Google Scholar] [CrossRef]
- Hu, Y.J.; Sun, B.H.; Wu, S.F.; Feng, H.; Gao, M.X.; Zhang, B.B.; Liu, Y.Y. After-effects of straw and straw-derived biochar application on crop growth, yield, and soil properties in wheat (Triticum aestivum L.)-maize (Zea mays L.) rotations: A four-year field experiment. Sci. Total Environ. 2021, 780, 146560. [Google Scholar] [CrossRef]
- Yang, L.; Muhammad, I.; Chi, Y.X.; Liu, Y.X.; Wang, G.Y.; Wang, Y.; Zhou, X.B. Straw return and nitrogen fertilization regulate soil greenhouse gas emissions and global warming potential in dual maize cropping system. Sci. Total Environ. 2022, 853, 158370. [Google Scholar] [CrossRef]
- Sun, Y.; Wang, C.; Wang, Q.; Wang, J.; Wang, Y.; Li, M.; Liu, Y.; Guo, Y. Effects of magnetoelectric water irrigation combined with foliar iron fertilizer on the growth characteristics and iron absorption of spinach. Sci. Hortic. 2024, 327, 112824. [Google Scholar] [CrossRef]
- Razzaghi, F.; Plauborg, F.; Jacobsen, S.E.; Jensen, C.R.; Andersen, M.N. Effect of nitrogen and water availability of three soil types on yield, radiation use efficiency and evapotranspiration in field-grown quinoa. Agric. Water Manag. 2012, 109, 20–29. [Google Scholar] [CrossRef]
- Yue, K.; Li, L.; Xie, J.; Wang, L.; Liu, Y.; Anwar, S. Tillage and nitrogen supply affects maize yield by regulating photosynthetic capacity, hormonal changes and grain filling in the Loess Plateau. Soil Tillage Res. 2022, 218, 105317. [Google Scholar] [CrossRef]
- Bonelli, L.E.; Andrade, F.H. Maize radiation use-efficiency response to optimally distributed foliar-nitrogen-content depends on canopy leaf-area index. Field Crops Res. 2020, 247, 107557. [Google Scholar] [CrossRef]
- Zhou, Z.; Plauborg, F.; Kristensen, K.; Andersen, M.N. Dry matter production, radiation interception and radiation use efficiency of potato in response to temperature and nitrogen application regimes. Agric. For. Meteorol. 2017, 232, 595–605. [Google Scholar] [CrossRef]
- Yu, N.; Ren, B.; Zhao, B.; Liu, P.; Zhang, J. Optimized agronomic management practices narrow the yield gap of summer maize through regulating canopy light interception and nitrogen distribution. Eur. J. Agron. 2022, 137, 126520. [Google Scholar] [CrossRef]
- Zhang, A.; Cheng, G.; Hussain, Q.; Zhang, M.; Feng, H.; Dyck, M.; Sun, B.; Zhao, Y.; Chen, H.; Chen, J.; et al. Contrasting effects of straw and straw–derived biochar application on net global warming potential in the Loess Plateau of China. Field Crops Res. 2017, 205, 45–54. [Google Scholar] [CrossRef]
- Wang, Y.X.; Xian, Y.Y.; Zhao, C.; Wang, W.L.; Huo, Z.Y. Progress and Prospects of Research on Slow and Controlled Release Nitrogen Fertilizer Application Technology on Rice Application. China Rice 2023, 29, 20–26. [Google Scholar]
- Chen, P.; Luo, J.L.; Huang, L.Y.; Wang, N.; Yu, J.G.; Xue, L.H. Effects of straw return with nitrogen fertilizer on the enzyme activities of rice inter-root soil. J. Agro-Environ. Sci. 2023, 42, 2264–2273. [Google Scholar]
- Fan, C.; Feng, S.; Huang, J.; Wang, Y.; Wu, L.; Li, X.; Wang, L.; Tu, Y.; Xia, T.; Li, J.; et al. AtCesA8-driven OsSUS3 expression leads to largely enhanced biomass saccharification and lodging resistance by distinctively altering lignocellulose features in rice. Biotechnol. Biofuels 2017, 10, 221. [Google Scholar] [CrossRef]
- Zhang, G.; Dai, Q.; Wang, J.; Zhang, H.; Huo, Z.; Ling, L.; Wang, X.; Zhang, J. Effects of silicon fertilizer rate on yield and quality of japonica rice Wuyujing 3. Chin. J. Rice Sci. 2007, 21, 299–303. [Google Scholar]
- Islam, M.S.; Peng, S.; Visperas, R.M.; Ereful, N.; Bhuiya, M.S.U.; Julfiquar, A.W. Lodging-related morphological traits of hybrid rice in a tropical irrigated ecosystem. Field Crops Res. 2007, 101, 240–248. [Google Scholar] [CrossRef]
- Zhang, W.; Wu, L.; Wu, X.; Ding, Y.; Li, G.; Li, J.; Weng, F.; Liu, Z.; Tang, S.; Ding, C.; et al. Lodging resistance of japonica rice (Oryza sativa L.): Morphological and anatomical traits due to top-dressing nitrogen application rates. Rice 2016, 9, 35. [Google Scholar] [CrossRef] [PubMed]
- Mo, Z.; Lei, S.; Ashraf, U.; Khan, I.; Li, Y.; Pan, S.; Duan, M.; Tian, H.; Tang, X. Silicon fertilization modulates 2-acetyl-1-pyrroline content, yield formation and grain quality of aromatic rice. Cereal Sci. 2017, 75, 17–24. [Google Scholar] [CrossRef]
- Mo, Z.; Ashraf, U.; Tang, Y.; Li, W.; Pan, S.; Duan, M.; Tian, H.; Tang, X. Nitrogen application at the booting stage affects 2-acetyl-1-pyrroline, proline, and total nitrogen contents in aromatic rice. Chil. J. Agric. Res. 2018, 78, 165–172. [Google Scholar] [CrossRef]
- Peng, Z.Y.; Xiang, K.H.; Yang, Z.Y.; Tang, Y.; Zhan, J.; Zhang, Y.J.; He, Y.; Yan, T.R.; Sun, Y.J.; Ma, J. Effects of straw return and nitrogen fertilizer management on nitrogen utilization characteristics of direct seeded hybrid rice under wheat/oil-rice rotation. Chin. J. Rice Sci. 2020, 34, 57–68. [Google Scholar]
- Xu, X.; Pang, D.W.; Chen, J.; Lou, Y.L.; Zheng, M.J.; Yin, Y.P.; Li, Y.X.; Li, Y.; Wang, Z.L. Straw return accompany with low nitrogen moderately promoted deep root. Field Crops Res. 2018, 221, 71–80. [Google Scholar] [CrossRef]
- Malhi, S.; Nyborg, M.; Solberg, E.; Dyck, M.F.; Puurveen, D. Improving crop yield and N uptake with long-term straw retention in two contrasting soil types. Field Crops Res. 2011, 124, 378–391. [Google Scholar] [CrossRef]
- Pais, S.; Aquilu’e, N.; Campos, J.; Sil, A.; Marcos, B.; Martínez-Freiría, F.; Domínguez, J.; Brotons, L.; Honrado, J.P.; Regos, A. Mountain farmland protection and fire smart management jointly reduce fire hazard and enhance biodiversity and carbon sequestration. Ecosyst. Serv. 2020, 44, 101143. [Google Scholar] [CrossRef]
- Wang, H.; Wang, S.; Yu, Q.; Zhang, Y.; Wang, R.; Li, J.; Wang, X. No tillage increases soil organic carbon storage and decreases carbon dioxide emission in the crop residue-returned farming system. Environ. Manag. 2020, 261, 110261. [Google Scholar] [CrossRef]
- Zhong, C.; Cao, X.C.; Bai, Z.G.; Zhang, J.H.; Zhu, L.F.; Huang, J.L.; Jin, Q.Y. Nitrogen metabolism correlates with the acclimation of photosynthesis to short-term water stress in rice (Oryza sativa L.). Plant Physiol. Biochem. 2018, 125, 52–62. [Google Scholar] [CrossRef] [PubMed]
- Li, J.J.; Yang, C.G.; Zhang, X.Z.; Wu, S.B.; Chi, H.L.; Zhang, X.J.; Wei, C.Z. Soil Nitrogen Distribution Affects Nitrogen Utilization and Yield of Drip-Irrigated Rice. Agronomy 2024, 14, 593. [Google Scholar] [CrossRef]
- Li, Z.K.; Shen, Y.; Zhang, W.Y.; Zhang, H.; Liu, L.J.; Wang, Z.Q.; Gu, J.F.; Yang, J.C. Effects of long-term straw returning on rice yield and soil properties and bacterial community in a rice-wheat rotation system. Field Crops Res. 2023, 291, 108800. [Google Scholar] [CrossRef]
- Sun, H.F.; Zhou, S.; Zhang, J.N.; Zhang, X.X.; Wang, C. Effects of controlled-release fertilizer on rice grain yield, nitrogen use efficiency, and greenhouse gas emissions in a paddy field with straw incorporation. Field Crops Res. 2020, 253, 107814. [Google Scholar] [CrossRef]
- Xu, G.W.; Lu, D.K.; Wang, H.Z.; Li, Y.J. Morphological and physiological traits of rice roots and their relationships to yield and nitrogen utilization as influenced by irrigation regime and nitrogen rate. Agric. Water Manag. 2018, 203, 385–394. [Google Scholar] [CrossRef]
- Yu, Z.X.; Shen, Z.Y.; Xu, L.; Yu, J.; Zhang, L.; Wang, X.K.; Yin, G.D.; Zhang, W.J.; Li, Y.L.; Zuo, W.G.; et al. Effect of Combined Application of Slow-Release and Conventional Urea on Yield and Nitrogen Use Efficiency of Rice and Wheat under Full Straw Return. Agronomy 2022, 12, 998. [Google Scholar] [CrossRef]
- Yin, H.; Zhao, W.; Li, T.; Cheng, X.; Liu, Q. Balancing straw returning and chemical fertilizers in China: Role of straw nutrient resources. Renew. Sustain. Energy Rev. 2018, 81, 2695–2702. [Google Scholar] [CrossRef]
- Singh, Y.; Singh, B.; Ladha, J.K.; Khind, C.S.; Khera, T.S.; Bueno, C.S. Effects of Residue Decomposition on Productivity and Soil Fertility in Rice–Wheat Rotation. Soil Sci. Soc. Am. J. 2004, 68, 954–964. [Google Scholar] [CrossRef]
- Li, L.; He, L.X.; Li, Y.Q.; Wang, Y.F.; Ashraf, U.; Hamoud, Y.A.; Hu, X.; Wu, T.Y.; Tang, X.R.; Pan, S.G. Deep fertilization combined with straw incorporation improved rice lodging resistance and soil properties of paddy fields. Eur. J. Agron. 2023, 142, 126659. [Google Scholar] [CrossRef]
- Lu, Y.Y.; Cui, J.H.; Bao, S.Y.; Liu, W.Y.; Geng, Y.Q.; Liang, X.H.; Li, S.Z.; Guo, L.Y.; Shao, X.W. Effects of nitrogen fertilizer application rate on lodging resistance for rice (Oryza sativa L.) stem. Sci. Rep. 2025, 15, 2149. [Google Scholar] [CrossRef]
- Gong, X.S.; Meng, X.J.; Zhang, Y.; Liang, Y.G.; Chen, C.; Huang, H.; Liao, X. Effects of Two Straw Return Methods Coupled with Raising Ducks in Paddy Fields on Stem Lodging Characteristics. Sustainability 2022, 14, 12984. [Google Scholar] [CrossRef]





| Treatment | Effective Panicles (×104 ha) | Spikelets Per Panicle | Filled Grain Rate (%) | 1000-Grain Weight (g) | Grain Yield (t/ha) |
|---|---|---|---|---|---|
| S0N0 | 168.00 ± 0.00 fg | 105.67 ± 5.84 f | 94.56 ± 0.86 ab | 23.63 ± 0.81 ab | 4.00 ± 0.66 g |
| S0N1 | 267.67 ± 0.00 c | 132.00 ± 10.20 de | 93.78 ± 0.84 ab | 23.89 ± 0.46 ab | 8.10 ± 0.78 abc |
| S0N2 | 306.00 ± 15.59 b | 131.67 ± 9.29 de | 94.95 ± 0.93 ab | 24.03 ± 0.90 a | 8.20 ± 0.17 abc |
| S0N3 | 350.00 ± 0.00 a | 138.22 ± 1.84 de | 95.40 ± 2.00 ab | 22.61 ± 1.14 bc | 8.73 ± 0.12 a |
| S1N0 | 160.00 ± 13.86 g | 92.44 ± 11.60 g | 89.38 ± 1.07 d | 22.06 ± 0.97 c | 3.43 ± 0.12 g |
| S1N1 | 178.89 ± 13.47 ef | 153.11 ± 5.59 bc | 94.84 ± 1.98 ab | 22.88 ± 0.87 ab | 6.30 ± 0.20 f |
| S1N2 | 241.11 ± 13.47 d | 143.78 ± 3.10 cd | 95.99 ± 0.68 a | 22.77 ± 0.80 ab | 7.40 ± 0.20 cd |
| S1N3 | 275.78 ± 14.05 c | 130.78 ± 2.80 de | 94.72 ± 1.39 ab | 22.75 ± 0.17 abc | 7.43 ± 0.59 cd |
| S3N0 | 168.00 ± 0.00 fg | 125.22 ± 11.82 e | 90.99 ± 2.59 cd | 20.11 ± 0.66 d | 3.50 ± 0.30 g |
| S3N1 | 189.33 ± 0.00 e | 163.00 ± 5.20 ab | 93.60 ± 2.11 abc | 21.98 ± 0.18 c | 6.57 ± 0.21 ef |
| S3N2 | 261.33 ± 2.31 c | 167.56 ± 12.10 a | 94.43 ± 1.58 ab | 22.46 ± 0.60 c | 7.77 ± 1.00 bc |
| S3N3 | 312.00 ± 0.00 b | 160.44 ± 3.34 ab | 92.77 ± 0.54 bc | 21.99 ± 0.18 c | 8.67 ± 0.67 ab |
| S | ** | ** | * | ** | ** |
| N | ** | ** | ** | ** | ** |
| S × N | ** | * | * | ns | ** |
| Treatment | Stem | Stem | Leaf | Leaf | Spike | CRDM (%) | TDMA (kg/ha) |
|---|---|---|---|---|---|---|---|
| TVDM (kg/ha) | TRDM (%) | TVDM (kg/ha) | TRDM (%) | IDM (kg/ha) | |||
| S0N0 | 105.60 ± 8.65 d | 2.74 ± 0.02 g | 198.40 ± 15.43 g | 27.24 ± 2.41 b | 3149.60 ± 138.00 e | 9.64 ± 0.59 e | 8319.20 ± 109.49 e |
| S0N1 | 965.21 ± 53.44 b | 15.53 ± 0.33 cde | 846.79 ± 45.52 cd | 35.48 ± 3.18 a | 6383.36 ± 652.99 bc | 28.59 ± 2.05 abc | 14,474.89 ± 1240.19 c |
| S0N2 | 1215.00 ± 84.87 a | 16.60 ± 1.21 bcd | 1130.40 ± 110.81 b | 39.28 ± 3.03 a | 8172.90 ± 366.21 a | 28.72 ± 2.88 abc | 17,820.00 ± 508.31 ab |
| S0N3 | 1237.59 ± 165.83 a | 17.65 ± 1.91 b | 1364.10 ± 121.32 a | 40.10 ± 4.33 a | 8745.82 ± 1069.93 a | 29.92 ± 2.14 ab | 18,589.74 ± 1734.69 a |
| S1N0 | 75.20 ± 5.00 d | 1.99 ± 0.20 g | 157.60 ± 2.77 g | 23.40 ± 1.19 b | 3587.20 ± 320.67 e | 6.52 ± 0.44 e | 7840.00 ± 262.30 e |
| S1N1 | 608.99 ± 44.46 c | 11.98 ± 0.89 f | 575.55 ± 25.70 f | 35.11 ± 2.10 a | 5480.14 ± 771.12 cd | 23.19 ± 1.60 d | 12,225.71 ± 1056.42 d |
| S1N2 | 861.65 ± 62.62 b | 15.30 ± 0.21 de | 824.33 ± 94.89 de | 38.51 ± 4.87 a | 6748.59 ± 957.99 b | 25.15 ± 2.09 cd | 14,162.87 ± 1425.84 c |
| S1N3 | 969.96 ± 85.72 b | 17.23 ± 1.03 bc | 1158.92 ± 96.01 b | 39.18 ± 2.24 a | 7580.42 ± 1037.19 ab | 28.25 ± 2.20 bc | 16,147.82 ± 1661.23 bc |
| S3N0 | 88.00 ± 9.99 d | 2.44 ± 0.17 g | 185.60 ± 26.44 g | 23.33 ± 2.39 b | 2729.60 ± 324.35 e | 10.02 ± 0.39 e | 7906.40 ± 657.51 e |
| S3N1 | 698.18 ± 98.84 c | 12.42 ± 0.98 f | 695.02 ± 34.49 ef | 34.80 ± 3.66 a | 4832.01 ± 589.97 d | 29.00 ± 3.03 abc | 12,277.65 ± 1236.77 d |
| S3N2 | 873.60 ± 99.19 b | 14.55 ± 1.29 e | 968.00 ± 133.76 c | 39.70 ± 5.15 a | 6511.20 ± 800.51 bc | 28.42 ± 2.20 bc | 14,538.40 ± 1142.70 c |
| S3N3 | 1268.80 ± 175.71 a | 19.53 ± 1.86 a | 1316.00 ± 85.07 a | 40.62 ± 4.75 a | 7976.80 ± 204.55 a | 32.44 ± 2.89 a | 16,803.20 ± 433.07 ab |
| S | ** | ** | ** | ns | ** | ** | ** |
| N | ** | ** | ** | ** | ** | ** | ** |
| S × N | ** | ** | ns | ns | ns | ns | ns |
| Treatment | Leaf | Stem | Panicle | Plant | ||||
|---|---|---|---|---|---|---|---|---|
| HS | MS | HS | MS | HS | MS | HS | MS | |
| S0N0 | 10.43 ± 0.29 j | 3.61 ± 0.03 h | 10.70 ± 1.37 g | 6.85 ± 0.91 g | 4.80 ± 0.41 g | 25.73 ± 2.04 f | 25.93 ± 1.04 i | 36.20 ± 2.92 f |
| S0N1 | 34.06 ± 1.03 f | 12.47 ± 0.21 d | 18.90 ± 1.55 e | 9.60 ± 1.03 ef | 6.70 ± 0.37 f | 52.55 ± 5.11 de | 59.66 ± 0.62 f | 74.61 ± 6.08 de |
| S0N2 | 45.40 ± 1.49 c | 15.84 ± 0.78 b | 22.95 ± 0.00 cd | 10.37 ± 0.65 def | 9.29 ± 1.22 cd | 69.69 ± 0.09 b | 77.64 ± 2.68 c | 95.89 ± 1.45 b |
| S0N3 | 54.09 ± 1.23 a | 18.07 ± 0.59 a | 31.38 ± 2.35 a | 13.60 ± 0.39 b | 11.30 ± 0.46 a | 82.93 ± 3.39 a | 96.77 ± 3.56 a | 114.61 ± 4.42 a |
| S1N0 | 11.42 ± 0.32 ij | 4.20 ± 0.31 fg | 14.38 ± 0.92 f | 10.99 ± 0.71 cde | 7.04 ± 0.32 f | 27.13 ± 1.84 f | 32.84 ± 0.95 h | 42.31 ± 2.83 f |
| S1N1 | 23.22 ± 1.23 h | 8.34 ± 0.12 e | 21.97 ± 0.59 cd | 11.97 ± 1.24 bcd | 8.68 ± 0.27 de | 53.33 ± 3.18 de | 53.86 ± 1.41 g | 73.64 ± 4.46 de |
| S1N2 | 36.16 ± 0.88 e | 12.43 ± 0.41 d | 22.13 ± 1.36 cd | 11.01 ± 0.19 cde | 9.62 ± 0.67 cd | 57.29 ± 4.71 d | 67.91 ± 0.43 e | 80.73 ± 5.27 cd |
| S1N3 | 49.28 ± 0.23 b | 16.22 ± 0.54 b | 26.58 ± 1.58 b | 12.84 ± 0.68 b | 10.12 ± 0.50 bc | 63.39 ± 0.20 c | 85.98 ± 1.14 b | 92.75 ± 1.39 b |
| S3N0 | 12.47 ± 0.37 i | 4.53 ± 0.26 f | 12.98 ± 0.46 f | 9.25 ± 0.19 f | 7.17 ± 0.70 f | 28.65 ± 0.77 f | 32.62 ± 0.65 h | 42.44 ± 1.21 f |
| S3N1 | 31.94 ± 1.03 g | 11.77 ± 0.71 d | 20.67 ± 1.44 de | 12.05 ± 0.79 bc | 7.77 ± 0.84 ef | 48.98 ± 1.56 e | 60.38 ± 1.49 f | 72.80 ± 3.04 e |
| S3N2 | 38.76 ± 2.26 d | 14.18 ± 0.13 c | 23.32 ± 1.48 c | 12.35 ± 0.43 bc | 11.06 ± 0.30 ab | 58.55 ± 2.74 cd | 73.14 ± 1.22 d | 85.08 ± 3.30 c |
| S3N3 | 52.47 ± 0.74 a | 18.37 ± 0.33 a | 31.40 ± 1.22 a | 15.48 ± 1.93 a | 11.86 ± 0.04 a | 81.19 ± 6.69 a | 95.72 ± 1.21 a | 115.04 ± 8.70 a |
| S | ** | ** | ns | ** | ** | ** | ** | ** |
| N | ** | ** | ** | ** | ** | ** | ** | ** |
| S × N | ** | ** | ** | ** | ** | ** | ** | ** |
| Treatment | NTA (kg/ha) | NTE (%) | NTCR (%) | N increment in Panicle (kg/ha) | |||
|---|---|---|---|---|---|---|---|
| Leaf | Stem | Leaf | Stem | Leaf | Stem | ||
| S0N0 | 6.81 ± 0.30 g | 3.85 ± 0.48 h | 65.32 ± 1.10 abc | 36.00 ± 1.27 f | 26.61 ± 2.67 c | 14.93 ± 0.69 cd | 20.93 ± 1.67 f |
| S0N1 | 21.59 ± 0.82 e | 9.31 ± 1.34 fg | 63.38 ± 0.49 c | 49.17 ± 5.06 cd | 41.23 ± 2.43 b | 17.73 ± 2.18 bc | 45.85 ± 4.85 de |
| S0N2 | 29.56 ± 0.74 c | 12.58 ± 0.65 cd | 65.12 ± 0.63 abc | 54.83 ± 2.83 ab | 42.42 ± 1.01 b | 18.06 ± 0.959 b | 60.40 ± 1.14 b |
| S0N3 | 36.02 ± 0.99 a | 17.77 ± 2.02 a | 66.59 ± 0.87 a | 56.54 ± 2.18 a | 43.49 ± 2.42 b | 21.39 ± 1.56 a | 71.63 ± 3.00 a |
| S1N0 | 7.22 ± 0.26 g | 3.39 ± 0.41 h | 63.27 ± 2.14 c | 23.56 ± 2.08 f | 26.70 ± 1.95 c | 12.52 ± 1.51 d | 20.09 ± 2.15 f |
| S1N1 | 14.88 ± 1.35 f | 9.99 ± 0.88 fg | 64.02 ± 2.34 bc | 45.54 ± 4.62 de | 28.02 ± 3.64 d | 18.84 ± 2.68 ab | 44.66 ± 2.91 de |
| S1N2 | 23.73 ± 0.52 d | 11.12 ± 1.27 ef | 65.62 ± 0.48 abc | 50.15 ± 2.60 bcd | 41.55 ± 2.62 b | 19.42 ± 1.42 ab | 47.67 ± 4.12 d |
| S1N3 | 32.75 ± 0.31 b | 13.74 ± 1.18 c | 66.47 ± 0.94 ab | 51.66 ± 2.08 abc | 51.67 ± 2.35 a | 21.67 ± 1.81 a | 53.27 ± 0.31 c |
| S3N0 | 7.93 ± 0.20 g | 3.72 ± 0.31 h | 63.64 ± 1.27 c | 28.67 ± 1.44 f | 27.69 ± 0.84 c | 12.99 ± 0.82 d | 21.48 ± 0.24 f |
| S3N1 | 20.18 ± 0.43 e | 8.61 ± 0.76 g | 63.19 ± 1.17 c | 41.65 ± 1.49 e | 41.22 ± 1.23 b | 17.58 ± 1.27 bc | 41.22 ± 0.76 e |
| S3N2 | 24.58 ± 2.22 d | 10.97 ± 1.05 ef | 63.33 ± 2.03 c | 46.97 ± 1.50 cd | 42.02 ± 4.06 b | 18.70 ± 0.94 ab | 47.48 ± 2.46 d |
| S3N3 | 34.10 ± 0.65 b | 15.92 ± 0.74 b | 64.99 ± 0.59 abc | 50.81 ± 4.24 bcd | 42.20 ± 3.62 a | 19.75 ± 2.62 ab | 69.34 ± 0.96 a |
| S | ** | ** | ns | ** | ns | ns | ** |
| N | ** | ** | ** | ** | ** | ** | ** |
| S × N | ** | * | ns | ns | ** | ns | ** |
| Treatment | NHI (%) | NBPE (kg/kg) | NPP (kg/kg) | NAE (kg/kg) | NRE (%) | NAUE (%) | NPE (kg/kg) |
|---|---|---|---|---|---|---|---|
| S0N0 | —— | —— | —— | —— | —— | —— | —— |
| S0N1 | 73.39 ± 0.50 a | 123.69 ± 17.06 a | 60.86 ± 4.50 a | 31.20 ± 3.78 b | 30.73 ± 2.53 c | 30.73 ± 2.53 c | 101.44 ± 8.54 a |
| S0N2 | 72.68 ± 1.23 a | 120.09 ± 9.88 a | 61.21 ± 4.21 a | 34.46 ± 3.42 ab | 39.80 ± 1.03 b | 39.80 ± 1.03 b | 86.75 ± 10.68 ab |
| S0N3 | 72.36 ± 0.85 ab | 114.05 ± 15.20 a | 61.42 ± 4.10 a | 36.74 ± 3.48 a | 44.81 ± 0.91 a | 44.81 ± 0.91 a | 81.91 ± 6.12 b |
| S1N0 | —— | —— | —— | —— | —— | —— | —— |
| S1N1 | 72.42 ± 1.08 ab | 118.68 ± 8.94 a | 47.50 ± 3.45 c | 24.35 ± 2.91 c | 17.90 ± 1.21 f | 25.06 ± 1.69 de | 97.43 ± 13.29 ab |
| S1N2 | 70.91 ± 1.01 b | 117.42 ± 8.09 a | 50.52 ± 3.42 bc | 31.23 ± 2.96 b | 25.61 ± 1.66 de | 25.61 ± 1.66 de | 96.93 ± 7.66 ab |
| S1N3 | 68.35 ± 0.48 d | 111.66 ± 13.02 a | 51.80 ± 2.31 bc | 31.46 ± 1.81 b | 28.82 ± 0.83 cd | 28.82 ± 0.83 cd | 96.83 ± 8.19 ab |
| S3N0 | —— | —— | —— | —— | —— | —— | —— |
| S3N1 | 69.24 ± 0.89 c | 119.46 ± 16.33 a | 50.84 ± 3.16 bc | 20.01 ± 0.74 c | 24.29 ± 1.48 e | 24.29 ± 1.48 e | 97.67 ± 7.78 ab |
| S3N2 | 68.80 ± 0.54 c | 118.19 ± 25.23 a | 56.71 ± 1.99 ab | 32.90 ± 1.49 ab | 28.43 ± 1.41 cd | 28.43 ± 1.41 cd | 91.06 ± 10.40 ab |
| S3N3 | 67.24 ± 0.82 d | 117.59 ± 15.01 a | 58.36 ± 1.33 a | 36.33 ± 1.90 ab | 41.49 ± 4.42 ab | 41.49 ± 4.42 ab | 88.38 ± 11.95 ab |
| S | ** | ns | ** | ** | ** | ** | ns |
| N | ns | * | * | ** | ** | ** | ns |
| S × N | ** | ns | ns | * | ** | ** | ns |
| Treatment | Plant Height (cm) | Centre of Gravity (cm) | Internode Length (cm) | Internode Diameter (mm) | Internode Wall Thickness (mm) | ||
|---|---|---|---|---|---|---|---|
| I1 | I2 | I3 | I2 | I2 | |||
| S0 | 118.52 ± 3.61 a | 54.42 ± 2.36 a | 3.66 ± 1.33 a | 10.22 ± 0.92 a | 19.20 ± 1.86 a | 6.45 ± 0.42 b | 0.81 ± 0.053 b |
| S1 | 109.56 ± 2.40 c | 50.00 ± 2.41 b | 2.16 ± 0.30 a | 6.40 ± 1.67 b | 13.58 ± 1.52 b | 7.35 ± 0.85 a | 1.01 ± 0.083 a |
| S2 | 113.16 ± 3.82 bc | 53.08 ± 0.98 a | 1.98 ± 0.31 a | 8.06 ± 1.32 ab | 14.10 ± 1.58 b | 6.82 ± 0.72 ab | 0.88 ± 0.071 ab |
| S3 | 117.48 ± 2.26 ab | 54.32 ± 1.14 a | 3.16 ± 0.42 a | 10.46 ± 0.87 a | 18.78 ± 1.67 a | 5.94 ± 0.49 b | 0.83 ± 0.054 b |
| S4 | 118.10 ± 4.38 a | 55.10 ± 2.25 a | 2.38 ± 0.22 a | 9.50 ± 0.88 a | 16.38 ± 2.63 ab | 6.44 ± 0.39 b | 0.81 ± 0.078 b |
Disclaimer/Publisher’s Note: The statements, opinions and data contained in all publications are solely those of the individual author(s) and contributor(s) and not of MDPI and/or the editor(s). MDPI and/or the editor(s) disclaim responsibility for any injury to people or property resulting from any ideas, methods, instructions or products referred to in the content. |
© 2025 by the authors. Licensee MDPI, Basel, Switzerland. This article is an open access article distributed under the terms and conditions of the Creative Commons Attribution (CC BY) license (https://creativecommons.org/licenses/by/4.0/).
Share and Cite
Jiang, Z.; Wu, M.; Wang, Z.; Yao, L.; Wang, D.; Ma, X.; Zhao, G.; Wei, X.; Wu, Z. Regulation of Nitrogen Utilization and Lodging Resistance of Rice in Northeast China Through Continuous Straw Return and Nitrogen Fertilizer Application. Agronomy 2025, 15, 2043. https://doi.org/10.3390/agronomy15092043
Jiang Z, Wu M, Wang Z, Yao L, Wang D, Ma X, Zhao G, Wei X, Wu Z. Regulation of Nitrogen Utilization and Lodging Resistance of Rice in Northeast China Through Continuous Straw Return and Nitrogen Fertilizer Application. Agronomy. 2025; 15(9):2043. https://doi.org/10.3390/agronomy15092043
Chicago/Turabian StyleJiang, Zixian, Meikang Wu, Zilin Wang, Liqun Yao, Dongchao Wang, Xintong Ma, Guangxin Zhao, Xiaoshuang Wei, and Zhihai Wu. 2025. "Regulation of Nitrogen Utilization and Lodging Resistance of Rice in Northeast China Through Continuous Straw Return and Nitrogen Fertilizer Application" Agronomy 15, no. 9: 2043. https://doi.org/10.3390/agronomy15092043
APA StyleJiang, Z., Wu, M., Wang, Z., Yao, L., Wang, D., Ma, X., Zhao, G., Wei, X., & Wu, Z. (2025). Regulation of Nitrogen Utilization and Lodging Resistance of Rice in Northeast China Through Continuous Straw Return and Nitrogen Fertilizer Application. Agronomy, 15(9), 2043. https://doi.org/10.3390/agronomy15092043
