Seed Yield and Lodging Assessment in Red Fescue (Festuca rubra L.) Sprayed with Trinexapac-Ethyl
Abstract
:1. Introduction
2. Materials and Methods
2.1. Experimental Design
2.2. Weather Data
2.3. Statistical Analyses
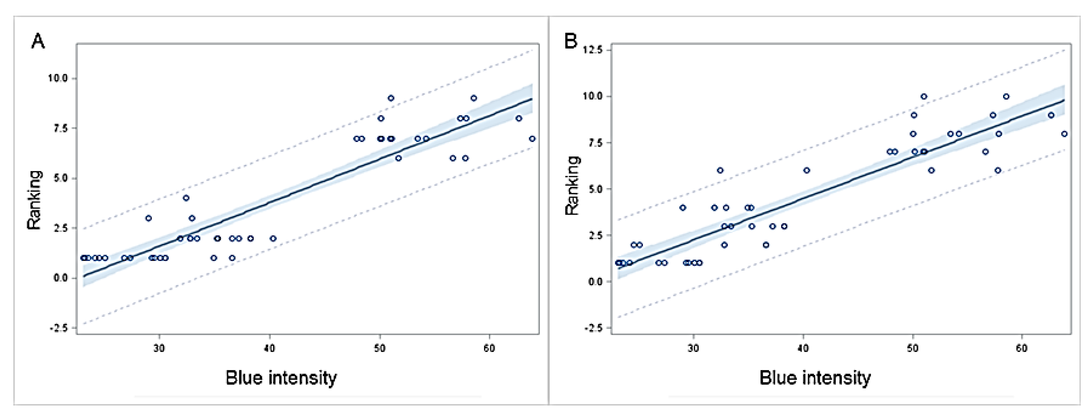
3. Results
4. Discussion
5. Conclusions
Author Contributions
Funding
Conflicts of Interest
References
- Deleuran, L.C.; Boelt, B. Effect of sowing rate on seed production of amenity cultivars of red fescue (Festuca rubra L.). J. Appl. Seed Prod. 1997, 15, 23–28. [Google Scholar]
- Miljø og Fødevareministeriet. Love og bekendtgørelser om frø og korn. Available online: https://lbst.dk/virksomheder/froe-og-korn/lovgrundlag/love-og-bekendtgoerelser-om-froe-og-korn/ (accessed on 7 October 2019).
- Meijer, W.J.M. Inflorescence production in plants and seed crops of Poa pratensis L. and Festuca rubra L. as affected by juvenility of tillers and tiller density. Neth. J. Agric. Sci. 1984, 32, 119–136. [Google Scholar]
- Fairy, N.A.; Lefkovitch, L.P. Crop density and seed production of creeping red fescue (Festuca rubra L. var. rubra). 1. Yield and plant development. Can. J. Plant Sci. 1996, 76, 291–298. [Google Scholar] [CrossRef]
- Deleuran, L.C.; Kristensen, K.; Gislum, R.; Boelt, B. Optimizing the number of consecutive seed harvests in red fescue (Festuca rubra L.) and perennial ryegrass (Lolium perenne L.) for yield, yield components and economic return. Acta Agric. Scand. Sect. B Plant Soil Sci. 2013, 63, 1–10. [Google Scholar]
- Rowarth, J.S.; Boelt, B.; Hampton, J.G.; Marshall, A.H.; Rolston, M.P.; Sicard, G.; Silberstein, T.; Sedcole, J.R.; Young, W.C. The relationship between applied nitrogen, seed yield, and nitrogen concentration in herbage in perennial ryegrass (Lolium perenne L.) 1. CV Grasslands Nui at five sites around the globe. J. Appl. Seed Prod. 1998, 16, 105–114. [Google Scholar]
- Gislum, R.; Rolston, P.; Hart, J.M.; Chynoweth, R.; McCloy, B.; Yong, W.C., III. Economical Optimal Nitrogen (ECO-N) application rate is all that matters for the growers. In Proceedings of the 6th International Herbage Seed Conference, Giennestad, Norway, 18–20 June 2007. [Google Scholar]
- Hebblethwaite, P.D.; Burbidge, A.; Wright, D. Lodging studies in Lolium perenne grown for seed: 1. Seed yield and seed yield components. J. Agric. Sci. 1978, 90, 261–267. [Google Scholar] [CrossRef]
- Stanisavljevic, R.; Simic, A.; Sokolovic, D. Seed production of perennial forage grasses in Serbia. Biotechnol. Anim. Husb. 2010, 26, 159–172. [Google Scholar]
- Anonymous. Middeldatabasen, Seges, Denmark. Available online: https://middeldatabasen.dk (accessed on 7 October 2018).
- Zapiola, M.L.; Garbacik, C.J.; Silberstein, T.B.; Chastain, T.G.; Young, W.C. Trinexapac-ethyl and open-field burning maximize seed yield in creeping red fescue. Agron. J. 2006, 98, 1427–1434. [Google Scholar] [CrossRef]
- Mathiassen, S.K.; Rabolle, M.; Boelt, B.; Kudsk, P. Factors affecting the activity of Moddus M in red fescue. In Proceedings of the 6th International Herbage Seed Conference, Giennestad, Norway, 18–20 June 2007. [Google Scholar]
- Rademacher, W. Growth retardants: Effects on gibberellin biosynthesis and other biosynthetic pathways. Annu. Rev. Plant Physiol. Plant Mol. Biol. 2000, 51, 501–531. [Google Scholar] [CrossRef]
- Young, W.C., III; Silberstein, T.B.; Chastain, T.G.; Garbacik, C.J. Response of creeping red fescue (Festuca rubra L.) and perennial ryegrass (Lolium perenne L.) to spring nitrogen fertility and plant growth regulator applications in Oregon. In Proceedings of the 6th International Herbage Seed Conference, Giennestad, Norway, 18–20 June 2007. [Google Scholar]
- Silberstein, T.B.; Young, W.C., III; Chastain, T.G.; Garbacik, C.J. Response of cool season grasses to foliar application of Palisade (trinexapac-ethyl) plant growth regulator, 1999. 2000a. In Seed Production Research at Oregon State University USDA-ARS Cooperating; Yong, W.C., III, Ed.; Ext/Crs 114 (4/00); Department of Crop and Soil Science: Ithaca, NY, USA, 1999; pp. 35–39. [Google Scholar]
- Silberstein, T.B.; Young, W.C., III; Chastain, T.G.; Garbacik, C.J. Response of cool season grasses to foliar application of Apogee (prohexadione-calcium) plant growth regulator. In Seed Production Research at Oregon State University USDA-ARS Cooperating; Yong, W.C., III, Ed.; Ext/Crs 114 (4/00); Department of Crop and Soil Science: Ithaca, NY, USA, 1999; pp. 40–44. [Google Scholar]
- Silberstein, T.B.; Young, W.C., III; Chastain, T.G.; Garbacik, C.J. Response of cool season grasses to foliar application of Palisade (trinexapac-ethyl) plant growth regulator. In Seed Production Research at Oregon State University USDA-ARS Cooperating; Yong, W.C., III, Ed.; Ext/Crs 115 (4/01); Department of Crop and Soil Science: Ithaca, NY, USA, 2000; pp. 24–30. [Google Scholar]
- Silberstein, T.B.; Young, W.C., III; Chastain, T.G.; Garbacik, C.J. Response of cool season grasses to foliar application of Apogee (prohexadione-calcium) plant growth regulator. In Seed Production Research at Oregon State University USDA-ARS Cooperating; Yong, W.C., III, Ed.; Ext/Crs 115 (4/01); Department of Crop and Soil Science: Ithaca, NY, USA, 2000; pp. 33–36. [Google Scholar]
- Silberstein, T.B.; Young, W.C., III; Chastain, T.G.; Garbacik, C.J. Response of cool season grasses to foliar application of Palisade (trinexapac-ethyl) plant growth regulator. In Seed Production Research at Oregon State University USDA-ARS Cooperating; Yong, W.C., III, Ed.; Ext/Crs 121 (4/02); Department of Crop and Soil Science: Ithaca, NY, USA, 2001; pp. 9–14. [Google Scholar]
- Silberstein, T.B.; Young, W.C., III; Chastain, T.G.; Garbacik, C.J. Response of cool season grasses to foliar application of Apogee (prohexadione-calcium) plant growth regulator. In Seed Production Research at Oregon State University USDA-ARS Cooperating; Yong, W.C., III, Ed.; Ext/Crs 121 (4/02); Department of Crop and Soil Science: Ithaca, NY, USA, 2001; pp. 18–21. [Google Scholar]
- Sankaran, S.; Khot, L.R.; Espinoza, C.Z.; Jarolmasjed, S.; Sathuvalli, V.R.; VanDeMark, G.J.; Miklas, P.N.; Carter, A.H.; Pumphrey, M.O.; Knowles, N.R.; et al. Low-altitude, high-resolution aerial imaging systems for row and field crop phenotyping: A review. Eur. J. Agron. 2015, 70, 112–123. [Google Scholar] [CrossRef]
- Yang, G.; Liu, J.; Zhao, C.; Li, Z.; Huang, Y.; Yu, H.; Xu, B.; Yang, X.; Zhu, D.; Zhang, X.; et al. Unmanned aerial vehicle remote sensing for field-based crop phenotyping: Current status and perspectives. Front. Plant Sci. 2017, 8, 8. [Google Scholar] [CrossRef] [PubMed]
- Araus, J.L.; Cairns, J.E. Field high-throughput phenotyping: The new crop breeding frontier. Trends Plant Sci. 2014, 19, 52–61. [Google Scholar] [CrossRef] [PubMed]
- Rasmussen, J.; Ntakos, G.; Nielsen, J.; Svensgaard, J.; Poulsen, R.N.; Christensen, S. Are vegetation indices derived from consumer-grade cameras mounted on UAVs sufficiently reliable for assessing experimental plots? Eur. J. Agron. 2016, 74, 75–92. [Google Scholar] [CrossRef]
- Borra-Serrano, I.; De Swaef, T.; Aper, J.; Ghesquiere, A.; Mertens, K.; Nuyttens, D.; Saeys, W.; Somers, B.; Vangeyte, J.; Roldán-Ruiz, I.; et al. Towards an objective evaluation of persistency of Lolium perenne swards using UAV imagery. Euphytica 2018, 214, 142. [Google Scholar] [CrossRef]
- Dandois, J.P.; Ellis, E.C. Remote sensing of vegetation structure using computer vision. Remote Sens. 2010, 2, 1157–1176. [Google Scholar] [CrossRef]
- Azim, S.; Rasmussen, J.; Nielsen, J.; Gislum Laursen, M.S.; Christensen, S. Manual geo-rectification to improve the spatial accuracy of ortho-mosaics based on images from consumer-grade unmanned aerial vehicles (UAVs). Precis. Agric. 2019. [Google Scholar] [CrossRef]
- Tilly, N.; Hoffmeister, D.; Cao, Q.; Huang, S.; Lenz-Wiedemann, V.; Miao, Y.; Bareth, G. Multitemporal crop surface models: Accurate plant height measurement and biomass estimation with terrestrial laser scanning in paddy rice. J. Appl. Remote Sens. 2014, 8, 83671. [Google Scholar] [CrossRef]
- Peña, J.M.; Torres-Sánchez, J.; De Castro, A.I.; Kelly, M.; López-Granados, F. Weed mapping in early-season maize fields using object-based analysis of unmanned aerial vehicle (UAV) images. PLoS ONE 2013, 8, e77151. [Google Scholar] [CrossRef]
- Zhang, C.; Kovacs, J.M. The application of small unmanned aerial systems for precision agriculture: A review. Precis. Agric. 2012, 13, 693–712. [Google Scholar] [CrossRef]
- Thomas, H.; Morgan, W.; Humphreys, M. Designing grasses with a future—Combining the attributes of Lolium and Festuca. Euphytica 2003, 133, 19–26. [Google Scholar] [CrossRef]
- Danish Metrological Institute (DMI). Vejr, Klima og Hav. Available online: https://www.dmi.dk/vejr/arkiver/maanedsaesonaar/ (accessed on 14 January 2019).
- Boelt, B.; Gislum, R. Seed yield components and their potential interaction in grasses- to what extend does seed weight influence yield? In Proceedings of the 7th International Herbage Seed Conference, Dallas, TX, USA, 11–13 April 2010; pp. 109–112. [Google Scholar]
- Haldrup, C. Growth regulation, fungicides and nitrogen interaction in seed crop production. In Proceedings of the 6th International Herbage Seed Conference, Giennestad, Norway, 18–20 June 2007. [Google Scholar]
- Svensgaard, J.; Jensen, S.M.; Westergaard, J.C.; Nielsen, J.; Christensen, S.; Rasmussen, J. Can reproducible comparisons of cereal genotypes be generated in field experiments based on UAV imagery using RGB cameras? Eur. J. Agron. 2019, 106, 49–57. [Google Scholar] [CrossRef]




| Applied Chemicals | Date of Application | Application Rate | |
|---|---|---|---|
| Plant Nutrition | |||
| NPK 21-3-9 + Mg S | 24 April 2015 | 476 kg ha−1 | |
| Manganese-nitrate | 12 June 2015 | 1.5 L ha−1 | |
| NPK 21-3-10 + Mg S | 21 September 2015 | 344 kg ha−1 | |
| NPK 21-3-9 + Mg S | 21 March 2016 | 312.8 kg ha−1 | |
| NPK 21-3-10 + Mg S B | 17 October 2016 | 371.4 kg ha−1 | |
| NPK 22-3-10 + S | 9 March 2017 | 326 kg ha−1 | |
| NPK 23-3-7 + Mg S B Cu | 12 October 2017 | 347 kg ha−1 | |
| NS 27-4 | 4 April 2018 | 273 kg ha−1 | |
| Herbicides | Active Ingredient | ||
| Trimmer 50 SG | 500 g kg−1 Tribenuron-methyl | 20 May 2015 | 10 L ha−1 |
| Briotril 400 EC | 160 g L−1 Ioxynil + 240 g L−1 Bromoxynil | 0.25 L ha−1 | |
| Agropol (additive) | 0.15 L ha−1 | ||
| Metaxon | 750 g L−1 MCPA | 12 June 2015 | 1 L ha−1 |
| Tomahawk 180 EC | 180 g L−1 Fluroxypyr | 0.4 L ha−1 | |
| Agropol (additive) | 0.15 L ha−1 | ||
| Hussar OD | 300 g L−1 Mefenpyr-diethyl + 100 g L−1 | 8 September 2015 | 0.02 L ha−1 |
| Iodosulfuron-methyl-Na | 0.5 L ha−1 | ||
| Renol (additive) | |||
| FOCUS Ultra | 100 g L−1 Cycloxydim | 25 September 2015 | 1.5 L ha−1 |
| Dash (additive) | 0.5 L ha−1 | ||
| Hussar OD | 300 g L−1 Mefenpyr-diethyl + 100 g L−1 | 04 May 2016 | 0.05 L ha−1 |
| Iodosulfuron-methyl-Na | 0.05 L ha−1 | ||
| Legacy 500 SC | 500 g L−1 Diflufenican | 0.5 L ha−1 | |
| Renol (additive) | |||
| Fungicides | |||
| Proline EC 250 | 250 g L−1 Prothioconazol | 26 June 2015 | 0.2 L ha−1 |
| Comet | 250 g L−1 Pyraclostrobin | 0.15 L ha−1 | |
| Flexity | 300 g L−1 Metrafenon | 0.125 L ha−1 | |
| Year | Differences between Seed Yields (kg ha−1) |
|---|---|
| 2016 | 67.6 (66.02) |
| 2017 | 317.7 (51.8) |
| 2018 | 45.0 (28.5) |
| Year | Seed Yield (kg ha−1) | |
|---|---|---|
| Sprayed Subplots | Unsprayed Subplots | |
| 2016 | 1729 (42.8) | 1680 (37.7) |
| 2017 | 2176 (39.5) | 1858 (24.5) |
| 2018 | 1640 (25.1) | 1573 (21.5) |
© 2019 by the authors. Licensee MDPI, Basel, Switzerland. This article is an open access article distributed under the terms and conditions of the Creative Commons Attribution (CC BY) license (http://creativecommons.org/licenses/by/4.0/).
Share and Cite
Bitarafan, Z.; Rasmussen, J.; Westergaard, J.C.; Andreasen, C. Seed Yield and Lodging Assessment in Red Fescue (Festuca rubra L.) Sprayed with Trinexapac-Ethyl. Agronomy 2019, 9, 617. https://doi.org/10.3390/agronomy9100617
Bitarafan Z, Rasmussen J, Westergaard JC, Andreasen C. Seed Yield and Lodging Assessment in Red Fescue (Festuca rubra L.) Sprayed with Trinexapac-Ethyl. Agronomy. 2019; 9(10):617. https://doi.org/10.3390/agronomy9100617
Chicago/Turabian StyleBitarafan, Zahra, Jesper Rasmussen, Jesper Cairo Westergaard, and Christian Andreasen. 2019. "Seed Yield and Lodging Assessment in Red Fescue (Festuca rubra L.) Sprayed with Trinexapac-Ethyl" Agronomy 9, no. 10: 617. https://doi.org/10.3390/agronomy9100617
APA StyleBitarafan, Z., Rasmussen, J., Westergaard, J. C., & Andreasen, C. (2019). Seed Yield and Lodging Assessment in Red Fescue (Festuca rubra L.) Sprayed with Trinexapac-Ethyl. Agronomy, 9(10), 617. https://doi.org/10.3390/agronomy9100617

