Abstract
The parasitism of root-knot nematodes, Meloidogyne spp., can cause heavy yield losses to vegetable crops. Plant biostimulants are often reported for a side-suppressive effect on these pests and many commercial products are increasingly included in sustainable nematode control strategies. Source materials of most biostimulants derived from plant or seaweed raw materials were documented for a reliable suppression of root-knot nematode species, whereas the suppressiveness of microbial biostimulants was found largely variable, as related to the crop and to environmental factors. Chitosan-based biostimulants were also stated for a variable phytonematode suppression, though clearly demonstrated only by a few number of studies. In a preliminary experimental case study, four commercial biostimulants based on quillay extract (QE), sesame oil (SO), seaweeds (SE), or neem seed cake (NC) were comparatively investigated for their effects against the root-knot nematode M. incognita on potted tomato. Soil treatments with all the four biostimulants resulted in a significant reduction of nematode eggs and galls on tomato roots, though NC and SO were significantly more suppressive than QE or SE. In addition, almost all biostimulant treatments also resulted in a significant improvement of tomato growth compared to the non-treated control. These preliminary results seem to confirm the literature data and clearly indicate the potential role of biostimulants for a safe nematode management both in organic and integrated crop systems.
1. Introduction
Phytoparasitic nematodes are among the most harmful pests of vegetable crops, responsible for an annual yield loss amounting to 9–15% of the world crop yield [1]. Most of these losses are due to root-knot nematode species, Meloidogyne spp., causing poor plant growth and reduced crop yield and quality and reducing plant resistance to other biotic and abiotic stresses [2]. Traditionally, control of these pests relied on soil treatments with synthetic nematicides, but the increasing demand for a higher crop safety to the environment and humans has led to a progressive dismission of these products, giving a strong impulse to the search and the implementation of control strategies based on natural mechanisms, such as the use of plant biostimulants [3].
Plant biostimulants derived from natural materials have been receiving a growing interest by researchers, farmers, and industrial companies, as considered an effective tool for improving crop productivity [4]. The previous unclear and misunderstanding legislation frame led to include among the biostimulants a large variety of products with different activities, such as growth enhancers, plant strengtheners or conditioners, resistance elicitors, as well to registration procedures variable among countries or even within the same country [5]. The uncertain legislative frame resulted in the immission in the market of a large variety of biostimulants stated for a suppressiveness on phytoparasitic nematodes, because of their content of raw materials (plants, seaweeds, microorganisms, and more) widely demonstrated for an activity against phytonematode species [6,7,8]. However, the recent EU Regulation 2019/1009 [9] has restricted the definition of fertilizing products and biostimulants and, therefore, many of these borderline products are destined to be classified as phytochemicals, dealing with more complex and expensive registration procedures.
Because of the increasing technical and economic relevance of these products, the aim of this study is to provide a review of the main groups of nematode-suppressive plant biostimulants actually available in the market and to indicate their potential for an effective but safe nematode management by a preliminary experimental case study on the root knot nematode M. incognita Kofoid et White (Chitw.) on tomato.
2. The State-of-the-Art
2.1. The Market Supply
A survey of the Italian market in 2018 revealed the presence of almost 40 different commercial plant biostimulants/strengtheners declaring a side activity on phytoparasitic nematodes on their labels (Table 1). More than 50% of these commercial products were based on plant raw materials, such as extracts, seed oils or green and seed biomasses, whereas another 25% was represented by seaweed derivatives. There was only one chitosan-based formulate, whereas the remaining others were microbial formulations. Only four products were clearly described as nematotoxic and the activity of other nine formulates was related to nematode repellence, disorientation, or antifeeding effects, whereas the remaining products were generically described as enhancers of plant resistance or of unfavorable soil conditions.
Table 1.
Commercial biostimulants reporting an activity against phytoparasitic nematodes available in the Italian market at December 2018.
2.2. The Literature Review
Plant-derived biostimulants previously documented for an activity on phytonematodes were mostly liquid formulations of extracts and oils or, at a less instance, granular or powder seed meal or cake derivatives. A large number of plant biostimulants based on sesame seed oil [10], quillay water extract [11,12], or meals from biomasses or seeds of Brassicaceae plants and neem [13,14,15] were previously demonstrated for a suppressive activity on root-knot nematode populations on field and greenhouse tomato.
Seaweed extracts were found to cause an almost complete mortality of root-knot nematode juveniles and eggs in in vitro studies [16,17], as well as formulations of the extracts from seaweed species Ascophyllum nodosum L. and Ecklonia maxima Osbeck were reported for an effective control of root-knot nematodes also in soil experiments on tomato [18,19,20]. In addition to extract derivatives, a strong suppression of Meloidogyne spp. infestations on fruit or vegetable crops was described also for soil amendments with biomasses of seaweeds Uva lactuca L. and Spatoglossus schroederi Agardh (Kützing), may be due to their high content of phenolics and other bioactive compounds [21,22]. In addition to Meloidogyne species, suppressive activity of seaweed products was also detected on nematode parasites economically relevant to tropical or subtropical vegetable crops, such as Helicotylenchus indicus Siddiqui, Belonolaimus longicaudatus Rau, or Radopholus similis Cobb (Thorne) [23,24,25,26].
Literature studies are available also on the suppressive activity of chitosan and/or its derivatives, both alone or combined with other suppressive materials (agricultural wastes, plant compounds, biocontrol agents), either on root-knot nematodes [27,28,29,30] and other phytoparasitic species i.e., the soybean cyst nematode Heterodera glycines Ichinoe and the pinewood parasite Bursaphelenchus xylophilus (Steiner et Buhrer) Nickle [31,32,33].
Most of the microbial biostimulants reported as active on phytoparasitic nematodes were formulations of arbuscular mycorrhizal fungi [34,35]. Suppressiveness to root-knot nematodes of these products, either alone or combined with other microorganisms or plant extracts, was documented both in field and greenhouse [36,37,38,39]. Moreover, their activity was demonstrated also on other phytonematode parasites, such as Nacobbus aberrans Thorne et Allen or Helicotylenchus multicinctus (Cobb) Golden on field banana and greenhouse tomato, respectively [40,41]. In addition to mycorrhizal fungi, formulations of other fungal or bacterial biocontrol agents (Trichoderma spp., Bacillus spp.) or nitrogen fixers (Azospirillum spp., Azotobacter spp.) were also reported for controlling M. incognita in glasshouse tomato and field sunflower [42,43,44], or improving crop tolerance to the cyst nematode Heterodera schachtii Schmidt and more generically to soil phytoparasitic nematophauna [45,46].
3. An Experimental Case Study
3.1. Materials and Methods
A sandy soil (64.4% sand,18.7% silt, 16.9% clay, 0.8% organic matter, pH 7.5; 18.2% soil average humidity, 23.5% field capacity, 12.9% wilting point), artificially infested with the root-knot nematode M. incognita (8 eggs and juveniles mL−1 soil) was poured into 2.5 L clay pots. Soil was then treated with three commercial liquid biostimulants derived from quillay (Quillaja saponaria Molina) extract (Tequil Multi®, Fertenia) (QE), sesame (Sesamum indicum L.) oil (NeMax®, Sumitomo Chemical) (SO) or brown algae (Laminaria spp.) extract (AgriPrime Nematec®, BioAtlantis) (SE), and a granular formulation of neem (Azadirachta indica Juss) cake (Neem Soil®, Serbios) (NC). QE, SO and SE were applied at transplant and 15 and 30 days later at amounts corresponding to 60, 10, and 2 L ha−1, respectively, whereas NC was incorporated to the soil at a 1000 kg ha−1 rate two weeks before transplanting. The same treatments were also provided to pots containing non-infested soil. Soil treated with the nematicide Oxamyl (OX), applied at a 10 L ha−1 field rate 3 days before tomato transplant and 15 days later, and non-treated soil, both infested (NT) and non-infested (NI) by M. incognita, were used as controls. One-month-old tomato seedlings (cv. Harvester) were transplanted in each pot, providing five replicates for each treatment in comparison.
The pots were arranged in a randomized block design in a plastic greenhouse at 25 °C, where they were maintained for 75 days, receiving a regular irrigation but no additional pesticide or fertilizer treatment. At the end of their permanence in the greenhouse, plants were uprooted and weight of green and root biomass was recorded for each plant. Root gall formation was estimated according to a 0–10 scale [47] and nematode multiplication on tomato roots was determined by extracting eggs and juveniles by the Hussey and Barker’s method [48]. Data were statistically analyzed by ANOVA and treatment means were compared by the Fisher’s Least Significant Difference Test at P ≤ 0.05, using PlotIT 3.2 (Scientific Programming Enterprises, Haslett, MI) software.
3.2. Results
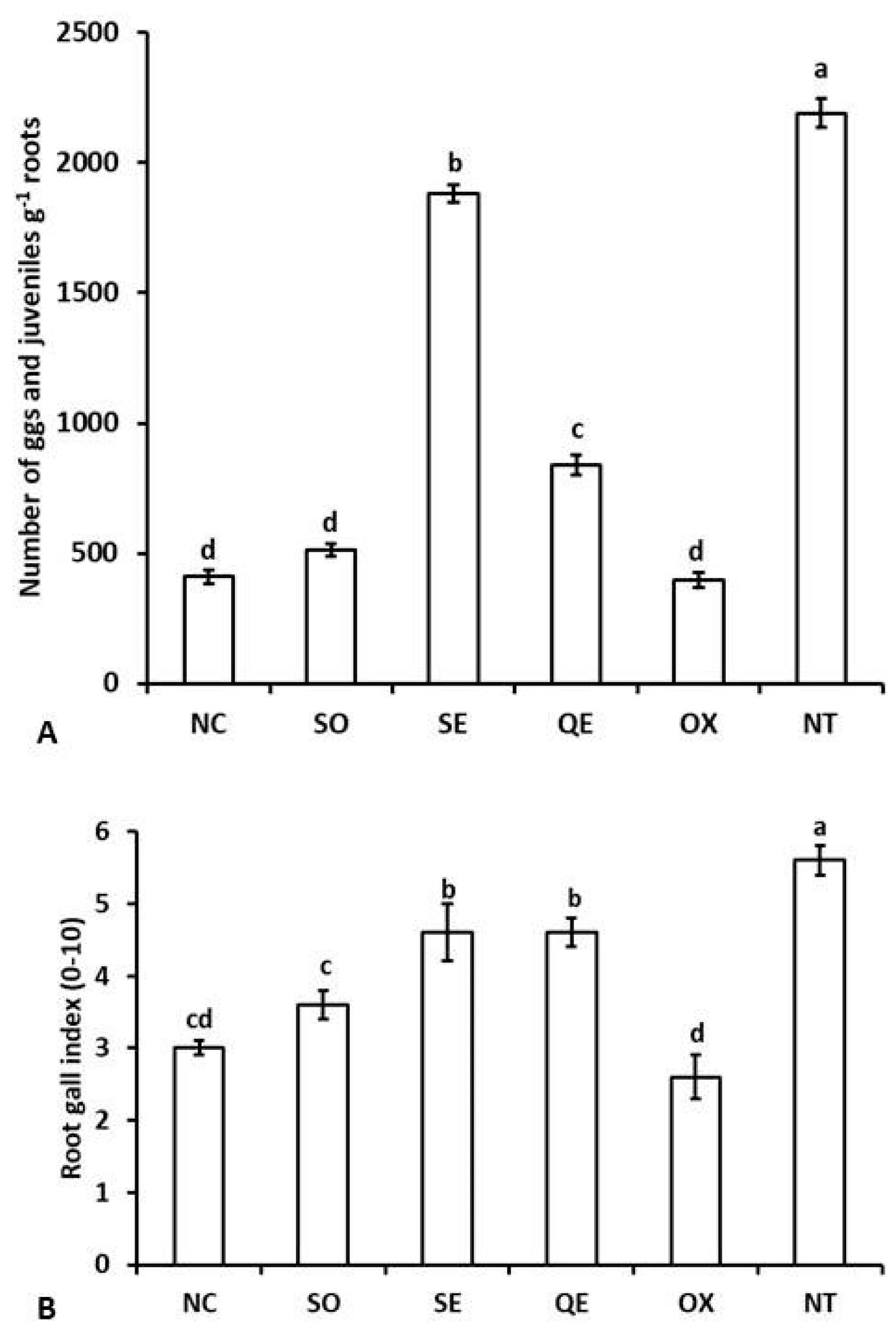
The number of nematode eggs and juveniles on tomato roots were always significantly lower in the soil treated with the four biostimulants or OX than in NT soil (Figure 1A). Moreover, the multiplication of M. incognita in pots treated with NC or SO was not statistically different from OX and significantly lower than the treatments with QE and SE. Finally, QE resulted to be significantly more suppressive than SE.
Figure 1.
Multiplication of the root-knot nematode Meloidogyne incognita (A) and gall formation (B) on the roots of tomato cv. Harvester in soil non-treated (NT) or treated with commercial biostimulants based on neem cake (NC), sesame oil (SO), seaweed extract (SE), and quillay extract (QE) or with nematicide Oxamyl (OX). Bars tagged with the same letters are not statistically different (P ≤ 0.05) according to the Least Significant Difference’s Test.
Treatments with the four biostimulants and OX also resulted in a significantly lower number of root galls in comparison with NT (Figure 1B and Figure 2). As for nematode eggs and juveniles, the formation of galls in soil treated with NC and SO was statistically lower than QE and SE, though only NC was significantly not different from OX. No statistical difference occurred between the number of galls from QE and SE.
Figure 2.
Roots of tomato plants cv. Harvester from soil treated with commercial biostimulants based on neem cake (NC), sesame oil (SE), seaweed extract (SE) and quillay extract (QE) or with nematicide Oxamyl (OX) and from non-treated soil (NT).
Tomato plant biomass in soil infested by M. incognita, either non-treated and treated with the biostimulants or OX, was always significantly lower than NI (Figure 3A). Green biomass from plants in soil treated with QE was significantly larger compared to all the other treatments and NT. Adversely, weight of green biomass from pots treated with the other three formulates was not significantly different from NT and statistically lower than OX.
Figure 3.
Weight of green biomass (A) and roots (B) of tomato plants cv. Harvester in soil non-treated (NT) or treated with commercial biostimulants based on neem cake (NC), sesame oil (SO), seaweed extract (SE), and quillay extract (QE) or with nematicide Oxamyl (OX). Bars tagged with the same letters are not statistically different (P ≤ 0.05) according to the Least Significant Difference’s Test.
Weight of the tomato roots from all the treatments but NC was significantly higher than the NT (Figure 3B). Moreover, QE resulted in a root biomass significantly heavier than the other three biostimulants and OX and not different from NI. Finally, SE resulted in a root growth statistically not different from OX but higher compared to NC and SO.
4. Discussion
The experimental case study indicated that biostimulants can also provide a satisfactory nematode suppression, as confirming previous findings from literature studies. However, these results aim to be only indicative of the potential use of biostimulants in nematode management and need to be validated by future trials in field conditions, as well as different combinations of biostimulants should be also tested to verify a potential synergism among different products.
The mechanisms of biostimulants suppressiveness to nematodes are only partially known or simply hypothesized. Seaweed activity on phytoparasitic nematodes was generally attributed to their content of secondary metabolites, such as steroids, triterpenoids, alkaloids, and phenols, known for a nematicidal activity or as plant resistance elicitors [49,50]. Analogously, the suppressiveness to phytonematode populations of plant-based biostimulants is mainly related to nematotoxic metabolites both preformed in raw plant material (saponins, fatty acids, alkaloids and more) or released during the plant materials degradation in soil [51,52]. Induction of a systemic plant resistance to nematode penetration has been also documented for some active compounds of plant-derived biostimulants, such as neem azadiractin or chestnut (Castanea sativa Mill.) tannins [53,54]. Nematode suppression by microbial biostimulants was generally attributed to the induction of crop defense responses to nematode invasion [55,56]. Additional or alternative mechanisms, such as a competition for nutrients and space or the synthesis of nematicidal microbial metabolites have been also suggested [57,58,59]. The nematicidal effectiveness of chitosan products was generally attributed to the induction of a local or systemic plant resistance [60], though an enhancement of nematode-suppressive rhizospheric bacteria and fungi has been also hypothesized [36,40].
In our study, only QE was confirmed for a biostimulant effect on tomato growth, as limited only to the root biomass for SO and SE or nil for NC. The growth effect of QE can be attributed to the high content of triterpenic saponins, widely acknowledged for significant plant growth regulating properties [61], in Q. saponaria extracts.
Chemical composition of plant-based biostimulants can change according to a range of environmental and agronomic factors [62], as well as the nematode suppressiveness of microbial formulations may vary according to microbial strains, crop species/varieties, and environmental conditions [63]. Variable effects on soil phytonematode populations were also documented for chitosan products, as strictly dependent on the molecular weight of raw materials [32,64]. The unstable composition is a serious constraint to the full implementation of biostimulants in nematode management strategies, as leading to a fluctuating activity in field and, consequently, to a difficult certification of nematicidal performances and registration of commercial products [51]. A preliminary standardization of source raw materials and manufacturing processes should ensure constant suppressive performances and a successful market presence to the future commercial plant biostimulants addressed to nematode management. Moreover, preliminary toxicological screenings should be provided for any new biostimulant, as to exclude the presence of compounds with an unknown toxicological profile or the persistence of human pathogens in materials of animal origin [51].
In conclusion, plant biostimulants can also play a relevant role in the future nematode management strategies, as providing an acceptable nematode suppression in addition to their main activity of plant growth and ensuring a full safety to the other biotic soil components. It may be reasonably expected that the Regulation 2019/1009 [9] will lead to the disappearance of products with a direct toxicity to nematodes activity, because of the high costs of their registration as pesticides, as limiting the market to the products working through plant resistance improvement. A stand-alone application of these products can be reasonable only in organic crop systems, where few nematode control tools are available, or in short-cycle crops where the short pre-harvest intervals do not allow the use of most synthetic nematicides. However, a combination with other chemical or nonchemical control tools can justify the application of these products also in conventional crop systems. Benefit–cost ratio of treatments with the kind of products analyzed in this work should be always evaluated before their application as nematode suppressants, because of the high market price of these products which limit their use preferably to high value crops.
Author Contributions
Conceptualization, T.D., M.P., V.C.; data curation, S.L.; formal analysis, T.D., V.C.; investigation, S.L.; methodology, T.D., S.L.; software, S.L.; supervision, M.P.; validation, V.C.; visualization, S.L.; writing—original draft, T.D.; writing—review and editing, T.D., V.C.
Acknowledgments
The authors acknowledge the technical assistance of Fabio Catalano for the arrangement of greenhouse experiment and lab work.
Conflicts of Interest
The authors declare that the submitted work was carried out in the absence of any personal, professional, or financial relationships that could potentially be construed as a conflict of interest.
References
- Nicol, J.M.; Turner, S.J.; Coyne, D.L.; Den Nijs, L.; Hockland, S.; Maafi, Z.T. Current nematode threats to world agriculture. In Genomics and Molecular Genetics of Plant-Nematode Interactions; Jones, J., Gheysen, G., Fenoll, C., Eds.; Springer: Dordrecht, NL, USA, 2011; pp. 21–43. [Google Scholar]
- Sikora, R.A.; Fernandez, E. Nematode parasites of vegetables. In Plant Parasitic Nematodes in Subtropical and Tropical Agriculture; Luc, M., Sikora, R.A., Bridge, J., Eds.; CABI: Wallingford, UK, 2005; pp. 319–392. [Google Scholar]
- Le Mire, G.; Nguyen, M.L.; Fassotte, B.; du Jardin, P.; Verheggen, F.; Delaplace, P.; Jijakli, H. Implementing plant biostimulants and biocontrol strategies in the agroecological management of cultivated ecosystems, A review. Biotechnol. Agron. Soc. Environ. 2016, 20, 299–313. [Google Scholar]
- Brown, P.; Saa, S. Biostimulants in agriculture. Front. Plant Sci. 2015, 6, 671. [Google Scholar] [CrossRef] [PubMed]
- Basak, A. Biostimulators. Definitions, classification and legislation. In Biostimulators in Modern Agriculture: General Aspects; Gawrońska, H., Ed.; Wie Jutra: Warsaw, Poland, 2008; pp. 7–17. [Google Scholar]
- Askary, T.H.; Martinelli, P.R.P. Biocontrol Agents of Phytonematodes; CAB International: Wallingford, UK, 2015; p. 470. [Google Scholar]
- D’Addabbo, T.; Laquale, S.; Lovelli, S.; Candido, V.; Avato, P. Biocide plants as a sustainable tool for the control of pests and pathogens in vegetable cropping systems. Ital. J. Agron. 2014, 9, 137–145. [Google Scholar] [CrossRef]
- Oka, Y. Mechanisms of nematode suppression by organic soil amendments—A review. Appl. Soil Ecol. 2010, 44, 101–115. [Google Scholar] [CrossRef]
- European Union. Regulation 2019/1009, 2019. (EU) of the European Parliament and of the Council of 5 June 2019 Laying Down Rules on the Making Available on the Market of EU Fertilising Products and Amending Regulations (EC) No 1069/2009 and (EC) No 1107/2009 and Repealing Regulation (EC) No 2003/2003. OJ L 170, 25.6.2019. pp. 1–114. Available online: http://data.europa.eu/eli/reg/2019/1009/oj (accessed on 6 August 2019).
- D’Addabbo, T.; Radicci, V.; Lucarelli, G.; Carella, A.; Bernad, D.; Martin, E. Effectiveness of a formulation from Pedaliaceae plants (Nematon® EC) for the control of the root-knot nematode Meloidogyne incognita on greenhouse tomato. Acta Hortic. 2011, 914, 233–236. [Google Scholar] [CrossRef]
- Giannakou, I.O. Efficacy of a formulated product containing Quillaja saponaria plant extracts for the control of root-knot nematodes. Eur. J. Plant Pathol. 2011, 130, 587–596. [Google Scholar] [CrossRef]
- D’Addabbo, T.; Curto, G.; Greco, P.; Di Silvestro, D.; Coiro, M.I.; Lamberti, F.; Ferrari, V.; Santi, R.; Carella, A. Preliminary trials with extracts of Quillaja saponaria Molina for the control of root-knot nematodes. Nematol. Medit. 2005, 33, 29–34. [Google Scholar]
- Curto, G.; Dallavalle, E.; Matteo, R.; Lazzeri, L. Biofumigant effect of new defatted seed meals against the southern root-knot nematode, Meloidogyne incognita. Ann. Appl. Biol. 2016, 169, 1–10. [Google Scholar] [CrossRef]
- Rizvi, R.; Singh, G.; Safiuddin; Ali Ansari, R.; Ali Tiyagi, S.; Mahmood, I. Sustainable management of root-knot disease of tomato by neem cake and Glomus fasciculatum. Cogent Food Agric. 2015, 1, 1008859. [Google Scholar] [CrossRef]
- Abbasi, P.A.; Riga, E.; Conn, K.L.; Lazarovits, G. Effect of neem cake soil amendment on reduction of damping-off severity and population densities of plant-parasitic nematodes and soilborne plant pathogens. Can. J. Plant Pathol. 2005, 27, 38–45. [Google Scholar] [CrossRef]
- Khan, S.A.; Abid, M.; Hussain, F. Nematicidal activity of seaweeds against Meloidogyne javanica. Pak. J. Nematol. 2015, 33, 195–203. [Google Scholar]
- Rizvi, M.A.; Shameel, M. In vitro nematicidal activities of seaweed extracts from Karachi coast. Pak. J. Bot. 2006, 38, 1245–1248. [Google Scholar]
- Whapham, C.A.; Jenkins, T.; Blunden, G.; Hankins, S. The role of seaweed extracts, Ascophyllum nodosum, in the reduction in fecundity of Meloidogyne javanica. Fundam. Appl. Nematol. 1994, 17, 181–183. [Google Scholar]
- Wu, Y.; Jenkins, T.; Blunden, G.; Whapham, C.; Hankins, S.D. The role of betaines in alkaline extracts of Ascophyllum nodosum in the reduction of Meloidogyne javanica and M. incognita. Fundam. Appl. Nematol. 1997, 20, 99–102. [Google Scholar]
- Featonby-Smjth, B.C.; Van Staden, J. The effect of seaweed concentrate on the growth of tomato plants in nematode infested soil. Sci. Hortic. 1983, 20, 137–146. [Google Scholar] [CrossRef]
- El-Ansary, M.S.M.; Hamouda, R.A. Biocontrol of root-knot nematode infected banana plants by some marine algae. Russ. J. Mar. Biol. 2014, 40, 140–146. [Google Scholar] [CrossRef]
- Paracer, S.; Armin, C.; Tarjan, A.C.; Hodgson, L.M. Effective use of marine algal products in the management of plant parasitic nematodes. J. Nematol. 1987, 19, 194–200. [Google Scholar]
- Naqvi, B.S.; Khan, A.; Shaikh, D.; Shaikh, M.R. Nematicidal properties of selected marine algae from Karachi coast. J. Islam. Acad. Sci. 1992, 5, 171–172. [Google Scholar]
- De Waele, D.; McDonald, A.H.; De Waele, E. Influence of seaweed concentrate on the reproduction of Pratylenchus zeae (Nematoda) on maize. Nematologica 1988, 34, 71–77. [Google Scholar]
- Morgan, K.T.; Tarjan, A.C. Management of sting nematode on centipedegrass with kelp extracts. Proc. Flor. State Hortic. Soc. 1980, 93, 97–99. [Google Scholar]
- Tarjan, A.C. Kelp derivatives for nematode-infected citrus trees. J. Nematol. 1977, 9, 287. [Google Scholar]
- Radwan, M.A.; Farrag, S.A.; Abu-Elamayem, M.M.; Ahmed, N.S. Extraction, characterization, and nematicidal activity of chitin and chitosan derived from shrimp shell wastes. Biol. Fert. Soils 2012, 48, 463–468. [Google Scholar] [CrossRef]
- Escudero, N.; Lopez-Moya, F.; Ghahremani, Z.; Zavala-Gonzalez, E.A.; Alaguero-Cordovilla, A.; Ros-Ibañez, C.; Lacasa, A.; Sorribas, F.J.; Lopez-Llorca, L.V. Chitosan increases tomato root colonization by Pochonia chlamydosporia and their combination reduces root-knot nematode damage. Front. Plant Sci. 2017, 8, 1415. [Google Scholar] [CrossRef] [PubMed]
- Asif, M.; Ahmad, F.; Tariq, M.; Khan, A.; Ansari, T.; Khan, F.; Siddiqui, A.M. Potential of chitosan alone and in combination with agricultural wastes against the root-knot nematode, Meloidogyne incognita infesting eggplant. J. Plant Prot. Res. 2017, 57, 288–295. [Google Scholar] [CrossRef]
- Mota, L.C.; dos Santos, M.A. Chitin and chitosan on Meloidogyne javanica management and on chitinase activity in tomato plants. Trop. Plant Pathol. 2016, 41, 84–90. [Google Scholar] [CrossRef]
- Liang, W.; Yu, A.; Wang, G.; Zheng, F.; Jia, J.; Xu, H. Chitosan-based nanoparticles of avermectin to control pine wood nematodes. Int. J. Biol. Macromol. 2018, 112, 258–263. [Google Scholar] [CrossRef]
- Mwaheb, M.A.; Hussain, M.; Tian, J.; Zhang, X.; Hamid, M.I.; El-Kassim, N.A.; Hassan, G.M.; Xiang, M.; Liu, X. Synergetic suppression of soybean cyst nematodes by chitosan and Hirsutella minnesotensis via the assembly of the soybean rhizosphere microbial communities. Biol. Contr. 2017, 115, 86–94. [Google Scholar] [CrossRef]
- Nunes da Silva, M.; Cardoso, A.R.; Ferreira, D.; Brito, M.; Pintado, M.E.; Vasconcelos, M.W. Chitosan as a biocontrol agent against the pinewood nematode (Bursaphelenchus xylophilus). For. Pathol. 2014, 44, 420–423. [Google Scholar] [CrossRef]
- Candido, V.; Campanelli, G.; D’Addabbo, T.; Castronuovo, D.; Perniola, M.; Camele, I. Growth and yield promoting effect of artificial mycorrhization on field tomato at different irrigation regimes. Sci. Hort. 2015, 187, 35–43. [Google Scholar] [CrossRef]
- Colella, T.; Candido, V.; Campanelli, G.; Camele, I.; Battaglia, D. Effect of irrigation regimes and artificial mycorrhization on insect pest infestations and yield in tomato crop. Phytoparasitica 2014, 42, 235–246. [Google Scholar] [CrossRef]
- Flor-Peregrín, E.; Verdejo-Lucas, S.; Talavera, M. Combined use of plant extracts and arbuscular mycorrhizal fungi to reduce root-knot nematode damage in tomato. Biol. Agric. Hortic. 2017, 33, 115–124. [Google Scholar] [CrossRef]
- Flor-Peregrín, E.; Azcón, R.; Martos, V.; Verdejo-Lucas, S.; Talavera, M. Effects of dual inoculation of mycorrhiza and endophytic, rhizospheric or parasitic bacteria on the root-knot nematode disease of tomato. Biocontr. Sci. Technol. 2014, 24, 1122–1136. [Google Scholar] [CrossRef]
- Affokpon, A.; Coyne, D.L.; Lawouin, L.; Tossou, C.; Agbèdè, R.D.; Coosemans, J. Effectiveness of native West African arbuscular mycorrhizal fungi in protecting vegetable crops against root-knot nematodes. Biol. Fertil. Soils 2011, 47, 207–217. [Google Scholar] [CrossRef]
- Zhang, L.; Zhang, J.; Christie, P.; Li, X. Pre-inoculation with arbuscular mycorrhizal fungi suppresses root knot nematode (Meloidogyne incognita) on cucumber (Cucumis sativus). Biol. Fertil. Soils 2008, 45, 205. [Google Scholar] [CrossRef]
- Marro, N.; Lax, P.; Cabello, M.; Doucet, M.E.; Becerra, A.G. Use of the arbuscular mycorrhizal fungus Glomus intraradices as biological control agent of the nematode Nacobbus aberrans parasitizing tomato. Braz. Arch. Biol. Technol. 2014, 57, 668–674. [Google Scholar] [CrossRef]
- Jonathan, E.I.; Cannayane, I.; Samiyappan, R. Field application of biocontrol agents for the management of spiral nematode, Helicotylenchus multicinctus, in banana. Nematol. Mediterr. 2004, 32, 169–173. [Google Scholar]
- Radwan, M.A.; Farrag, S.A.A.; Abu-Elamayem, M.M.; Ahmed, N.S. Biological control of the root-knot nematode, Meloidogyne incognita on tomato using bioproducts of microbial origin. Appl. Soil Ecol. 2012, 56, 58–62. [Google Scholar] [CrossRef]
- El-Haddad, M.E.; Mustafa, M.I.; Selim, S.M.; El-Tayeb, T.S.; Mahgoob, A.E.; Aziz, N.H. The nematicidal effect of some bacterial biofertilizers on Meloidogyne incognita in sandy soil. Braz. J. Microbiol. 2011, 42, 105–113. [Google Scholar] [CrossRef]
- Ismail, A.E.; Hasabo, S.A. Evaluation of some new Egyptian commercial biofertilizers, plant nutrients and a biocide against Meloidogyne incognita root knot nematode infecting sunflower. Pak. J. Nematol. 2000, 18, 39–49. [Google Scholar]
- Biliavska, L.O.; Tsygankova, V.A.; Kozyritska, V.E.; Iutynska, G.O.; Andrusevich, Y.V.; Babich, O.A. Application of new microbial plant resistance/plant growth protection inducers for increasing Chinese cabbage plant tolerance against parasitic nematode Heterodera schachtii Schmidt. Int. J. Res. Biosci. 2016, 5, 64–82. [Google Scholar]
- Khan, Z.; Tiyagi, S.A.; Mahmood, I.; Rizvi, R. Effects of N fertilization, organic matter, and biofertilizers on the growth and yield of chilli in relation to management of plant-parasitic nematodes. Turk. J. Bot. 2012, 36, 73–78. [Google Scholar]
- Bridge, J.; Page, S.L.J. Estimation of root-knot nematode infestation levels on roots using a rating chart. Int. J. Pest Manag. 1980, 26, 296–298. [Google Scholar] [CrossRef]
- Hussey, P.S.; Barker, K.R. A comparison of methods of collecting inocula of Meloidogyne spp., including a new technique. Plant Dis. Rep. 1973, 57, 1025–1028. [Google Scholar]
- Chitwood, J.D. Phytochemical based strategies for nematode control. Ann. Rev. Phytopathol. 2002, 40, 21–49. [Google Scholar] [CrossRef]
- Verkleij, F.N. Seaweed extracts in agriculture and horticulture: A review. Biol. Agric. Hort. 1992, 8, 309–324. [Google Scholar] [CrossRef]
- Yakhin, O.I.; Lubyanov, A.A.; Yakhin, I.A.; Brown, P.H. Biostimulants in plant science: A global perspective. Front. Plant Sci. 2017, 7, 2049. [Google Scholar] [CrossRef]
- Oliveira, R.D.; Dhingra, O.D.; Lima, A.O.; Jham, G.N.; Berhow, M.A.; Holloway, R.K.; Vaughn, S.F. Glucosinolate content and nematicidal activity of Brazilian wild mustard tissues against Meloidogyne incognita in tomato. Plant Soil 2011, 341, 155–164. [Google Scholar] [CrossRef]
- Pretali, L.; Bernardo, L.; Butterfield, T.S.; Trevisan, M.; Lucini, L. Botanical and biological pesticides elicit a similar induced systemic response in tomato (Solanum lycopersicum) secondary metabolism. Phytochemistry 2016, 130, 56–63. [Google Scholar] [CrossRef]
- Bargiacchi, E.; Miele, S.; Romani, A.; Campo, M. Biostimulant activity of hydrolyzable tannins from sweet chestnut (Castanea sativa mill.). Acta Hortic. 2013, 1009, 111–116. [Google Scholar] [CrossRef]
- Sofo, A.; Nuzzaci, M.; Vitti, A.; Tataranni, G.; Scopa, A. Control of biotic and abiotic stresses in cultivated plants by the use of biostimulant microorganisms. In Improvement of Crops in the Era of Climatic Changes; Ahmad, P., Wani, M.R., Azooz, M.M., PhanTran, L.S., Eds.; Springer Science+Business Media: New York, NY, USA, 2014; pp. 107–117. [Google Scholar]
- Vos, C.; Schouteden, N.; Van Tuinen, D.; Chatagnier, O.; Elsen, A.; De Waele, D.; Gianinazzi-Pearson, V. Mycorrhiza-induced resistance against the root–knot nematode Meloidogyne incognita involves priming of defense gene responses in tomato. Soil Biol. Biochem. 2013, 60, 45–54. [Google Scholar] [CrossRef]
- Mahanty, T.; Bhattacharjee, S.; Goswami, M.; Bhattacharyya, P.; Das, B.; Ghosh, A.; Tribedi, P. Biofertilizers: A potential approach for sustainable agriculture development. Env. Sci. Poll. Res. 2017, 24, 3315–3335. [Google Scholar] [CrossRef] [PubMed]
- Schouteden, N.; De Waele, D.; Panis, B.; Vos, C.M. Arbuscular mycorrhizal fungi for the biocontrol of plant-parasitic nematodes: A review of the mechanisms involved. Front. Microbiol. 2015, 6, 1280. [Google Scholar] [CrossRef] [PubMed]
- Youssef, M.M.; Eissa, M.F. Biofertilizers and their role in management of plant parasitic nematodes, A review. J. Biotechnol. Pharm. Res. 2014, 5, 1–6. [Google Scholar]
- Vasyukova, N.I.; Zinov’Eva, S.V.; Il’Inskaya, L.I.; Perekhod, E.A.; Chalenko, G.I.; Gerasimova, N.G.; Il’ina, A.V.; Varlamov, V.P.; Ozeretskovskaya, O.L. Modulation of plant resistance to diseases by water-soluble chitosan. Appl. Biochem. Microbiol. 2001, 37, 103–109. [Google Scholar] [CrossRef]
- Reichert, C.L.; Salminen, H.; Weiss, J. Quillaja Saponin Characteristics and Functional Properties. Ann. Rev. Food Sci. Technol. 2019, 10, 43–73. [Google Scholar] [CrossRef]
- Sharma, S.H.S.; Lyons, G.; McRoberts, C.; McCall, D.; Carmichael, E.; Andrews, F.; McCormack, R. Brown seaweed species from Strangford Lough: Compositional analyses of seaweed species and biostimulant formulations by rapid instrumental methods. J. Appl. Phycol. 2012, 24, 1141–1157. [Google Scholar]
- Dong, L.Q.; Zhang, K.Q. Microbial control of plant-parasitic nematodes: A five-party interaction. Plant Soil 2006, 288, 31–45. [Google Scholar] [CrossRef]
- Khalil, M.S.; Badawy, M.E. Nematicidal activity of a biopolymer chitosan at different molecular weights against root-knot nematode, Meloidogyne incognita. Plant Prot. Sci. 2012, 48, 170–178. [Google Scholar] [CrossRef]
© 2019 by the authors. Licensee MDPI, Basel, Switzerland. This article is an open access article distributed under the terms and conditions of the Creative Commons Attribution (CC BY) license (http://creativecommons.org/licenses/by/4.0/).


