Abstract
The interaction between arbuscular mycorrhizal fungi (AM fungi) and Pseudomonas sp. has received considerable attention. The presence of biochar may affect these microorganisms, with subsequent modification of the phosphorus uptake and root morphology, and plant biomass accumulation. This research sought to identify, in the presence or absence of biochar, the effects of the interactions of mycorrhizal fungi and Pseudomonas sp. on the responses of phosphorus (P) and nitrogen (N) uptake and the root length, surface area, and volume of celery plants with low and high P fertilization under different substrate and soil conditions. The results indicate that strong growth responses of celery plants were observed due to the combination of AM fungi, Pseudomonas sp., and biochar with low P fertilization. A strong linear relationship was found between the plant root length and P accumulation in the shoot fraction in the present study. Increased P and N uptake occurred in treatments combining these microorganisms rather than alone, and this increase especially occurred in the presence of biochar. The low availability of P was substantially recovered by the association of these three aspects. The root morphology was greatly influenced by the biochar additives and in combination with AM fungi and Pseudomonas sp. The root colonization rate of AM fungi was increased by the combination of the inoculation of Pseudomonas sp. and biochar rather than AM fungi and/or Pseudomonas sp. These results indicate an accumulating effect of AM fungi, Pseudomonas sp., and biochar exists on the plant growth response and nutrient uptake because of the increasing root length, surface area, and volume, rather than root biomass.
1. Introduction
Celery (Apium graveolens L.), as a salad vegetable, is widely distributed in different parts of the world and ranks second only to lettuce in global consumption [1]. It is a transplanted crop; most seedlings are raised in nursery beds and are then transplanted to the substrate or soil in the field. Promoting microbes in the substrate and in the rhizosphere of the host plant is a limiting factor for the survival, growth, and yield of celery plants [2]. Arbuscular mycorrhizal (AM) fungi are a type of soil microbial organism that can form symbiosis with most plants and provide mineral elements to host plants in exchange for photosynthesis carbohydrates [3]. AM fungi can alter the root phenotype of more lateral root formation, further promoting plant growth, enhancing nutrient uptake, and improving resistance or tolerance to stress [4].
Studies have found that Pseudomonas sp., an AM fungus helper bacterial species, as a plant growth-promoting rhizobacteria (PGPR) associated with plants, also causes growth stimulation and acts as a bio-effector to contribute to yield promotion, enhancing the nutrient status and relieving biotic and abiotic stress of plants [5,6,7,8]. Pseudomonas sp. affects AM fungi, functioning by influencing root cell permeability and root exudation of mycorrhizal plants, as well as the entrance of fungi into the host root and phytohormone production, by alleviating the adverse effects of environmental parameters on hyphal growth, and by stimulating the growth of plant root hairs [9,10]. AM fungi and their bacteria, Pseudomonas sp., stimulate the growth and development of sesame plants and increase the content of sesamin in the seeds [11]. The Pseudomonas sp. strain DSMZ 13134 provides resistance to pathogens and improves the growth and yield in barley plants [12] Inoculation with F. mosseae + P. fluorescens increases the shoot and root P content and root N content and increases the celery yield by increasing the leafstalk length [2].
In previous studies, a microhabitat, so-called biochar, as a soil amendment, provides numerous pore spaces for soil microorganisms [13,14,15]. The biochar application affects AM fungi by changing the microbial community structure, including the AM fungi itself, as well as microbial activity, by providing a favourable microhabitat [13,16,17]. The extraradical hyphae of AM fungi extend into biochar and sporulates inside the pore spaces [18], thereby increasing plant P uptake [16,19]. The potential mechanisms of biochar are the modification of nutrient availability and change in the related microbe community reviewed by [20]. The application of AM fungi with biochar enhanced root mycorrhizal colonization and plant performance, including the yield and nutrient uptake [14,21]. The hyphae of AM fungi contact the biochar surfaces, permitting the uptake of 33P and its subsequent translocation to the associated host roots. Thus, the direct access of fungal hyphae to biochar surfaces resulted in six times more 33P translocation to the host roots than in systems where a mesh prevented hyphal contact with the biochar [22]. The plant root architecture is a major factor determining biomass productivity [23]. Biochar almost doubled the root biomass, with more extensive and wide root systems, including higher specific surface areas, branching, and fine roots [23]. Significantly larger barley root biomass was observed after the amendment of biochar in sandy soils under laboratory conditions [23,24].
The combined application of biochar and Pseudomonas aeruginosa had a positive effect on the growth and yield of rice plants [25]. The Pseudomonas sp. strain DSMZ 13134 is biologically active, and it can colonize the roots of treated plants and stimulate the plant’s defence system and growth, resulting in healthier and stronger plants and an often-increased crop yield. Moreover, it can be applied to a wide range of plants, including potato, lettuce, tomato, cucumber, zucchini, and grass [12]. This beneficial helper bacteria may affect the symbiotic effectiveness as a third partner with AM fungi and the host plant, improving the plant’s P nutrition. We hypothesized that AM fungi and the Pseudomonas sp. strain DSMZ 13134 associated with biochar will interact additively on plant growth, root growth, and P nutrition uptake. The combination of treatments will result in a higher plant growth than each single factor alone, especially with low P availability. To investigate the effects of AM fungi, as a main effect, and the interaction effects of Pseudomonas sp. strain DSMZ 13134 and biochar on celery plants, we tested a main factorial arrangement to justify these interaction factors in the growth and phosphorus performance of celery, as well as to gain knowledge of the practical use of AM fungi in celery production under the substrate and soil conditions.
2. Materials and Methods
2.1. Plant Materials and Experimental Set Up
The experiment was conducted at the greenhouse of the China Agriculture University. The treatments included AM fungi, Pseudomonas sp., and biochar, either alone or combined, at two levels of P fertilization. There were 14 treatments, consisting of 7 combinations (untreated (Control); Pseudomonas sp. strain DSMZ 13134 (Pro); AM fungi (AM); AM fungi + Pseudomonas sp. (AP); biochar (Bio); AM fungi + biochar (AB); and AM fungi + biochar + Pseudomonas sp. (ABP)) arranged under high P (high P) and low P (50% of high P) levels of fertilization growing in mixed commercial substrates (Table 1), and 7 treatments with high P fertilization under the soil condition. Each treatment condition had 7 replicates.
Table 1.
Nutrients of biochar and N, P, and K nutrient additives in the pot experiment.
The seedlings of celery plants were transplanted into 2.5-L pots filled with a mixture of 2-L substrates of steam-sterilized vermiculite/peat (1:2 in v/v), or heat-sterilized soil. The peat was sphagnum peat moss (a long-fibred brown peat moss) that was commercially available as Pindstrup™ Substrate (Pindstrup Mosebrug A/S, Ryomgaard, Denmark), free from bio-effectors. The vermiculite/peat substrates are commonly used in celery soilless production in China at pH 6.0. The soil for the study was a loess subsoil collected from the deep layer of a Luvisol (loamy sand) subsoil from the Experiment Station, China Agricultural University, Beijing, China (lat. 40°02′ N, long. 116°20′ E) with low nutrition availability, little organic matter and pH 7.0 (water). This subsoil was passed through a 2-mm sieve and heated at 85 °C for 48 h for sterilization. The nutrient properties of the substrates and soil are listed in Table 1.
Fifty grams of sand AM fungal inoculum of Funneliformis mosseae (previous Glomus mosseae, propagated in our lab), with approximately 200 spores per gram, were roughly mixed with the substrates in each pot with the AM fungi treatments. Thirty grams of biochar were roughly mixed with the substrates in each pot with biochar treatments. A 10-ml solution of Pseudomonas sp. strain DSMZ 13134 (provided by the Proradix® producing company Sourcon-Padena GmbH & Co. KG.) with 2 × 107/mL CFU (Colony-Forming Units) was added into each pot with the treatments of Pseudomonas sp. A microbial wash of AM fungi was prepared by wet-sieving 250 g of each inoculum through a series of sieves into a final volume of 2500 ml. Each of the non-AM fungi-treated plants received 25 ml of the microbial wash. To ensure the nutritional equity, each pot received an equivalent of inactivated Pseudomonas sp. (strain DSMZ 13134) solution or AM fungi inoculum without Pseudomonas or AM treatment. Biochar was pyrolyzed from maize straw at 360 °C [15], and its basic chemical properties are listed in Table 1.
Unified celery seedlings cultivated with the same method were randomly transplanted into the pots. In each pot, two seedlings were transplanted and thinned to one after 7 days of recovery. Plants were fertilized with a nutrient solution modified by Hoagland and Arnon [26] that supported the growth of celery plants. The following fertilization was based on substrate (per liter) and dry soil (per kilogram): 160 mg of N added salt as Ca(NO3)2∙4H2O; 30 or 60 mg of P as KH2PO4; 200 mg of K as K2SO4; 100 mg of Mg as MgSO4 7H2O; 10.4 mg of Fe as Fe-EDTA; 10 mg of Zn as ZnSO4 7H2O; and 10 mg of Cu as CuSO4 5H2O based on dry substrates. The pH of the nutrient solution was adjusted to 5.8. The low and high P (high P level) treatments had P levels of 30 mg L−1 and 60 mg L−1, respectively, with the substrate treatments, and high P at 60 mg kg−1 with the soil treatments [27].
The plants were irrigated every day, according to the amount of water loss balance for each pot. In total, 147 pots were placed in the greenhouse and were randomly rotated every day to avoid the variation caused by position. The plants were grown in a solar greenhouse with day/night temperature of 22 ± 2 °C/16 ± 2 °C, respectively.
2.2. Biomass, Nutrient, Root Growth and Colonization Analysis
The plants were harvested after 8 weeks of transplanting, and the shoots were oven dried for 48 h at 70 °C to determine the biomass. The roots were separated into 2 parts. One part was dried to determine the biomass, and the other part was soaked in 30% alcohol to analyse the root length, surface area, and volume and rates of AM fungi colonization. The total root length, surface area, and volume per plant were determined with Epson Perfection V800 Photo (Epson Seiko Epson Corporation, Nagano Prefecture, Suwa, Japan), and software of the Dual Lens system, which was specifically developed to analyse pictures of root stocks. The shoot N and P concentrations were measured using a DC plasma Ecelle Spectrometer (Beckman Instruments) and the Kjedldahl digestion method. The root colonization rate was determined using the method as described by Koske and Gemma (1989) and Giovannetti and Mosse (1980). The root subsamples were cut into 1-cm pieces and cleaned in 1 M KOH solution at 90 °C for 40 min, then acidified in 1% HCL for 3 min, stained with 0.05% trypan blue at 90 °C for 7 min, and destained in acidified glycerol [28]. One hundred segments were put into a 9-mm petri dish to observe the AM fungi colonization under stereo microscope with maximum magnification of 180x the grid-line intersect method was used in the quantification of colonization [29]. Each sample was counted 3 times.
2.3. Statistical Analysis
The data were recorded in MS Excel and analysed by IBM SPSS Statistics. The differences between the means were analysed via one way-ANOVA followed by LSD tests (p ≤ 0.05). Univariate analysis of variance was used to analyse the main effects of AM fungi and the interaction effects of Pseudomonas sp. and/or biochar on celery plants under different P fertilization levels.
3. Results
3.1. Root Growth and Morphology of Plants
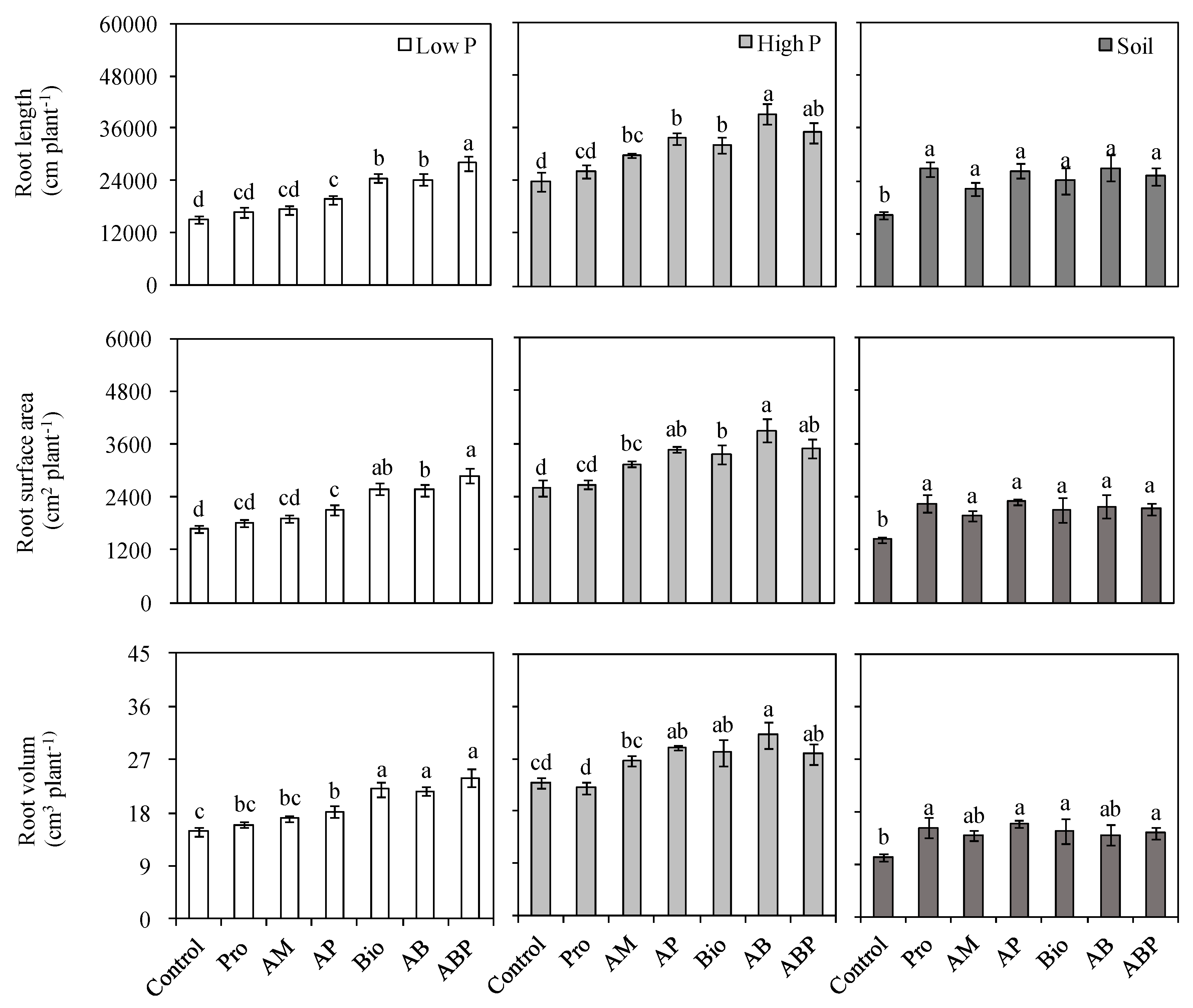
The root length, surface area, volume, and root biomass accumulation per plant were significantly increased due to treatments with AP (AM fungi + Pseudomonas sp.), Bio (biochar), AB (AM fungi + biochar), and ABP (AM fungi + Pseudomonas sp. + biochar) at both P levels with substrate (Figure 1). At the low P level, the total root lengths increased by factors from 30% to 87% after treatments with AP, Bio, AB and ABP; at the high P level, these values were 41% to 46%. Similarly, at the low P level, the total root surface area increased by factors of 27% to 73% after treatment with AP, Bio, AB, and ABP; at the high P level, these values were 33% to 50%. The total root volumes increased by factors of 23% to 61% after treatment with AM, AP, Bio, AB, and ABP, at the low P level, and by 26% to 36% after treatment with the high P level (Figure 1).
Figure 1.
Root length, surface, and volume of different treatments under two phosphorus conditions. Low P and High P mean low and high phosphorus conditions, respectively. Different letters mean significant differences (p ≤ 0.05) among different treatments after ANOVA and LSD tests. The bars represent means ± SE (n = 7). Control, untreated; Pro (Pseudomonas sp. strain DSMZ 13134); AM (AM fungi); AP (AM fungi + Pseudomonas sp. AP); Bio (biochar); AB (AM fungi + biochar); ABP (AM fungi + biochar + Pseudomonas sp.). High P is fertilized with 60 mg L−1 phosphorus, low P is 30 mg L−1.
Under the soil condition, the root lengths, surface areas, and volumes were significantly increased due to the inoculation of AM fungi and/or Pseudomonas sp., especially in the presence of biochar (Figure 1).
A strong linear correlation (R2 = 0.96 with low P and R2 = 0.70 with high P) between the root length and shoot phosphorus was found in the present study (Figure 2).
Figure 2.
Relationship between the root length and shoot P uptake at low and high P. Low P and High P mean low and high phosphorus conditions, respectively. Different letters mean significant differences (p ≤ 0.05) among different treatments after ANOVA and LSD tests. Bars represent means ± SE (n = 7).
3.2. Phosphorus and Nitrogen Uptake
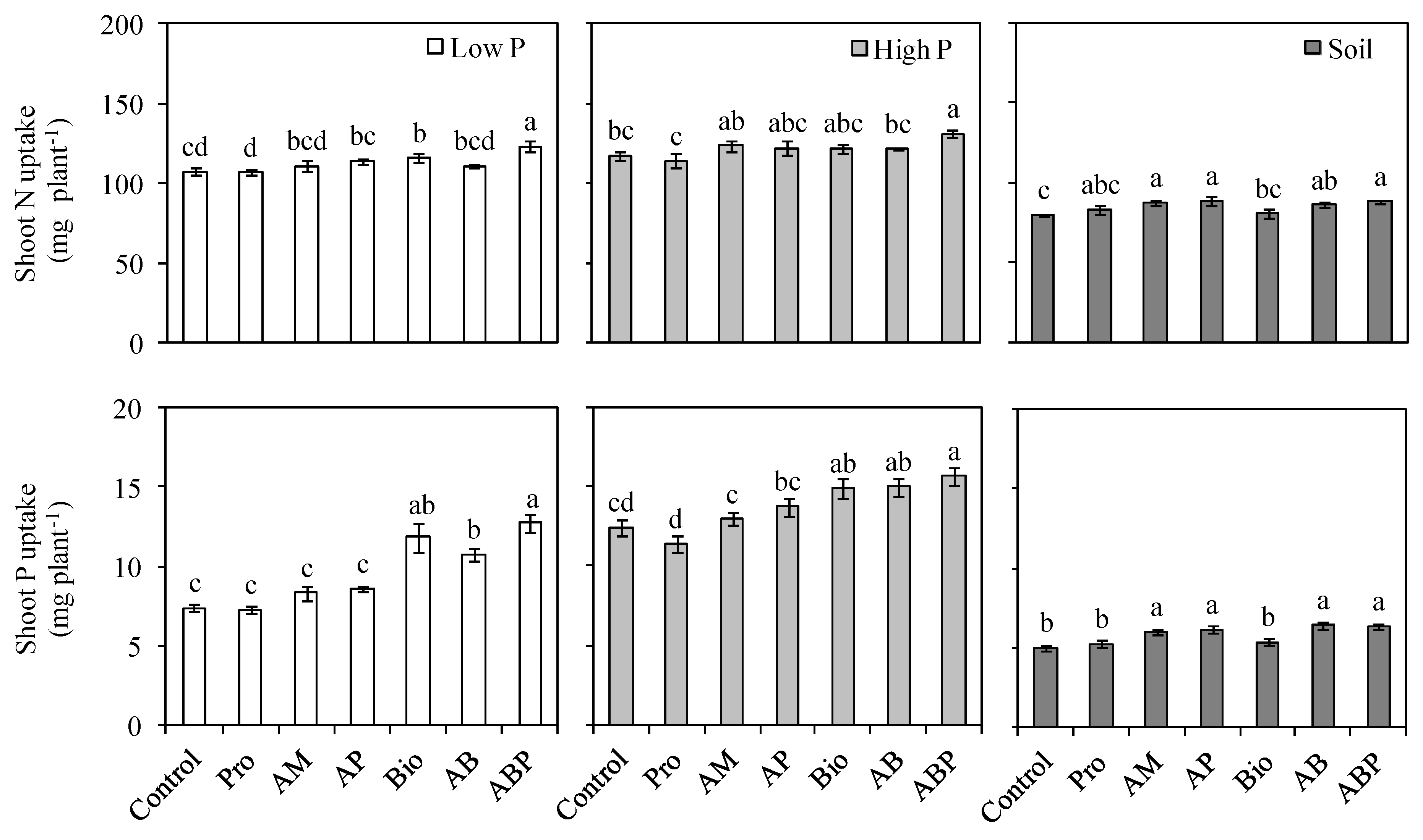
The P concentration in the shoot fraction showed a significant improvement with biochar additives, as well as AM fungi and/or Pseudomonas sp., regardless of the P fertilization level (Table 2). Moreover, the P content in the plant shoot fractions was significantly influenced by the additives of biochar alone or in combination with AM fungi and/or Pseudomonas sp. (Figure 3). Herein, the ABP treatments showed the highest value of the P content in shoot tissue at both P levels. At low P fertilization, the ABP treatment had the highest P concentration and uptake, with 24.5% and 72.1% increases, respectively, followed by the biochar treatment, with 23.3% and 60.4% increases, respectively, and the AB treatment, with 10.5% and 45.5% increases, respectively (Table 2, Figure 3). Under high P conditions, the shoot P concentration was only significantly affected by biochar; however, the shoot P uptake was significantly affected by treatments with AM fungi, Bio, AB, and ABP (Figure 3). ABP treatment had the highest P concentration and uptake values, with 19.9% and 25.6% increases, respectively, as well as biochar alone with 18.4% and 19.6%, respectively, and AB with 16.5% and 20.3%, respectively, with this high P fertilization (Figure 3).
Table 2.
Effects of AM fungi, Pseudomonas sp., and biochar on the shoot N concentration and shoot P concentration under two phosphorus condition levels.
Figure 3.
Shoot N and P uptake of different treatments under two phosphorus conditions. Low P and High P mean low and high phosphorus conditions, respectively. Different letters mean significant differences (p ≤ 0.05) among different treatments after ANOVA and LSD tests. Bars represent means ± SE (n = 7). Control, untreated; Pro (Pseudomonas sp. strain DSMZ 13134); AM (AM fungi); AP (AM fungi + Pseudomonas sp. AP); Bio (biochar); AB (AM fungi + biochar); ABP (AM fungi + biochar + Pseudomonas sp.). High P is fertilized with 60 mg L−1 phosphorus, and low P with 30 mg L−1.
The N content in the plant shoot fractions was only slightly influenced by treatment with the combination of AM fungi, biochar, and Pseudomonas sp. (ABP) at both P levels (Figure 3). When growing in soil, the shoot N concentration of bio-effectors treated plants were not different with control. The P concentration was only increased due to the treatment of AB from that of the control (Table 2). However, the soil condition, and the N and P uptake levels were significantly increased due to this inoculation of AM fungi and/or Pseudomonas sp., combined with biochar (Figure 3), but this increase was not reflected in the biomass (Table 3).
Table 3.
Effects of AM fungi, Pseudomonas sp., and biochar on biomass under two phosphorus condition levels.
3.3. Plant Growth and Root Colonization Rates of AM Fungi
The biomass of celery plants was much lower at the low P fertilization than that of high P fertilization. (Table 3). Compared with the control, the shoot, root, and total plant biomasses increased by 29.4%,17.9%, and 25.6%, respectively, with Bio treatment; 31.6%, 11.5%, and 26.0%, respectively, with AB; and 38.6%, 27.5%, and 35.3%, respectively, with ABP. The absence of biochar in the application of AM fungi and/or Pseudomonas sp. caused little change in the biomass at both P levels (Table 3). In plants inoculated with Pseudomonas sp. alone, the total biomass growth was even decreased under high P fertilization. Under the soil condition, the shoot biomass increased due to treatments with AP, AM, and ABP, while the root biomass and total plant biomass were not influenced (Table 3).
The root colonization rates of AM fungi were analysed for all treatments, including control plants which without inoculation and no colonization. The colonization rate of mycorrhizal plants reduced with a high P level compared with those at a low P level (Figure 4). Under the low P condition, root colonization was significantly induced by the interactions combining all three aspects of AM fungi, Pseudomonas sp., and biochar (ABP treatment) with a 19.8% increase compared with AM alone; however, all treatments showed no difference under the high P condition (Figure 4). Under the soil condition, the colonization rates of treatment of AP and ABP were influenced compared with AM fungi treated alone (Figure 4).
Figure 4.
High P indicates high P fertilization, and low P indicates 50% of the high P in substrates. Different letters mean significant differences (p ≤ 0.05) among different treatments after ANOVA and LSD tests. Bars represent means ± SE (n = 7). Control, untreated; Pro (Pseudomonas sp. strain DSMZ 13134); AM (AM fungi); AP (AM fungi + Pseudomonas sp. AP); Bio (biochar); AB (AM fungi + biochar); ABP (AM fungi + biochar + Pseudomonas sp.). High P is fertilized with 60 mg L−1 phosphorus, and low P with 30 mg L−1.
4. Discussion
4.1. Root Morphology and Phosphorus Uptake
In the present study, the root morphology was more affected than biomass growth (Figure 1; Table 3). The root length, surface area, and volume were significantly increased following treatments with AP, Bio, AB, and ABP compared with that following treatment with Pseudomonas sp. or AM fungi alone at both P levels. Inoculation with AM fungi alone showed improved root length and surface area with high P fertilization (Figure 1). AM fungi colonization also demonstrated enhanced root branching, as well as enhanced root length, in plants such as leek, Vitis vinifera and carob [30,31,32]. The complementary relationship between the root architecture and AM fungi colonization in the field was reported by [33]. In the present study, the root length, surface area, and volume were more pronounced due to the presence of biochar additives than aspects of the microorganisms, AM fungi, and/or Pseudomonas sp. (Figure 1). Biochar added at high rates increased the specific root length and decreased both the root diameter and root tissue mass density, indicating fine root proliferation [34]. The combined addition of biochar led to an approximately 20%–30% increase in the grain yield compared with that using fertilizer alone [35]. Thus, changes in the root morphology may serve as an important indicator induced by biochar [34]. In the present study, a more extensive root system, characterized by greater root elongation and root volume, and lateral root branching, likely contributed to the observed growth improvements and nutrient uptake increases in the presence of biochar (Figure 1 and Figure 2). It was found that biochar at 2% concentrations significantly increased the density of roots in the 40- to 80-cm depth interval [24]. However, 1% concentrations of biochar had the most positive effect on root penetration, resulting in the highest root density (54% coverage compared with 33% without biochar) and an increase in the spring barley grain yield (22%) [24]. In the present study, we found that the plant root length was closely linearly correlated with P accumulation in shoots in low P (R2 = 0.96) and high P (R2 = 0.70) (Figure 2). The increased root length, surface area, and volume were substantial benefits caused by the addition of biochar in the present study, as a result of P uptake together with the increase in the biomass of celery.
Studies on biochar have focused on aboveground plant biomass or production, but fewer studies have focused on roots, mainly due to the difficulties in observing and studying roots [34]. The root dry weight increased in the Bio treatment followed by AB, where it was slightly higher than the control under the high P level (Table 3). The root growth of ABP was significantly enhanced from 2.85 ± 0.09 g to 3.64 ± 0.22 g per plant under the low P condition, and it was even higher than the control under the high P condition. Therefore, there are synergistic effects of AM fungi, Pseudomonas sp., and biochar in increasing the plant growth. This low P related to decreased plant growth, including the biomass of the shoots and roots, was significantly recovered due to the treatments, which were all related to biochar, as in the Bio, AB, and ABP treatments. Biochar can enhance root growth and act as a nutrient resource; the previous study found that 60% of the contribution to yield and biomass increases was due to nutrients in the biochar additive, while the other 40% might be due to improvements in the rhizosphere [15].
Although some Pseudomonas species are generally recognized to release the synthesis of plant growth-promoting substances and production of antibiotics [11], in the present study, the effect of the Pseudomonas sp. strain 13134 alone on root morphology was more pronounced under the soil condition rather than under the substrate condition (Figure 1).
4.2. Nutrient Uptake and Plant Growth Responses
In the present study, AM fungi associated with Pseudomonas sp. combined with biochar significantly increased the biomass of celery plants, with the increase in both the shoot and root biomass under low P conditions. However, with high P fertilization, this tendency was not observed (Table 3). These data indicated that biochar, AM fungi, and/or Pseudomonas sp. were more pronounced in increasing the growth of celery plants under low P fertilization rather than high P fertilization. It was also reported that the enhancement of plant growth responses was due to biochar and an addictive effect of the combination with AM fungi in lettuce under nutrient-poor conditions [36]. The application of biochar could affect soil physical and chemical properties and change the microbial community. These features may improve the soil environment, which is beneficial to either the host plant or AM fungi [37]. Furthermore, the biomass was increased under the treatment that combined AM fungi, Pseudomonas sp., and biochar (ABP), particularly regarding root growth, rather than under those of AB and Bio (Table 3). ABP treatment had the highest shoot dry weight, which increased from 6.69 g to 9.28 g per plant with 38.6% promotion, and also had the highest root growth and total biomass (Table 3). The biomass accumulation of ABP treatment with a low P level demonstrated almost the same level as that of the control with a high P level (Table 3). This finding implied that the deficiency of P was substantially recovered via the combination of biochar and dual inoculation with AM fungi and Pseudomonas sp. Similar effects have been observed, with dual inoculations of AM fungi and Pseudomonas fluorescens increasing plant growth [2]. These results suggest that an optimized combination of these microorganisms, together with biochar, may have opportunities to gain synergistic effects in the promotion of plant performance, particularly under limited P conditions.
The Pseudomonas sp. (strain DSMZ 13134)-inoculated plants alone showed no significant enhancement in growth and yield with both P fertilization levels under both substrate and soil conditions (Table 3). This result is different from a field trial study that observed an increase in the yield and straw weight by up to 20%, due to the inoculation of Pseudomonas sp. strain DSMZ 13134 [12]. Additionally, the inoculation of Pseudomonas sp. (KCIGC01) NBRC109613 alone tended to increase the shoot length and sesamin content of sesame [11]. Other studies reported the effects of the benefiting bacteria on AM fungi and included their formation, functioning, and nutrient availability [10]. These causative mechanisms are yet to be fully elucidated. The experimental results may be variable and dependent on the experimental configuration, soil properties, and strain adaptability to live in the soil environment and conditions, or there may be microorganism–plant–environment specifics.
Although the N concentration was diluted due to the biomass growth, the P concentration increased in both P fertilization levels (Table 3, Figure 3). In particular, the shoot P uptake of ABP with low P fertilization was the same level as that of the control with high P fertilization (Figure 3). As the shoot N and P accumulations were significantly improved by treatments with AB, Bio, and ABP, the growth response may be due to the improvement of N and P uptake with the treatments of Bio, AB, and ABP. This result indicated that the combination of AM fungi, Pseudomonas sp. DSMZ 13134, and biochar obtained accumulative effects and stimulated the P efficiency of plants, resulting in a benefit to the environment for plants and reduced utilization of P fertilizer.
4.3. Colonization of AM Fungi Rate
In the present study, with no limitation of plant nutrition, only in the presence of biochar did the benefit of AM fungi formation rates show substantial promotion. AP treatment was more pronounced under the soil condition (Figure 4). Pseudomonas sp., as a mycorrhizal helper bacterial species, promotes the activity and development of AM fungi [10,38,39] reported that Glomus sp. and Pseudomonas sp. dual inoculation enhanced root colonization. Another study found that the AM fungi colonization rate was increased from 39.2% ± 5.8% to 66.4% ± 4.4% by the cooperation of partner bacteria [11]. The rate of sesame root colonization in Glomeas clarum IK97 + Pseudomonas sp.-inoculated plants (66.4% ± 4.4%) was higher than that in G. clarum IK97-alone-inoculated plants (39.2% ± 5.8%) [11]. Some Pseudomonas sp. can attach to spore germination and hyphae of AM fungi, as shown with Gi. margarita in vitro [40]. In the present study, improvement in the colonization rate was observed only with ABP treatment under the low P condition (Figure 4). The dual inoculation of AM fungi and Pseudomonas sp. did not significantly increase the colonization rate; however, this impact was more pronounced when combined with biochar (Figure 4). The combination of AM fungi, Pseudomonas sp., and biochar under the low P condition showed significant increases compared with AM fungi and/or Pseudomonas alone. The potential importance of biochar incorporation on mycorrhizal fungi has also been noted because biochar provided a physical niche devoid of fungal grazers [37]. The addition of biochar had an impact on the soil bacterial communities and developed the abundance of nutrient supplementation of biochar as a bacterial inoculum carrier [41]. The biochar-induced increase in mycorrhizal colonization was associated with the increased growth of extraradical AM fungal hyphae in pasture soil under water-stressed conditions [42]. The potential benefits of biochar are possibly due to both the improvement of nutrients and plants depending on symbiotic microorganisms [36].
5. Conclusions
Our results suggest that the combinations of AM fungi, Pseudomonas sp., and biochar can substantially stimulate the root length, surface area and root volume of celery plants, consequently increasing the P uptake and further influencing the growth of plants. In the present study, the root length, surface area, and volume are significantly influenced, even without the same tendency as the root biomass, due to the combination. This result indicated that AM fungi together with Pseudomonas and/or biochar change the root morphology under both deficient and high P availability levels. The root length was linearly correlated with P uptake, a finding that was closely related to the growth potential. The uptake of P and N in shoot fractions was significantly improved by AM fungi and Pseudomonas sp., and with the presence of biochar, regardless of the P level. Specifically, 50% of high P availability was recovered via the combination of the three treatments. Together, these results indicate that the resource acquisition was favoured by increasing the P fertilizer efficiency via biochar, AM fungi, Pseudomonas sp., and root interactions, similar to the results of altering the root morphology of the celery plant.
This study contributes to a better understanding of the synergistic effects of the combined application of biochar and AM fungi together with Pseudomonas sp. on plant growth and nutrition uptake. Additionally, knowledge has been gained regarding the positive effects of biochar on the crop yield and the sites at which these beneficial effects can be expected, as well as the potential mechanisms to achieve agricultural benefits from biochar application.
Author Contributions
Formal analysis, Y.N. and Z.X.; funding acquisition, Z.X.; investigation, Y.N. and Z.L.; methodology, M.W.; project administration, Z.L.; resources, M.W.; writing—original draft, Y.N.; writing—review & editing, M.W. and Z.L.
Funding
Beijing Municipal Science and Technology Commission (D171100002017004).
Acknowledgments
We are grateful for the financial support from the project of Beijing Innovation Consortium of Agriculture Research System, project number BAIC01-2019, and the support of the Major Project of Beijing Municipal Science and Technology Commission (D171100002017004) and the Special Fund for National Agricultural Product Quality and Safety Risk Assessment (GJFP201700204). We are also grateful for the fruitful discussion and comments of Prof. Neumann Günter from Hohenheim University.
Conflicts of Interest
The authors declare no conflict of interest.
References
- Malhotra, S.K. Handbook of Herbs and Spices; Woodhead Publishing: Cambridge, UK, 2006; Volume 3, pp. 317–336. [Google Scholar]
- Tanwar, A.; Yadav, K.; Prasad, K.; Aggarwal, A. Biological Amendments on Growth, Nutritional Quality, and Yield of Celery. Int. J. Veg. Sci. 2013, 19, 228–239. [Google Scholar] [CrossRef]
- Govindarajulu, M.; Pfeffer, P.E.; Jin, H.R.; Abubaker, J.; Douds, D.D.; Allen, J.W.; Bucking, H.; Lammers, P.J.; Shachar-Hill, Y. Nitrogen transfer in the arbuscular mycorrhizal symbiosis. Nature 2005, 435, 819–823. [Google Scholar] [CrossRef]
- Estrada, B.; Aroca, R.; Barea, J.M. Native arbuscular mycorrhizal fungi isolated from a saline habitat improved maize antioxidant systems and plant tolerance to salinity. Plant Sci. 2013, 2013, 42–51. [Google Scholar] [CrossRef] [PubMed]
- Narasimhan, K.; Basheer, C.; Bajic, V.B.; Swarup, S. Enhancement of plant-microbe interactions using a rhizosphere metabolomics-driven approach and its application in the removal of polychlorinated biphenyls. Plant Physiol. 2003, 132, 146–153. [Google Scholar] [CrossRef] [PubMed]
- Chithrashree, A.C.; Udayashankar, S.; Chandra Nayaka, M.S.; Srinivas, R.C. Plant growth-promoting rhizobacteria mediate induced systemic resistance in rice against bacterial leaf blight caused by Xanthomonas oryzae pv. Oryzae. Biol. Control 2011, 59, 114–122. [Google Scholar] [CrossRef]
- Dey, R.; Pal, K.K.; Bhatt, D.M.; Chauhan, S.M. Growth promotion and yield enhancement of peanut (Arachis hypogaea L.) by application of plant growth-promoting rhizobacteria. Microbiol. Res. 2004, 159, 371–394. [Google Scholar] [CrossRef] [PubMed]
- Kumar, A.; Maurya, B.R.; Raghuwanshi, R. Isolation and characterization of PGPR and their effect on growth, yield and nutrient content in wheat (Triticum aestivum L.). Biocatal. Agric. Biotechnol. 2014, 3, 121–128. [Google Scholar] [CrossRef]
- Barea, J.M.; Azcón-Aguilar, C. Microbial co-operation in the rhizosphere. J. Exp. Bot. 2005, 56, 1761–1778. [Google Scholar] [CrossRef] [PubMed]
- Frey-Klett, P.; Garbaye, J.; Tarkka, M. The mycorrhiza helper bacteria revisited. New Phytol. 2007, 176, 22–36. [Google Scholar] [CrossRef]
- Horii, S.; Ishii, T. Effect of arbuscular mycorrhizal fungi and their partner bacteria on the growth of Sesame plants and the concentration of Sesamin in the seeds. Am. J. Plant Sci. 2014, 5, 3066–3072. [Google Scholar] [CrossRef]
- Froehlich, A.; Buddrus-Schiemann, K.; Durner, J.; Hartmann, A.; von Rad, U. Response of barley to root colonization by Pseudomonas sp. DSMZ 13134 under laboratory, greenhouse, and field conditions. J. Plant Interact. 2012, 7, 1–9. [Google Scholar] [CrossRef]
- Kolton, M.; Meller, H.Y.; Pasternak, Z.; Graber, E.R.; Elad, Y.; Cytryn, E. Impact of Biochar Application to Soil on the Root-Associated Bacterial Community Structure of Fully Developed Greenhouse Pepper Plants. Appl. Environ. Microbiol. 2011, 77, 4924–4930. [Google Scholar] [CrossRef] [PubMed]
- Douds Jr, D.D.; Lee, J.; Uknalis, J.; Boateng, A.A.; Zieglerulsh, C. Pelletized Biochar as a Carrier for AM Fungi in the On-Farm System of Inoculum Production in Compost and Vermiculite Mixtures. Compost Sci. Util. 2014, 22, 253–262. [Google Scholar] [CrossRef]
- Li, Z.F.; Wang, Q.; Zhang, W.J.; Du, Z.L.; He, X.H.; Zhang, Q.Z. Contributions of nutrients in biochar to increase spinach production: A pot experiment. Commun. Soil Sci. Plant Anal. 2016, 47, 2003–2007. [Google Scholar] [CrossRef]
- Ishii, T.; Kadoya, K. Effects of Charcoal as a Soil Conditioner on Citrus Growth and Vesicular-Arbuscular Mycorrhizal Development. J. Jpn. Soc. Hortic. Sci. 1994, 63, 529–535. [Google Scholar] [CrossRef]
- Ijaz, M.; Sher, A.; Sattar, A.; Naeem, W.H.M. Cumulative effect of biochar, microbes and herbicide on the growth and yield of wheat (Triticum aestivum L.). Pak. J. Life Soc. Sci. 2015, 13, 73–78. [Google Scholar]
- Ogawa, M.; Okimori, Y.; Krull, E. Pioneering works in biochar research, Japan. Soil Res. 2010, 48, 489–500. [Google Scholar] [CrossRef]
- Solaiman, Z.M.; Blackwell, P.; Abbott, L.K.; Storer, P.; Krull, E. Direct and residual effect of biochar application on mycorrhizal root colonisation, growth and nutrition of wheat. Aust. J. Soil Res. 2010, 48, 546–554. [Google Scholar] [CrossRef]
- Warnock, D.D.; Lehmann, J.; Kuyper, T.W.; Rillig, M.C. Mycorrhizal responses to biochar in soil—Concepts and mechanisms. Plant Soil 2007, 300, 9–20. [Google Scholar] [CrossRef]
- Conversa, G.; Bonasia, A.; Lazzizera, C.; Elia, A. Influence of biochar, mycorrhizal inoculation, and fertilizer rate on growth and flowering of Pelargonium (Pelargonium zonale L.) plants. Front. Plant Sci. 2015, 6. [Google Scholar] [CrossRef]
- Hammer, E.C.; Balogh-Brunstad, Z.; Jakobsen, I.; Olsson, P.A.; Stipp, S.L.S.; Rillig, M.C. A mycorrhizal fungus grows on biochar and captures phosphorus from its surfaces. Soil Biol. Biochem. 2014, 77, 252–260. [Google Scholar] [CrossRef]
- Abiven, S.; Hund, A.; Martinsen, V.; Cornelissen, G. Biochar amendment increases maize root surface areas and branching: A shovelomics study in zambia. Plant Soil 2015, 395, 1–11. [Google Scholar] [CrossRef]
- Bruun, E.W.; Petersen, C.T.; Hansen, E.; Holm, J.K.; Hauggaardnielsen, H. Biochar amendment to coarse sandy subsoil improves root growth and increases water retention. Soil Use Manag. 2014, 30, 109–118. [Google Scholar] [CrossRef]
- Singh, A.P.; Singh, S.K.; Singh, C.M. Effect of Biochar Along with Plant Growth Promoting Rhizobacteria (PGPR) on Growth and Total Dry Matter Yield of Rice. J. Pure Appl. Microbio. 2015, 9, 1627–1632. [Google Scholar]
- Hoagland, D.R.; Arnon, D.I. The Water-Culture Method for Growing Plants without Soil. Calif. Agric. Exp. Stn. Circ. 1950, 347, 1–32. [Google Scholar]
- Ngwene, B.; Gabriel, E.; George, E. Influence of different mineral nitrogen sources (NO3−-N vs. NH4+-N) on arbuscular mycorrhiza development and N transfer in a Glomus intraradices–cowpea symbiosis. Mycorrhiza 2013, 23, 107–117. [Google Scholar] [CrossRef] [PubMed]
- Koske, R.E.; Gemma, J.N. A modified procedure for staining roots to detect VA mycorrhizas. Mycol. Res. 1989, 92, 486–505. [Google Scholar] [CrossRef]
- Giovannetti, M.; Mosse, B. An evaluation of techniques for measuring vesicular arbuscular mycorrhizal infection in roots. New Phytol. 1980, 84, 489–500. [Google Scholar] [CrossRef]
- Berta, G.; Fusconi, A.; Trotta, A.; Scannerini, S. Morphogenetic modifications induced by the mycorrhizal fungus Glomus strain E3 in the root system of Allium porrum L. New Phytol. 1990, 114, 207–215. [Google Scholar] [CrossRef]
- Schellenbaum, L.; Berta, G.; Ravolanirina, F.; Tisserant, B.; Gianinazzi, S.; Fitter, A.H. Influence of endomycorrhizal infection on root morphology in a micropropagated woody plant species (Vitis vinifera L.). Ann. Bot. 1991, 68, 135–141. [Google Scholar] [CrossRef]
- Cruz, C.; Green, J.J.; Watson, C.A.; Wilson, F.; Martins-Loucao, M.A. Functional aspects of root architecture and mycorrhizal inoculation with respect to nutrient uptake capacity. Mycorrhiza 2004, 14, 177–184. [Google Scholar] [CrossRef] [PubMed]
- Wang, X.; Pan, Q.; Chen, F.; Yan, X.; Liao, H. Effects of co-inoculation with arbuscular mycorrhizal fungi and rhizobia on soybean growth as related to root architecture and availability of N and P. Mycorrhiza 2011, 21, 173–181. [Google Scholar] [CrossRef] [PubMed]
- Olmo, M.; Villar, R.; Salazar, P.; Alburquerque, J.A. Changes in soil nutrient availability explain biochar’s impact on wheat root development. Plant Soil 2016, 399, 333–343. [Google Scholar] [CrossRef]
- Alburquerque, J.A.; Salazar, P.; Barrón, V.; Torrent, J.; Campillo, M.C.; Gallardo, A.; Villar, R. Enhanced wheat yield by biochar addition under different mineral fertilization levels. Agron. Sustain. Dev. 2013, 33, 475–484. [Google Scholar] [CrossRef]
- Hammer, E.C.; Forstreuter, M.; Rillig, M.C.; Kohle, J. Biochar increases arbuscular mycorrhizal plant growth enhancement and ameliorates salinity stress. Appl. Soil Ecol. 2015, 96, 114–121. [Google Scholar] [CrossRef]
- Atkinson, C.J.; Fitzgerald, J.D.; Hipps, N.A. Potential mechanisms for achieving agricultural benefits from biochar application to temperate soils: A review. Plant Soil 2010, 337, 1–18. [Google Scholar] [CrossRef]
- Richardson, A.E.; Barea, J.; Mcneill, A.M.; Prigentcombaret, C. Acquisition of phosphorus and nitrogen in the rhizosphere and plant growth promotion by microorganisms. Plant Soil 2009, 321, 305–339. [Google Scholar] [CrossRef]
- Meyer, J.R.; Linderman, R.G. Response of Subterranean Clover to Dual Inoculation with Vesicular-Arbuscular Mycorrhizal Fungi and a Plant Growth-Promoting Bacterium, Pseudomonas putida. Soil Biol. Biochem. 1986, 18, 185–190. [Google Scholar] [CrossRef]
- Bianciotto, V.; Minerdi, D.; Perotto, S.; Bonfante, P. Cellular Interactions between Arbuscular Mycorrhizal Fungi and Rhizosphere Bacteria. Protoplasma 1996, 193, 123–131. [Google Scholar] [CrossRef]
- Sun, D.Q.; Hale, L.; Crowley, D. Nutrient supplementation of pinewood biochar for use as a bacterial inoculum carrier. Biol. Fertil. Soils 2016, 52, 515–522. [Google Scholar] [CrossRef]
- Mickan, B.S.; Abbott, L.K.; Stefanova, K.; Solaiman, Z.M. Interactions between biochar and mycorrhizal fungi in a water-stressed agricultural soil. Mycorrhiza 2016, 26, 1–10. [Google Scholar] [CrossRef] [PubMed]
© 2019 by the authors. Licensee MDPI, Basel, Switzerland. This article is an open access article distributed under the terms and conditions of the Creative Commons Attribution (CC BY) license (http://creativecommons.org/licenses/by/4.0/).



