Abstract
Background/Objectives: Metabolic syndrome (MetS) is a complex condition linking obesity, diabetes, and hypertension, representing a major challenge in clinical care. Its rising global prevalence, driven by urbanization, sedentary lifestyles, and dietary changes, underscores the need for effective management. This study aims to explore the genetic mechanisms behind MetS, including adiposity, inflammation, neurotransmitters, and β-cell function, to develop a prognostic tool for MetS risk. Methods: We genotyped 40 genetic variants across these pathways in 279 MetS patients and 397 healthy individuals. Using logistic regression, we evaluated the prognostic capability of a polygenic score model for MetS risk, both independently and with other factors like sex and age. Results: Logistic regression analysis identified 18 genetic variants significantly associated with MetS. The optimal predictive model used polygenic scores calculated with weights assigned to the 18 loci (AUC 82.5%, 95% CI 79.4–85.6%), with age and sex providing a minimal, non-significant improvement (AUC 83.3%, 95% CI 80.2–86.3%). The addition of the polygenic score significantly improved net reclassification (NRI = 1.03%, p = 3.42 × 10−50). Including all 40 variants did not enhance prediction (NRI = −0.11, p = 0.507). Conclusions: Polygenic scores could aid in predicting MetS risk and health outcomes, emphasizing the need for diagnostic tools tailored to specific populations. Additional research is warranted to corroborate these conclusions and explore the molecular mechanisms of MetS.
1. Introduction
Metabolic syndrome (MetS) encompasses a spectrum of interdependent pathophysiological conditions, which share common underlying mechanisms and mutually reinforce one another. These include visceral obesity, dyslipidemia, elevated blood pressure (BP), and altered glucose tolerance [1]. The global prevalence of MetS is rapidly increasing, driven not only by genetic predisposition but also by significant lifestyle changes associated with urbanization. The transition to urban environments often brings dietary shifts toward high-calorie, processed foods, reduced physical activity due to sedentary work and leisure habits, and greater life expectancies, all of which contribute to the rising burden of MetS [2]. The importance of MetS lies in its high prevalence and its association with elevated risks for type 2 diabetes (T2D) and its complications and coronary artery disease (CAD), along with its adverse effects on both longevity and health-related quality of life. Given the complexity of MetS, research often focuses on genes linked to adiposity, lipid metabolism, diabetes, and glycemic traits [3,4,5]. Previously, we identified several genes encoding neurotransmitters and inflammatory mediators associated with MetS and related conditions [6,7,8,9].
Subclinical inflammation is a critical hallmark of MetS, frequently indicated by increased concentrations of biomarkers including high-sensitivity C-reactive protein (hsCRP) [10], tumor necrosis factor receptor 1 (TNFR1), soluble tumor necrosis factor receptor 2 (sTNFR2), and leptin (LEP) [11]. Our recent research has highlighted associations between TNFSF1B rs1061624 and MetS [12]. Additionally, TNF rs1800629 has been linked to elevated TNF-α levels and albuminuria, an indicator of diabetic nephropathy [10]. Similarly, CRP rs2794521 has shown associations with hsCRP and a range of anthropometric and metabolic traits, including height, body mass index (BMI), waist-to-hip ratio (WHR), postprandial glucose, fasting insulin, and homeostatic model assessment of insulin resistance (HOMA-IR) [13]. Associations with MetS have also been observed for TMEM18 rs2860323 [14].
Recent genome-wide association studies (GWASs) have pinpointed loci linked to various metabolic phenotypes, further supporting the potential of polygenic risk scoring in predicting susceptibility to MetS [3]. Polygenic scores, which assess an individual’s genetic predisposition, have effectively demonstrated genetic susceptibility to MetS in children and adolescents, and even examined the interaction between adherence to a Mediterranean diet, adiposity, and MetS risk [15,16,17].
This study aims to leverage data on genetic associations within 40 key genes related to adiposity, inflammation, β-cell function, and neurotransmitter activity to construct a polygenic risk score that can predict susceptibility to MetS and its endophenotypes.
2. Materials and Methods
2.1. Study Group
This study was carried out following the principles outlined in the Declaration of Helsinki and received approval from the Local Ethical Committee of the Institute of Biochemistry and Genetics UFRC RAS (Protocol No 8, 14 March 2012). All participants provided their written informed consent.
This study involved 279 individuals with metabolic syndrome (MetS) and 397 healthy controls. The recruitment process and enrollment criteria are detailed elsewhere [8,12]. Briefly, the MetS criteria included a waist circumference exceeding 102 cm for men and 88 cm for women, blood pressure (BP) above 130/85 mmHg, fasting triglycerides (TGs) exceeding 1.7 mmol/L, fasting high-density lipoprotein (HDL) cholesterol below 1.03 mmol/L for men or 1.3 mmol/L for women, and fasting glucose (FG) above 5.6 mmol/L [7,18,19]. The control group participants exhibited no clinical or laboratory signs of metabolic conditions, no family history of diabetes, and were unrelated to the other study participants.
2.2. Clinical Measurements
The anthropometric measurements followed the WHO guidelines [20]. Body weight was recorded to the nearest kilogram with participants in light clothing, and height was measured to the nearest centimeter using a stadiometer. Waist circumference was assessed at the midpoint between the lower rib and iliac crest, and hip circumference was measured at the widest part of the hips. Body mass index (BMI) was calculated as weight in kilograms divided by height in squared meters (kg/m2), and the waist-to-hip ratio (WHR) was calculated as waist divided by hip circumference.
BP was taken three times on both arms after a five-minute rest, using a standard sphygmomanometer. Systolic (SBP) and diastolic blood pressure (DBP) were determined from Korotkoff sounds (phases I and V) [21]. Mean arterial pressure was calculated as two-thirds DBP plus one-third SBP, and pulse pressure was calculated as SBP minus DBP.
Fasting and postprandial blood samples were collected. Plasma glucose was measured via the glucose oxidase method, and insulin was measured by an electrochemiluminescence immunoassay. Insulin resistance was estimated using the homeostasis model assessment (HOMA-IR) [22]. HbA1c was assessed by high-performance liquid chromatography (ADAMS A1c HA-8182, Arkray, Inc., Kyoto, Japan), while lipid profiles (total cholesterol (TC), TGs, HDL, and low-density lipoprotein (LDL)), C-reactive protein (CRP), and tumor necrosis factor alpha (TNF-α) were measured using the standard photometric (Olympus, Hamburg, Germany), chemiluminescent (IMMULITE 2000, Siemens Medical Solutions Diagnostics, Deerfield, IL, USA), and ELISA (Vector-Best, Novosibirsk, Russia) methods. Additional biomarkers (albumin, alanine aminotransferase (ALT), aspartate aminotransferase (AST), gamma-glutamyl transferase (GGT), creatinine, uric acid) were analyzed on a Cobas Integra 400 plus system (Roche Diagnostics, Basel, Switzerland).
2.3. Genotyping
Peripheral blood samples were collected from all participants and processed for DNA extraction. DNA isolation procedures and genotyping were carried out using the established protocols referenced in previous studies [9,13,23,24,25,26,27,28,29]. The genetic variants included in this study were chosen based on the findings from phenome-wide association studies (PheWASs), which identified associations with metabolic traits, such as impaired glucose tolerance, atherosclerosis, adiposity, as well as related diseases, including inflammatory disorders. Genotyping was performed using real-time PCR (CFX96, Bio-Rad Laboratories, Hercules, CA, USA) with TaqMan assays (Thermo Fisher Scientific Inc., Waltham, MA, USA). To ensure data reliability, 5% of the genotyped samples were chosen at random for re-genotyping, with the results fully consistent with the original data.
2.4. Statistical Analysis
Associations between genetic variants and MetS traits, as well as clinical parameters, were evaluated using logistic or linear regression analyses under the additive genetic model with age and sex as covariates, implemented in PLINK 1.9 [30]. The additive model posits that the effect of carrying two risk alleles is double that of carrying one. To account for multiple testing, the false discovery rate (FDR) was managed using the Benjamini–Hochberg method [31], with statistical significance defined as a PFDR value less than 0.05.
Polygenic scores (both weighted and unweighted) were constructed for the genetic variants that showed significant associations with MetS in the study cohort based on the logistic regression results. Weighted scores used odds ratios (ORs), adjusted for age and sex, to assign weight to risk alleles. If the initial ORs were less than 1.0, the analysis was re-conducted with the alternative allele as the reference allele. Linkage equilibrium of variants on the same chromosome was assessed, and single nucleotide variants (SNVs) in linkage disequilibrium were not included in the calculation of polygenic scores.
To investigate the biological mechanisms underlying metabolic syndrome (MetS) endophenotypes and identify gene clusters associated with MetS and its traits, we utilized publicly available data from the UK Biobank, accessed via the Edinburgh Gene Atlas and PheWAS (phenome-wide association study) databases [32]. These datasets provided association results for genetic variants and phenotypic traits. We used the pheatmap R package to visualize clusters of associations among the studied genetic loci [33]. In the generated heatmap, columns represent gene clusters, rows correspond to distinct metabolic endophenotypes, and cell intensities reflect Z-scores aligned to the effect allele. This approach captures both the strength and direction of the associations between genetic variants within each cluster and the metabolic endophenotypes.
The prognostic value of the derived polygenic scores for MetS was evaluated through Receiver Operator Characteristic (ROC) analysis. Model performance was quantified using the area under the ROC curve (AUC). Predictive models for MetS were developed using the Epi: Statistical Analysis in Epidemiology [34] and pROC [35] R packages.
To assess the enhancement in risk prediction provided by incorporating additional parameters, the net reclassification index (NRI) was calculated [36]. Continuous NRI values were obtained using the nribins function from the nricens: NRI for Risk Prediction Models with Time to Event and Binary Response Data R package [37]. Bootstrapping was employed to calculate 95% confidence intervals for NRI.
3. Results
3.1. Association Analysis
The association analysis revealed 18 SNVs significantly linked to metabolic syndrome (MetS) (Table 1; full results available in Supplementary Table S1). Notably, the strongest associations were observed for CDKAL1 rs9295474*C (OR = 2.63 PFDR = 1.79 × 10−9), NPY2R rs1047214*C (OR = 2.12, PFDR = 1.50 × 10−7), ADRA2A rs1800544*G (OR = 2.18, PFDR = 3.98 × 10−6), and CHRM1 rs2067477*A (OR = 3.08 PFDR = 3.0110−5).
Table 1.
Loci significantly associated with metabolic syndrome.
Further analysis of the phenotypic traits in MetS patients highlighted significant associations with ADCY3 rs17799872 across various characteristics. These include anthropometric traits like height (β = −3.86, PFDR = 8.65 × 10−6), BMI (β = 2.16, PFDR = 4.38 × 10−13), waist circumference (β = 6.19, PFDR = 1.52 × 10−6), hip circumference (β = 3.99, PFDR = 0.002), and waist–hip ratio (β = 0.02, PFDR = 2.67 × 10−4). ADCY3 rs17799872 was also strongly associated with glycemic traits, including fasting glucose (β = 0.59, PFDR = 0.035), fasting insulin (β = 4.13, PFDR = 2.14 × 10−4), postprandial insulin (β = 5.75, PFDR = 0.001), and HOMA-IR (β = 1.48, PFDR = 2.69 × 10−4). Additionally, ADCY3 rs17799872 was associated with inflammatory markers such as erythrocyte sedimentation rate (β = 4.11, PFDR = 0.049), CRP (β = 1.06, PFDR = 1.10 × 10−4), TNF-α (β = 7.50, PFDR = 0.001), fibrinogen (β = 0.76, PFDR = 0.002), and albumin (β = −2.56, PFDR = 0.002). Other loci remaining significant after multiple testing corrections include ADRA2A rs1800544, which was linked to glycemic traits like HOMA-IR (β = 0.79, PFDR = 0.049) and postprandial insulin (β = 3.55, PFDR = 0.008), as well as HTR2C rs6318, associated with anthropometric traits including BMI (β = 1.29, PFDR = 4.00 × 10−4), height (β = −2.82, PFDR = 0.008), and waist circumference (β = 3.75, PFDR = 0.048) (Supplementary Table S2).
To deepen our insight into the biological mechanisms driving metabolic syndrome (MetS) endophenotypes and to identify gene clusters associated with MetS and its traits, we analyzed publicly available data from the UK Biobank, accessed through the Edinburgh Gene Atlas and PheWAS (phenome-wide association study) databases [32]. These resources provided association results between the studied genetic variants and phenotypic traits, with the top associations highlighted in Supplementary Figure S1. Using these data, we visualized the clusters of associations for the studied genetic loci in a heatmap (Figure 1). In this representation, columns correspond to gene clusters, and rows represent distinct metabolic endophenotypes. The intensity of each cell reflects the Z-score, aligned to the effect allele, indicating both the strength and direction of the association between genetic variants within each cluster and the endophenotypes.
Figure 1.
Heatmap illustrating the associations between 33 metabolic endophenotypes and five gene clusters linked to metabolic syndrome. Columns represent the gene clusters, and rows correspond to distinct metabolic endophenotypes. Each cell’s intensity reflects the Z-score, calculated based on linear regression analyses with adjustments for covariates, aligned to the effect allele. The Z-score indicates both the magnitude and direction of the association between the genetic variants in each cluster and the corresponding endophenotype.
3.2. Polygenic Score Analysis
Figure 2 illustrates the distribution of polygenic scores with and without the locus-specific weights across groups of patients with MetS and healthy controls. The mean values for the weighted and unweighted scores were significantly elevated in MetS patients compared to controls: for the weighted score, 49.73 ± 0.31 vs. 42.87 ± 0.26 (p = 8.78 × 10−53), and for the unweighted score, 34.13 ± 0.21 vs. 30.26 ± 0.18 (p = 3.02 × 10−39). The analysis of weighted polygenic scores in relation to MetS revealed that the combined influence of all examined SNVs was linked to a heightened risk of MetS (OR [95%CIOR] = 1.28 [1.24–1.34], p = 5.73 × 10−34). Similarly, the unweighted polygenic score analysis also demonstrated that the collective effect of these polymorphisms was linked to an increased risk of MetS (OR [95%CIOR] = 1.37 [1.30–1.45], p = 3.51 × 10−28).
Figure 2.
Density plots of polygenic score distributions. (A) The plot shows the distribution of weighted risk scores, calculated using odds ratios adjusted for age and sex as weights for the risk alleles of variants significantly linked to metabolic syndrome, with controls represented in red, while individuals with metabolic syndrome are shown in blue. (B) This plot depicts the distribution of unweighted polygenic scores, with control participants in red and those with metabolic syndrome in blue. The dotted lines represent mean values for each group.
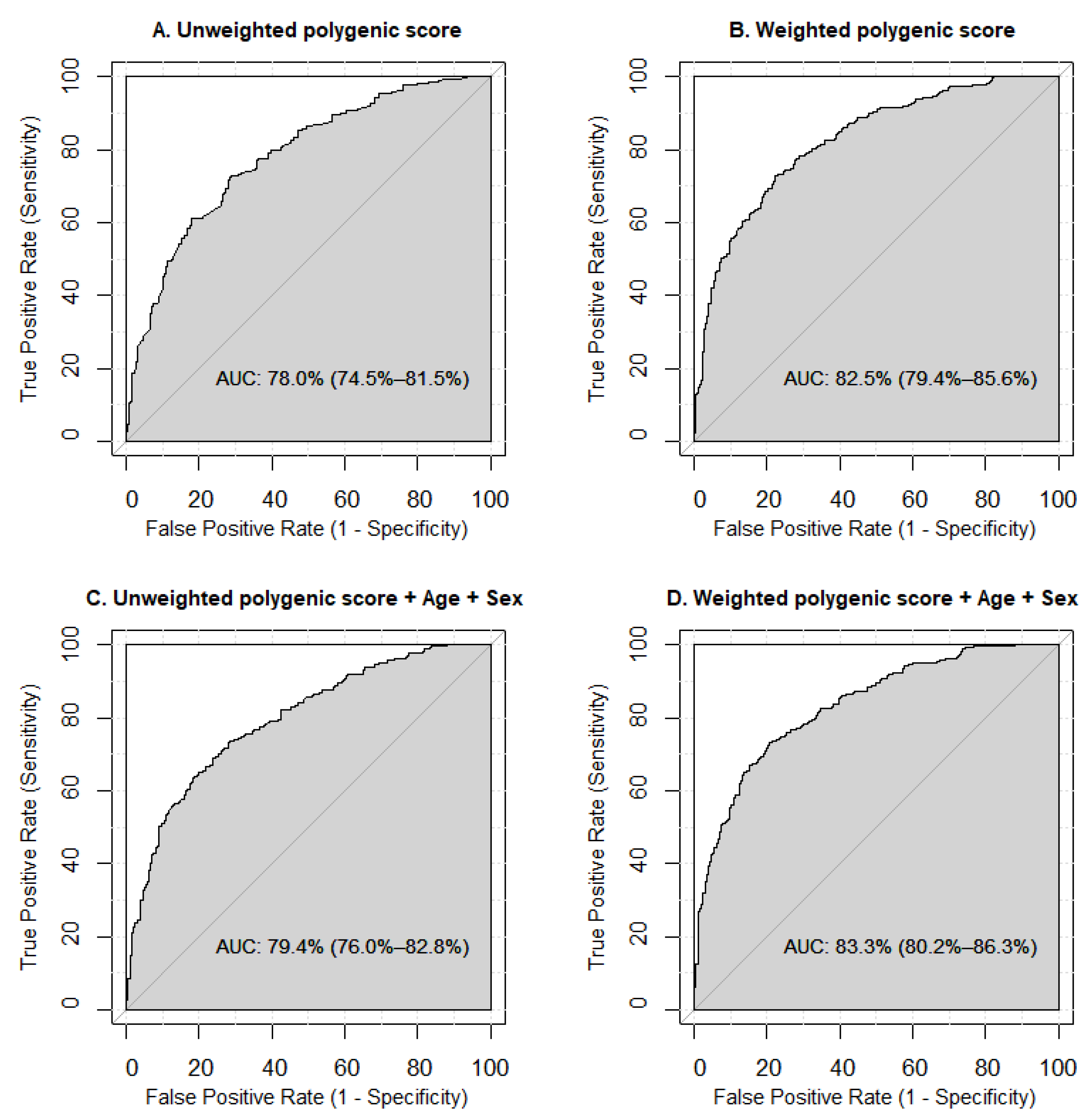
We conducted ROC analysis to evaluate the prognostic accuracy of models built using unweighted and weighted polygenic scores, incorporating additional factors like sex and age (Figure 3). The results showed that the model with the weighted polygenic score outperformed the unweighted polygenic score model (AUC 82.5%, 95%CI 79.4–85.6% vs. AUC 78.0%, 95%CI 74.5–81.5%). Including age and sex as predictors in both the weighted and unweighted polygenic score models slightly improved prediction accuracy (AUC 83.3%, 95%CI 80.2–86.3% for the weighted model, and AUC 79.4%, 95%CI 76.0–82.8% for the unweighted model) (Figure 3).
Figure 3.
Receiver Operating Characteristic (ROC) curves visualizing the prognostic capabilities of various models in predicting metabolic syndrome. (A) The model is based on the unweighted polygenic score derived from the genetic variants that showed significant associations with metabolic syndrome in our study. (B) The model is based on the weighted polygenic score, constructed using the odds ratios adjusted for age and sex as weights for the risk alleles of the variants significantly associated with metabolic syndrome in our study. (C) The model incorporates the unweighted polygenic score along with age and sex. (D) The model incorporates the weighted polygenic score along with age and sex. Sensitivity measures the proportion of true positive results, while specificity measures the proportion of true negative results. The Area Under the Curve (AUC) is used to assess model performance, with AUC values classified as excellent (90% or higher), very good (80–90%), good (70–80%), satisfactory (60–70%), and unsatisfactory (50–60%).
3.3. Net Reclassification Improvement Analysis
Reclassification analysis was performed using net reclassification improvement (NRI) with a reference model that included only non-genetic factors (age and sex) and compared it to models incorporating polygenic scores for the 18 SNVs associated with MetS (listed in Table 1), as well as a model that included all genetic variants studied. We then performed a second NRI analysis, using the model with polygenic scores for the 18 metabolic syndrome-associated variants, age, and sex as the reference. This was compared to the model that included the polygenic risk score for all tested loci, along with age and sex. The results of the NRI analysis are summarized in Table 2. Compared to the model based solely on non-genetic factors, the inclusion of the polygenic score for the MetS-associated variants significantly improved reclassification (NRI = 1.03%, p = 3.42 × 10−50). However, adding all 40 tested genetic variants did not lead to a significant improvement in predictive power over the model that included the 18 key loci (NRI = −0.11, p = 0.507).
Table 2.
Comparison of net reclassification improvement between models with added parameters and the reference.
4. Discussion
We performed an association analysis of polymorphic variants and MetS, as well as phenotypic characteristics of patients with MetS. We evaluated the prognostic ability of a model containing the polygenic risk score for the genetic variants associated with MetS, as identified in our study. Our findings indicate that the most effective prognostic model integrated a weighted polygenic score with non-genetic variables such as age and sex.
The most robust associations with MetS and its endophenotypes in our study were identified for genes involved in β-cell function. Among these, the CDKAL1 rs9295474 variant exhibited the strongest link to MetS predisposition. This variant has been linked to the development of T2D and hypertension in numerous genome-wide association studies (GWASs) [38,39]. Located on chromosome 6p22.3, the CDKAL1 gene is closely connected to a heightened risk of T2D and obesity [40]. Expressed predominantly in human pancreatic β-cells, CDKAL1 regulates insulin secretion, sustains β-cell function under glucotoxic conditions, and facilitates the conversion of proinsulin to insulin in response to glucose stimulation [41]. Moreover, it plays a critical role in maintaining mitochondrial morphology and adipose tissue function [40,42]. The progressive dysfunction of pancreatic β-cells exacerbates MetS and its complications, establishing a pathogenic feedback loop. Supporting this, recent studies have shown that CDKAL1 variants are associated with a greater waist circumference and WHR in Chinese populations [43] and serve as independent predictors of metabolically healthy obesity in Chinese children [44].
Similarly, ADCY3 rs17799872 demonstrated associations in our study with a broad spectrum of traits, encompassing anthropometric (BMI, height, waist circumference, hip circumference, WHR), glycemic (IFG, HOMA-IR, fasting and postprandial insulin), and inflammatory markers (ESR, CRP, fibrinogen, TNF-α). Prior research has linked SNPs in the ADCY3 gene to several of these traits, including waist circumference [45], WHR [46], whole body fat mass [47], BMI (adjusted for smoking behavior) [48], MetS [3], FG, and SBP [49]. The ADCY3 gene encodes adenylyl cyclase 3, a key enzyme located in the hypothalamus that governs multiple critical pathways. Mutations in ADCY3 have been identified in children with severe monogenic obesity [50], while polygenic variants increase the risk of obesity and T2D, with the effect being more pronounced in homozygous carriers [51]. Rare ADCY3 mutations have been associated with impaired appetite control, contributing to early-onset severe obesity and insulin resistance [52].
Neurotransmitters emerged as another gene cluster strongly associated with MetS in our analysis. Notably, ADRA2A rs1800544 was linked to HOMA-IR and postprandial insulin levels, consistent with earlier findings that associated this variant with MetS and obesity [8,53]. The ADRA2A gene regulates catecholamine function, which plays a pivotal role in energy consumption and lipolysis—the hydrolysis of stored triglycerides into free fatty acids and glycerol. In adipocytes, β-adrenergic receptors (ADRB) stimulate lipolysis, while α2-adrenergic receptors (ADRA2) suppress it. Additionally, insulin acts as a key suppressor of catecholamine-driven lipolysis, underscoring the complex interplay of these pathways in metabolic regulation [53].
Another significant finding was the strong association between NPY2R rs1047214 and MetS. The NPY2R gene encodes a receptor for neuropeptide Y, an orexigenic agent whose production is modulated by blood glucose levels. NPY2R polymorphisms have been associated with BMI and show gender-specific effects; for instance, certain SNVs in this gene appear to influence obesity risk exclusively in men [54]. Interestingly, related genetic variants in PYY (encoding the ligand for NPY2R) have been associated with obesity-related traits solely in women [55]. These findings suggest that appetite regulation pathways exhibit gender-specific effects on body composition, although the underlying mechanisms remain insufficiently understood.
SNVs in muscarinic acetylcholine receptor genes CHRM1 and CHRM4 were also associated with MetS in our study. Muscarinic acetylcholine receptors, part of the G-protein-coupled receptor family, mediate the diverse cellular effects of acetylcholine in both the central and peripheral nervous systems. These effects include the inhibition of adenylate cyclase, degradation of phosphoinositides, and mediation of potassium channel activity [56,57]. CHRM1 rs2067477 has previously been linked to WHR adjusted for BMI [58] and the waist-to-hip index [59], while CHRM4 rs2067482, although not previously associated with metabolic conditions, has been implicated in headache or migraine [60], postoperative delirium, and postoperative cognitive dysfunction [56], as well as schizophrenia [61].
SNVs in genes related to adiposity were among those associated with MetS in our study. SEC16B rs10913469, previously linked to MetS [62], BMI [63], and waist circumference [64], has also been implicated in childhood obesity, with associations influenced by gender, age, and nutritional status [65]. Similarly, GHRL rs696217 has been tied to obesity and HDL cholesterol levels [66,67]. The GHRL gene encodes preproghrelin, a precursor hormone processed into ghrelin and obestatin, predominantly secreted by stomach cells. Ghrelin, a key player in the orexigenic signaling system, is also associated with addictive behaviors, including alcohol use disorder, compulsive overeating [68,69,70], and drug addiction [71]. In rodents, ghrelin activates cholinergic–dopaminergic reward pathways [72]. Another notable variant, FTO rs9939609, has consistently demonstrated associations with MetS across studies [73,74,75]. This SNV exhibits pleiotropic effects, influencing various glycemic, cardiovascular, lipid, and anthropometric traits while also affecting the age of onset for conditions like diabetes, cancer, cardiovascular disease, and neurodegenerative disorders [76].
SIRT1, a member of the sirtuin family of NAD+-dependent enzymes responsible for histone deacetylation, is a key regulator of apoptosis and is essential for glucose and lipid metabolism. The genetic variant SIRT1 rs3818292 has been linked to obesity [77] and MetS [78]. Extensive research has highlighted the significance of SIRT1 in maintaining glucose homeostasis and supporting cardiovascular health [79]. In diabetic animal models, SIRT1 expression in islet β-cells was shown to stimulate insulin release triggered by glucose intake [80]. Furthermore, studies in prediabetic individuals revealed an association between insulin resistance and reduced SIRT1 expression in subcutaneous fat, accompanied by elevated serum levels of inflammatory cytokines. These findings suggest that SIRT1 activity in adipose tissue may confer cardioprotective benefits, particularly in prediabetic conditions [81].
As evidenced by our findings, overlapping pathways in MetS involve key genes that influence various aspects of the condition. Insulin resistance, a core feature of MetS, is linked to genes such as CDKAL1, ADCY3, and ADRA2A. Obesity and adiposity are influenced by genes like ADCY3, NPY2R, and SEC16B, which play central roles in MetS pathophysiology. Chronic inflammation, a critical factor in MetS progression, is associated with inflammatory markers tied to genes such as ADCY3 and SIRT1. Additionally, variants in genes like NPY2R, ADRA2A, and GHRL emphasize the role of energy homeostasis and appetite regulation in MetS risk. These overlapping pathways highlight the complexity of MetS, with interactions between insulin resistance, obesity, inflammation, and hormonal regulation, where genetic variants contribute to individual risk profiles.
We developed a polygenic score using genetic variants associated with MetS and evaluated the prognostic performance of models incorporating both unweighted and weighted polygenic scores, along with age and sex, for predicting MetS risk. Our findings revealed that the most predictive model combined a weighted polygenic score with non-genetic factors such as sex and age. Previously, Park et al. constructed a three-factor model, which groups MetS components into latent factors labeled as obesity, insulin resistance/hypertension, and dyslipidemia, which demonstrated an excellent model fit based on metrics like the comparative fit index (CFI, 0.981–0.996) and standardized root mean square residual (SRMR, 0.036–0.043) [3]. The model effectively captured the clustering of MetS components, and the further constructed hierarchical factor model integrated shared genetic effects among these latent factors, highlighting the interrelated nature of MetS [3]. However, this approach primarily provides structural insights into the relationships among MetS components rather than directly evaluating predictive power in new individuals. Van Walree et al. employed the MetS factor GWAS summary statistics to calculate the polygenic score that explained 5.9% of the variance in MetS, which is higher than the variance explained by the individual MetS component polygenic score [82]. When combined with covariates, the polygenic risk model explained 21% of the variance (Nagelkerke R2) [82]. While statistically significant (p = 0.0058) and demonstrating better predictive abilities than the sum of its parts, the polygenic risk-based model captured a relatively modest proportion of the variance [82].
Prior studies have demonstrated that combining polygenic scores with other risk factors such as demographic information, lifestyle choices, medication use, and comorbidities can enhance risk stratification [83]. Population-specific genetic structures, including patterns of linkage disequilibrium, may affect the influence of the studied variants on MetS and the varying prognostic values of weighted and unweighted polygenic scores. Multiethnic polygenic scores have shown superior performance compared to those developed primarily in European populations for predicting health risks [84]. Moreover, incorporating key SNVs along with demographic factors including sex and ethnicity has been found to enhance the accuracy of polygenic scores [85]. Although increasing the number of genetic variants used to calculate polygenic scores can potentially improve prognostic power [86], our findings suggest that including all tested SNVs did not substantially enhance the model’s prognostic ability (Table 2). Validation in an independent cohort will be necessary to confirm the constructed model’s predictive capacity.
Study Strengths and Limitations
Our study provides valuable insights into the genetic basis of MetS by focusing on key genes related to adiposity, β-cell function, inflammation, and neurotransmitter activity. The inclusion of a polygenic score combining genetic and non-genetic factors, such as age and sex, enhances our understanding of MetS risk prediction. These insights into genetic associations and polygenic scores hold potential for clinical applications, including the development of diagnostic tools and the identification of targets for drug development.
However, several limitations must be acknowledged. The sample size, while adequate for detecting significant associations, may have limited our ability to identify smaller-effect variants. Additionally, while we focused on 40 key genes, it is possible that other variants outside these genes may also contribute to MetS susceptibility. These factors underscore the need for replication in larger, independent cohorts to validate our findings and extend their applicability across different populations.
5. Conclusions
Our analysis identified several key genetic variants associated with MetS and its endophenotypes, particularly those involved in β-cell function and metabolic regulation. Notably, variants in the CDKAL1, ADCY3, ADRA2A, and NPY2R genes showed strong associations with metabolic traits such as waist circumference, insulin resistance, and obesity. These findings contribute to our understanding of the genetic underpinnings of MetS, emphasizing the role of genes regulating insulin secretion, appetite, and fat metabolism. Our study highlights the potential of polygenic scores in predicting MetS risk, with the most predictive model incorporating weighted polygenic scores along with age and sex as non-genetic factors. Although expanding the polygenic scores to include additional variants did not significantly improve model performance, our results suggest that integrating genetic and demographic data could enhance the accuracy of MetS risk prediction. Further validation in diverse populations is essential to confirm the robustness of these models and their applicability in clinical settings.
Supplementary Materials
The following supporting information can be downloaded at: https://www.mdpi.com/article/10.3390/genes16010022/s1, Figure S1: Genome-wide association study results for phenotypic traits for the analyzed genetic variants; Table S1: Associations between studied loci and metabolic syndrome; Table S2: Associations between studied loci and metabolic syndrome endophenotypes.
Author Contributions
Conceptualization, Y.T. and O.K.; methodology, Y.T. and O.K.; software, validation, Y.T. and Z.B.; investigation, G.K. and O.K.; resources, O.K.; data curation, Y.T. and O.K.; writing—original draft preparation, Y.T. and O.K.; writing—review and editing, Z.B., O.K., Y.T., and A.N.; visualization, Y.T.; supervision and project administration, O.K., A.N., and I.P.; funding acquisition, O.K. All authors have read and agreed to the published version of this manuscript.
Funding
This work was supported by the Bashkir State Medical University Strategic Academic Leadership Program (PRIORITY-2030).
Institutional Review Board Statement
This study adhered to the principles outlined in the Declaration of Helsinki and received approval from the Ethics Committee of Institute of Biochemistry and Genetics—Subdivision of the Ufa Federal Research Centre of the Russian Academy of Sciences (Protocol No. 8, date of approval 14 March 2012).
Informed Consent Statement
Informed consent was obtained from all subjects involved in this study.
Data Availability Statement
Data are contained within the article and Supplementary Materials.
Acknowledgments
We would like to thank all the participants of this study.
Conflicts of Interest
The authors declare no conflicts of interest.
References
- Miranda, P.J.; DeFronzo, R.A.; Califf, R.M.; Guyton, J.R. Metabolic syndrome: Definition, pathophysiology, and mechanisms. Am. Heart J. 2005, 149, 33–45. [Google Scholar] [CrossRef]
- Richards, M.P. A brief review of the archaeological evidence for Palaeolithic and Neolithic subsistence. Eur. J. Clin. Nutr. 2002, 56, 1270–1278. [Google Scholar] [CrossRef] [PubMed]
- Park, S.; Kim, S.; Kim, B.; Kim, D.S.; Kim, J.; Ahn, Y.; Kim, H.; Song, M.; Shim, I.; Jung, S.H.; et al. Multivariate genomic analysis of 5 million people elucidates the genetic architecture of shared components of the metabolic syndrome. Nat. Genet. 2024, 56, 2380–2391. [Google Scholar] [CrossRef] [PubMed]
- Kraja, A.T.; Vaidya, D.; Pankow, J.S.; Goodarzi, M.O.; Assimes, T.L.; Kullo, I.J.; Sovio, U.; Mathias, R.A.; Sun, Y.V.; Franceschini, N.; et al. A Bivariate Genome-Wide Approach to Metabolic Syndrome: STAMPEED Consortium. Diabetes 2011, 60, 1329–1339. [Google Scholar] [CrossRef] [PubMed]
- Kristiansson, K.; Perola, M.; Tikkanen, E.; Kettunen, J.; Surakka, I.; Havulinna, A.S.; Stančáková, A.; Barnes, C.; Widen, E.; Kajantie, E.; et al. Genome-Wide Screen for Metabolic Syndrome Susceptibility Loci Reveals Strong Lipid Gene Contribution But No Evidence for Common Genetic Basis for Clustering of Metabolic Syndrome Traits. Circ. Cardiovasc. Genet. 2012, 5, 242–249. [Google Scholar] [CrossRef]
- Timasheva, Y.; Balkhiyarova, Z.; Avzaletdinova, D.; Rassoleeva, I.; Morugova, T.V.; Korytina, G.; Prokopenko, I.; Kochetova, O. Integrating common risk factors with polygenic scores improves the prediction of type 2 diabetes. Int. J. Mol. Sci. 2023, 24, 984. [Google Scholar] [CrossRef]
- Timasheva, Y.; Balkhiyarova, Z.; Avzaletdinova, D.; Morugova, T.; Korytina, G.F.; Nouwen, A.; Prokopenko, I.; Kochetova, O. Mendelian Randomization Analysis Identifies Inverse Causal Relationship between External Eating and Metabolic Phenotypes. Nutrients 2024, 16, 1166. [Google Scholar] [CrossRef]
- Kochetova, O.V.; Viktorova, T.V.; Mustafina, O.E.; Karpov, A.A.; Khusnutdinova, E.K. Genetic association of ADRA2A and ADRB3 genes with metabolic syndrome among the Tatars. Russ. J. Genet. 2015, 51, 711–714. [Google Scholar] [CrossRef]
- Kochetova, O.V.; Avzaletdinova, D.S.; Morugova, T.V.; Mustafina, O.E. Chemokine gene polymorphisms association with increased risk of type 2 diabetes mellitus in Tatar ethnic group, Russia. Mol. Biol. Rep. 2019, 46, 887–896. [Google Scholar] [CrossRef] [PubMed]
- Beecham, A.H.; Patsopoulos, N.A.; Xifara, D.K.; Davis, M.F.; Kemppinen, A.; Cotsapas, C.; Shah, T.S.; Spencer, C.; Booth, D.; Goris, A.; et al. Analysis of immune-related loci identifies 48 new susceptibility variants for multiple sclerosis. Nat. Genet. 2013, 45, 1353–1360. [Google Scholar] [CrossRef] [PubMed]
- Pahwa, R.; Adams-Huet, B.; Jialal, I. The effect of increasing body mass index on cardio-metabolic risk and biomarkers of oxidative stress and inflammation in nascent metabolic syndrome. J. Diabetes Complicat. 2017, 31, 810–813. [Google Scholar] [CrossRef]
- Kochetova, O.V.; Avzaletdinova, D.S.; Korytina, G.F. Association of inflammation gene polymorphism with increased risk of metabolic syndrome in tatar ethnic group. Russ. Open Med. J. 2022, 11, 305. [Google Scholar] [CrossRef]
- Korytina, G.F.; Aznabaeva, Y.G.; Akhmadishina, L.Z.; Kochetova, O.V.; Nasibullin, T.R.; Zagidullin, N.S.; Zagidullin, S.Z.; Viktorova, T.V. The Relationship Between Chemokine and Chemokine Receptor Genes Polymorphisms and Chronic Obstructive Pulmonary Disease Susceptibility in Tatar Population from Russia: A Case Control Study. Biochem. Genet. 2022, 60, 54–79. [Google Scholar] [CrossRef]
- Kochetova, O.V.; Akhmadishina, L.Z.; Korytina, G.F.; Karpov, A.A.; Mustafina, O.E. Association of obesity susceptibility gene variants with metabolic syndrome in women. Obes. Metab. 2017, 14, 33–40. [Google Scholar] [CrossRef][Green Version]
- Graae, A.S.; Hollensted, M.; Kloppenborg, J.T.; Mahendran, Y.; Schnurr, T.M.; Appel, E.V.R.; Rask, J.; Nielsen, T.R.H.; Johansen, M.; Linneberg, A.; et al. An adult-based insulin resistance genetic risk score associates with insulin resistance, metabolic traits and altered fat distribution in Danish children and adolescents who are overweight or obese. Diabetologia 2018, 61, 1769–1779. [Google Scholar] [CrossRef]
- Seral-Cortes, M.; Sabroso-Lasa, S.; De Miguel-Etayo, P.; Gonzalez-Gross, M.; Gesteiro, E.; Molina-Hidalgo, C.; De Henauw, S.; Erhardt, É.; Censi, L.; Manios, Y.; et al. Interaction Effect of the Mediterranean Diet and an Obesity Genetic Risk Score on Adiposity and Metabolic Syndrome in Adolescents: The HELENA Study. Nutrients 2020, 12, 3841. [Google Scholar] [CrossRef] [PubMed]
- Nagrani, R.; Foraita, R.; Gianfagna, F.; Iacoviello, L.; Marild, S.; Michels, N.; Molnár, D.; Moreno, L.; Russo, P.; Veidebaum, T.; et al. Common genetic variation in obesity, lipid transfer genes and risk of Metabolic Syndrome: Results from IDEFICS/I.Family study and meta-analysis. Sci. Rep. 2020, 10, 7189. [Google Scholar] [CrossRef]
- Grundy, S.M.; Cleeman, J.I.; Daniels, S.R.; Donato, K.A.; Eckel, R.H.; Franklin, B.A.; Gordon, D.J.; Krauss, R.M.; Savage, P.J.; Smith, S.C.; et al. Diagnosis and Management of the Metabolic Syndrome. Circulation. 2005, 112, 2735–2752. [Google Scholar] [CrossRef] [PubMed]
- Huang, P.L. A comprehensive definition for metabolic syndrome. Dis. Models Mech. 2009, 2, 231–237. [Google Scholar] [CrossRef]
- World Health Organization. Physical Status: The Use and Interpretation Of Anthropometry, Report of a WHO Expert Committee; World Health Organization technical report series; WHO: Geneva, Switzerland, 1995; Volume 854, p. 463. [Google Scholar]
- Parati, G.; Stergiou, G.; O’Brien, E.; Asmar, R.; Beilin, L.; Bilo, G.; Clement, D.; de la Sierra, A.; de Leeuw, P.; Dolan, E.; et al. European Society of Hypertension practice guidelines for ambulatory blood pressure monitoring. J. Hypertens. 2014, 32, 1359–1366. [Google Scholar] [CrossRef] [PubMed]
- Matthews, D.R.; Hosker, J.P.; Rudenski, A.S.; Naylor, B.A.; Treacher, D.F.; Turner, R.C. Homeostasis model assessment: Insulin resistance and β-cell function from fasting plasma glucose and insulin concentrations in man. Diabetologia 1985, 28, 412–419. [Google Scholar] [CrossRef] [PubMed]
- Kochetova, O.V.; Avzaletdinova, D.S.; Korytina, G.F.; Morugova, T.V.; Mustafina, O.E. The association between eating behavior and polymorphisms in GRIN2B, GRIK3, GRIA1 and GRIN1 genes in people with type 2 diabetes mellitus. Mol. Biol. Rep. 2020, 47, 2035–2046. [Google Scholar] [CrossRef]
- Avzaletdinova, D.S.; Sharipova, L.F.; Kochetova, O.V.; Morugova, T.V.; Mustafina, O.E. Association of adiponectin gene alleles with type 2 diabetes mellitus in residents of Bashkortostan. Probl. Endokrinol. 2019, 65, 31–38. [Google Scholar] [CrossRef] [PubMed]
- Krylov, M.Y.; Benevolenskaya, L.; Myakotkin, V.; Krylov, M.Y. Leptin A19G polymorphism and leptin receptor Gln223Arg and Lys109Arg polymorphismsin postmenopausal osteoporosis. Nauchno-Prakt. Revmatol. 2010, 48, 27–31. [Google Scholar] [CrossRef]
- Khan, I.A.; Jahan, P.; Hasan, Q.; Rao, P. Validation of the association of TCF7L2 and SLC30A8 gene polymorphisms with post-transplant diabetes mellitus in Asian Indian population. Intractable Rare Dis. Res. 2015, 4, 87–92. [Google Scholar] [CrossRef] [PubMed]
- Wang, J.; Yan, G.; Zhang, J.; Gao, K.; Zhang, M.; Li, L.; Wang, Y.; Wang, Q.; Zhai, Y.; You, H.; et al. Association of LRP5, TCF7L2, and GCG variants and type 2 diabetes mellitus as well as fasting plasma glucose and lipid metabolism indexes. Hum. Immunol. 2015, 76, 339–343. [Google Scholar] [CrossRef] [PubMed]
- Munoz-Barrios, S.; Guzman-Guzman, I.P.; Munoz-Valle, J.F.; Salgado-Bernabe, A.B.; Salgado-Goytia, L.; Parra-Rojas, I. Association of the HindIII and S447X polymorphisms in LPL gene with hypertension and type 2 diabetes in Mexican families. Dis. Markers 2012, 33, 313–320. [Google Scholar] [CrossRef]
- Aoki, M.N.; da Silva do Amaral Herrera, A.C.; Amarante, M.K.; do Val Carneiro, J.L.; Fungaro, M.H.P.; Watanabe, M.A.E. CCR5 and p53 codon 72 gene polymorphisms: Implications in breast cancer development. Int. J. Mol. Med. 2009, 23, 429–435. [Google Scholar] [CrossRef][Green Version]
- Chang, C.C.; Chow, C.C.; Tellier, L.C.; Vattikuti, S.; Purcell, S.M.; Lee, J.J. Second-generation PLINK: Rising to the challenge of larger and richer datasets. Gigascience 2015, 4, 7. [Google Scholar] [CrossRef]
- Benjamini, Y.; Hochberg, Y. Controlling the False Discovery Rate—A Practical and Powerful Approach to Multiple Testing. J. R. Stat. Soc. B 1995, 57, 289–300. [Google Scholar] [CrossRef]
- Canela-Xandri, O.; Rawlik, K.; Tenesa, A. An atlas of genetic associations in UK Biobank. Nat. Genet. 2018, 50, 1593–1599. [Google Scholar] [CrossRef] [PubMed]
- Kolde, R. pheatmap: Pretty Heatmaps. R Package Version 1.0.12, 2019. Available online: https://CRAN.R-project.org/package=pheatmap (accessed on 22 December 2024).
- Carstensen, B.; Plummer, M.; Laara, E.; Hills, M. Epi: Statistical Analysis in Epidemiology. R Package Version 2.44. 2020. Available online: https://CRAN.R-project.org/package=Epi (accessed on 22 December 2024).
- Robin, X.; Turck, N.; Hainard, A.; Tiberti, N.; Lisacek, F.; Sanchez, J.-C.; Müller, M. pROC: An open-source package for R and S+ to analyze and compare ROC curves. BMC Bioinform. 2011, 12, 77. [Google Scholar] [CrossRef] [PubMed]
- Pencina, M.J.; D’Agostino Sr, R.B.; D’Agostino Jr, R.B.; Vasan, R.S. Evaluating the added predictive ability of a new marker: From area under the ROC curve to reclassification and beyond. Stat. Med. 2008, 27, 157–172. [Google Scholar] [CrossRef]
- Inoue, E. nricens: NRI for Risk Prediction Models with Time to Event and Binary Response Data. R Package Version 1.6. 2018. Available online: https://CRAN.R-project.org/package=nricens (accessed on 22 December 2024).
- Sim, X.; Ong, R.T.; Suo, C.; Tay, W.T.; Liu, J.; Ng, D.P.; Boehnke, M.; Chia, K.S.; Wong, T.Y.; Seielstad, M.; et al. Transferability of type 2 diabetes implicated loci in multi-ethnic cohorts from Southeast Asia. PLoS Genet. 2011, 7, e1001363. [Google Scholar] [CrossRef]
- Surendran, P.; Feofanova, E.V.; Lahrouchi, N.; Ntalla, I.; Karthikeyan, S.; Cook, J.; Chen, L.; Mifsud, B.; Yao, C.; Kraja, A.T.; et al. Discovery of rare variants associated with blood pressure regulation through meta-analysis of 1.3 million individuals. Nat. Genet. 2020, 52, 1314–1332. [Google Scholar] [CrossRef] [PubMed]
- Palmer, C.J.; Bruckner, R.J.; Paulo, J.A.; Kazak, L.; Long, J.Z.; Mina, A.I.; Deng, Z.; LeClair, K.B.; Hall, J.A.; Hong, S.; et al. Cdkal1, a type 2 diabetes susceptibility gene, regulates mitochondrial function in adipose tissue. Mol. Metab. 2017, 6, 1212–1225. [Google Scholar] [CrossRef] [PubMed]
- Stancáková, A.; Kuulasmaa, T.; Paananen, J.; Jackson, A.U.; Bonnycastle, L.L.; Collins, F.S.; Boehnke, M.; Kuusisto, J.; Laakso, M. Association of 18 confirmed susceptibility loci for type 2 diabetes with indices of insulin release, proinsulin conversion, and insulin sensitivity in 5,327 nondiabetic Finnish men. Diabetes 2009, 58, 2129–2136. [Google Scholar] [CrossRef] [PubMed]
- Miyaki, K.; Oo, T.; Song, Y.; Lwin, H.; Tomita, Y.; Hoshino, H.; Suzuki, N.; Muramatsu, M. Association of a cyclin-dependent kinase 5 regulatory subunit-associated protein 1-like 1 (CDKAL1) polymorphism with elevated hemoglobin A1c levels and the prevalence of metabolic syndrome in Japanese men: Interaction with dietary energy intake. Am. J. Epidemiol. 2010, 172, 985–991. [Google Scholar] [CrossRef] [PubMed]
- Kang, J.; Guan, R.C.; Zhao, Y.; Chen, Y. Obesity-related loci in TMEM18, CDKAL1 and FAIM2 are associated with obesity and type 2 diabetes in Chinese Han patients. BMC Med. Genet. 2020, 21, 65. [Google Scholar] [CrossRef] [PubMed]
- Li, G.; Li, Y.; Han, L.; Wang, D.; Zhang, Q.; Xiao, X.; Qi, L.; Willi, S.M.; Li, M.; Mi, J.; et al. Interaction between early environment and genetic predisposition instigates the metabolically obese, normal weight phenotype in children: Findings from the BCAMS study. Eur. J. Endocrinol. 2020, 182, 393–403. [Google Scholar] [CrossRef] [PubMed]
- Chen, C.Y.; Chen, T.T.; Feng, Y.A.; Yu, M.; Lin, S.C.; Longchamps, R.J.; Wang, S.H.; Hsu, Y.H.; Yang, H.I.; Kuo, P.H.; et al. Analysis across Taiwan Biobank, Biobank Japan, and UK Biobank identifies hundreds of novel loci for 36 quantitative traits. Cell Genom. 2023, 3, 100436. [Google Scholar] [CrossRef]
- Kichaev, G.; Bhatia, G.; Loh, P.R.; Gazal, S.; Burch, K.; Freund, M.K.; Schoech, A.; Pasaniuc, B.; Price, A.L. Leveraging Polygenic Functional Enrichment to Improve GWAS Power. Am. J. Hum. Genet. 2019, 104, 65–75. [Google Scholar] [CrossRef]
- Harris, B.H.L.; Di Giovannantonio, M.; Zhang, P.; Harris, D.A.; Lord, S.R.; Allen, N.E.; Maughan, T.S.; Bryant, R.J.; Harris, A.L.; Bond, G.L.; et al. New role of fat-free mass in cancer risk linked with genetic predisposition. Sci. Rep. 2024, 14, 7270. [Google Scholar] [CrossRef] [PubMed]
- Justice, A.E.; Winkler, T.W.; Feitosa, M.F.; Graff, M.; Fisher, V.A.; Young, K.; Barata, L.; Deng, X.; Czajkowski, J.; Hadley, D.; et al. Genome-wide meta-analysis of 241,258 adults accounting for smoking behaviour identifies novel loci for obesity traits. Nat. Commun. 2017, 8, 14977. [Google Scholar] [CrossRef] [PubMed]
- Kitamoto, A.; Kitamoto, T.; Mizusawa, S.; Teranishi, H.; So, R.; Matsuo, T.; Nakata, Y.; Hyogo, H.; Ochi, H.; Nakamura, T.; et al. NUDT3 rs206936 is associated with body mass index in obese Japanese women. Endocr. J. 2013, 60, 991–1000. [Google Scholar] [CrossRef] [PubMed]
- Saeed, S.; Bonnefond, A.; Tamanini, F.; Mirza, M.U.; Manzoor, J.; Janjua, Q.M.; Din, S.M.; Gaitan, J.; Milochau, A.; Durand, E.; et al. Loss-of-function mutations in ADCY3 cause monogenic severe obesity. Nat. Genet. 2018, 50, 175–179. [Google Scholar] [CrossRef] [PubMed]
- Grarup, N.; Moltke, I.; Andersen, M.K.; Dalby, M.; Vitting-Seerup, K.; Kern, T.; Mahendran, Y.; Jorsboe, E.; Larsen, C.V.L.; Dahl-Petersen, I.K.; et al. Loss-of-function variants in ADCY3 increase risk of obesity and type 2 diabetes. Nat. Genet. 2018, 50, 172–174. [Google Scholar] [CrossRef] [PubMed]
- Loid, P.; Mustila, T.; Mäkitie, R.E.; Viljakainen, H.; Kämpe, A.; Tossavainen, P.; Lipsanen-Nyman, M.; Pekkinen, M.; Mäkitie, O. Rare Variants in Genes Linked to Appetite Control and Hypothalamic Development in Early-Onset Severe Obesity. Front. Endocrinol. 2020, 11, 81. [Google Scholar] [CrossRef]
- Shunmugam, V.; Say, Y.H. Evaluation of Association of ADRA2A rs553668 and ACE I/D Gene Polymorphisms with Obesity Traits in the Setapak Population, Malaysia. Iran. Red Crescent Med. J. 2016, 18, e22452. [Google Scholar] [CrossRef] [PubMed]
- Ma, L.; Tataranni, P.A.; Hanson, R.L.; Infante, A.M.; Kobes, S.; Bogardus, C.; Baier, L.J. Variations in peptide YY and Y2 receptor genes are associated with severe obesity in Pima Indian men. Diabetes 2005, 54, 1598–1602. [Google Scholar] [CrossRef] [PubMed]
- Friedlander, Y.; Li, G.; Fornage, M.; Williams, O.D.; Lewis, C.E.; Schreiner, P.; Pletcher, M.J.; Enquobahrie, D.; Williams, M.; Siscovick, D.S. Candidate molecular pathway genes related to appetite regulatory neural network, adipocyte homeostasis and obesity: Results from the CARDIA Study. Ann. Hum. Genet. 2010, 74, 387–398. [Google Scholar] [CrossRef]
- Heinrich, M.; Sieg, M.; Kruppa, J.; Nürnberg, P.; Schreier, P.H.; Heilmann-Heimbach, S.; Hoffmann, P.; Nöthen, M.M.; Janke, J.; Pischon, T.; et al. Association between genetic variants of the cholinergic system and postoperative delirium and cognitive dysfunction in elderly patients. BMC Med. Genom. 2021, 14, 248. [Google Scholar] [CrossRef]
- Tsermpini, E.E.; Redenšek, S.; Dolžan, V. Genetic Factors Associated With Tardive Dyskinesia: From Pre-clinical Models to Clinical Studies. Front. Pharmacol. 2022, 12, 834129. [Google Scholar] [CrossRef]
- Zhu, Z.; Guo, Y.; Shi, H.; Liu, C.L.; Panganiban, R.A.; Chung, W.; O’Connor, L.J.; Himes, B.E.; Gazal, S.; Hasegawa, K.; et al. Shared genetic and experimental links between obesity-related traits and asthma subtypes in UK Biobank. J. Allergy Clin. Immunol. 2020, 145, 537–549. [Google Scholar] [CrossRef]
- Christakoudi, S.; Evangelou, E.; Riboli, E.; Tsilidis, K.K. GWAS of allometric body-shape indices in UK Biobank identifies loci suggesting associations with morphogenesis, organogenesis, adrenal cell renewal and cancer. Sci. Rep. 2021, 11, 10688. [Google Scholar] [CrossRef] [PubMed]
- Meng, W.; Reel, P.S.; Nangia, C.; Rajendrakumar, A.L.; Hebert, H.L.; Guo, Q.; Adams, M.J.; Zheng, H.; Lu, Z.H.; Ray, D.; et al. A Meta-Analysis of the Genome-Wide Association Studies on Two Genetically Correlated Phenotypes Suggests Four New Risk Loci for Headaches. Phenomics 2023, 3, 64–76. [Google Scholar] [CrossRef]
- Pozhidaev, I.V.; Boiko, A.S.; Loonen, A.J.M.; Paderina, D.Z.; Fedorenko, O.Y.; Tenin, G.; Kornetova, E.G.; Semke, A.V.; Bokhan, N.A.; Wilffert, B.; et al. Association of Cholinergic Muscarinic M4 Receptor Gene Polymorphism with Schizophrenia. Appl. Clin. Genet. 2020, 13, 97–105. [Google Scholar] [CrossRef]
- Lind, L. Genome-Wide Association Study of the Metabolic Syndrome in UK Biobank. Metab. Syndr. Relat. Disord. 2019, 17, 505–511. [Google Scholar] [CrossRef]
- Thorleifsson, G.; Walters, G.B.; Gudbjartsson, D.F.; Steinthorsdottir, V.; Sulem, P.; Helgadottir, A.; Styrkarsdottir, U.; Gretarsdottir, S.; Thorlacius, S.; Jonsdottir, I.; et al. Genome-wide association yields new sequence variants at seven loci that associate with measures of obesity. Nat. Genet. 2009, 41, 18–24. [Google Scholar] [CrossRef] [PubMed]
- Wang, H.; Zhang, F.; Zeng, J.; Wu, Y.; Kemper, K.E.; Xue, A.; Zhang, M.; Powell, J.E.; Goddard, M.E.; Wray, N.R.; et al. Genotype-by-environment interactions inferred from genetic effects on phenotypic variability in the UK Biobank. Sci. Adv. 2019, 5, eaaw3538. [Google Scholar] [CrossRef] [PubMed]
- Marcos-Pasero, H.; Aguilar-Aguilar, E.; de la Iglesia, R.; Espinosa-Salinas, I.; Molina, S.; Colmenarejo, G.; Martínez, J.A.; Ramírez de Molina, A.; Reglero, G.; Loria-Kohen, V. “GENYAL” Study to Childhood Obesity Prevention: Methodology and Preliminary Results. Front. Nutr. 2022, 9, 777384. [Google Scholar] [CrossRef] [PubMed]
- Becer, E.; Ergoren, M.C. Dual Effect of the GHRL Gene Variant in the Molecular Pathogenesis of Obesity. Balk. J. Med. Genet. BJMG 2021, 24, 27–34. [Google Scholar] [CrossRef]
- Imaizumi, T.; Ando, M.; Nakatochi, M.; Yasuda, Y.; Honda, H.; Kuwatsuka, Y.; Kato, S.; Kondo, T.; Iwata, M.; Nakashima, T.; et al. Effect of dietary energy and polymorphisms in BRAP and GHRL on obesity and metabolic traits. Obes. Res. Clin. Pract. 2018, 12, 39–48. [Google Scholar] [CrossRef] [PubMed]
- Dickson, S.L.; Hrabovszky, E.; Hansson, C.; Jerlhag, E.; Alvarez-Crespo, M.; Skibicka, K.P.; Molnar, C.S.; Liposits, Z.; Engel, J.A.; Egecioglu, E. Blockade of central nicotine acetylcholine receptor signaling attenuate ghrelin-induced food intake in rodents. Neuroscience 2010, 171, 1180–1186. [Google Scholar] [CrossRef] [PubMed]
- Leggio, L.; Addolorato, G.; Cippitelli, A.; Jerlhag, E.; Kampov-Polevoy, A.B.; Swift, R.M. Role of feeding-related pathways in alcohol dependence: A focus on sweet preference, NPY, and ghrelin. Alcohol. Clin. Exp. Res. 2011, 35, 194–202. [Google Scholar] [CrossRef] [PubMed]
- Suchankova, P.; Nilsson, S.; von der Pahlen, B.; Santtila, P.; Sandnabba, K.; Johansson, A.; Jern, P.; Engel, J.A.; Jerlhag, E. Genetic variation of the growth hormone secretagogue receptor gene is associated with alcohol use disorders identification test scores and smoking. Addict. Biol. 2016, 21, 481–488. [Google Scholar] [CrossRef]
- Larsson, A.; Edström, L.; Svensson, L.; Söderpalm, B.; Engel, J.A. Voluntary ethanol intake increases extracellular acetylcholine levels in the ventral tegmental area in the rat. Alcohol Alcohol. 2005, 40, 349–358. [Google Scholar] [CrossRef]
- Jerlhag, E.; Egecioglu, E.; Dickson, S.L.; Douhan, A.; Svensson, L.; Engel, J.A. Ghrelin administration into tegmental areas stimulates locomotor activity and increases extracellular concentration of dopamine in the nucleus accumbens. Addict. Biol. 2007, 12, 6–16. [Google Scholar] [CrossRef] [PubMed]
- Liguori, R.; Labruna, G.; Alfieri, A.; Martone, D.; Farinaro, E.; Contaldo, F.; Sacchetti, L.; Pasanisi, F.; Buono, P. The FTO gene polymorphism (rs9939609) is associated with metabolic syndrome in morbidly obese subjects from southern Italy. Mol. Cell. Probes 2014, 28, 195–199. [Google Scholar] [CrossRef]
- Molina-Luque, R.; Ulloa, N.; Romero-Saldaña, M.; Zilic, M.; Gleisner, A.; Lanuza, F.; Molina-Recio, G. Association between the FTO SNP rs9939609 and Metabolic Syndrome in Chilean Children. Nutrients 2021, 13, 2014. [Google Scholar] [CrossRef]
- Ho, C.Y.; Lee, J.I.; Huang, S.P.; Chen, S.C.; Geng, J.H. A Genome-Wide Association Study of Metabolic Syndrome in the Taiwanese Population. Nutrients 2023, 16, 77. [Google Scholar] [CrossRef]
- He, L.; Kernogitski, Y.; Kulminskaya, I.; Loika, Y.; Arbeev, K.G.; Loiko, E.; Bagley, O.; Duan, M.; Yashkin, A.; Ukraintseva, S.V.; et al. Pleiotropic Meta-Analyses of Longitudinal Studies Discover Novel Genetic Variants Associated with Age-Related Diseases. Front. Genet. 2016, 7, 179. [Google Scholar] [CrossRef]
- Peeters, A.V.; Beckers, S.; Verrijken, A.; Mertens, I.; Roevens, P.; Peeters, P.J.; Van Hul, W.; Van Gaal, L.F. Association of SIRT1 gene variation with visceral obesity. Hum. Genet. 2008, 124, 431–436. [Google Scholar] [CrossRef] [PubMed]
- Cruz, M.; Valladares-Salgado, A.; Garcia-Mena, J.; Ross, K.; Edwards, M.; Angeles-Martinez, J.; Ortega-Camarillo, C.; de la Peña, J.E.; Burguete-Garcia, A.I.; Wacher-Rodarte, N.; et al. Candidate gene association study conditioning on individual ancestry in patients with type 2 diabetes and metabolic syndrome from Mexico City. Diabetes Metab. Res. Rev. 2010, 26, 261–270. [Google Scholar] [CrossRef]
- D’Onofrio, N.; Servillo, L.; Balestrieri, M.L. SIRT1 and SIRT6 Signaling Pathways in Cardiovascular Disease Protection. Antioxid. Redox Signal. 2018, 28, 711–732. [Google Scholar] [CrossRef] [PubMed]
- Moynihan, K.A.; Grimm, A.A.; Plueger, M.M.; Bernal-Mizrachi, E.; Ford, E.; Cras-Méneur, C.; Permutt, M.A.; Imai, S. Increased dosage of mammalian Sir2 in pancreatic β cells enhances glucose-stimulated insulin secretion in mice. Cell Metab. 2005, 2, 105–117. [Google Scholar] [CrossRef]
- Sardu, C.; Pieretti, G.; D’Onofrio, N.; Ciccarelli, F.; Paolisso, P.; Passavanti, M.B.; Marfella, R.; Cioffi, M.; Mone, P.; Dalise, A.M.; et al. Inflammatory Cytokines and SIRT1 Levels in Subcutaneous Abdominal Fat: Relationship With Cardiac Performance in Overweight Pre-diabetics Patients. Front. Physiol. 2018, 9, 1030. [Google Scholar] [CrossRef] [PubMed]
- van Walree, E.S.; Jansen, I.E.; Bell, N.Y.; Savage, J.E.; de Leeuw, C.; Nieuwdorp, M.; van der Sluis, S.; Posthuma, D. Disentangling Genetic Risks for Metabolic Syndrome. Diabetes 2022, 71, 2447–2457. [Google Scholar] [CrossRef]
- Tamlander, M.; Mars, N.; Pirinen, M.; Palotie, A.; Daly, M.; Riley-Gills, B.; Jacob, H.; Paul, D.; Runz, H.; John, S.; et al. Integration of questionnaire-based risk factors improves polygenic risk scores for human coronary heart disease and type 2 diabetes. Commun. Biol. 2022, 5, 158. [Google Scholar] [CrossRef] [PubMed]
- Cheng, H.; Sewda, A.; Marquez-Luna, C.; White, S.R.; Whitney, B.M.; Williams-Nguyen, J.; Nance, R.M.; Lee, W.J.; Kitahata, M.M.; Saag, M.S.; et al. Genetic architecture of cardiometabolic risks in people living with HIV. BMC Med. 2020, 18, 288. [Google Scholar] [CrossRef] [PubMed]
- Zhao, J.; Arafat, D.; Brigham, K.L.; Gibson, G. Genetic risk prediction in a small cohort of healthy adults in Atlanta. Genet. Res. 2013, 95, 30–37. [Google Scholar] [CrossRef]
- Morieri, M.L.; Gao, H.; Pigeyre, M.; Shah, H.S.; Sjaarda, J.; Mendonca, C.; Hastings, T.; Buranasupkajorn, P.; Motsinger-Reif, A.A.; Rotroff, D.M.; et al. Genetic Tools for Coronary Risk Assessment in Type 2 Diabetes: A Cohort Study From the ACCORD Clinical Trial. Diabetes Care 2018, 41, 2404–2413. [Google Scholar] [CrossRef] [PubMed]
Disclaimer/Publisher’s Note: The statements, opinions and data contained in all publications are solely those of the individual author(s) and contributor(s) and not of MDPI and/or the editor(s). MDPI and/or the editor(s) disclaim responsibility for any injury to people or property resulting from any ideas, methods, instructions or products referred to in the content. |
© 2024 by the authors. Licensee MDPI, Basel, Switzerland. This article is an open access article distributed under the terms and conditions of the Creative Commons Attribution (CC BY) license (https://creativecommons.org/licenses/by/4.0/).


