Abstract
A dendrochronological series of Araucaria angustifolia was analyzed for a better understanding of the climatic factors that operate in Campos do Jordão city, São Paulo state, Brazil. The dendroclimatic analysis was carried out using 45 samples from 16 Araucaria angustifolia trees to reconstruct the precipitation and the temperature over the 1803–2012 yearly interval. To this end, Pearson’s correlation was calculated between mean chronology and the climatic time series using a monthly temporal resolution to calibrate our models. We obtained correlations as high as for precipitation (February), and for temperature (March), both corresponding to the end of the summer season. Our results show evidence of temporal instabilities because the correlations for the halves of 1963–2012 were very different, as well as for the full period. To overcome this problem, the dendrochronological series and the climatic data were investigated using the wavelet techniques searching for time-dependent cause–effect relationships. From these analyses, we find a strong influence of the region’s precipitation and temperature on the growth of tree ring widths.
1. Introduction
Trees are used as a natural record of climate variability in the regions in which they grow. The study of the climate–time relationship using the variation in the width of the tree ring growth is known as dendroclimatology. By analysing the tree ring widths, it is possible to access how the trees responded to the regional climatic conditions. There are many studies that prove this growth variation response [1,2], and it can vary from species to species. Dendroclimatology determines the age of the trees by measuring the growth of tree rings formed year by year and establishes its relationship with climatic events [3]. This technique extracts the memory of climatic variations of the environment recorded by their tree ring widths [4].
In regions where there is a contrast between the climate seasons, that is, mid and high latitudes, the rings are generally well marked. Some tree species, such as pines, araucarias, and cypress trees, have well-demarcated rings even in regions of low contrast between the seasons [4]. Trees growing in mountain regions are excellent sources of paleoenvironmental records because their physical and biological systems are highly sensitive to climatic variations. Tree rings from high elevation sites provide climate-sensitive records that can reach over a thousand years or more with annual to seasonal resolution [5]. Among the species most used in dendrochronology, the use of Araucaria angustifolia stands out due to the high longevity of the species, as well as its sensitivity to the climate [6,7,8].
Araucaria angustifolia is a subtropical and tropical conifer from South America [9,10,11]. This native tree of the Atlantic Forest is easily found in the southern and southeastern Brazilian states and areas of Argentina and Paraguay. It belongs to Mixed Ombrophilous Forests, also known as “Araucaria Forests”, due to the high occurrence of this species. It is common to find individuals of Araucaria angustifolia in high altitudes, for instance, in mountainous areas in the States of Rio de Janeiro and Minas Gerais [12,13,14]. This species still suffers from human exploration, causing environmental impact in the short and long term, due to the alarming reduction of the original total forest area [15,16,17,18,19].
According to [20], about 60% of the Brazilian Atlantic Forest is located in southeastern Brazil. The state of São Paulo has the highest level of fragmentation and deforestation in this biome compared to other states in the southeastern. The Campos do Jordão city, in the state of São Paulo, has well-defined climates as a striking feature. Its Köppen climate classification is Cfb (temperate, no dry season, cool summer). In the study of [21], on the structure and aspects of the natural regeneration of the Mixed Rainforest, it was found that management actions are necessary for the in situ conservation of local conifers.
Many studies of Araucaria angustifolia were performed in southern Brazil, while the development of dendroclimatic studies with this species in southeastern Brazil is quite recent, and may contribute to the understanding of its growth dynamics concerning the regional climate. To this end, our paper aims to obtain information on climate variability in Campos do Jordão city, São Paulo, located in southeastern Brazil. We use a time-varying correlation between the dendrochronological series of Araucaria angustifolia and the regional climatic data (temperature and precipitation) using wavelet techniques.
2. Materials and Methods
2.1. Study Area and Species
Araucaria angustifolia trees stand out in dendrochronological studies due to their excellent temporal resolution. When these trees present wide rings, it is possible to infer which years had environmental conditions favorable to their development. On the other hand, narrower rings correspond to years unfavorable to their growth [22,23]. Figure 1 shows a specimen of Araucaria angustifolia in the collection area, Pedra do Baú.
Figure 1.
Samples of Araucaria angustifolia located at Pedra do Baú, 2013.
The Campos do Jordão city was selected for this study due to (i) its geographical position and altitude; (ii) being an endemic region for the Araucaria angustifolia trees; and (iii) the tree’s longevity. Campos do Jordão city is an Environmental Protection Area (Ordinary Law No. 4105, dated 26 June 1984), which is located at the east of the São Paulo Capital, in Serra da Mantiqueira (Figure 2), at an altitude of 1597 m (more information in http://www.camposdojordao.sp.gov.br/portal/index.php/cidade/informacoes/localizacao (accessed on 8 May 2012). Prefeitura de Campos do Jordão).
Figure 2.
Location of Campos do Jordão city (Red Point). Source: maps.google.com.br, accessed on 10 February 2021.
According to the Köppen classification, the climate of Campos do Jordão city is Cfb, which corresponds to a subtropical climate of altitude, mesothermal and humid, without drought, with a maximum temperature below 22 °C [24].
2.2. Samples Collection and Preparation
Samples of native Araucaria angustifolia woods were collected, under license from the Brazilian Institute of the Environment and Renewable Natural Resources (IBAMA) in the Campos do Jordão city in the state of São Paulo.
Through the macroscopic analysis of the wood, it is possible to observe the anatomy of the tree rings of Araucaria angustifolia. Two parts are well-distinguished in the growth layer: (i) earlywood (spring) and (ii) latewood (autumn or summer). The earlywood corresponds to the tree’s growth at the beginning of the vegetative period, usually in the spring or when conditions are favorable to the natural growth. In other words, when the plants are awakened from the dormancy period and resume their physiological activities with all vigor. As autumn approaches, environmental conditions (e.g., climate, water availability, etc.) become increasingly restrictive to plant growth, causing the vascular exchange and the cells to gradually decrease their physiological activity. As a result, the cell walls become thicker and their cavities smaller. In general, this fact gives the latewood a darker appearance [25].
In our first campaign, we collected four samples from eight individual trees. This campaign occurred in October 2012, within the area of the Universidade do Vale do Paraíba, located in the central perimeter of Campos do Jordão (−2244 and −4536 and altitude 1520 m a.s.l.). The same number of trees and samples per tree were collected in our second campaign carried out in March 2013 at Pedra do Baú in São Bento do Sapucaí city, a municipality covered by Campos do Jordão (−2240 and −4539, and altitude 1835 m a.s.l.).
The samples were taken by the non-destructive method with the aid of an increment borer (Pressler probe), which removes wooden cores from live trees. An incision of 1.30 m diameter at breast height was made to remove each sample. To succeed in our analyses, the samples were glued on support and polished with a sequence of sandpapers of different granulations (from 50 to 400 grains). From the 16 Araucaria angustifolia trees (64 samples), only 45 samples were considered viable. The other unused samples were broken, incomplete, too dark, or with resin stains.
2.3. The Chronologies
The tree ring analyses were performed at the Natural Registry Laboratory (Laboratório de Registros Naturais (LRN)), located at the Instituto de Pesquisa e Desenvolvimento (IP&D) of the Universidade do Vale do Paraíba (UNIVAP). The samples considered viable for the study were examined under a stereomicroscope (SMZ 168, with increases of 6.3 to 40 times), and a fiber optic lighting system. Using this procedure, we demarcated the annual natural tree ring width and excluded the false rings using COFECHA for cross-dating. The tree rings were counted to determine the tree ages. Afterwards, they were correlated with their respective calendar year. The measurement of the tree ring width was performed on a Velmex Table.
The natural growth rate varies according to the biological characteristics of each species; in order to maximize climate signals, a detrending in each series must be performed. The detrending model depends on the study goal [26]. As this study aims to determine the climatological variabilities, the following steps were: (1) to obtain the tree ring widths for each (Figure 3); (2) to detrend the tree ring series using the 67% nspline (two-third spline) with 50% of frequency cutoff as the individual growth trend; (3) to subtract the trend from each tree series sample; (4) to calculate the mean chronology vising to minimize anomalies and/or damage or any other sporadic phenomenon that may occur in any tree (Figure 3); and (5) to improve the quality of the mean chronology, we used the statistical program COFECHA to find possible errors between samples and to check the synchronization between the tree ring series and the master series [27,28]. The traditional approach to standardizing tree ring indices is to divide tree ring series by the detrended 67% nspline [29]. However, the tree ring indices are computed as residuals due to the non-heteroscedastic nature of our tree ring series, as suggested by [28].
Figure 3.
Tree ring series of each tree from Campos do Jordão (Si in mm, where ). Mean chronology (Mean in mm, the last panel). The 67% nsplines (two-third splines) with 50% of frequency cutoff were applied to remove the age trend (red lines).
To measure the common variability in the chronology we calculate the value of the expressed population signal (EPS) using
The average number of tree series used is given by t and the mean between-tree correlation is given by . According to [30], when the EPS < 0.85, it means that the chronology is starting to be dominated by the individual signal of each tree series. However, the tree series can still be used for dendrochronology as long as it is not extremely low [31]. In Table 1, one can see that the EPS value for this study is 0.86. Therefore, the series has a coherent stand-level signal although it only contains 16 tree series.
Table 1.
Tree ring series parameters.
Furthermore, we performed the variance correction due to the different sample numbers used in each time interval [32]. It is important to use as much of the tree ring series as possible. A subset of size between one and ten reflects an increase in variance [33]. Given this circumstance, the variance correction should be applied to produce a corrected tree ring chronology. The uncorrected and corrected chronologies are shown in Figure 4. In our case, there was a contraction in the variance of the corrected chronology below 15 samples.
Figure 4.
The corrected mean chronology (black line), the change in sample size (blue line), and the mean chronology without variance correction (light gray dashed line).
2.4. Climatic Data and Analysis
In this study, monthly and annual temperature and precipitation series of the Campos do Jordão station—SP (OMM: 83714)—were used. These series are available at the INMET site (Instituto Nacional de Meteorologia). In this paper, we use the MATLAB functions developed by [34], Seascorr, to summarize the seasonal climate signal in our tree ring mean chronology. Figure 5 shows the climograph of the region. It can be observed that both precipitation and temperature follow the same pattern of monthly distribution. However, it can be noted that the precipitation does not vary much during the year (∼200 mm) and, also, the temperature (∼10 °C). The intercorrelation between the climatic variables (precipitation and temperature) was also evaluated, and has low correlation along the computed periods, with the majority below 50% (Figure 6).
Figure 5.
Climograph of Campos do Jordão city. (Top): Precipitation. (Bottom): Temperature.
Figure 6.
Intercorrelation of the climatic variable (precipitation and temperature) for 1, 3, 6, and 12 month-period moving correlation.
In the second step, we tested the temporal instability in the relationship between the mean chronology and our primary climate variables using the Pearson correlation. The correlation of mean chronology with our primary climate variables was also calculated in two sub-periods: in the early period between 1961–1978, and the late period, 1979–2012.
In the third step, the relationship between the mean chronology and our primary climate variables was also analyzed by the wavelet spectral techniques, which performs the search for periodicities and the extraction of non-periodic signals [35]. Morlet’s cross-wavelet spectrum shows what is common between two-time series. In the scalograms, the Y-axis represents the scale (periods) of the spectrum in years, the X-axis is time, also in years, and the color scale indicates the energy power for each periodicity at a given time. The scalogram also shows the cone of influence (delimited by a white curve), in which the outer region of this curve is where the border effects exist [36]. Here, we use the wavelet cross-correlation to analyze the data dependent on the scales, in which each one represents the behavior of a different frequency band. We used an updated version of the CWT algorithm with the Morlet as the analyzing wavelet [36]. We used the symmetrization method, to deal with the border effects [8]. Therefore, there is no need for a cone of influence in our scalograms.
2.5. Results and Discussions
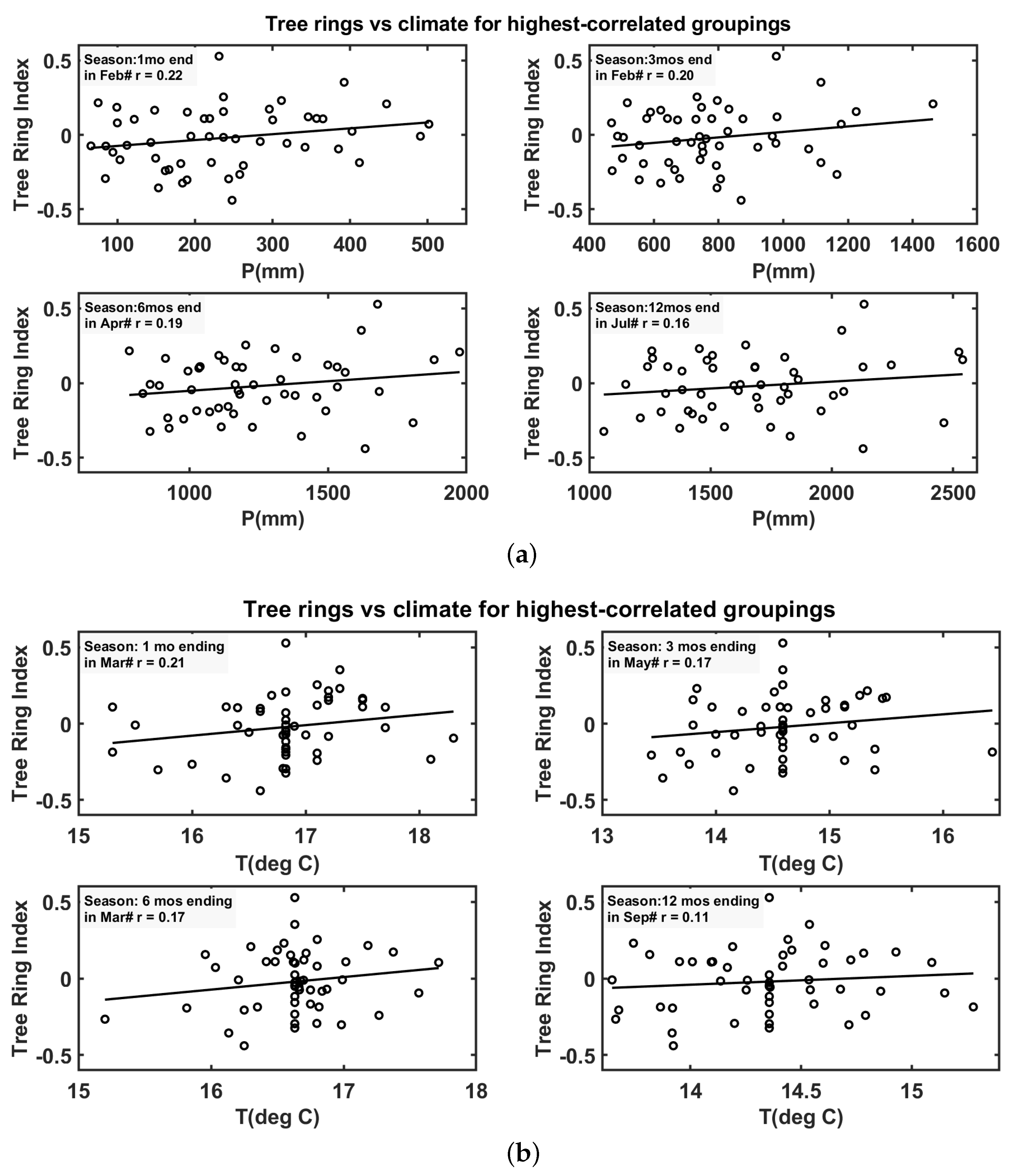
We calculated the Pearson’s correlations and partial correlations between the mean chronology and precipitation/temperature series (Figure 7). The partial correlation was used to remove the influence of one climatic variable from another using the Seascorr written with MATLAB Release 2010b by [34]. Therefore, it is possible to assess the importance of only one climatic variable in the mean chronology. In the case of the southern hemisphere, the growing season ends in March. Consequently, the correlations and partial correlations were computed for individual months from February of the previous year to March of the current year, 3-month seasons ending in February of the previous year to March of the current year, and so on. The monthly temperature is significantly negatively correlated () with the mean chronology in three-month lengths ending in December (partial correlation—without the precipitation influence). The analysis of Figure 7 shows that the highest correlations for precipitation are in February, February#, April#, and July# for the 1, 3, 6, and 12-month lengths, respectively, where # means “previous year”. In the same sense, the highest correlations for temperature are in March, May#, March#, and September#, respectively. The non-exceedance probabilities are listed in Table 2 for each computed “season”. We note that the correlations for the observed precipitation and temperature are higher than those for any of the corresponding 1000 simulations in February and March, respectively. The confidence intervals for the correlations are derived by Monte Carlo simulation, and the Empirical non-exceedance probabilities for the simulation-based correlations were computed using the Weibull formula, as discussed by [34].
Figure 7.
Correlations (top panel) and partial correlations (bottom panel) of mean chronology with the precipitation (P) and temperature (T). In each top panel are the simple correlations with the primary climate variable, and in each bottom panel, the partial correlations of mean chronology with the secondary climate variable. Significance at = 0.05 and = 0.01 color-coded. Notation () means correlation of x (mean chronology) with P (T); () means partial correlation of x with T (, controlling for influence of P (T). (a) Top—Precipitation simple correlation. Bottom—Temperature partial correlation. (b) Top—Temperature simple correlation. Bottom—Precipitation partial correlation.
Table 2.
Highest-correlated seasons of mean chronology with precipitation and temperature. The period analyzed is 1963–2012 with 1000 simulations. # means “previous year”.
In Table 3, we present the correlation and for full, early and late periods, for the precipitation and temperature as our primary variable. The indicates that the parameters used in this analysis are not significantly correlated concerning the full period. The month with the highest correlation for the full period is February. In the present study, considering the seasons of the southern hemisphere, the precipitation during February (ending of the summer season) was considered the best control factor for the growth of Araucaria angustifolia located in Campos do Jordão city. We also tested the temporal instability using the correlation values obtained in the splitting periods. The splitting time correlation analysis reveals temporal instability between tree ring width and summer precipitation presenting correlations of 0.34 for the early period and −0.07 for the late period. This low correlation between the tree ring series and monthly total precipitation in the late period suggests caution in climatic reconstructions and also in our interpretation of the relationship between the tree natural growth and precipitation. To overcome this problem, we used a time-dependent correlation; in other words, the wavelet cross-correlation. From the spectral analysis (Figure 8), it is possible to verify that there is a significant correlation () around the 2–3 year band during 1974–1986, around the 3–7 year band during ∼ 1961–1977, and around the 7–11 year band during 1967–1980.
Table 3.
Temporal stability of Pearson correlation of mean chronology with precipitation and temperature from early to late sub-periods. Full = 1961–2012, early = 1963–1987, late = 1988–2012.
Figure 8.
Cross-wavelets between the average growth rings’ dendrochronological series and February precipitation time-series with the global spectrum (bottom right panel) and the confidence level of 95% (white contours).
For the full period, the highest correlation using temperature as a primary climate variable is 0.21 for March (Table 3). In the same sense, the results for the halves of 1963–2012 are 0.36 and 0.02, respectively. This low correlation between the tree ring series and monthly temperature in the late period once more suggests caution in climatic reconstructions. The indicates that the parameters used in this analysis are not significantly correlated with the full period. Figure 9a shows the influence of the mean temperature, especially around the 3–7 year band during ∼ 1964–1983, and an 8–17 year band during 1962–1969. In Figure 9b, we can verify three bands of maximum temperature influence, a 2–3 year band during ∼1961–1967, a 4–7 year band during 1961–1968, and a 2–5 year band during 1968–1987. Finally, in Figure 9c, we can verify only one band of minimum temperature influence, a 4–9 year band during ∼1961–1981.
Figure 9.
Cross-wavelets between the average growth rings dendrochronological series and mean March temperature (a), with maximum March temperature (b) and with minimum March temperature (c) time-series, respectively, with the global spectrum (bottom right panel) and the confidence level of 95% (white contours).
As a result of the analyses mentioned above, we constructed the data scatter plot (Figure 10) between the mean chronology and our primary climate variables for period-groups with higher correlations. The precipitation was more significant and well-correlated with the mean chronology, indicating that the species is sensitive to meteorological fluctuations. According to [37], the trees show a reaction to the environmental variables that affect their innumerable physiological processes, such as breathing, sap flow, transpiration, rate of cell divisions, and so forth, reflecting on the exchange activity, and, consequently, on the anatomy of the wood. However, some authors compared the meteorological variations with the periodicity of the growth of forest species and concluded that the lack of seasonality of temperature or precipitation in some regions makes it difficult to determine the periodic activity of the vascular change [38].
Figure 10.
Data distribution between mean chronology and the precipitation (a) and the temperature (b).
A study described by [39] related the growth of Araucaria angustifolia with climatological data and observed that January was responsible for an increase of about 22% in the annual diametric increment of the trees. At the end of January, 57.42% of the accumulated annual increment of the trees occurred. Another study on the seasonal growth of Araucaria angustifolia concluded that in regions with regular rainfall during the year, together with other environmental factors, such as temperature, may cause the growth to decrease [40].
As discussed by [41], water stress affects other physiological processes besides photosynthesis. Growth is likely to be slowed down by inhibiting many sensitive processes such as cell elongation and protein synthesis. The authors of [42] comment on the influence of water on the physiology of plants. According to them, the availability of water in the leaf is closely related to physiological activities such as leaf turgor, growth, stomatal conductance, transpiration, photosynthesis and respiration.
Variations in temperature, precipitation and solar radiation, among other meteorological elements, are more significant in areas of temperate climate than in tropical, when discussing the growth rate of the trees [43]. The relationship between meteorological variables and the exchange activity of Araucaria angustifolia trees has been observed by several authors [4,6,8,44,45], through growth rings that present a seasonal rhythm. However, the exchange activity of Araucaria angustifolia presents a difference between the sample sites regarding the periods of initial and latewood formation. It is known that the temperature affects the vapor pressure in the leaf so that the water activity can be influenced by the temperature. Temperatures below zero can lead to the formation of air bubbles and freezing, making it difficult to transport water, which decreases or ceases biological activities [41]. In our studied region, the temperature did not show periodic or seasonal influence on the growth of Araucaria angustifolia, as we can see in Figure 9. It suggests a good adaptation of this tree population to the variations of maximum and minimum temperatures. Other studies consider temperature as a limiting factor [39,40].
Our results corroborate that the tree ring growth of Araucaria angustifolia is seasonal. The exchange rate activity, determined by the patterns of earlywood and latewood formation, suggests seasonal variability regulated by the annual variation in precipitation. We can consider that the high availability of water is a limiting factor to the growth and development of the Araucaria angustifolia trees, since the excess of water available in the soil causes a decrease in the photosynthetic rate, reflected in the decrease of the tree’s growth. The behavior of the Araucaria angustifolia in relation to water depends on the precipitation availability in the region.
3. Conclusions
The mean chronology of tree ring width in the region of Campos do Jordão-SP covered the time interval from 1803 to 2012. Our chronology was compared to the precipitation and temperature datasets employing Pearson correlation and cross-wavelet analysis. Our results corroborate that the tree ring growth of Araucaria angustifolia is seasonal. The rate of exchange activity determined the patterns of earlywood and latewood formation. This fact suggests that exchange rate seasonality may be regulated by the months at the end of the summer season, February (precipitation) and March (temperature).
Our results show evidence of temporal instabilities for both splitting time correlation analysis using precipitation and temperature, especially in the last halves of 1963–2012. To address this issue, the dendrochronological series and the climatic data were investigated using the wavelet cross-correlation searching for 95% significant time-dependent cause–effect relationships. From these analyses, we find a strong influence of the region’s precipitation and temperature on the growth of tree rings.
A difficulty in the development of this work was the lack of longer and more complete climatic series in the region, and this will be our next task for better results.
Author Contributions
D.O.d.S. made a major contribution to preparing the introduction, dataset and methodology, and conclusions. A.P. developed the idea for this manuscript. V.K. collaborated in the revision of the text and description of the results. T.G.G.d.S. was responsible for the acquisition of the dataset and its preconditioning. All authors have read and agreed to the published version of the manuscript.
Funding
This research received no external funding.
Institutional Review Board Statement
Not applicable.
Informed Consent Statement
Not applicable.
Data Availability Statement
To obtain the data for this study, please contact the authors via email.
Acknowledgments
The authors would like to thank FAPESP (Fundação de Amparo à Pesquisa do Estado de São Paulo.) for its assistance in the Prestes A. FAPESP project—(2009/02907-8), and CNPq (305249/2018-5).
Conflicts of Interest
The authors declare no conflict of interest.
Abbreviations
The following abbreviations are used in this manuscript:
| IP&D | Instituto de Pesquisa e Desenvolvimento |
| UNIVAP | Universidade do Vale do Paraíba |
References
- Das Neves Brandes, A.F.; Albuquerque, R.P.; Lisi, C.S.; de Lemos, D.N.; Nicola, L.R.M.; Melo, A.L.F.; Barros, C.F. The growth responses of Araucaria angustifolia to climate are adjusted both spatially and temporally at its northern distribution limit. For. Ecol. Manag. 2021, 487, 119024. [Google Scholar] [CrossRef]
- Venegas-González, A.; Roig, F.A.; Lisi, C.S.; Albiero-Junior, A.; Alvares, C.A.; Tomazello-Filho, M. Drought and climate change incidence on hotspot Cedrela forests from the Mata Atlântica biome in southeastern Brazil. Glob. Ecol. Conserv. 2018, 15, e00408. [Google Scholar] [CrossRef]
- Schweingruber, F.H. Tree Rings: Basics and Applications of Dendrochronology; D. Reidel Publishing Company: Dordrecht, Holland, 1988. [Google Scholar]
- Nordemann, D.J.R.; Rigozo, N.R. Árvores Contam uma História do Sol. Sci. Am. 2003, 2, 30–37. [Google Scholar]
- Luckman, B.H. Using Multiple High-Resolution Proxy Climate Records to Reconstruct Natural Climate Variability: An example from the Canadian Rockies. In Mountain Environments in Changing Climates; Routledge: London, UK, 1994; pp. 42–59. [Google Scholar]
- Rigozo, N.; Lisi, C.; Filho, M.; Prestes, A.; Nordemann, D.; Pereira de Souza Echer, M.; Echer, E.; Evangelista, H.; Rigozo, V. Solar-Terrestrial Signal Record in Tree Ring Width Time Series from Brazil. Pure Appl. Geophys. 2012, 169. [Google Scholar] [CrossRef]
- Lorensi, C.; Prestes, A. Dendroclimatological Reconstruction of Spring-Summer Precipitation for Fazenda Rio Grande, PR, with samples of Araucaria angustifolia (Bertol.) Kuntze. Rev. Árvore 2016, 40, 347–354. [Google Scholar] [CrossRef] [Green Version]
- Prestes, A.; Klausner, V.; Rojahn da Silva, I.; Ojeda-González, A.; Lorensi, C. Araucaria growth response to solar and climate variability in South Brazil. Ann. Geophys. 2018, 36, 717–729. [Google Scholar] [CrossRef] [Green Version]
- Fontana, C.; Reis-Avila, G.; Nabais, C.; Botosso, P.C.; Oliveira, J.M. Dendrochronology and climate in the Brazilian Atlantic Forest: Which species, where and how. Neotrop. Biol. Conserv. 2018, 13, 321–333. [Google Scholar] [CrossRef] [Green Version]
- Lisi, C.S.; Pessenda, L.C.R.; Tomazello Fo., M.; Rozanski, K. 14C Bomb efects on tree rings of tropical and subtropical species of Brazil. Tree-Ring Res. 2001, 57, 191–196. [Google Scholar]
- Roig, F.A. Dendrocronologia en América Latina; EDIUNC: Mendoza, Argentina, 2000. [Google Scholar]
- Carvalho, P. Pinheiro-do-Paraná. Technical Report 60, Circular Técnica Embrapa. 2002. Available online: http://www.infoteca.cnptia.embrapa.br/infoteca/handle/doc/304455 (accessed on 20 March 2021).
- Wrege, M.; Sousa, V.; Fritzsons, E.; Soares, M.; Aguiar, V.A. Predicting current and future geographical distribution of araucaria in Brazil for fundamental niche modeling. Environ. Ecol. Res. 2017, 4, 269–279. [Google Scholar] [CrossRef]
- Wrege, M.S.; Fritzsons, E.; Soares, M.T.S.; Bognola, I.A.; de Sousa, V.A.; de Sousa, L.P.; Gomes, J.B.V.; de Aguiar, A.V.; Gomes, G.C.; Matos, M.; et al. Distribuição natural e habitat da araucária frente às mudanças climáticas globais. Pesqui. Florest. Bras. 2017, 37, 331. [Google Scholar] [CrossRef] [Green Version]
- Guerra, M.; Silveira, V.; Reis, M.; Schneider, L. Exploração, manejo e conservação da araucária (Araucaria angustifolia). In Sustentável Mata Atlântica—A Exploração de Seus Recursos Florestais; Simões, L.L., Lino, C.F., Eds.; Editora Senac: São Paulo, Brazil, 2002; pp. 85–102. [Google Scholar]
- Ribeiro, M.C.; Metzger, J.P.; Martensen, A.C.; Ponzoni, F.J.; Hirota, M.M. The Brazilian Atlantic Forest: How much is left, and how is the remaining forest distributed? Implications for conservation. Biol. Conserv. 2009, 142, 1141–1153. [Google Scholar] [CrossRef]
- Carvalho, M.M.X.; Nodari, E.S. As fases da exploração madeireira na floresta com Araucária e os progressivos avanços da indústria madeireira sobre as florestas primárias (1870–1970). In Anais do Simpósio Internacional de História Ambiental e Migrações; UFSC: Florianópolis, Brazil, 2010. [Google Scholar]
- Thomas, P. Araucaria Angustifolia. The IUCN Red List of Threatened Species 2013. Technical Report, Online Document. 2013. Available online: https://doi.org/10.2305/IUCN.UK.2013-1.RLTS.T32975A2829141.en (accessed on 13 May 2021).
- Brazil. Portaria N° 443, de 17 de Dezembro de 2014. Technical Report, Diário Oficial da União. 2014; pp. 110–121. Available online: http://cncflora.jbrj.gov.br/portal/static/pdf/portaria_mma_443_2014.pdf (accessed on 21 April 2021).
- Rodrigues, R.; Brancalion, P.; Isernhagen, I. Pacto Pela Restauração da Mata Atlântica: Referencial dos Conceitos e Ações de Restauração Florestal. Technical Report, Escola Superior de Agricultura Luiz de Queiroz & Instituto BioAtlântica. 2009. Available online: https://www.ipe.org.br/ultimas-noticias/1911-ipe-esta-no-conselho-de-coordenacao-do-pacto-pela-restauracao-da-mata-atlantica?gclid=Cj0KCQjw9O6HBhCrARIsADx5qCSaSwOsx3voien-9Nz2wcP6esrNTnHLCfejR5tdMjWz5aqor-jSK8kaAvdiEALw_wcB (accessed on 20 March 2021).
- Souza, R.O.M.; Souza, V.C.; Polisel, R.T.; Ivanauskas, N.M. Estrutura e aspectos da regeneração natural de Floresta Ombrófila Mista no Parque Estadual de Campos do Jordão, SP, Brasil. Hoehnea 2012, 39, 387–407. [Google Scholar] [CrossRef] [Green Version]
- Lisi, C.S. Atividade de î4C do Fallout e Razão Isotópica î3C/î2em Anéis de Crescimento de Clima Tropical e Subtropical do Brasil. Ph.D. Thesis, CENA Science PG, Universidade de São Paulo, São Paulo, Brazil, 18 January 2001. [Google Scholar]
- Raven, P.; Evert, R.; Eichhorn, S. Biologia Vegetal, 6th ed.; Guanabara Koogan: Rio de Janeiro, Brazil, 1999. [Google Scholar]
- Do Estado de São Paulo, G. Plano de Manejo do Parque Estadual de Campos do Jordão. Technical Bulletin, Governo do Estado de São Paulo. 1975. Available online: https://www.infraestruturameioambiente.sp.gov.br/fundacaoflorestal/planos-de-manejo/planos-de-manejo-planos-concluidos/planos-de-manejo-pe-de-campos-do-jordao/ (accessed on 20 March 2021).
- Botosso, P. Identificação Macroscópica de Madeiras: Guia práTico e Noções Básicas para o seu Reconhecimento; Embrapa Florestas Colombo: Paraná, Brazil, 2011. [Google Scholar]
- Silva, D.; Klausner, V.; Prestes, A.; Gimenes, H.M.; Aakala, T.; Silva, I.R. Principal Components Analysis: An Alternative Way for Removing Natural Growth Trends. Pure Appl. Geophys. 2021. [Google Scholar] [CrossRef]
- Holmes, R.L. Computer assisted quality control in tree-ring dating and measurement. Tree Ring Bull. 1983, 43, 69–78. [Google Scholar]
- Helama, S.; Lindholm, M.; Timonen, M.; Eronen, M. Detection of climate signal in dendrochronological data analysis: A comparison of tree-ring standardization methods. Theor. Appl. Climatol. 2004, 79, 239–254. [Google Scholar] [CrossRef]
- Fowler, A.M. Variance Stabilization Revisited: A Case For Analysis Based On Data Pooling. Tree-Ring Res. 2009, 65, 129–145. [Google Scholar] [CrossRef]
- Speer, J.H. Fundalmentals of Tree-Ring Research; Library of Congress Cataloging-in-Publication Data; Library of Congress: Washington, DC, USA, 1971. [Google Scholar]
- Ferrio, J.P.; Díez-Herrero, A.; Tarrés, D.; Ballesteros-Cánovas, J.A.; Aguilera, M.; Bodoque, J.M. Using stable isotopes of oxygen from tree-rings to study the origin of past flood events: First results from the iberian peninsula. Quaternaire 2015, 26, 67–80. [Google Scholar] [CrossRef] [Green Version]
- Shiyatov, S.G.; Mazepa, V.S. Some New Approaches in the Consideration of More Reliable Dendroclimatological Series and in the Analysis of Cycle Components; Methods of Dendrochronology; Kairiukstis, L., Cook, E.R., Eds.; International Institute for Applied Systems Analysis, Laxenburg, Austria and Polish Academy of Sciences-System Research Institute: Warsaw, Poland, 1987. [Google Scholar]
- Cook, E.; Briffa, K.; Shiyatov, S.; Mazepa, V.; Jones, P.D. Data Analysis. In Methods of Dendrochronology: Applications in the Environmental Sciences; Cook, E.R., Kairiukstis, L.A., Eds.; Springer: Dordrecht, The Netherlands, 1990; pp. 97–162. [Google Scholar] [CrossRef]
- Meko, D.M.; Touchan, R.; Anchukaitis, K.J. Seascorr: A MATLAB program for identifying the seasonal climate signal in an annual tree-ring time series. Comput. Geosci. 2011, 37, 1234–1241. [Google Scholar] [CrossRef]
- Rigozo, N.R.; Echer, E.; Vieira, L.E.A.; Nordemann, D.R. Reconstruction of Wolf sunspot numbers on the basis of spectral characteristics and estimates of associated radio flux and solar Wind parameters for the last millennium. Sol. Phys. 2001, 203, 179–191. [Google Scholar] [CrossRef]
- Torrence, C.; Compo, G.P. A Practical Guide to Wavelet Analysis. Bull. Am. Meteorol. Soc. 1998, 79, 61–78. [Google Scholar] [CrossRef] [Green Version]
- Tomazello Filho, M.; Botosso, P.C.; Lisi, C.S. Análise e aplicação dos anéis de crescimento das árvores como indicadores ambientais: Dendrocronologia e dendroclimatologia. In Indicadores Ambientais: Conceitos e Aplicações; EDUC, COMPED, INEP: Piracicapa, São Paulo, Brazil, 2002; pp. 117–143. [Google Scholar]
- Cardoso, N.S. Caracterização da Estrutura Anatômica da Madeira, Fenologia e Relações com a Atividade Cambial de Arvores de Teça (Tectona Grandis)— Verbanaceae. Master’s Thesis, Escola Superior de Agricultura “Luiz de Queiroz”, Universidade de São Paulo, Piracicaba, Brazil, 1991. [Google Scholar]
- Zanon, M.L.B. Crescimento da Araucaria Angustifolia (Bertol.) Kuntze Diferenciado por Dioicia. Ph.D. Thesis, Universidade Federal de Santa Maria, Santa Maria, Brazil, 2007. [Google Scholar]
- Santarosa, E.; Oliveira, J.M.; Roig, F.A.; Pillar, V.P. Crescimento Sazonal em Araucaria angustifolia: Evidências Anatômicas. Rev. Bras. BiociêNcias 2007, 5, 618–620. [Google Scholar]
- Lambers, H.; Chapin, F.; Pons, T. Plant Physiological Ecology; Springer: New York, NY, USA, 1998. [Google Scholar]
- Kramer, P.J.; Boyer, J. Water Relations of Plants and Soils; Academic Pres: San Diego, CA, USA, 1995; p. 495. [Google Scholar]
- Jacob, G.C. Overview of tree-rings analysis in tropical regions. IAWA Bull. New Ser. 1989, 10, 99–108. [Google Scholar] [CrossRef]
- Rigozo, N.; Evangelista, H.; Nordemann, D.; Echer, E.; Pereira de Souza Echer, M.; Prestes, A. The Medieval and Modern Maximum solar activity imprints in tree ring data from Chile and stable isotope records from Antarctica and Peru. J. Atmos. Sol. Terr. Phys. 2008, 70, 1012–1024. [Google Scholar] [CrossRef]
- Scipioni, M.C.; Fontana, C.; Oliveira, J.M.; Santini Junior, L.; Roig, F.A.; Tomazello-Filho, M. Effects of cold conditions on the growth rates of a subtropical conifer. Dendrochronologia 2021, 68, 125858. [Google Scholar] [CrossRef]
Publisher’s Note: MDPI stays neutral with regard to jurisdictional claims in published maps and institutional affiliations. |
© 2021 by the authors. Licensee MDPI, Basel, Switzerland. This article is an open access article distributed under the terms and conditions of the Creative Commons Attribution (CC BY) license (https://creativecommons.org/licenses/by/4.0/).









