Composition Characteristics of VOCs in the Atmosphere of the Beibei Urban District of Chongqing: Insights from Long-Term Monitoring
Abstract
:1. Introduction
2. Method
2.1. Sampling Site and Sampling Method
2.2. VOCs Analysis Method
2.3. Photochemical Reactivity Analysis Method
2.4. PCA
2.5. Statistical Analysis
3. Results
3.1. Characteristics of VOCs
3.1.1. Concentration Levels and Temporal Variations
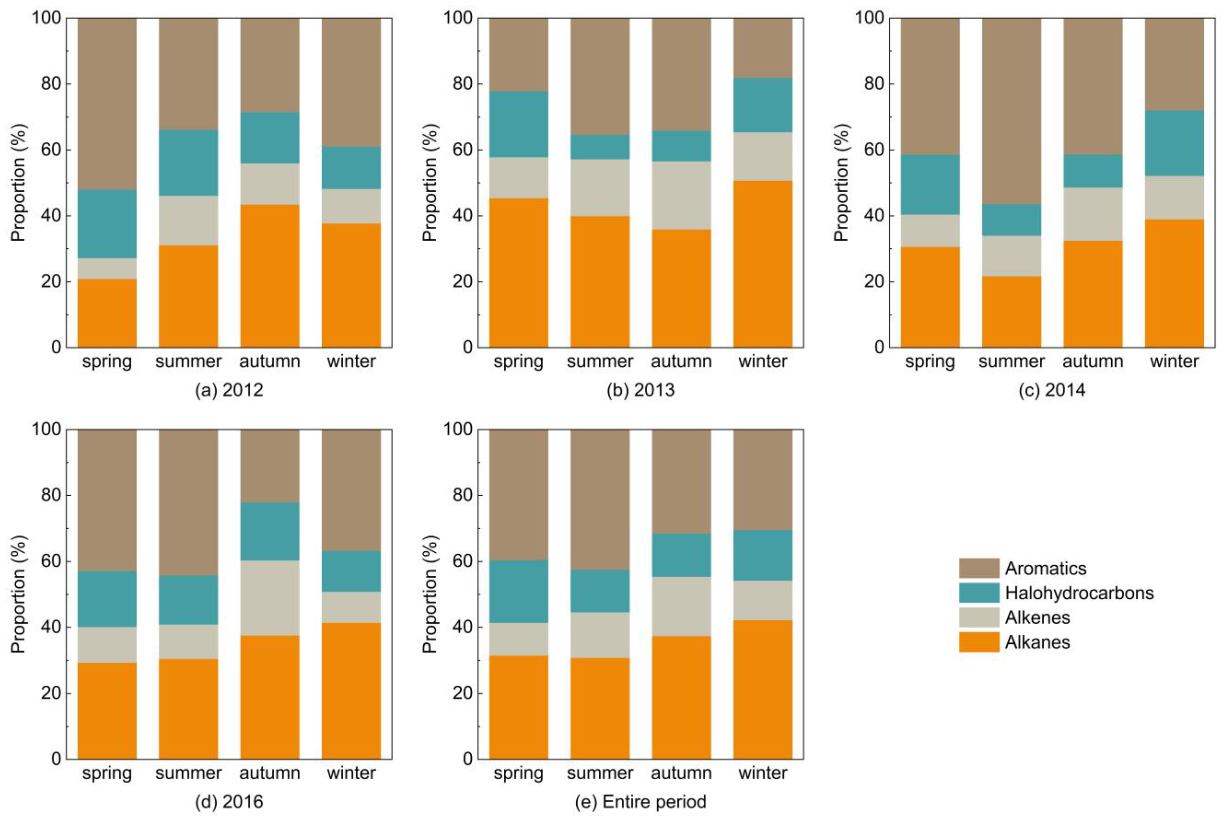
3.1.2. Composition and Seasonal Distribution
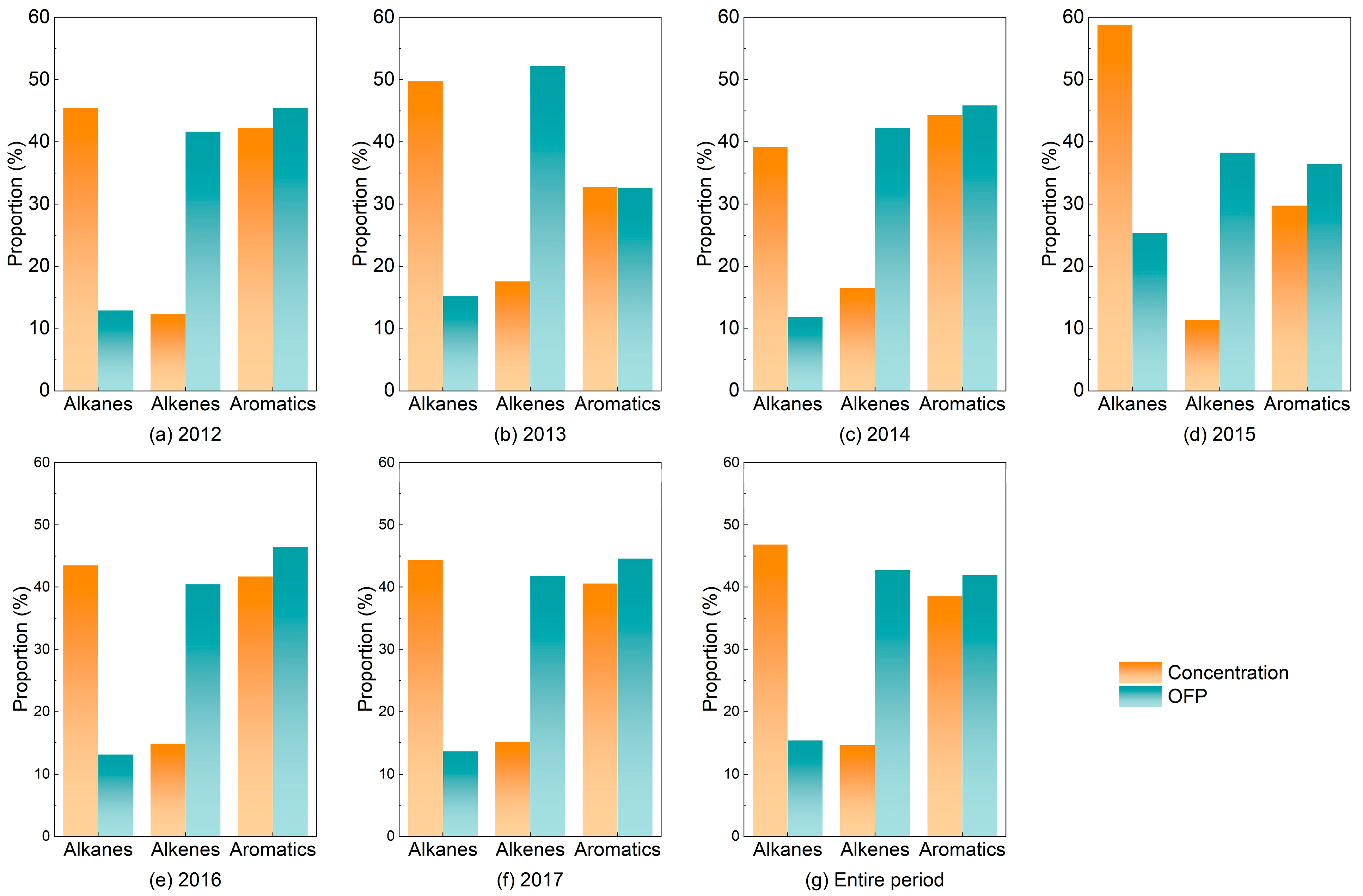
3.2. OFP
3.3. T/B Ratio and PCA
3.3.1. T/B Ratio
3.3.2. PCA
4. Discussion
4.1. Characteristics of VOCs
4.1.1. Analysis of the Concentration Levels and Temporal Variations
4.1.2. Analysis of the Composition and Seasonal Distribution
4.2. Photochemical Activity Analysis of VOCs
4.3. Source Appointment of VOCs
5. Conclusions
Author Contributions
Funding
Institutional Review Board Statement
Informed Consent Statement
Data Availability Statement
Acknowledgments
Conflicts of Interest
References
- Bari, A.; Kindzierski, W.B. Ambient volatile organic compounds (VOCs) in Calgary, Alberta: Sources and screening health risk assessment. Sci. Total Environ. 2018, 631–632, 627–640. [Google Scholar] [CrossRef] [PubMed]
- Liu, Z.; Doherty, R.M.; Wild, O.; Hollaway, M.; O’connor, F.M. Contrasting chemical environments in summertime for atmospheric ozone across major Chinese industrial regions: The effectiveness of emission control strategies. Atmos. Meas. Technol. 2021, 21, 10689–10706. [Google Scholar] [CrossRef]
- Feng, Z.; De Marco, A.; Anav, A.; Gualtieri, M.; Sicard, P.; Tian, H.; Fornasier, F.; Tao, F.; Guo, A.; Paoletti, E. Economic losses due to ozone impacts on human health, forest productivity and crop yield across China. Environ. Int. 2019, 131, 104966. [Google Scholar] [CrossRef] [PubMed]
- Zeng, Y.; Cao, Y.; Qiao, X.; Seyler, B.C.; Tang, Y. Air Pollution Reduction in China: Recent Success but Great Challenge for the Future. Sci. Total Environ. 2019, 663, 329–337. [Google Scholar] [CrossRef] [PubMed]
- Tan, Z.; Lu, K.; Jiang, M.; Su, R.; Dong, H.; Zeng, L.; Xie, S.; Tan, Q.; Zhang, Y. Exploring ozone pollution in Chengdu, southwestern China: A case study from radical chemistry to O3-VOC-NOx sensitivity. Sci. Total Environ. 2018, 636, 775–786. [Google Scholar] [CrossRef]
- Lyu, X.; Chen, N.; Guo, H.; Zhang, W.; Wang, N.; Wang, Y.; Liu, M. Ambient volatile organic compounds and their effect on ozone production in Wuhan, central China. Sci. Total Environ. 2016, 541, 200–209. [Google Scholar] [CrossRef]
- Hui, L.; Liu, X.; Tan, Q.; Feng, M.; An, J.; Qu, Y.; Zhang, Y.; Jiang, M. Characteristics, source apportionment and contribution of VOCs to ozone formation in Wuhan, Central China. Atmos. Environ. 2018, 192, 55–71. [Google Scholar] [CrossRef]
- Mozaffar, A.; Zhang, Y.-L.; Fan, M.; Cao, F.; Lin, Y.-C. Characteristics of summertime ambient VOCs and their contributions to O3 and SOA formation in a suburban area of Nanjing, China. Atmos. Res. 2020, 240, 104923. [Google Scholar] [CrossRef]
- Hao, G.; Chen, K.; Wang, P.; Hu, L.; Ying, Q.; Gao, A.; Zhang, H. Simulation of Summer Ozone and Its Sensitivity to Emission Changes in China. Atmos. Pollut. Res. 2019, 10, 1543–1552. [Google Scholar] [CrossRef]
- Zhang, J.; Sun, Y.; Wu, F.; Sun, J.; Wang, Y. The characteristics, seasonal variation and source apportionment of VOCs at Gongga Mountain, China. Atmos. Environ. 2014, 88, 297–305. [Google Scholar] [CrossRef]
- Barletta, B.; Meinardi, S.; Rowland, F.S.; Chan, C.-Y.; Wang, X.; Zou, S.; Chan, L.Y.; Blake, D.R. Volatile organic compounds in 43 Chinese cities. Atmos. Environ. 2005, 39, 5979–5990. [Google Scholar] [CrossRef]
- Liu, Y.; Kong, L.; Liu, X.; Zhang, Y.; Li, C.; Zhang, Y.; Zhang, C.; Qu, Y.; An, J.; Ma, D.; et al. Characteristics, secondary transformation, and health risk assessment of ambient volatile organic compounds (VOCs) in urban Beijing, China. Atmos. Pollut. Res. 2021, 12, 33–46. [Google Scholar] [CrossRef]
- Liu, Y.; Shao, M.; Fu, L.; Lu, S.; Zeng, L.; Tang, D. Source profiles of volatile organic compounds (VOCs) measured in China: Part I. Atmos. Environ. 2008, 42, 6247–6260. [Google Scholar] [CrossRef]
- Liang, X.; Sun, X.; Xu, J.; Ye, D. Improved emissions inventory and VOCs speciation for industrial OFP estimation in China. Sci. Total Environ. 2020, 745, 140838. [Google Scholar] [CrossRef] [PubMed]
- Li, J.; Li, L.Y.; Wu, R.R.; Li, Y.Q.; Bo, Y.; Xie, S.D. Inventory of highly resolved temporal and spatial volatile organic compounds emission in China. WIT Trans. Ecol. Environ. 2016, 207, 79–86. [Google Scholar] [CrossRef]
- Yao, S.; Fan, F.; Zhang, J.; Wang, Q. Characteristics of summertime ambient volatile organic compounds in Beijing: Composition, source apportionment, and chemical reactivity. Atmos. Pollut. Res. 2023, 14, 101725. [Google Scholar] [CrossRef]
- Chen, Y.; Xie, S.-D.; Luo, B.; Zhai, C.-Z. Particulate pollution in urban Chongqing of southwest China: Historical trends of variation, chemical characteristics and source apportionment. Sci. Total Environ. 2017, 584–585, 523–534. [Google Scholar] [CrossRef]
- Yang, Y.; Ji, D.; Sun, J.; Yao, D.; Zhao, S.; Yu, X.; Zeng, L.; Zhang, R.; Zhang, H.; Wang, Y.; et al. Ambient volatile organic compounds in a suburban site between Beijing and Tianjin: Concentration levels, source apportionment and health risk assessment. Sci. Total Environ. 2019, 695, 133889. [Google Scholar] [CrossRef] [PubMed]
- Liu, B.; Liang, D.; Yang, J.; Dai, Q.; Bi, X.; Feng, Y.; Yuan, J.; Xiao, Z.; Zhang, Y.; Xu, H. Characterization and source apportionment of volatile organic compounds based on 1-year of observational data in Tianjin, China. Environ. Pollut. 2016, 218, 757–769. [Google Scholar] [CrossRef]
- An, J.; Zhu, B.; Wang, H.; Li, Y.; Lin, X.; Yang, H. Characteristics and source apportionment of VOCs measured in an industrial area of Nanjing, Yangtze River Delta, China. Atmos. Environ. 2014, 97, 206–214. [Google Scholar] [CrossRef]
- Xu, Z.; Huang, X.; Nie, W.; Chi, X.; Xu, Z.; Zheng, L.; Sun, P.; Ding, A. Influence of synoptic condition and holiday effects on VOCs and ozone production in the Yangtze River Delta region, China. Atmos. Environ. 2017, 168, 112–124. [Google Scholar] [CrossRef]
- Louie, P.K.; Ho, J.W.; Tsang, R.C.; Blake, D.R.; Lau, A.K.; Yu, J.Z.; Yuan, Z.; Wang, X.; Shao, M.; Zhong, L. VOCs and OVOCs distribution and control policy implications in Pearl River Delta region, China. Atmos. Environ. 2012, 76, 125–135. [Google Scholar] [CrossRef]
- Ho, K.; Lee, S.; Guo, H.; Tsai, W. Seasonal and diurnal variations of volatile organic compounds (VOCs) in the atmosphere of Hong Kong. Sci. Total Environ. 2004, 322, 155–166. [Google Scholar] [CrossRef] [PubMed]
- Ou, J.; Guo, H.; Zheng, J.; Cheung, K.; Louie, P.K.; Ling, Z.; Wang, D. Concentrations and sources of non-methane hydrocarbons (NMHCs) from 2005 to 2013 in Hong Kong: A multi-year real-time data analysis. Atmos. Environ. 2015, 103, 196–206. [Google Scholar] [CrossRef]
- Carter, W.P.L. Development of Ozone Reactivity Scales for Volatile Organic Compounds. Air Waste 1994, 44, 881–899. [Google Scholar] [CrossRef]
- Thurston, G.D.; Spengler, J.D. A quantitative assessment of source contributions to inhalable particulate matter pollution in metropolitan Boston. Atmos. Environ. 1985, 19, 9–25. [Google Scholar] [CrossRef]
- Garzón, J.P.; Huertas, J.I.; Magaña, M.; Huertas, M.E.; Cárdenas, B.; Watanabe, T.; Maeda, T.; Wakamatsu, S.; Blanco, S. Volatile organic compounds in the atmosphere of Mexico City. Atmos. Environ. 2015, 119, 415–429. [Google Scholar] [CrossRef]
- Dumanoglu, Y.; Kara, M.; Altiok, H.; Odabasi, M.; Elbir, T.; Bayram, A. Spatial and seasonal variation and source apportionment of volatile organic compounds (VOCs) in a heavily industrialized region. Atmos. Environ. 2014, 98, 168–178. [Google Scholar] [CrossRef]
- Ling, Z.; Guo, H.; Cheng, H.; Yu, Y. Sources of ambient volatile organic compounds and their contributions to photochemical ozone formation at a site in the Pearl River Delta, southern China. Environ. Pollut. 2011, 159, 2310–2319. [Google Scholar] [CrossRef] [PubMed]
- Yao, S.; Wang, Q.; Zhang, J.; Zhang, R.; Gao, Y.; Zhang, H.; Li, J.; Zhou, Z. Ambient volatile organic compounds in a heavy industrial city: Concentration, ozone formation potential, sources, and health risk assessment. Atmos. Pollut. Res. 2021, 12, 101053. [Google Scholar] [CrossRef]
- Hui, L.; Liu, X.; Tan, Q.; Feng, M.; An, J.; Qu, Y.; Zhang, Y.; Deng, Y.; Zhai, R.; Wang, Z. VOC characteristics, chemical reactivity and sources in urban Wuhan, central China. Atmos. Environ. 2020, 224, 117340. [Google Scholar] [CrossRef]
- Li, J.; Zhai, C.; Yu, J.; Liu, R.; Li, Y.; Zeng, L.; Xie, S. Spatiotemporal variations of ambient volatile organic compounds and their sources in Chongqing, a mountainous megacity in China. Sci. Total Environ. 2018, 627, 1442–1452. [Google Scholar] [CrossRef] [PubMed]
- Zhang, Y.; Li, R.; Fu, H.; Zhou, D.; Chen, J. Observation and analysis of atmospheric volatile organic compounds in a typical petrochemical area in Yangtze River Delta, China. J. Environ. Sci. 2018, 71, 233–248. [Google Scholar] [CrossRef] [PubMed]
- Mo, Z.; Shao, M.; Lu, S. Compilation of a source profile database for hydrocarbon and OVOC emissions in China. Atmos. Environ. 2016, 143, 209–217. [Google Scholar] [CrossRef]
- Qi, X.; Hao, Q.-J.; Ji, D.-S.; Zhang, J.-K.; Liu, Z.-R.; Hu, B.; Wang, Y.-S.; Jiang, C.-S. Composition characteristics of atmospheric volatile organic compounds in the urban area of Beibei District, Chongqing. Huan Jing Ke Xue Huanjing Kexue 2014, 35, 3293–3301. [Google Scholar]
- Qu, C.-Z.; Liu, R.-L.; Xu, J.-Y.; Liu, P.; Li, L. The Variation of VOCs Concentration and Ozone Formation Potential in the Urban Area of Chongqing. Environ. Impact Assess. 2013, 6, 45–49+53. (In Chinese) [Google Scholar] [CrossRef]
- Wang, M.; Qin, W.; Chen, W.; Zhang, L.; Zhang, Y.; Zhang, X.; Xie, X. Seasonal variability of VOCs in Nanjing, Yangtze River delta: Implications for emission sources and photochemistry. Atmos. Environ. 2019, 223, 117254. [Google Scholar] [CrossRef]
- Tong, L.; Liao, X.; Chen, J.; Xiao, H.; Xu, L.; Zhang, F.; Niu, Z.; Yu, J. Pollution characteristics of ambient volatile organic compounds (VOCs) in the southeast coastal cities of China. Environ. Sci. Pollut. Res. 2012, 20, 2603–2615. [Google Scholar] [CrossRef]
- Wu, F.; Yu, Y.; Sun, J.; Zhang, J.; Wang, J.; Tang, G.; Wang, Y. Characteristics, source apportionment and reactivity of ambient volatile organic compounds at Dinghu Mountain in Guangdong Province, China. Sci. Total Environ. 2016, 548–549, 347–359. [Google Scholar] [CrossRef]
- Wang, G.; Zhao, N.; Zhang, H.; Li, G.; Xin, G. Spatiotemporal Distributions of Ambient Volatile Organic Compounds in China: Characteristics and Sources. Aerosol Air Qual. Res. 2022, 22, 210379. [Google Scholar] [CrossRef]
- Tsai, J.-H.; Huang, P.-H.; Chiang, H.-L. Characteristics of volatile organic compounds from motorcycle exhaust emission during real-world driving. Atmos. Environ. 2014, 99, 215–226. [Google Scholar] [CrossRef]
- Guo, H.; Ling, Z.H.; Cheng, H.R.; Simpson, I.J.; Lyu, X.P.; Wang, X.M.; Shao, M.; Lu, H.X.; Ayoko, G.; Zhang, Y.L.; et al. Tropospheric volatile organic compounds in China. Sci. Total Environ. 2017, 574, 1021–1043. [Google Scholar] [CrossRef] [PubMed]
- Cao, X.; Yao, Z.; Shen, X.; Ye, Y.; Jiang, X. On-road emission characteristics of VOCs from light-duty gasoline vehicles in Beijing, China. Atmos. Environ. 2016, 124, 146–155. [Google Scholar] [CrossRef]
- Song, M.; Tan, Q.; Feng, M.; Qu, Y.; Liu, X.; An, J.; Zhang, Y. Source Apportionment and Secondary Transformation of Atmospheric Nonmethane Hydrocarbons in Chengdu, Southwest China. J. Geophys. Res. Atmos. 2018, 123, 9741–9763. [Google Scholar] [CrossRef]
- Wang, N.; Li, N.; Liu, Z.; Evans, E. Investigation of chemical reactivity and active components of ambient VOCs in Jinan, China. Air Qual. Atmos. Health 2015, 9, 785–793. [Google Scholar] [CrossRef]
- Song, M.; Li, X.; Yang, S.; Yu, X.; Zhou, S.; Yang, Y.; Chen, S.; Dong, H.; Liao, K.; Chen, Q.; et al. Spatiotemporal variation, sources, and secondary transformation potential of volatile organic compounds in Xi’an, China. Atmos. Meas. Technol. 2021, 21, 4939–4958. [Google Scholar] [CrossRef]
- Shao, P.; An, J.; Xin, J.; Wu, F.; Wang, J.; Ji, D.; Wang, Y.S. Source apportionment of VOCs and the contribution to photochemical ozone formation during summer in the typical industrial area in the Yangtze River Delta, China. Atmos. Res. 2016, 176–177, 64–74. [Google Scholar] [CrossRef]
- Zhang, L.; Li, H.; Wu, Z.; Zhang, W.; Liu, K.; Cheng, X.; Zhang, Y.; Li, B.; Chen, Y. Characteristics of atmospheric volatile organic compounds in urban area of Beijing: Variations, photochemical reactivity and source apportionment. J. Environ. Sci. 2020, 95, 190–200. [Google Scholar] [CrossRef]
- Zhang, X.; Yin, Y.; Wen, J.; Huang, S.; Han, D.; Chen, X.; Cheng, J. Characteristics, reactivity and source apportionment of ambient volatile organic compounds (VOCs) in a typical tourist city. Atmos. Environ. 2019, 215, 116898. [Google Scholar] [CrossRef]
- Liu, Y.; Qiu, P.; Xu, K.; Li, C.; Yin, S.; Zhang, Y.; Ding, Y.; Zhang, C.; Wang, Z.; Zhai, R.; et al. Analysis of VOC emissions and O3 control strategies in the Fenhe Plain cities, China. J. Environ. Manag. 2023, 325, 116534. [Google Scholar] [CrossRef]
- Wang, L.; Slowik, J.G.; Tong, Y.; Duan, J.; Gu, Y.; Rai, P.; Qi, L.; Stefenelli, G.; Baltensperger, U.; Huang, R.-J.; et al. Characteristics of wintertime VOCs in urban Beijing: Composition and source apportionment. Atmos. Environ. X 2020, 9, 100100. [Google Scholar] [CrossRef]
- Ou, J.; Zheng, J.; Li, R.; Huang, X.; Zhong, Z.; Zhong, L.; Lin, H. Speciated OVOC and VOC emission inventories and their implications for reactivity-based ozone control strategy in the Pearl River Delta region, China. Sci. Total Environ. 2015, 530–531, 393–402. [Google Scholar] [CrossRef] [PubMed]
- Liu, R.L.; Zhai, C.Z.; Li, L.; Yu, C.Z.; Liu, M.; Xu, C.Z.; Feng, N. Concentration Characteristics and Source Analysis of Ambient VOCs in Summer and Autumn in the Urban Area of Chongqing. Acta Sci. Circums. 2017, 37, 1260–1267. (In Chinese) [Google Scholar] [CrossRef]
- Xu, J.-Y.; Liu, J.-G.; Qin, H.; Qian, Z.-Y.; Zhou, Y.; Chen, Z.-L. Analysis of Volatile Organic Compound Characteristics and Sources During the Typical Ozone Pollution Process in Jiangjin District of Chongqing. Geochimica 2021, 5, 503–512. (In Chinese) [Google Scholar] [CrossRef]
- Li, C.; Liu, Y.; Cheng, B.; Zhang, Y.; Liu, X.; Qu, Y.; An, J.; Kong, L.; Zhang, Y.; Zhang, C.; et al. A comprehensive investigation on volatile organic compounds (VOCs) in 2018 in Beijing, China: Characteristics, sources and behaviours in response to O3 formation. Sci. Total Environ. 2021, 806, 150247. [Google Scholar] [CrossRef] [PubMed]
- Cai, C.; Geng, F.; Tie, X.; Yu, Q.; An, J. Characteristics and source apportionment of VOCs measured in Shanghai, China. Atmos. Environ. 2010, 44, 5005–5014. [Google Scholar] [CrossRef]
- Tan, Q.; Liu, H.; Xie, S.; Zhou, L.; Song, T.; Shi, G.; Jiang, W.; Yang, F.; Wei, F. Temporal and spatial distribution characteristics and source origins of volatile organic compounds in a megacity of Sichuan Basin, China. Environ. Res. 2020, 185, 109478. [Google Scholar] [CrossRef]







| Year | Min (ppbv) | Max (ppbv) | Mean (ppbv) | SD (ppbv) |
|---|---|---|---|---|
| 2012 | 1.5 | 85.8 | 29.6 | 17.9 |
| 2013 | 4.8 | 112.0 | 40.1 | 24.8 |
| 2014 | 6.7 | 95.7 | 31.1 | 18.5 |
| 2016 | 12.0 | 76.4 | 27.9 | 15.2 |
| 2017 | 0.25 | 81.1 | 20.0 | 15.8 |
| Entire period | 0.25 | 112.0 | 31.3 | 20.0 |
| 2012 | 2013 | 2014 | ||||||
| Species | Concentration (ppbv) | Percentage (%) | Species | Concentration (ppbv) | Percentage (%) | Species | Concentration (ppbv) | Percentage (%) |
| Benzene | 1.90 ± 1.41 | 7.2 | Propyl benzene | 3.4 ± 5.8 | 8.5 | 1,2-diethyl-benzene Benzene | 2.7 ± 5.4 | 8.6 |
| Styrene | 1.59 ± 2.44 | 6.1 | Isopentane | 2.9 ± 4.6 | 7.3 | Styrene | 2.2 ± 1.92 | 7.1 |
| m/p-Xylene | 1.54 ± 1.87 | 5.8 | Chloroform | 2.4 ± 3.2 | 6.0 | Isopentane | 1.64 ± 1.99 | 5.2 |
| Toluene | 1.44 ± 1.44 | 5.5 | Propane | 2.4 ± 2.3 | 5.9 | Butane | 1.57 ± 1.47 | 5.1 |
| Isopentane | 1.39 ± 1.05 | 5.3 | Toluene | 1.84 ± 1.81 | 4.6 | Chloroform | 1.35 ± 1.01 | 4.3 |
| Ethyl benzene | 0.97 ± 0.93 | 3.7 | Nonane | 1.79 ± 3.7 | 4.5 | Isobutane | 1.25 ± 1.35 | 4.0 |
| Propane | 0.95 ± 0.90 | 3.6 | Butane | 1.56 ± 2.1 | 3.9 | Toluene | 1.20 ± 1.04 | 3.9 |
| 1,2,4-trimethylbenzene trimethylbenzenetrimethylbenzene | 0.93 ± 0.71 | 3.5 | Pentane | 1.49 ± 2.1 | 3.7 | Decane | 1.01 ± 0.62 | 3.2 |
| Isopropyl benzene | 0.93 ± 1.10 | 3.5 | Benzene | 1.39 ± 1.2 | 3.5 | Chlorobenzene | 0.95 ± 0.58 | 3.1 |
| 3-methylpentane | 0.79 ± 1.51 | 3.0 | Isoprene | 1.32 ± 1.9 | 3.3 | Benzene | 0.93 ± 0.68 | 3.0 |
| 2015 | 2016 | 2017 | ||||||
| Species | Concentration (ppbv) | Percentage (%) | Species | Concentration (ppbv) | Percentage (%) | Species | Concentration (ppbv) | Percentage (%) |
| Isopentane | 2.9 ± 2.5 | 7.4 | Butane | 2.0 ± 1.79 | 7.3 | Benzene | 1.74 ± 1.80 | 8.7 |
| Butane | 2.4 ± 1.82 | 6.2 | Toluene | 1.88 ± 1.44 | 6.8 | Butane | 1.60 ± 1.29 | 8.0 |
| Benzene | 2.1 ± 1.54 | 5.4 | Styrene | 1.87 ± 2.1 | 6.7 | Isopentane | 1.47 ± 1.50 | 7.3 |
| 2 chlorotoluene | 2.1 ± 2.1 | 5.4 | Isopentane | 1.63 ± 0.97 | 5.9 | Isobutane | 1.21 ± 0.97 | 6.1 |
| Toluene | 2.1 ± 1.80 | 5.2 | Chlorobenzene | 1.45 ± 0.92 | 5.2 | Toluene | 1.21 ± 1.37 | 6.0 |
| Methyl pentane | 1.95 ± 1.35 | 5.0 | Isobutane | 1.26 ± 1.42 | 4.6 | Chlorobenzene | 0.97 ± 0.58 | 4.9 |
| Dimethyl pentane | 1.74 ± 1.05 | 4.5 | Pentane | 1.15 ± 1.94 | 4.2 | m/p-Xylene | 0.71 ± 0.82 | 3.5 |
| Chlorobenzene | 1.70 ± 1.07 | 4.4 | Ethyl benzene benzene | 1.15 ± 1.26 | 4.1 | Pentane | 0.70 ± 1.20 | 3.5 |
| Isobutane | 1.61 ± 1.27 | 4.1 | m/p-Xylene | 1.05 ± 1.21 | 3.8 | Isoprene | 0.69 ± 1.61 | 3.4 |
| Pentane | 1.49 ± 1.48 | 3.8 | Benzene | 0.92 ± 0.64 | 3.3 | Butene | 0.62 ± 0.39 | 3.1 |
| VOCs | Main Factors | |||||
|---|---|---|---|---|---|---|
| Factor 1 | Factor 2 | Factor 3 | Factor 4 | Factor 5 | Factor 6 | |
| Isobutane | 0.329 | 0.546 | ||||
| Butane | 0.465 | 0.504 | ||||
| Isopentane | 0.439 | 0.638 | ||||
| Pentane | 0.418 | 0.633 | ||||
| 2-Methylpentane | 0.413 | 0.482 | ||||
| n-Hexane | 0.339 | 0.329 | 0.499 | 0.409 | ||
| Heptane | ||||||
| Decane | 0.393 | |||||
| 1-Butene | 0.581 | 0.365 | 0.302 | 0.552 | ||
| 1,3-Butadiene | 0.372 | 0.381 | 0.346 | |||
| trans-2-butene | 0.428 | 0.461 | ||||
| Isoprene | 0.316 | 0.367 | 0.660 | |||
| F12 | 0.426 | |||||
| Chloromethane | 0.419 | |||||
| Trichloromethane | 0.591 | |||||
| Benzene | 0.821 | 0.335 | ||||
| Toluene | 0.705 | 0.344 | ||||
| Ethylbenzene | 0.692 | |||||
| m/p-xylene | 0.661 | |||||
| Styrene | 0.354 | |||||
| o-xylene | 0.861 | |||||
| Isopropylbenzene | 0.326 | 0.415 | ||||
| 1,2-Dichloro-Benzene | 0.580 | |||||
| 1,2,3-Trimethylbenzene | 0.723 | |||||
| m-Ethyltoluene | 0.746 | 0.362 | 0.335 | |||
| p-Ethyltoluene | 0.702 | 0.334 | 0.383 | |||
| 1,2-Diethylbenzene | 0.313 | |||||
| 1,4-Diethylbenzene | 0.535 | |||||
| 1,3,5-Trimethylbenzene | 0.721 | 0.371 | ||||
| 1,2,4-Trimethylbenzene | 0.883 | |||||
| Initial eigenvalues | 11.741 | 6.630 | 3.356 | 2.131 | 1.618 | 1.303 |
| Initial variance | 36.077 | 20.966 | 9.415 | 7.610 | 5.778 | 4.655 |
| Cumulative variance | 36.077 | 57.042 | 66.457 | 74.068 | 79.846 | 84.501 |
| Contribution ratio (%) | 42.694 | 24.811 | 11.142 | 9.006 | 6.838 | 5.508 |
| City | Location | Sampling Period | Species Number | TVOCs | Reference |
|---|---|---|---|---|---|
| Chongqing | Urban | 2012.1–2017.7 | 82 | 31.3 | This study |
| Beijing | Urban | 2016.1–2017.10 | 99 | 44.00 | [11] |
| Chengdu | Urban | 2016.10–2017.10 | 55 | 41.8 | [34] |
| Guangzhou | Urban | 2011.6–2012.5 | 56 | 42.7 | [35] |
| Wuhan | Urban | 2016.9–2017.8 | 102 | 34.65 | [7] |
| Shanghai | Urban | 2007.1–2010.3 | 32 | 32.4 | [36] |
| Tianjin | Urban | 2014.11–2015.10 | 58 | 28.68 | [18] |
| Jinan | Urban | 2010.6–2012.5 | 55 | 25.29 | [37] |
| Chongqing | Suburban | 2015.8–2015.9 | 96 | 23.0 | [31] |
| Chongqing | Background site | 2015.8–2015.9 | 96 | 34.1 | [31] |
| Chongqing | Urban | 2015.8–2015.9 | 96 | 41.2 | [31] |
Disclaimer/Publisher’s Note: The statements, opinions and data contained in all publications are solely those of the individual author(s) and contributor(s) and not of MDPI and/or the editor(s). MDPI and/or the editor(s) disclaim responsibility for any injury to people or property resulting from any ideas, methods, instructions or products referred to in the content. |
© 2023 by the authors. Licensee MDPI, Basel, Switzerland. This article is an open access article distributed under the terms and conditions of the Creative Commons Attribution (CC BY) license (https://creativecommons.org/licenses/by/4.0/).
Share and Cite
Luo, S.; Hao, Q.; Xu, Z.; Zhang, G.; Liang, Z.; Gou, Y.; Wang, X.; Chen, F.; He, Y.; Jiang, C. Composition Characteristics of VOCs in the Atmosphere of the Beibei Urban District of Chongqing: Insights from Long-Term Monitoring. Atmosphere 2023, 14, 1452. https://doi.org/10.3390/atmos14091452
Luo S, Hao Q, Xu Z, Zhang G, Liang Z, Gou Y, Wang X, Chen F, He Y, Jiang C. Composition Characteristics of VOCs in the Atmosphere of the Beibei Urban District of Chongqing: Insights from Long-Term Monitoring. Atmosphere. 2023; 14(9):1452. https://doi.org/10.3390/atmos14091452
Chicago/Turabian StyleLuo, Shixu, Qingju Hao, Zhongjun Xu, Guosheng Zhang, Zhenghao Liang, Yongxiang Gou, Xunli Wang, Fanghui Chen, Yangjian He, and Changsheng Jiang. 2023. "Composition Characteristics of VOCs in the Atmosphere of the Beibei Urban District of Chongqing: Insights from Long-Term Monitoring" Atmosphere 14, no. 9: 1452. https://doi.org/10.3390/atmos14091452
APA StyleLuo, S., Hao, Q., Xu, Z., Zhang, G., Liang, Z., Gou, Y., Wang, X., Chen, F., He, Y., & Jiang, C. (2023). Composition Characteristics of VOCs in the Atmosphere of the Beibei Urban District of Chongqing: Insights from Long-Term Monitoring. Atmosphere, 14(9), 1452. https://doi.org/10.3390/atmos14091452

