Dynamic Changes and Influencing Factors Analysis of Groundwater Icings in the Permafrost Region in Central Sakha (Yakutia) Republic under Modern Climatic Conditions
Abstract
1. Introduction
2. Materials and Methods
2.1. Study Area
2.2. Data and Methods
Extraction of the Icings’ Surface Areas
2.3. Groundwater Inversion Based on GRACE/GRACE-FO
2.3.1. GRACE/GRACE-FO Total Water Storage Anomalies Data Set
2.3.2. GLDAS Hydrological Model Data
2.3.3. Calculation of GWSA
2.3.4. Permafrost Probability and Distribution Data
3. Results
3.1. Icing Distribution and Dynamics
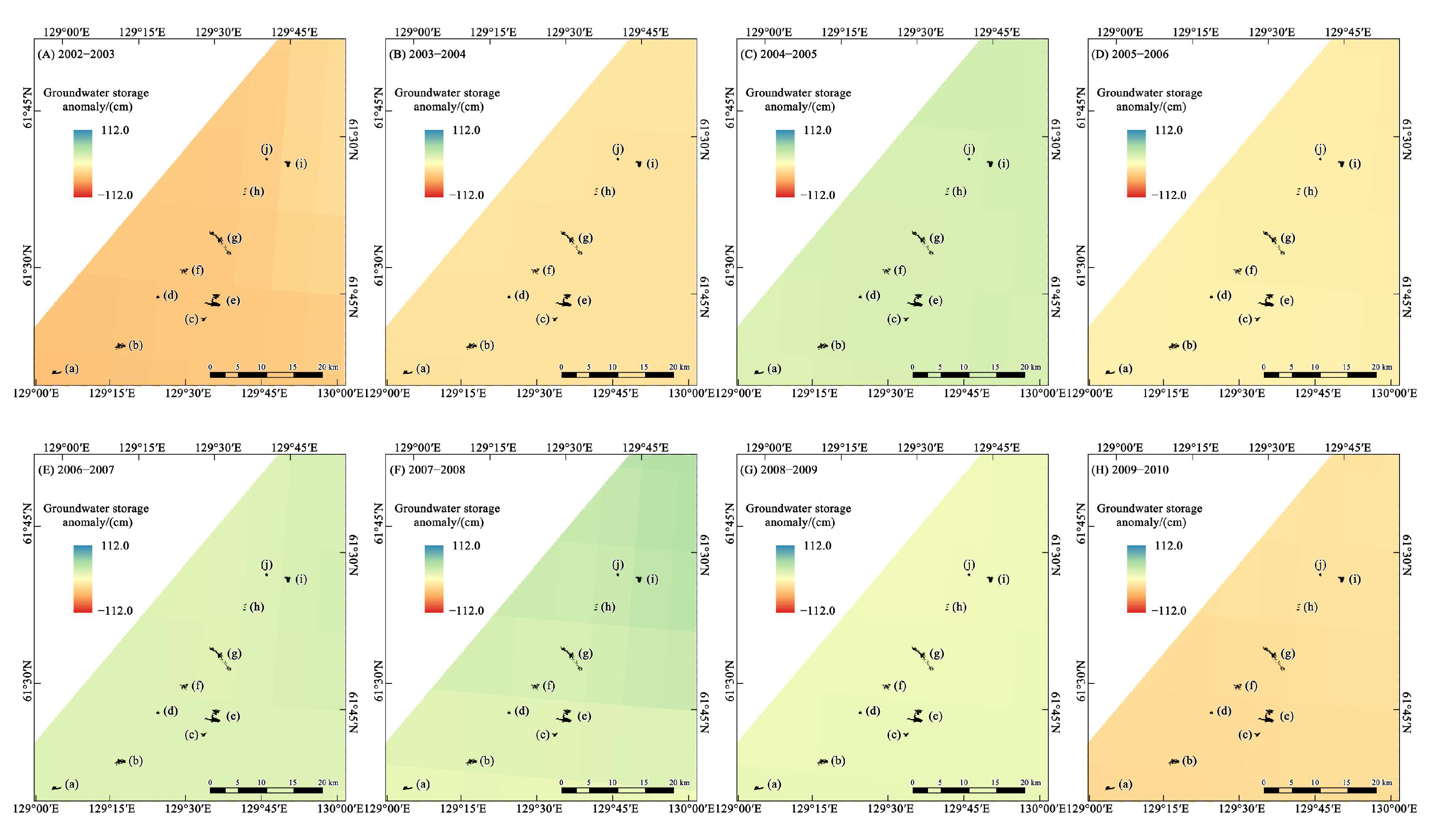
3.2. Temporal and Spatial Characteristics of Changes in the Groundwater Levels in the Study Area
3.3. The Characteristics of Changes in Temperature and Precipitation in the Study Area
4. Discussion
4.1. The Impact of Dynamic Changes in Groundwater Levels on Icings
4.2. The Impact of Precipitation and Temperature on Icings
4.3. The Impact of Landforms and Permafrost on Icings
4.4. Limitation and Constraints
5. Conclusions
Author Contributions
Funding
Data Availability Statement
Acknowledgments
Conflicts of Interest
Abbreviations
| GRACE | Gravity Recovery and Climate Experiment |
| GRACE-FO | Gravity Recovery and Climate Experiment Follow-On |
| GLDAS | Global Land Data Assimilation System |
| GWSA | Groundwater Storage Anomaly |
| TDS | Total Dissolved Solids |
| GEE | Google Earth Engine |
| JPL | Jet Propulsion Laboratory |
| CSR | Center for Space Research |
| GSFC | Goddard Space Flight Center |
| GIA | Glacial Isostatic Adjustment |
| EWT | Equivalent Water Thickness |
| TWSA | Total Water Storage Anomalies |
| SMA | Soil Moisture Anomaly |
| SWEA | Snow Water Equivalent Anomaly |
| CWSA | Climate Water Stress Anomaly |
| CEDA | Centre for Environmental Data Analysis |
| IPA | International Permafrost Association |
References
- Jin, H.; Huang, Y.; Bense, V.F.; Ma, Q.; Marchenko, S.S.; Shepelev, V.V.; Hu, Y.; Liang, S.; Spektor, V.V.; Jin, X. Permafrost degradation and its hydrogeological impacts. Water 2022, 14, 372. [Google Scholar] [CrossRef]
- Gagarin, L.; Wu, Q.; Melnikov, A.; Volgusheva, N.; Tananaev, N.; Jin, H.; Zhang, Z.; Zhizhin, V. Morphometric analysis of groundwater icings: Intercomparison of estimation techniques. Remote Sens. 2020, 12, 692. [Google Scholar] [CrossRef]
- Kane, D.L. Physical mechanics of aufeis growth. Can. J. Civ. Eng. 1981, 8, 186–195. [Google Scholar] [CrossRef]
- Woo, M.K. Permafrost Hydrology; Springer Science & Business Media: Ontario, CA, USA, 2012. [Google Scholar] [CrossRef]
- Ghias, M.S.; Therrien, R.; Molson, J.; Lemieux, J.M. Controls on permafrost thaw in a coupled groundwater-flow and heat-transport system: Iqaluit Airport, Nunavut, Canada. Hydrogeol. J. 2017, 25, 657–673. [Google Scholar] [CrossRef]
- Van Everdingen, R.O. Multi-Language Glossary of Permafrost and Related Ground-Ice Terms in Chinese, English, French, German, Icelandic, Italian, Norwegian, Polish, Romanian, Russian, Spanish, and Swedish; International Permafrost Association, Terminology Working Group: Ottawa, CA, USA, 2005. [Google Scholar]
- Ensom, T.; Makarieva, O.; Morse, P.; Kane, D.; Alekseev, V.; Marsh, P. The distribution and dynamics of aufeis in permafrost regions. Permafr. Periglac. Process. 2020, 31, 383–395. [Google Scholar] [CrossRef]
- Crites, H.; Kokelj, S.V.; Lacelle, D. Icings and groundwater conditions in permafrost catchments of northwestern Canada. Sci. Rep. 2020, 10, 3283. [Google Scholar] [CrossRef]
- Morse, P.D.; Wolfe, S.A. Geological and meteorological controls on icing (aufeis) dynamics (1985 to 2014) in subarctic Canada. J. Geophys. Res. Earth Surf. 2015, 120, 1670–1686. [Google Scholar] [CrossRef]
- Turcotte, B.; Dubnick, A.; McKillop, R.; Ensom, T. Icing and aufeis in cold regions I: The origin of overflow. Can. J. Civ. Eng. 2023, 51, 93–108. [Google Scholar] [CrossRef]
- Yoshikawa, K.; Hinzman, L.D.; Kane, D.L. Spring and aufeis (icing) hydrology in Brooks Range, Alaska. J. Geophys. Res. Biogeosci. 2007, 112, G04S43. [Google Scholar] [CrossRef]
- Cheng, G.; Jin, H. Permafrost and groundwater on the Qinghai-Tibet Plateau and in northeast China. Hydrogeol. J. 2013, 21, 5–23. [Google Scholar] [CrossRef]
- Guo, L.; You, Y.; Yu, Q.; Shi, Z.; Li, H.; Wang, X. Field investigation on the influence of periglacial processes on pile foundations on the Qinghai–Tibet plateau. Permafr. Periglac. Process. 2021, 32, 335–348. [Google Scholar] [CrossRef]
- Gagarin, L.; Wu, Q.; Cao, W.; Jiang, G. Icings of the Kunlun Mountains on the northern margin of the Qinghai-Tibet Plateau, Western China: Origins, hydrology and distribution. Water 2022, 14, 2396. [Google Scholar] [CrossRef]
- Wrangel, F.P. A Journey to the Northern Shores of Siberia and along the Arctic Ocean Made in 1820–1924; Harper & Brothers: St. Petersburg, Russia, 1841. [Google Scholar]
- Mayde, G. On Taryns in Yakutskaya Oblast:Travels through NE Part of Yakutskaya Oblast from 1868–1870. Empyeral Acad. Sci. 1987, 2, 21–49. [Google Scholar]
- Tolstikhin, O. Icings and Ground Waters of North-East of USSR; Science: Novosibirsk, Russia, 1974. [Google Scholar]
- Hiyama, T.; Asai, K.; Kolesnikov, A.B.; Gagarin, L.A.; Shepelev, V.V. Estimation of the residence time of permafrost groundwater in the middle of the Lena River basin, eastern Siberia. Environ. Res. Lett. 2013, 8, 035040. [Google Scholar] [CrossRef]
- Yu, M.; Pavlova, N.; Dai, C.; Guo, X.; Zhang, X.; Gao, S.; Wei, Y. Simulation and Analysis of the Dynamic Characteristics of Groundwater in Taliks in the Eruu Area, Central Yakutia. Sustainability 2023, 15, 9590. [Google Scholar] [CrossRef]
- Pavlova, N.A.; Shepelev, V.V.; Galanin, A.A.; Efremov, V.S. Groundwater Hydrochemistry of Suprapermafrost–Intrapermafrost Flow in Their Discharge Areas in Central Yakutia. Water Resour. 2020, 47, 581–590. [Google Scholar] [CrossRef]
- Chesnokova, A.; Baraër, M.; Bouchard, É. Proglacial icings as records of winter hydrological processes. Cryosphere 2020, 14, 4145–4164. [Google Scholar] [CrossRef]
- Pollard, W.H. Icing processes associated with high arctic perennial springs, Axel Heiberg Island, Nunavut, Canada. Permafr. Periglac. Process. 2005, 16, 51–68. [Google Scholar] [CrossRef]
- Hansen, J.; Sato, M.; Ruedy, R. Long-term changes of the diurnal temperature cycle: Implications about mechanisms of global climate change. Atmos. Res. 1995, 37, 175–209. [Google Scholar] [CrossRef]
- Hall, D.K.; Roswell, C. The origin of water feeding icings on the eastern North Slope of Alaska. Polar Rec. 1981, 20, 433–438. [Google Scholar] [CrossRef]
- Gruber, S.; Haeberli, W. Permafrost in steep bedrock slopes and its temperature-related destabilization following climate change. J. Geophys. Res. Earth Surf. 2007, 112, F02S18. [Google Scholar] [CrossRef]
- Pavlova, N.A.; Kolesnikov, A.B.; Efremov, V.S.; Shepelev, V.V. Groundwater chemistry in intrapermafrost taliks in Central Yakutia. Water Resour. 2016, 43, 353–363. [Google Scholar] [CrossRef]
- Yoshikawa, K.; Kane, D.L. Permafrost Features and Talik Geometry in Hydrologic System; Springer: Victoria, CA, USA, 2021; pp. 409–440. [Google Scholar] [CrossRef]
- Woo, M.K. Linking runoff to groundwater in permafrost terrain. In Aining Groundwater Resources: A Critical Element in the Global Water Crisis; Springer: Dordrecht, The Netherlands, 2011; pp. 119–129. [Google Scholar] [CrossRef]
- Alekseyev, V. Cryogenesis and geodynamics of icing valleys. Geodyn. Tectonophys. 2015, 6, 171–224. [Google Scholar] [CrossRef]
- Humlum, O.; Instanes, A.; Sollid, J.L. Permafrost in Svalbard: A review of research history, climatic background and engineering challenges. Polar Res. 2003, 22, 191–215. [Google Scholar] [CrossRef]
- Scanlon, B.R.; Mace, R.E.; Barrett, M.E.; Smith, B. Can we simulate regional groundwater flow in a karst system using equivalent porous media models? Case study, Barton Springs Edwards aquifer, USA. J. Hydrol. 2003, 276, 137–158. [Google Scholar] [CrossRef]
- Connon, R.; Devoie, É.; Hayashi, M.; Veness, T.; Quinton, W. The influence of shallow taliks on permafrost thaw and active layer dynamics in subarctic Canada. J. Geophys. Res. Earth Surf. 2018, 123, 281–297. [Google Scholar] [CrossRef]
- Farquharson, L.M.; Romanovsky, V.E.; Kholodov, A.; Nicolsky, D. Sub-aerial talik formation observed across the discontinuous permafrost zone of Alaska. Nat. Geosci. 2022, 15, 475–481. [Google Scholar] [CrossRef]
- Woo, M.K.; Marsh, P. Snow, frozen soils and permafrost hydrology in Canada, 1999–2002. Hydrol. Process. Int. J. 2005, 19, 215–229. [Google Scholar] [CrossRef]
- Qin, J.; Ding, Y.; Shi, F.; Cui, J.; Chang, Y.; Han, T.; Zhao, Q. Links between seasonal suprapermafrost groundwater, the hydrothermal change of the active layer, and river runoff in alpine permafrost watersheds. Hydrol. Earth Syst. Sci. 2024, 28, 973–987. [Google Scholar] [CrossRef]
- Harris, S.A.; Corte, A.E. Interactions and relations between mountain permafrost, glaciers, snow and water. Permafr. Periglac. Process. 1992, 3, 103–110. [Google Scholar] [CrossRef]
- Kane, D.L.; Yoshikawa, K.; McNamara, J.P. Regional groundwater flow in an area mapped as continuous permafrost, NE Alaska (USA). Hydrogeol. J. 2013, 21, 41–52. [Google Scholar] [CrossRef]
- Yu, W.B.; Guo, M.; Lai, Y.M.; Liu, Z.Q.; Li, Q.H. Icing Problems on Road and Mitigation Methods in China; American Society of Civil Engineers: Reston, VA, USA, 2006; pp. 1–11. [Google Scholar] [CrossRef]
- Alekseev, V.R. Aufeis areas in river valleys: Engineering development problems. Earth’s Cryosphere 2017, 21, 56–64. [Google Scholar] [CrossRef]
- Alekseev, V.; Makarieva, O.; Shikhov, A.; Nesterova, N.; Zemlyanskova, A.; Ostashov, A. Giant Taryn Aufeis in the Northeast of Russia. Geogr. Nat. Resour. 2023, 44, 253–259. [Google Scholar] [CrossRef]
- Olenchenko, V.; Makarieva, O.; Zemlianskova, A.; Ostashov, A.; Kalganov, A.; Chekryzhov, A. Geocryological Conditions of the Formation of Giant Spring Aufeis at the Anmangynda River (magadan Region) According to Geophysical Data. Geodyn. Tectonophys. 2024, 15, 0753. [Google Scholar] [CrossRef]
- Ye, Q.; Wang, Y.; Liu, L.; Guo, L.; Zhang, X.; Dai, L.; Zhai, L.; Hu, Y.; Ali, N.; Ji, X. Remote Sensing and Modeling of the Cryosphere in High Mountain Asia: A Multidisciplinary Review. Remote Sens. 2024, 16, 1709. [Google Scholar] [CrossRef]
- Semernya, A.A.; Gagarin, L.A.; Bazhin, K.I. Cryohydrogeological features of the site of intrapermafrost aquifer distribution at the Eruu spring area (central Yakutia). Cryos Earth 2018, 22, 29–38. [Google Scholar] [CrossRef]
- Brombierstäudl, D.; Schmidt, S.; Nüsser, M. Distribution and relevance of aufeis (icing) in the Upper Indus Basin. Sci. Total Environ. 2021, 780, 146604. [Google Scholar] [CrossRef]
- Galanin, A.A. Late quaternary sand covers of Central Yakutia (Eastern Siberia): Structure, facies composition and paleo-environment significance. Earth’s Cryosphere 2021, 25, 3–34. [Google Scholar] [CrossRef]
- Kut, A.; Woronko, B.; Spektor, V.; Klimova, I. Grain-surface microtextures in deposits affected by periglacial conditions (Abalakh High-Accumulation Plain, Central Yakutia, Russia). Micron 2021, 146, 103067. [Google Scholar] [CrossRef]
- Mateo-García, G.; Gómez-Chova, L.; Amorós-López, J.; Muñoz-Marí, J.; Camps-Valls, G. Multitemporal cloud masking in the Google Earth Engine. Remote Sens. 2018, 10, 1079. [Google Scholar] [CrossRef]
- Hendriks, J.P. Semi-automatic glacier delineation from Landsat imagery over Hintereisferner in the Austrian Alps. Z. Gletscherkd. Glazialgeol. 2007, 41, 55. [Google Scholar]
- Hall, D.K.; Riggs, G.A.; Salomonson, V.V. Development of methods for mapping global snow cover using moderate resolution imaging spectroradiometer data. Remote Sens. Environ. 1995, 54, 127–140. [Google Scholar] [CrossRef]
- Wang, Y.; Wang, J. Monitoring Snow Cover in Typical Forested Areas Using a Multi-Spectral Feature Fusion Approach. Atmosphere 2024, 15, 513. [Google Scholar] [CrossRef]
- Motiee, S.; Motiee, H.; Ahmadi, A. Analysis of rapid snow and ice cover loss in mountain glaciers of arid and semi-arid regions using remote sensing data. J. Arid. Environ. 2024, 222, 105153. [Google Scholar] [CrossRef]
- McFeeters, S.K. The use of the Normalized Difference Water Index (NDWI) in the delineation of open water features. Int. J. Remote Sens. 1996, 17, 1425–1432. [Google Scholar] [CrossRef]
- Bolch, T.; Kulkarni, A.; Kääb, A.; Huggel, C.; Paul, F.; Cogley, J.G.; Frey, H.; Kargel, J.S.; Fujita, K.; Scheel, M. The state and fate of Himalayan glaciers. Science 2012, 336, 310–314. [Google Scholar] [CrossRef]
- Ge, S.; McKenzie, J.; Voss, C.; Wu, Q. Exchange of groundwater and surface-water mediated by permafrost response to seasonal and long term air temperature variation. Geophys. Res. Lett. 2011, 38, L14402. [Google Scholar] [CrossRef]
- Katpatal, Y.B.; Rishma, C.; Singh, C.K. Sensitivity of the Gravity Recovery and Climate Experiment (GRACE) to the complexity of aquifer systems for monitoring of groundwater. Hydrogeol. J. 2018, 26, 933–943. [Google Scholar] [CrossRef]
- Huang, Z.; Pan, Y.; Gong, H.; Yeh, P.J.; Li, X.; Zhou, D.; Zhao, W. Subregional-scale groundwater depletion detected by GRACE for both shallow and deep aquifers in North China Plain. Geophys. Res. Lett. 2015, 42, 1791–1799. [Google Scholar] [CrossRef]
- Obu, J.; Westermann, S.; Barboux, C.; Bartsch, A.; Delaloye, R.; Grosse, G.; Heim, B.; Hugelius, G.; Irrgang, A.; Kääb, A. ESA Permafrost Climate Change Initiative (Permafrost_cci): Permafrost Extent for the Northern Hemisphere, v3.0; The Centre for Environmental Data Analysis, RAL Space: Didcot, UK, 2021. [Google Scholar] [CrossRef]
- Obu, J.; Westermann, S.; Bartsch, A.; Berdnikov, N.; Christiansen, H.H.; Dashtseren, A.; Delaloye, R.; Elberling, B.; Etzelmüller, B.; Kholodov, A. Northern Hemisphere permafrost map based on TTOP modelling for 2000–2016 at 1 km2 scale. Earth-Sci. Rev. 2019, 193, 299–316. [Google Scholar] [CrossRef]
- Romanovsky, V.; Osterkamp, T. Permafrost: Changes and impacts. In Permafrost Response on Economic Development, Environmental Security and Natural Resources; Springer: Dordrecht, The Netherlands, 2001; pp. 297–315. [Google Scholar] [CrossRef]
- Walvoord, M.A.; Kurylyk, B.L. Hydrologic impacts of thawing permafrost—A review. Vadose Zone J. 2016, 15, vzj2016.01.0010. [Google Scholar] [CrossRef]
- Shur, Y.L.; Jorgenson, M.T. Patterns of permafrost formation and degradation in relation to climate and ecosystems. Permafr. Periglac. Process. 2007, 18, 7–19. [Google Scholar] [CrossRef]
- St. Jacques, J.M.; Sauchyn, D.J. Increasing winter baseflow and mean annual streamflow from possible permafrost thawing in the Northwest Territories, Canada. Geophys. Res. Lett. 2009, 36, L01401. [Google Scholar] [CrossRef]
- Wright, N.; Hayashi, M.; Quinton, W.L. Spatial and temporal variations in active layer thawing and their implication on runoff generation in peat-covered permafrost terrain. Water Resour. Res. 2009, 45, W05414. [Google Scholar] [CrossRef]
- Jorgenson, M.T.; Shur, Y. Evolution of lakes and basins in northern Alaska and discussion of the thaw lake cycle. J. Geophys. Res. Earth Surf. 2007, 112, F02S17. [Google Scholar] [CrossRef]
- Frey, K.E.; McClelland, J.W. Impacts of permafrost degradation on arctic river biogeochemistry. Hydrol. Process. Int. J. 2009, 23, 169–182. [Google Scholar] [CrossRef]
- Romanovsky, V.E.; Drozdov, D.; Oberman, N.G.; Malkova, G.; Kholodov, A.L.; Marchenko, S.; Moskalenko, N.G.; Sergeev, D.; Ukraintseva, N.; Abramov, A. Thermal state of permafrost in Russia. Permafr. Periglac. Process. 2010, 21, 136–155. [Google Scholar] [CrossRef]
- Schuur, E.A.; Bockheim, J.; Canadell, J.G.; Euskirchen, E.; Field, C.B.; Goryachkin, S.V.; Hagemann, S.; Kuhry, P.; Lafleur, P.M.; Lee, H. Vulnerability of permafrost carbon to climate change: Implications for the global carbon cycle. BioScience 2008, 58, 701–714. [Google Scholar] [CrossRef]
- Muskett, R.R.; Romanovsky, V.E. Alaskan permafrost groundwater storage changes derived from GRACE and ground measurements. Remote Sens. 2011, 3, 378–397. [Google Scholar] [CrossRef]
- Lamontagne-Hallé, P.; McKenzie, J.M.; Kurylyk, B.L.; Zipper, S.C. Changing groundwater discharge dynamics in permafrost regions. Environ. Res. Lett. 2018, 13, 084017. [Google Scholar] [CrossRef]













| JPL | CSR | GSFC | |
|---|---|---|---|
| Data Source | https://grace.jpl.nasa.gov/data/get-data/jpl_global_mascons (accessed on 15 October 2023) | https://www2.csr.utexas.edu/grace/RL06_mascons.html (accessed on 15 October 2023) | https://earth.gsfc.nasa.gov/geo/data/grace-mascons (accessed on 15 October 2023) |
| Grid Shape | Cap-shaped | Hexagonal | Square |
| Spatial Resolution | 0.5° × 0.5° | 0.25° × 0.25° | 0.5° × 0.5° |
| Temporal Interval | 1 month | 1 month | 1 month |
| xternal Physical Model Prior Constraint | Yes | No | Yes |
| Data Type | L1B inter-satellite distances and GPS data | Level 2 spherical harmonic coefficients data | L1B inter-satellite distances and GPS data |
| Location | Area (km2) | Infrequent (%) | Intermittent (%) | Frequent (%) |
|---|---|---|---|---|
| Buluus | 0.60 ± 0.04 km2 | 33.22 | 18.23 | 48.55 |
| Keturen | 1.00 ± 0.11 km2 | 61.52 | 26.32 | 12.16 |
| Byatei | 0.35 ± 0.03 km2 | 44.84 | 52.44 | 2.72 |
| Mendensky | 0.23 ± 0.02 km2 | 31.18 | 16.36 | 52.46 |
| Unugestyakh | 2.18 ± 0.15 km2 | 35.71 | 17.96 | 46.33 |
| Muocmakh | 0.61 ± 0.12 km2 | 78.02 | 19.26 | 2.72 |
| Ulakhan-Taryn | 1.69 ± 0.23 km2 | 53.49 | 14.58 | 31.93 |
| Dzholokh | 0.20 ± 0.04 km2 | 68.67 | 27.62 | 3.71 |
| Eruu | 0.66 ± 0.05 km2 | 36.45 | 21.94 | 41.61 |
| Yutelir | 0.18 ± 0.01 km2 | 30.16 | 18.86 | 50.98 |
Disclaimer/Publisher’s Note: The statements, opinions and data contained in all publications are solely those of the individual author(s) and contributor(s) and not of MDPI and/or the editor(s). MDPI and/or the editor(s) disclaim responsibility for any injury to people or property resulting from any ideas, methods, instructions or products referred to in the content. |
© 2024 by the authors. Licensee MDPI, Basel, Switzerland. This article is an open access article distributed under the terms and conditions of the Creative Commons Attribution (CC BY) license (https://creativecommons.org/licenses/by/4.0/).
Share and Cite
Yu, M.; Pavlova, N.; Zhao, J.; Dai, C. Dynamic Changes and Influencing Factors Analysis of Groundwater Icings in the Permafrost Region in Central Sakha (Yakutia) Republic under Modern Climatic Conditions. Atmosphere 2024, 15, 1022. https://doi.org/10.3390/atmos15091022
Yu M, Pavlova N, Zhao J, Dai C. Dynamic Changes and Influencing Factors Analysis of Groundwater Icings in the Permafrost Region in Central Sakha (Yakutia) Republic under Modern Climatic Conditions. Atmosphere. 2024; 15(9):1022. https://doi.org/10.3390/atmos15091022
Chicago/Turabian StyleYu, Miao, Nadezhda Pavlova, Jing Zhao, and Changlei Dai. 2024. "Dynamic Changes and Influencing Factors Analysis of Groundwater Icings in the Permafrost Region in Central Sakha (Yakutia) Republic under Modern Climatic Conditions" Atmosphere 15, no. 9: 1022. https://doi.org/10.3390/atmos15091022
APA StyleYu, M., Pavlova, N., Zhao, J., & Dai, C. (2024). Dynamic Changes and Influencing Factors Analysis of Groundwater Icings in the Permafrost Region in Central Sakha (Yakutia) Republic under Modern Climatic Conditions. Atmosphere, 15(9), 1022. https://doi.org/10.3390/atmos15091022

