Urban Air Pollution in the Global South: A Never-Ending Crisis?
Abstract
1. Introduction
2. Materials and Methods
2.1. Study Site
2.2. Pollution Data Collection and Analysis
2.3. Temporal and Spatial Data Analysis
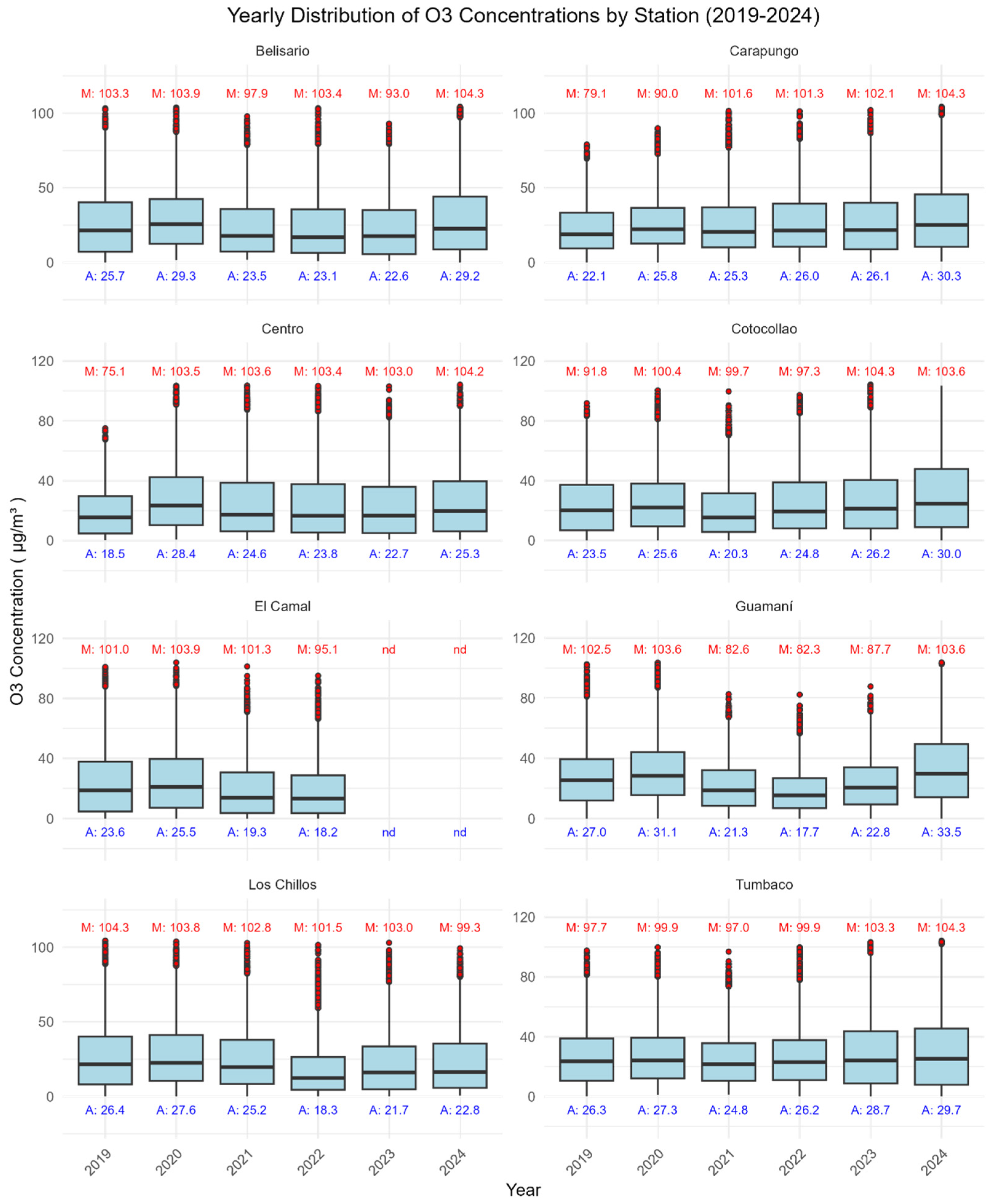
3. Results and Discussion
3.1. Time Series of Air Pollution 2019–2024
3.2. Diurnal Trends for Each Month of 2019–2024
3.2.1. NO2 Diurnal Trends
3.2.2. SO2 Diurnal Trends
3.2.3. CO Diurnal Trends
3.2.4. O3 Diurnal Trends
3.2.5. PM2.5 Diurnal Trends
3.3. Spatio-Temporal Analysis
4. Conclusions
Author Contributions
Funding
Institutional Review Board Statement
Informed Consent Statement
Data Availability Statement
Acknowledgments
Conflicts of Interest
Appendix A












References
- WHO Ambient (Outdoor) Air Pollution. Home/Newsroom/Fact Sheets/Detail/. 2024. Available online: https://www.who.int/news-room/fact-sheets/detail/ambient-(outdoor)-air-quality-and-health (accessed on 10 February 2025).
- Lelieveld, J.; Evans, J.S.; Fnais, M.; Giannadaki, D.; Pozzer, A. The contribution of outdoor air pollution sources to premature mortality on a global scale. Nature 2015, 525, 367. [Google Scholar] [CrossRef] [PubMed]
- United States Environmental Protection Agency Criteria Air Pollutants. 2021. Available online: https://www.epa.gov/criteria-air-pollutants (accessed on 3 April 2021).
- Ritchie, H.; Rosado, P.; Roser, M. Emissions by Sector: Where Do Greenhouse Gases Come From? OurWorldInData.org. 2024. Available online: https://ourworldindata.org/emissions-by-sector (accessed on 10 February 2024).
- NASA. Extreme Weather and Climate Change. Extreme Weather. 2024. Available online: https://science.nasa.gov/climate-change/extreme-weather/ (accessed on 11 October 2024).
- WHO. 7 Million Premature Deaths Annually Linked to Air Pollution. Media Centre. 2014. Available online: https://www.who.int/news/item/25-03-2014-7-million-premature-deaths-annually-linked-to-air-pollution (accessed on 7 March 2018).
- United Nations. Day of 8 Billion. New York, U.S. 2022. Available online: https://un.org/en/dayof8billion (accessed on 4 February 2025).
- UNDESA. Population Division of the United Nations Department of Economic and Social Affairs (UN DESA). In World Urbanization Prospects; UNDESA: New York, NY, USA, 2018; Available online: https://www.un.org/en/desa/2018-revision-world-urbanization-prospects#:~:text=Today%2C%2055%25%20of%20the%20world's,increase%20to%2068%25%20by%202050 (accessed on 4 February 2025).
- Sokhi, R.S.; Singh, V.; Querol, X.; Finardi, S.; Targino, A.C.; Andrade, M.d.F.; Pavlovic, R.; Garland, R.M.; Massagué, J.; Kong, S.; et al. A global observational analysis to understand changes in air quality during exceptionally low anthropogenic emission conditions. Environ. Int. 2021, 157, 106818. [Google Scholar] [CrossRef] [PubMed]
- Carvalho, T.; Krammer, F.; Iwasaki, A. The first 12 months of COVID-19: A timeline of immunological insights. Nat. Rev. Immunol. 2021, 21, 245–256. [Google Scholar] [CrossRef] [PubMed]
- Berg, A.G.; Ostry, J.D. Inequality and Unsustainable Growth: Two Sides of the Same Coin? IMF Econ. Rev. 2017, 65, 792–815. [Google Scholar] [CrossRef]
- Clarke, B.; Barnes, C.; Rodrigues, R.; Zachariah, M.; Stewart, S.; Raju, E.; Baumgart, N.; Heinrich, D.; Libonati, R.; Santos, D.; et al. Climate Change, Not El Niño, Main Driver of Extreme Drought in Highly Vulnerable Amazon River Basin; Imperial College London: London, UK, 2024; Available online: http://hdl.handle.net/10044/1/108761 (accessed on 10 February 2025).
- World Meteorological Organization. WMO Confirms That 2023 Smashes Global Temperature Record. Media Releases. 2024. Available online: https://wmo.int/news/media-centre/wmo-confirms-2023-smashes-global-temperature-record (accessed on 10 February 2025).
- NASA. Global Temperature. Global Land-Ocean Temperature Index. 2025. Available online: https://climate.nasa.gov/vital-signs/global-temperature/?intent=121 (accessed on 4 February 2025).
- Espinoza, J.-C.; Jimenez, J.C.; Marengo, J.A.; Schongart, J.; Ronchail, J.; Lavado-Casimiro, W.; Ribeiro, J.V.M. The new record of drought and warmth in the Amazon in 2023 related to regional and global climatic features. Sci. Rep. 2024, 14, 8107. [Google Scholar] [CrossRef]
- World Meteorological Organization. State of the Climate in Latin America and the Caribbean. 2025. Available online: https://wmo.int/publication-series/state-of-climate-latin-america-and-caribbean-2024 (accessed on 25 March 2025).
- Carvajal, P.E.; Li, F.G.N.; Soria, R.; Cronin, J.; Anandarajah, G.; Mulugetta, Y. Large hydropower, decarbonisation and climate change uncertainty: Modelling power sector pathways for Ecuador. Energy Strateg. Rev. 2019, 23, 86–99. [Google Scholar] [CrossRef]
- Zalakeviciute, R.; Diaz, V.; Rybarczyk, Y. Impact of City-Wide Diesel Generator Use on Air Quality in Quito, Ecuador, during a Nationwide Electricity Crisis. Atmosphere 2024, 15, 1192. [Google Scholar] [CrossRef]
- Vallejo, F.; Villacrés, P.; Yánez, D.; Espinoza, L.; Bodero-Poveda, E.; Díaz-Robles, L.A.; Oyaneder, M.; Campos, V.; Palmay, P.; Cordovilla-Pérez, A.; et al. Prolonged Power Outages and Air Quality: Insights from Quito’s 2023–2024 Energy Crisis. Atmosphere 2025, 16, 274. [Google Scholar] [CrossRef]
- Terrapon-Pfaff, J.C.; Ortiz, W.; Viebahn, P.; Kynast, E.; Flörke, M. Water Demand Scenarios for Electricity Generation at the Global and Regional Levels. Water 2020, 12, 2482. [Google Scholar] [CrossRef]
- PAHO/WHO. Air Quality. 2024. Available online: https://www.paho.org/es/temas/calidad-aire (accessed on 15 January 2025).
- Zalakeviciute, R.; Rybarczyk, Y.; Lopez Villada, J.; Diaz Suarez, M.V. Quantifying decade-long effects of fuel and traffic regulations on urban ambient PM2.5 pollution in a mid-size South American city. Atmos. Pollut. Res. 2018, 9, 66–75. [Google Scholar] [CrossRef]
- European Environment Agency; Guerreiro, C.; Ortiz, G.A.; de Leeuw, F. Air Quality in Europe—2017 Report. 2017. Available online: https://www.eea.europa.eu/en/analysis/publications/air-quality-in-europe-2017 (accessed on 17 November 2024).
- European Environment Agency. Air Quality in Europe—2018 Report. 2018. Available online: https://doi.org/10.2800/777411 (accessed on 17 November 2024).
- de Jesus, A.L.; Thompson, H.; Knibbs, L.D.; Hanigan, I.; De Torres, L.; Fisher, G.; Berko, H.; Morawska, L. Two decades of trends in urban particulate matter concentrations across Australia. Environ. Res. 2020, 190, 110021. [Google Scholar] [CrossRef] [PubMed]
- Andersen, Z.J.; Hoffmann, B.; Morawska, L.; Adams, M.; Furman, E.; Yorgancioglu, A.; Greenbaum, D.; Neira, M.; Brunekreef, B.; Forastiere, F.; et al. Air pollution and COVID-19: Clearing the air and charting a post-pandemic course: A joint workshop report of ERS, ISEE, HEI and WHO. Eur. Respir. J. 2021, 58, 2101063. [Google Scholar] [CrossRef] [PubMed]
- Crippa, M.; Janssens-Maenhout, G.; Dentener, F.; Guizzardi, D.; Sindelarova, K.; Muntean, M.; Van Dingenen, R.; Granier, C. Forty years of improvements in European air quality: Regional policy-industry interactions with global impacts. Atmos. Chem. Phys. 2016, 16, 3825–3841. [Google Scholar] [CrossRef]
- Buckley, S.M.; Mitchell, M.J. Improvements in Urban Air Quality: Case Studies from New York State, USA. Water Air Soil Pollut. 2011, 214, 93–106. [Google Scholar] [CrossRef]
- Parrish, D.D.; Xu, J.; Croes, B.; Shao, M. Air quality improvement in Los Angeles—Perspectives for developing cities. Front. Environ. Sci. Eng. 2016, 10, 11. [Google Scholar] [CrossRef]
- Li, W.; Shao, L.; Wang, W.; Li, H.; Wang, X.; Li, Y.; Li, W.; Jones, T.; Zhang, D. Air quality improvement in response to intensified control strategies in Beijing during 2013–2019. Sci. Total Environ. 2020, 744, 140776. [Google Scholar] [CrossRef]
- Wang, Q.; Yang, X. How do pollutants change post-pandemic? Evidence from changes in five key pollutants in nine Chinese cities most affected by the COVID-19. Environ. Res. 2021, 197, 111108. [Google Scholar] [CrossRef]
- He, Z.; Guo, Q. Comparative Analysis of Multiple Deep Learning Models for Forecasting Monthly Ambient PM2.5 Concentrations: A Case Study in Dezhou City, China. Atmosphere 2024, 15, 1432. [Google Scholar] [CrossRef]
- Guo, Q.; He, Z.; Wang, Z. The Characteristics of Air Quality Changes in Hohhot City in China and their Relationship with Meteorological and Socio-economic Factors. Aerosol Air Qual. Res. 2024, 24, 230274. [Google Scholar] [CrossRef]
- Liang, L.; Gong, P. Urban and air pollution: A multi-city study of long-term effects of urban landscape patterns on air quality trends. Sci. Rep. 2020, 10, 18618. [Google Scholar] [CrossRef]
- Clean Air Fund. Closing the Air Quality gap: Why National Monitoring Needs Global Funding. News. 2024. Available online: https://www.cleanairfund.org/news-item/closing-the-air-quality-gap/ (accessed on 4 March 2025).
- Pinder, R.W.; Klopp, J.M.; Kleiman, G.; Hagler, G.S.W.; Awe, Y.; Terry, S. Opportunities and challenges for filling the air quality data gap in low- and middle-income countries. Atmos. Environ. 2019, 215, 116794. [Google Scholar] [CrossRef] [PubMed]
- Pringle, K.J.; Rigby, R.; Turnock, S.; Reddington, C.; Shayakhmetova, M.; Illingworth, M.; Barclay, D.; Chue Hong, N.; Hawkins, E.; Hamilton, D.S.; et al. Visualising historical changes in air pollution with the Air Quality Stripes. Egusphere 2025. preprint. [Google Scholar] [CrossRef]
- EMASEO. Municipio Del Distrito Metropolitano de Quito: Plan de Desarrollo 2012–2022, Quito. 2011. Available online: http://www.epmrq.gob.ec/images/lotaip/planes/PLAN_METROPOLITANO_DE_DESARROLLO.pdf (accessed on 17 November 2024).
- Bonilla-Bedoya, S.; Mora, A.; Vaca, A.; Estrella, A.; Herrera, M.Á. Modelling the relationship between urban expansion processes and urban forest characteristics: An application to the Metropolitan District of Quito. Comput. Environ. Urban Syst. 2020, 79, 101420. [Google Scholar] [CrossRef]
- Instituto Nacional de Estadísticas y Censos (INEC). Boletín Estadístico del INEC: Boletín Técnico N° 01-2021-IPT-IH-IR; Dirección de Estadísticas Económicas (DECON): Quito, Ecuador, 2023. [Google Scholar]
- Zalakeviciute, R.; López-Villada, J.; Rybarczyk, Y. Contrasted effects of relative humidity and precipitation on urban PM2.5 pollution in high elevation urban areas. Sustainability 2018, 10, 2064. [Google Scholar] [CrossRef]
- U.S. EPA—Center for Environmental Measurements & Modeling; Air Methods & Characterization Division. List of Designated Reference and Equivalent Methods; Research Triangle Park: Durham, NC, USA, 2024. Available online: https://www.epa.gov/system/files/documents/2024-12/amtic-list-december-2024_final.pdf (accessed on 15 January 2025).
- Kumari, P.; Toshniwal, D. Impact of lockdown on air quality over major cities across the globe during COVID-19 pandemic. Urban Clim. 2020, 34, 100719. [Google Scholar] [CrossRef]
- Wang, Y.; Wen, Y.; Wang, Y.; Zhang, S.; Zhang, K.M.; Zheng, H.; Xing, J.; Wu, Y.; Hao, J. Four-Month Changes in Air Quality during and after the COVID-19 Lockdown in Six Megacities in China. Environ. Sci. Technol. Lett. 2020, 7, 802–808. [Google Scholar] [CrossRef]
- R Core Team. R: A Language and Environment for Statistical Computing; R Core Team: Vienna, Austria, 2024. [Google Scholar]
- Wickham, H. Ggplot2: Elegant Graphics for Data Analysis; Springer: New York, NY, USA, 2016. [Google Scholar]
- Baumer, B.; Cetinkaya-Rundel, M.; Bray, A.; Loi, L.; Horton, N.J. R Markdown: Integrating A Reproducible Analysis Tool into Introductory Statistics. Technol. Innov. Stat. Educ. 2014, 8, 1–29. [Google Scholar] [CrossRef]
- Carslaw, D.C.; Ropkins, K. openair—An R package for air quality data analysis. Environ. Model. Softw. 2012, 27–28, 52–61. [Google Scholar] [CrossRef]
- Ceballos-Santos, S.; González-Pardo, J.; Carslaw, D.C.; Santurtún, A.; Santibáñez, M.; Fernández-Olmo, I. Meteorological Normalisation Using Boosted Regression Trees to Estimate the Impact of COVID-19 Restrictions on Air Quality Levels. Int. J. Environ. Res. Public Health 2021, 18, 13347. [Google Scholar] [CrossRef]
- May, A.A.; Nguyen, N.T.; Presto, A.A.; Gordon, T.D.; Lipsky, E.M.; Karve, M.; Gutierrez, A.; Robertson, W.H.; Zhang, M.; Brandow, C.; et al. Gas- and particle-phase primary emissions from in-use, on-road gasoline and diesel vehicles. Atmos. Environ. 2014, 88, 247–260. [Google Scholar] [CrossRef]
- Zalakeviciute, R.; Rybarczyk, Y.; Alexandrino, K.; Bonilla-Bedoya, S.; Mejia, D.; Bastidas, M.; Diaz, V. Gradient Boosting Machine to Assess the Public Protest Impact on Urban Air Quality. Appl. Sci. 2021, 11, 12083. [Google Scholar] [CrossRef]
- Agencia de Regulación y Control de Energía y Recursos Naturales No Renovables (ARCERNNR). Estadística Anual y Multianual del Sector Eléctrico Ecuatoriano. 2024. Available online: https://controlelectrico.gob.ec/estadistica-del-sector-electrico/ (accessed on 12 February 2025).
- Primicias. Caída de ceniza del Cotopaxi se reporta en Quito y Mejía. In Sucesos; Redacción Primicias: Quito, Ecuador, 2022. [Google Scholar]
- Cazorla, M. Air quality over a populated Andean region: Insights from measurements of ozone, NO, and boundary layer depths. Atmos. Pollut. Res. 2016, 7, 66–74. [Google Scholar] [CrossRef]
- Phys.org. Brazilian Amazon Records Worst August for Fires in 12 Years. News. 2022. Available online: https://phys.org/news/2022-09-brazilian-amazon-worst-august-years.html (accessed on 11 December 2024).
- El Comercio. Incendio Forestal se Registra en el Cerro Puntas, en Quito Este Contenido ha Sido Publicado Originalmente por EL COMERCIO; El Comercio: Quito, Ecuador, 2022. [Google Scholar]







| Site | NO2 | SO2 | CO | O3 | PM2.5 |
|---|---|---|---|---|---|
| (1) Carapungo | 36.46 | 255.00 | 20.00 | 37.10 | −2.38 |
| (2) Cotocollao | 161.00 | 57.89 | −33.33 | 27.66 | −8.02 |
| (3) Tumbaco | ND | 109.09 | ND | 12.93 | −14.84 |
| (4) Belisario | 9.27 | 64.00 | 33.33 | 13.62 | 12.00 |
| (5) Centro | 13.60 | 67.86 | −14.29 | 36.76 | 0.00 |
| (6) Camal | ND | ND | ND | ND | ND |
| (7) Chillos | 26.40 | 112.50 | ND | −13.64 | 9.02 |
| (8) Guamani | 17.07 | 50.00 | 20.00 | 24.07 | −8.28 |
Disclaimer/Publisher’s Note: The statements, opinions and data contained in all publications are solely those of the individual author(s) and contributor(s) and not of MDPI and/or the editor(s). MDPI and/or the editor(s) disclaim responsibility for any injury to people or property resulting from any ideas, methods, instructions or products referred to in the content. |
© 2025 by the authors. Licensee MDPI, Basel, Switzerland. This article is an open access article distributed under the terms and conditions of the Creative Commons Attribution (CC BY) license (https://creativecommons.org/licenses/by/4.0/).
Share and Cite
Zalakeviciute, R.; Lopez-Villada, J.; Ochoa, A.; Moreno, V.; Byun, A.; Proaño, E.; Mejía, D.; Bonilla-Bedoya, S.; Rybarczyk, Y.; Vallejo, F. Urban Air Pollution in the Global South: A Never-Ending Crisis? Atmosphere 2025, 16, 487. https://doi.org/10.3390/atmos16050487
Zalakeviciute R, Lopez-Villada J, Ochoa A, Moreno V, Byun A, Proaño E, Mejía D, Bonilla-Bedoya S, Rybarczyk Y, Vallejo F. Urban Air Pollution in the Global South: A Never-Ending Crisis? Atmosphere. 2025; 16(5):487. https://doi.org/10.3390/atmos16050487
Chicago/Turabian StyleZalakeviciute, Rasa, Jesus Lopez-Villada, Alejandra Ochoa, Valentina Moreno, Ariana Byun, Esteban Proaño, Danilo Mejía, Santiago Bonilla-Bedoya, Yves Rybarczyk, and Fidel Vallejo. 2025. "Urban Air Pollution in the Global South: A Never-Ending Crisis?" Atmosphere 16, no. 5: 487. https://doi.org/10.3390/atmos16050487
APA StyleZalakeviciute, R., Lopez-Villada, J., Ochoa, A., Moreno, V., Byun, A., Proaño, E., Mejía, D., Bonilla-Bedoya, S., Rybarczyk, Y., & Vallejo, F. (2025). Urban Air Pollution in the Global South: A Never-Ending Crisis? Atmosphere, 16(5), 487. https://doi.org/10.3390/atmos16050487

