Abstract
Sand filters have been shown to be an economic and effective solution for wastewater treatment in private households, although the removal of phosphorus (P) may be insufficient. However, P removal can be improved by adding a P-adsorbing material, such as biotite, into the sand filters. The physico-chemical characteristics and the microbial quality of the effluents of family-scale sand filters without adsorbing media (SF), sand filters with a biotite layer (B), and sand filters with a modular filter (MB) were followed for one year. Sand filters with a biotite layer displayed the highest capacity to remove nitrogen (N) and biological oxygen demand BOD7. The efficiency of these filters did not depend on the age of the filter or the season. The P load of the effluent did not differ between sand filters with and without a biotite layer, but the modular sand filter failed to adequately reduce P. The treatment efficiency of sand filters without biotite decreased with increasing age. These private household sand filters can be a good way to treat domestic wastewaters, since these generally comply with the minimum requirements of a Finnish Decree (157/2017). However, enteric viruses (noro- and adenoviruses) were commonly found in the effluents, and the numbers of Escherichia coli were often above 103 colony forming units (CFU) 100 mL−1 (limit for the the EU Bathing Water Directive 2006/7/EC) for good water quality), signifying a risk of microbial contamination of nearby drinking water wells, as well as bathing and irrigation waters.
1. Introduction
Worldwide there are many rural or peri-urban households that are not connected to centralized sewer networks, and thus they must organize their wastewater treatment on-site. In Finland, about 1 million people out of the country’s total population of 5.5 million are not connected to sewer networks. The on-site treatment systems and their purification efficiency for the removal of total phosphorus, total nitrogen, and BOD7 must meet the requirements listed in the Finnish Government Decree on Treating Domestic Wastewaters in Areas Outside Sewer Networks (Government Decree 157/2017) [1]. Traditionally, these waters are first treated with settling in septic tanks and then passed through a soil absorption bed. The purification efficiency of these techniques does not always meet the required level (in terms of P, N, and BOD) [2,3] and therefore there is a need to improve on-site treatment systems.
There are many treatment techniques available for domestic use [4,5,6]. Sand filters with or without a phosphorus-adsorbing layer have proven to be the most cost-effective and environmentally-friendly approaches if long-term use and renovation needs are considered [7,8]. It has been revealed [8,9,10], however, that the treatment efficiency of sand filters can be highly variable. Studies of many different sand filters demonstrated that those filters with P-adsorbing media were better at reducing phosphorus and nitrogen than filters without any adsorbing media [8,10]. However, it has been reported that sand filters without adsorbing media were able to reduce the levels of phosphorus and nitrogen better than systems with P-adsorbing gypsum or different ferro sulfate media [9]. Furthermore, sand filters without P-adsorbent media were able to remove BOD better than filters with a P-adsorbent media [8], although others have reported contrasting results [9]. However, the removal of BOD was at the required level in most of the sand filters, irrespective of whether they had P-adsorbing media [8,9], as confirmed in a later study [10]. It was found that the effluent quality was the lowest when modular sand filters were used [8,9]. Many different P-adsorbing materials can be exploited for sand filtration of wastewaters and the location of the materials can also vary; materials can be mixed with sand, a P-adsorbing layer can be placed between the sand layers, or a P-adsorbing material can be added as a post-treatment unit after a sand filter. These differences in the structures of the sand filters may explain the fluctuation in the published results.
Wastewater contains a large range of pathogenic microorganisms (bacteria, parasites, and viruses) [11], which can be inactivated with different mechanisms, but it is known that bacteria and viruses can be transported in soil with the risk of contaminating drinking water wells, bathing waters, or other surface waters [12,13,14]. The removal of enteric microbes in on-site treatment systems is therefore important, but unfortunately this property has been less extensively studied than the removal of nutrients, since only the latter is regulated by wastewater legislation. Moreover, there are only a few studies that have evaluated the treatment efficiency of sand filtering during long-term domestic use, when the filters are operated by families. These kinds of studies would be important, since treatment efficiency may decline over the years or during times when there is an uneven wastewater load, leading to leaching of untreated wastewater into the soil [2,15].
The objective of this study was to evaluate the efficiency of different sand filters to remove phosphorus, nitrogen, and organic material from domestic wastewaters over one year (as compared to the Finnish requirements (basic-level) described in Government Decree 157/2017 [1]) in a cold climate with a long, snowy winter. In addition, we studied the leaching of hygienic indicator bacteria and selected enteric viruses from the sand filters. The specific aim was to determine if season or filter age would exert any effect on the load of nutrients, and the number of the microbes in the effluent.
2. Materials and Methods
2.1. Sand Filters
The performance of three different sand filter types installed after septic tanks was evaluated over a one-year period. The first type included three conventional buried sand filters without (additional) P-adsorbing media (SF1–3), the second type included three buried sand filters with a biotite layer (B1–3), and the third type included one buried sand filter with a commercial module and a biotite layer (MB) (Table 1). Six of the seven filters were over 9 years old; in total, their ages varied from 5 to 14 years. All sand filters were situated in the rural area of Central Finland and received only domestic wastewater from a single household. All of the filters were situated behind a two- or three-chamber septic system as a form of pretreatment, and their sand layer had a thickness of around 80 cm along with the underlying collection pipes. Unfortunately, the gravel sizes of the filters are unknown. Filters B1–3 had a phosphorus (P)-adsorbing biotite layer, whereas the MB filter had a plastic module above the P–adsorbing biotite–sand layer. In all of the filters, the wastewater passed vertically through the sand layer into the collection pipe and continued flowing into the collection well before being released to the environment.
Table 1.
Types and characteristics of the studied sand filters.
The mean air temperatures in the study area over the period May 2010–May 2011 were: −13.2 °C (minimum −36.5 °C, maximum 1.7 °C) in winter (December–February) lasting for 13 weeks, 5.4 °C (minimum −20.9 °C, maximum 27.7 °C) in spring (March–May) lasting for 14 weeks, 17.4 °C (minimum 2.8 °C, maximum 35.4 °C) in summer (June–August) lasting 14 weeks and 3.3 °C (minimum −19.5 °C, maximum 19.5 °C) in autumn (September–November) lasting 12 weeks. The total seasonal precipitation values were: winter (mainly as snow) 130 mm, spring 154 mm, summer 157 mm, and autumn 162 mm [16].
2.2. Wastewater Sampling
The quality of wastewater in the first septic tank compartment (influent) was analyzed 1–2 times in each sand filter, i.e., a total of 11 samples. The effluent samples were taken 4–8 times per filter so that the samplings of SF, B, and MB covered all seasons. The effluents were sampled from the collection well or from the end of the collection pipe depending on the structure of the well. All samples were pooled from two individual sub-samples collected during the same day and mixed well. The effluent samples were collected in sterile plastic bottles, transported to the laboratory in a portable cooler and analyzed as two replicates within 24 h of sampling.
2.3. Physico-Chemical Analyses
Water samples were analyzed with Hach DR2010 spectrophotometer (Hach Co., Loveland, CO, USA) for total phosphorus (Ptot) (Potassium Peroxide Sulfate Digestion Method 8190), total nitrogen (Ntot) (Persulfate Method 10071), chemical oxygen demand (CODCr) (Digestion Method 8000), nitrate nitrogen NO3-N (Cadmium Reduction Method 8039), nitrite nitrogen NO2-N (Diazotization Method 8507), and ammonium nitrogen NH4-N (Nessler Method 8038). Total suspended solids (SS) (SFS 3026) and biological oxygen demand (BOD7, (using ATU)) (OxiTop Control OC110, WTW, Weilheim, Germany) were assessed according to the methods defined in Nordic and Finnish standards which correspond to the American standard methods (APHA 2005), except that the incubation time for BOD is seven days instead of five days. pH was measured with a Hach Hqd Portable meter (Hach Co., Loveland, CO, USA).
2.4. Bacteriological Analyses
All bacteriological analyses were conducted as two replicates from each water sample taken. Escherichia coli numbers were analyzed on CromoCult coliform agar (Merck, Darmstadt, Germany) by the spread-plate or membrane filtration method (Millipore membrane filter, pore size 0.45 μm, mixed cellulose ester, Molsheim, France). The plates were incubated for 24 ± 3 h at 37 °C and E. coli colonies were confirmed by Kovacs´s indole reagent. The detection limits were 1 or 10 CFU 100 mL−1 for the filtration method and 5 CFU 1 mL−1 for the spread plate method.
Intestinal enterococci were determined by filtration method on Slanetz–Bartley agar (Lab M, Lancashire, UK) according to the standard SFS-EN ISO 7899-2 [17]. The plates were incubated for 44 ± 4 h at 37 °C. The detection limit was 1 CFU 100 mL−1, 10 CFU 100 mL−1 or 500 CFU 100 mL−1, depending on the volume of filtered water.
Spores of sulfite-reducing clostridia were analyzed by membrane filtration method (pore size of the membrane 0.22 µm, Whatman Mixed cellulose ester, Dassel, Germany) according to the standard SFS-EN 26461-2 [18] after heating the sample water at 75 °C for 15 min. Plates (sulfite iron agar) were incubated for 44 ± 4 h at 37 °C in anaerobic jars. Detection limit was 1 CFU 100 mL−1.
The presence of thermotolerant Campylobacter species (such as Campylobacter jejuni, C. coli, C. lari and C. upsaliensies) was tested following the techniques described in standard ISO 17995 [19]. After membrane filtration of 200–800 mL of the sample, the membrane was placed into an enrichment broth and incubated at 37 °C for 2 days in microaerophilic gas phase followed by plating on modified charcoal–cefoperazone–deoxycholate agar (mCCDA) for a further 2 days at 41.5 °C.
The heterotrophic plate count was analyzed by the spread-plate technique on Reasoner´s 2 agar medium R2A, (Lab M, Lacashire, UK) [20]. The plates were incubated for 3 days at 22 °C. The detection limit was 50 CFU 100 mL−1.
2.5. Virus Analyses
F-specific coliphages (host E. coli ATCC 15597 (American Type Culture Collection, Manassas VA, USA)) and/or somatic coliphages (host E. coli ATCC 13706) were determined by using a single-layer agar technique from 100-mL samples [21]. The analysis was done with two replicates and the plates were incubated for 24 ± 3 h at 37 °C. The detection limit was 1 plaque forming units (PFU) 100 mL−1.
Adenovirus and genogroups GI and GII of the norovirus were analyzed as described previously [22]. Samples (500 mL) were concentrated by a two-phase separation method and the viruses were analyzed with real-time (RT) qPCR methods. All samples were run with undiluted and 10-fold dilutions. The theoretical detection limit for adeno- and noroviruses was 0.5–2.3 genome copies (GC) 1 mL−1.
2.6. Data Analyses
The loads of nutrients, BOD7, and COD were calculated as g/cap·d (total-N, total-P, and BOD7) according to Government Decree 157/2017 [1] by using Equation (1), which considers the water consumption and number of users varying between the sand filters (Table 1). The divisor 1000 in the equation is due to the conversion from milligrams to grams.
Statistical analyses were conducted by using IBM SPSS statistics 21. Bacteriological and coliphage data were log10-transformed for statistical analyses to obtain a normal distribution. Half of the detection limit was used in the statistical analyses if the result was below the detection limit. The statistical differences between three filter types or four seasons were analyzed by using the Kruskal–Wallis test with pair-wise comparison or by one-way ANOVA combined with Bonferroni post hoc test depending on the normality of the parameters. The statistical difference between different aged sand filters was analyzed by using the independent samples Mann–Whitney U test or the independent samples T-test. The association between the presence (yes or no) of enteric viruses with other analyzed microbes was tested with cross-tabulation combined with Chi-squared test or by the independent samples Mann–Whitney U test depending on the normality of the parameters. The difference was considered significant if the p-values were <0.05.
3. Results
3.1. Influent Water Quality
The results of the physico-chemical parameters of influents and effluents are shown in Table 2. The physico-chemical quality (g/cap·d or mg/L) of influent water flowing into the buried sand filters did not vary significantly with any of the measured parameters between the filters without P-adsorbing media (SF), filters with a biotite layer (B), and a filter with a module and biotite layer (MB) (Table 2). The average Ptot, Ntot, and BOD7 loads in influent were 1.8 ± 0.9, 13 ± 5 and 47 ± 26 g/cap·d, respectively. There were up to three log10 variations in the numbers of bacteria and viruses between different samples without any statistically significant differences between the sand filter types. Pathogenic viruses were frequently detected in the influent wastewater (Table 3). Campylobacter spp. was not detected in any of the samples.
Table 2.
Averages ± standard deviations (minimum-maximum values) of physico-chemical (mg L−1) parameters in influent and effluent of three buried sand filters without P-adsorbing media (SF), three buried sand filters with a biotite layer (B), and one buried sand filter with a module and biotite layer (MB).
Table 3.
Geometric means (minimum–maximum values) of microbial numbers (CFU 100 mL−1, PFU 100 mL−1 or GC mL−1) in influent water of three buried sand filters without P-adsorbing media (SF), three buried sand filters with a biotite layer (B), and one buried sand filter with a module and biotite layer (MB). If the value was under the detection limit (udl), half of the detection limit was used when calculating the geometric mean.
3.2. Effluent Quality
3.2.1. Phosphorus
The Ptot load in effluent varied during the one-year study period from 0.03 to 2.7 g/cap·d depending on the sand filter type and the sampling time (Figure 1a). In total, 83%, 94%, and 0% of the SF, B, and MB effluents, respectively, achieved the demands set for Ptot loads (0.66 g/cap·d) by the Finnish Government Decree (517/2017) (Figure 1a). The Ptot load from the MB was significantly higher than that from the SF or B (p < 0.001), which did not differ significantly. There was no seasonal trend in the effluent Ptot load.
Figure 1.
(a) Phosphorus (Ptot), (b) nitrogen (Ntot), and (c) biological oxygen demand (BOD7) loads in effluents from buried sand filters without P-adsorbing media (SF1–SF3), buried sand filters with a biotite layer (B1–B3), and a buried sand filter with a module and biotite layer (MB). The dashed line represents the required (basic purification requirement) purification efficiency in Finland (Government Decree 157/2017 [1]). Different letters indicate statistically significant differences between the filter types (* p < 0.05, *** p < 0.001). x = spring, ○ = summer, □ = autumn and ∆ = winter.
Within the SFs, the load was lower in the effluents of SF2 (0.12 ± 0.05 g/cap·d) than in SF1 (0.33±0.11 g/cap·d, p < 0.05) or SF3 (1.77 ± 0.54 g/cap·d, p < 0.01). The Ptot loads were 0.18 ± 0.22, 0.55 ± 0.21, and 0.32 ± 0.20 g/cap·d in B1, B2, and B3, respectively, without any statistical differences. An age effect was evident in the Ptot loads i.e., it was 0.47 ± 0.30 g/cap·d in 14-year-old SF1 and SF3, but 0.12 ± 0.05 g/cap·d in 9-year-old SF2 (p < 0.001), while the average Ptot load was 0.38 ± 0.28 g/cap·d in 9-year-old B1 and B2, and 0.32 ± 0.20 g/cap·d in 11-year-old B3.
3.2.2. Total Nitrogen, Ammonium-N, Nitrate-N, and Nitrite-N
The Ntot load in the effluent varied during the one-year study period from 0.7 to 19 g/cap·d (Figure 1b). In summary, Ntot loads fulfilled the required Finnish purification efficiency (9.8 g/cap·d) [1] in 67%, 100%, and 37% in effluents of SF, B, and MB, respectively (Figure 1b). The Ntot of the B was significantly lower than that of the SF or the MB (p < 0.05), but the treatment efficiencies between SF and MB did not differ significantly. There was no seasonal trend in the effluent Ntot loads. When comparing the SFs, the load was lower in SF2 (3.9 ± 3.1 g/cap·d) than in SF1 (11 ± 5.3 g/cap·d, p < 0.05), but Ntot loads were not statistically different between SF2 and SF3 (7.3 ± 3.4 g/cap·d). Within B, all Ntot loads were low, without any statistical significance between these filters. Age of filter affected the efficiency of SF so that the Ntot load was higher (9.2 ± 4.7 g/cap·d) in the older (14-year-old) SF1 and SF3 than in the younger (9-year-old) SF2 (4.0 ± 3.1 g/cap·d) (p < 0.01). However, in biotite filters, age had no effect on the Ntot load being passed to the environment, with average values of 3.0 ± 2.5 g/cap·d in the 9-year-old B1 and B2, and 1.0 ± 0.8 g/cap·d in the 11-year-old B3.
The percentages of ammonium-N from the total-N concentration in effluent were 36% (SF), 12% (B), and 36% (MB) (Table 2). The ammonium-N load in effluent varied during the one-year study period from 0.01 to 9.6 g/cap·d depending on the sand filter type and the sampling time. The ammonium-N load in effluent of B (0.24 ± 0.28 g/cap·d) was significantly lower than that of the SFs (2.90 ± 3.1 g/cap·d) (p < 0.001) or the MB (2.1 ± 1.9 g/cap·d) (p < 0.01), which did not differ significantly. There was no seasonal variation in the effluent ammonium-N load. As above, the age of filter influenced the SF so that ammonium-N load was higher (3.9 ± 3.3 g/cap·d) in the two older (14-year-old) SF 1 and 3 as compared to the younger (9-year-old) SF2 (0.90 ± 0.50 g/cap·d) (p < 0.05). Similarly, in B, the effluent ammonium-N load was higher (0.40 ± 0.10 g/cap·d) in the older (11-year-old) B3 than in its two younger counterparts, the (9-year-old) B1 and B2 (0.20 ± 0.30 g/cap·d) (p < 0.01).
Ammonium-N was partly nitrified, and thus the total-N of effluents was present as the nitrate form in 42% (SF), 85% (B), and 47% (MB) (Table 2). All nitrate-N loads in effluent were less than 14 g/cap·d. The nitrate-N loads of B (2.6 ± 2.9 g/cap·d) and SF (2.9 ± 3.3 g/cap·d) were significantly lower than those of MB (6.3 ± 3.0 g/cap·d) (p < 0.05). An age effect was found in B, i.e., the nitrate-N load was higher (3.2 ± 3.1 g/cap·d) in younger (9-year-old) B1 and B2 as compared to the older (11-year-old) B3 (0.5 ± 0.3 g/cap·d) (p < 0.05). In contrast, for the SF, the age did not exert any effect on nitrate-N load values, which all were less than 3.4 ± 4.0. The nitrite-N load in the effluent was always low, varying in the entire data from 0.001 to 1.7 g/cap·d during the one-year study period without significant differences between filters.
3.2.3. BOD7 and CODCr
The BOD7 load in the effluents varied during the one-year study period from 0.14 to 23.7 g/cap·d (Figure 1c). In total, 100% of the SFs and Bs and 86% of MBs succeeded in meeting the required Finnish purification efficiency (10 g/cap·d) (Government Decree 157/2017) (Figure 1c). The BOD7 load of B (1.1 ± 1.2 g/cap·d) was significantly lower than that of the SF (2.9 ± 2.2 g/cap·d) (p < 0.05), but it did not differ significantly from that of the MB (5.1 ± 8.3 g/cap·d). Within the SFs, the load was higher in SF3 (4.8 ± 1.4 g/cap·d) than in SF2 (1.0 ± 0.5 g/cap·d, p < 0.01), while the loads did not differ between the B filters. There was no seasonal trend in the effluent BOD7 load.
An age effect was found in SF such that the effluent BOD7 load was higher (4.1 ± 2.1 g/cap·d) in the older (14-year-old) SF 1 and 3 than in the younger (9-year-old) SF2 (1 ± 0.5 g/cap·d) (p < 0.01). However, with respect to the biotite filters, age did not have any effect on the BOD7 load values, which were 1.3 ± 1.3 g/cap·d in the 9-year-old B1 and B2, and 0.3 ± 0.1 g/cap·d in the 11-year-old B3.
The means of CODCr load varied during the one-year study period from 0.8 to 103 g/cap·d depending on the sand filter type and the sampling time. The level and the variation in CODCr in the MB filter (24 ± 34 g/cap·d) were significantly higher than that of the B (7.8 ± 20) (p < 0.01). CODCr values did not differ significantly between the MB and SF (5.7 ± 3.8 g/cap·d) nor between the SF and B. Season had no effect on the effluent CODCr load. Within the SFs, the load was lower in SF2 (2.5 ± 0.8 g/cap·d) than in either SF1 (6.3 ± 2.8 g/cap·d, p < 0.05) or SF3 (8.3 ± 4.3 g/cap·d, p < 0.01).
An age effect was found in SFs i.e., the CODCr load of effluent was higher (7.3 ± 3.6 g/cap·d) in the older (14-year-old) SF 1 and SF3 than in the younger (9-year-old) SF2 (2.5 ± 0.8 g/cap·d) (p < 0.001). However, in B, age did not exert any effect on the CODCr load values, which were 9.7 ± 22 g/cap·d in 9-year-old B1 and B2, and 1.5 ± 0.6 g/cap·d in 11-year-old B3. There was a positive correlation between BOD7 g/cap·d and COD g/cap·d (r = 0.65, p < 0.001, n = 37).
3.2.4. SS, O2 and PH
The concentration of suspended solids (SS) in effluents varied during the one-year study period, from 1.6 to 1200 mg/L. There was some oxygen in all effluents; its concentration varied from 2.4 to 8.3 mg L−1 depending on the sand filter type, but there were no statistical differences between the sand filter types (Table 2).
Age or season did not have any effect on the effluent SS or oxygen concentrations. Effluent pH varied from 4.7 to 8.5 during the entire study period (Table 2.). The pH of B was significantly higher than that of the SF (p < 0.01) but not of the MB filters. There were no seasonal effects on pH SF or MB. The age of the filter had no effect on the pH values of the effluent.
3.2.5. Bacteria
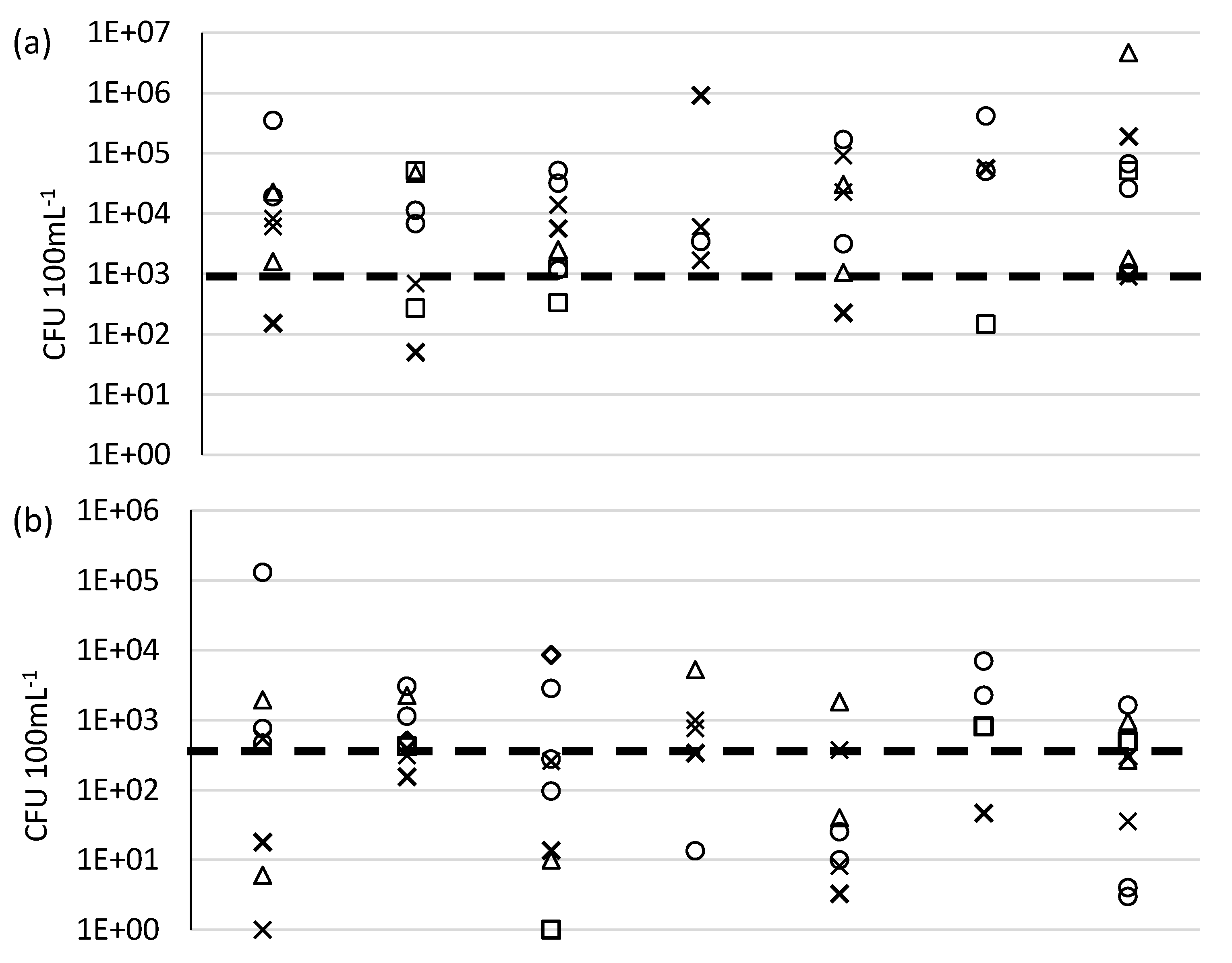
The numbers of Escherichia coli in effluents varied from 50 to 5 × 106 CFU 100 mL−1 (Figure 2a.) but in this parameter, there were no statistically significant differences between SF, B, and MB. Some seasonal variation was only found in SF (p < 0.05), where the numbers (1.9 × 104 CFU 100 mL−1) were statistically higher in summer than in spring (1.5 × 103 CFU 100 mL−1) (p < 0.05). The age of the filter had no effect on numbers of E. coli.

Figure 2.
Numbers of different bacteria in effluents (CFU 100 mL−1) during the one-year study period. (a) Escherichia coli, (b) intestinal enterococci, (c) spores of sulfite-reducing clostridia, and (d) heterotrophic bacteria from buried sand filters without P-adsorbing media (SF1–SF3), buried sand filters with a biotite layer (B1–B3) and a buried sand filter with a module and biotite layer (MB). The dashed line represents the levels assessed as sufficient quality for inland bathing water according to the EU Bathing Water Directive [23]. x = spring, ○ = summer, □ = autumn and ∆ = winter.
The numbers of intestinal enterococci in effluent varied from 1 to 1.3 × 105 CFU 100 mL−1, the number of spores of sulfite-reducing Clostridia ranged from <1 to 46 CFU 100 mL−1 (34 of 47 analyzed samples were below the detection limit) and the number of heterotrophic bacteria ranged from 2.7 × 103 to 8.6 × 107 CFU 100 mL−1 (Figure 2a–d ) without any statistical differences between SF, B, and MB. The numbers did not differ either due to the different seasons or between different ages of the filters. Campylobacter spp. was not detected in any of the samples.
3.2.6. Viruses
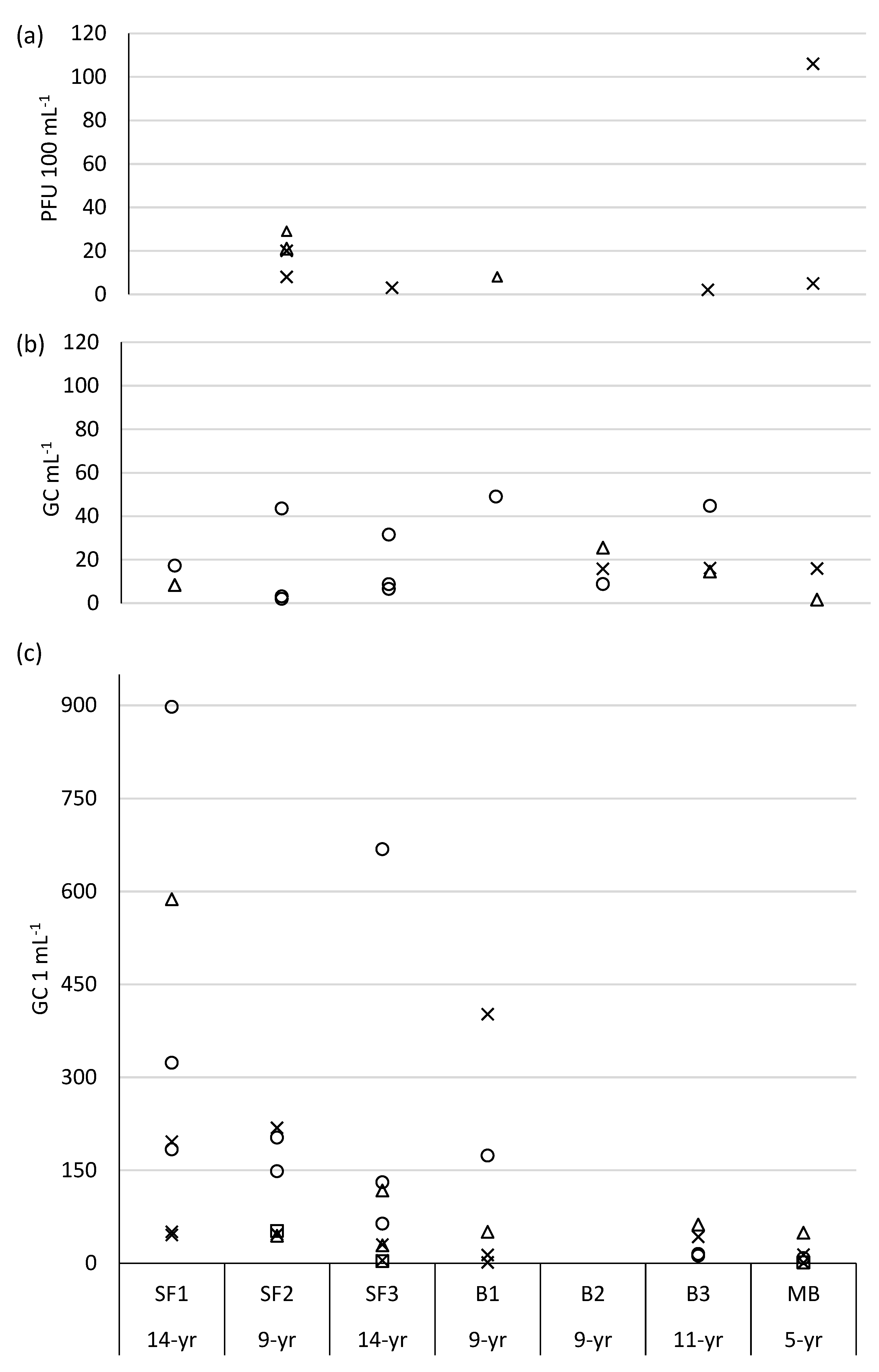
The number of F-specific coliphages in effluent was below the detection limit (1 PFU 100 mL−1) in all other samples, except in two samples in which there were low numbers of coliphages (44 PFU 100 mL−1 in SF1 and 1 PFU 100 mL−1 in SF3).
The number of somatic coliphages in effluent varied in the entire data from below the detection limit to 106 PFU 100 mL−1 (16 of 25 analyzed samples were below the detection limit) (Figure 3a.) without any differences between SF, B, and MB filters. Within the SFs, the geometric mean value was higher in SF2 (18 PFU 100 mL−1) than in SF1 (<1 PFU 100 mL−1) and in SF3 (3 PFU 100 mL−1) (p < 0.01). Age was found to decrease the numbers of somatic coliphages in SFs, such that the effluent contained 20 PFU 100 mL−1 in the younger (9-year-old) filters, while the effluent emerging from the older (14-year-old) SFs contained only 3 PFU 100 mL−1 (p < 0.01). Season had no effect on numbers of somatic coliphages.
Figure 3.
Numbers of viruses in effluent plaque forming units (PFU) 100 mL−1 or genome copies (GC) 1 mL−1 during the one-year study period. (a) Somatic coliphages, (b) adenovirus, (c) norovirus GII from buried sand filters without P-adsorbing media (SF1–SF3), buried sand filters with a biotite layer (B1–B3) and a buried sand filter with a module and biotite layer (MB). x = spring, ○ = summer, □ = autumn and ∆ = winter. Only positive samples are presented in the figure.
Human adenoviruses were detected from the effluents of all filter types and human norovirus GI from three of seven of the soil filters and human norovirus GII from six of seven soil filters during the one-year study period (Figure 3b,c.). The number of adenoviruses in the effluent ranged from below the detection limit to 49 GC 1 mL−1 (39.6% positive samples), those of norovirus GI from below the detection limit to 83 GC 1 mL−1 (6.3% positive samples), and norovirus GII from below the detection limit to 898 GC 1 mL−1 (72.9% positive samples). There were no differences in the detection of adeno- and noroviruses which could be attributed to the different filters or differences between the members of the same filter types. Neither age of the filter nor season was associated with the adenovirus, nor norovirus GI or GII results. Nonetheless, the numbers of sulfite-reducing clostridia spores were higher in those samples where norovirus GII was also detected (p < 0.05).
4. Discussion
There were rather similar Ptot loads entering the environment from B filters with a biotite layer and SF filters without P-adsorbing media; their treatments were sufficiently effective to fulfill the Finish Government Decree 157/2017 [1] as presented in Figure 1a. Biotite has been found to enhance the adsorption of phosphorus [10,22,24]. However, in some cases, SF filters without P-adsorbing media have been able to reduce the levels of P more than sand filters with P-adsorbing media [9]. The differences between results may be due to different P-adsorbing capacity of sand and specific P-adsorbing materials including biotite, different ferro sulfate products etc., and different experimental designs, i.e., full scale vs. pilot scale study.
Unfortunately, those previous publications have not provided any details to determine if the age of the filters could have exerted any effect on the filters’ purification capacities. In our study, Ptot load was lowest in B filters and only 1 of 17 samples (6%) compared to 4 of 23 samples in SF filters (17%) exceeded the basic level described in the Finnish requirement [1], Seven of 17 samples (41%) in B compared to 14 of 23 samples (61%) in SFs exceeded the more stringent level of the Finnish requirement [1]. The use of biotite is supported the idea to turn by-products of the mining industry to useful products in wastewater treatment. There was no apparent seasonal effect in Ptot loads, although a previous study has claimed that there would be higher Ptot in effluents in the summer months, possibly due to consumption by the household of a phosphate-rich diet during summer [8].
Due to nitrification and denitrification, the B filters of the present work seem to be more effective in reducing nitrogen and BOD than the other filters studied, in accordance with previous results [22]. The effluents from B sand filters with P-adsorbing media contained significantly less Ntot and BOD7 than the effluents of SF filters without P-adsorbing media and significantly less Ptot and Ntot than the effluent of MB filter (Figure 1a–c). Thus, the P-adsorbing layer enhanced the removal of nitrogen, as also reported previously [8]. However, in other Finnish studies, SF filters without P-adsorbing media have been able to reduce more Ntot than the sand filters with P-adsorbing media containing different ferro sulfate products or gypsum but not biotite [9,25]. The high percentage of total nitrogen as nitrate and the removal of total nitrogen are evidence for both nitrification and denitrification in B filters. The presence of nitrate in effluent is more favorable than the other forms of nitrogen since it would not consume oxygen after its release into surface waters [26,27]. A seasonal variation was only found in B, in which the N concentration as nitrate was higher in winter (2.6–9.0 g/cap·d) than in summer (0.20–0.70 g/cap·d, p < 0.05) apparently due to more extensive denitrification in summer.
The effluents of B filters had the lowest values of BOD7, which is in line with previous Nordic studies [8,9,25]. All B filters in our work fulfilled also the requirements of the tighter 90% reduction required in the Governmental Decree [1] or in Swedish regulations governing the reduction in the demands for BOD7 [28]. The good removal of organic matter in B filters was seen also in CODCr results; in our study, these loads were significantly lower in the B filter effluents than in the effluents from the MB filter. BOD7 and CODCr displayed a high statistically significant positive correlation, it can be assumed that CODCr would be sufficient when measuring the effluents’ oxygen demands.
The efficiency of B filters to remove Ptot, Ntot, and BOD7 as required in the Finnish Wastewater Decree (157/2017) [1] was not affected by the season or the age of the filter, whereas age reduced the ability of SF filters to remove Ptot, Ntot, and BOD7. The results showed that old B filters perform more consistently than old SF filters, although the age range of B filters (9–11 years) was somewhat narrower than the age range of SF filters (9–14 years). The efficiency of SF filters to remove N, P, and BOD7 (as stipulated in the Decree [1]) and also CODCr was reduced as the filter aged. However, SFs aged less than 10 years old seem to be suitable for treating wastewater with respect to these parameters. The lifetime of sand filters has been assumed to be at most around 30 years [29]. It has been reported that P removal with an SF filter declined to such an extent that it no longer met the required level already after 250 days of use [30], which is a rather short time compared to the expected lifetimes of sand filters. According to our results, the lifetime could perhaps be less than 30 years in some cases, since some Ptot and Ntot values in SF filters exceeded the required level in the 14-year-old filters. Thus, there is a need to determine the effect of ageing on the purification efficiency and to find methods to delay the decline in their efficiency.
The quality of effluent emerging from the MB filter was the poorest of all the studied samples, and 100% of Ptot, 63% of Ntot, and 14% of BOD7 samples did not fulfill the required loads [1]. For example, the Ptot load of the MB filter was approximately three to five times higher than in the SF or B filters, supporting earlier reports from a commercial modular sand filter where, on average, the Ptot concentration of effluent was four times higher than in sand filters with or without a P-adsorbing material [8]. Previously, MB filters have been found to be less effective than their SF or B counterparts [22,31].
Less than half of all effluent samples would reach a quality regarded as sufficient for bathing [23] (Figure 2a) or the recommended irrigation water quality [32] with regards to the numbers of E. coli and intestinal enterococci, confirming the previous results obtained with sand filters [8,10]. There were no clear differences in microbial quality between B, SF, and MB filter effluents. In a pilot-scale study, the inclusion of a separate phosphorus removal unit enhanced the removal of microbes [22], but in our full-scale study, this effect of P-adsorbing media on the removal of microbes could not be confirmed. The only statistical difference in bacterial data was found between E. coli numbers emerging from the SF filters; these were higher in summer than in spring, but no clear reason for this difference could be discerned.
It was important to note that Campylobacter was not detected in any effluents. Adeno- and noroviruses were frequently found in effluents; norovirus GII was the most prevalent virus (Figure 3b,c). The numbers of adenoviruses and noroviruses GI and GII in effluents were similar to those presented in a pilot-scale study [20]. Similarly, the numbers of F-specific coliphages were lower than those of somatic coliphages as observed previously [22]. It is noteworthy that both human adeno- and noro-viruses were detected over several seasons within the same filter, highlighting their prolonged persistence in these systems. This result is in line with the previous reports which have demonstrated the long-term persistence of virus genomes in different water samples [33,34].
The viruses present in these systems may pose a risk to human health via contamination of drinking or recreational waters [33]. In Finland and northern countries, the threat of groundwater contamination by escaping pathogens is especially high due to the shallowness of the soil layers protecting groundwater [30,35]. Furthermore, recreational waters can be contaminated should the effluent be released close to the recreational areas. It is important to ensure the safety of these waters, since effluent can pose a risk via nutrients or microbes. One option in private households is to ensure that the sand filtered effluent is passed through a P-removal unit. It has been found that these treatment units also reduce the number of bacteria and viruses [22]. There can also be antimicrobial amended layer added to the sand filter system [36,37]. In larger treatment units, such as public buildings e.g., schools and hotels or where the systems are shared between several households, disinfection of effluent can be a good option; it has been recommended that peracetic acid is a good choice as a disinfectant [8]. It is commonly recognized that when effluents are passed into a lake, river etc. then any contaminants will be rapidly diluted. Also, retention time must be long enough, and it is important to ensure that all wastewater flows slowly through the filter and there are no bypass flows. There was no clear seasonal difference. This may be on the fact that temperature of influent is approximately 20 °C and the temperature of soil may be close the annual mean temperature 2–3 °C [16].
The poor quality of the effluent released from MB filters may be traced to either design or construction faults, for example, the filter may have been partly blocked due to low permeability of biotite under the module. This module had been manufactured to handle wastewater from five persons, but the size of this modular biotite filter was only some 20% of the size what it should have been [31]. There were only two persons living in the household using the MB filter, but both of them used 186 liters of water per day. It has been pointed out that appropriate sizing is essential for the quality of effluent [8]. Therefore, the sizing of the system must be selected properly based on the number of residents and the estimated water consumption of the property.
5. Conclusions
In conclusion, buried sand filters with or without a phosphorus-adsorbing biotite layer remove nutrients efficiently from rural wastewater. Even though they are able to reduce the numbers of microbes, these can still represent a risk of microbial contamination to nearby natural water resources. The filters with a biotite layer may perform better than an SF in long-term usage. It is important that SF and B filters are designed to treat wastewater in exceptional situations, including holiday periods when water consumption and quality can differ from the norm; at these times, biological phosphorus binding can be inhibited due to either a shortage or an excess of carbon sources, leading to anaerobic conditions [15]. Effluent should be released to a location where contamination and the resulting health risks will be minimized if no post-treatment is applied. The microbial quality of effluent should also be considered when determining the efficiency of wastewater treatment in order to minimize hygienic risks. Future studies to find ways to improve effluent microbial quality would be beneficial.
The results indicate that the present types of sand filters (SFs) and sand filters with biotite (B) could trap wastewater BOD as set by law and 94% of B and 83% of SF fulfilled the P-reduction claim. The module sand filter would perhaps have been effective with a filter surface area of 25 m2 [31].
Author Contributions
All authors (K.M., A.K., A-M.V., E.T., H.H.-T., T.P., I.T.M., V.M.) have contributed to the design of study analyzing the data and writing and editing of the paper. K.M. analyzed physico-chemical parameters and hygiene indicators, A.K. analyzed pathogenic viruses, and T.P. and I.T.M. analyzed pathogenic bacteria.
Funding
This work was carried out as a part of a national MASU project, which was funded by the Finnish Funding Agency for Technology and Innovation (TEKES).
Acknowledgments
We thank Ewen MacDonald (University of Eastern Finland) for editing the English language.
Conflicts of Interest
The authors declare no conflict of interest.
References
- Ministry of the Environment, Finland. The Finnish Government Decree on Treating Domestic Wastewaters in Areas outside Sewer Networks, 517/2017. Available online: https://www.finlex.fi/fi/laki/alkup/2017/20170157 (accessed on 1 June 2018).
- Baker, M.J.; Blowes, D.W.; Ptacek, C.J. Laboratory Development of Permeable Reactive Mixtures for the Removal of Phosphorus from Onsite Wastewater Disposal Systems. Environ. Sci. Technol. 1998, 32, 2308–2316. [Google Scholar] [CrossRef]
- Weiss, P.; Eveborn, D.; Kärrman, E.; Gustafsson, J.P. Environmental systems analysis of four on-site wastewater treatment options. Resour. Conserv. Recycl. 2008, 52, 1153–1161. [Google Scholar] [CrossRef]
- Li, W.-W.; Yu, H.-Q.; He, Z. Towards sustainable wastewater treatment by using microbial fuel cells-centered technologies. Energ. Environ. Sci. 2014, 7, 911–924. [Google Scholar] [CrossRef]
- Razali, M.; Kim, J.F.; Attfield, M.; Budd, M.; Drioli, E.; Lee, Y.M.; Szekely, G. Sustainable wastewater treatment and recycling in membrane manufacturing. Green Chem. 2015, 17, 5196–5205. [Google Scholar] [CrossRef]
- Colla, V.; Annunziata Branca, T.; Rosito, F.; Lucca, C.; Vivas, B.P.V.; Delmiro, V.M. Sustainable Reverse Osmosis application for wastewater treatment in the steel industry. J. Clean. Prod. 2016, 130, 103–115. [Google Scholar] [CrossRef]
- Abdel-Shafy, H.I.; El-Khateeb, M.A.; Shehata, M. Greywater treatment using different designs of sand filters. Desalin. Water Treat. 2014, 52, 5237–5242. [Google Scholar] [CrossRef]
- Heinonen-Tanski, H.; Matikka, V. Chemical and Microbiological Quality of Effluents from Different On-Site Wastewater Treatment Systems across Finland and Sweden. Water 2017, 9, 47. [Google Scholar] [CrossRef]
- Kujala-Räty, K.; Santala, E. Improvement of Wastewater Treatment in Rural Areas-Final Report of the Hajasampo Project; The publication serie of Finnish Environment Institute: Helsinki, Finland, 2001. [Google Scholar]
- Vilpas, R.; Santala, E. Comparison of the nutrient removal efficiency of one-site wastewater treatments systems: Applications of conventional sand filters and sequencing batch reactors (SBR). Water Sci. Technol. 2007, 55, 109–117. [Google Scholar] [CrossRef] [PubMed]
- USEPA. Guidelines for Wastewater Reuse; US Environmental Protection Agency: Washington, DC, USA, 2012.
- Hagedorn, C.; Hansen, D.T.; Simonson, G.H. Survival and Movement of Fecal Indicator Bacteria in Soil under Conditions of Saturated Flow 1. J. Environ. Qual. 1978, 7, 55–59. [Google Scholar] [CrossRef]
- Pitkänen, T.; Juselius, T.; Isomäki, E.; Miettinen, I.T.; Valve, M.; Kivimäki, A.-L.; Lahti, K.; Hänninen, M.-L. Drinking water quality and occurrence of Giardia in Finnish small groundwater supplies. Resources 2015, 4, 637–654. [Google Scholar] [CrossRef]
- Kauppinen, A.; Pitkänen, T.; Miettinen, I.T. Persistent Norovirus Contamination of Groundwater Supplies in Two Waterborne Outbreaks. Food. Environ. Virol. 2018, 10, 39–50. [Google Scholar] [CrossRef] [PubMed]
- Abegglen, C.; Ospelt, M.; Siegrist, H. Biological nutrient removal in a small-scale MBR treating household wastewater. Water Res. 2008, 42, 338–346. [Google Scholar] [CrossRef] [PubMed]
- Finnish Meteorological Institute Home pages. Available online: http://www.fmi.fi/il/index.html (accessed on 5 June 2018).
- Water Quality e Detection and Enumeration of Intestinal Enterococci e Part 2, Method by Membrane Filtration; SFS-EN ISO 7899-2; Finnish Standards Association (SFS): Helsinki, Finland, 2000.
- Water Quality e Detection and Enumeration of the Spores of Sulfite-reducing Anaerobes (Clostridia); SFS-EN 26461-2; Finnish Standards Association (SFS): Helsinki, Finland, 1993.
- Hokajärvi, A.M.; Pitkänen, T.; Siljanen, H.M.; Nakari, U.M.; Torvinen, E.; Siitonen, A.; Miettinen, I.T. Occurrence of thermotolerant Campylobacter spp. and adenoviruses in Finnish bathing waters and purified sewage effluents. J. Water Health 2013, 11, 120–134. [Google Scholar] [CrossRef] [PubMed]
- Reasoner, D.J.; Geldreich, E.E. A new medium for the enumeration and subculture of bacteria from potable water. Appl. Environ. Microbiol. 1985, 49, 1–7. [Google Scholar] [PubMed]
- Grabow, W.O.K.; Coubrough, P. Practical direct plaque assay for detection of coliphages in 100 mL samples of drinking water. Appl. Environ. Microbiol. 1986, 52, 430–433. [Google Scholar] [PubMed]
- Kauppinen, A.; Martikainen, K.; Matikka, V.; Veijalainen, A.M.; Pitkänen, T.; Heinonen-Tanski, H.; Miettinen, I.T. Sand filters for removal of microbes and nutrients from wastewater during a one-year pilot study. J. Environ. Manag. 2014, 133, 206–213. [Google Scholar] [CrossRef] [PubMed]
- EU Publications. Directive 2006/7/EC of the European Parliament and of the Council, the EU Bathing Water Directive. Available online: https://publications.europa.eu/en/publication-detail/-/publication/c137dbd0-21c5-492f-81ad-736a1295fc68/language-en (accessed on 4 June 2018).
- Matikka, V.; Heinonen-Tanski, H. Reduction of phosphorus, nitrogen and microorganisms in pilot scale sand filter bed containing biotite, treating primary wastewater. Environ. Technol. 2016, 37, 46–54. [Google Scholar] [CrossRef] [PubMed]
- Kujala-Räty, K. Onsite Wastewater Treatment Plants Functionality Study, Hajasampo Project; Suomen ympäristö: Helsinki, Finland, 2004. [Google Scholar]
- Wetzel, R.G. Limnology: Lake and River Ecosystems, 3rd ed.; Gulf Professional Publishing: London, UK, 2001; p. 236. [Google Scholar]
- Arvola, L.; Järvinen, M.; Tulonen, T. Long-term trends and regional differences of phytoplankton in large Finnish lakes. Hydrobiologia 2011, 660, 125–134. [Google Scholar] [CrossRef]
- Naturvårdsverket. Naturvårdsverkets Allmänna Råd [Till 2 och 26 Kap. Miljöbalken och 12–14 och 19 §§ Förordningen (1998:899) om Miljöfarlig Verksamhet och Hälsoskydd] om Små Avloppsanordningar för Hushållsspillvatten. (General Claims over Small Scale Domestic Wastewater Effluent). 2006. Available online: http://www.naturvardsverket.se/Stod-i-miljoarbetet/Rattsinformation/Foreskrifter-allmanna-rad/NFS/2006/NFS-20067---Avloppsanordningar-for-hushallsspillvatten/# (accessed on 19 April 2016). (In Swedish).
- Lehtoranta, S.; Vilpas, R.; Mattila, T.J. Comparison of carbon footprints and eutrophication impacts of rural on-site wastewater treatment plants in Finland. J. Clean. Prod. 2014, 65, 439–446. [Google Scholar] [CrossRef]
- Laaksonen, P.; Sinkkonen, A.; Zaitsev, G.; Mäkinen, E.; Grönroos, T.; Romantschuk, M. Treatment of municipal wastewater in full-scale on-site sand filter reduces BOD but does not reach requirements for nitrogen and phosphorus removal. Environ. Sci. Pollut. Res. 2017, 24, 11446–11458. [Google Scholar] [CrossRef] [PubMed]
- Matikka, V.; Veijalainen, A.-M.; Vilpas, R. Haja-Asutuksen Jätevesien Niukkaresurssiset Käsittelykonseptit. 2012. Available online: http://portal.savonia.fi/pdf/julkaisutoiminta/MASU_raportti.pdf (accessed on 1 January 2018).
- WHO. Guidelines for the Safe Use of Wastewater, Excreta and Greywater. Volume 2 Wastewater use in agriculture. 2006. Available online: http://www.who.int/water_sanitation_health/wastewater/wwuvol2intro.pdf (accessed on 1 June 2018).
- Kauppinen, A.; Pitkänen, T.; Miettinen, I.T. Persistent Norovirus Contamination of Groundwater Supplies in Two Waterborne Outbreaks. Food Environ. Virol. 2017, 10, 39–50. [Google Scholar] [CrossRef] [PubMed]
- Kauppinen, A.; Miettinen, I.T. Persistence of Norovirus GII Genome in Drinking Water and Wastewater at Different Temperatures. Pathogens 2017, 6, 48. [Google Scholar] [CrossRef] [PubMed]
- Kløve, B.; Lund Kvitsand, H.M.; Pitkänen, T.; Gunnarsdottir, M.J.; Gaut, S.; Gardarsson, S.M.; Rossi, P.M.; Miettinen, I. Overview of groundwater sources and water-supply systems, and associated microbial pollution, in Finland, Norway and Iceland. Invited review. J. Hydrol. 2017, 25, 1033–1044. [Google Scholar] [CrossRef]
- Huang, J.; Huang, G.; An, C.; He, Y.; Yao, Y.; Zhang, P. Performance of ceramic filter coated with nano ZnO for removing Escherichia coli from water in small rural and remote communities of developing regions. Environ. Pollut. 2018, 238, 52–62. [Google Scholar] [CrossRef] [PubMed]
- Schifman, L.A.; Kasaraneni, V.K.; Sullivan, R.K.; Oyanedel-Craver, V.; Boving, T.B. Bacteria Removal from Stormwater Runoff Using Tree Filters: A Comparison of a Conventional and an Innovative System. Water 2016, 8, 76. [Google Scholar] [CrossRef]
© 2018 by the authors. Licensee MDPI, Basel, Switzerland. This article is an open access article distributed under the terms and conditions of the Creative Commons Attribution (CC BY) license (http://creativecommons.org/licenses/by/4.0/).



