Abstract
The management of water levels in wetlands is of great importance for the wetland ecosystem, including the conservation and revitalization of plants. However, the water level requirements (WLRs) of wetland plants have not been well investigated. In this study, Typha angustifolia was selected as an experimental plant species. Combining field investigation and simulation experiments, the relationship between the development status of this species and water level fluctuations (WLFs) in different life-history stages were analyzed. The results show that populations in the Yangtze floodplain, China, had two phenotypic forms ‘tall’ and ‘short’, and that these were distributed in lakes with intermittent or quasi-natural fluctuations and reservoir-like fluctuations, respectively. Lakes with high amplitude (>3.2 m) water fluctuations did not contain T. angustifolia. We investigated the distribution and growth of T. angustifolia in lakes of varying hydrology across the Yangtze floodplain, seeking to define its tolerance of water-level fluctuations and submergence at different stages in its life cycle. The upper tolerance limit of static submerged water depth was bounded by 1.5 times the height of plants in the seedling stage, and the upper tolerance limit of the submergence rate in the seedling stage was the average growth rate of seedling, 1.5 cm/d. The plant height had a positive linear correlation with amplitude and water depth from June to July. The autumn biomass was significantly negatively correlated with amplitude and water depth from January to May. This paper is perhaps the first case study on water level fluctuation requirements (WLFRs) of emergent macrophytes. It systematically assessed the WLFRs of T. angustifolia in each life-history stage, and established a comprehensive WLFR conceptual model. The results of this study could provide a quantitative operational basis for the protection and restoration of this species in Yangtze floodplain lakes.
1. Introduction
Aquatic macrophytes perform essential ecological functions, such as maintaining diversity and purifying water [1]. Natural water level fluctuations (WLFs) are of central importance in affecting the diversity of aquatic macrophytes, with plants having morphological, phenological, and life-history strategies [2,3,4]. However, due to the impact of water conservancy projects and climate change, many natural WLFs have undergone great changes, leading to a severe decline in aquatic vegetation [5]. River–lake disconnection leads to water level stabilization in Yangtze floodplain lakes, which significantly changes the vegetation type and reduces species diversity [5,6]. Therefore, it is necessary to quantify the water level fluctuation requirements (WLFRs) of aquatic macrophytes to carry out environmental water level regulation.
WLFRs of aquatic macrophytes are important in environmental flow and past studies have focused on woody plants in the floodplain, especially Populus and Salix in arid and semi-arid regions, where a specific model named the Recruitment Box Model for the seedling stage was established [7,8,9]. Also, the empirical models regarding the relationship between individual growth characteristics and groundwater were developed [10,11,12,13]. Subsequently, a matrix model of the relationship between population age structure dynamics and hydrological processes was built [14,15,16,17]. However, there are few studies on the WLFRs of herbaceous plants, except for small-scale simulation studies on the effects of water levels and their changes on seedlings of individual species [18,19,20,21,22,23], and the effects of WLFRs on its life-history. To this end, using field investigations and in situ simulation methods, we conducted a systematic study on the WLFRs of aquatic macrophytes in the Yangtze floodplain lakes [24,25,26,27,28], and this paper reports the results of studies on Typha angustifolia.
T. angustifolia is a perennial emergent macrophyte with rhizome as the primary breeding mode, which can withstand moderate WLFs. The plant grows as high as 1.5–3 m, which commonly grows in the littoral zones of lakes, ponds, and dikes. It is more tolerant to deep water than other Typha species [29,30,31,32]. As a common dominant species, this species is widely distributed in Yangtze floodplain lakes [33]. It has essential ecological functions, such as supplying biological habitat, mitigating waves, and stabilizing shoreline. It is a high-quality raw material for feed and paper, and can be used as medicine, but overgrowth can lead to the terrestrialization of the lake [33,34,35].
Wang et al. (2012) carried out simulation experiments about the effects of water depth and submergence duration on seedling growth [33]. Sharma et al. (2008a,b) and Inoue and Tsuchiya (2010) studied the morphology, growth and rhizome dynamics of this species in different water depths in Japan [30,31,36]. Squires (1992) studied the water depth tolerances of the dominant emergent macrophytes of the Delta Marsh [37]. Also, Boers and Zedler found that the stabilized water levels can promote the invasiveness of Typha [38].
The research objective of this study is to investigate the growth and survival of T. angustifolia systematically in response to WLFs, over its annual life cycle. We sought to combine field investigations with experimental manipulations designed to study its tolerances and requirements at specific stages in its life-history. More specifically, we examined (1) its phenology and its growth performance in 24 shallow lakes which showed different types of different WLFs; (2) the effects of varying water depth on its rhizome buds sprouting (RBS) and submergence rates on its growth at its early life-history in experimental pond.
2. Materials and Methods
2.1. Study in Lakes
A total of twenty-three lakes in the middle-lower Yangtze basin and one lake in the Huaihe basin (Figure 1) were selected for field investigations. The area has a subtropical monsoon climate with an annual air temperature of 13–20 °C and an annual precipitation of 996–1600 mm. The lake areas were from 2.0 km2 to 2933.0 km2, the water depths were 0.4–7 m, and the Secchi disc visibility was 45–180 cm [39]. According to the characteristics of WLFs, the lakes were divided into three types (Table S1): quasi-natural fluctuations, intermittent fluctuations, and reservoir-like fluctuations [27,39].
Figure 1.
The location of the 24 lakes studied, China.
2.2. Field Investigation Method
Field sampling on the T. angustifolia population of 24 lakes was conducted in February to March, May to June, September to October, and December to January, which was studied over a year between 2011 and 2015. Each population was examined four times to cover the annual life-history: first of all, the distribution of Typha in the whole lake was determined, and then at least three sites in each lake were selected randomly, ranging from the lowest elevation of its distribution to the highest elevation of its distribution. At each site, at least five quadrats (0.25 m2 or 1 m2) were placed randomly and the percentage of plant cover estimated. The above-ground part was then harvested and taken back to the laboratory, where the plant height, density and fresh mass were measured. The water depth at each sample site and the monthly average submergence depth from January to December were calculated based on the relative water surface elevation and annual lake water level data on the day of sampling. The coverage was estimated as the projective area ratio to the plot area. The density within each plot was recorded. The height, which represents the length from the base of the plant to the tip of the topmost unfolded leaf, was measured by a meter stick, and the fresh mass was measured by an electronic balance (0.01 g, BL-2200H, Shimadzu Corporation, Japan) to calculate biomass. The elevation above water was the perpendicular distance between the center of plot and the water surface, which was measured with a meter stick [35].
In addition, to study its phenology in the field, from January to December in 2015 the plant height and fresh mass of T. angustifolia were also measured each month at the lakeside of the Institute of Hydrobiology in Donghu.
2.3. WLFs and Meteorological Parameters
The daily water level data for Lake Wuchanghu (2015), Lake Chaohu (2014), Lake Wabuhu (2012), Lake Poganhu (2014), Lake Shimenhu (2015), Lake Shengjinhu (2015) and Lake Caizihu (2014) were derived from the Anhui Hydrological information system and the relevant hydrological network (http://shangqing.wswj.net/TYFW/InfoQuery/Lake.aspx). The daily water level data for Lake Yandonghu (2015), Lake Futouhu (2015), Lake Changhu (2015), Lake Honghu (2015), Lake Liangzihu (2015) and Chenglinji (2014) were derived from Hubei Hydrology and Water Resources Bureau and the relevant hydrological network (http://219.140.162.169:8800/rw4/report/fa02.asp). The daily water level data for Nanfeng (2011), Longkou (2011), Changyin (2011), Duchang (2011), Pingfeng (2011), Hukou (2015), Xingzi (2014), Lake Dahuchi (2015), Lake Shahuchi (2015), Lake Nanjishan Zhanbeihu (2015) and Lake Nanjishan Changhu (2015) were provided by the Hydrology Bureau of Jiangxi Province, Poyang Lake Nature Reserve Administration and the relevant hydrological network (http://www.jxssw.gov.cn/). Water level represents the standardized water level (=observed water level data–mean water level between Jan and Mar + 1.5 m).
The daily air temperature data during the investigation years were derived from the China Meteorological Data Network (http://data.cma.cn) and China Weather Network (http://www.tianqi.com).
2.4. Pond Simulation Experiment
The simulation experiment was carried out in a pond with a hanging basin. The pond was located on the northeast shore of Baoan Lake in Daye City, Hubei Province (N 30°17′26″, E 114°43′49″), with an area of about 40 m2, an average water depth of 1.8 m, a water temperature of 20–25 °C, a Secchi disc visibility of 60–98 cm, and pH 7.6–7.8. The hanging basin was a plastic basin with a top diameter of 25 cm and a bottom diameter of 15 cm and a height of 20 cm. The cultivation substrate was a 3:1 mixture of lake mud and sand (total nitrogen 1.52 mg/g, total phosphorus 0.58 mg/g, and organic matter 17.52 mg/g), and was 10 cm thick.
2.4.1. Experiment 1: Responses of RBS to Submergence Depth
In February 2014, rhizomes of T. angustifolia were collected from the pond and trimmed into stem segments, each 8 cm long and with one dormant bud. Five stem segments were randomly planted in each hanging basin, buried 2 cm deep, and pre-cultured for one week. The formal experiment was conducted from 1 March to 28 March. The hanging basin was suspended on the pond, and the submerged depth (distance from the surface of the water to the surface of the substrate) was 0, 10, 20, 40, 60, 80, 100, and 120 cm, respectively, in 8 groups, with three replicate at each depth, and the RBS was observed and recorded weekly.
2.4.2. Experiment 2: Responses of Seedling Growth to Submergence Depth and Submergence Rate
On 25 March, 2014, the seedlings of this species were collected from Baoan Lake, and those which grew about 20 cm were planted to the hanging pots, with five plants per basin. The hanging basin was hung in the pond, with submerged water depth of 0 cm, pre-cultured for one week, until the plant height was about 30 cm. The formal experiment was conducted from 2 April to 29 April. The submerged water depths were 0, 15, 30, 45, 60, 75, and 90 cm, in 7 groups, with three replicates in each depth, and the number of deaths was recorded weekly, and the plant height was measured.
And for another submergence rate experiment, the experimental material and pre-culture treatment were the same as above. The formal experiment was conducted from 2 April to 29 April. The hanging basin was initially submerged with a water depth of 0 cm. The submerged rates were 0, 1, 1.5, 2, 2.5, 3, 3.5, and 4 cm/d, in 8 groups, with three replicates in each, and the number of deaths was recorded, and the plant height was measured weekly. The whole plant submergence rate was calculated as the submerged water depth/plant height.
2.5. Data Analysis
The calculation and charting of the experimental data were performed using Microsoft Excel 2010, and statistical analysis was performed using the SPSS 19.0 software (SPSS Inc., Chicago, IL, USA). The statistical analysis of the data was performed using the Spearman correlation, ordinary least squares regression, and one-way ANOVA. The significance level of the regression parameters was tested using the t-test. In the one-way ANOVA, multiple comparisons of means were performed using Tukey’s test at a 0.05 significance level.
3. Results
3.1. Phenology of Growth in T. angustifolia
The phenology of T. angustifolia revealed an approximately sigmoidal annual growth curve by the measurement of plant height and biomass throughout 2015 in Donghu Lake (Figure S2). The rhizome buds started to sprout in February and March, with the slow early growth from April to May, and rapid growth from June to July, before it levelled-off in late summer. The plants died back entirely by November.
3.2. WLFs, Temperature and T. angustifolia Performance in Lakes
Our results show that the populations of this species in the Yangtze floodplain had two phenotypic forms: ‘tall’ plant form (2.1–3.3 m) and ‘short’ plant form (0.6–1.6 m), which were distributed in lakes with moderate (1.8–3.2 m) and small (<1.5 m) WLFs, respectively. The characteristic feature of these lakes was that the water level in spring was shallow, whilst lakes with a large water level rise in summer and high amplitudes (>3.5 m) of fluctuations had no distribution of this species (Figure S1(M1–X1)). The air temperature curve is almost the same in every lake.
The ‘Tall’ plant form of this species was present in lakes with intermittent fluctuations in water level (Figure 2(A1,A2)) and in lakes with quasi-natural fluctuations in water level (Figure 2(C1,C2), Figure S1(G1,G2,J1,J2)). Spring (February–May) water depths in the former lakes were shallow and stable, while those in the latter lakes were fluctuant; the plant was better and more luxuriant in the former than in the latter, producing a concomitantly larger biomass. As expected, the WLFs tended to be seasonal, rising rapidly to a peak in July and August that was much higher than winter levels.
Figure 2.
Relationships between the distribution elevation, coverage of Typha and annual water level and temperature and seasonal changes in the density, biomass and height of Typha in lakes. (A1–F1): relative water level, air temperature, distribution elevations and coverage of Typha; (A2–D2): density, biomass, and height of the plant. Water level represents a standardized water level (=observed water level data–mean water level between Jan and Mar + 1.5 m). C indicates coverage of Typha. The shaded area represents the distribution range of Typha. Biomass indicates fresh mass.
The ‘short’ plant form of this species was distributed in lakes with reservoir-like fluctuations, which showed relatively small annual fluctuations in water level that were not strongly seasonal (c. 1 m) and all supported populations of T. angustifolia (Figure 2(B1,B2,D1,D2), Figure S1(H1,H2,I1,I2,K1,K2,L1,L2)). T. angustifolia grew to a height of 0.6–1.6 m in these lakes, with the fastest growth in early summer, although there was some additional growth by September. As previously stated, plant biomass followed a very similar pattern to height. Shoot density reached a peak in March and declined slightly for the remainder of the growth period.
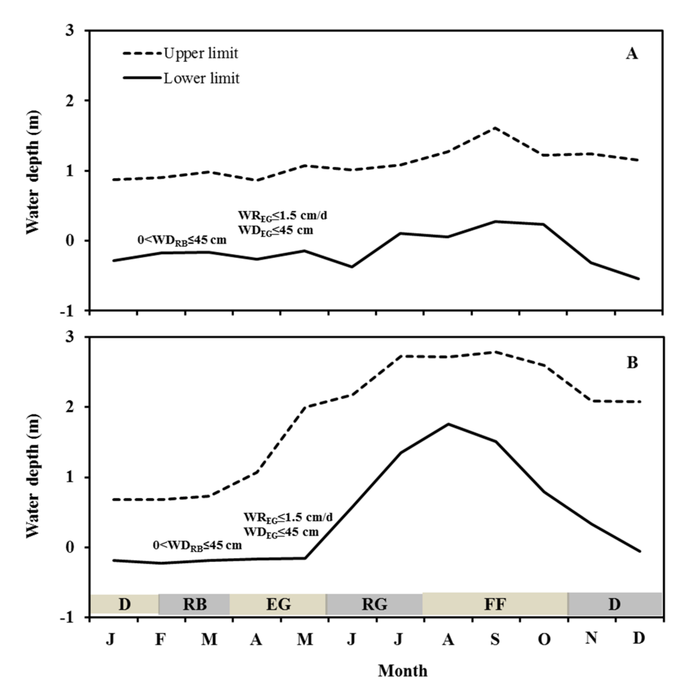
T. angustifolia was not found at all in the remaining 14 lakes with large annual fluctuations in water level. These include the lakes with the most significant annual changes in water level recorded (3.5–12 m). The phenological progression of water depths tolerated by T. angustifolia in lakes of low (reservoir like) and high (intermittent and quasi-natural) water depth in each month are compared in Figure 3.
Figure 3.
Upper and lower tolerance limits of water depth distribution for Typha angustifolia in each month across all lakes in which it was found. (A) Lakes with reservoir-like fluctuations; (B) Lakes with intermittent fluctuations and quasi-natural fluctuations.
The relationships between T. angustifolia performance (height and biomass) at its annual peak at the end of the growing season (autumn) and submergence depths in different lakes during the year revealed some important trends (Table 1). During winter and early spring, there was a negative correlation between autumn height and submergence depth. From May to November, however, there were significant positive correlations, those for June and July submergence being the strongest. There was an even more significant correlation between autumn height and annual amplitude. In contrast, correlations between autumn biomass and submergence depth from January to May and annual amplitude were negative (Table 1).
Table 1.
Spearman rank correlations (r) between mean submergence depth in each month and the autumn height, and the autumn biomass of Typha angustifolia.
The relationships between autumn plant height and annual amplitude are linear across all of the lakes supporting T. angustifolia, including those of all three hydrological types (Figure 4), even though the data for lakes with reservoir-like fluctuations and those with intermittent fluctuations and quasi-natural fluctuations form distinct clusters along the regression lines. The annual amplitude of the WLFs proved to be a good predictor of autumn height in T. angustifolia (Figure 4).
Figure 4.
Relationships between plant height of Typha angustifolia in autumn and annual water level fluctuation (WLF) amplitude in all study lakes in which it was found. Autumn height represents the maximum at the end of the growing season (September or October).
3.3. Responses of RBS to Submergence Depth (Experiment 1)
The RBS proportion was unaffected by submergence to a depth of 40 cm. Beyond this depth, it declined swiftly to 20% by a depth of 80 cm and showed a reduction to 0 after that (Figure 5). The analysis of one-way ANOVA showed that the percentage of RBS had no significant difference under 0, 10, 20 and 40 cm water depth treatment groups, but was significantly higher than that under 60 and 80 cm water depth treatment groups (F = 20.1, P < 0.001).
Figure 5.
Responses of rhizome bud sprouting (RBS) percentage in Typha angustifolia to submergence depth. The bars indicate one standard error. Different letters indicate significant differences between treatments (P < 0.01).
3.4. Responses of Seedling Growth to Submergence Depth and Submergence Rate (Experiment 2)
Submergence stimulated the seedling growth of T. angustifolia gradually up to c. 90 cm when the water depth was 45 cm (Figure 6). Beyond that depth, all the seedlings died.
Figure 6.
Responses of seedlings’ height of Typha angustifolia to submergence depth over one month in a pond experiment. Submergence depths: 0 cm; 15 cm; 30 cm; 45 cm; 60 cm; 75 cm; 90 cm. The bar indicates ± standard error.
In a similar way to the submergence depth experiment, the seedlings gradually responded to increasing submergence with a more significant growth in height (Figure 7). Plants survived and continued to grow to the end of the experiment at submergence rates of up to 1.5 cm/d, because the tops of them were able to remain emergent. When the increasing water level exceeded the plant’s height, they stopped the growth and then died. The seedlings died after twenty-one days at submergence rates of 2 cm/d, after fourteen days at 2.5 cm/d, seven days at 3–3.5 cm/d and after no less than seven days.
Figure 7.
Responses of seedlings of Typha angustifolia to submergence rate ((A–H) 0–4 cm/d) over 28 days in a pond experiment. Submergence rates: (A) 0 cm/d; (B) 1 cm/d; (C) 1.5 cm/d; (D) 2 cm/d; (E) 2.5 cm/d; (F) 3 cm/d; (G) 3.5 cm/d; (H) 4 cm/d. Bars indicate ± standard error. Height represents the length from the base of the plant to the tip of the topmost unfolded leaf. The dotted line shows the cumulative water level. Ratios of the submerged plants have been shown in parentheses above datum points.
4. Discussion
4.1. WLFRs of Typha angustifolia
The combination of large-scale field measurements and mesocosm-scale experimentation in a pond showed the significant effects of WLFs on T. angustifolia at different stages in its life-history. Examining its distribution in lakes with different hydrological regimes in the Yangtze basin helped to define the limits to its tolerance of WLFs. All of the lakes were characterized by shallow water in spring, but their water levels exhibited different amplitudes and timing of change during the growing season. Generally, a low and stable water level was beneficial for RBS and early growth, and quick water level rise in early summer could promote the elongation of the stem. The experiments by Boers and Zedler (2008) showed that the expansion rates in Typha were higher where water levels were shallow than where they were in deep water during the RBS stage [39]. The same is true of Typha domingensis, which has been found to be well-growing where the amplitude is less than 30 cm in the pond [19]. Zhang (2013) obtained similar conclusions in the study of Phragmites and Zizania, and Yuan et al. (2019a) on the research of Carex, which showed that the stable water level from January to May was beneficial for its rhizome emergence [27,35]. Although it was present in all the lakes with little amplitude and reservoir-like fluctuations, T. angustifolia occurred in only some of the lakes with intermittent fluctuations and some of those with shallow and constant water depth in spring. In the ten lakes that supported populations of T. angustifolia, its annual growth tended to track rising water levels during the growing season. In reservoir-like lakes, this appeared to limit upward growth, as its height rarely exceeded the water level by more than 20–45 cm. The height is the phenotypic form of a ‘short’ plant, ranging in maximum height from 0.6 to 1.6 m in height, depending on the lake. Nevertheless, in lakes with more significant fluctuations, it was able to grow much taller, again tending to exceed the peak water levels by a small margin. This is the other phenotypic form of a ‘tall’ plant, ranging in maximum height from 2.1–3.3 m. However, when the relationship between T. angustifolia height and water depth was considered across all the lakes in which it occurred, there was a significant correlation in summer, around the time of peak water levels. There was a clear linear relationship between them in June, and an even more conspicuous linear relationship between Autumn (i.e., final) plant height and the annual amplitude in the water level (Table 1). This suggests that the height response to water level is essentially continuous and that the segregation between short and tall phenotypes is simply a reflection of the hydrological gap between reservoir-like lakes and those with intermittent fluctuations and quasi-natural fluctuations. So, we discuss the WLFRs of Typha in reservoir-like lakes and lakes with intermittent and quasi-natural fluctuations separately.
Our phenological observations support the division of the life-history of T. angustifolia into five periods: the rhizome bud (RB) period (February–March), a period of early growth (EG) (April–May), a rapid growth (RG) period (June–July), a flowering and fruiting (FF) period (August–October), and a dormant (D) period (November–January) [26,27,28,35].
The pond experiments using rhizome buds and seedlings emphasized the importance of submergence of T. angustifolia at its early life-history stages (February–May), which are considered the critical steps in the life cycle of many plants [25]. The response of seedlings to water depth reflected the results from the field measurements of mature plants. Height growth responded gradually to increasing the depth of submergence up to 45 cm, maintaining an ever-declining aerial portion of 10–15 cm above the water surface. However, at a submergence of 100 cm and beyond, we observed a catastrophic switch, with no plant survival. The field experiment by Li et al. (2015) showed there is no Typha distribution where the water depth is beyond 100 cm in the pond [40].
Comparison of multiple lakes during the rhizome bud period (RB) showed that the upper tolerance limit of water depth of the ‘short’ plant form in February and March was 0.9 m and 0.98 m, respectively; and the lower tolerance limit was −0.18 m and −0.17 m, respectively (Figure 3). However, the upper tolerance limit of water depth of ‘tall’ plant form in February and March was 0.68 m and 0.73 m, respectively; and the lower tolerance limit was −0.23 m and −0.19 m, respectively. The same is true of dormant carbohydrate-rich rhizomes and their buds, which cannot withstand prolonged anoxia in Zizania latifolia [23,35]. Our experiment with this phenological stage was no exception, and the sprouting of rhizome buds was not affected by submergence of 0.4 m; even though the numbers sprouting declined with deeper submergence, there was a fraction of about 20% of buds when water depth was 80 cm. The experiment by Inoue and Tsuchiya (2010) showed that the upper tolerance limit of water depth of this species was 60–100 cm in an artificial pond [36]. Meanwhile, an experiment by Tang et al. (2019) showed that it can survive when the submergence depth is not beyond 40 cm [41].
Comparison of multiple lakes during the early growth period (EG) showed that the upper tolerance limit of water depth of the ‘short’ plant form in April and May was 0.86 m and 1.07 m, respectively, and the lower tolerance limit was −0.27 m and −0.15 m, respectively (Figure 3). The upper tolerance of water depth of the ‘tall’ plant form in April and May was 1.07 m and 2.0 m, respectively. The lower tolerance was −0.17 m and −0.16 m, respectively. The ‘tall’ plant form showed a slight tolerance, probably because of the high proportion of underground biomass when the water was deep during the EG period [30].
The effects of submergence rate on seedlings in the pond experiment (Figure 7) showed that when the submergence rate (0–1.5 cm/d) was less than or equal to the plant height growth rate (0.93–1.39 cm/d), the seedling growth was good, and the plant height increased with the increasing rate (Figure 7A–C); when the submergence rate (2–3.5 cm/d) exceeded the plant height growth rate (1.01–1.81 cm/d), it could still grow early. When the whole plant inundation rate exceeded about 80%, the plant was dead (Figure 7D–H). Plants could survive total submergence for only about a week. The triggering of this catastrophe also appears to be related to the submergence rate. Although seedlings grew taller with increasing submergence rate, this was only if they maintained an aerial portion, and plants died when overtaken by the water level. Therefore, when the submergence rate was close to the plant height growth rate, the tolerance rate of seedlings to the submergence was equal to the maximum plant growth rate (c. 1.5 cm/d) in the seedling stage, and the lower submergence rate can promote the growth of the plant. This paper did not study the tolerance rate of submergence in other life-history periods, but it was speculated that it should not exceed the maximum increase rate of plant growth. As Yuan et al. (2019a) found in a study of the Carex species, it died when the submergence rate exceeded 1.2 cm/d in its seedling stage [27]. All the evidence points to the fact that actively growing T. angustifolia plants cannot survive sustained total submergence. This is presumably because of the need to maintain gas exchange with the atmosphere to oxygenate tissues via aerenchyma [22,33]. Zhang (2013) and Yuan et al. (2019a) obtained similar conclusions in the study of Carex [27,35]. The average increase rates of this species in the RB, seedling, rapid growth and flowering stages were 0.23 cm/d, 1.52 cm/d, 2.53 cm/d, and 0.51 cm/d, which could be used as the reference value for the tolerance limits of the submergence rate (Figure S2).
Comparison of multiple lakes during the rapid growth period (RG) showed that the upper tolerance limit of water depth of the ‘short’ plant form in June and July was 1.01 m and 1.08 m, respectively, and the lower tolerance limit was −0.37 m and 0.1 m, respectively (Figure 3). However, the upper tolerance limit of water depth of the ‘tall’ plant form in June and July was 2.18 m and 2.72 m, respectively, and the lower tolerance limit was 0.58 m and 1.35 m, respectively. The tolerance water depth of the ‘tall’ plant form increased gradually, which is attributed to the rapid increase in plant height.
Comparison of multiple lakes during the flowering and fruiting period (FF) showed that the upper tolerance limit of water depth of the ‘short’ plant form in August, September, and October was 1.27 m, 1.61 m, and 1.22 m, respectively; and the lower tolerance limit was 0.05 m, 0.27 m, and 0.23 m, respectively. However, the upper tolerance limit of water depth of the ‘tall’ plant form in August, September, and October was 2.71 m, 2.78 m and 2.59 m, respectively; and the lower tolerance limit was 1.76 m, 1.51 m, and 0.79 m, respectively (Figure 3).
Comparison of multiple lakes during the dormant period (D) showed that the upper tolerance limit of water depth of the ‘short’ plant form in November, December and January was 1.24 m, 1.15 m and 0.87 m, respectively; and the lower tolerance limit was 0.33 m, −0.06 m, and −0.19 m, respectively. However, the upper tolerance limit of water depth of the ‘tall’ plant form in November, December, and January was 2.09 m, 2.08 m and 0.68 m, respectively; and the lower tolerance limit was 0.33 m, −0.06 m and −0.19 m, respectively (Figure 3).
The plant height was also positively correlated with the water depth from August to November, which should be the hysteresis effect after the RG period. The plant height was significantly negatively correlated with the water depth from December to January. The reason may be that the deep water in winter was unfavorable to the Rhizome, which was not conducive to the RB and growth in the next year [27,35]. The moderate water level rise from June to July could increase the autumn plant height, while the rising of the water level in winter and spring could reduce the autumn plant height (Table 1). The Spearman rank correlation between the mean submergence depth in each month and the autumn biomass of this species showed that the autumn biomass was significantly negatively correlated with the water depth from January to May and the amplitude (Table 1). This result was consistent with the experimental results of Chen et al. (2010) regarding Typha domingensis [42]. This indicated that a deep water depth in winter and spring was unfavorable for autumn plant biomass. But it also showed that autumn biomass was significantly positively correlated with the water depth in June; this indicated that water level rise in June could increase the plant height to improve biomass during the RG period. After this time, we found the switch to a strong positive correlation, as discussed above. Increasing height and biomass over the later part of the growing season was associated with declining stem densities, suggesting an element of intra-specific competition for resources, probably light [35,43].
4.2. Comparison with Competitive Hygrophytes
Considering they had overlapped ranges of distribution elevation and a potential competitive relationship, we compared the WLFRs of T. angustifolia with hygrophytes. Hygrophytes have different WLFRs from T. angustifolia and they prefer lakes with quasi-natural WLFs [35], where the water level increases steadily from spring to summer and with a large amplitude in a lake (e.g., Poyanghu Lake). The rhizome buds of T. angustifolia could sprout at a depth of 80 cm at the RBS stage, but hygrophytes (e.g., Carex) could not emerge under the water [27]. At the EG and the RG stage, the seedling growth of T. angustifolia needed more water than hygrophytes, and a rising water level was required. Thus, T. angustifolia usually had a higher upper limit on the submergence rate (1.5 cm/d) than did Carex [27,35]. The differences in the WLFRs between the two groups could be explained by the following reasons. Firstly, emergent plants usually hold more developed aerenchyma in their stems than Carex, enhancing their tolerance of inundation [44]. Secondly, they can respond to more intensely increasing submergence than Carex, with more significant growth in height in a short period of time through morphological flexibility [22]. It seems that emergent plants tend to adopt an ‘escape syndrome’ strategy when inundation stress occurs, but with an upper limit, whereby stems and leaves are extended to capture more light energy and oxygen for growth [22,45,46]. However, hygrophytes (e.g., Carex) tend to adopt a ‘quiescence syndrome’ strategy. They also enter a state of dormancy to resist wave stress. That is why they can grow well in the lakes with high amplitude, but Typha cannot [28,47].
5. Conclusions
In the present research, we conducted a conceptual model of the WLF tolerances and requirements of T. angustifolia, combining field comparisons and three simulation experiments. The WLF conceptual model (Figure 8) was established for emergent macrophytes for the first time in subtropical region. We considered the WLFRs at each life-history stage of the plant and estimated the lower and upper limits as well as optimal values in lakes with reservoir-like, intermittent and quasi-natural fluctuations separately. According to our model, water levels from February to May should be kept stable and low at which T. angustifolia is distributed. In addition, the phenotypic plasticity of T. angustifolia allows it respond to increasing annual submergence up to c. 3.2 m, which proved to be its limit for survival. The results of this study on T. angustifolia provide a quantitative operational basis for the regulation of populations of this species: in theory, each parameter of WLFR can be used to regulate this population, and in practice, it was generally more feasible to regulate the water level in spring and early summer (February–May). Our conclusions have important management implications for the restoration and control management of T. angustifolia, and may provide guidance for the management of other aquatic macrophytes. Given the importance of T. angustifolia in different types of lake, its successful management also has implications for the restoration and conservation of lakes whose water levels need to be managed for multiple purposes.
Figure 8.
Conceptual model of WLF tolerances and requirements of Typha angustifolia in (A) lakes with reservoir-like fluctuations; (B) lakes with intermittent fluctuations and quasi-natural fluctuations. D indicates the dormant period; RB indicates the rhizome bud period; EG indicates the early growth period; RG indicates the rapid growth period; FF indicates the flowering and fruiting period; WDRB indicates the optimum water depth during the rhizome bud period; WREG indicates the optimum water depth during the early growth period; WREG indicates the optimum water rise rate during the early growth period.
Supplementary Materials
The following are available online at https://www.mdpi.com/2073-4441/12/1/127/s1, Figure S1: Relationships between the distribution elevation, coverage of Typha angustifolia and annual water level and temperature (G1–X1) and seasonal changes of the density, biomass and height of Typha angustifolia (G2–02) in other lakes, Figure S2: Phenology of growth of Typha angustifolia at Lake Donghu in 2015. The bars indicate one standard error (n = 8), Table S1: Hydrological characteristics description of three kinds of WLF type in lakes.
Author Contributions
Conceptualization, Z.-D.Y., S.-B.Y., X.-Q.L. and H.-Z.W.; Methodology, Z.-D.Y., S.-B.Y., X.-Q.L. and H.-Z.W.; Software, Z.-D.Y., H.-Z.W.; Validation, Z.-D.Y., X.-Q.L. and H.-Z.W.; Formal Analysis, Z.-D.Y., X.-Q.L. and H.-Z.W.; Investigation, Z.-D.Y., S.-B.Y., X.-Q.L. and H.-Z.W.; Resources, H.-Z.W.; Data Curation, Z.-D.Y.; Writing—Original Draft Preparation, Z.-D.Y.; Writing—Review and Editing, Z.-D.Y., X.-Q.L. and H.-Z.W.; Visualization, Z.-D.Y.; Supervision, H.-Z.W.; Project Administration, X.-Q.L.; Funding Acquisition, X.-Q.L., H.-Z.W. All authors have read and agreed to the published version of the manuscript.
Funding
This work was funded by National Natural Science Foundation of China (51579234) and National Key R&D Program of China (2017YFC0404502).
Acknowledgments
We would like to thank X.Z., D.L., J.O. and W.H. for the help in the field and pond experiment, Y.H. for revision of the map, M.L. and V.P. Singh for their useful suggestions on writing.
Conflicts of Interest
The authors declare that they have no conflict of interest with this work.
References
- Maberly, S.C. Ecology of Shallow Lakes. Aquat. Bot. 2000, 68, 93–94. [Google Scholar] [CrossRef]
- Poff, N.L.; Allan, J.D.; Bain, M.B.; Karr, J.R.; Prestegaard, K.L.; Richter, B.D.; Sparks, R.E.; Stromberg, J.C. The natural flow regime. BioScience 1997, 47, 769–784. [Google Scholar] [CrossRef]
- Lytle, D.A.; Poff, N.L. Adaption to natural flow regimes. Trends Ecol. Evol. 2004, 19, 94–100. [Google Scholar] [CrossRef] [PubMed]
- Manzur, M.E.; Grimoldi, A.A.; Insausti, P.; Striker, G.G. Escape from water or remain quiescent? Lotus tenuis changes its strategy depending on depth of submergence. Ann. Bot. 2009, 104, 1163–1169. [Google Scholar] [CrossRef] [PubMed]
- Wang, H.Z.; Wang, H.J. Ecological effects of river-lake disconnection and restoration strategies in the mid-lower Yangtze River. In Ecological Management on Water and Sediment in the Yangtze River Basin; Science Press: Beijing, China, 2009. (In Chinese) [Google Scholar]
- Zhang, X.K.; Liu, X.Q.; Wang, H.Z. Developing water level regulation strategies for macrophytes restoration of a large river-disconnected lake. Ecol. Eng. 2014, 68, 25–31. [Google Scholar] [CrossRef]
- Mahoney, J.M.; Rood, S.B. Stream flow requirements for cottonwood seedling recruitment in integrative model. Wetlands 1998, 18, 634–645. [Google Scholar] [CrossRef]
- Rood, S.B.; Samuelson, G.M.; Braatne, J.H.; Gourley, C.R.; Hughes, F.M.R.; Mahoney, J.M. Managing river flows to restore floodplain forests. Front. Ecol. Environ. 2005, 3, 193–201. [Google Scholar] [CrossRef]
- Merritt, D.M.; Scott, M.L.; Poff, N.L.; Auble, G.T.; Lytle, D.A. Theory, methods and tools for determining environmental flows for riparian vegetation: Riparian vegetation-flow response guilds. Freshw. Biol. 2010, 55, 206–225. [Google Scholar] [CrossRef]
- Scott, M.L.; Shafroth, P.B.; Auble, G.T. Responses of riparian cottonwoods to alluvial water table declines. Environ. Manag. 1999, 23, 347–358. [Google Scholar] [CrossRef]
- Cooper, D.J.; D’Amico, D.R.; Scott, M.L. Physiological and morphological response patterns of Populus deltoides to alluvial groundwater. J. Environ. Manag. 2003, 31, 215–226. [Google Scholar] [CrossRef]
- Kennedy, M.P.; Milne, J.M.; Murphy, K.J. Experimental growth responses to groundwater level variation and competition in five British wetland plant species. Wetl. Ecol. Manag. 2003, 11, 383–396. [Google Scholar] [CrossRef]
- Driver, P.D.; Barbour, E.J.; Michener, K. An integrated surface water, groundwater and wetland plant model of drought response and recovery for environmental water management. In Proceedings of the MODSIM 2011 International Congress on Modelling and Simulation 2011, Perth, Australia, 12–16 December 2011; Volume 26, pp. 2444–2450. [Google Scholar]
- Merritt, L.D.M. Hydrologic regimes and riparian forests: A structured population model for cottonwood. Ecology 2004, 85, 2493–2503. [Google Scholar]
- Smith, M.; Caswell, H.; Mettler-Cherry, P. Stochastic flood and precipitation regimes and the population dynamics of a threatened floodplain plant. Ecol. Appl. 2005, 15, 1036–1052. [Google Scholar] [CrossRef]
- Hebb, A.J.; Mortsch, L.D.; Deadman, P.J.; Cabrera, A.R. Modeling wetland vegetation community response to water-level change at Long Point, Ontario. J. Great Lakes Res. 2013, 39, 191–200. [Google Scholar] [CrossRef]
- Palanisamy, B.; Chui, T.F.M. Understanding wetland plant dynamics in response to water table changes through ecohydrological modelling. Ecohydrology 2013, 6, 287–296. [Google Scholar] [CrossRef]
- Edwards, A.L.; Lee, D.W.; Richards, J.H. Responses to a fluctuating environment: Effects of water depth on growth and biomass allocation in Eleocharis cellulosa Torr. (Cyperaceae). Can. J. Bot. 2003, 81, 964–975. [Google Scholar] [CrossRef]
- Deegan, B.M.; White, S.D.; Ganf, G.G. The influence of water level fluctuations on the growth of four emergent macrophyte species. Aquat. Bot. 2007, 86, 309–315. [Google Scholar] [CrossRef]
- Wu, X.D.; Wang, G.X.; Wei, H.N.; Li, Z.G.; Hang, Z.Q. Growth responses of Hydrilla verticillata to increasing water levels. J. Lake Sci. 2012, 24, 384–390. (In Chinese) [Google Scholar]
- Bai, X.; Chen, K.; Chen, X. Short-time response in growth and sediment properties of Zizania latifolia to water depth. Environ. Earth Sci. 2013, 70, 2847–2854. [Google Scholar] [CrossRef]
- Wang, Q.; Chen, J.; Liu, F.; Li, W. Morphological changes and resource allocation of Zizania latifolia (Griseb.) Stapf in response to different submergence depth and duration. Flora 2014, 209, 279–284. [Google Scholar] [CrossRef]
- Wang, H.L.; Zhang, X.K.; Wan, A. Morphological responses of Zizania latifolia seedlings at different ages to short-term submergence. J. Lake Sci. 2018, 30, 192–198. (In Chinese) [Google Scholar]
- Wang, H.Z.; Wang, H.J.; Liang, X.M.; Ni, L.Y.; Liu, X.Q.; Cui, Y.D. Empirical modelling of submerged macrophytes in Yangtze lakes. Ecol. Model. 2005, 188, 483–491. [Google Scholar] [CrossRef]
- Yuan, S.B.; Yang, Z.D.; Liu, X.Q.; Wang, H.Z. Key parameters of water level fluctuations determining the distribution of Carex in shallow lakes. Wetlands 2017, 6, 1005–1014. [Google Scholar] [CrossRef]
- Liu, X.; Yang, Z.D.; Yuan, S.B.; Wang, H.Z. A novel methodology for the assessment of water level requirements in shallow lakes. Ecol. Eng. 2017, 102, 31–38. [Google Scholar] [CrossRef]
- Yuan, S.B.; Yang, Z.D.; Liu, X.Q.; Wang, H.Z. Water level requirements of a Carex hygrophyte in Yangtze floodplain lakes. Ecol. Eng. 2019, 129, 29–37. [Google Scholar] [CrossRef]
- Yuan, S.B. Environmental Flow Requirements of Hygrophytic Vegetation in the Yangtze Floodplain. Ph.D. Thesis, University of Chinese Academy of Sciences, Beijing, China, 2019. (In Chinese). [Google Scholar]
- Weisner, S.E.B. Within lake patterns in depth penetration of emergent vegetation. Freshw. Biol. 1991, 26, 133–142. [Google Scholar] [CrossRef]
- Sharma, P.; Asaeda, T.; Fujino, T. Effect of water depth on the rhizome dynamics of Typha angustifolia. Wetl. Ecol. Manag. 2008, 16, 43–49. [Google Scholar] [CrossRef]
- Sharma, P.; Asaeda, T.; Kalibbala, M.; Fujino, T. Morphology, growth and carbohydrate storage of the plant Typha angustifolia at different water depths. Chem. Ecol. 2008, 24, 133–145. [Google Scholar] [CrossRef]
- Asaeda, T.; Fujino, T.; Manatunge, J. Morphological adaptations of emergent plants to water flow: A case study with Typha angustifolia, Zizania latifolia and Phragmites australis. Freshw. Biol. 2010, 50, 1991–2001. [Google Scholar] [CrossRef]
- Wang, Q.L.; Chen, J.R.; Liu, H. The growth responses of two emergent plants to the water depth. Acta Hydrobiol. Sin. 2012, 36, 583–587. (In Chinese) [Google Scholar]
- Grace, J.B.; Wetzel, R.G. Habitat partitioning and competitive displacement in Typha: Experimental field studies. Am. Nat. 1981, 118, 463–474. [Google Scholar] [CrossRef]
- Zhang, X.K. Water Level Fluctuation Requirements of Plants in the Yangtze Floodplain Lakes. Ph.D. Thesis, University of Chinese Academy of Sciences, Beijing, China, 2013. (In Chinese). [Google Scholar]
- Inoue, T.; Tsuchiya, T. Depth distribution of three Typha species, Typha orientalis Presl, Typha angustifolia L. and Typha latifolia L. in an artificial pond. Plant. Species Biol. 2010, 24, 47–52. [Google Scholar] [CrossRef]
- Squires, L. Water-depth tolerances of the dominant emergent macrophytes of the Delta Marsh, Manitoba. Can. J. Bot. 1992, 70, 1860–1867. [Google Scholar] [CrossRef]
- Boers, A.M.; Zedler, J.B. Stabilized water levels and Typha invasiveness. Wetlands 2008, 28, 676–685. [Google Scholar] [CrossRef]
- Wang, H.Z.; Liu, X.Q.; Wang, H.J. The Yangtze River Floodplain: Threats and Rehabilitation. Am. Fish. Soc. Symp. 2016, 84, 263–291. [Google Scholar]
- Li, C.M.; Ye, X.Q.; Wu, M.; Shao, X.X. Effect of water depth and co-existence on the growth characteristics of Phragmites communis and Typha angustifolia. Wetl. Sci. 2015, 13, 609–615. (In Chinese) [Google Scholar]
- Tang, S.W.; Cao, J.; Xu, L.M. Simulation Experiment on Adaptation of Typha orientalis to Flooded Habitat. Wetl. Sci. 2019, 17, 582–592. (In Chinese) [Google Scholar]
- Chen, H.; Zamorano, M.F.; Ivanoff, D. Effect of flooding depth on growth, biomass, photosynthesis, and chlorophyll fluorescence of Typha domingensis. Wetlands 2010, 30, 957–965. [Google Scholar] [CrossRef]
- Li, W. Studies on Aquatic Vegetation and its Succession in Honghu Lake. Ph.D. Thesis, Institute of Hydrobiology, Chinese Academy of Sciences, Wuhan, China, 1995. (In Chinese). [Google Scholar]
- Maricle, B.R.; Lee, R.W. Aerenchyma development and oxygen transport in the estuarine cordgrasses Spartina alterniflora, and S. anglica. Aquat. Bot. 2002, 74, 109–120. [Google Scholar] [CrossRef]
- Voesenek, L.A.C.J.; Benschop, J.J.; Bou, J.; Cox, M.C.H.; Groeneveld, H.W.; Millenaar, F.F.; Vreeburg, R.A.M.; Peeters, A.J.M. Interactions between plant hormones regulate submergence-induced shoot elongation in the flooding-tolerant dicot Rumex palustris. Ann. Bot. 2003, 91, 205–211. [Google Scholar] [CrossRef]
- Colmer, T.D.; Voesenek, L.A.C.J. Flooding tolerance: Suites of plant traits in variable environments. Funct. Plant Biol. 2009, 36, 665–681. [Google Scholar] [CrossRef]
- Chen, X.S.; Deng, Z.M.; Xie, Y.H.; Li, F.; Li, X. Differential growth and vegetative reproduction by two co-occurring emergent macrophytes along a water table gradient. Pak. J. Bot. 2014, 46, 881–886. [Google Scholar]
© 2019 by the authors. Licensee MDPI, Basel, Switzerland. This article is an open access article distributed under the terms and conditions of the Creative Commons Attribution (CC BY) license (http://creativecommons.org/licenses/by/4.0/).







