Biochar from Agricultural by-Products for the Removal of Lead and Cadmium from Drinking Water
Abstract
1. Introduction
2. Materials and Methods
2.1. Raw Materials Collection
2.2. Calcination of Biomass
2.3. Biochar Characterization
2.4. Evaluation of Pb2+ and Cd2+ Removal from Aqueous Solution
2.4.1. Effect of pH
2.4.2. Effect of Adsorbent Dose
2.4.3. Adsorption Isotherms
2.4.4. Adsorption Kinetic
3. Results
3.1. Calcination Conditions
3.2. Biochar Characterization
3.3. Sorbent Chemical Characteristics
3.4. Adsorption as A Function of pH
3.5. Effect of Adsorbent Dose
3.6. Adsorption Kinetics
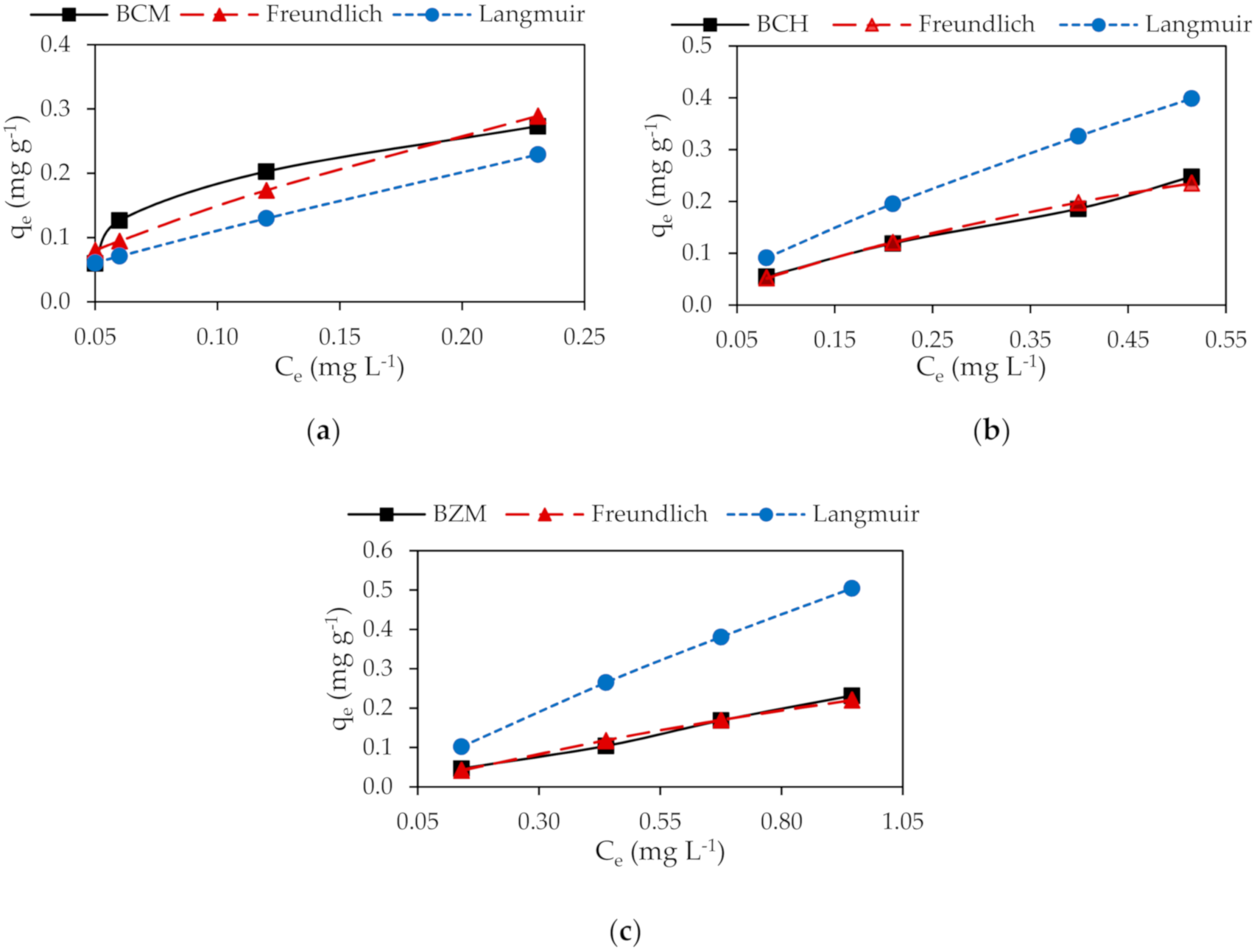
3.7. Adsorption Isotherms
4. Conclusions
Author Contributions
Funding
Conflicts of Interest
References
- Kouassi, N.L.B.; Yao, K.M.; Trokourey, A.; Soro, M.B. Distribution, Sources, and Possible Adverse Biological Effects of Trace Metals in Surface Sediments of a Tropical Estuary. Environ. Forens. 2015, 16, 96–108. [Google Scholar] [CrossRef]
- Chakraborty, S.; Chakraborty, P.; Nath, B.N. Lead distribution in coastal and estuarine sediments around India. Mar. Pollut. Bull. 2015, 97, 36–46. [Google Scholar] [CrossRef] [PubMed]
- Fonseca, A.R.; Fernandes, L.F.S.; Fontaínhas-Fernandes, A.; Monteiro, S.M.; Pacheco, F.A.L. The impact of freshwater metal concentrations on the severity of histopathological changes in fish gills: A statistical perspective. Sci. Total Environ. 2017, 599, 217–226. [Google Scholar] [CrossRef] [PubMed]
- Taiwo, A.M.; Awomeso, J.A. Assessment of trace metal concentration and health risk of artisanal gold mining activities in Ijeshaland, Osun State Nigeria—Part 1. J. Geochem. Explor. 2017, 177, 1–10. [Google Scholar] [CrossRef]
- Li, N.; Kang, Y.; Pan, W.; Zeng, L.; Zhang, Q.; Luo, J. Concentration and transportation of heavy metals in vegetables and risk assessment of human exposure to bioaccessible heavy metals in soil near a waste-incinerator site, South China. Sci. Total Environ. 2015, 144–151. [Google Scholar] [CrossRef] [PubMed]
- Zhang, H.; Tang, Y.; Cai, D.; Liu, X.; Wang, X.; Huang, Q.; Yu, Z. Hexavalent chromium removal from aqueous solution by algal bloom residue derived activated carbon: Equilibrium and kinetic studies. J. Hazard. Mater. 2010, 181, 801–808. [Google Scholar] [CrossRef]
- Instituto Nacional de Estadística e Informática (INEI). Estadísticas Ambientales Resultados, Info. Téc 2009. Available online: https://sinia.minam.gob.pe/documentos/informe-tecnico-estadisticas-ambientales-marzo-2009 (accessed on 2 August 2020).
- Castillo, M.F.; Salas, E.H.; Alcantara, R.B. Estadísticas Ambientales. Estadístic. Ambient. Info. Téc. 2018, 5, 49. [Google Scholar]
- Oviedo, A.R.; Moína-Quimí, E.; Naranjo-Morán, J.; Barcos-Arias, M. Contaminación por metales pesados en el sur del Ecuador asociada a la actividad minera. Bionatura 2017, 2, 437–441. [Google Scholar] [CrossRef]
- Malamis, S.; Katsou, E.; Haralambous, K.J. Study of Ni(II), Cu(II), Pb(II), and Zn(II) Removal Using Sludge and Minerals Followed by MF/UF. Water Air Soil Pollut. 2010, 218, 81–92. [Google Scholar] [CrossRef]
- Carolin, C.F.; Kumar, P.S.; Saravanan, A.; Joshiba, G.J.; Naushad, M. Efficient techniques for the removal of toxic heavy metals from aquatic environment: A review. J. Environ. Chem. Eng. 2017, 5, 2782–2799. [Google Scholar] [CrossRef]
- Ko, D.; Lee, J.S.; Patel, H.A.; Jakobsen, M.H.; Hwang, Y.; Yavuz, C.T.; Hansen, H.C.B.; Andersen, H.R. Selective removal of heavy metal ions by disulfide linked polymer networks. J. Hazard. Mater. 2017, 332, 140–148. [Google Scholar] [CrossRef]
- Liu, C.; Lei, X.; Wang, L.; Jia, J.; Liang, X.; Zhao, X.; Zhu, H. Investigation on the removal performances of heavy metal ions with the layer-by-layer assembled forward osmosis membranes. Chem. Eng. J. 2017, 327, 60–70. [Google Scholar] [CrossRef]
- Visa, M. Synthesis and characterization of new zeolite materials obtained from fly ash for heavy metals removal in advanced wastewater treatment. Powder Technol. 2016, 294, 338–347. [Google Scholar] [CrossRef]
- Bilal, M.; Rasheed, T.; Sosa-Hernández, J.E.; Raza, A.; Nabeel, F.; Iqbal, H.M. Biosorption: An Interplay between Marine Algae and Potentially Toxic Elements—A Review. Mar. Drugs 2018, 16, 65. [Google Scholar] [CrossRef] [PubMed]
- Inyang, M.; Gao, B.; Yao, Y.; Xue, Y.; Zimmerman, A.R.; Pullammanappallil, P.; Cao, X. Removal of heavy metals from aqueous solution by biochars derived from anaerobically digested biomass. Bioresour. Technol. 2012, 110, 50–56. [Google Scholar] [CrossRef]
- Sigdel, A.; Jung, W.; Min, B.; Lee, M.; Choi, U.; Timmes, T.; Kim, S.-J.; Kang, C.-U.; Kumar, R.; Jeon, B.-H. Concurrent removal of cadmium and benzene from aqueous solution by powdered activated carbon impregnated alginate beads. Catena 2017, 148, 101–107. [Google Scholar] [CrossRef]
- Chen, L.; Wu, P.; Chen, M.; Lai, X.; Ahmed, Z.; Zhu, N.; Dang, Z.; Bi, Y.; Liu, T. Preparation and characterization of the eco-friendly chitosan/vermiculite biocomposite with excellent removal capacity for cadmium and lead. Appl. Clay Sci. 2018, 159, 74–82. [Google Scholar] [CrossRef]
- Elhafez, S.A.; Hamad, H.A.; Zaatout, A.A.; Malash, G.F. Management of agricultural waste for removal of heavy metals from aqueous solution: Adsorption behaviors, adsorption mechanisms, environmental protection, and techno-economic analysis. Environ. Sci. Pollut. Res. 2016, 24, 1397–1415. [Google Scholar] [CrossRef]
- Bouhamed, F.; Elouear, Z.; Jalel, B.; Ouddane, B. Multi-component adsorption of copper, nickel and zinc from aqueous solutions onto activated carbon prepared from date stones. Environ. Sci. Pollut. Res. 2015, 23, 15801–15806. [Google Scholar] [CrossRef]
- Lehmann, J. A handful of carbon. Nature 2007, 447, 10–11. [Google Scholar] [CrossRef]
- Yuan, J.-H.; Xu, R.-K.; Zhang, H. The forms of alkalis in the biochar produced from crop residues at different temperatures. Bioresour. Technol. 2011, 102, 3488–3497. [Google Scholar] [CrossRef]
- Lafdani, E.K.; Saarela, T.; Laurén, A.; Pumpanen, J.; Palviainen, M. Purification of Forest Clear-Cut Runoff Water Using Biochar: A Meso-Scale Laboratory Column Experiment. Water 2020, 12, 478. [Google Scholar] [CrossRef]
- Valencia, R.; Montúfar, R.; Navarrete, H.; Balslev, H. Palmas Ecuatorianas: Biología y so sostenible. In Ecuadorian Palms: Biology and Sustainable Use, 1st ed.; Herbario QCA de la Pontificia Universidad Católica del Ecuador: Quito, Ecuador, 2013. [Google Scholar]
- Smith, N. Palms and People in the Amazon. In Geobotany Studies; Springer: Berlin, Germany, 2015. [Google Scholar]
- Zapata, N.; Henriquez, L.; Finot, V.L. Caracterización y clasificación botánica de veintidos líneas de maní (Arachis hypogaea L.) Evaluadas en la Provincia de Nuble, Chile. Chil. J. Agric. Anim. Sci. 2017, 33, 202–212. [Google Scholar] [CrossRef][Green Version]
- Montoya, E.; Maria, F. Estudio Sobre la Comercialización de Maíz Duro en la Sierra—Centro Norte del Ecuador. Bachelor’s Thesis, Universidad Politécnica Salesiana—Quito, Cuenca, Ecuador, 2010. [Google Scholar]
- Lee, M.-E.; Park, J.H.; Chung, J.W. Comparison of the lead and copper adsorption capacities of plant source materials and their biochars. J. Environ. Manag. 2019, 236, 118–124. [Google Scholar] [CrossRef] [PubMed]
- Vo, A.T.; Nguyen, V.P.; Ouakouak, A.; Nieva, A.; Doma, J.B.T.; Tran, H.N.; Chao, H.-P. Efficient Removal of Cr(VI) from Water by Biochar and Activated Carbon Prepared through Hydrothermal Carbonization and Pyrolysis: Adsorption-Coupled Reduction Mechanism. Water 2019, 11, 1164. [Google Scholar] [CrossRef]
- Khiari, B.; Ghouma, I.; Ibn Ferjani, A.; Azzaz, A.A.; Jellali, S.; Limousy, L.; Jeguirim, M. Kenaf stems: Thermal characterization and conversion for biofuel and biochar production. Fuel 2020, 262, 116654. [Google Scholar] [CrossRef]
- Lee, M.-E.; Park, J.H.; Chung, J.W. Adsorption of Pb(II) and Cu(II) by Ginkgo-Leaf-Derived Biochar Produced under Various Carbonization Temperatures and Times. Int. J. Environ. Res. Public Health 2017, 14, 1528. [Google Scholar] [CrossRef] [PubMed]
- Liu, L.; Huang, Y.; Zhang, S.; Gong, Y.; Su, Y.; Cao, J.; Hu, H. Adsorption characteristics and mechanism of Pb(II) by agricultural waste-derived biochars produced from a pilot-scale pyrolysis system. Waste Manag. 2019, 100, 287–295. [Google Scholar] [CrossRef]
- Colpas, F.; Taron-Dunoyer, A.A. Área superficial de carbones activados y modificados obtenidos del recurso agrícola Saccharum officinarum. Rev. Ciencias Agric. 2017, 34, 62–72. [Google Scholar] [CrossRef]
- Park, J.; Lee, Y.; Ryu, C.; Park, Y.-K. Slow pyrolysis of rice straw: Analysis of products properties, carbon and energy yields. Bioresour. Technol. 2014, 155, 63–70. [Google Scholar] [CrossRef] [PubMed]
- Wendlandt, W.; Dosch, E. The deltatherm V differential thermal analysis and thermogravimetry system. Thermochim. Acta 1987, 117, 45–50. [Google Scholar] [CrossRef]
- Schlegel, M.; Ibrahim, B.; Laurel, O.; Kipping, R.; Fras, J.; Kanswohl, N.; Zosel, J. Hydrothermal Carbonization Process to Improve Transportability of Plant Biomass. Agroproductividad 2018, 11, 3–9. [Google Scholar]
- N’Goran, K.P.D.A.; Diabaté, D.; Yao, K.M.; Kouassi, N.L.B.; Gnonsoro, U.P.; Kinimo, K.C.; Trokourey, A. Lead and cadmium removal from natural freshwater using mixed activated carbons from cashew and shea nut shells. Arab. J. Geosci. 2018, 11, 498. [Google Scholar] [CrossRef]
- Rwiza, M.J.; Oh, S.-Y.; Kim, K.-W.; Kim, S.D. Comparative sorption isotherms and removal studies for Pb(II) by physical and thermochemical modification of low-cost agro-wastes from Tanzania. Chemosphere 2018, 195, 135–145. [Google Scholar] [CrossRef] [PubMed]
- Colpas, F.; Tarón, A.; Fong, W. Analisis del desarrollo textural de carbones activados preparados a partir de zuro de maíz. Temas Agrar. 2016, 20, 103–112. [Google Scholar] [CrossRef][Green Version]
- Filippín, A.J.; Luna, N.S.; Pozzi, M.T.; Pérez, J.D. Obtención y Caracterización De Carbón Activado a Partir De Residuos Olivícolas Y Oleícolas Por Activacion Física Obtaining and Characterizing of Carbon Activated from Olivic and Olive-Residues By Physical Activation. Avan. Cie. Ingeni. 2017, 8, 59–71. [Google Scholar]
- ASTM D2867-09. Standard Test Methods for Moisture in Activated Carbon; ASTM: West Conshohocken, PA, USA, 2014. [Google Scholar] [CrossRef]
- ASTM D2866-11. Standard Test Method for Total Ash Content of Activated Carbon; ASTM: West Conshohocken, PA, USA, 2018. [Google Scholar] [CrossRef]
- Hernández, M.; Otero-Calvis, A.; Falcón-Hernandez, J.; Yperman, Y. Características Fisicoquímicas Del Carbón Activado de Conchas de Coco Modificado Con HNO3. Rev. Cubana Quím. 2017, 29, 26–38. [Google Scholar]
- Ravulapalli, S.; Kunta, R. Removal of lead (II) from wastewater using active carbon of Caryota urens seeds and its embedded calcium alginate beads as adsorbents. J. Environ. Chem. Eng. 2018, 6, 4298–4309. [Google Scholar] [CrossRef]
- Sadeek, S.A.; Negm, N.A.; Hefni, H.H.; Wahab, M.M.A. Metal adsorption by agricultural biosorbents: Adsorption isotherm, kinetic and biosorbents chemical structures. Int. J. Biol. Macromol. 2015, 81, 400–409. [Google Scholar] [CrossRef]
- Langmuir, I. The constitution and fundamental properties of solids and liquids. Part II—Liquids. J. Frankl. Inst. 1917, 184, 721. [Google Scholar] [CrossRef]
- Freundlich, H. Über die Adsorption in Lösungen. Zeitschrift Physikal. Chem. 1907, 57, 385–470. [Google Scholar] [CrossRef]
- Lagergren, S. About the Theory of So-Called Adsorption of Soluble Substances. Kungliga Svenska Vetenskapsakademiens Handlingar. 1898, 24, 1–39. [Google Scholar]
- Ho, Y.S.; McKay, G. Pseudo-Second Order Model for Sorption Processes. Org. Process. Res. Dev. 1998, 21, 866–870. [Google Scholar] [CrossRef]
- Pinzón, M.; Vera, L. Modelamiento de la cinética de bioadsorción de Cr (III) usando cáscara de naranja kinetc modeling biosorption of Cr(III) using orange shell. Dyna 2009, 76, 95–106. [Google Scholar]
- Castellar-Ortega, G.; Mendoza-Colina, E.D.J.; Mercado, E.R.A.; Colpas, J.E.J.; Pereira, Z.A.P.; Bravo, M.C.R. Equilibrio, cinética y termodinámica de la adsorción del colorante DB-86 sobre carbón activado de la cáscara de yuca. Revista MVZ Córdoba 2019, 24, 7231–7238. [Google Scholar] [CrossRef]
- American Water Works Association. AWWA B604-90 Granular Activated Carbon; AWWA: Denver, CO, USA, 2019. [Google Scholar] [CrossRef]
- Organización de las naciones unidas para la agricultura y la alimentación FAO. Capitulo 10. Uso Eficiente Del Carbón Vegetal. In Métodos Simples Para Fabricar Carbón Vegetal; FAO: Rome, Italy, 1999; Available online: http://www.fao.org/3/X5328S/X5328S05.htm (accessed on 2 May 2020).
- Hernández, F.; Cristina, A.; Tort, S.; Recio, R. Valoración De La Calidad Del Carbón Vegetal De Las Zonas De La Efi Empresa Forestal Gran Piedra- Baconao. Rev. Cubana Quím. 2006, XVIII, 30–38. [Google Scholar]
- Cortés, V. Carbón. 2000. Available online: https://docplayer.es/9596492-Carbon-prof-dr-vicente-j-cortes.html (accessed on 2 May 2020).
- Goswami, M.; Phukan, P. Enhanced adsorption of cationic dyes using sulfonic acid modified activated carbon. J. Environ. Chem. Eng. 2017, 5, 3508–3517. [Google Scholar] [CrossRef]
- Aboua, K.N.; Yobouet, Y.A.; Yao, K.B.; Goné, D.L.; Trokourey, A. Investigation of dye adsorption onto activated carbon from the shells of Macoré fruit. J. Environ. Manag. 2015, 156, 10–14. [Google Scholar] [CrossRef]
- Adebisi, G.A.; Chowdhury, Z.Z.; Alaba, P.A. Equilibrium, kinetic, and thermodynamic studies of lead ion and zinc ion adsorption from aqueous solution onto activated carbon prepared from palm oil mill effluent. J. Clean. Prod. 2017, 148, 958–968. [Google Scholar] [CrossRef]
- Song, X.; Wang, L.; Zeng, Y.; Zhan, X.; Gong, J.; Li, T. Application of activated carbon modified by acetic acid in adsorption and separation of CO2 and CH4. Advances in energy science and environment engineering II: Proceedings of 2nd International Workshop on Advances in Energy Science and Environment Engineering. AESEE 2018 2018, 1944, 020056. [Google Scholar] [CrossRef]
- Senthilkumar, P.; Ramalingam, S.; Sathyaselvabala, V.; Kirupha, S.D.; Sivanesan, S. Removal of copper(II) ions from aqueous solution by adsorption using cashew nut shell. Desalination 2011, 266, 63–71. [Google Scholar] [CrossRef]
- Kumar, P.S.; Ramalingam, S.; Sathyaselvabala, V.; Kirupha, S.D.; Murugesan, A.; Sivanesan, S. Removal of cadmium(II) from aqueous solution by agricultural waste cashew nut shell. Korean J. Chem. Eng. 2012, 29, 756–768. [Google Scholar] [CrossRef]
- Cheraghi, E.; Ameri, E.; Moheb, A. Adsorption of cadmium ions from aqueous solutions using sesame as a low-cost biosorbent: Kinetics and equilibrium studies. Int. J. Environ. Sci. Technol. 2015, 12, 2579–2592. [Google Scholar] [CrossRef]
- Ferreira-Coelho, G.; Affonso, C.G., Jr.; Tarley, C.R.T.; Casarin, J.; Nacke, H.; Francziskowski, M.A. Removal of metal ions Cd (II), Pb (II), and Cr (III) from water by the cashew nut shell Anacardium occidentale L. Ecol. Eng. 2014, 73, 514–525. [Google Scholar] [CrossRef]
- Ansari, T.M.; Hanif, M.A.; Mahmood, A.; Ijaz, U.; Khan, M.A.; Nadeem, R.; Ali, M. Immobilization of Rose Waste Biomass for Uptake of Pb(II) from Aqueous Solutions. Biotechnol. Res. Int. 2011, 2011, 685023. [Google Scholar] [CrossRef] [PubMed]
- Ho, Y.S.; Porter, J.F.; McKay, G. Equilibrium Isotherm Studies for the Sorption of Divalent Metal Ions onto Peat: Copper, Nickel and Lead Single Component Systems. Water Air Soil Pollut. 2002, 141, 1–33. [Google Scholar] [CrossRef]
- Albis, A.; Rangel, A.J.L.; Castilla, M.C.R. Removal of methylene blue from aqueous solutions using cassava peel (Manihot esculenta) modified with phosphoric acid//Remoción de azul de metileno de soluciones acuosas utilizando cáscara de yuca (Manihot esculenta) modificada con ácido fosfórico. Prospectiva 2017, 15, 60–73. [Google Scholar] [CrossRef][Green Version]
- Li, J.; Zheng, L.; Wang, S.-L.; Wu, Z.; Wu, W.; Niazi, N.K.; Shaheen, S.M.; Rinklebe, J.; Bolan, N.; Ok, Y.S.; et al. Sorption mechanisms of lead on silicon-rich biochar in aqueous solution: Spectroscopic investigation. Sci. Total Environ. 2019, 672, 572–582. [Google Scholar] [CrossRef] [PubMed]
- Xu, X.; Cao, X.; Zhao, L. Comparison of rice husk- and dairy manure-derived biochars for simultaneously removing heavy metals from aqueous solutions: Role of mineral components in biochars. Chemosphere 2013, 92, 955–961. [Google Scholar] [CrossRef]








| Parameter | Units | BCM | BCH | BZM |
|---|---|---|---|---|
| Apparent density | g cm−3 | 0.12 | 0.17 | 0.11 |
| Moisture content | % | 6.81 | 5.98 | 5.23 |
| Volatile material Mv | % | 24.49 | 34.62 | 19.99 |
| Ash content Cc | % | 5.85 | 10.48 | 4.22 |
| Fixed carbon Cf | % | 62.85 | 48.92 | 70.22 |
| Specific surface | m2 g−1 | 1224 | 652.8 | 778.3 |
| Pore size | µm | 21.11 | 30.62 | 28.44 |
| Effective size (D10) | mm | 1.45 | 2.28 | 2.11 |
| Yield Y | % | 60.16 | 78.64 | 61.23 |
| Sorbent | Reference | |
|---|---|---|
| Ripened Tea Leaf (MTL) | 1313 | [56] |
| Macore fruit | 229.5 | [57] |
| Palm oil mill effluent | 59.19 | [58] |
| Coconut shell | 1135 | [59] |
| Cashew shell | 395.0 | [60] |
| Cashew shell | 984.0 | [61] |
| Shea shell | 768 | [37] |
| Cashew shell | 512 | [37] |
| Peanut shell (BCM) | 1224 | This study |
| “Chonta” pulp (BCH) | 652 | This study |
| Corn cob (BZM) | 778 | This study |
| Element | Biochar | Co | Ce | Removal | qe | Time | Velocity |
|---|---|---|---|---|---|---|---|
| (mg L−1) | (mg L−1) | (%) | (mg g −1) | (min) | (mg g−1 min−1) | ||
| Pb2+ | BCM | 1.90 | 0.077 | 95.96 | 0.130 | 45 | 0.00289 |
| BCH | 1.90 | 0.240 | 87.37 | 0.119 | 45 | 0.00263 | |
| BZM | 1.90 | 0.612 | 67.77 | 0.092 | 45 | 0.00204 | |
| Cd2+ | BCM | 1.90 | 0.018 | 99.05 | 0.134 | 45 | 0.00299 |
| BCH | 1.90 | 0.109 | 94.25 | 0.128 | 45 | 0.00284 | |
| BZM | 1.90 | 0.150 | 92.12 | 0.125 | 45 | 0.00278 |
| Element | Biochar | First Order | Second Order | ||||
|---|---|---|---|---|---|---|---|
| qe (mg g−1) | K1 (h−1) | R2 | qe (mg g−1) | K2 (g mg−1 h−1) | R2 | ||
| Pb2+ | BCM | 0.019 | 6.094 | 0.658 | 0.130 | 2676.817 | 0.99995 |
| BCH | 0.031 | 6.714 | 0.827 | 0.119 | 1334.948 | 0.99996 | |
| BZM | 0.099 | 8.199 | 0.836 | 0.096 | 187.224 | 0.99252 | |
| Cd2+ | BCM | 0.028 | 6.247 | 0.754 | 0.142 | 1604.717 | 0.99998 |
| BCH | 0.077 | 8.409 | 0.909 | 0.138 | 418.102 | 0.99999 | |
| BZM | 0.025 | 3.560 | 0.753 | 0.132 | 2879.693 | 0.99999 | |
| Element | Biochar | Langmuir | Freundlich | ||||
|---|---|---|---|---|---|---|---|
| qMAX (mg g−1) | KL (L mg−1) | R2 | KF (L mg−1) | n | R2 | ||
| Pb2+ | BCM | 0.271 | 11.58 | 0.940 | 2.528 | 0.34 | 0.967 |
| BCH | 0.245 | 4.34 | 0.763 | 0.532 | 0.76 | 0.999 | |
| BZM | 0.205 | 4.27 | 0.996 | 0.453 | 0.37 | 0.920 | |
| Cd2+ | BCM | 1.038 | 1.67 | 0.189 | 0.816 | 0.86 | 0.839 |
| BCH | 0.655 | 1.08 | 0.881 | 0.675 | 0.79 | 0.997 | |
| BZM | 0.857 | 0.37 | 0.534 | 0.0.528 | 0.84 | 0.989 | |
Publisher’s Note: MDPI stays neutral with regard to jurisdictional claims in published maps and institutional affiliations. |
© 2020 by the authors. Licensee MDPI, Basel, Switzerland. This article is an open access article distributed under the terms and conditions of the Creative Commons Attribution (CC BY) license (http://creativecommons.org/licenses/by/4.0/).
Share and Cite
Puglla, E.P.; Guaya, D.; Tituana, C.; Osorio, F.; García-Ruiz, M.J. Biochar from Agricultural by-Products for the Removal of Lead and Cadmium from Drinking Water. Water 2020, 12, 2933. https://doi.org/10.3390/w12102933
Puglla EP, Guaya D, Tituana C, Osorio F, García-Ruiz MJ. Biochar from Agricultural by-Products for the Removal of Lead and Cadmium from Drinking Water. Water. 2020; 12(10):2933. https://doi.org/10.3390/w12102933
Chicago/Turabian StylePuglla, Edgar Pineda, Diana Guaya, Cristhian Tituana, Francisco Osorio, and María J. García-Ruiz. 2020. "Biochar from Agricultural by-Products for the Removal of Lead and Cadmium from Drinking Water" Water 12, no. 10: 2933. https://doi.org/10.3390/w12102933
APA StylePuglla, E. P., Guaya, D., Tituana, C., Osorio, F., & García-Ruiz, M. J. (2020). Biochar from Agricultural by-Products for the Removal of Lead and Cadmium from Drinking Water. Water, 12(10), 2933. https://doi.org/10.3390/w12102933

