Effects of Different Irrigation Modes on the Growth, Physiology, Farmland Microclimate Characteristics, and Yield of Cotton in an Oasis
Abstract
:1. Introduction
2. Materials and Methods
2.1. Experiment Site
2.2. Experimental Design
2.3. Sampling and Measurements
2.3.1. Farmland Microclimate Indices
2.3.2. Cotton Physiological Indices
2.3.3. Cotton Growth Indices
2.3.4. Yield and Irrigation Water-Utilization Efficiency
2.3.5. Data Normalization
2.4. Statistical Analysis
3. Results
3.1. Effects of Irrigation Methods on Farmland Microclimate
3.1.1. Effects of Irrigation Methods on Air Temperature
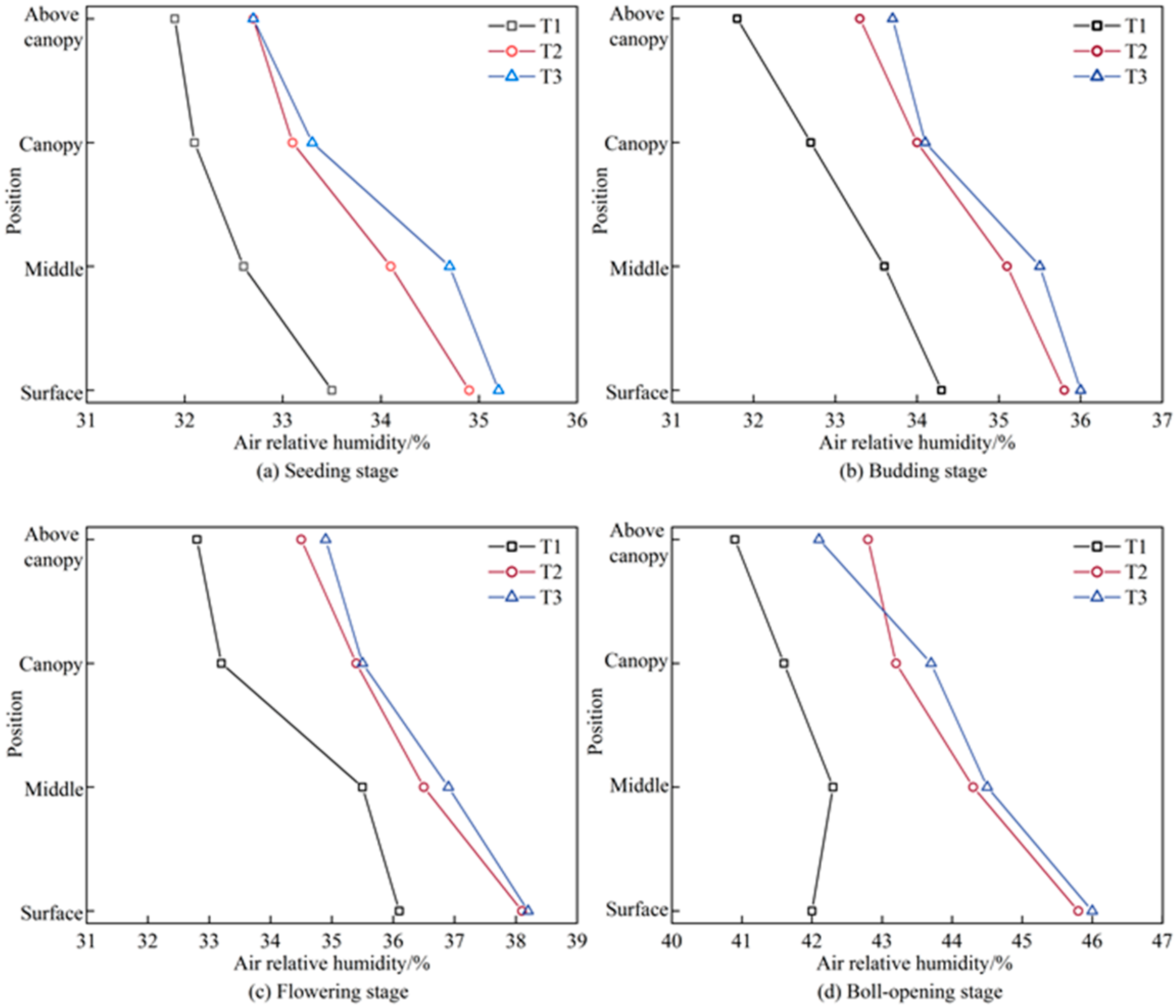
3.1.2. Effects of Irrigation Methods on Relative Air Humidity
3.1.3. Effects of Irrigation Methods on Soil Temperature
3.2. Effects of Different Irrigation Methods on Physiological Indices, Growth Indices, and Yield
3.2.1. Effects of Different Irrigation Methods on Plant Height, Stem Thickness, and Leaf Area
3.2.2. Effects of Irrigation on Photosynthesis and Transpiration of Cotton
3.3. Cotton Yield Components
4. Discussion
5. Conclusions
Author Contributions
Funding
Institutional Review Board Statement
Informed Consent Statement
Data Availability Statement
Acknowledgments
Conflicts of Interest
References
- Hu, W.R.; Yang, Y.; Li, B.; Hao, X.Y.; Zhao, Z.; Shao, W.K.; Huang, Q.S. Analysis of components of cotton fiber cell wall by chemical pretreatment and fourier transform infrared spectroscopy (FTIR). Xinjiang Agric. Sci. 2022, 59, 261–268. (In Chinese) [Google Scholar]
- Wang, X.H.; Chen, L.J.; Zhao, R.L.; Chen, H.L.; Zhang, Y.P.; Wang, Q.L.; Lv, L.M.; Song, G.L.; Zuo, D.Y. Cloning and functional analysis of GhCRPK1, a gene preferentially expressed during fiber initiation in upland cotton. Cotton Sci. 2021, 33, 459–468. (In Chinese) [Google Scholar]
- Janat, M. Response of cotton to irrigation methods and nitrogen fertilization: Yield components, water-use efficiency, nitrogen uptake, and recovery. Commun. Soil Sci. Plant Anal. 2008, 39, 2282–2302. [Google Scholar] [CrossRef]
- Shu, F.H. Prediction of cotton planting area and yield in China based on VAR. Cotton Sci. 2022, 44, 46–53. (In Chinese) [Google Scholar]
- Aujla, M.S.; Thind, H.S.; Buttar, G.S. Cotton yield and water use efficiency at various levels of water and N through drip irrigation under two methods of planting. Agric. Water Manag. 2005, 71, 167–179. [Google Scholar] [CrossRef]
- Wu, L.F.; Zhang, F.C.; Zhou, H.M.; Suo, Y.S.; Xue, F.D.; Zhou, J.W.; Liang, F. Effect of drip irrigation and fertilizer application on water use efficiency and cotton yield in North of Xinjiang. Trans. Chin. Soc. Agric. Eng. 2014, 30, 137–146. (In Chinese) [Google Scholar]
- Ma, K.; Wang, Z.H.; Wang, T.Y.; Zong, R. Interactive effects of nitrogen and salt on yield and quality of cotton in condition of under film drip irrigation. J. Arid. Land Resour. Environ. 2021, 11, 165–171. (In Chinese) [Google Scholar]
- Xu, F.P.; Li, Y.K.; Ren, S.M. Investigation and discuss ion of drip irrigation under mulch in Xinjiang Uygur Autonomous Region. Trans. Chin. Soc. Agric. Eng. 2003, 19, 25–27. (In Chinese) [Google Scholar]
- Wang, Z.H.; Yang, P.L.; Zheng, X.R.; He, X.L.; Zhang, J.Z.; Li, W.H. Soil salt dynamics in cotton fields with mulched drip irrigation under the existing irrigation system in Xinjiang. Trans. Chin. Soc. Agric. Mach. 2014, 45, 149–159. (In Chinese) [Google Scholar]
- Wang, Z.M.; Jin, M.; Šimůnek, J.; Genuchten, M.T. Evaluation of mulched drip irrigation for cotton in arid Northwest China. Irrig. Sci. 2014, 32, 15–27. [Google Scholar] [CrossRef] [Green Version]
- Wu, L.F.; Zhang, F.C.; Fan, J.L.; Zhou, H.M.; Liang, F.; Gao, Z.J. Effects of water and fertilizer coupling on cotton Yield, net benefits and water use efficiency. Trans. Chin. Soc. Agric. Mach. 2015, 46, 164–172. (In Chinese) [Google Scholar]
- Wang, J.; Li, J.S.; Guan, H.J. Modeling response of cotton yield and water productivity to irrigation amount under mulched drip irrigation in North Xinjiang. Trans. Chin. Soc. Agric. Eng. 2016, 32, 62–68. (In Chinese) [Google Scholar]
- Vera-Repullo, J.A.; Ruiz-Penalver, L.; Jiménez-Buendía, M.; Rosillo, J.J.; Molina-Martínez, J.M. Software for the automatic control of irrigation using weighing-drainage lysimeters. Agric. Water Manag. 2015, 151, 4–12. [Google Scholar] [CrossRef]
- Mittelbach, H.; Lehner, I.; Seneviratne, S.I. Comparison of four soil moisture sensor types under field conditions in Switzerland. J. Hydrol. 2012, S430, 39–49. [Google Scholar] [CrossRef]
- An, S.K.; Lee, H.B.; Kim, J.; Kim, K.S. Soil moisture sensor-based automated irrigation of Cymbidium under various substrate conditions. Sci. Hortic. 2021, 286, 110133. [Google Scholar] [CrossRef]
- Conesa, M.R.; Conejero, W.; Vera, J.; Ruiz-Sánchez, M. Soil-based automated irrigation for a nectarine orchard in two water availability scenarios. Irrig. Sci. 2021, 39, 421–439. [Google Scholar] [CrossRef]
- Jones, H.M. Irrigation scheduling: Advantages and pitfalls of plant-based methods. J. Exp. Bot. 2004, 55, 2427–2436. [Google Scholar] [CrossRef] [Green Version]
- Van Iersel, M.W.; Chappell, M.; Lea-Cox, J.D. Sensors for improved efficiency of irrigation in greenhouse and nursery production. Hort Technol. 2013, 23, 735–746. [Google Scholar] [CrossRef] [Green Version]
- Niu, J.R. Study on the Law of Soil Water and Salt Transport and Crop Growth in the Field of Automatic Drip Irrigation; ShiHezi University: ShiHezi, China, 2017. [Google Scholar]
- Zhao, B. Study on Control Indicator of Automatic Irrigation about Cotton under Film Drip Irrigation; ShiHezi University: ShiHezi, China, 2017. [Google Scholar]
- Devitt, D.A.; Carstensen, K.; Morris, R.L. Residential water savings associated with satellite-based ET irrigation controllers. J. Irrig. Drain. Eng. 2008, 134, 74–82. [Google Scholar] [CrossRef]
- Nielson, D.C. Scheduling irrigation for soybeans with the crop water stress Index (CWSI). Field Crops Res. 1990, 23, 103–116. [Google Scholar] [CrossRef]
- Yuan, G.F.; Luo, Y.; Sun, X.M.; Tang, D.Y. Winter wheat water stress detection based on canopy surface temperature. Trans. Chin. Soc. Agric. Eng. 2002, 18, 13–17. (In Chinese) [Google Scholar]
- Yuan, J.Y.; Zhao, J.H.; Liu, Y.T.; Lin, X. Design of intelligent irrigation system in urban parks based on GPRS + ZigBee wireless network technology. Mod. Agric. Res. 2022, 28, 89–91. (In Chinese) [Google Scholar]
- Kia, P.J.; Far, A.T.; Omid, M.; Alimardani, R.; Naderloo, L. Intelligent control based fuzzy logic for automation of greenhouse irrigation system and evaluation in relation to conventional systems. World Appl. Sci. J. 2009, 6, 16–23. [Google Scholar]
- Lu, X.T.; Zhang, L.N.; Lin, H.; Zhi, C.Q.; Li, J. Design of the networked precision irrigation system for paddy field crops in intelligent agriculture. Trans. Chin. Soc. Agric. Eng. 2021, 37, 71–81. (In Chinese) [Google Scholar]
- Zhang, P.P.; Zhou, Y.; Song, H.; Qiao, Z.J.; Wang, H.G.; Zheng, D.F.; Feng, B.L. Comparison of growth and field microclimate characteristics of broomcorn millet under different fertilization conditions. Chin. J. Appl. Ecol. 2015, 26, 473–480. (In Chinese) [Google Scholar]
- Gong, X.W.; Li, J.; Ma, H.C.; Chen, G.H.; Wang, M.; Yang, P.; Gao, J.F.; Feng, B.L. Field microclimate and yield for proso millet intercropping with mung bean in the dryland of Loess Plateau, Northwest China. Chin. J. Appl. Ecol. 2018, 29, 3256–3266. (In Chinese) [Google Scholar]
- Sun, S.J.; Zhou, X.B.; Chen, Y.H.; Yang, G.M.; Xu, D.L.; Yang, R.G. Effects of different distribution patterns of winter wheat’s population on farmland micro-climate and yield. Trans. Chin. Soc. Agric. Eng. 2008, 24, 28–31. (In Chinese) [Google Scholar]
- Wang, X.Y.; Zhou, X.B.; Zhong, W.W.; Chen, Y.H.; Han, K. Planting pattern and nitrogen rate on farmland microclimate and yield of winter wheat. Agric. Res. Arid. Areas 2017, 35, 14–21. (In Chinese) [Google Scholar]
- Zhou, X.B.; Sun, S.J.; Yang, G.M.; Chen, Y.H.; Liu, P. Farmland microclimate and yield of winter wheat under different row spacing. Tarim Bilimleri Dergisi. 2012, 18, 1–8. [Google Scholar]
- Wang, T.Y.; Wang, Z.H.; Wu, Q.; Zhang, J.Z.; Quan, L.S.; Fan, B.H.; Guo, L. Coupling effects of water and nitrogen on photosynthetic characteristics, nitrogen uptake, and yield of sunflower under drip irrigation in an oasis. Int J. Agric. Biol. Eng. 2021, 14, 130–141. [Google Scholar] [CrossRef]
- Guizani, M.; Dabbou, S.; Maatallah, S.; Montevecchi, G.; Hajlaoui, H.; Rezig, M.; Helal, A.N.; Kilani-Jaziri, S. Physiological responses and fruit quality of four peach cultivars under sustained and cyclic deficit irrigation in center-west of Tunisia. Agric. Water Manag. 2019, 217, 81–97. [Google Scholar] [CrossRef]
- Hafsi, M.; Mechmeche, W.; Bouamama, L.; Djekoune, A.; Zaharieva, M.; Monneveux, P. Flag leaf senescence, as evaluated by numerical image analysis, and its relationship with yield under drought in durum wheat. J. Agron. Crop Sci. 2000, 185, 275–280. [Google Scholar] [CrossRef]
- Verma, V.; Foulkes, M.J.; Worland, A.J.; Sylvester-Bradley, R.; Caligari, P.D.S.; Snape, J.W. Mapping quantitative trait loci for flag leaf senescence as a yield determinant in winter wheat under optimal and drought-stressed environments. Euphytic 2004, 135, 255–263. [Google Scholar] [CrossRef]
- Ding, A.M.; Cui, F.; Li, J.; Zhao, C.H.; Wang, X.Q.; Wang, H.G. QTL analysis on grain yield per plant and plant height in wheat. Sci. Agric. Sin. 2011, 44, 2857–2867. [Google Scholar]
- Yao, H.S.; Zhang, Y.L.; Yi, X.P.; Zhang, X.J.; Zhang, W.F. Cotton responds to different plant population densities by adjusting specific leaf area to optimize canopy photosynthetic use efficiency of light and nitrogen. Field Crops Res. 2016, 188, 10–16. [Google Scholar] [CrossRef]
- Anguraj, D.K.; Mandhala, V.N.; Bhattacharyya, D.; Kim, T. Hybrid neural network classification for irrigation control in WSN based precision agriculture. J. Ambient. Intell. Humaniz. Comput. 2021, 10, 1–12. [Google Scholar] [CrossRef]
- Zhang, J.; Guan, K.; Peng, B.; Jiang, C.Y.; Zhou, W.; Yang, Y.; Pan, M.; Franz, T.E.; Heeren, D.M.; Rudnick, D.R.; et al. Challenges and opportunities in precision irrigation decision-support systems for center pivots. Environ. Res. Lett. 2021, 16, 1–16. [Google Scholar] [CrossRef]
- Wang, F.J.; Wang, Z.H.; Zhang, J.Z.; Li, W.H. Effect of moisture sensor location and irrigation threshold on physiological index and yield of cotton under mulch drip irrigation. Water Sav. Irrigation. 2018, 5, 14–19. (In Chinese) [Google Scholar]
- Zhao, B.; Wang, Z.H.; Li, W.H. Effects of winter drip irrigation mode and quota on water and salt distribution in cotton field soil and cotton growth next year in northern Xinjiang. Trans. Chin. Soc. Agric. EnCineering 2016, 32, 139–148. (In Chinese) [Google Scholar]
- Wang, X.B. Experimental Research on Water Consumption and Irrigation System of the Cotton under High-Frequency Drip Irrigation Mulched with Plastic Films; ShiHezi University: ShiHezi, China, 2008. [Google Scholar]
- Li, D.X.; Li, C.D.; Sun, H.C.; Liu, L.T.; Zhang, Y.J. Photosynthetic and chlorophyll fluorescence regulation of upland cotton (Gossiypium hirsutum L.) under drought conditions. Plant Omics J. 2012, 5, 432–437. [Google Scholar]
- Stanhill, M.; Fuchs, M. The climate of the cotton crop: Physical characteristics and microclimate relationships. Agric. Meteorol. 1968, 5, 183–202. [Google Scholar] [CrossRef]
- Prasad, P.V.V.; Boote, K.J.; Allen, L.H.; Sheehy, J.E.; Thomas, J.M.G. Species, ecotype and cultivar differences in spikelet fertility and harvest index of rice in response to high temperature stress. Field Crops Res. 2006, 95, 398–411. [Google Scholar] [CrossRef]
- Yan, C.; Ding, Y.F.; Wang, Q.S.; Li, G.H.; Liu, Z.H.; Liao, X.J.; Zheng, Y.M.; Wei, G.B.; Wang, S.H. Effect of panicle fertilizer application rate on morphological, ecological characteristics, and organ temperature of rice. Acta Agron. Sin. 2008, 34, 2176–2183. (In Chinese) [Google Scholar] [CrossRef]
- Bjorn, M.; Kebede, H.; Rilling, C. Photosynthetic differences among Lycopersicon species and Triticum aestivum cultivars. Crop Sci. 1994, 34, 113–118. [Google Scholar]
- Shi, Y.Z.; Cui, Y.L.; Wang, L.; Cai, S.; Yu, S.; Liu, L.G. Regulation of nitrogen-phosphorus and Chinese milk vetch improve canopy characteristics and yield of early season rice. Trans. Chin. Soc. Agric. Eng. 2014, 30, 89–97. (In Chinese) [Google Scholar]
- Fan, M.T.; Xu, J.H.; Chen, Y.N.; Li, D.H.; Tian, S.S. How to sustainably use water resources-A case study for decision support on the water utilization of Xinjiang, China. Water 2020, 12, 3564. [Google Scholar] [CrossRef]
- Campos, B.; Paredes, F.; Rey, J.; Lobo, D.; Galvis-Causil, S. The relationship between the normalized difference vegetation index, rainfall, and potential evapotranspiration in a banana plantation of Venezuela. STJSSA 2021, 18, 58–64. [Google Scholar] [CrossRef]
- Himanshu, S.K.; Srinivasulu, A.; James, P.; Bordovsky, J.K.; Sayantan, N.O.; Barnes, E.M. Assessing the impacts of irrigation termination periods on cotton productivity under strategic deficit irrigation regimes. Sci. Rep. 2021, 11, 20102. [Google Scholar] [CrossRef]
- Olivares, B.O.; Calero, J.; Rey, J.C.; Lobo, D.; Landa, B.B.; Gómez, J.A. Correlation of banana productivity levels and soil morphological properties using regularized optimal scaling regression. Catena 2022, 208, 105718. [Google Scholar] [CrossRef]
- Chen, Y.N.; Li, Y.P.; Li, Z.; Lin, Y.C.; Huang, W.J.; Liu, X.G.; Feng, M.Q. Analysis of the impact of global climate change on dryland areas. Adv. Earth Sci. 2022, 37, 111–119. (In Chinese) [Google Scholar]
- Wang, Z.H.; Chen, X.G.; Zheng, X.R.; Fan, W.B.; Li, W.H.; Zong, R. Discussion of the future development of field drip irrigation in China. Agric. Res. Arid. Areas 2020, 38, 1–9. (In Chinese) [Google Scholar]
- Qin, A.Z.; Ning, D.F.; Liu, Z.D.; Sun, B.; Zhao, B.; Xiao, J.F.; Duan, A.W. Insentek sensor: An alternative to estimate daily crop evapotranspiration for maize plants. Water 2018, 11, 25. [Google Scholar] [CrossRef] [Green Version]
- Tolomio, M.; Casa, R. Dynamic crop models and remote sensing irrigation decision support systems: A review of water stress concepts for improved estimation of water requirement. Remote Sens. 2020, 12, 3945. [Google Scholar] [CrossRef]







| Soil Depth (cm) | Soil Particle Composition (g·kg−1) | Texture | Bulk Density (g·cm−3) | Water-Holding Capacity (%) | pH | ||
|---|---|---|---|---|---|---|---|
| <0.002 mm | 0.002–0.02 mm | 0.02–2 mm | |||||
| 0–20 | 113 | 683 | 212 | Silty loam | 1.54 | 33.91 | 7.71 |
| 20–40 | 126 | 716 | 186 | Silty loam | 1.69 | 33.11 | 7.96 |
| 40–60 | 193 | 581 | 53 | Silty loam | 1.71 | 33.10 | 7.83 |
| 60–80 | 220 | 653 | 50 | Silty loam | 1.76 | 35.11 | 7.18 |
| 80–100 | 207 | 705 | 51 | Silty loam | 1.76 | 32.21 | 7.74 |
| Soil Depth (cm) | Threshold Value (%) | |||
|---|---|---|---|---|
| Seedling Stage | Budding Stage | Flowering Stage | Boll-Opening Stage | |
| 20 | 60–65 | 65–70 | 75–80 | 65–70 |
| 40 | 60–65 | 65–70 | 75–80 | 65–70 |
| 60 | 60–65 | 65–70 | 75–80 | 65–70 |
| Treatment | Growth Stage | Time Frame | |||
|---|---|---|---|---|---|
| 08:00–10:00 | 10:00–12:00 | 12:00–16:00 | 16:00–20:00 | ||
| T1 | Seedling stage | 22.7 ± 0.2 Ab | 23.1 ± 0.2 BCb | 30.1 ± 0.5 Cbc | 28.8 ± 0.4 Bc |
| Budding stage | 23.9 ± 0.3 Ccd | 24.1 ± 0.1 Cc | 34.0 ± 0.7 Cd | 32.0 ± 0.6 Bd | |
| Flowering stage | 24.2 ± 0.2 Cd | 26.0 ± 0.4 Cd | 31.0 ± 0.8 Cc | 28.0 ± 0.3 Bbc | |
| Boll-opening stage | 18.8 ± 0.2 Ba | 20.0 ± 0.2 Ba | 24.0 ± 0.4 Ca | 21.7 ± 0.7 Ba | |
| T2 | Seedling stage | 23.1 ± 0.1 Ab | 22.7 ± 0.2 Ab | 30.0 ± 0.7 Bbc | 28.2 ± 0.2 ABc |
| Budding stage | 23.7 ± 0.3 BCcd | 24.0 ± 0.5 Bc | 33.7 ± 0.7 Bd | 30.0 ± 0.4 Ad | |
| Flowering stage | 24.0 ± 0.5 Bd | 25.1 ± 0.5 BCd | 30.8 ± 0.8 Bc | 27.6 ± 0.5 Bbc | |
| Boll-opening stage | 18.1 ± 0.1 Aa | 19.0 ± 0.5 Aa | 23.6 ± 0.6 Ba | 21.4 ± 0.4 Aa | |
| T3 | Seedling stage | 22.8 ± 0.2 ABbc | 23.2 ± 0.1 Cb | 29.8 ± 0.8 Abc | 28.0 ± 0.5 Ac |
| Budding stage | 23.5 ± 0.1 Ac | 23.8 ± 0.3 Acd | 33.5 ± 0.5 Ad | 29.7 ± 0.7 Ad | |
| Flowering stage | 23.8 ± 0.2 Ad | 24.0 ± 0.4 Cd | 30.0 ± 0.6 Ac | 27.3 ± 0.3 Abc | |
| Boll-opening stage | 18.0 ± 0.3 Aa | 18.7 ± 0.2 Aa | 23.6 ± 0.6 Aa | 21.6 ± 0.6 Ba | |
| Growth Stage | Treatment | Average | |||
|---|---|---|---|---|---|
| T1 | T2 | T3 | |||
| Pn | 11.36 ± 0.31 a | 13.53 ± 0.19 b | 15.65 ± 0.53 c | 13.51 | |
| Tr | 2.87 ± 0.18 a | 3.22 ± 0.26 a | 3.81 ± 0.27 b | 3.30 | |
| Seedling stage | WUEins | 3.62 ± 0.28 a | 3.91 ± 0.27 a | 3.85 ± 0.19 a | 3.79 |
| Gs | 362.11 ± 3.79 a | 386.37 ± 5.17 b | 480.21 ± 5.42 c | 409.56 | |
| Ci | 286.74 ± 3.62 a | 311.51 ± 5.30 b | 368.17 ± 4.79 c | 322.14 | |
| Pn | 23.59 ± 0.77 a | 27.88 ± 0.80 a | 31.95 ± 0.68 c | 27.81 | |
| Tr | 4.38 ± 0.30 a | 4.88 ± 0.59 ab | 5.38 ± 0.51 b | 4.88 | |
| Budding stage | WUEins | 5.39 ± 0.19 a | 5.78 ± 0.87 a | 5.98 ± 0.70 a | 5.72 |
| Gs | 343.61 ± 4.61 a | 377.56 ± 4.22 b | 432.11 ± 5.63 c | 384.43 | |
| Ci | 322.91 ± 6.11 a | 355.91 ± 5.93 b | 402.97 ± 6.33 c | 360.60 | |
| Pn | 13.44 ± 0.24 a | 17.43 ± 0.13 b | 21.44 ± 0.20 c | 17.44 | |
| Tr | 3.98 ± 0.30 a | 4.31 ± 0.31 a | 4.98 ± 0.36 b | 4.42 | |
| Flowering stage | WUEins | 3.39 ± 0.20 a | 4.06 ± 0.26 bc | 4.36 ± 0.36 c | 2.60 |
| Gs | 256.99 ± 5.77 a | 289.77 ± 6.97 b | 352.88 ± 5.66 c | 299.88 | |
| Ci | 332.17 ± 7.17 a | 356.77 ± 6.17 b | 417.77 ± 8.35 c | 368.90 | |
| Pn | 11.91 ± 0.44 a | 12.19 ± 0.39 a | 14.34 ± 0.52 b | 12.81 | |
| Tr | 3.67 ± 0.50 a | 4.01 ± 0.30 a | 4.12 ± 0.40 a | 3.93 | |
| Boll-opening stage | WUEins | 3.19 ± 0.30 b | 3.06 ± 0.33 a | 3.52 ± 0.46 c | 3.26 |
| Gs | 207.19 ± 8.76 a | 228.67 ± 5.37 b | 293.12 ± 1.42 c | 242.99 | |
| Ci | 366.71 ± 6.63 a | 382.07 ± 7.77 b | 432.76 ± 8.96 c | 393.85 | |
| Treatment | Number of Plants | Number of Bolls | Weight of 30 Bolls | Yield | iWUE |
|---|---|---|---|---|---|
| T1 | 38 ± 3.6 a | 183 ± 6.03 a | 149.05 ± 7.01 a | 3489.75 ± 91.80 a | 0.49 ± 0.02 a |
| T2 | 46 ± 1.5 b | 264 ± 12.59 b | 183.23 ± 5.38 b | 5717.40 ± 77.25 b | 0.95 ± 0.01 b |
| T3 | 48 ± 2.5 b | 282 ± 15.1 c | 196.58 ± 5.53 c | 6496.70 ± 101.40 c | 1.22 ± 0.02 c |
| Index | Fitting Equation | R2 | p Value |
|---|---|---|---|
| Air temperature | y = −210.38x + 6972.90 | 0.80 | <0.01 |
| Relative humidity | y = 28.89x − 795.33 | 0.87 | <0.01 |
| Soil temperature | y = −89.57x + 6993.10 | 0.32 | <0.05 |
| Plant height | y = 8.36x − 65.55 | 0.86 | <0.01 |
| Leaf area | y = 0.26x + 126.26 | 0.84 | <0.01 |
| Stem thick | y = 531.50x − 47.07 | 0.64 | <0.01 |
| Pn | y = 28.57x − 121.20 | 0.76 | <0.01 |
| Tr | y = 166.58x − 401.36 | 0.70 | <0.01 |
| Gs | y = 1.74x − 204.78 | 0.75 | <0.01 |
| Ci | y = 1.90x − 380.81 | 0.72 | <0.01 |
Publisher’s Note: MDPI stays neutral with regard to jurisdictional claims in published maps and institutional affiliations. |
© 2022 by the authors. Licensee MDPI, Basel, Switzerland. This article is an open access article distributed under the terms and conditions of the Creative Commons Attribution (CC BY) license (https://creativecommons.org/licenses/by/4.0/).
Share and Cite
Sun, K.; Niu, J.; Wang, C.; Fu, Q.; Yang, G.; Liang, F.; Wang, Y. Effects of Different Irrigation Modes on the Growth, Physiology, Farmland Microclimate Characteristics, and Yield of Cotton in an Oasis. Water 2022, 14, 1579. https://doi.org/10.3390/w14101579
Sun K, Niu J, Wang C, Fu Q, Yang G, Liang F, Wang Y. Effects of Different Irrigation Modes on the Growth, Physiology, Farmland Microclimate Characteristics, and Yield of Cotton in an Oasis. Water. 2022; 14(10):1579. https://doi.org/10.3390/w14101579
Chicago/Turabian StyleSun, Kai, Jingran Niu, Chunxia Wang, Qiuping Fu, Guang Yang, Fei Liang, and Yaqin Wang. 2022. "Effects of Different Irrigation Modes on the Growth, Physiology, Farmland Microclimate Characteristics, and Yield of Cotton in an Oasis" Water 14, no. 10: 1579. https://doi.org/10.3390/w14101579
APA StyleSun, K., Niu, J., Wang, C., Fu, Q., Yang, G., Liang, F., & Wang, Y. (2022). Effects of Different Irrigation Modes on the Growth, Physiology, Farmland Microclimate Characteristics, and Yield of Cotton in an Oasis. Water, 14(10), 1579. https://doi.org/10.3390/w14101579

