Communal Wastewater Treatment Plants’ Effectiveness, Management, and Quality of Groundwater: A Case Study in Indonesia
Abstract
1. Introduction
2. Materials and Methods
2.1. Research Location
2.2. CWWTP Effectiveness Data Sampling and Analysis
2.3. CWWTP Management Analysis
2.4. Groundwater Quality Data Analysis
3. Results
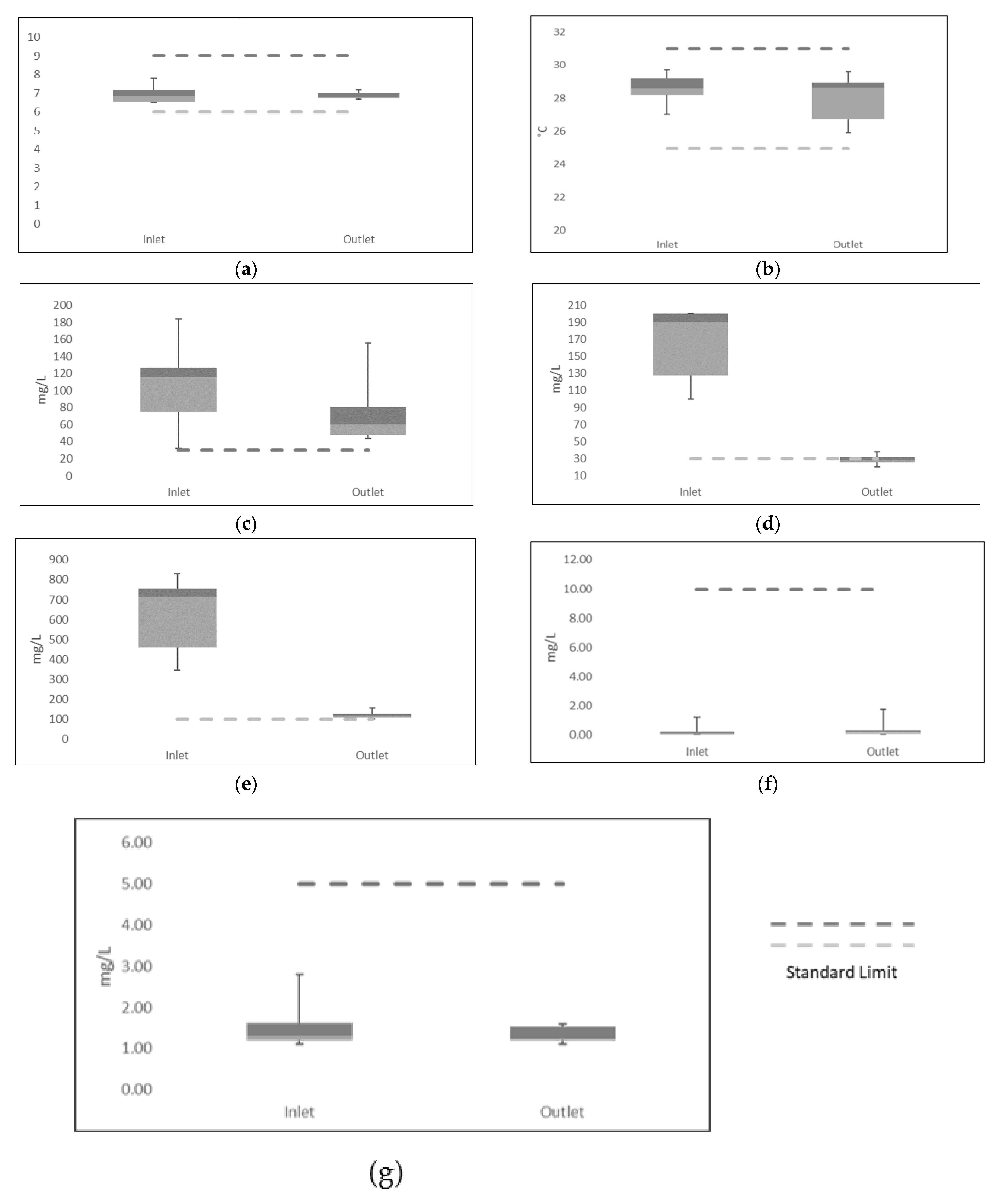
3.1. CWWTP Effectiveness
3.2. CWWTP Management
3.2.1. In-Depth Interview of CWWTP Managers in the Mlati Sub-District
3.2.2. In-Depth-Interview of CWWTP Users in the Mlati Sub-District
3.3. Groundwater Quality
4. Discussion
4.1. CWWTP Effectiveness
4.2. CWWTP Management
4.3. Groundwater Quality
5. Conclusions
Author Contributions
Funding
Institutional Review Board Statement
Informed Consent Statement
Data Availability Statement
Acknowledgments
Conflicts of Interest
References
- Pemerintah Republik Indonesia Peraturan Presiden (PERPRES) Nomor 18 Tahun 2020 Tentang Rencana Pembangunan Jangka Menengah Nasional Tahun 2020–2024 (Presidential Regulation Number 18 of 2020 Concerning the National Medium-Term Development Plan for 2020–2024). Available online: https://peraturan.bpk.go.id/Home/Details/131386/perpres-no-18-tahun-2020 (accessed on 8 July 2021).
- Odagiri, M.; Cronin, A.A.; Thomas, A.; Kurniawan, M.A.; Zainal, M.; Setiabudi, W.; Gnilo, M.E.; Badloe, C.; Virgiyanti, T.D.; Nurali, I.A.; et al. Achieving the Sustainable Development Goals for Water and Sanitation in Indonesia—Results from a Five-Year (2013–2017) Large-Scale Effectiveness Evaluation. Int. J. Hyg. Environ. Health. 2020, 230, 113584. [Google Scholar] [CrossRef]
- Kementerian Pekerjaan Umum dan Perumahan Rakyat Peraturan Menteri Pekerjaan Umum Dan Perumahan Rakyat Nomor 04/PRT/M/2017 Tahun 2017 Tentang Penyelenggaraan Sistem Pengelolaan Air Limbah Domestik (Regulation of the Minister of Public Works and Housing No. 4 of 2017 on the Implementation of Domestic Wastewater Management Systems). Available online: https://peraturan.bpk.go.id/Home/Details/104453/permen-pupr-no-04prtm2017-tahun-2017 (accessed on 8 July 2021).
- Direktorat Jenderal Cipta Karya Kementrian Pekerjaan Umum RI Program Sanitasi Perkotaan Berbasis Masyarakat (Community Based Urban Sanitation Program). Available online: http://ciptakarya.pu.go.id/spbm-usri/index.php?page=sanitasi/tentang (accessed on 8 July 2021).
- Roesiyana, R.; Widayati, W.; Manar, D.G. Partisipasi Masyarakat Di Dalam Program Sanitasi Perkotaan Berbasis Masyarakat Studi Kasus: Kelurahan Banyumanik Kota Semarang (Community Participation in Community-Based Urban Sanitation Program Case Study: Banyumanik Village, Semarang City). J. Politic Gov. Stud. 2015, 4, 341–350. [Google Scholar]
- Pemerintah Kota Yogyakarta. Informasi Kinerja Pengelolaan Lingkungan Hidup Daerah Kota Yogyakarta Tahun 2020; Pemerintah Kota Yogyakarta: Yogyakarta, Indonesia, 2021. [Google Scholar]
- Saraswati, S.P.; Diavid, G.H.; Nisa, S.A.; Amal, N.; Asriningtyas, V. Feasibility Evaluation of Wastewater Treatment Plant System: A Case Study of Domestic Wastewater System in Sleman Regency, Yogyakarta, Indonesia. J. Civ. Eng. Forum 2021, 7, 309–322. [Google Scholar] [CrossRef]
- Sitra, E.; Agustar, A.; Erwin, E. Pelaksanaan Program Sanitasi Total Berbasis Masyarakat (Stbm) Dan Implikasinya Terhadap Perubahan Perilaku Masyarakat Di Kabupaten Lima Puluh Kota (Implementation of Community-Based Total Sanitation Program (STBM) and Its Implications for Changes in Community Behavior in Fifty Cities District). JISPO J. Ilmu Sos. Dan Ilmu Polit. 2019, 9, 344–355. [Google Scholar] [CrossRef]
- Pusat Pengembangan Teknologi Pengolahan Air Limbah Profil PUSTEKLIM. Available online: http://pusteklim.org/pusteklim (accessed on 8 July 2022).
- Dinas Lingkungan Hidup dan Kehutanan Daerah Istimewa Yogyakarta. Dokumen Informasi Kinerja Pengelolaan Lingkungan Hidup Daerah Daerah Istimewa Yogyakarta Tahun 2020 (Information Document on Environmental Management Performance in the Special Region of Yogyakarta in 2020); Dinas Lingkungan Hidup dan Kehutanan Daerah Istimewa Yogyakarta: Yogyakarta, Indonesia, 2021. [Google Scholar]
- Brontowiyono, W.; Yulianto, A.; Utami, S.; Lupiyanto, R. Evaluation of Decentralized Communal Wastewater Treatment in Yogyakarta; Universitas Sebelas Maret: Surakarta, Indonesia, 2009; pp. 1–9. [Google Scholar]
- Rahmawati, S.; Luthfi, Z.H.; Yulianto, A.; Wantoputri, N.I. Evaluation of Communal WWTP Performance Based on Technology Management in Kabupaten Sleman D.I. Yogyakarta. Sanit. Value Chain 2021, 5, 41. [Google Scholar] [CrossRef]
- Ekarini, F.D.; Rafsanjani, S.; Rahmawati, S.; Asmara, A.A. Groundwater Mapping of Total Coliform Contamination in Sleman, Yogyakarta, Indonesia. IOP Conf. Ser. Earth Environ. Sci. 2021, 933, 012047. [Google Scholar] [CrossRef]
- Caesar, D.L.; Prasetya, B.A. Efektifitas Media Poster Dalam Meningkatkan Pengetahuan Sanitasi Dasar Di SDN 01 Wonosoco Undaan Kudus (The Effectiveness of Poster Media in Improving Basic Sanitation Knowledge at SDN 01 Wonosoco Undaan Kudus). J-KESMAS J. Kesehat. Masy. 2020, 6, 83–91. [Google Scholar] [CrossRef]
- Badan Pusat Statistik Daerah Istimewa Yogyakarta. Statistik Air Bersih Daerah Istimewa Yogyakarta 2020 (Water Supply Statistics of Daerah Istimewa Yogyakarta 2020); Badan Pusat Statistik Daerah Istimewa Yogyakarta: Yogyakarta, Indonesia, 2021. [Google Scholar]
- Yulianto, A.; Pramudita, A.F.; Wantoputri, N.I.; Rahmawati, S. Evaluation of Post-Construction Communal Wastewater Treatment Plants (WWTPs) in Sleman District, Special Region of Yogyakarta. IOP Conf. Ser. Earth Environ. Sci. 2021, 933, 12019. [Google Scholar] [CrossRef]
- Ramírez-Castillo, F.Y.; Loera-Muro, A.; Jacques, M.; Garneau, P.; Avelar-González, F.J.; Harel, J.; Guerrero-Barrera, A.L. Waterborne Pathogens: Detection Methods and Challenges. Pathogens 2015, 4, 307–334. [Google Scholar] [CrossRef]
- Griffiths, J.K. Waterborne Diseases. In International Encyclopedia of Public Health, 2nd ed.; Quah, S.R., Ed.; Academic Press: Oxford, UK, 2017; pp. 388–401. ISBN 978-0-12-803708-9. [Google Scholar]
- Setianto, A.; Triandini, T. Comparison of Kriging and Inverse Distance Weighted (IDW) Interpolation Methods in Lineament Extraction and Analysis. J. Appl. Geol. 2013, 5, 21–29. [Google Scholar] [CrossRef]
- Almodaresi, S.A.; Mohammadrezaei, M.; Dolatabadi, M.; Nateghi, M.R. Qualitative Analysis of Groundwater Quality Indicators Based on Schuler and Wilcox Diagrams: IDW and Kriging Models. J. Environ. Health Sustain. Dev. 2019, 4, 903–912. [Google Scholar] [CrossRef]
- Shukla, K.; Kumar, P.; Mann, G.S.; Khare, M. Mapping Spatial Distribution of Particulate Matter Using Kriging and Inverse Distance Weighting at Supersites of Megacity Delhi. Sustain. Cities Soc. 2020, 54, 101997. [Google Scholar] [CrossRef]
- Badan Informasi Geospasial (BIG). Peta Rupabumi Digital Indonesia (Indonesia’s Digital Topographic Map). Available online: http://tanahair.indonesia.go.id/portal-web/ (accessed on 23 April 2022).
- Environmental Systems Research Institute, Inc. ArcGIS 10.3.1 for Desktop; Environmental Systems Research Institute, Inc.: Redlands, CA, USA, 2016. [Google Scholar]
- Kementerian Lingkungan Hidup dan Kehutanan RI Peraturan Menteri Lingkungan Hidup Dan Kehutanan No 68 Tahun 2016 Tentang Baku Mutu Air Limbah Domestik (Minister of Environment and Forestry Regulation No. 68 of 2016 Concerning Domestic Wastewater Quality Standards). Available online: https://jdih.maritim.go.id/id/peraturan-menteri-lingkungan-hidup-dan-kehutanan-no-p68menlhksetjenkum182016-tahun-2016 (accessed on 2 January 2022).
- Saputri, D.; Marendra, F.; Yuliansyah, A.T.; Prasetya, I.A.A.P. Evaluasi Aspek Teknis dan Lingkungan Instalasi Pengolahan Air Limbah (IPAL) Komunal di Kabupaten Sleman Yogyakarta (Evaluation of Technical and Environmental Aspects of Communal Wastewater Treatment Plant (CWTP) in Sleman Regency, Yogyakarta). J. Rekayasa Proses 2021, 15, 71–83. [Google Scholar] [CrossRef]
- World Health Organization Guidelines for Drinking-Water Quality. Available online: https://apps.who.int/iris/bitstream/handle/10665/254637/9789241549950-eng.pdf (accessed on 17 February 2022).
- Chen, Y.-C.; Higgins, M.J.; Beightol, S.M.; Murthy, S.N.; Toffey, W.E. Anaerobically Digested Biosolids Odor Generation and Pathogen Indicator Regrowth After Dewatering. Water Res. 2011, 45, 2616–2626. [Google Scholar] [CrossRef] [PubMed]
- Indrastuti; Kazama, S.; Takizawa, S. Evaluation of Microbial Contamination of Groundwater under Different Topographic Conditions and Household Water Treatment Systems in Special Region of Yogyakarta Province, Indonesia. Water 2021, 13, 1673. [Google Scholar] [CrossRef]
- Prisanto, D.E.; Yanuwiadi, B. Soemarno Studi Pengelolaan IPAL (Instalasi Pengolahan Air Limbah) Domestik Komunal Di Kota Blitar, Jawa Timur (Study on Communal Domestic WWTP (Wastewater Treatment Plant) Management in Blitar City, East Java). Indones. J. Environ. Sustain. Dev. 2015, 6, 74–80. [Google Scholar]
- Nilandita, W.; Pribadi, A.; Nengse, S.; Auvaria, S.W.; Nurmaningsih, D.R. Studi Keberlanjutan IPAL Komunal Di Kota Surabaya: Studi Kasus Di RT 2 RW 12 Kelurahan Bendul Merisi Kota Surabaya (Sustainability Study of Communal WWTP in Surabaya City: Case Study in RT 2 RW 12 Bendul Merisi Village, Surabaya City). Al-Ard J. Tek. Lingkung. 2019, 4, 46–54. [Google Scholar] [CrossRef]
- Brontowiyono, W.; Boving, T.; Asmara, A.A.; Rahmawati, S.; Yulianto, A.; Wantoputri, N.I.; Lathifah, A.N.; Andriansyah, Y. Non-Technical Dimensions of Communal Wastewater Treatment Plant Sustainability in Peri-Urban Yogyakarta, Indonesia. F1000Research 2022, 11, 542. [Google Scholar] [CrossRef]
- Kementerian Kesehatan RI Peraturan Menteri Kesehatan Nomor 27 Tahun 2017 Tentang Pedoman Pencegahan Dan Pengendalian Infeksi Di Fasilitas Pelayanan Kesehatan (Regulation of the Minister of Health Number 27 of 2017 Concerning Guidelines for Prevention and Control of Infections in Health Service Facilities). Available online: https://peraturan.bpk.go.id/Home/Details/112075/permenkes-no-27-tahun-2017 (accessed on 3 January 2022).
- Pemerintah Republik Indonesia Peraturan Pemerintah (PP) Nomor 22 Tahun 2021 Tentang Penyelenggaraan Perlindungan Dan Pengelolaan Lingkungan Hidup (Government Regulation (PP) Number 22 of 2021 Concerning Implementation of Environmental Protection and Management). Available online: https://peraturan.bpk.go.id/Home/Details/161852/pp-no-22-tahun-2021 (accessed on 1 September 2022).
- Popoola, L.T.; Yusuff, A.S.; Aderibigbe, T.A. Assessment of Natural Groundwater Physico-Chemical Properties in Major Industrial and Residential Locations of Lagos Metropolis. Appl. Water Sci. 2019, 9, 191. [Google Scholar] [CrossRef]
- Kementerian Kesehatan RI Peraturan Menteri Kesehatan Republik Indonesia No. 492 Tahun 2010 Tentang Persyaratan Kualitas Air Minum (Regulation of the Minister of Health of the Republic of Indonesia No. 492 of 2010 Concerning Drinking Water Quality Requirements). Available online: https://www.kesehatanlingkungan.com/2019/01/permenkes-492-tahun-2010-persyaratan.html (accessed on 8 July 2022).
- Kementerian Kesehatan RI Peraturan Menteri Kesehatan Nomor 32 Tahun 2017 Tentang Standar Baku Mutu Kesehatan Lingkungan Dan Persyaratan Kesehatan Air Untuk Keperluan Higiene Sanitasi, Kolam Renang, Solus Per Aqua, Dan Pemandian Umum (Minister of Health Regulation Number 32 of 2017 Concerning Environmental Health Quality Standards and Water Health Requirements for Sanitary Hygiene, Swimming Pools, Solus Per Aqua, and Public Baths). Available online: https://peraturan.bpk.go.id/Home/Details/112092/permenkes-no-32-tahun-2017 (accessed on 18 July 2022).
- Ongen, A.; Dokmeci, H.; Celik, S.; Sabudak, T.; Kaykıoğlu, G.; Dökmeci, A. Copper and Cadmium and Ground and Surface Water in Corlu-Turkey. J. Environ. Prot. Ecol. 2008, 9, 753–762. [Google Scholar]
- U.S. Environmental Protection Agency Drinking Water Regulations. Available online: https://www.epa.gov/dwreginfo/drinking-water-regulations (accessed on 17 June 2022).
- Muthaz, B.D.A.; Karimuna, S.R.; Ardiansyah, R.T. Studi Kualitas Air Minum Di Desa Balo Kecamatan Kabaena Timur Kabupaten Bombana Tahun 2016 (Study on Drinking Water Quality in Balo Village, East Kabaena District, Bombana Regency in 2016). J. Ilm. Mhs. Kesehat. Masy. 2017, 2, 1–9. [Google Scholar] [CrossRef]
- McKeown, R.M.; Hughes, D.; Collins, G.; Mahony, T.; O’Flaherty, V. Low-Temperature Anaerobic Digestion for Wastewater Treatment. Curr. Opin. Biotechnol. 2012, 23, 444–451. [Google Scholar] [CrossRef] [PubMed]
- Aslam, A.; Khan, S.J.; Shahzad, H.M.A. Anaerobic Membrane Bioreactors (AnMBRs) for Municipal Wastewater Treatment- Potential Benefits, Constraints, and Future Perspectives: An Updated Review. Sci. Total Environ. 2022, 802, 149612. [Google Scholar] [CrossRef]
- Stazi, V.; Tomei, M.C. Enhancing Anaerobic Treatment of Domestic Wastewater: State of the Art, Innovative Technologies and Future Perspectives. Sci. Total Environ. 2018, 635, 78–91. [Google Scholar] [CrossRef] [PubMed]
- Wainaina, S.; Lukitawesa; Kumar Awasthi, M.; Taherzadeh, M.J. Bioengineering of Anaerobic Digestion for Volatile Fatty Acids, Hydrogen or Methane Production: A Critical Review. Bioengineered 2019, 11, 437–458. [Google Scholar] [CrossRef]
- Menzel, T.; Neubauer, P.; Junne, S. Role of Microbial Hydrolysis in Anaerobic Digestion. Energies 2020, 13, 5555. [Google Scholar] [CrossRef]
- Saif, Y.; Ali, M.; Jones, I.M.; Ahmed, S. Performance Evaluation of a Field-Scale Anaerobic Baffled Reactor as an Economic and Sustainable Solution for Domestic Wastewater Treatment. Sustainability 2021, 13, 10461. [Google Scholar] [CrossRef]
- Yulistyorini, A.; Camargo-Valero, M.A.; Sukarni, S.; Suryoputro, N.; Mujiyono, M.; Santoso, H.; Tri Rahayu, E. Performance of Anaerobic Baffled Reactor for Decentralized Wastewater Treatment in Urban Malang, Indonesia. Processes 2019, 7, 184. [Google Scholar] [CrossRef]
- Siwiec, T.; Reczek, L.; Michel, M.M.; Gut, B.; Hawer-Strojek, P.; Czajkowska, J.; Jóźwiakowski, K.; Gajewska, M.; Bugajski, P. Correlations Between Organic Pollution Indicators in Municipal Wastewater. Arch. Environ. Prot. 2018, 44, 50–57. [Google Scholar] [CrossRef]
- Jamshidi, S.; Akbarzadeh, A.; Woo, K.-S.; Valipour, A. Wastewater Treatment Using Integrated Anaerobic Baffled Reactor and Bio-Rack Wetland Planted with Phragmites Sp. and Typha Sp. J. Environ. Health Sci. Eng. 2014, 12, 131. [Google Scholar] [CrossRef]
- Widyarani; Wulan, D.R.; Hamidah, U.; Komarulzaman, A.; Rosmalina, R.T.; Sintawardani, N. Domestic Wastewater in Indonesia: Generation, Characteristics and Treatment. Environ. Sci. Pollut. Res. 2022, 29, 32397–32414. [Google Scholar] [CrossRef] [PubMed]
- Pochwat, K.; Kida, M.; Ziembowicz, S.; Koszelnik, P. Odours in Sewerage—A Description of Emissions and of Technical Abatement Measures. Environments 2019, 6, 89. [Google Scholar] [CrossRef]
- Sonthiphand, P.; Cejudo, E.; Schiff, S.L.; Neufeld, J.D. Wastewater Effluent Impacts Ammonia-Oxidizing Prokaryotes of the Grand River, Canada. Appl. Environ. Microbiol. 2013, 79, 7454–7465. [Google Scholar] [CrossRef] [PubMed]
- Seruga, P.; Krzywonos, M.; Pyżanowska, J.; Urbanowska, A.; Pawlak-Kruczek, H.; Niedźwiecki, Ł. Removal of Ammonia from the Municipal Waste Treatment Effluents Using Natural Minerals. Molecules 2019, 24, 3633. [Google Scholar] [CrossRef]
- Ranudi, R.S.E. Evaluasi Pengelolaan IPAL Komunal Di Kabupaten Sleman (Evaluation of Communal WWTP Management in Sleman Regency). Bachelor’s Thesis, Universitas Islam Indonesia, Yogyakarta, Indonesia, 2018. [Google Scholar]
- Diavid, G.H.; Saraswati, S.P.; Nugroho, A.S.B. Evaluasi Kelayakan Kinerja Sistem Instalasi Pengolah Air Limbah Domestik: Studi Kasus Di Kabupaten Sleman [Feasibility Evaluation of Domestic Wastewater Treatment Installation System Performance: A Case Study in Sleman District]. In Proceedings of the Prosiding Teknik Mesin Untuk SNGBR; Politeknik Negeri Malang: Malang, Indonesia, 2018; pp. 43–52. [Google Scholar]
- Nelwan, F.; Sugiana, K.; Kamulyan, B. Kajian Program Pengelolaan Air Limbah Perkotaan Studi Kasus Pengelolaan IPAL Margasari Balikpapan (Study on Urban Wastewater Management Program a Case Study at WWTP Margasari Management of Balikpapan City, Indonesia). J. Mns. Dan Lingkung. 2003, 10, 94–103. [Google Scholar] [CrossRef]
- Hafidh, R.; Kartika, F.; Farahdiba, A.U. Keberlanjutan Instalasi Pengolahan Air Limbah Domestik (IPAL) Berbasis Masyarakat, Gunung Kidul, Yogyakarta (Sustainability of Community-Based Domestic Wastewater Treatment Plant (WWTP), Gunung Kidul, Yogyakarta). J. Sains. Tek. Ling. 2016, 8, 46–55. [Google Scholar] [CrossRef][Green Version]
- Surahmat, A.; Rismayanti, R. Strategi Komunikasi Pembangunan dalam Difusi Teknologi Pengolahan Limbah Air (Studi Kasus IPAL Dusun Giriharja dan Biotoilet SDN Babakan Sinyar) (Development of Communication Strategies in Diffusion of Wastewater Treatment Technology (Case Study of WWTP in Giriharja Village and Biotoilet at SDN Babakan Sinyar)). J. Komun. Pembang. 2022, 20, 155–168. [Google Scholar] [CrossRef]
- Ajakima, S.O.; Soedjono, E.S. Perencanaan Instalasi Pengolahan Air Limbah Komunal Di Kelurahan Kedung Cowek Sebagai Upaya Revitalisasi Kawasan Pesisir Kota Surabaya (Planning for Communal Wastewater Treatment Plants in Kedung Cowek Village as an Effort to Revitalize Coastal Areas in Surabaya). J. Tek. ITS 2016, 5, D109–D115. [Google Scholar] [CrossRef]
- Ulum, G.H.; Suherman, S.; Syafrudin, S. Kinerja Pengelolaan IPAL Berbasis Masyarakat Program Usri Kelurahan Ngijo, Kecamatan Gunung Pati, Kota Semarang (Performance of Community-Based Wastewater Treatment Plant Management in the Usri Program, Ngijo Village, Gunung Pati District, Semarang City). J. Ilmu Lingkung. 2015, 13, 65–71. [Google Scholar] [CrossRef]
- Muliana, R.; Ghozali, A. Ariyaningsih Factors Influencing Adequate Sanitation on Domestic Wastewater Management of Black Water Type in Margasari Village. IOP Conf. Ser. Earth Environ. Sci. 2021, 778, 012015. [Google Scholar] [CrossRef]
- Fajarwati, A.; Setyaningrum, A.; Rachmawati, R.; Prakoso, B.S.E. Keys of Sustainable Community-Based Waste Management (Lesson Learnt from Yogyakarta City). E3S Web Conf. 2020, 200, 2018. [Google Scholar] [CrossRef]
- Purboningtyas, W. Program Citizen’s Charter Terkait Pembangunan Sanitasi IPAL (Instalasi Pengelolaan Air Limbah) Domestik Komunal Dalam Rangka Mewujudkan Sustainable Development (Program Citizen’s Charter Terkait Pembangunan Sanitasi IPAL (Instalasi Pengelolaan Air Limbah) Domestik Komunal Dalam Rangka Mewujudkan Sustainable Development). J. Adm. Publik 2014, 2, 506–510. [Google Scholar]
- Fajarini, A.A. Efektivitas Program Instalasi Pengolahan Air Limbah (IPAL) Komunal Di Kawasan Sentra Batik Kliwonan Kecamatan Masaran Kabupaten Sragen (The Effectiveness of the Communal Wastewater Treatment Plant Program in the Kliwonan Batik Center Area, Masaran District, Sragen Regency). Bachelor’s Thesis, Universitas Sebelas Maret, Surakarta, Indonesia, 2015. [Google Scholar]
- Rusydi, A.F. Correlation Between Conductivity and Total Dissolved Solid in Various Type of Water: A Review. IOP Conf. Ser. Earth Environ. Sci. 2018, 118, 12019. [Google Scholar] [CrossRef]
- Chen, S.; Huang, W.; Wang, H.; Li, D. Remote Sensing Assessment of Sediment Re-Suspension During Hurricane Frances in Apalachicola Bay, Usa. Remote Sens. Environ. 2009, 113, 2670–2681. [Google Scholar] [CrossRef]
- Putra, M.G. Pemetaan Lokasi Pembuangan Sampah Ilegal Menggunakan Sistem Informasi Geografis (SIG) Di Kawasan Perkotaan Kabupaten Sleman (the Mapping of Illegal Waste Disposal Using Information Systems Geographical (GIS) in Urban Areas Sleman District). Bachelor’s Thesis, Universitas Islam Indonesia, Yogyakarta, Indonesia, 2018. [Google Scholar]
- Indika, S.; Wei, Y.; Cooray, T.; Ritigala, T.; Jinadasa, K.B.S.N.; Weragoda, S.K.; Weerasooriya, R. Groundwater-Based Drinking Water Supply in Sri Lanka: Status and Perspectives. Water 2022, 14, 1428. [Google Scholar] [CrossRef]
- Saravanan, S.; Umar Lebbe, M.M.; Premathilaka, K.; Weragoda, S.K.; Goonewardene, N.; Weerasooriya, R.; Vitharana, W.; Sandrasegarampillai, B. Oil and Grease Contamination of Groundwater in Chunnakam Area, Jaffna. In Proceedings of the IWA Water and Development Congress & Exhibition, Colombo, Srilanka, 3 December 2019. [Google Scholar]
- Fathmawati; Fachiroh, J.; Sutomo, A.H.; Putra, D.P.E. Origin and Distribution of Nitrate in Water Well of Settlement Areas in Yogyakarta, Indonesia. Environ. Monit. Assess. 2018, 190, 628. [Google Scholar] [CrossRef]
- Almasri, M.N. Nitrate Contamination of Groundwater: A Conceptual Management Framework. Environ. Impact Assess. Rev. 2007, 27, 220–242. [Google Scholar] [CrossRef]
- Muryanto; Suntoro, S.; Gunawan, T.; Setyono, P.; Nurkholis, A.; Wijayanti, N.F. Distribution of Nitrate Household Waste and Groundwater Flow Direction around Code River, Yogyakarta, Indonesia. Indones. J. Geogr. 2019, 51, 54–61. [Google Scholar] [CrossRef]
- Böhlke, J.K.; Smith, R.L.; Miller, D.N. Ammonium Transport and Reaction in Contaminated Groundwater: Application of Isotope Tracers and Isotope Fractionation Studies. Water Resour. Res. 2006, 42, 1–19. [Google Scholar] [CrossRef]
- Napsiah, N. Tindakan Warga Merapi PascaerupsiMenjaga Daerah Tangkapan Air (Post-Disaster Act of Merapi Community to Keep Water Catchment Area). J. Penelit. Kesejaht. Sos. 2016, 15, 329–336. [Google Scholar] [CrossRef]
- Kjøller, C.; Postma, D.; Larsen, F. Groundwater Acidification and the Mobilization of Trace Metals in a Sandy Aquifer. Environ. Sci. Technol. 2004, 38, 2829–2835. [Google Scholar] [CrossRef] [PubMed]
- Budianta, W. Lead Contamination in Soil of Yogyakarta City, Indonesia. J. Appl. Geol. 2015, 4, 90–98. [Google Scholar] [CrossRef]
- Ho, G.D. The Assessment of Copper Contaminant Source in Aquifer, Case Study: Mantrijeron Area, Yogyakarta City, Indonesia. Master’s Thesis, Universitas Gadjah Mada, Yogyakarta, Indonesia, 2017. [Google Scholar]
- Nasr, F.A.; Doma, H.S.; Nassar, H.F. Treatment of Domestic Wastewater Using an Anaerobic Baffled Reactor Followed by a Duckweed Pond for Agricultural Purposes. Environmentalist 2009, 29, 270–279. [Google Scholar] [CrossRef]
- Aghalari, Z.; Dahms, H.-U.; Sillanpää, M.; Sosa-Hernandez, J.E.; Parra-Saldívar, R. Effectiveness of Wastewater Treatment Systems in Removing Microbial Agents: A Systematic Review. Glob. Health 2020, 16, 13. [Google Scholar] [CrossRef] [PubMed]










| Parameters | Indonesian Standard Quality | Methods | Equipment, Standard, and Limit of Detection (LOD) |
|---|---|---|---|
| BOD | SNI 6989.72:2009 | Titrimetric | Incubator ET 6265 Lovibond (Tintometer GmbH, Dortmund, Germany); Glucose-Glutamic Acid (GGA) |
| COD | SNI 6989.2:2009 | Spectrophotometry | Thermo Reactor ECO 25; Velp Scientifica Sri 505445 (Usmate Velate, Monza and Brianza, Italy); Spectrophotometer UV Vis 1700 (Shimadzu, Kyoto, Japan); standard Sigma Aldrich 500 mg/L; LOD 9.71 mg/L |
| Ammonia (NH3) | SNI 06-6989.30-2005 | Spectrophotometry | LAF Biobase (Shandong, China); Spectrophotometer UV Vis 1700 (Shimadzu, Kyoto, Japan); LOD 0.02 mg/L |
| TSS-TDS | SNI 06-6989.3-2004 | Gravimetric | Oven Memmert UN 110 B420.2432 (Büchenbach, Germany); CRM TSS 100mg/L Sigma Aldrich; TDS 1000 mg/L; LRAC 3286 Sigma Aldrich |
| SNI 06-6989.10-2004 | Gravimetric | ||
| Nitrite & nitrate | SNI 06-6989.9-2004 | Spectrophotometry | Spectrophotometer UV Vis 1700 (Shimadzu, Kyoto, Japan); LOD nitrite 0.002 mg/L, nitrate 0.2 mg/L |
| Pb | SNI 2354.5:2011 | Atomic absorption spectrometry | AAS GBC Avanta (Perai, Malaysia); ICP Multi Element Standard Solution IV Merck 1.11355.0100 (New Jersey, United States); LOD 0.03 mg/L |
| Cu | SNI 6989.6:2009 | Atomic absorption spectrometry | AAS GBC Avanta (Perai, Malaysia); ICP Multi Element Standard Solution IV Merck 1.11355.0100 (New Jersey, United States); LOD 0.01 mg/L |
| Zn | SNI 06-6989.7-2004 | Atomic absorption spectrometry | ICP Multi Element Standard Solution IV Merck 1.11355.0100 (New Jersey, United States); LOD 0.02 mg/L |
| Total coliform and E. coli | SNI 2897:2008 | Total Plate Count | Incubator IN 75 Memmert D320.0208 (Büchenbach, Germany); CRM E.coli Merck VM 919254 |
Publisher’s Note: MDPI stays neutral with regard to jurisdictional claims in published maps and institutional affiliations. |
© 2022 by the authors. Licensee MDPI, Basel, Switzerland. This article is an open access article distributed under the terms and conditions of the Creative Commons Attribution (CC BY) license (https://creativecommons.org/licenses/by/4.0/).
Share and Cite
Brontowiyono, W.; Boving, T.; Asmara, A.A.; Rahmawati, S.; Yulianto, A.; Wantoputri, N.I.; Lathifah, A.N.; Andriansyah, Y. Communal Wastewater Treatment Plants’ Effectiveness, Management, and Quality of Groundwater: A Case Study in Indonesia. Water 2022, 14, 3047. https://doi.org/10.3390/w14193047
Brontowiyono W, Boving T, Asmara AA, Rahmawati S, Yulianto A, Wantoputri NI, Lathifah AN, Andriansyah Y. Communal Wastewater Treatment Plants’ Effectiveness, Management, and Quality of Groundwater: A Case Study in Indonesia. Water. 2022; 14(19):3047. https://doi.org/10.3390/w14193047
Chicago/Turabian StyleBrontowiyono, Widodo, Thomas Boving, Adelia Anju Asmara, Suphia Rahmawati, Andik Yulianto, Noviani Ima Wantoputri, Annisa Nur Lathifah, and Yuli Andriansyah. 2022. "Communal Wastewater Treatment Plants’ Effectiveness, Management, and Quality of Groundwater: A Case Study in Indonesia" Water 14, no. 19: 3047. https://doi.org/10.3390/w14193047
APA StyleBrontowiyono, W., Boving, T., Asmara, A. A., Rahmawati, S., Yulianto, A., Wantoputri, N. I., Lathifah, A. N., & Andriansyah, Y. (2022). Communal Wastewater Treatment Plants’ Effectiveness, Management, and Quality of Groundwater: A Case Study in Indonesia. Water, 14(19), 3047. https://doi.org/10.3390/w14193047

