Abstract
In Natural Landscape Complexes and Ecological Sites, local environmental protection is used to cover previous industrial activities, fragments of the cultural landscape, and habitats of both vertebrates and invertebrates. In water bodies within the different types of habitat protection, aquatic invertebrate fauna was studied to investigate whether it is a general rule that different forms of protection ensure the diversity of aquatic invertebrates in rural and industrial areas. The research revealed differences between invertebrate assemblages within complexes and between reservoirs. Compared with unprotected reservoirs located in the same area, in the majority of the studied water bodies, either no alien species were found or their relative abundance in assemblages was very low. Significant differences in the density, the number of taxa, the diversity, and the percentage of alien species were observed between different geographical locations. The location of water bodies within the protected area plays an important role in maintaining benthos diversity in industrial areas. These findings are useful for comparison with those of future research to document possible improvements or ongoing ecological regression in the quality of aquatic ecosystems in industrial areas. This study can help guide revisions of protected habitat networks for adequate protection of freshwater biodiversity in industrial areas.
1. Introduction
Worldwide, protected areas are essential for the conservation of biodiversity. The effectiveness of protected areas in maintaining biodiversity is a crucial issue in habitat ecology [1,2]. Nature protection is considered mainly as protection of vertebrates, and invertebrates are usually neglected. Protected areas are cornerstones of local, regional, and global strategies for biological diversity, but their ecological function, in terms of both representation and maintenance of crucial biodiversity features, remains poorly understood [3].
The World Conservation Union [4] defines a protected area as “an area of land and/or sea especially dedicated to the protection and maintenance of biological diversity, and of natural and associated cultural resources, and managed through legal or other effective means” [5]. Brooks et al. [6] estimated that protected areas cover 12% of the global land surface. In Poland, a protected area is a geographically separated region remaining under protection or exceptional management for its protection. It is created in an area with an interesting landscape or high natural values and is protected by law [7]. National Parks, Nature Reserves, Landscape Parks, Protected Landscape Areas, NATURA 2000 areas, Nature Monuments, Documentation Sites, Ecological Sites, and Natural-Landscape Complexes are some examples of protected areas. According to Water Law [8], a protected area is an area of particular use, which is subject to more stringent legal regulations, e.g., drinking water intake, and also an area protected for natural values. Protected areas are especially important in Europe as they protect biological life and ecosystems in areas significantly transformed by human activities, such as in Poland [9,10,11].
Natural Landscape Complexes are areas of natural environmental protection used to protect extremely valuable elements of the natural and cultural landscape and preserve their natural, cultural, and esthetic values. They are formed to preserve the ecological balance of relatively undistributed natural environments, protect geological and paleontological heritage, conserve biodiversity, and maintain ecological processes and the stability of ecosystems. This includes natural and anthropogenic landscapes transformed to preserve their natural, cultural, and esthetic values, as reported by Izakovičová et al. [12]. Ecological Sites are areas of individual nature protection included in Polish law and enclose ecosystems that are important for the conservation of biodiversity [13]. They comprise natural water reservoirs, ornamental ponds, mid-fields, mid-forest ponds, swamps, peat bogs, oxbow lakes, natural habitats, and sites of rare, threatened, or protected species of plants and animals.
Activity in these protected areas is maintained by designing a spatial development plan. In line with global agreements on the core set of indicators for biodiversity, of particular concern are genetic diversity, species populations, and ecosystems [14]. To fulfill their role of maintaining biodiversity, protected areas must capture biodiversity within their boundaries, and buffer it from destructive processes [15]. The principal concern connected with the ecological effectiveness of such areas is how well the biodiversity features for which they have been considered important are maintained.
Freshwater ecosystems are essential to human well-being, and most of them have high biological diversity. However, the biodiversity of freshwater ecosystems has been declining alarmingly due to the intensification of human activities [16]. Climate change may reduce the distribution of aquatic plants and animals, making them susceptible to extinction [17]. Urbanization and agricultural practices can lead to intensive usage of pesticides, posing a threat to water environments [18,19]. In Poland, pollution of water bodies located in protected areas under the influence of anthropopressure results from, among other things, waste dumps and industrial plant areas [20]. The exploitation of lead and zinc ores and their treatment have caused drastic changes in water conditions, such as heavy metal contamination and soil salinity. Spoil heaps contain different types of waste materials, chemical elements, compounds (Zn, Pb, Cd, SiO2, Fe, MgO, and CaO), and salts [21]. In Poland, high eutrophication is also one of the primary factors threatening water quality in water bodies. The content of nitrogen and phosphorus loads transferred from the catchment to the water systems depends on different factors, such as the hydrological regime, land use, and fertilization [22].
Freshwater biodiversity faces numerous threats that are responsible for steep declines in the spatial distribution and abundance of numerous species. However, extensive research on biodiversity in protected and managed areas has not yet been conducted for the majority of taxonomic groups and ecosystem types, which makes it difficult to assess the part of biodiversity potentially under protection [23]. Benthic invertebrates are diverse and abundant in many freshwater environments, and their diversity increases in protected areas. Their role in habitats is of particular importance because they constitute a variety of functions in freshwater food webs’ role in the decomposition of detritus and the aeration of sediments [24]. Most benthic invertebrates are sensitive to water pollution and heavy metals in freshwater habitats. Heavy metals, as pollutants, are bioaccumulated in aquatic organisms, particularly metals-sensitive insects such dragonflies [25], bivalves and gastropods [26], and other groups of benthic invertebrates. They abundantly occur in natural and anthropogenic water environments.
In Poland (the southern part, the Silesian Upland region), a few thousand artificial lakes and water bodies have developed due to intensive industrial and coal mining activities [27]. Development of such water bodies have also been reported worldwide [28,29]. Some of the studied water bodies are used in different forms of recreation, e.g., angling and swimming. The use of protected areas in tourism is strongly related to the degree of their development [30]. Following the Nature Conservation Act of 16 April 2004 [7], protected areas can be made available for tourism in a way that will not have a negative impact on nature. They constitute a natural space for tourist exploration. According to Polish legislation and recommendations of the European Union, appropriate environmental (ecological) education and increasing the ecological awareness of society are key elements of sustainable development [31]. Meeting the socioeconomic protected areas’ objectives of protected regions, such as grazing, tourism, and recreation, may result in a tradeoff against biological diversity [32].
Studied water bodies remain under diversified urban and industrial pressure, which determines limnic processes, such as circulation of water, water-level fluctuation, thermal and oxygenic processes, changes in water fertility, shore processes, formation of bottom sediments, and accumulation of pollutants. Focusing on the issue of pollution of aquatic environments in urbanized and polluted areas, this study, which was conducted in several complexes of water bodies within different protected areas, was aimed at checking whether it is a general rule that different forms of protection ensure the diversity of aquatic invertebrates in rural and industrial areas. Because the above-mentioned factors influence biodiversity in aquatic ecosystems, the aims of the study were also to determine whether the location of water bodies and their catchment within the protected area are essential to maintain benthos diversity in industrial areas.
2. Material and Methods
2.1. Study Area
This study was carried out in southern Poland (Figure 1), which is the most urbanized and industrialized part of Poland. Numerous water bodies have originated from human activities leading to the name “Upper Silesian Anthropogenic Lake District”. Apart from water bodies located in the Anthropogenic Lake District, those in the Silesian Lowland were also included for comparison. This study was carried out in water bodies located within two Natural Landscape Complexes and three Ecological Sites: the “Stawy Pluderskie” Ecological Site (water bodies 2 and 3 and also water body 1, which was adjacent to water bodies 2 and 3), the “Kocia Góra” Natural Landscape Complex (water bodies 4 and 5), the “Szopienice-Borki” Natural Landscape Complex (Borki reservoir, water body 6, and Morawa reservoir, water body 7), in ponds located in the Paprocany Ecological Site (water bodies 8–12), and the Pogoria II Ecological Site (water body 13) (Table 1). These water bodies are examples of the traces left by previous industrial activities, fragments of the cultural landscape, and habitats with avifauna and amphibians. All of them remain under the local form of legal protection.
Figure 1.
Location of the studied water bodies in the five protected complexes in Poland; 1–13 water bodies studied.
Table 1.
Environmental characteristics of the water bodies covered with different forms of habitat protection; Aquatic plant identification was performed by the authors; Data on Avifauna and Ichtiofauna and hydromorphology of habitats, physico-geographical mesoregions of Poland according to: Spałek et al., 2006 [33], Franczak U., Wójcicka-Rosińska A., 2013 [34], Tokarska-Guzik et al., 2002 [35]; nd—no data.
In the “Kocia Góra” Natural Landscape Complex, the protection area is a pine forest with an area of 370.36 ha, with moraine hills, the highest hill being “Kocia Góra”, and a pond complex [33]. Water bodies located within the protected area in the “Stawy Pluderskie” Ecological Site are of anthropogenic origin but with limited human activity. The bottom sediments are primarily gravel and sand. The primary source of water supply is Lublinica River, from which water is supplied to the water bodies by a canal. The “Szopienice-Borki” Natural Landscape Complex is located in the north-eastern part of the Katowice agglomeration. Water bodies within this complex were formed due to sand excavation; therefore, they have sandy and sandy–muddy bottom sediments. This area is characterized by a wide range of habitats, which creates favorable conditions for animals and plants, including many species of birds (Table 1). The pond complex in the “Paprocany” Ecological Site is located on the outskirts of industrial agglomeration and is a refuge for numerous species of plants and animals. It is also involved in recreational and educational activities. The Ecological Site covers 19.06 ha (the area of ponds is 11.52 ha) and protects mixed forests, ponds, wet meadows, and peat bogs. The Ecological Site Pogoria II is a post-exploitation water body formed due to sand excavation. The protected area covers the area around the water body and marsh biocenoses and acts as a breeding colony and nesting place for avifauna and rare species of plants.
The water bodies included in this study were small. Some of them were formed in subsidence basins due to the collapse of underground tunnels. If the subsidence depression is sufficiently deep, it is slowly filled with water. The bottom of such water bodies is the previous soil cover of the sunken region [36]. A few water bodies were formed as sand-pits due to sand excavation, and as subsidence ponds due to mining activities. All water bodies were stocked with fish, and some were managed under the auspices of local angling groups.
2.2. Sampling Procedure
This study was carried out from 2018 to 2021. Quantitative samples of benthic invertebrates were taken three times in each of the water bodies. The samples were collected from the bottom area of 0.5 m2 using a quadrat frame following the quantitative sampling methodology by randomly dip-netting a quadrat frame on the substratum and bottom, which were covered by detritus and plant remains within the quadrat. To sample the smallest specimens of invertebrates in the water column within the frame, they were filtered using a thick sieve. The samples were stored in plastic containers, transported to the laboratory, and then analyzed. The samples were washed on sieves (0.02 mesh size) and invertebrates were extracted from detritus (leaves, gravel, sand, and plants) using the OLYMPUS SZX16 stereoscopic microscope (OLYMPUS, Warsaw, Poland). Only living specimens were selected. After separation, they were fixed with 85% ethanol for further identification. All insect groups were identified to the taxonomic level of family [37,38] because this approach has been shown to provide adequate taxonomic resolution for impact assessment [39]. The number of each species (density) was expressed as individuals/m2. Aquatic and riparian species of plants were identified according to Szafer et al. [40].
A sample of bottom sediments (150 mL) was collected from each water body and their organic matter content was analysed. The sediments were dried to constant weight at 550 °C according to PN-88/B04481 [41]. The organic matter content was determined using the loss on ignition (LOI) method, in which weight loss in bottom sediment samples is measured after burning at 550 °C.
Prior to snail sampling, water samples were collected from each water body [42] (Table 2). The following physiochemical parameters of water quality were measured in the field using a portable HI 9811-5 pH/EC/TDS/°C meter (Hanna Instruments, Woonsocket, RI, USA): conductivity (EC), total dissolved solids (TDS), temperature, and pH. Concentrations of ammonia, nitrites, nitrates, chlorides, phosphates, iron, and calcium in the samples, total hardness, and alkalinity were analyzed in the laboratory using a titrimetric determination method and reagents from Merck and Hanna Instruments (Darmstadt, Germany, Woonsocket, RI, USA) (Table 2). The calibration of each meter was verified before analyses and adjusted if necessary. Laboratory analyses were carried out in the Institute of Biology, Biotechnology, and Environmental Protection, Faculty of Natural Sciences, the University of Silesia (Katowice, Poland).
Table 2.
The parameters of water and organic matter content in the bottom sediments of water bodies covered with different types of habitat protection (ranges); nd—no data.
2.3. Zoocenological Methods and Data Analysis
The Shannon–Wiener biodiversity index was used to evaluate the diversity of benthic fauna in the studied ponds, cluster analysis was performed using the Bray–Curtis distance measure, and the unweighted pair group method with arithmetic mean (UPGMA) linkage method was used to evaluate the benthos similarity between ponds. The analyses were performed using the MVSP software (Kovach Computing Services, version 3.13.p).
The significance of the differences in environmental variables, diversity indices, densities of aquatic invertebrates, and proportions of alien species in benthos between the water bodies from different geographical locations was evaluated using the Kruskal–Wallis ANOVA and multiple-comparisons post hoc test as the data were non-normally distributed (Kolmogorov–Smirnov test for normality) (STATISTICA 13.3 Dell version).
3. Results
The studied complexes of water bodies were habitats for rare and protected species of aquatic plants, e.g., Nuphar lutea and Nymphaea alba, and refuges for numerous species of birds and amphibians (Table 1). On the peat bogs adjacent to the water bodies in the “Kocia Góra” Natural Landscape Complex, many protected and rare species of plants occur, such as the insectivorous Drosera rotundifolia.
The physico-chemical parameters of the water and the organic matter content in the bottom sediments in the studied water bodies are presented in Table 2. The values of pH of the water ranged from 6.0–8.1 and were characterized by relatively low nutrient concentration. The Kruskal–Wallis ANOVA test showed statistically significant differences in the median values of conductivity (H = 21.62504, p < 0.001), alkalinity (H = 28.34077, p < 0.001), and calcium concentration (H = 26.13364, p < 0.001) between the water bodies in the “Paprocany” Ecological Site and those of the other complexes. The former water bodies also differed significantly from the “Pogoria II” and the water bodies in the “Szopienice-Borki” Natural Landscape Complex in median concentrations of ammonium (H = 14.60511, p < 0.01) and nitrate (H = 17.14247, p < 0.001) and in the median value of the water pH (H = 17.72732, p < 0.001). The Kruskal–Wallis ANOVA test also indicated significant differences in median values of TDS (H = 19.57329, p < 0.001) and iron (H = 11.99683, p < 0.01) between the water bodies in the “Paprocany” and the “Pogoria II” Ecological Sites. Water bodies in these two Ecological Sites showed significant differences in median concentration of nitrite (H = 27.08592, p < 0.001).
A total of 63 taxa were found in the studied water bodies, ranging from 14 (water body 10 in the “Paprocany” Ecological Site) to 30 (water body 4 in the “Kocia Góra” Natural Landscape Complex) (Table 3). Quantitative and qualitative analyses indicated differences in the structures of the benthic communities both between and within the water bodies in each of the complexes. In all water bodies, the fauna was dominated by Chironomidae larvae (>10% of taxa). In a few ponds, Oligochaeta (water bodies 4, 5, 9, 10, and 12), Asellidae (water bodies 8–12), and Planorbidae (water bodies 5, 9, and 12) were predominant. In only one pond (water body 13) were snails (Tateidae) and bivalves (Sphaeriidae) found to predominate in assemblages. Differences were observed in the density of macroinvertebrates and their diversity, which was measured with the Shannon–Wiener index (Table 3). Three alien gastropod species, Potamopyrgus antipodarum (Gray, 1853), Ferrissia wautieri (Mirolli, 1960), and Physella acuta (Draparnaud, 1805), and one alien bivalve species, Dreissena polymorpha (Pallas 1771), were found, but in low numbers, except in one pond (Pogoria II).
Table 3.
Macroinvertebrate taxa (the percentage of fauna) in the studied water bodies.
Based on the structure of benthos fauna in the study period, hierarchical cluster analysis classified the water bodies in “Kocia Góra” and “Stawy Pluderskie” (water bodies 1–5) and Pogoria II (water body 13) into separate groups, whereas the other water bodies (6–12) formed one distinctive group (Figure 2).
Figure 2.
Similarities in benthos communities in water bodies from different habitat protections; the “Kocia Góra” Natural Landscape Complex and the “Stawy Pluderskie” Ecological Site (no. 1 to no. 5), the “Szopienice-Borki” Natural Landscape Complex (no. 6 and 7), the “Paprocany” Ecological Site (no. 8–12), the “Pogoria II” Ecological Site (no. 13); a—spring, b—summer, c—autumn.
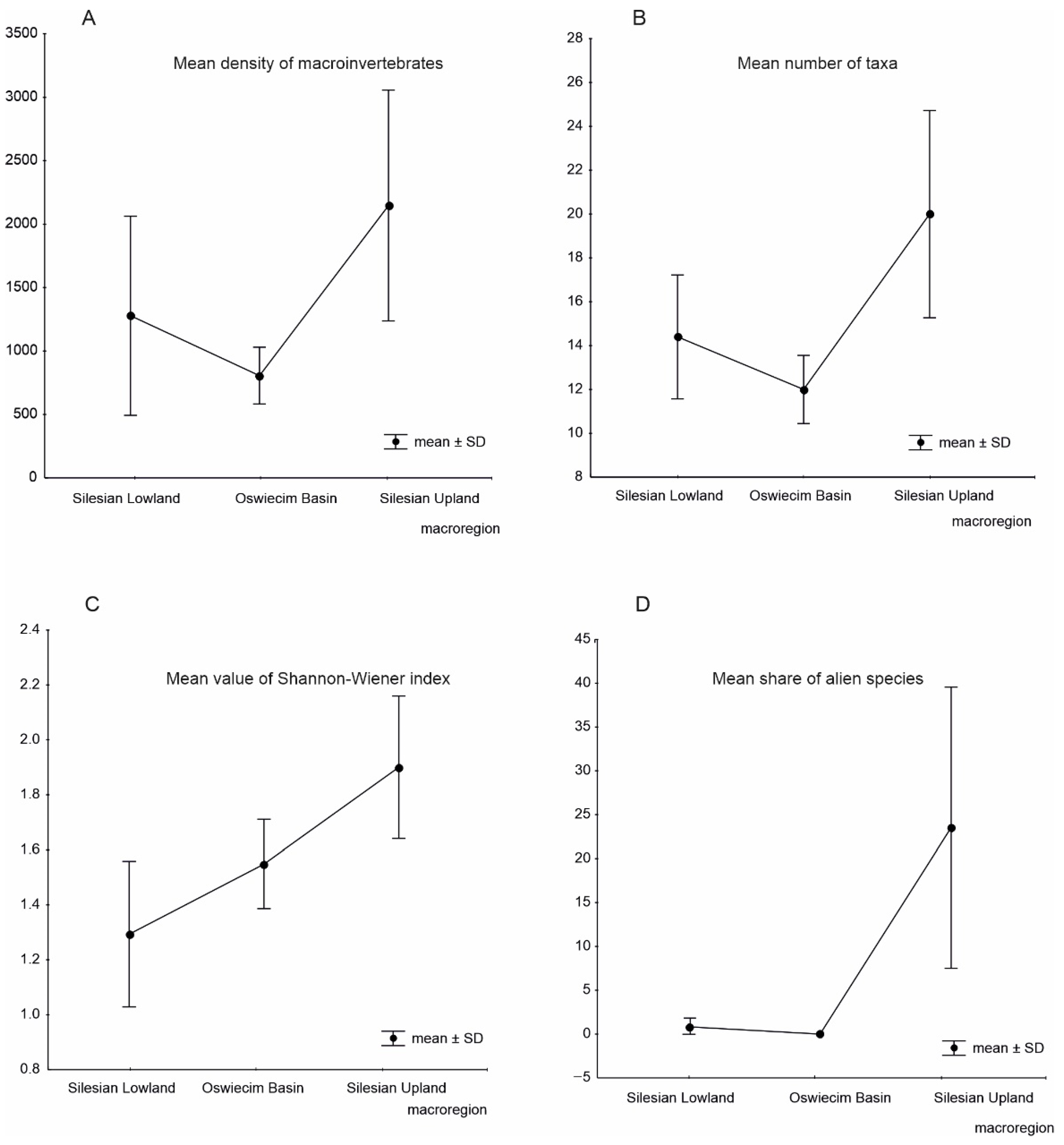
The number of taxa (H = 8.782850, p < 0.05) and the density of aquatic invertebrates (H = 7.923329, p < 0.05) were significantly different between the ponds located in the Silesian Upland and those in the Oświęcim Basin, with a mean density of benthic fauna of 2000 individuals/m2 and 805 individuals/m2, respectively (Figure 3A). The average number of taxa was 20 in the Silesian Upland and 12 in the Oświęcim Basin (Figure 3B). Significant differences in the median value of the Shannon–Wiener index were observed between water bodies located in the Silesian Lowland and those in the Silesian Upland (H = 7.949050, p < 0.05), with an average value of 1.293 and 1.900, respectively (Figure 3C). In addition, significant differences in the relative abundance of alien species in the fauna were observed between the water bodies located in the Silesian Upland and those of other complexes (H = 22.46696, p < 0.0001). No alien species were found in the water bodies located in the Oświęcim Basin. The average percentage of alien species in the benthos communities of the Silesian Lowland was only 0.8%, whereas in the Silesian Upland, it was 23.5% (Figure 3D).
Figure 3.
The mean density of benthic fauna (A), the mean number of macroinvertebrate taxa (B), mean value of the Shannon–Wiener index (C), and the mean proportion of alien species in benthic fauna (D) in water bodies from different geographical locations.
4. Discussion
Worldwide, water environments are experiencing an alarming decline in biodiversity as well as serious threats to ecosystem stability [43,44]. Besides global warming, water resources have recently become limited and therefore very important. Protection and restoration of biodiversity have been given high importance worldwide [32,45], however, mainly in the context of protection of the habitats for vertebrates. Invertebrates are quite often overlooked, which is especially true for aquatic invertebrates. Investments are not excluded in protected areas, although they require significant restrictions. This allows for the creation of protected habitats in areas of high importance and industrial use, such as in southern Poland, e.g., the “Szopienice–Borki” Natural Landscape Complex and complexes of water bodies located in the studied Ecological Sites, but also in other parts of Poland [46]. These protected areas can be used, among others, in qualified water tourism. The complexes of water bodies located in forests, such as the “Kocia Góra” Natural Landscape Complex, are also often protected. Protected areas act as benchmarks for human interactions with the natural world [47], are crucial for biodiversity conservation, and are the cornerstones of all national and international conservation strategies. They are formed to maintain natural ecosystems, act as refuges for species, and to maintain ecological processes that cannot occur in intensely managed aquatic areas.
The water bodies in the “Kocia Góra” Natural Landscape Complex and the “Stawy Pluderskie” Ecological Site located in forest complexes were the breeding place for the following species of water-marsh birds: Tachybaptus ruficollis, Anas crecca, Fulica atra, Gallinula chloropus, Grus grus, and Acrocephalus arundinaceus. They are among the few areas where amphibians mate in large numbers (Triturus vulgaris, Rana esculenta, Rana temporaria, Bufo bufo, and Bufo viridis) and are protected breeding areas for Emberiza schoeniclus and Acrocephalus scirpaceus [33]. In the other studied complexes of water bodies located in protected areas, but outside forests, numerous birds and amphibians were observed. Water bodies in Ecological Sites and Natural Landscape Complexes should be protected from changes in the water level, and, in particular, excessive drainage or irrigation [33]. It is increasingly accepted that human-made water bodies are likely to support biodiversity because they provide resources of economic value, as reported by Santoul et al. [48], calling for an increase in the attention to these wildlife habitats and people. Man-made ecosystems, such as post-exploitation water bodies, are habitats of numerous dragonflies, amphibians, and birds and support biodiversity in urbanized areas, as demonstrated, among others, by Santoul et al. [48] and Frochot and Godreau [49]. Their studies reported that gravel pits support the diversity of aquatic avifauna in an urban landscape.
As much of the Earth’s surface has been transformed by human activities, which have involved extensive destruction of natural habitats, their protection is crucial for maintaining biodiversity. Gaston et al. [3] reported that even if the primary components of habitats are retained, they are degraded, and communities are also altered through direct exploitation and introduction of alien species. At local, regional, and global scales, a key strategy for protecting biodiversity from such pressures is the establishment and maintenance of protected areas. In this study, freshwater reservoirs with habitat protection were chosen, with slightly acidic to slightly alkaline pH, and without high nutrient content. Significant differences in conductivity, alkalinity, and calcium, iron, nitrate, and ammonia concentrations were observed between water body complexes, as well as in pH and TDS. In water bodies located in rural areas, a higher nitrate content was observed compared with water bodies located in industrial areas. Mining and industrial wastes affect the water chemistry and invertebrate assemblages which reflects the severity and type of water pollution [39] and resulted in reduced abundance and taxonomic richness, and loss of pollution-sensitive macroinvertebrate groups [28]. Because high salinity and concentrations of heavy metals are also important, effective management of water bodies in protected areas and prevention from pollution are the basis for habitat protection, otherwise protection will not be effective.
Some studies reported no differences in invertebrate richness and composition of their assemblages between protected and unprotected areas, e.g., studies conducted in Italy and Finland [23,50]. Chessman [51] found a significantly lower richness and abundance of fish in sites within protected areas and sites located in steeper terrain and colder climates. When analyzed in a subset of geographically and environmentally matched sites, no significant differences in the richness and abundance of fauna were observed between protected and unprotected areas. Heino et al. [23] reported similar results in the context of macrobenthos in protected and unprotected streams. Worldwide, species richness and abundance are 10.6 and 14.5% higher in samples from protected areas compared with samples taken outside. Gray et al. [2] reported that the positive effects of protection are mostly attributable to differences in land use between protected and unprotected sites. They showed that even within human-dominated land use, species richness and abundance are higher in protected sites. In the present study that included water bodies of different locations (rural, industrial, lowland, and upland), significant differences in the number of taxa (14–30), density (mean 805–2000 ind./m2), and diversity indices were observed. Benthos assemblages were dominated by insect taxa; however, Oligochaeta, Asellidae, and Planorbidae were predominant. Czachorowski and Moroz [52] showed that caddisflies are abundant in the protected areas of Belarus, including several species that are rare in Europe; they reported some species for the first time in Belarus and some species that are on the verge of extinction in several countries of western Europe. They assumed that natural reservation plays an important role in the conservation of species diversity and distribution of rare species. Data on different groups of animals living in protected areas are essential for protective measures [52].
The present study revealed differences in the structure of benthos assemblages within complexes and between reservoirs included in each of the complexes. Compared to the results of the research conducted in anthropogenic water bodies located in unprotected areas [11,53], a lower percentage and lower abundance of alien species of aquatic invertebrates were observed in the present study. Three alien gastropod species (P. antipodarum, F. wautieri, and Physella acuta) and a bivalve species (D. polymorpha) were observed. Significant differences in the relative abundance of alien species in benthos communities were observed between the water bodies in the Silesian Upland and other water bodies. Protected areas which are properly managed can provide a refuge for native species against invasive species [32]. This is of high importance because global freshwater biodiversity is declining at an unprecedented rate and alien species are expanding in aquatic environments. Discharges of pollutants to the surface water make them more susceptible to invasions by alien species, as we reported in our previous study [11]. Competition for food or space may occur when alien species invade a new habitat, especially if invaders make habitat conditions less suitable for native fauna [54,55]. This is particularly valid in polluted water environments, and the established safety thresholds of pollutants for the native fauna are needed, as was reported by Maceda-Veiga et al. [56], because water pollution leads to the homogenization of benthic communities, with a predominance of insect larvae in assemblages, and favors alien species.
In the present study, significant differences in density, the number of taxa, the Shannon–Wiener index, and the percentage of alien species were observed between reservoirs in different geographical locations. The location of water bodies and their catchment within the protected area were found to be important in maintaining benthos diversity in industrial areas. Gray et al. [2] reported that on a global scale, there was a 10.6% higher richness and 14.5% higher abundance inside protected areas compared with non-protected, however, with no differences in the endemicity. They showed that the positive effects of protection are mostly attributable to differences in land use between protected and unprotected areas. Ecologically sustainable management of water bodies can ensure the long-term survival of Europe’s most valuable and endangered species and habitats [9]. Threats to aquatic biodiversity are classified into five categories: overexploitation, water pollution, destruction or degradation of habitats, flow modification, and invasion by alien species. Their combined influence is observed worldwide, which, according to Dudgeon et al. [57], is exacerbated further by global-scale environmental changes such as climate change and nitrogen deposition.
Climate changes will further amplify the loss of biodiversity, whereas adaptation to increased frequency of climatic extremes will prompt water engineering schemes to favor biodiversity [55,58]. It is extremely important to cover the habitat protection of water reservoirs, even in areas significantly transformed due to industrial development and intensive use of raw materials. Gray et al. [2] reinforced the importance of protected territories, but suggested that protection does not benefit species in small proportions or increase the variety of ecological niches. Unfortunately, attention is usually given to terrestrial biodiversity and vertebrates, leaving freshwater ecosystems and invertebrates aside [16]. Protected areas have been proven to be successful in preventing species extinction if managed properly, and, as reported by Sala et al. [59], declines in biodiversity are far greater in fresh waters than in the most affected terrestrial ecosystems. Freshwaters are hotspots of global species richness and factors that enhance the susceptibility of biodiversity to increasing anthropogenic threats [55].
5. Conclusions
Knowledge of the diversity of freshwaters is incomplete, particularly with regard to invertebrates and microbes [57]. In recent decades, substantial time, effort, and resources were invested in prioritizing areas for biodiversity protection, and their establishment and management [3,32]. Areas designated to protect land ecosystems can also protect freshwater biodiversity if they are designed, located, and properly managed [32]. This is an effective approach to preserving the diversity of different areas and is relevant to areas transformed by human activities. Our research proves that the way and scope of human use of water reservoirs have a significant impact on the richness and diversity of benthos assemblages. The research showed differences between invertebrate assemblages within complexes and between reservoirs. Compared with unprotected reservoirs located in the same area, in the majority of the studied water bodies, either no alien species were found, or their relative abundance was very low. Significant differences in the density, the number of taxa, the Shannon–Wiener index, and the percentage of alien species were observed between different geographical locations. Based on these results, it can be concluded that the location of water bodies within the protected area plays an important role in maintaining benthos diversity in industrial areas. This study can help guide revisions of protected habitat networks for adequate protection of freshwater biodiversity in industrial areas. Efforts to achieve the ultimate goal of preventing the loss of biodiversity and the degradation of ecosystem services in the EU are important.
Author Contributions
Conceptualization A.C., M.K., A.S. and I.F.; methodology A.C. and M.K.; investigation A.C., M.K., R.S., M.S. and A.S.; writing—original draft preparation A.C., M.K., I.F., A.S. and R.S.; writing—review and editing A.C., M.K., I.F. and A.S. All authors have read and agreed to the published version of the manuscript.
Funding
This study was funded by the University of Silesia in Katowice, Poland.
Institutional Review Board Statement
Not applicable.
Informed Consent Statement
Not applicable.
Data Availability Statement
The data presented in this study are available on request from the corresponding author.
Acknowledgments
Authors would like to thank the University of Silesia for funding support for this research.
Conflicts of Interest
The authors declare no conflict of interest.
References
- Groves, C.R. Drafting a Conservation Blueprint: A Practitioner’s Guide to Planning for Biodiversity; Island Press: Washington, DC, USA, 2003. [Google Scholar]
- Gray, C.L.; Hill, S.L.; Newbold, T.; Hudson, L.N.; Börger, L.; Contu, S.; Hoskins, A.J.; Ferrier, S.; Purvis, A.; Scharlemann, J.P. Local biodiversity is higher inside than outside terrestrial protected areas worldwide. Nat. Commun. 2016, 7, 12306. [Google Scholar] [CrossRef] [PubMed]
- Gaston, K.J.; Jackson, S.F.; Cantú-Salazar, L.; Cruz-Piñón, G. The ecological performance of protected areas. Annu. Rev. Ecol. Evol. Syst. 2008, 39, 93–113. [Google Scholar] [CrossRef]
- IUCN. Guidelines for Protected Area Management Categories: International Union for the Conservation of Nature; IUCN: Gland, Switzerland, 1994; Available online: https://portals.iucn.org/library/sites/library/files/documents/pag-021.pdf (accessed on 5 November 2022).
- UNESCO. Man and the Biosphere (MAB) Programme. 2019. Available online: https://en.unesco.org/mab (accessed on 5 November 2022).
- Brooks, T.M.; Bakarr, M.I.; Boucher, T.; Da Fonseca, G.A.; Hilton-Taylor, C.; Hoekstra, J.M.; Moritz, T.; Olivieri, S.; Parrish, J.; Pressey, R.L.; et al. Coverage provided by the global protected-area system: Is it enough? BioScience 2004, 54, 1081–1091. [Google Scholar] [CrossRef]
- Dz. U. z 2022 r. poz. 916. Official Journal of the Laws. 16 April 2004. Available online: https://isap.sejm.gov.pl/isap.nsf/DocDetails.xsp?id=wdu20040920880 (accessed on 5 November 2022).
- Dz. U. z 2015 r. poz. 469. Official Journal of the Laws. 18 July 2001. Available online: https://isap.sejm.gov.pl/isap.nsf/DocDetails.xsp?id=WDU20150000469 (accessed on 5 November 2022).
- Juśkiewicz, W.; Gierszewski, P. Toxic metal pollution of aquatic ecosystems of European Union nature protection areas in a region of intensive agriculture (Lake Gopło, Poland). Aquat. Sci. 2022, 84, 52. [Google Scholar] [CrossRef]
- Špulerová, J.; Izakovičová, Z.; Vlachovičová, M.; Černecký, J. Natural or Semi-natural Landscape Features as Indicator of Biocultural Value: Observations from Slovakia. Hum. Ecol. 2022, 50, 531–543. [Google Scholar] [CrossRef]
- Spyra, A.; Cieplok, A. Structure and dynamics of gastropod communities in highly transformed aquatic environments colonized and uncolonized by globally invasive Potamopyrgus antipodarum (Gray, 1843). Aquat. Invasions 2022, 17, 431–452. [Google Scholar] [CrossRef]
- Izakovičová, Z.; Špulerová, J.; Kozelová, I. The Approach to Typology of the Biocultural Landscape in Slovakia. Environ. Manag. 2022, 70, 746–762. [Google Scholar] [CrossRef]
- Dz. U. 12.10.1991 r., nr 114 poz. 492 z późn. zm. Official Journal of the Laws. 16 October 1991. Available online: https://isap.sejm.gov.pl/isap.nsf/DocDetails.xsp?id=WDU20150000469 (accessed on 15 November 2022).
- Convention on Biological Diversity. Decision VII/30. Strategic Plan: Future Evaluation of Progress; UNEP: Kuala Lumpur, Malaysia, 2004. [Google Scholar]
- Margules, C.R.; Pressey, R.L. Systematic conservation planning. Nature 2000, 405, 243–253. [Google Scholar] [CrossRef]
- Nogueira, J.G.; Teixeira, A.; Varandas, S.; Lopes-Lima, M.; Sousa, R. Assessment of a terrestrial protected area for the conservation of freshwater biodiversity. Aquat. Conserv. Mar. Freshw. Ecosyst. 2021, 31, 520–530. [Google Scholar] [CrossRef]
- Hutahaean, A.A.; Rustam, A.; Daulat, A.; Rahayu, Y.P.; Suryono, D.D.; Salim, H.L.; Kusumaningtyas, M.A. Biodiversity and Aquatic Vegetation Succession in Biawak Island Marine Protected Area, Indramayu-West Java. J. Segara 2022, 18, 37–46. [Google Scholar] [CrossRef]
- Caro-Borrero, A.; Carmona-Jiménez, J.; Rivera-Ramírez, K.; Bieber, K. The effects of urbanization on aquatic ecosystems in peri-urban protected areas of Mexico City: The contradictory discourse of conservation amid expansion of informal settlements. Land Use Policy 2021, 102, 105226. [Google Scholar] [CrossRef]
- Rolón, E.; Ondarza, P.M.; Miglioranza, K.S.; Rosso, J.J.; Mabragaña, E.; Volpedo, A.V.; Avigliano, E. Multi-matrix approach reveals the distribution of pesticides in a multipurpose protected area from the Atlantic Rainforest: Potential risk for aquatic biota and human health? Environ. Sci. Pollut. Res. 2021, 28, 34386–34399. [Google Scholar] [CrossRef] [PubMed]
- Nowak, J.; Lutyńska, S. The influence of anthropopression on the water environment in the area of Landscape-Nature Protected Complex “Żabie Doły” (Upper Silesia). Arch. Waste Manag. Environ. Prot. 2015, 17, 11–18. [Google Scholar]
- Ledwoń, K.; Imielski, M.; Koj, A. The characteristics of nature landscape complex Żabie Doły. Aura 1999, 3, 30–31. (In Polish) [Google Scholar]
- De Wit, H.A.; Lepistö, A.; Marttila, H.; Wenng, H.; Bechmann, M.; Blicher-Mathiesen, G.; Eklöf, K.; Futter, M.N.; Kortelainen, P.; Kronvang, B.; et al. Land-use dominates climate controls on nitrogen and phosphorus export from managed and natural Nordic headwater catchments. Hydrol. Process. 2020, 34, 4831–4850. [Google Scholar] [CrossRef]
- Heino, J.; Ilmonen, J.; Kotanen, J.; Mykrä, H.; Paasivirta, L.; Soininen, J.; Virtanen, R. Surveying biodiversity in protected and managed areas: Algae, macrophytes and macroinvertebrates in boreal forest streams. Ecol. Indic. 2009, 9, 1179–1187. [Google Scholar] [CrossRef]
- Covich, A.P.; Palmer, M.A.; Crowl, T.A. The role of benthic invertebrate species in freshwater ecosystems: Zoobenthic species influence energy flows and nutrient cycling. BioScience 1999, 49, 119–127. [Google Scholar] [CrossRef]
- Noor-Ul-Islam, H.; Khan, K.; Zia, S.A.; Naeem, M.; Shams, W.A. Heavy metals accumulation in dragonflies (Odonata) and their habitats in district Swabi, Khyber Pakhtunkhwa, Pakistan: Assessing dragonfly bionomics in the region. Bull. Environ. Contam. Toxicol. 2021, 107, 838–847. [Google Scholar] [CrossRef]
- Schwantes, D.; Junior, A.C.G.; Manfrin, J.; Campagnolo, M.A.; Zimmermann, J.; Junior, E.C.; Bertoldo, D.C. Distribution of heavy metals in sediments and their bioaccumulation on benthic macroinvertebrates in a tropical Brazilian watershed. Ecol. Eng. 2021, 163, 106194. [Google Scholar] [CrossRef]
- Rzętała, M. Funkcjonowanie Zbiorników Wodnych Oraz Przebieg Procesów Limnicznych w Warunkach Zróżnicowanej Antropopresji na Przykładzie Regionu Górnośląskiego; Wydawnictwo Uniwersytetu Śląskiego: Katowice, Poland, 2008. [Google Scholar]
- Nixdorf, B.; Lessmann, D.; Deneke, R. Mining lakes in a disturbed landscape: Application of the EC Water Framework Directive and future management strategies. Ecol. Eng. 2005, 24, 67–73. [Google Scholar] [CrossRef]
- Vandysh, O.I. Zooplankton as an indicator of the state of lake ecosystems polluted with mining wastewater in the Kola Peninsula. Russ. J. Ecol. 2004, 35, 110–116. [Google Scholar] [CrossRef]
- Antolak, M.; Pochodyła, E. Ścieżki widokowe na obszarach chronionych na przykładzie użytku ekologicznego Rozlewisko Morąskie. Acta Sci. Pol. Adm. Locorum 2019, 18, 19–31. [Google Scholar] [CrossRef]
- Kozak, A. Obszary chronione możliwością rozwoju turystyki edukacyjnej na przykładzie ścieżek przyrodniczo-edukacyjnych “Bużny Most” i “Nadbużańskie Łęgi”. Probl. Ekol. Kraj. 2012, 34, 111–116. [Google Scholar]
- Acreman, M.; Hughes, K.A.; Arthington, A.H.; Tickner, D.; Dueñas, M.A. Protected areas and freshwater biodiversity: A novel systematic review distils eight lessons for effective conservation. Conserv. Lett. 2019, 13, e12684. [Google Scholar] [CrossRef]
- Spałek, K.; Badora, K.; Czuban, R.; Kuńka, A.; Nowak, A. Projekt Docelowej Gminnej Sieci Obszarów Chronionych Wraz z Aktualizacją Inwentaryzacji i Waloryzacji Przyrodniczej Gminy Kolonowskie; BIO_PLAN: Krasiejów, Poland, 2006. [Google Scholar]
- Franczak, U.; Wójcicka-Rosińska, A. Plan Urządzenia Lasu dla Nadleśnictwa Zawadzkie Regionalna Dyrekcja Lasów Państwowych w Katowicach na Okres od 01 Stycznia 2013 r. do 31 Grudnia 2022 r; Program Ochrony Przyrody: Brzeg, Poland, 2013.
- Tokarska-Guzik, B.; Rostański, A.; Kupka, R. Katowice. Przyroda Miasta; Kubajak: Krzeszowice, Poland, 2002; p. 128. [Google Scholar]
- Puchalski, W. Poeksploatacyjne zbiorniki wodne–wstęp do charakterystyki ekologicznej. Wiadomości Ekol. 1985, 31, 2–20. [Google Scholar]
- Tończyk, G.; Siciński, J.; Grabowski, M.; Jabłońska, A.; Jażdżewski, K.; Jurasz, W. Klucz do Oznaczania Makrobezkręgowców Bentosowych dla Potrzeb Oceny Stanu Ekologicznego wód Powierzchniowych; Główny Inspektorat Ochrony Środowiska: Warszawa, Poland, 2013. (In Polish)
- Piechocki, A.; Wawrzyniak-Wydrowska, B. Guide to Freshwater and Marine Mollusca of Poland; Bogucki Wydawnictwo Naukowe: Poznan, Poland, 2016. [Google Scholar]
- Wright, I.A.; Ryan, M. Impact of mining and industrial pollution on stream macroinvertebrates: Importance of taxonomic resolution, water geochemistry and EPT indices for impact detection. Hydrobiologia 2016, 772, 103–115. [Google Scholar] [CrossRef]
- Szafer, W.; Kulczyński, S.; Pawłowski, B. Rośliny Polskie, cz. I i II; PWN: Warszawa, Poland, 1988; pp. 30–198. [Google Scholar]
- Myślińska, E. Organic Soils and Their Laboratory Methods; Wydawnictwo PWN: Warszawa, Poland, 2001; p. 208. (In Polish) [Google Scholar]
- Hermanowicz, W.; Dojlido, J.; Dożańska, W.; Koziorowski, B.; Zerbe, J. Fizyczno-Chemicznebadanie Wody i Ścieków; Wydawnictwo Arkady: Warszawa, Poland, 1999; p. 555. [Google Scholar]
- Cowx, I.G. Analysis of threats to freshwater fish conservation: Past and present challenges. In Conservation of Freshwater Fishes: Options for the Future; Collares-Pereira, M.J., Cowx, I.G., Coelho, M.M., Eds.; Blackwell Scientific Press: Oxford, UK, 2002; pp. 201–220. [Google Scholar]
- Suski, C.D.; Cooke, S.J. Conservation of aquatic resources through the use of freshwater protected areas: Opportunities and challenges. Biodivers. Conserv. 2007, 16, 2015–2029. [Google Scholar] [CrossRef]
- Türkmen, G.; Kazanci, N. Applications of various biodiversity indices to benthic macroinvertebrate assemblages in streams of a national park in Turkey. Rev. Hydrobiol. 2010, 3, 111–125. [Google Scholar]
- Hudak, M. Odrzański turystyczny szlak wodny a obszary Natura 2000 i inne obszary chronione w województwie lubuskim. Zesz. Nauk. Inż. Śr./Uniw. Zielonogór. 2010, 140, 74–82. [Google Scholar]
- Dudley, N. (Ed.) Guidelines for Applying Protected Area Management Categories; IUCN: Gland, Switzerland, 2008. [Google Scholar]
- Santoul, F.; Gaujard, A.; Angélibert, S.; Mastrorillo, S.; Céréghino, R. Gravel pits support waterbird diversity in an urban landscape. In Pond Conservation in Europe; Springer: Dordrecht, The Netherlands, 2009; pp. 263–270. [Google Scholar]
- Frochot, B.; Godreau, V.; Roche, J. L’expansion récente des oiseaux d’eau. Alauda 2008, 76, 279–286. [Google Scholar]
- Mancini, L.; Formichetti, P.; Anselmo, A.; Tancioni, L.; Marchini, S.; Sorace, A. Biological quality of running waters in protected areas: The influence of size and land use. Biodivers. Conserv. 2005, 14, 351–364. [Google Scholar] [CrossRef]
- Chessman, B.C. Do protected areas benefit freshwater species? A broad-scale assessment for fish in Australia’s Murray–Darling Basin. J. Appl. Ecol. 2013, 50, 969–976. [Google Scholar] [CrossRef]
- Czachorowski, S.; Moroz, M.D. Caddisflies (Trichoptera) of the protected territories of Belarus. Entomol. Rev. 2007, 87, 980–987. [Google Scholar] [CrossRef]
- Cieplok, A.; Spyra, A. The roles of spatial and environmental variables in the appearance of a globally invasive Physa acuta in water bodies created due to human activity. Sci. Total Environ. 2020, 744, 140928. [Google Scholar] [CrossRef]
- Strayer, D.L. Alien species in fresh waters: Ecological effects, interactions with other stressors, and prospects for the future. Freshw. Biol. 2010, 55, 152–174. [Google Scholar] [CrossRef]
- Dudgeon, D. Multiple threats imperil freshwater biodiversity in the Anthropocene. Curr. Biol. 2019, 29, R960–R967. [Google Scholar] [CrossRef] [PubMed]
- Maceda-Veiga, A.; Baselga, A.; Sousa, R.; Vilà, M.; Doadrio, I.; De Sostoa, A. Fine-scale determinants of conservation value of river reaches in a hotspot of native and non-native species diversity. Sci. Total Environ. 2017, 574, 455–466. [Google Scholar] [CrossRef] [PubMed]
- Dudgeon, D.; Arthington, A.H.; Gessner, M.O.; Kawabata, Z.I.; Knowler, D.J.; Lévêque, C.; Naiman, R.J.; Prieur-Richard, A.H.; Soto, D.; Stiassny, M.L.; et al. Freshwater biodiversity: Importance, threats, status and conservation challenges. Biol. Rev. 2006, 81, 163–182. [Google Scholar] [CrossRef]
- McClanahan, T.R.; Cinner, J.E.; Maina, J.; Graham, N.A.J.; Daw, T.M.; Stead, S.M.; Wamukota, A.; Brown, K.; Ateweberhan, M.; Venus, V.; et al. Conservation action in a changing climate. Conserv. Lett. 2008, 1, 53–59. [Google Scholar] [CrossRef]
- Sala, O.E.; Chapin, F.S.; Armesto, J.J.; Berlow, R.; Bloomfield, J.; Dirzo, R.; Huber-Sanwald, E.; Huenneke, L.F.; Jackson, R.B.; Kinzig, A.; et al. Global biodiversity scenarios for the year 2100. Science 2000, 287, 1770–1774. [Google Scholar] [CrossRef]
Publisher’s Note: MDPI stays neutral with regard to jurisdictional claims in published maps and institutional affiliations. |
© 2022 by the authors. Licensee MDPI, Basel, Switzerland. This article is an open access article distributed under the terms and conditions of the Creative Commons Attribution (CC BY) license (https://creativecommons.org/licenses/by/4.0/).


