Contributions on Lindane Degradation by Microcystis aeruginosa PCC 7806
Abstract
:1. Introduction
2. Materials and Methods
2.1. Growth Conditions and Cell Visualization
2.2. In Silico Studies of lin Genes
2.3. RNA Isolation and RealTime RT-PCR
3. Results
3.1. In Silico Identification of lin Gene Homologues
3.2. M. aeruginosa PCC 7806 Growth in the Presence of Lindane
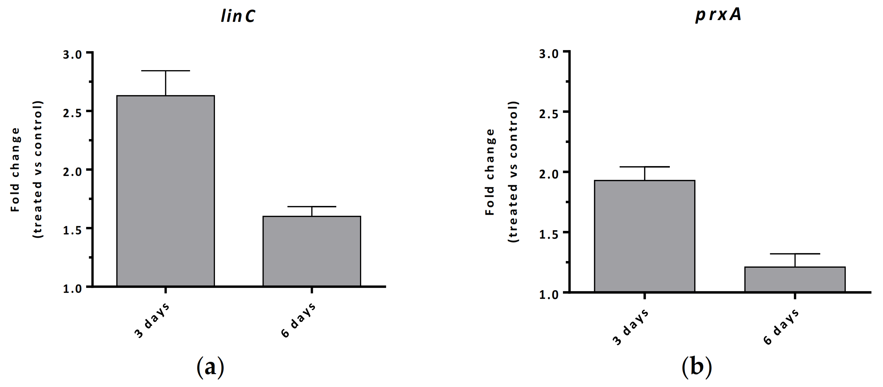
3.3. linC and prxA Are Induced in the Presence of Lindane in M. aeruginosa PCC 7806
4. Discussion
Supplementary Materials
Author Contributions
Funding
Institutional Review Board Statement
Informed Consent Statement
Conflicts of Interest
References
- Kuritz, T.; Wolk, C.P. Use of filamentous cyanobacteria for biodegradation of organic pollutants. Appl. Environ. Microbiol. 1995, 61, 234–238. [Google Scholar] [CrossRef] [PubMed] [Green Version]
- Kuritz, T. An easy colorimetric assay for screening and qualitative assessment of deiodination and dehalogenation by bacterial cultures. Lett. Appl. Microbiol. 1999, 28, 445–447. [Google Scholar] [CrossRef] [PubMed] [Green Version]
- Babu, G.S.; Hans, R.K.; Singh, J.; Viswanathan, P.N.; Joshi, P.C. Effect of Lindane on the Growth and Metabolic Activities of Cyanobacteria. Ecotoxicol. Environ. Saf. 2001, 48, 219–221. [Google Scholar] [CrossRef] [PubMed]
- Bueno, M.; Fillat, M.F.; Strasser, R.J.; Maldonado-Rodriguez, R.; Marina, N.; Smienk, H.; Gomez-Moreno, C.; Barja, F. Effects of lindane on the photosynthetic apparatus of the cyanobacterium Anabaena: Fluorescence induction studies and immunolocalization of ferredoxin-NADP+ reductase. Environ. Sci. Pollut. Res. Int. 2004, 11, 98–106. [Google Scholar] [CrossRef] [PubMed] [Green Version]
- González, R.; García-Balboa, C.; Rouco, M.; Lopez-Rodas, V.; Costas, E. Adaptation of microalgae to lindane: A new approach for bioremediation. Aquat. Toxicol. 2012, 109, 25–32. [Google Scholar] [CrossRef] [PubMed]
- Ceballos-Laita, L.; Calvo-Begueria, L.; Lahoz, J.; Bes, M.-T.; Fillat, M.F.; Peleato, M.-L. γ-Lindane Increases Microcystin Synthesis in Microcystis aeruginosa PCC7806. Mar. Drugs 2015, 13, 5666–5680. [Google Scholar] [CrossRef] [PubMed] [Green Version]
- Nagata, Y.; Endo, R.; Ito, M.; Ohtsubo, Y.; Tsuda, M. Aerobic degradation of lindane (γ-hexachlorocyclohexane) in bacteria and its biochemical and molecular basis. Appl. Microbiol. Biotechnol. 2007, 76, 741–752. [Google Scholar] [CrossRef] [PubMed]
- Cuozzo, S.A.; Sineli, P.E.; Davila Costa, J.; Tortella, G. Streptomyces sp. is a powerful biotechnological tool for the biodegradation of HCH isomers: Biochemical and molecular basis. Crit. Rev. Biotechnol. 2018, 38, 719–728. [Google Scholar] [CrossRef] [PubMed]
- Rippka, R.; Deruelles, J.; Waterbury, J.B.; Herdman, M.; Stanier, R.Y. Generic Assignments, Strain Histories and Properties of Pure Cultures of Cyanobacteria. Microbiology 1979, 111, 1–61. [Google Scholar] [CrossRef] [Green Version]
- UniPro. Available online: http://www.uniprot.org (accessed on 2 September 2021).
- CyanoBase: Similarity Search. Available online: http://genome.microbedb.jp/blast/blast_search/cyanobase/genes (accessed on 2 September 2021).
- EMBOSS Needle. Available online: https://www.ebi.ac.uk/Tools/psa/emboss_needle/ (accessed on 2 September 2021).
- Rost, B. Twilight zone of protein sequence alignments. Protein Eng. 1999, 12, 85–94. [Google Scholar] [CrossRef] [PubMed]
- Dereeper, A.; Guignon, V.; Blanc, G.; Audic, S.; Buffet, S.; Chevenet, F.; Dufayard, J.-F.; Guindon, S.; Lefort, V.; Lescot, M.; et al. Phylogeny.fr: Robust phylogenetic analysis for the non-specialist. Nucleic Acids Res. 2008, 36, W465–W469. [Google Scholar] [CrossRef] [PubMed]
- Phylogeny.fr. Available online: https://www.phylogeny.fr/ (accessed on 2 September 2021).
- NIH BLASTp suite. Available online: https://blast.ncbi.nlm.nih.gov/Blast.cgi?PAGE=Proteins (accessed on 2 September 2021).
- Edgar, R.C. MUSCLE: Multiple sequence alignment with high accuracy and high throughput. Nucleic Acids Res. 2004, 32, 1792–1797. [Google Scholar] [CrossRef] [PubMed] [Green Version]
- Castresana, J. Selection of Conserved Blocks from Multiple Alignments for Their Use in Phylogenetic Analysis. Mol. Biol. Evol. 2000, 17, 540–552. [Google Scholar] [CrossRef] [PubMed] [Green Version]
- Guindon, S.; Gascuel, O. A Simple, Fast, and Accurate Algorithm to Estimate Large Phylogenies by Maximum Likelihood. Syst. Biol. 2003, 52, 696–704. [Google Scholar] [CrossRef] [PubMed] [Green Version]
- Livak, K.J.; Schmittgen, T.D. Analysis of relative gene expression data using real-time quantitative PCR and the 2−ΔΔCT Method. Methods 2001, 25, 402–408. [Google Scholar] [CrossRef] [PubMed]
- Kaneko, T.; Nakajima, N.; Okamoto, S.; Suzuki, I.; Tanabe, Y.; Tamaoki, M.; Nakamura, Y.; Kasai, F.; Watanabe, A.; Kawashima, K.; et al. Complete Genomic Structure of the Bloom-forming Toxic Cyanobacterium Microcystis aeruginosa NIES-843. DNA Res. 2007, 14, 247–256. [Google Scholar] [CrossRef] [PubMed]
- Suar, M.; van der Meer, J.R.; Lawlor, K.; Holliger, C.; Lal, R. Dynamics of Multiple lin Gene Expression in Sphingomonas paucimobilis B90A in Response to Different Hexachlorocyclohexane Isomers. Appl. Environ. Microbiol. 2004, 70, 6650–6656. [Google Scholar] [CrossRef] [PubMed] [Green Version]
- Latifi, A.; Ruiz, M.; Jeanjean, R.; Zhang, C.-C. PrxQ-A, a member of the peroxiredoxin Q family, plays a major role in defense against oxidative stress in the cyanobacterium Anabaena sp. strain PCC7120. Free Radic. Biol. Med. 2007, 42, 424–431. [Google Scholar] [CrossRef] [PubMed]


| Sphingobium japonicum UT26S | Microcystis aeruginosa NIES-843 | Pairwise Alignment | |||||
|---|---|---|---|---|---|---|---|
| Gene | Anotation | Gene | Anotation | Identity | Similarity | Gaps | Score | 
| linA | Gamma-hexachlorocyclohexane dehydrochlorinase | - | - | - | - | - | - | 
| linB | Haloalkane dehalogenase | MAE_40040 | putative hydrolase | 26.2% | 41.2% | 17.2% | 171.0 | 
| linC | 2,5-dichloro-2,5-cyclohexadiene-1,4-diol dehydrogenase | MAE_33900 | 3-oxoacyl-[acyl-carrier protein] reductase | 34.4% | 50.0% | 7.6% | 346.0 | 
| linD | 2,5-dichlorohydroquinone reductive dechlorinase | - | - | - | - | - | - | 
| linE | Chlorohydroquinone/hydroquinone 1,2-dioxygenase | - | - | - | - | - | - | 
| linR | HTH-type transcriptional regulator LinR | MAE_62070 | transcriptional regulator | 15.2% | 27.8% | 46.2% | 71.0 | 
| Publisher’s Note: MDPI stays neutral with regard to jurisdictional claims in published maps and institutional affiliations. | 
© 2022 by the authors. Licensee MDPI, Basel, Switzerland. This article is an open access article distributed under the terms and conditions of the Creative Commons Attribution (CC BY) license (https://creativecommons.org/licenses/by/4.0/).
Share and Cite
Sarasa-Buisán, C.; Guío, J.; Castro, C.; Bes, M.T.; Fillat, M.F.; Peleato, M.L.; Sevilla, E. Contributions on Lindane Degradation by Microcystis aeruginosa PCC 7806. Water 2022, 14, 1219. https://doi.org/10.3390/w14081219
Sarasa-Buisán C, Guío J, Castro C, Bes MT, Fillat MF, Peleato ML, Sevilla E. Contributions on Lindane Degradation by Microcystis aeruginosa PCC 7806. Water. 2022; 14(8):1219. https://doi.org/10.3390/w14081219
Chicago/Turabian StyleSarasa-Buisán, Cristina, Jorge Guío, Carolina Castro, María Teresa Bes, María F. Fillat, María Luisa Peleato, and Emma Sevilla. 2022. "Contributions on Lindane Degradation by Microcystis aeruginosa PCC 7806" Water 14, no. 8: 1219. https://doi.org/10.3390/w14081219
APA StyleSarasa-Buisán, C., Guío, J., Castro, C., Bes, M. T., Fillat, M. F., Peleato, M. L., & Sevilla, E. (2022). Contributions on Lindane Degradation by Microcystis aeruginosa PCC 7806. Water, 14(8), 1219. https://doi.org/10.3390/w14081219
 
         
                                                


 
       