Abstract
The beta diversity among lakes is affected by natural environmental sorting, dispersal constraints, and anthropogenic disturbances. We hypothesized that fish beta diversity would increase towards lower latitudes and be higher in less disturbed lakes at within-region scale, but environmental disturbances could affect these patterns due to community homogenization or heterogenization (e.g., gain of exotic species) among lakes. We used generalized dissimilarity modeling to assess the relative importance of geographic distance, climate, and environmental heterogeneity on fish beta diversity across Denmark, Belgium/The Netherlands, and Spain. We also tested whether differences in beta diversity changed between lake types (e.g., clear vs. turbid lakes and lakes with vs. without exotics fish) within-region and across latitude. Beta diversity increased from Denmark to Spain and geographic distance and climate variability were the main drivers of community change across latitude, but the rate of change varied between lake types. At the within-region scale, factors such as turbidity, lake size, and presence of exotics had varying impacts on beta diversity (i.e., increasing, decreasing, or no effect) across the three regions. Our findings suggest that understanding the effects of environmental disturbances on beta diversity requires consideration of both biogeographic and local factors.
1. Introduction
Latitudinal diversity gradients are some of the most noticeable biogeographic patterns on Earth [1], but how and why these patterns exist are still debated [2,3,4,5]. It is recognized that species diversity generally peaks at lower latitudes and declines towards the poles. This pattern is confirmed for both aquatic and terrestrial organisms [2], for both present and extinct taxa [6,7], for ectotherms and endotherms, and for taxa differing in trophic level, mode of dispersal, and body size [3,5]. However, anthropogenic processes such as habitat destruction and introduction of exotic species may affect these patterns [8,9].
As for alpha and gamma diversity, beta diversity has been predicted to decrease with increasing latitude, and extensive efforts have been made to gain insight into the factors driving these patterns [10,11,12,13]. Beta diversity can provide insights into the processes organizing ecological communities along environmental and spatial gradients, since it captures shifts in species composition at both local and regional scales [12]. Furthermore, the understanding of patterns of beta diversity and the underlying drivers is a central issue in ecology, not least given its importance for the conservation of biodiversity and ecosystem management [14,15,16,17].
Variation in community structure along latitudinal gradients has been explained by variation in species’ range size [18] and dispersal ability [19], ecological drift, speciation, and environmental filtering (i.e., species sorting or selection) [10,20]. For both rivers and lakes, it has been shown that spatial patterns in fish communities in Europe are determined by environmental filtering and by dispersal constraints (e.g., vagility) related to historical processes such as isolation by mountain ranges, connectivity among river systems, and glacial history [21,22,23]. Previous changes in climate in the Quaternary period played a major role in shaping the present-day global patterns of spatial turnover and nestedness in the fish beta diversity [13]. However, information of how anthropogenically driven forces (i.e., habitat destruction, eutrophication, loss of lake connectivity, and introduction of exotic species) affect spatial patterns of fish beta diversity in lakes along latitudinal gradients remains scarce.
At local scales, environmental filters such as eutrophication, turbidity, lake morphometry and connectivity, and species introductions may drive compositional and diversity patterns in fish communities [9,24,25,26,27,28,29]. Eutrophication, in interaction with climatic warming, is a conspicuous driver of change in freshwater fish community structure, due to quantitative and qualitative changes in food availability, changed predation pressure by piscivores, and excessive algal growth and consequent habitat deterioration [30,31,32]. Aquatic plants exert multiple effects on lake ecosystem structure and functioning by affecting water’s physical (e.g., turbidity) and chemical properties and, mediated by these changes in water quality, alter fish communities [33]. Aquatic plants can affect the interaction among fish species by offering physical refuges [34] and providing spawning habitats and shelter against predation for juvenile fish [35], and submerged plants also affect fish species turnover by creating heterogeneous habitats and producing multiple environmental gradients [33,36]. Moreover, high abundance of submerged macrophytes is generally associated with high water transparency [37] and high biodiversity in temperate shallow lakes [36], whereas the reversed pattern is observed in eutrophic lakes [38,39]. The environmental heterogeneity associated with lake morphometry (e.g., lake surface area and depth) may also influence fish assemblage structure and species diversity patterns, since deeper and larger lakes generally hold more available niches, while small sized lakes are more susceptible to stochastic fish kills [40]. Moreover, presence of exotic fish species may decrease fish alpha and beta diversity, create biotic homogenization of fish communities, and reduce ecosystem multifunctionality [41,42]. However, the introduction of exotic species can also increase alpha and beta diversity, and the impact of exotic species will depend on local abiotic conditions, dispersal constraints, history, and connectivity among habitats [8].
In this paper, we analyzed the variation in fish community among lakes in Western Europe along a latitudinal gradient from Scandinavia to the Mediterranean. We used data from 63 shallow lakes sampled according to a standardized protocol in three regions, a northern region (Denmark), a mid-latitude region (The Netherlands and Belgium), and a southern region (southern Spain) following a common sampling protocol. We tested the hypothesis that fish beta diversity increases towards lower latitudes, but that this biogeographic pattern becomes less pronounced with increasing environmental disturbance (i.e., increasing turbidity, nutrient enrichment, and presence of exotic species). In less disturbed shallow lakes, a strong turnover (i.e., species replacement) is expected across the latitudinal gradient due to better overall ecosystem integrity and preservation of the environment. However, large-scale human chronic disturbances, such as increasing water turbidity, eutrophication, and introduction of exotic species, have the potential to affect this pattern by either increasing or decreasing species turnover across latitudes, driven by loss of shared species or gain of exotic species among lakes. In addition, we investigate whether environmental disturbances lead to a reduction in beta diversity (homogenization of communities) within regions (i.e., Denmark, Belgium/The Netherlands and southern Spain), regardless of their geographic location.
2. Materials and Methods
2.1. Study Sites, Environmental Variables, and Fish Sampling
We used data from 63 small-sized shallow lakes with a mean depth <3 m and a maximum depth of 5 m sampled in 2000 and 2001 following a standardized protocol. The lakes were located in three European regions at different latitudes: Denmark (Lat: 56.2° N, Long: 9.5° E; n = 29 lakes), Belgium/The Netherlands (Lat: 50.5° N, Long: 4.4° E/Lat: 52.1° N, Long: 5.2° E; n = 26 lakes), and southern Spain (Lat: 40.4° N, Long: 3.7° W; n = 8 lakes). The Spanish lakes were all situated in the southern part of the country, mainly in Andalusia (Figure 1), and the number of Spanish lakes included was lower than for the other regions as many of the lakes comprised by the original program were fishless or not sampled for fish. The physical, chemical, and biological variables used for this paper were extracted from an existing database generated within the framework of the EU project BIOMAN [36,43]. A description of the methods of sampling and analyses of these lake variables can be found in Declerck et al. [36]. The climate variables used were averages for 1970–2000 and were obtained from WorldClim [44] (Table S1). The climate in the three different regions differed, with annual mean temperature ranging from 7.8 °C in Denmark over 10.3 °C in Belgium/The Netherlands to 15.2 °C in southern Spain, and total annual precipitation ranged from 780 mm in Belgium/The Netherlands to 503 mm in southern Spain, with Denmark in between (702 mm) [44].
Figure 1.
The study included 63 comparable shallow lakes: 29 Denmark, 26 Belgium/The Netherlands, and 8 in Spain (SP). The Spanish lakes were all situated in the southern part of the country (Andalusia and south of Castilla–La Mancha). The temperatures are annual means for 1970–2000 and were obtained from WorldClim [44].
Monofilament nylon gillnets were used to capture fish in both the littoral and pelagic zones of the lakes. Each net was 1.5 m deep and 42 m long and consisted of 14 units of 3 m length with different mesh sizes (6.25, 8, 16.5, 75, 38, 25, 12.5, 33, 50, 22, 43, 30, 60, 10 mm) placed in random order. In each zone of the lake, littoral sinking nets were set parallel to the shore, approximately 5 m outside the reed belt or at 1–1.5 m depth, whereas pelagic sinking nets were set parallel to the shore in the middle of the lakes. The nets were set late in the afternoon and retrieved the following morning. The total number of nets used per lake varied according to lake size. For instance, in lakes with an area smaller than 2 ha, two nets were used, whereas in lakes with an area larger than 100 ha, maximum eight nets were used.
The sampling was conducted when the fish were most evenly distributed in the lakes and when young-of-the year fish were large enough to be caught in the gill nets, i.e., between 15 August and 15 September in Denmark, between 15 August and 1 October in Belgium/The Netherlands, and between 1 July and 1 September in Spain. Catch per unit effort (CPUE, catch per net per night) of fish was calculated as the total number of individuals per net. As the number of species and their fish CPUE did not differ between pelagic and littoral regions, we merged the data from the two regions into a single species matrix.
2.2. Categorization of Lakes
The lakes were not selected randomly but along mutually independent gradients of three potentially important key variables (the ‘gradient variables’): turbidity, total phosphorus (TP), and lake surface area. We sought to create independent gradients for these variables to reduce effects of co-linearity in our analyses [36] (for more details about the gradients, see Tables S2 and S3). Firstly, to know whether the environmental gradient variables differed among regions, we used a Kruskal–Wallis test (Figure S1). A Dunn’s test of multiple comparisons using ranking sums was also used to compare the medians between regions of each environmental gradient variable [45]. We used the Benjamini–Hochberg adjustment [46] to control the false discovery rate and adjust the p-values for multiple comparisons. We used the dunn.test R package to perform the Kruskal–Wallis and Dunn’s tests [47]. Finally, to test if the environmental gradients were independent from each other, a Pearson correlation test was performed between gradient variables in each of the three geographic regions (Table S2).
Only meso- to eutrophic lakes were sampled (Tables S2 and S3). For this paper, the lakes were distributed over five factorial categories: water turbidity (> or <20% of the lake surface area covered by macrophytes—proxy for clear and turbid lakes, respectively), total phosphorus (<100 µg P l-l and ≥100 µg P l-l), lake surface area (<5 ha and ≥5 ha), lake connectivity (connected and isolated) (see Declerck et al. [36]), and presence and absence of exotic fish species (+/− exotics) (Tables S4 and S5). We carried out our analysis contrasting lakes with and without exotic fish using both the complete dataset (including exotic fish) and with a dataset without exotic fish to assess whether the pattern is due to the inclusion of exotic fish themselves. In our study, exotic refers to fish species that are not native to Europe or not native to the focal regions of the study (Spain, Belgium/The Netherlands, and Denmark).
2.3. Measures of Beta Diversity
Total beta diversity was estimated as the average compositional dissimilarity (multivariate dispersion; [17]) within each region to the centroid formed by all lakes in that region (DK = Denmark, BNL = Belgium and The Netherlands, SP = Spain). The multivariate dispersion was computed using three different dissimilarity matrices: Bray–Curtis (βbray), Sørensen (βsør), and Simpson (βsim). The Bray–Curtis coefficient was calculated from log (x + 1) transformed data on fish CPUE based on numbers to emphasize abundant species (dominant). The Sørensen coefficient was used for the presence-absence data to give equal weight to rare and abundant species, whereas the Simpson coefficient was used as a measure of the turnover (the replacement component of beta diversity—βsim) within and among regions [48]. Turnover (βsim) here means the change in species composition (i.e., species replacement) along the pre-defined gradients selected in our study.
2.4. Measures of Environmental Heterogeneity
The environmental heterogeneity components (EHlim, EHphy, EHres, and EHclim) were computed as Euclidean dissimilarity matrices by applying the method proposed by Anderson et al. [49] and were calculated from standardized environmental data from 39 limnological, biological, and climatic variables. We used five subsets of environmental heterogeneity (EH) components to explore the multifaceted nature of our datasets (Table S1). The first subset included geographic distance among all lakes (GD). The second component of heterogeneity (EHlim) was based on water quality characteristics (water temperature, conductivity, pH, Secchi, total suspended matter, inorganic fraction of suspended matter, total nitrogen, total phosphorus, silicate, and orthophosphate). The third component of heterogeneity (EHphy) included lake physical variables (lake surface area and mean depth). The fourth component of environmental heterogeneity (EHres) was based on lake biological resources (chlorophyll a, the biomasses of cyanobacteria, cryptophytes, chlorococcales, and phytoplankton (<20 μm, 20–40 μm, and >40 μm), total phytoplankton, mixotrophic species, rotifers, cladocerans, cyclopoids, calanoids, oligotrichs, grazable and total ciliates, densities of bacterial and heterotrophic nanoflagelates, % coverage of submerged, floating, and emergent macrophytes, and % infestation of submerged macrophytes (PVI)). The fifth component of heterogeneity (EHclim) included climatic variables (annual mean temperature, temperature seasonality, annual precipitation, and precipitation seasonality).
2.5. Statistical Analysis
2.5.1. Categorization of Data
We used both categorical and continuous statistical approaches to test our hypotheses. First, we assessed the influence of five dichotomous categorical environmental variables on total fish beta diversity (βbray and βsør) and species turnover (βsim) in order to separate their effects from the latitudinal gradient effect. Secondly, we tested whether the within-region variability in fish community structure differed between environmental factors (i.e., clear vs. turbid lakes, high vs. low TP, small vs. large lakes, connected vs. isolated lakes, presence vs. absence of exotic fish). Finally, we decomposed continuous environmental variables into four components of environmental heterogeneity (EHlim = limnological, EHphy = physical, EHres = biological resources, and EHclim = climate) and a component of geographical distance (GD) to assess whether the contribution of environmental heterogeneity to explaining variations in total fish beta diversity and species turnover would change across latitude between each of the five factorial environmental categories.
2.5.2. W*d-Test and Multivariate Dispersion
To assess the effects environmental factors (i.e., water turbidity, total phosphorus, lake area, lake connectivity, and lakes with and without exotic fish) on total fish beta diversity and turnover, we used both the W*d-test and the permutation test for homogeneity of multivariate dispersion (PERMDISP). To attribute lake group differences to location (location of the sample groups) and/or dispersion (spread of the sample groups), we combined W*d-test and PERMDISP analyses. Significant differences in beta diversity between groups of environmental factors (e.g., DK clear x DK turbid lakes) can be either caused by different mean values of the groups (location) or by different within-group variation in communities (dispersion) [50]. To disentangle this in our data, we used a W*d-test (a robust distance test-based on Welch’s multivariate analysis of variance) to test for differences in fish community composition between the location of the sample groups [51]. The W*d-test has proven to be sensitive for unbalanced designs and when only the differences between location of sample groups are important [51], such as in our study. The W*d-test was performed with 9999 permutations to compare the differences in total beta diversity (βbray and βsør) and turnover (βsim) between each group of dichotomous environmental variables (i.e., turbid vs. clear, high vs. low nutrient, large vs. small, connected vs. isolated and lakes with vs. without exotic fish) within each region of our study and between the geographic regions (i.e., DK = Denmark, BNL = Belgium/The Netherlands, SP = Spain). The W*d-test was performed using an R language implementation of the method available in Hamidi et al. [51]. Pairwise comparisons using the function Tw2.posthoc.tests available in Hamidi et al. [51] were performed to compare the total mean beta diversity and turnover values among all the groups for each dichotomous environmental variable.
We ran a permutation test for homogeneity of multivariate dispersion (PERMDISP) between all dichotomous environmental variables (aforementioned) within each region (DK, BNL, SP) to assess the effect of dispersion on fish beta diversity components (βbray, βsør and βsim). To test if the spread of the sample groups (dispersions) between environmental factors within region differed (e.g., DK clear × DK turbid lakes), the distances of group members to the group centroid were subject to ANOVA analysis [49,52]. Higher dispersions among lakes and their group centroids denote that fish communities are more heterogeneous while lower dispersions denote that communities are more homogeneous. A Principal Coordinate Analyses (PCoA) was used to examine both the effects of location (tested with W*d-test) and dispersion (tested with PERMDISP in combination with ANOVA) on variation of fish community structure. The PERMDISP, ANOVA, and PCoA were undertaken using the R-package vegan [53]. For the total phosphorus factor (high vs. low nutrient), only Danish and Belgian/Dutch regions were applied in the W*d-test, PERMDISP and ANOVA analyses, as only few of the lakes in Spain had high total phosphorus concentration.
2.5.3. Generalized Dissimilarity Modelling (GDM)
To identify the relative importance of the geographic distance (i.e., GD) and environmental heterogeneity components (EHlim, EHphy, EHres, and EHclim) in driving changes in total fish beta diversity (βbray and βsør) and turnover (βsim) across latitudes, we applied generalized dissimilarity modeling (GDM), a nonlinear statistical approach, using the R-package gdm [54]. Studies often assume that species replacement rate is constant along spatial and environmental gradients and generally use linear statistical approaches (e.g., linear regressions, redundancy analysis, partial redundancy analyses). However, linear statistical approaches cannot accommodate curvilinear relationships between biological and environmental variables, which prevent more realist interpretations of the data [55]. The response matrix in the main GDM was composed of all indices of fish beta diversity (βbray, βsør and βsim), whereas the predictors were (1) dissimilarity in environmental variables (EHlim, EHphy, EHres, and EHclim) and (2) geographic distances between sites (pairwise distances). To assess the magnitude of changes in fish beta diversity and species turnover and the relative importance of each component of heterogeneity in explaining these changes, we used the default basis function of three I-splines per predictor. We summed the coefficients of the I-splines corresponding to the maximum height obtained by the curve. The maximum height of each spline indicates the magnitude of total biological change along that gradient and thus the relative importance of that predictor’s contribution to the biological turnover, while keeping all other environmental heterogeneity components constant (i.e., partial ecological distance) [54,56]. We tested the significance of environmental heterogeneity components by performing Monte Carlo analyses with 100 permutations and retained only significant variables in the results [54,56].
Graphics used to interpret GDM, W*d-test, ANOVA, and PERMDISP results were made with the R-package ggplot2 [57]. All analyses were performed in the software R version 4.2.2 [58].
3. Results
3.1. Environmental Gradients
The lake selection protocol adopted in our study avoided biases between geographic regions regarding the environmental gradients chosen, as indicated by the Kruskal–Wallis and Dunn’s test analyses (Figure S1; Table S3). However, median values for total phosphorus were lower in southern Spain than in Belgium/The Netherlands and Denmark (Figure S1; Table S3), while the differences were not significant between Denmark and Belgium/The Netherlands (Figure S1). This pattern is explained by the absence of data for high-nutrient Spanish lakes that were rare in the area. The degree to which lakes were covered by submerged water plants was highly comparable between regions, and lake-size median and range had the same magnitude (Table S3).
The correlation analyses showed that the environmental gradients variables (i.e., submerged macrophyte coverage, total phosphorus, and lake size) were independent from each other, irrespective of the region selected (Tables S2 and S3).
3.2. Fish Communities
A total of 31 fish species were captured in the 63 lakes, and of these, 11 were non-native. Among the exotic species, two species have been introduced to a given region from elsewhere Europe (Leucaspius delineatus in Belgium/The Netherlands and Scardinius sp. in Spain), two are from both Central Europe and Asia (Sander lucioperca and Carassius gibelio), three from Asia (Cyprinus carpio, Pseudorasboa parva, and Carassius auratus), and four from North America (Ameiurus nebulosus, Umbra pygmaea, Lepomis gibbosus, and Micropterus salmoides) (Table S6). The frequency distribution graphs revealed that the composition of the most common species did not change between Danish and Belgium/Dutch lakes (i.e., many species are shared between Denmark and Belgium/The Netherlands), while there was a low overlap in species distribution between Spain and the other two regions (i.e., few species shared) (Figure 2).
Figure 2.
Relative frequency (%) of lakes occupied by each of the 31 fish species found in the 63 lakes sampled along a latitudinal gradient from northern Europe to southern Spain (DK = Denmark, BNL = Belgium, and The Netherlands, SP = Spain). Species names in bold red denote exotic species, and asterisks indicate species native in Europe but not in the region where it was captured (see Table S3 for more details).
In the Danish lakes, thirteen fish species were caught, of which only one was exotic (S. lucioperca). Three fish species only occurred in the Danish lakes (Alburnus alburnus, Coregonus lavaretus and Osmerus eperlanus). The average number of species caught per lake was 4.8 ± 1.8 and those most frequently caught were Rutilus rutilus and Perca fluviatilis, occurring in approximately 90% of the Danish lakes (Figure 2).
In the Belgian/Dutch lakes, a total of twenty species were caught, of which eight were exotics (A. nebulosus, C. gibelio, C. carpio, U. pygmaea, L. gibbosus, L. delineatus, P. parva, and S. lucioperca). Eight species were exclusive for Belgian/Dutch lakes (A. nebulosus, Blicca bjoerkna, C. gibelio, U. pygmae, L. delineatus, Leuciscus idus, P. parva, and Rhodeus sericeus amarus) and five of these were exotics. The average number of species caught per lake was 5.7 ± 2.2 and the species most frequently captured were R. rutilus, P. fluviatilis, and Scardinius erythrophthalmus, which were found in approximately 70% of the Belgian/Dutch lakes (Figure 2).
In Spain, ten fish species were found in the eight lakes sampled, of which half were exotics (C. carpio, M. salmoides, C. auratus, and Scardinius sp.). The average number of species caught per lake was 1.8 ± 1.3, the most frequent being Scardinius sp., Micropterus salmoides, C. carpio, and Phoxinellus hispanicus (Figure 2; Table S6). Among the ten species, four are considered small-range endemics (Barbus sp., P. hispanicus, Atherina sp., and Aphanis ibericus), with known distributions not exceeding 10,000 km2 [59], and 80% of the species captured were exclusive for Spanish lakes in this study (Barbus sp., Micropterus salmoides, Phoxinellus hipanicus, Leuciscus sp., Atherina sp., Aphanius iberus, Carrassius auratus, and Scardinius sp.), and of these, three were exotics (Figure 2; Table S6).
3.3. Location Effects on Beta Diversity Components
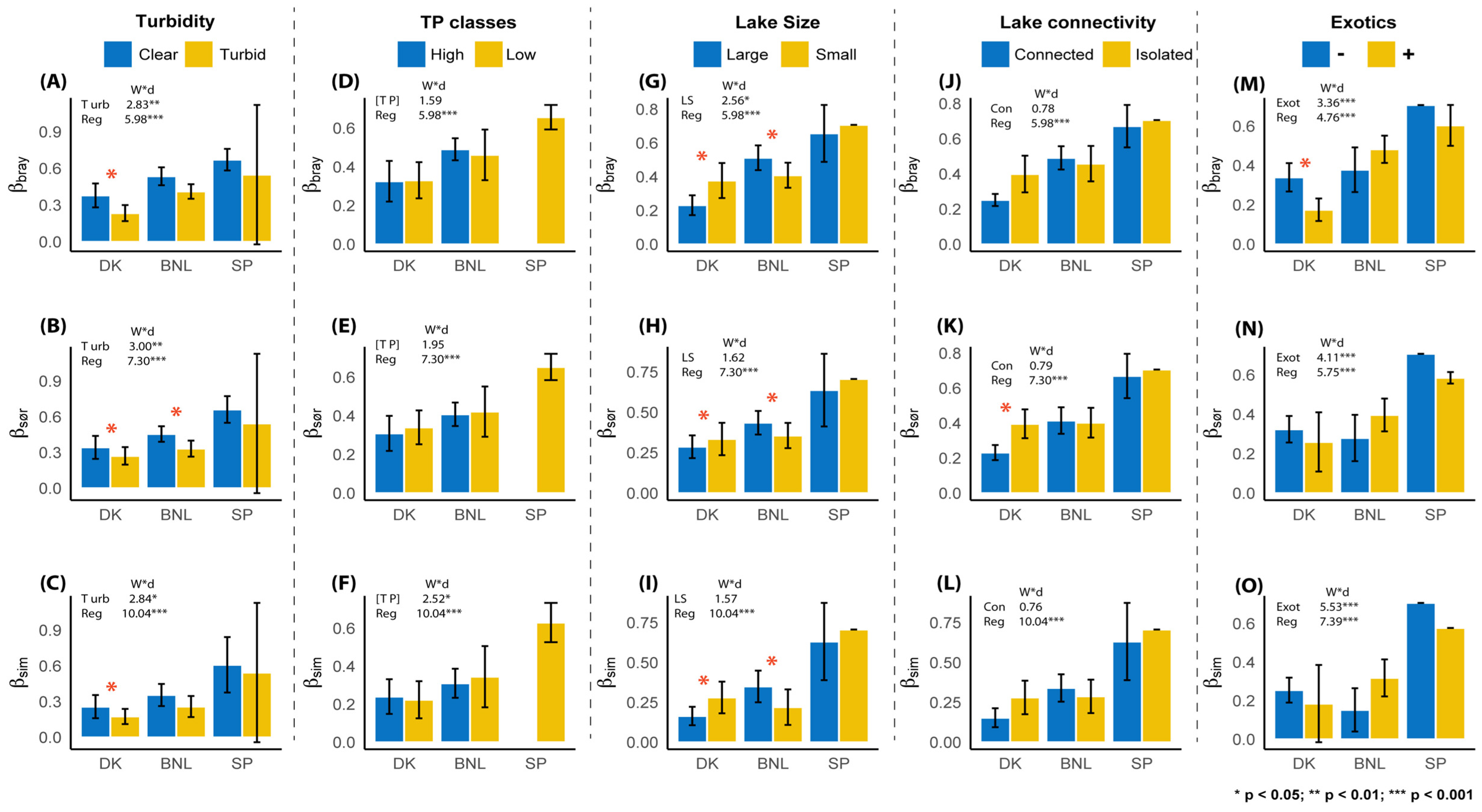
The results of the W*d-test showed that total beta diversity (βbray and βsør) and the turnover component of beta diversity (βsim) decreased from southern Spain towards Denmark in all the selected environmental gradients, with all beta diversity components generally lower in turbid than in clear lakes (Figure 3A–O; Figure S2). Increasing turbidity decreased beta diversity and turnover in Denmark, whereas in Belgium/The Netherlands and Spain, the beta diversity components were generally not affected by turbidity, except for βsør in the Belgian/Dutch lakes (Figure 3A–C). Total phosphorus, in contrast, did not affect βbray, βsør, and βsim (Figure 3D–F,J–L). In Belgium/The Netherlands, βbray, βsør, and βsim were lower in small lakes, whereas an opposite pattern was observed for Denmark, and no difference was observed for Spain (Figure 3G–I). Lake connectivity decreased βsør in Danish lakes, whereas no effect was observed in Belgium/The Netherlands and Spain. In Denmark, the presence of exotic fish decreased total beta diversity when abundant species were considered (βbray), whereas no effect was observed for Spanish and Belgian/Dutch lakes (Figure 3M–O). However, in Belgian/Dutch lakes with exotic fish, total beta diversity and turnover (βbray, βsør and βsim) were higher when exotic species were not omitted from the data, whereas an opposite pattern was observed for Danish lakes (except for βsim) (Figure S3).
Figure 3.
Results of W*d-test to elucidate the effect of region (Reg), turbidity (clear vs. turbid), total phosphorus (high vs. low), lake size (small vs. large), lake connectivity (connected vs. isolated), and presence of exotic fish species (+ vs. − exotics) on fish beta diversity (βbray and βsør) and turnover (βsim). A pairwise comparison among all the groups for each dichotomous environmental variable was also performed. Average distances to centroids were used to estimate fish β-diversity along a latitudinal gradient from northern Europe to southern Spain (DK = Denmark, BNL = Belgium and The Netherlands, SP = Spain). Total beta diversity (βbray and βsør) and turnover (βsim) were calculated for clear and turbid (> or <20% of the lake surface area covered by macrophytes) (A–C), low and high nutrient-enriched (> or <100 µg l-1 TP) (D–F), large and small lakes (lake surface > or <5 ha) (G–I), for connected and isolated lakes (J–L), and for lakes with presence (+) and absence (−) of exotic fish species (M–O). The error bars denote the confidence intervals and the red asterisks above the bars show that beta diversity (βbray, βsør, and βsim) is different between the dichotomous environmental variables within the corresponding group region.
3.4. Dispersion Effects on Fish Beta Diversity Components
The PERMDISP in combination with ANOVA showed that the fish communities were more homogeneous (less dispersed) in turbid than in clear lakes in Denmark (only for βbray) and Belgium/The Netherlands (βbray and βsør), while in Spain no difference was observed (Figure 4A–C; Table S7). Fish community variability (i.e., spread of the sample groups) was similar between lakes with low and high total phosphorus levels in Denmark and Belgium/The Netherlands (Figure 4D–F; Table S7). In Denmark, the fish communities were more homogeneous (βbray and βsim) in large than in small lakes, whereas in Belgium/The Netherlands, a reverse pattern was found but only when abundant species were considered (βbray) (Figure 4G–I). No effect of lake size was observed for the Spanish lakes (Figure 4C,H,M). In Denmark, the fish communities were more homogeneous (βbray, βsør and βsim) in connected than isolated lakes (Figure 4J–L), whereas no effect was observed for Belgian/Dutch and Spanish lakes. Fish community heterogenization (i.e., high spread of the sample groups) appeared for βsør and βsim in lakes with exotic fish species in Belgium/The Netherlands (βsør) and Spain (βsim), whereas no effects were detected in Denmark (Figure 4M–O; Table S7). However, when exotic species were not omitted from the data, fish community heterogenization was observed for all beta diversity components (βbray, βsør and βsim) in the Belgian/Dutch lakes with exotic fish species (Figure S4). In Denmark, in contrast, when abundant species were taken into account, fish community homogenization (i.e., low spread of βbray values to the centroid) was observed in lakes with exotic species, whereas no effect was observed in Spain (Figure S4).
Figure 4.
Results of principal coordinate and PERMDISP analyses assessing the effects of turbidity, total phosphorus, lake size, lake connectivity, and presence of exotic fish on group dispersion (spread of groups) within each region (DK = Denmark, BNL = Belgium and The Netherlands, SP = Spain). To test if the dispersions between groups within region differed (e.g., DK clear x DK turbid lakes), the distances of group members to the group centroid were subject to ANOVA analysis. The multivariate dispersions were computed using Bray–Curtis, Sørensen, and Simpson dissimilarity indices for clear and turbid (> or <20% of the lake surface area covered by macrophytes) (A–C), low and high nutrient-enriched (> or <100 µg l-1 TP) (D–F), large and small lakes (lake surface > or <5 ha) (G–I), for connected and isolated lakes (J–L), and for lakes with (+) and without (−) exotic fish species (M–O). The asterisks in the F-values refer to the permutation test significance level (* p < 0.05; ** p <0.01; *** p < 0.001; n.s = non-significant).
3.5. Contribution of Environmental Heterogeneity Components to Beta Diversity
The generalized dissimilarity models (GDMs) showed that across latitude, geographic distance (GD) and climate (EHclim) gradients were the most important drivers of change in fish beta diversity components (βbray, βsør, and βsim) (Table 1). The relative importance of GD and EHclim in explaining variation in fish beta diversity was higher for the turbid than for the clear lakes. In lakes with low total phosphorus concentrations, GD and EHclim were the most important variables contributing to changes in total fish beta diversity (βbray and βsør) and turnover (βsim), but for lakes with high total phosphorus concentrations none of the environmental gradients affected the beta diversity components (between Denmark and Belgium/The Netherlands). For large and small lakes, connected and isolated lakes, and lakes with presence and absence of exotics fish, GD and EHclim were the most important components explaining the variation in fish communities. However, the relative importance of climate for the changes in beta diversity (βbray and βsør) and species turnover (βsim) was higher for small lakes, connected lakes and lakes without exotic fish species, whereas the relative importance of geographic distance in explaining βbray and βsør and βsim was higher for large lakes, isolated lakes, and lakes with exotic fish species (Table 1; Figure 5 and Figure 6). When exotic fish were omitted from the data analyses, the relative importance of climate became more important than geographic distance in lakes with exotics fish (Table 1).
Table 1.
Relative importance of predictor variables (GD = geographic distance, EHlim = limnological variables, EHphy = physical variables, EHres = resource variables, EHclim = climatic variables) for fish beta diversity (βbray and βsør) and fish species turnover (βsim) along a latitudinal gradient from northern Europe to southern Spain by summing the coefficients of the I-splines from the generalized dissimilarity models (GDMs). The analyses were performed per level of each gradient variable across the entire geographic range. Significant predictors are shown in bold. Insignificant predictors are indicated by dashes. Italicized coefficients indicate marginally significant (0.051 < p < 0.08) results of Monte Carlo analyses with 100 permutations. GDM analyses were also performed after removing (AR) exotics fish from the species matrix.
Figure 5.
Generalized dissimilarity model-fitted I-splines (partial regression fits) relating geographic distance to fish beta diversity (Bray–Curtis and Sørensen) and fish species turnover (Simpson) along a latitudinal gradient from northern Europe to southern Spain. Each generalized dissimilarity model was performed for clear and turbid lakes (> or <20% of the lake surface area covered by macrophytes—proxy for clear and turbid lakes, respectively), for low and high nutrient-enriched lakes (> or <100 µg l-1 TP), for small and large lakes (lake surface > or <5 ha), for connected and isolated lakes, and for lakes with (+) and without (−) exotic fish. For units of geographic distance, see Table S1.
Figure 6.
Generalized dissimilarity model-fitted I-splines (partial regression fits) relating environmental heterogeneity variables (EHclim) to fish beta diversity (Bray–Curtis and Sørensen) and fish species turnover (Simpson) along a latitudinal gradient from northern Europe to southern Spain. Each generalized dissimilarity model was run for clear and turbid lakes (> or <20% of the lake surface area covered by macrophytes—proxy for clear and turbid lakes, respectively), for low and high nutrient-enriched lakes (> or <100 µg l-1 TP), for small and large lakes (lake surface > or <5 ha), for connected and isolated lakes and for lakes with (+) and without (−) exotic fish. For units of EHclim, see Table S1.
4. Discussion
Our results showed that fish beta diversity (βbray, βsør, and βsim) increased from Denmark towards southern Spain and the geographic distance and climate variability (EHclim) were the main drivers of change on fish community structure across latitude (Figure S2; Figure 3A–O; Figure 4 and Figure 5). Contrary to our expectations, the rate of change in fish communities with geographic distance (across latitude) was higher in lakes with high turbidity, isolated, and with presence of exotics than their opposing dichotomous environmental factors (Table 1; Figure 5 and Figure 6). At within-region scale, turbidity homogenized fish communities in Danish (βbray) and Belgian/Dutch lakes (βbray and βsør) (Figure 3A–C), whereas nutrient enrichment had no effect on fish communities within any of the regions of our study (Figure 3D–F). The increase in lake size drove homogenization of Danish fish communities (βbray and βsim) and the heterogenization of Dutch/Belgian fish communities (βbray) (Figure 3G–I). Lake connectivity, on the other hand, homogenized only Danish fish communities (βbray, βsør and βsim) (Figure 3 and Figure 4J–L). The presence of exotic fish heterogenized fish communities in Spain and in Belgium/The Netherlands (βsim), whereas it caused no effect on Danish lakes. However, when exotic fish were included in the analyses, no effect was detected in Spain, while it homogenized Danish (βbray) and heterogenized Belgian/Dutch fish communities (βbray, βsør, and βsim) (Figure 3M–O; Figure S4).
The increase in fish beta diversity with decreasing latitude agrees with the beta diversity patterns reported for terrestrial, freshwater, and marine ecosystems [10,12,18,19,60]. In Europe, northern glaciated history and southern regions’ isolation and/or role as a major glacial refugium (unglaciated, with dampened climatic oscillations), favoring the origination and survival of locally endemic species in the south generally explain the high dissimilarity between northern and southern European fish faunas [61,62,63]. In our study, however, the decreasing fish beta diversity towards higher latitudes is mostly explained by the differences observed between local and regional fish diversities within regions. For instance, in Spanish lakes, the mean local richness reported was 2.1 ± 1.4 and the regional diversity was 10, whereas in Danish lakes, the mean local richness was 4.3 ± 1.8 and regional diversity was 13 (Table S6). Furthermore, 80% of the species captured in the Spanish lakes were exclusive for the region; of these, 40% are considered small-range endemics, but the presence of some exotic fish species only in Spain also contributed importantly to the differences observed in total fish beta diversity (βbray and βsør) and species turnover (βsim) across latitude (Figure 2; Table S3). The low local (alpha) diversity in Andalusia and south Castilla-La Mancha may be explained by the high lake-drying frequency due to alternating cycles of dry and humid conditions and prolonged droughts [64,65], leading to increased habitat heterogeneity and dispersal limitation among lakes as in other dryland systems [66]. Drought also alters availability, quality, and connectivity of lake habitats affecting the strength of species interactions, which increase beta diversity and species turnover among geographic regions in freshwater ecosystems [67,68].
Environmental heterogeneity is regarded as one of the governing factors affecting communities’ structure in multiple ecosystems [69,70,71,72,73,74,75,76,77]. Studies have shown that decreased habitat heterogeneity, due to either natural or anthropogenic environmental disturbance, can significantly reduce beta diversity in terrestrial, marine, and freshwater ecosystems [8,71,75,78]. Further, environmental heterogeneity can also increase beta diversity, as different habitats within lakes and among regions may support different species with different adaptations over time [79]. Our results showed that environmental heterogeneity metrics associated with lake abiotic conditions within the regions (EHlim, EHphy and EHres) had either low or no influences on changes in total beta diversity (βbray and βsør) and species turnover (βsim) irrespective of environmental factors considered (i.e., low/high turbidity, low/high total phosphorus, small/large lake size, connected/isolated lakes, and with/without exotic fish species). However, the relative importance of geographic distance (GD) and climate heterogeneity (EHclim) in explaining changes in βbray, βsør, and βsim increased across latitude. These results reinforce that biological differences among localities are rather driven by distance and climatic variability than within-region lake abiotic variability [21,23,80]. Moreover, our study also concurs with Brucet et al. [23], who found that anthropogenic pressures had little or no effect on fish diversity across a latitudinal gradient in Europe, whereas temperature differences (related to lake gradients and morphometry) contributed importantly.
In shallow lakes, a water turbidity increase is generally associated with phytoplankton blooms and loss of macrophyte coverage [38,39], which reduces habitat heterogeneity and accordingly increases the among-lake environmental and fish assemblage similarity [81]. Our results concur with this pattern and revealed that within regions, turbidity homogenized fish communities among lakes in Denmark and Belgium/The Netherlands (Figure 4A–C), highlighting the potential importance of macrophyte coverage in adding habitat heterogeneity to shallow lakes ecosystems. However, no effect of turbidity was detected in Spanish fish communities, which can be explained by the low variability in the percentage of submerged macrophytes coverage among the lakes in Andalusia and south of Castilla-La Mancha region (Figure S1; Table S3), increasing fish community similarity between lakes with low and high turbidity. Area is also an important factor determining environmental heterogeneity in ecosystems [40,82], leading to higher beta diversity in larger lakes as seen for the fish communities in the lakes from Belgium/The Netherlands (Figure 3G–I; Figure 4G–I). However, the opposite pattern was found for the Danish lakes. We can speculate that this is due to more frequent and longer duration of ice-cover in shallow Danish lakes, resulting in more erratic under-ice fish kill. No effect of lake size was detected in Spanish fish communities, likely reflecting the other strong constraints on the fish community mentioned above.
Eutrophication is one of the main causes of biotic homogenization and environmental disruption in multiple ecosystems [81,83,84,85,86,87]. Our results, however, showed that total phosphorus (proxy for productivity increase) had no influence on total fish beta diversity and species turnover within the regions (Figure 3F–H; Figure 4F–H), which may reflect the unbalanced representation of lakes in the defined environmental categories of our study as we in the lake sampling design strived to isolate the effect of water plants and nutrient that is usually inversely correlated in nature, but high-nutrient lakes with water plants and low-nutrient lakes without water plants were difficult to find (for details see Declerck et al. [36]).
Loss of habitat connectivity poses a serious threat to the maintenance of biodiversity and functioning of terrestrial and freshwater ecosystems [88,89]. Lake connectivity favors species dispersion and colonization among lakes, which may increase communities’ similarity over space and time, whereas an opposite pattern is expected among isolated lakes [22,90]. Our results concur with this as we found that the relative importance of geographic distance to explain changes in fish communities was higher in isolated than in connected lakes across the latitudinal gradient (Table 1), though it is not clear why a reversed pattern occurred with climate variability (EHclim). However, at within-region scale, this pattern was observed only for fish communities in Danish lakes (i.e., homogenization of fish communities in connected lakes) (Figure 3; Figure 4J–L). In Spain, the limited connectivity between lakes (i.e., connectivity often occurred only between two lakes) may have reduced the dis-similarity between groups of connected and isolated lakes, whereas the lack of effect of lake connectivity in Belgium/The Netherlands is not clear. The presence of any physical or chemical barriers (e.g., atrazine) among connected lakes could prevent the exchange of fish populations of other species and limit the effect of connectivity on community similarity/dissimilarity [91]. Furthermore, the presence of competing or predatory species (i.e., exotics or endemic predators) in connected lakes may prevent fish from colonizing, which reduces the effect of connectivity on fish community similarity [92].
The introduction of exotic species poses a serious threat to the biodiversity of Earth’s ecosystems [93,94,95], and many studies have already reported species loss and biotic homogenization of communities due to fish species’ introductions in lake ecosystems [96,97,98,99,100,101]. However, studies have also shown an increase in taxonomic diversity or absence of threats to species richness and beta diversity after species introductions [8,101]. Thus, changes in beta diversity can be driven either by additive or subtractive processes [8]. In some lakes, beta diversity may increase when dominant species become extinct or when new species arrive (including via human introductions) without attaining dominance, while beta diversity may decrease when rare species are lost or when formerly rare species become dominant [8]. Our results showed that the presence of exotics in the data analyses increased fish assemblage dissimilarity in the Belgian/Dutch (community heterogenization) both by the presence of exotic fish species and native species permanence (Figure 2; Figure S4A–C). In Denmark, however, when the only exotic species (S. lucioperca) was excluded from the data analyses, the patterns did not change between lakes with and without exotic fish, whereas in Spain, the exclusion of the exotics caused homogenization of the communities (Figure S4). In Belgium/The Netherlands and Denmark, when the exotic fish were removed from the data analyses, the communities became similar between lakes with and without exotic fish (except for βbray in DK), whereas the reverse pattern was observed for Spanish lakes (Figure S4). However, the patterns of homogenization and heterogenization in lakes with exotic fish may have been affected by the snapshot sampling procedure (i.e., a single sampling event) and the limited amount of available data, particularly in the case of Spanish lakes where some lakes were dry during the sampling period. For instance, Moi et al. [102] have shown in long-term studies of hyperdiverse tropical ecosystems that non-native fish can drive homogenization of native species over time at local scale, reducing ecosystem multifunctionality. Long-term studies assessing the impacts of exotic fish species on native species may, therefore, be more elucidative to understand the impacts of non-native species on fish communities and ecosystem functioning [102].
5. Conclusions
Using independent gradients to assess changes in fish communities in European shallow lakes at within-region scale and across a latitudinal range, we have shown that fish beta diversity and species turnover increased from Denmark to southern Spain. The changes in beta diversity components (βbray, βsør and βsim) were greatest in turbid lakes and were principally related to geographic distance and climatic differences across regions. Within regions, increasing turbidity drove the homogenization of the fish communities, and the presence of exotic fish species appeared to be the driver of fish assemblage heterogenization in Belgian/Dutch and Spanish lakes; in Danish lakes, however, an opposite pattern occurred, though it must be emphasized that only one exotic species was detected in the Danish lakes studied. Our findings suggest that across a latitudinal gradient, turbidity, nutrient enrichment, lake size, lake connectivity, and presence of exotic fish did not substantially affect the biogeographic patterns in small-sized European shallow lakes but can increase the rate of changes in fish communities across latitude. However, at within-region scale, these factors may cause either homogenization or heterogenization of fish communities depending on latitude and perhaps the number of exotic species present. Our results reinforce that across latitudes, biogeographic gradients are mostly driven by spatial and climatic variables, whereas at local scale, environmental conditions may disassemble fish communities. Therefore, large-scale human impacts such as those resulting from introduction of exotic species and turbidity may have a considerable influence on the mechanisms of assembly processes in fish communities at local and regional scales across environmental gradients in small-sized European shallow lakes.
Supplementary Materials
The following supporting information can be downloaded at: https://www.mdpi.com/article/10.3390/w15101831/s1, Figure S1: Kruskal–Wallis tests comparing the means among regions for submerged macrophyte coverage (SUBMCOV %), lakes size (AREA), and total phosphorus (TP); Figure S2: Results of W*d-test to assess the effect of geographical region (DK = Denmark, BNL = Belgium and The Netherlands, SP = Spain) on fish beta diversity (βbray and βsør) and turnover (βsim); Figure S3: Results of W*d-test to elucidate the effect of presence of exotic (Exot) fish species (+ vs. − exotics) and region (Reg) on fish beta diversity (βbray and βsør) and turnover (βsim). Figure S4: Results of principal coordinate (PCoA) and PERMDISP analyses assessing the effects of presence of exotic fish on group dispersion (variances) within each region (DK = Denmark, BNL = Belgium and The Netherlands, SP = Spain); Table S1: Environmental variables and environmental heterogeneity components (EH) used as predictors in the general dissimilarity models (GDMs). The climate variables used for EHclim were averages for the years 1970–2000 and were obtained from WorldClim (Fick and Hijmans, 2017); Table S2: Product–moment correlation coefficients ® and associated p values between gradient variables in each of the three regions; Table S3: Summary statistics of gradient variables for each of the studied geographic regions. For the analyses, we used data from 63 shallow lakes sampled from northern Europe to southern Spain (Denmark = 29; Belgium/The Netherlands = 26; Spain = 8); Table S4: Number of lakes in the five dichotomous categories of environmental effects: water turbidity (clear or turbid), total phosphorus (low and high), lake surface area (small and large), connectivity (connected and isolated), and lakes with (+) and without (-) exotic fish species; Table S5: Lakes names, lake codes, lake regions, coordinates (decimals) and categories of environmental effects: water turbidity (clear or turbid), total phosphorus (low and high), lake surface area (small and large), connectivity (connected and isolated), and lakes with and without exotic fish species; Table S6: Fish occurrence in the different regions and number of lakes in which species appear in the Danish (DK), Belgian/Dutch (BNL), and Spanish lakes (SP). Exotic species refers to non-native fish species either within the study’s region (SP, BNL, and DK) or Europe; Table S7: Permutation test for homogeneity of multivariate dispersions (PERMDISP) and W*d analyses assessing the effects of turbidity, total phosphorus, lake size, lake connectivity, and presence of exotic fish on group dispersion and on group location between environmental categories within each region (DK = Denmark, BNL = Belgium and The Netherlands, SP = Spain). References [103,104,105,106,107,108] are cited in Supplementary Materials.
Author Contributions
All authors (R.F.M., J.-C.S., H.F., L.D.M., T.L.L., M.S., J.M.C.-P. and E.J.) contributed to the study conception, sampling design, and/or analyses. L.D.M., T.L.L., M.S., J.M.C.-P. and E.J. conducted the fieldwork. R.F.M. and E.J. wrote the first draft of the manuscript and all authors contributed to the subsequent versions of the draft. All authors have read and agreed to the published version of the manuscript.
Funding
Funding was given by EU project BIOMAN during data collection and by EU-FP7 project REFRESH (Adaptive strategies to Mitigate the Impacts of Climate Change on European Freshwater Ecosystems, Contract No.: 244121) and Center for Informatics Research on Complexity in Ecology (CIRCE), funded by the Aarhus University Research Foundation under the AU Ideas program during data analysis and writing. E.J. was supported by the TÜBITAK program BIDEB2232 (project 118C250). J.-C.S. was also supported by the VILLUM Investigator project “Biodiversity Dynamics in a Changing World”, funded by VILLUM FONDEN (grant 16549), and Center for Ecological Dynamics in a Novel Biosphere (ECONOVO), funded by Danish National Research Foundation (grant DNRF173). L.D.M. was supported by KU Leuven research fund program C16/2017/002.
Data Availability Statement
The datasets generated and analyzed during the current study are available from the corresponding author on reasonable request.
Acknowledgments
We are especially grateful to Korhan Özkan and Joachim Audet for their assistance during the statistical analyses and coding in R. We would like to thank Anne Mette Poulsen for manuscript assistance and Célia Cristina Clemente Machado for valuable artwork assistance. We also acknowledge Steven A.J. Declerck for providing valuable comments and suggestions to improve earlier versions of the manuscript and Finn Borchsenius for statistical guidance.
Conflicts of Interest
The authors declare no conflict of interest.
References
- Fischer, A.G. Latitudinal variations in organic diversity. Evolution 1960, 14, 64–81. [Google Scholar] [CrossRef]
- Gaston, K.J. Global patterns in biodiversity. Nature 2000, 405, 220–227. [Google Scholar] [CrossRef] [PubMed]
- Hillebrand, H. On the generality of the latitudinal diversity gradient. Am. Nat. 2004, 163, 192–211. [Google Scholar] [CrossRef] [PubMed]
- Svenning, J.-C.; Skov, F. Ice age legacies in the geographical distribution of tree species richness in Europe. Glob. Ecol. Biogeogr. 2007, 16, 234–245. [Google Scholar] [CrossRef]
- Schemske, D.W.; Mittelbach, G.G.; Cornell, H.V.; Sobel, J.M.; Roy, K. Is There a Latitudinal Gradient in the Importance of Biotic Interactions? Annu. Rev. Ecol. Evol. Syst. 2009, 40, 245–269. [Google Scholar] [CrossRef]
- Crame, J.A. Evolution of taxonomic diversity gradients in the marine realm: A comparison of Late Jurassic and Recent bivalve faunas. Paleobiology 2002, 28, 184–207. [Google Scholar] [CrossRef]
- Jablonski, D.; Roy, K.; Valentine, J.W. Out of the tropics: Evolutionary dynamics of the latitudinal diversity gradient. Science 2006, 314, 102–106. [Google Scholar] [CrossRef] [PubMed]
- Socolar, J.B.; Gilroy, J.J.; Kunin, W.E.; Edwards, D.P. How Should Beta-Diversity Inform Biodiversity Conservation? Trends Ecol. Evol. 2016, 31, 67–80. [Google Scholar] [CrossRef]
- Trochine, C.; Brucet, S.; Argillier, C.; Arranz, I.; Beklioglu, M.; Benejam, L.; Ferreira, T.; Hesthagen, T.; Holmgren, K.; Jeppesen, E.; et al. Non-native Fish Occurrence and Biomass in 1943 Western Palearctic Lakes and Reservoirs and their Abiotic and Biotic Correlates. Ecosystems 2018, 21, 395–409. [Google Scholar] [CrossRef]
- Qian, H.; Ricklefs, R.E. A latitudinal gradient in large-scale beta diversity for vascular plants in North America. Ecol. Lett. 2007, 10, 737–744. [Google Scholar] [CrossRef]
- Qian, H.; Badgley, C.; Fox, D.L. The latitudinal gradient of beta diversity in relation to climate and topography for mammals in North America. Glob. Ecol. Biogeogr. 2009, 18, 111–122. [Google Scholar] [CrossRef]
- Kraft, N.J.B.; Comita, L.S.; Chase, J.M.; Sanders, N.J.; Swenson, N.G.; Crist, T.O.; Stegen, J.C.; Vellend, M.; Boyle, B.; Anderson, M.J.; et al. Disentangling the Drivers of beta Diversity Along Latitudinal and Elevational Gradients. Science 2011, 333, 1755–1758. [Google Scholar] [CrossRef] [PubMed]
- Leprieur, F.; Tedesco, P.A.; Hugueny, B.; Beauchard, O.; Durr, H.H.; Brosse, S.; Oberdorff, T. Partitioning global patterns of freshwater fish beta diversity reveals contrasting signatures of past climate changes. Ecol. Lett. 2011, 14, 325–334. [Google Scholar] [CrossRef] [PubMed]
- Legendre, P.; Borcard, D.; Peres-Neto, P.R. Analyzing beta diversity: Partitioning the spatial variation of community composition data. Ecol. Monogr. 2005, 75, 435–450. [Google Scholar] [CrossRef]
- Gaston, K.J.; Davies, R.G.; Orme, C.D.L.; Olson, V.A.; Thomas, G.H.; Ding, T.-S.; Rasmussen, P.C.; Lennon, J.J.; Bennett, P.M.; Owens, I.P.F.; et al. Spatial turnover in the global avifauna. Proc. R. Soc. B Biol. Sci. 2007, 274, 1567–1574. [Google Scholar] [CrossRef]
- Buckley, L.B.; Jetz, W. Environmental and historical constraints on global patterns of amphibian richness. Proc. R. Soc. B Biol. Sci. 2007, 274, 1167–1173. [Google Scholar] [CrossRef] [PubMed]
- Anderson, M.J.; Crist, T.O.; Chase, J.M.; Vellend, M.; Inouye, B.D.; Freestone, A.L.; Sanders, N.J.; Cornell, H.V.; Comita, L.S.; Davies, K.F.; et al. Navigating the multiple meanings of beta diversity: A roadmap for the practicing ecologist. Ecol. Lett. 2011, 14, 19–28. [Google Scholar] [CrossRef] [PubMed]
- Rodriguez, P.; Arita, H.T. Beta diversity and latitude in North American mammals: Testing the hypothesis of covariation. Ecography 2004, 27, 547–556. [Google Scholar] [CrossRef]
- Soininen, J.; Lennon, J.J.; Hillebrand, H. A multivariate analysis of beta diversity across organisms and environment. Ecology 2007, 88, 2830–2838. [Google Scholar] [CrossRef]
- Vellend, M. Conceptual synthesis in community ecology. Q. Rev. Biol. 2010, 85, 183–206. [Google Scholar] [CrossRef]
- Leprieur, F.; Olden, J.D.; Lek, S.; Brosse, S. Contrasting patterns and mechanisms of spatial turnover for native and exotic freshwater fish in Europe. J. Biogeogr. 2009, 36, 1899–1912. [Google Scholar] [CrossRef]
- Griffiths, D. Connectivity and vagility determine beta diversity and nestedness in North American and European freshwater fish. J. Biogeogr. 2017, 44, 1723–1733. [Google Scholar] [CrossRef]
- Brucet, S.; Pédron, S.P.; Mehner, T.; Lauridsen, T.L.; Argillier, C.; Winfield, I.J.; Volta, P.; Emmrich, M.; Hesthagen, T.; Holmgren, K.; et al. Fish diversity in European lakes: Geographical factors dominate over anthropogenic pressures. Freshw. Biol. 2013, 58, 1779–1793. [Google Scholar] [CrossRef]
- Werner, E.E.; Hall, D.J. Ontogenetic habitat shifts in bluegill—The foraging rate predation risk trade-off. Ecology 1988, 69, 1352–1366. [Google Scholar] [CrossRef]
- Gliwicz, Z.M.; Jachner, A. Diel migrations of juvenile fish—A ghost of predation past or present. Arch. Hydrobiol. 1992, 124, 385–410. [Google Scholar] [CrossRef]
- Bean, C.W.; Winfield, I.J. Habitat use and activity patterns of roach (Rutilus rutilus (L.)), rudd (Scardinius erythrophthalmus (L.)), perch (Perca fluviatilis L.) and pike (Esox lucius) in the laboratory: The role of predation threat and structural complexity. Ecol. Freshw. Fish 1995, 4, 37–46. [Google Scholar] [CrossRef]
- Jackson, D.A.; Peres-Neto, P.R.; Olden, J.D. What controls who is where in freshwater fish communities—The roles of biotic, abiotic, and spatial factors. Can. J. Fish. Aquat. Sci. 2001, 58, 157–170. [Google Scholar]
- Jepsen, N.; Berg, S. The use of winter refuges by roach tagged with miniature radio transmitters. Hydrobiologia 2002, 483, 167–173. [Google Scholar] [CrossRef]
- Lewin, W.C.; Okun, N.; Mehner, T. Determinants of the distribution of juvenile fish in the littoral area of a shallow lake. Freshw. Biol. 2004, 49, 410–424. [Google Scholar] [CrossRef]
- Jeppesen, E.; Mehner, T.; Winfield, I.J.; Kangur, K.; Sarvala, J.; Gerdeaux, D.; Rask, M.; Malmquist, H.J.; Holmgren, K.; Volta, P.; et al. Impacts of climate warming on the long-term dynamics of key fish species in 24 European lakes. Hydrobiologia 2012, 694, 1–39. [Google Scholar] [CrossRef]
- Lund, S.S.; Landkildehus, F.; Sondergaard, M.; Lauridsen, T.L.; Egemose, S.; Jensen, H.S.; Andersen, F.O.; Johansson, L.S.; Ventura, M.; Jeppesen, E. Rapid changes in fish community structure and habitat distribution following the precipitation of lake phosphorus with aluminium. Freshw. Biol. 2010, 55, 1036–1049. [Google Scholar] [CrossRef]
- Zymaroieva, A.; Bondarev, D.; Kunakh, O.; Svenning, J.-C.; Zhukov, O. Which Fish Benefit from the Combined Influence of Eutrophication and Warming in the Dnipro River (Ukraine)? Fishes 2022, 8, 14. [Google Scholar] [CrossRef]
- Jeppesen, E.; Jensen, J.P.; Sondergaard, M.; Lauridsen, T.; Pedersen, L.J.; Jensen, L. Top-down control in freshwater lakes: The role of nutrient state, submerged macrophytes and water depth. Hydrobiologia 1997, 342, 151–164. [Google Scholar] [CrossRef]
- Burks, R.L.; Lodge, D.M.; Jeppesen, E.; Lauridsen, T.L. Diel horizontal migration of zooplankton: Costs and benefits of inhabiting the littoral. Freshw. Biol. 2002, 47, 343–365. [Google Scholar] [CrossRef]
- Persson, L.; Eklov, P. Prey refuges affecting interactions between piscivorous perch and juvenile perch and roach. Ecology 1995, 76, 70–81. [Google Scholar] [CrossRef]
- Declerck, S.; Vandekerkhove, J.; Johansson, L.; Muylaert, K.; Conde-Porcuna, J.M.; Van der Gucht, K.; Perez-Martinez, C.; Lauridsen, T.; Schwenk, K.; Zwart, G.; et al. Multi-group biodiversity in shallow lakes along gradients of phosphorus and water plant cover. Ecology 2005, 86, 1905–1915. [Google Scholar] [CrossRef]
- Canfield, D.E.; Shireman, J.V.; Colle, D.E.; Haller, W.T.; Watkins, C.E.; Maceina, M.J. Prediction of chlorophyll a concentrations in florida lakes—Importance of aquatic macrophytes. Can. J. Fish. Aquat. Sci. 1984, 41, 497–501. [Google Scholar] [CrossRef]
- Scheffer, M.; Rinaldi, S.; Gragnani, A.; Mur, L.R.; vanNes, E.H. On the dominance of filamentous cyanobacteria in shallow, turbid lakes. Ecology 1997, 78, 272–282. [Google Scholar] [CrossRef]
- Scheffer, M.; Hosper, S.H.; Meijer, M.L.; Moss, B.; Jeppesen, E. Alternative equilibria in shallow lakes. Trends Ecol. Evol. 1993, 8, 275–279. [Google Scholar] [CrossRef]
- Nolby, L.E.; Zimmer, K.D.; Hanson, M.A.; Herwig, B.R. Is the island biogeography model a poor predictor of biodiversity patterns in shallow lakes? Freshw. Biol. 2015, 60, 870–880. [Google Scholar] [CrossRef]
- Carpenter, S.R.; Stanley, E.H.; Vander Zanden, M.J. State of the World’s Freshwater Ecosystems: Physical, Chemical, and Biological Changes. Annu. Rev. Environ. Resour. 2011, 36, 75–99. [Google Scholar] [CrossRef]
- Simberloff, D. How common are invasion-induced ecosystem impacts? Biol. Invasions 2011, 13, 1255–1268. [Google Scholar] [CrossRef]
- De Meester, L.; Declerck, S.; Janse, J.H.; Dagevos, J.J.; Portielje, R.; Lammens, E.; Jeppesen, E.; Lauridsen, T.; Schwenk, K.; Muylaert, K.; et al. Biodiversity in European shallow lakes: A multilevel-multifactorial field study. Wetl. Funct. Biodivers. Conserv. Restor. 2006, 191, 149–167. [Google Scholar]
- Fick, S.E.; Hijmans, R.J. WorldClim 2: New 1-km spatial resolution climate surfaces for global land areas. Int. J. Climatol. 2017, 37, 4302–4315. [Google Scholar] [CrossRef]
- Dunn, O. Multiple comparisons using rank sums. Technometrics 1964, 6, 241–252. [Google Scholar] [CrossRef]
- Benjamini, Y.; Hochberg, Y. Controlling false discovery rate: A practical and powerful approach to multiple testing. J. R. Stat. Soc. Ser. B 1995, 57, 289–300. [Google Scholar] [CrossRef]
- Dinno, A. Dunn.Test: Dunn’s Test of Multiple Comparisons Using Rank Sums; R Package Version 1.3.5; R Foundation for Statistical Computing: Vienna, Austria, 2017. [Google Scholar]
- Baselga, A. Partitioning the turnover and nestedness components of beta diversity. Glob. Ecol. Biogeogr. 2010, 19, 134–143. [Google Scholar] [CrossRef]
- Anderson, M.J.; Ellingsen, K.E.; McArdle, B.H. Multivariate dispersion as a measure of beta diversity. Ecol. Lett. 2006, 9, 683–693. [Google Scholar] [CrossRef]
- Warton, D.I.; Wright, S.T.; Wang, Y. Distance-based multivariate analyses confound location and dispersion effects. Methods Ecol. Evol. 2012, 3, 89–101. [Google Scholar] [CrossRef]
- Hamidi, B.; Wallace, K.; Vasu, C.; Alekseyenko, A.V. W*d-test: Multivariate analysis of variance. Microbiome 2019, 7, 51. [Google Scholar] [CrossRef]
- Anderson, M.J. Distance-based tests for homogeneity of multivariate dispersions. Biometrics 2006, 62, 245–253. [Google Scholar] [CrossRef]
- Oksanen, J.; Blanchet, F.G.; Michael, F.; Roeland, K.; Legendre, P.; McGlinn, D.; Minchin, P.R.; O’Hara, R.B.; Simpson, G.L.; Solymos, P.; et al. vegan: Community Ecology Package; R Package Version 2.4-4; R Foundation for Statistical Computing: Vienna, Austria, 2019. [Google Scholar]
- Fitzpatrick, M.C.; Mokany, K.; Manion, G.; Lisk, M.; Ferrier, S.; Nieto-Lugilde, D. gdm: Generalized Dissimilarity Modeling; R Package Version 1.4; R Foundation for Statistical Computing: Vienna, Austria, 2020. [Google Scholar]
- Mokany, K.; Ware, C.; Woolley, S.N.C.; Ferrier, S.; Fitzpatrick, M.C. A working guide to harnessing generalized dissimilarity modelling for biodiversity analysis and conservation assessment. Glob. Ecol. Biogeogr. 2022, 31, 802–821. [Google Scholar] [CrossRef]
- Fitzpatrick, M.C.; Sanders, N.J.; Ferrier, S.; Longino, J.T.; Weiser, M.D.; Dunn, R. Forecasting the future of biodiversity: A test of single- and multi-species models for ants in North America. Ecography 2011, 34, 836–847. [Google Scholar] [CrossRef]
- Wickham, H. ggplot2: Elegant Graphics for Data Analysis; Springer: New York, NY, USA, 2009. [Google Scholar]
- R Core Team. R: A Language and Environment for Statistical Computing; R Foundation for Statistical Computing: Vienna, Austria, 2022. [Google Scholar]
- Nogueira, C.; Buckup, P.A.; Menezes, N.A.; Oyakawa, O.T.; Kasecker, T.P.; Neto, M.B.R.; da Silva, J.M.C. Restricted-range fishes and the conservation of Brazilian freshwaters. PLoS ONE 2010, 5, e11390. [Google Scholar] [CrossRef] [PubMed]
- Willig, M.R.; Kaufman, D.M.; Stevens, R.D. Latitudinal gradients of biodiversity: Pattern, process, scale, and synthesis. Annu. Rev. Ecol. Evol. Syst. 2003, 34, 273–309. [Google Scholar] [CrossRef]
- Jeppesen, E.; Meerhoff, M.; Holmgren, K.; Gonzalez-Bergonzoni, I.; Teixeira-de Mello, F.; Declerck, S.A.J.; De Meester, L.; Sondergaard, M.; Lauridsen, T.L.; Bjerring, R.; et al. Impacts of climate warming on lake fish community structure and potential effects on ecosystem function. Hydrobiologia 2010, 646, 73–90. [Google Scholar] [CrossRef]
- Hawkins, B.A.; Field, R.; Cornell, H.V.; Currie, D.J.; Guegan, J.F.; Kaufman, D.M.; Kerr, J.T.; Mittelbach, G.G.; Oberdorff, T.; O’Brien, E.M.; et al. Energy, water, and broad-scale geographic patterns of species richness. Ecology 2003, 84, 3105–3117. [Google Scholar] [CrossRef]
- Griffiths, D. Pattern and process in the ecological biogeography of European freshwater fish. J. Anim. Ecol. 2006, 75, 734–751. [Google Scholar] [CrossRef] [PubMed]
- Paneque Salgado, P.; Vargas Molina, J. Drought, social agents and the construction of discourse in Andalusia. Environ. Hazards 2015, 14, 224–235. [Google Scholar] [CrossRef]
- Cresswell-Clay, N.; Ummenhofer, C.C.; Thatcher, D.L.; Wanamaker, A.D.; Denniston, R.F.; Asmerom, Y.; Polyak, V.J. Twentieth-century Azores High expansion unprecedented in the past 1200 years. Nat. Geosci. 2022, 15, 548–553. [Google Scholar] [CrossRef]
- Cardoso, M.M.L.; Sousa, W.; Brasil, J.; Costa, M.R.A.; Becker, V.; Attayde, J.L.; Menezes, R.F. Prolonged drought increases environmental heterogeneity and plankton dissimilarity between and within two semiarid shallow lakes over time. Hydrobiologia 2022, 849, 3995–4014. [Google Scholar] [CrossRef]
- Bozelli, R.L.; Thomaz, S.M.; Padial, A.A.; Lopes, P.M.; Bini, L.M. Floods decrease zooplankton beta diversity and environmental heterogeneity in an Amazonian floodplain system. Hydrobiologia 2015, 753, 233–241. [Google Scholar] [CrossRef]
- Brasil, J.; Santos, J.B.O.; Sousa, W.; Menezes, R.F.; Huszar, V.L.M.; Attayde, J.L. Rainfall leads to habitat homogenization and facilitates plankton dispersal in tropical semiarid lakes. Aquat. Ecol. 2020, 54, 225–241. [Google Scholar] [CrossRef]
- Loreau, M. Biodiversity and ecosystem functioning: Recent theoretical advances. Oikos 2000, 91, 3–17. [Google Scholar] [CrossRef]
- Williams, S.E.; Marsh, H.; Winter, J. Spatial scale, species diversity, and habitat structure: Small mammals in Australian tropical rain forest. Ecology 2002, 83, 1317–1329. [Google Scholar] [CrossRef]
- Tews, J.; Brose, U.; Grimm, V.; Tielborger, K.; Wichmann, M.C.; Schwager, M.; Jeltsch, F. Animal species diversity driven by habitat heterogeneity/diversity: The importance of keystone structures. J. Biogeogr. 2004, 31, 79–92. [Google Scholar] [CrossRef]
- Hewitt, J.E.; Thrush, S.E.; Halliday, J.; Duffy, C. The importance of small-scale habitat structure for maintaining beta diversity. Ecology 2005, 86, 1619–1626. [Google Scholar] [CrossRef]
- Lotze, H.K.; Reise, K.; Worm, B.; van Beusekom, J.; Busch, M.; Ehlers, A.; Heinrich, D.; Hoffmann, R.C.; Holm, P.; Jensen, C.; et al. Human transformations of the Wadden Sea ecosystem through time: A synthesis. Helgol. Mar. Res. 2005, 59, 84–95. [Google Scholar] [CrossRef]
- Balata, D.; Piazzi, L.; Benedetti-Cecchi, L. Sediment disturbance and loss of beta diversity on subtidal rocky reefs. Ecology 2007, 88, 2455–2461. [Google Scholar] [CrossRef]
- Thrush, S.F.; Hewitt, J.E.; Cummings, V.J.; Norkko, A.; Chiantore, M. β-diversity and species accumulation in Antarctic coastal benthos: Influence of habitat, distance and productivity on ecological connectivity. PLoS ONE 2010, 5, e11899. [Google Scholar] [CrossRef]
- Declerck, S.A.J.; Coronel, J.S.; Legendre, P.; Brendonck, L. Scale dependency of processes structuring metacommunities of cladocerans in temporary pools of High-Andes wetlands. Ecography 2011, 34, 296–305. [Google Scholar] [CrossRef]
- Stein, A.; Gerstner, K.; Kreft, H. Environmental heterogeneity as a universal driver of species richness across taxa, biomes and spatial scales. Ecol. Lett. 2014, 17, 866–880. [Google Scholar] [CrossRef] [PubMed]
- Passy, S.I.; Blanchet, F.G. Algal communities in human-impacted stream ecosystems suffer beta-diversity decline. Divers. Distrib. 2007, 13, 670–679. [Google Scholar] [CrossRef]
- Leibold, M.A.; Holyoak, M.; Mouquet, N.; Amarasekare, P.; Chase, J.M.; Hoopes, M.F.; Holt, R.D.; Shurin, J.B.; Law, R.; Tilman, D.; et al. The metacommunity concept: A framework for multi-scale community ecology. Ecol. Lett. 2004, 7, 601–613. [Google Scholar] [CrossRef]
- Baselga, A.; Leprieur, F. Comparing methods to separate components of beta diversity. Methods Ecol. Evol. 2015, 6, 1069–1079. [Google Scholar] [CrossRef]
- Menezes, R.F.; Borchsenius, F.; Svenning, J.-C.; Davidson, T.A.; Søndergaard, M.; Lauridsen, T.L.; Landkildehus, F.; Jeppesen, E. Homogenization of fish assemblages in different lake depth strata at local and regional scales. Freshw. Biol. 2015, 60, 745–757. [Google Scholar] [CrossRef]
- MacArthur, R.H.; Wilson, E.O. The Theory of Island Biogeography; Princeton University Press: Princeton, NJ, USA, 1967. [Google Scholar]
- Bertness, M.D.; Ewanchuk, P.J.; Silliman, B.R. Anthropogenic modification of New England salt marsh landscapes. Proc. Natl. Acad. Sci. USA 2002, 99, 1395–1398. [Google Scholar] [CrossRef]
- Stevens, C.J.; Dise, N.B.; Mountford, J.O.; Gowing, D.J. Impact of nitrogen deposition on the species richness of grasslands. Science 2004, 303, 1876–1879. [Google Scholar] [CrossRef]
- Donohue, I.; Jackson, A.L.; Pusch, M.T.; Irvine, K. Nutrient enrichment homogenizes lake benthic assemblages at local and regional scales. Ecology 2009, 90, 3470–3477. [Google Scholar] [CrossRef]
- De Schrijver, A.; De Frenne, P.; Ampoorter, E.; Van Nevel, L.; Demey, A.; Wuyts, K.; Verheyen, K. Cumulative nitrogen input drives species loss in terrestrial ecosystems. Glob. Ecol. Biogeogr. 2011, 20, 803–816. [Google Scholar] [CrossRef]
- Wengrat, S.; Padial, A.A.; Jeppesen, E.; Davidson, T.A.; Bicudo, D.C.; Costa-bo, L.F.S. Paleolimnological records reveal biotic homogenization driven by eutrophication in tropical reservoirs. J. Paleolimnol. 2018, 60, 299–309. [Google Scholar] [CrossRef]
- Thompson, P.L.; Rayfield, B.; Gonzalez, A. Loss of habitat and connectivity erodes species diversity, ecosystem functioning, and stability in metacommunity networks. Ecography 2017, 40, 98–108. [Google Scholar] [CrossRef]
- King, K.B.S.; Bremigan, M.T.; Infante, D.; Cheruvelil, K.S. Surface water connectivity affects lake and stream fish species richness and composition. Can. J. Fish. Aquat. Sci. 2021, 78, 433–443. [Google Scholar] [CrossRef]
- Penha, J.; Landeiro, V.L.; Ortega, J.C.G.; Mateus, L. Interchange between flooding and drying, and spatial connectivity control the fish metacommunity structure in lakes of the Pantanal wetland. Hydrobiologia 2017, 797, 115–126. [Google Scholar] [CrossRef]
- Araújo, C.V.M.; Silva, D.C.V.R.; Gomes, L.E.T.; Acayaba, R.D.; Montagner, C.C.; Moreira-Santos, M.; Ribeiro, R.; Pompêo, M.L.M. Habitat fragmentation caused by contaminants: Atrazine as a chemical barrier isolating fish populations. Chemosphere 2018, 193, 24–31. [Google Scholar] [CrossRef]
- Shurin, J.B.; Allen, E.G. Effects of competition, predation, and dispersal on species richness at local and regional scales. Am. Nat. 2001, 158, 624–637. [Google Scholar] [CrossRef] [PubMed]
- Pysek, P.; Hulme, P.E.; Simberloff, D.; Bacher, S.; Blackburn, T.M.; Carlton, J.T.; Dawson, W.; Essl, F. Scientists’ warning on invasive alien species. Biol. Rev. 2020, 95, 1511–1534. [Google Scholar] [CrossRef] [PubMed]
- Baiser, B.; Olden, J.D.; Record, S.; Lockwood, J.L.; McKinney, M.L. Pattern and process of biotic homogenization in the New Pangaea. Proc. R. Soc. Lond. Ser. B Biol. Sci. 2012, 279, 4772–4777. [Google Scholar] [CrossRef]
- Pool, T.K.; Olden, J.D. Taxonomic and functional homogenization of an endemic desert fish fauna. Divers. Distrib. 2012, 18, 366–376. [Google Scholar] [CrossRef]
- Menezes, R.F.; Attayde, J.L.; Lacerot, G.; Kosten, S.; Coimbra e Souza, L.; Costa, L.S.; van Nes, E.H.; Jeppesen, E. Lower biodiversity of native fish but only marginally altered plankton biomass in tropical lakes hosting introduced piscivorous Cichla cf. ocellaris. Biol. Invasions 2012, 14, 1353–1363. [Google Scholar] [CrossRef]
- Zaret, T.M.; Paine, R.T. Species introduction in a tropical lake. Science 1973, 182, 449–455. [Google Scholar] [CrossRef] [PubMed]
- Rahel, F.J. Homogenization of fish faunas across the United States. Science 2000, 288, 854–856. [Google Scholar] [CrossRef]
- Rahel, F.J. Homogenization of freshwater faunas. Annu. Rev. Ecol. Syst. 2002, 33, 291–315. [Google Scholar] [CrossRef]
- Brito, M.F.G.; Daga, V.S.; Vitule, J.R.S. Fisheries and biotic homogenization of freshwater fish in the Brazilian semiarid region. Hydrobiologia 2020, 847, 3877–3895. [Google Scholar] [CrossRef]
- Gavioli, A.; Milardi, M.; Soininen, J.; Castaldelli, G.; Anna, E. Diversity patterns of native and exotic fish species suggest homogenization processes, but partly fail to highlight extinction threats. Divers. Distrib. 2019, 25, 983–994. [Google Scholar] [CrossRef]
- Moi, D.A.; Alves, D.C.; Figueiredo, B.R.S.; Antiqueira, P.A.P.; Teixeira de Mello, F.; Jeppesen, E.; Romero, G.Q.; Mormul, R.P.; Bonecker, C.C. Non-native fishes homogenize native fish communities and reduce ecosystem multifunctionality in tropical lakes over 16 years. Sci. Total Environ. 2021, 769, 144524. [Google Scholar] [CrossRef]
- Blanc, M.J.-L.; Gaudet, P.; Banarescu, J.-C.H. European Inland Water fish. A Multilingual Catalogue; Fishing News (Books) Ltd.: London, UK, 1971. [Google Scholar]
- Doadrio, I.; Elvira, B.; Bernat, Y. Cyprinidae. In Peces continentales españoles: Inventario y clasificación de zonas fluviales; Coleccion, T., Doadrio, Y., Elvira, I., Bernat, B., Eds.; ICONA: Madrid, Spain, 1991; pp. 31–79. [Google Scholar]
- Kottelat, M.J.F. Handbook of European Freshwater Fishes; Publications Kottelat, Cornol and Freyhof: Berlin, Germany, 2007. [Google Scholar]
- Page, L.M.; Burr, B. A Field Guide to Freshwater Fishes of North America north of Mexico; Houghton Mifflin Harcourt: Boston, MA, USA, 2011. [Google Scholar]
- Verreycken, H.; Anseeuw, D.; Van Thuyne, G.; Quataert, P.; Belpaire, C. The non-indigenous freshwater fishes of Flanders (Belgium): Review, status and trends over the last decade. J. Fish Biol. 2007, 71, 160–172. [Google Scholar] [CrossRef]
- Welcomme, R.L. International Introductions of Inland Aquatic Species; FAO—Food and Agriculture Organisation of the United Nations: Rome, Italy, 1988. [Google Scholar]
Disclaimer/Publisher’s Note: The statements, opinions and data contained in all publications are solely those of the individual author(s) and contributor(s) and not of MDPI and/or the editor(s). MDPI and/or the editor(s) disclaim responsibility for any injury to people or property resulting from any ideas, methods, instructions or products referred to in the content. |
© 2023 by the authors. Licensee MDPI, Basel, Switzerland. This article is an open access article distributed under the terms and conditions of the Creative Commons Attribution (CC BY) license (https://creativecommons.org/licenses/by/4.0/).





