Regional Flow Influenced Recirculation Zones of Pump‒and‒Treat Systems for Groundwater Remediation with One or Two Injection Wells: An Analytical Comparison
Abstract
1. Introduction
2. Conceptual Model and Complex Potential Functions
2.1. Simplified Conceptual Model
2.2. Complex Potential Function
2.3. Streamline and Branch Cuts
3. Analytical Solutions of 1e1i System
3.1. Dimensionless Functions
3.2. Stagnation Points

3.3. Recirculation Zone
4. Analytical Solutions of 1e2i System
4.1. Dimensionless Functions, Stagnation Points and Divide Lines
4.2. Patterns of Flow Zones
- (1)
- Both RZs of the injection wells I1 and I2 are developed, as shown in zones III1 and III2 in Figure 7a. The extraction well gains water from zones I (regional flow) and RZs. The injection wells I1 and I2 also contribute water to zones II1 and II2, respectively, for the downgradient regional flow. The discharge rates, Q12, Q13, and Q23, satisfy the following relationship:
- (2)
- Only the RZ of injection well I1 exists, as zone III1 in Figure 7b. The flow contributed from the injection well, I2, totally joins the downgradient regional flow behind S3. The discharge rates, Q12, Q13, and Q23, satisfy the following relationship:
- (3)
- Only the RZ of the injection well I2 exists, as zone III2 in Figure 7c. The flow contributed from this injection well totally joins the downgradient regional flow behind S2. The discharge rates, Q12, Q13, and Q23, satisfy the following relationship:
- (4)
- Both RZs of the injection wells I1 and I2 do not exist, as shown in Figure 7d. Water contributed from the injection wells totally joins the downgradient regional flow. The discharge rates, Q12, Q13, and Q23, satisfy the following relationship:

4.3. Dependency of Recirculation Ratios on Parameters
4.4. The Impact of Water Table Limitations
5. Comparison Analyses and Discussions on a Synthetic Example
5.1. Hydrogeological Conditions
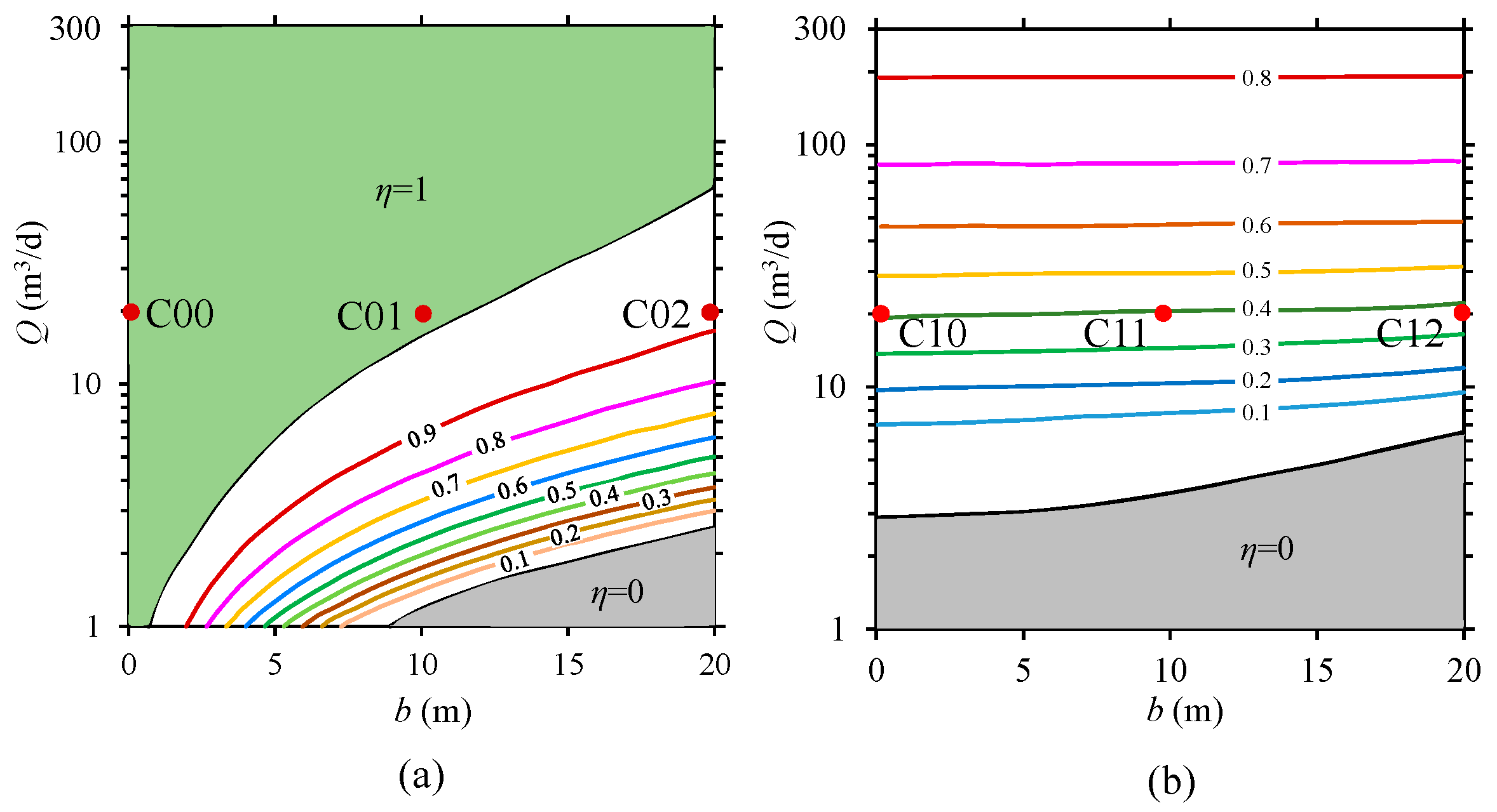
5.2. RZs and Recirculation Ratios When α = 0 and α = π
5.3. Sensitivity to the Angle of Regional Groundwater Flow
6. Conclusion Remarks
- (1)
- For the 1e/1i system, the existence of the RZ and the recirculation ratio (η) depend on the angle (α) and relative rate (qD) of the regional flow. When the direction of the regional flow is close to the path from the injection well to the extraction well (α ≈ 0), the RZ exists with a η value that is close to 1. Larger qD and α values generally lead to smaller η value;
- (2)
- For the 1e/2i system, the patterns of RZs and the recirculation ratio depend on α, qD and the relative distance between the two injection wells (B). The 1e/2i system is equal to the 1e/1i system when B = 0. In general, an increase in the B value may reduce the integrity of RZs or take away one or two RZs and lead to a decrease in the recirculation ratio, especially when α is close to 0 or π;
- (3)
- Water table limitations in the extraction and injection wells yield a maximum allowable pumping rate for the PAT system and then lead to an upper bound on the recirculation ratio. The 1e/2i system generally has a higher allowable pumping rate than the 1e/1i system;
- (4)
- A special zone of α may exist for the sake of producing RZs in the 1e/2i system, even leading to a larger recirculation ratio than that of the 1e/1i system.
Author Contributions
Funding
Data Availability Statement
Conflicts of Interest
References
- Truex, M.; Johnson, C.; Macbeth, T.; Becker, D.; Lynch, K.; Giaudrone, D.; Frantz, A.; Lee, H. Performance Assessment of Pump-and-Treat Systems. Groundw. Monit. Rem. 2017, 37, 28–44. [Google Scholar] [CrossRef]
- Yuan, F.; Zhang, J.; Chen, J.; Chen, H.; Samuel, B. In Situ Pumping-Injection Remediation of Strong Acid-High Salt Groundwater: Displacement-Neutralization Mechanism and Influence of Pore Blocking. Water 2022, 14, 2720. [Google Scholar] [CrossRef]
- Mackay, D.M.; Cherry, J.A. Groundwater contamination: Pump-and-treat remediation. Environ. Sci. Technol. 1989, 23, 630–636. [Google Scholar] [CrossRef]
- Bedient, P.B.; Rifai, H.S.; Newell, C.J. Ground Water Contamination: Transport and Remediation; Prentice-Hall International: Englewood Cliffs, NJ, USA, 1994; pp. 395–450. [Google Scholar]
- Bear, J.; Sun, Y.W. Optimization of pump-treat-inject (PTI) design for the remediation of a contaminated aquifer: Multi-stage design with chance constraints. J. Contam. Hydrol. 1998, 29, 225–244. [Google Scholar] [CrossRef]
- Chang, L.C.; Chu, H.J.; Hsiao, C.T. Optimal planning of a dynamic pump-treat-inject groundwater remediation system. J. Hydrol. 2007, 342, 295–304. [Google Scholar] [CrossRef]
- Bear, J.; Cheng, A.H.-D. Modeling Groundwater Flow and Contaminant Transport; Springer Science & Business Media: Berlin/Heidelberg, Germany, 2010; pp. 516–519. [Google Scholar]
- Sdai, M.A. Well rate and placement for optimal groundwater remediation design with a surrogate model. Water 2019, 11, 2233. [Google Scholar] [CrossRef]
- Goltz, M.N.; Christ, J.A. Recirculation Systems, Delivery and Mixing in the Subsurface: Processes and Design Principles for In Situ Remediation; Springer: Cham, Switzerland, 2012; pp. 139–168. [Google Scholar]
- Sheahan, N.T. Injection/Extraction Well System—A Unique Seawater Intrusion Barriera. Groundwater 1977, 15, 32–50. [Google Scholar] [CrossRef]
- Lu, C.; Werner, A.D.; Simmons, C.T.; Robinson, N.I.; Luo, J. Maximizing Net Extraction Using an Injection-Extraction Well Pair in a Coastal Aquifer. Groundwater 2013, 51, 219–228. [Google Scholar] [CrossRef]
- Shi, L.; Lu, C.; Ye, Y.; Xie, Y.; Wu, J. Evaluation of the performance of multiple-well hydraulic barriers on enhancing groundwater extraction in a coastal aquifer. Adv. Water Resour. 2020, 144, 103704. [Google Scholar] [CrossRef]
- Grove, D.B.; Beetem, W.A. Porosity and Dispersion Constant Calculations for a Fractured Carbonate Aquifer Using the Two Well Tracer Method. Water Resour Res. 1971, 7, 128–134. [Google Scholar] [CrossRef]
- Clement, T.P.; Truex, M.J.; Hooker, B.S. Two-Well Test Method for Determining Hydraulic Properties of Aquifers. Groundwater 1997, 35, 698–703. [Google Scholar] [CrossRef]
- Gringarten, A.C.; Sauty, J.P. A theoretical study of heat extraction from aquifers with uniform regional flow. J. Geophys. Res. 1975, 80, 4956–4962. [Google Scholar] [CrossRef]
- Wu, B.; Zhang, X.; Jeffrey, R.G.; Bunger, A.P.; Jia, S. A simplified model for heat extraction by circulating fluid through a closed-loop multiple-fracture enhanced geothermal system. Appl. Energy 2016, 183, 1664–1681. [Google Scholar] [CrossRef]
- Wu, B.; Zhang, G.; Zhang, X.; Jeffrey, R.G.; Kear, J.; Zhao, T. Semi-analytical model for a geothermal system considering the effect of areal flow between dipole wells on heat extraction. Energy 2017, 138, 290–305. [Google Scholar] [CrossRef]
- Bear, J. Hydraulics of Ground Water; McGraw-Hill: New York, NY, USA, 1979; pp. 367–374. [Google Scholar]
- Dacosta, J.; Bennett, R. The pattern of flow in the vicinity of a recharging and discharging pair of wells in an aquifer having areal parallel flow. Int. Ass. Sci. Hydrol. Publ. 1960, 52, 524–536. [Google Scholar]
- Suk, H.; Chen, J.S.; Park, E.; Han, W.S.; Kihm, Y.H. Numerical evaluation of the performance of injection/extraction well pair operation strategies with temporally variable injection/pumping rates. J. Hydrol. 2021, 598, 126494. [Google Scholar] [CrossRef]
- Bumb, A.C.; Mitchell, J.T.; Gifford, S.K. Design of a ground-water extraction /reinjection system at a superfund site using MODFLOW. Ground Water 1997, 35, 400–408. [Google Scholar] [CrossRef]
- Zhan, H.B. Analytical and numerical modeling of a double well capture zone. Math Geol. 1999, 31, 175–193. [Google Scholar] [CrossRef]
- Li, H.; Wang, X.S. A Preliminary Study on a Pumping Well Capturing Groundwater in an Unconfined Aquifer with Mountain-Front Recharge from Segmental Inflow. Water 2019, 11, 1243. [Google Scholar] [CrossRef]
- Satkin, R.L.; Bedient, P.B. Effectiveness of various aquifer restoration schemes under variable hydrogeologic conditions. Groundwater 1988, 26, 488–498. [Google Scholar] [CrossRef]
- Christ, J.A.; Goltz, M.N.; Huang, J.Q. Development and application of an analytical model to aid design and implementation of in situ remediation technologies. J. Contam. Hydrol. 1999, 37, 295–317. [Google Scholar] [CrossRef]
- Cunningham, J.A.; Reinhard, M. Injection-extraction treatment well pairs: An alternative to permeable reactive barriers. Groundwater 2002, 40, 599–607. [Google Scholar] [CrossRef] [PubMed]
- Shan, C. An analytical solution for the capture zone of two arbitrarily located wells. J. Hydrol. 1999, 222, 123–128. [Google Scholar] [CrossRef]
- Luo, J.; Kitanidis, P.K. Fluid residence times within a recirculation zone created by an extraction-injection well pair. J. Hydrol. 2004, 295, 149–162. [Google Scholar] [CrossRef]
- Samani, N.; Zarei-Doudeji, S. A General Analytical Capture Zone model: A Tool for Groundwater Remediation. In Proceedings of the 8th Vienna International Conference on Mathematical Modelling, Vienna, Austria, 18–20 February 2015; pp. 234–239. [Google Scholar] [CrossRef]
- Christ, J.A.; Goltz, M.N. Hydraulic containment: Analytical and semi-analytical models for capture zone curve delineation. J. Hydrol. 2002, 262, 224–244. [Google Scholar] [CrossRef]
- Samani, N.; Zarei-Doudeji, S. Capture zone of a multi-well system in confined and unconfined wedge-shaped aquifers. Adv. Water Resour. 2012, 39, 71–84. [Google Scholar] [CrossRef]
- Fienen, M.N.; Jian, L.; Kitanidis, P.K. Semi-analytical homogeneous anisotropic capture zone delineation. J. Hydrol. 2005, 312, 39–50. [Google Scholar] [CrossRef]
- Luo, J.; Wu, W.M.; Fienen, M.N.; Jardine, P.M.; Mehlhorn, T.L.; Watson, D.B.; Cirpka, O.A.; Criddle, C.S.; Kitanidis, P.K. A nested-cell approach for in situ remediation. Groundwater 2006, 44, 266–274. [Google Scholar] [CrossRef]
- Luo, J.; Wu, W.M.; Carley, J.; Ruan, C.; Gu, B.; Jardine, P.M.; Criddle, C.S.; Kitanidis, P.K. Hydraulic performance analysis of a multiple injection-extraction well system. J. Hydrol. 2007, 336, 294–302. [Google Scholar] [CrossRef]
- Bear, J. Dynamics of Fluids in Porous Media; Dover Publications: New York, NY, USA, 1972; pp. 222–246. [Google Scholar]
- Strack, O.D.L. Groundwater Mechanics; Prentice Hall: Englewood Cliffs, NJ, USA, 1989; pp. 278–282. [Google Scholar]
- Campos, L.M.B.D.C. Complex Analysis with Applications to Flows and Fields; CRC press: Boca Raton, FL, USA, 2010; pp. 65–80. [Google Scholar]
- Holzbecher, E. Streamline Visualization of Potential Flow with Branch Cuts, with Applications to Groundwater. J. Flow Vis. Image Process. 2018, 25, 119–144. [Google Scholar] [CrossRef]
- Kahan, W. Branch cuts for complex elementary functions. In The State of the Art in Numerical Analyszs; Powell, M.J.D., Iserles, A., Eds.; Oxford University Press: Oxford, UK, 1987; pp. 165–211. [Google Scholar]
- Sato, K. Complex Analysis for Practical Engineering; Springer: Cham, Switzerland, 2015. [Google Scholar]











| Theme | Elements and Parameters | Symbol | Value |
|---|---|---|---|
| Aquifer conditions | Hydraulic conductivity of the aquifer | K | 5 m/d |
| Regional groundwater flow rate | q0 | 0.075 m2/d | |
| Regional groundwater flow direction | α | 0 ≤ α ≤ π | |
| Ground surface elevation | zsurf | 20 m | |
| Aquifer bottom elevation | zbot | 0 m | |
| Initial water level at (x = 0, y = 0) | href | 15 m | |
| Water level limitations | Allowed highest water level | hmax | 18 m |
| Maximum discharge potential | Φmax | 810 m3/d | |
| Allowed lowest water level | hmin | 10 m | |
| Minimum discharge potential | Φmin | 250 m3/d | |
| Wells | Location of the extraction well | d | 20 m |
| Well radius | re = ri | 0.1 m | |
| Half the distance between injection wells | b | ≤20 m | |
| Flow rate of the extraction well | Q | <1000 m3/d |
| Scenario | PAT System | Cases | b (m) | qmin | Qmax (m3/d) | Q (m3/d) | η |
|---|---|---|---|---|---|---|---|
| α = 0 | 1e/1i system | C00 | 0 | 0.0365 | 258 | 20 | 0 |
| 1e/2i system | C01 | 10 | 0.0292 | 323 | 20 | 0 | |
| 1e/2i system | C02 | 20 | 0.0296 | 319 | 20 | 0.93 | |
| α = π | 1e/1i system | C10 | 0 | 0.0285 | 258 | 20 | 0.41 |
| 1e/2i system | C11 | 10 | 0.0286 | 329 | 20 | 0.40 | |
| 1e/2i system | C12 | 20 | 0.0290 | 325 | 20 | 0.38 |
Disclaimer/Publisher’s Note: The statements, opinions and data contained in all publications are solely those of the individual author(s) and contributor(s) and not of MDPI and/or the editor(s). MDPI and/or the editor(s) disclaim responsibility for any injury to people or property resulting from any ideas, methods, instructions or products referred to in the content. |
© 2023 by the authors. Licensee MDPI, Basel, Switzerland. This article is an open access article distributed under the terms and conditions of the Creative Commons Attribution (CC BY) license (https://creativecommons.org/licenses/by/4.0/).
Share and Cite
Zhang, S.; Wang, X.-S. Regional Flow Influenced Recirculation Zones of Pump‒and‒Treat Systems for Groundwater Remediation with One or Two Injection Wells: An Analytical Comparison. Water 2023, 15, 2852. https://doi.org/10.3390/w15152852
Zhang S, Wang X-S. Regional Flow Influenced Recirculation Zones of Pump‒and‒Treat Systems for Groundwater Remediation with One or Two Injection Wells: An Analytical Comparison. Water. 2023; 15(15):2852. https://doi.org/10.3390/w15152852
Chicago/Turabian StyleZhang, Shuai, and Xu-Sheng Wang. 2023. "Regional Flow Influenced Recirculation Zones of Pump‒and‒Treat Systems for Groundwater Remediation with One or Two Injection Wells: An Analytical Comparison" Water 15, no. 15: 2852. https://doi.org/10.3390/w15152852
APA StyleZhang, S., & Wang, X.-S. (2023). Regional Flow Influenced Recirculation Zones of Pump‒and‒Treat Systems for Groundwater Remediation with One or Two Injection Wells: An Analytical Comparison. Water, 15(15), 2852. https://doi.org/10.3390/w15152852

