Poor Water Quality Persists in Diverse Urban Communities
Abstract
:1. Introduction
2. Data and Methods
2.1. Study Site and Detailed Data Collection
2.1.1. Study Site
2.1.2. What Is the Current Status of Water Quality?
2.1.3. Who Is Most Affected by Water Contamination?
2.1.4. Why Are Water Quality Burdens Not Borne Equally?
3. Results
3.1. What Is the Current Status of Water Quality?
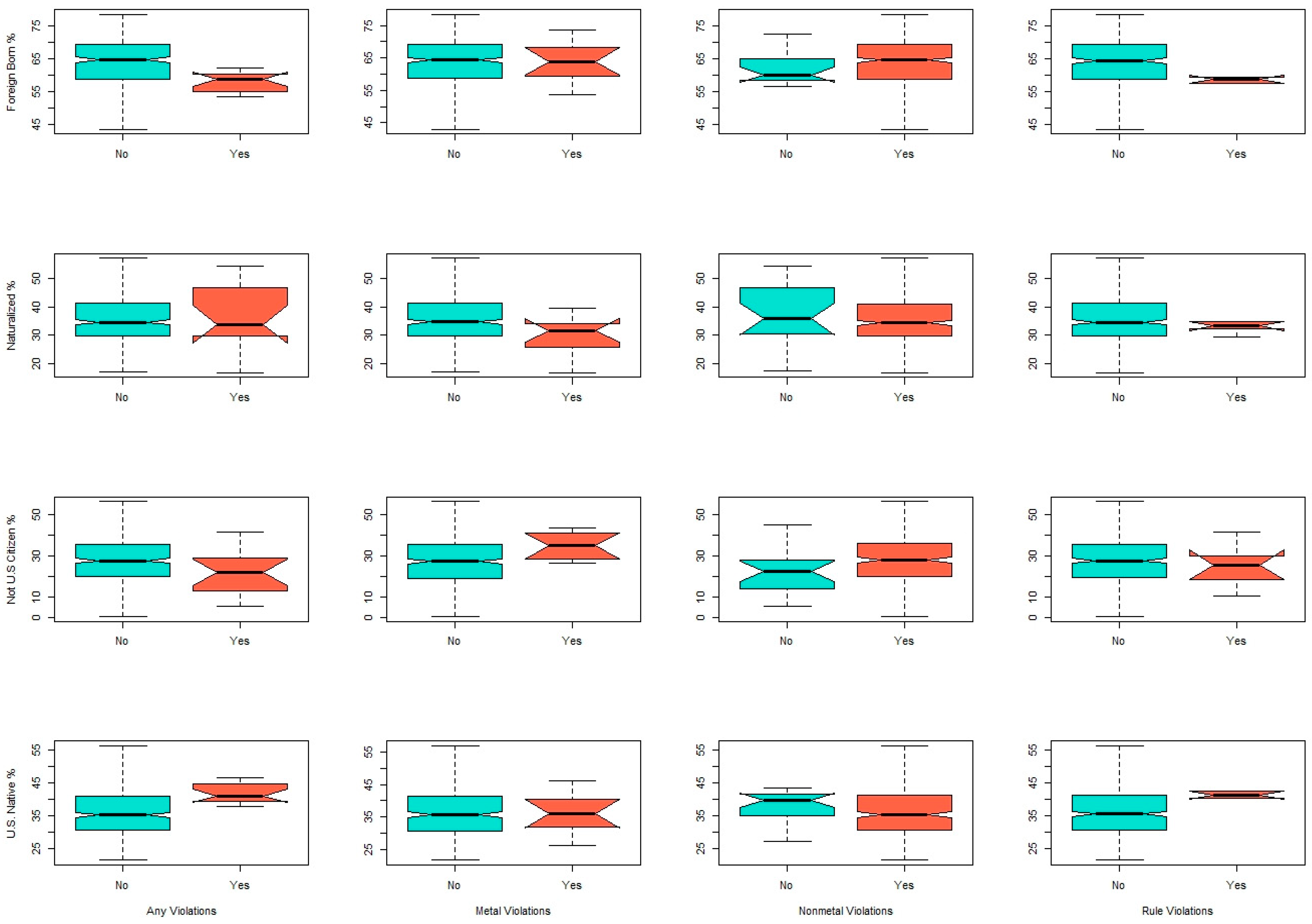
3.2. Who Is Most Affected by Water Contamination?
3.3. Why Are Water Quality Burdens Not Borne Equally and What Are Their Effects?
4. Discussion
5. Conclusions
Supplementary Materials
Author Contributions
Funding
Data Availability Statement
Acknowledgments
Conflicts of Interest
References
- Allaire, M.; Haowei, W.; Lall, U. National trends in drinking water quality violations. Proc. Natl. Acad. Sci. USA 2018, 115, 2078–2083. [Google Scholar] [CrossRef] [PubMed]
- Osiemo, M.; Ogendi, G.; M’Erimba, C. Microbial Quality of Drinking Water and Prevalence of Water-Related Diseases in Marigat Urban Centre, Kenya. Environ. Health Insights 2019, 13, 1178630219836988. [Google Scholar] [CrossRef] [PubMed]
- Wen, X.; Chen, F.; Lin, Y.; Zhu, H.; Yuan, F.; Kuang, D.; Jia, Z.; Yuan, Z. Microbial Indicators and Their Use for Monitoring Drinking Water Quality—A Review. Sustainability 2020, 12, 2249. [Google Scholar] [CrossRef]
- Malik, Q.; Khan, M. Effect on Human Health due to Drinking Water Contaminated with Heavy Metals. J. Pollut. Eff. Control. 2016, 5, 1000179. [Google Scholar] [CrossRef]
- Mirzabeygi, M.; Abbasnia, A.; Yunesian, M.; Nodehi, R.; Yousefi, N.; Hadi, M.; Mahvi, A. Heavy metal contamination and health risk assessment in drinking water of Sistan and Baluchistan, Southeastern Iran. Hum. Ecol. Risk Assess. Int. J. 2017, 23, 1893–1905. [Google Scholar] [CrossRef]
- Levallois, P.; Barn, P.; Valcke, M.; Gauvin, D.; Kosatsky, T. Public Health Consequences of Lead in Drinking Water. Curr. Environ. Health Rep. 2018, 5, 255–262. [Google Scholar] [CrossRef] [PubMed]
- Benham, M.; Woltemade, C. Elevated Lead Levels in Public Drinking Water Systems Despite Governmental Policies: Flint, Michigan Case Study. Middle States Geogr. 2016, 49, 9–20. [Google Scholar]
- Environmental Protection Agency Drinking Water Requirements for States and Public Water Systems: Drinking Water Regulations. 2017. Available online: https://www.epa.gov/dwreginfo/drinking-water-regulations (accessed on 18 December 2022).
- Meehan, K.; Jurjevich, J.; Chun, N.; Sherrill, J. Geographies of insecure water access and the housing—Water nexus in US cities. Proc. Natl. Acad. Sci. USA 2020, 117, 28700–28707. [Google Scholar] [CrossRef]
- Schaider, L.; Swetschinski, L.; Campbell, C.; Rudel, R. Environmental justice and drinking water quality: Are there socioeconomic disparities in nitrate levels in U.S. drinking water? Environ. Health 2019, 18, 3. [Google Scholar] [CrossRef]
- Environmental Protection Agency. Ground Water and Drinking Water: Basic Information about Lead in Drinking Water. 2020. Available online: https://www.epa.gov/ground-water-and-drinking-water/basic-information-about-lead-drinking-water#getinto (accessed on 18 December 2022).
- Henderson, S.; Wells, R. Environmental Racism and the Contamination of Black Lives: A Literature Review. J. Afr. Am. Stud. 2021, 25, 134–151. [Google Scholar] [CrossRef]
- Menton, M.; Larrea, C.; Latorre, S.; Martinez-Aller, J.; Peck, M.; Temper, L.; Walter, M. Environmental justice and the SDGs: From synergies to gaps and contradictions. Sustain. Sci. 2020, 15, 1621–1636. [Google Scholar] [CrossRef]
- Chachura, M. Old Pipes in Brick City: Equal Protections & The Newark Water Crisis; Rutgers Race & the Law Review: Newark, NJ, USA, 2021; Volume 22, pp. 124–155. [Google Scholar]
- Tolnay, S. The African American “Great Migration” And Beyond. Annu. Rev. Sociol. 2003, 29, 209–232. [Google Scholar] [CrossRef]
- McClure, E.; Feinstein, L.; Cordoba, E.; Douglas, C.; Emch, M.; Robinson, W.; Galea, S.; Aiello, A. The legacy of redlining in the effect of foreclosures on Detroit residents’ self-rated health. Health Place 2019, 55, 9–19. [Google Scholar] [CrossRef] [PubMed]
- Nardone, A.; Casey, J.; Morello-Frosch, R.; Mujahid, M.; Balmes, J.; Thakur, N. Association between historical residential redlining and current age-adjusted rates of emergency department visits due to asthma across eight cities in California: An ecological study. Lancet Planet. Health 2020, 4, 24–31. [Google Scholar] [CrossRef] [PubMed]
- Agyeman, J.; Schlosberg, D.; Craven, L.; Matthews, C. Trends And Directions In Environmental Justice: From Inequity To Everyday Life, Community, And Just Sustainabilities. Annu. Rev. Environ. Resour. 2016, 41, 321–340. [Google Scholar] [CrossRef]
- Allen, M.; Clark, R.; Cortuvo, J.; Grigg, N. Drinking Water and Public Health in an Era of Aging Distribution Infrastructure. Public Work. Manag. Policy 2018, 23, 301–309. [Google Scholar] [CrossRef]
- Bullard, R. Environmental Justice: It’s More Than Waste Facility Siting. Soc. Sci. Q. 1996, 77, 493–499. [Google Scholar]
- Clark, L.; Millet, D.; Marshall, J. National Patterns in Environmental Injustice and Inequality: Outdoor NO2 Air Pollution in the United States. PLoS ONE 2014, 9, e94431–e94438. [Google Scholar] [CrossRef]
- Kim, S.; Carswell, A. The mediation effect on indoor air quality on health: A comparison of homeowners and renters. Indoor Air 2022, 39, e130108. [Google Scholar] [CrossRef]
- McDonald, Y.; Jones, N. Drinking Water Violations and Environmental Justice in the United States, 2011–2015. Am. J. Public Health 2018, 108, 1401–1407. [Google Scholar] [CrossRef]
- Parris, C.; Hegtvedt, K.; Johnson, C. Assessments of Environmental Injustice among Black Americans. Soc. Curr. 2021, 8, 45–63. [Google Scholar] [CrossRef]
- Parris, C.; Hegtvedt, K.; Watson, L.; Johnson, C. Justice for All? Factors Affecting Perceptions of Environmental and Ecological Injustice. Soc. Justice Res. 2014, 27, 67–98. [Google Scholar] [CrossRef]
- Robb, K.; Amigo, N.; Marcoux, A.; McAteer, M.; Jong, J. Using Integrated City Data and Machine Learning to Identify and Intervene Early on Housing-Related Public Health Problems. J. Public Health Manag. Pract. 2022, 28, E497–E505. [Google Scholar] [CrossRef]
- Zielina, M.; Bielski, A.; Mlyńska, A. Leaching of chromium and lead from the cement mortar lining into the flowing drinking water shortly after pipeline rehabilitation. J. Clean. Prod. 2022, 362, 362. [Google Scholar] [CrossRef]
- Servaes, S.; Choudhury, P.; Parikh, A. What is diversity? Pediatr. Radiol. 2022, 52, 1708–1710. [Google Scholar] [CrossRef] [PubMed]
- Brabeck, K.; Guzman, M. Exploring Mexican-Origin Intimate Partner Abuse Survivors’ Help-Seeking Within Their Sociocultural Contexts. Violence Vict. 2009, 24, 817–832. [Google Scholar] [CrossRef] [PubMed]
- Robinson, S.; Ravi, K.; Schrag, R. A Systematic Review of Barriers to Formal Help Seeking for Adult Survivors of IPV in the United States, 2005–2019. Trauma Violence Abus. 2021, 22, 1279–1295. [Google Scholar] [CrossRef]
- Mookerjee, S.; Cerulli, C.; Fernandez, I.; Chin, N. Do Hispanic and Non-Hispanic Women Survivors of Intimate Partner Violence Differ in Regards to Their Help-Seeking? A Qualitative Study. J. Fam. Violence 2015, 30, 839–851. [Google Scholar] [CrossRef]
- Census. United States Census Bureau. 2020. Available online: https://www.census.gov/quickfacts/fact/table/NJ/PST045222 (accessed on 14 April 2022).
- Office of Diversity and Inclusion. Welcome. 2021. Available online: https://www.nj.gov/treasury/diversity/welcome.shtml (accessed on 14 April 2022).
- NJDEP Division of Water Supply and Geoscience. Private Well Testing Act (PWTA). 2022. Available online: https://www.state.nj.us/dep/watersupply/pw_pwta.html (accessed on 15 March 2023).
- New Jersey Department of Environmental Protection. 2020 Annual Compliance Report on Public Water Systems; Annual Compliance Report; New Jersey Department of Environmental Protection: Trenton, NJ, USA, 2021. [Google Scholar]
- Lu, H.; Romero-Canyas, R.; Hiltner, S.; Neltner, T.; McCormick, L.; Niederdeppe, J. Research to move toward evidence-based recommendations for lead service line disclosure policies in home buying and home renting scenarios. Int. J. Environ. Res. Public Health 2019, 16, 963. [Google Scholar] [CrossRef]
- NJ Drinking Water Watch. Public Water Systems. NJDEP Division of Water Supply & Geoscience. 2020. Available online: https://www9.state.nj.us/DEP_WaterWatch_public/JSP/WaterSystems.jsp (accessed on 1 December 2020).
- Lavery, D. Home Owners’ Loan Corporation (HOLC) Neighborhood Redlining Grade [Feature Layer]. Scale Not Given. 2020. Available online: https://services.arcgis.com/jIL9msH9OI208GCb/arcgis/rest/services/HOLC_Neighborhood_Redlining/FeatureServer (accessed on 6 April 2021).
- NJ Health. Childhood Lead Poisoning in New Jersey Annual Reports. State of New Jersey Department of Health. 2020. Available online: https://www.state.nj.us/health/childhoodlead/data.shtml (accessed on 5 December 2020).
- Esri Data. USA Counties (Generalized). [Polygon Layer]. Scale Not Given. 2021. Available online: https://services.arcgis.com/P3ePLMYs2RVChkJx/arcgis/rest/services/USA_Counties_Generalized/FeatureServer (accessed on 1 January 2023).
- Esri Federal Data. American Indian Reservations—Federally Recognized Tribal Entities. [Feature Layer]. Scale Not Given. 2022. Available online: https://services2.arcgis.com/FiaPA4ga0iQKduv3/arcgis/rest/services/AIANNHA_v1/FeatureServer (accessed on 1 January 2023).
- NJ OGIS. Municipal Boundaries of NJ. [Feature Layer]. Scale Not Given. 2022. Available online: https://maps.nj.gov/arcgis/rest/services/Framework/Government_Boundaries/MapServer (accessed on 1 January 2023).
- New Jersey Office of GIS. County Boundaries of NJ, Hosted, 3857. [Feature Layer]. Scale Not Given. 2022. Available online: https://montclair.maps.arcgis.com/home/item.html?id=ed7887264b054f4e82a4afb23a9214a4 (accessed on 30 January 2023).
- NJDEP GIS Government Open Data. Municipal Boundaries of NJ. [Feature Layer]. Scale Not Given. 2020. Available online: https://njogis-newjersey.opendata.arcgis.com/datasets/3d5d1db8a1b34b418c331f4ce1fd0fef_2/explore (accessed on 6 April 2021).
- U.S. Census Bureau. TIGER/Line with Selected Demographic and Economic Data. 2021. Available online: https://www.census.gov/geographies/mapping-files/2010/geo/tiger-data.html (accessed on 1 January 2023).
- Mendenhall, W.; Beaver, R.; Beaver, B. Introduction to Probability and Statistics; Cengage Learning: Boston, MA, USA, 2012. [Google Scholar]
- Moore, D.; McCabe, G.; Craig, B. Introduction to the Practice of Statistics; W. H. Freeman: New York, NY, USA, 2016. [Google Scholar]
- Geron, M.; Cowell, W.; Amarasiriwardena, C.; Andra, S.; Carroll, K.; Kloog, I.; Wright, R.; Wright, R. Racial/ethnic and neighborhood disparities in metals exposure during pregnancy in the Northeastern United States. Sci. Total Environ. 2022, 820, 153249. [Google Scholar] [CrossRef]
- Teye, S.; Yanosky, J.; Cuffee, Y.; Weng, X.; Luquis, R.; Farace, E.; Wang, L. Exploring persistent racial/ethnic disparities in lead exposure among American children aged 1–5 years results from NHANES 199-2016. Int. Arch. Occup. Environ. Health 2021, 94, 723–730. [Google Scholar] [CrossRef] [PubMed]
- Odetola, L.; Sills, S.; Morrison, S. A pilot study on the feasibility of testing residential tap water in North Carolina: Implications for environmental justice and health. J. Expo. Sci. Environ. Epidemiol. 2021, 31, 972–978. [Google Scholar] [CrossRef] [PubMed]
- Li, M.; Liu, Z.; Chen, Y.; Hai, Y. Characteristics of iron corrosion scales and water quality variations in drinking water distribution systems of different pipe materials. Water Res. 2016, 106, 593–603. [Google Scholar] [CrossRef] [PubMed]
- Caballero-Gómez, H.; White, H.; O’shea, M.; Pepino, R.; Haworth, M.; Gieré, R. Spatial Analysis and Lead-Risk Assessment of Philadelphia, USA. GeoHealth 2022, 6, e2021GH000519. [Google Scholar] [CrossRef] [PubMed]
- Environmental Protection Agency. Understanding the Safe Drinking Water Act. 2004. Available online: https://www.epa.gov/sites/default/files/2015-04/documents/epa816f04030.pdf (accessed on 14 March 2023).
- Pace, C.; Balazas, C.; Bangia, K.; Depsky, N.; Renteria, A.; Morello-Frosch, R.; Cushing, L. Inequities in Drinking Water Quality Among Domestic Well Communities and Community Water Systems, California, 2011–2019. Am. J. Public Health 2022, 112, 88–97. [Google Scholar] [CrossRef] [PubMed]
- Phillips, D. Landlords avoid tenants who pay with vouchers. Econ. Lett. 2017, 151, 48–52. [Google Scholar] [CrossRef]
- Hanson, A.; Hawley, Z. Do landlords discriminate in the rental housing market? Evidence from an internet field experiment in US cities. J. Urban Econ. 2011, 70, 99–114. [Google Scholar] [CrossRef]
- Gaddis, M. Racial/Ethnic Perceptions from Hispanic Names: Selecting Names to Test for Discrimination. SOCIUS 2017, 3, 1–11. [Google Scholar] [CrossRef]
- Hanson, A.; Santas, M. Field Experiment Tests for Discrimination against Hispanics in the U.S. Rental Housing Market. South. Econ. J. 2014, 81, 135–167. [Google Scholar] [CrossRef]
- Rosen, E.; Garboden, P.; Cossyleon, J. Racial Discrimination in Housing: How Landlords Use Algorithms and Home Visits to Screen Tenants. Am. Soc. Rev. 2021, 86, 787–822. [Google Scholar] [CrossRef]
- Byrow, Y.; Pajak, R.; Specker, P.; Nickerson, A. Perceptions of mental health and perceived barriers to mental health help-seeking amongst refugees: A systematic review. Clin. Psychol. Rev. 2020, 75, 101812. [Google Scholar] [CrossRef] [PubMed]
- Bae, H. The impact of the residential lead paint disclosure rule on house prices: Findings in the American Housing Survey. J. Hous. Built Environ. 2016, 31, 19–30. [Google Scholar] [CrossRef]
- Kamai, E.; Daniels, J.; Delamater, P.; Lanphear, B.; Gibson, J.; Richardson, D. Patterns of Children’s Blood Lead Screening and Blood Lead Levels in North Carolina, 2011–2018—Who is Tested, Who Is Missed? Environ. Health Perspect. 2022, 130, 67002. [Google Scholar] [CrossRef] [PubMed]
- Sampson, R. Legacies of inequality, legacy lead exposures, and improving population well-being. Proc. Natl. Acad. Sci. USA 2022, 119, e2202401119. [Google Scholar] [CrossRef]
- State of New Jersey. Senate, No. 968. 2020. Available online: https://pub.njleg.gov/bills/2020/S1000/968_I1.PDF (accessed on 10 July 2023).
- United Nations. The 17 Goals. 2023. Available online: https://sdgs.un.org/goals (accessed on 8 August 2023).









| Violations | BIPOC | Language Other than English | ||||||
|---|---|---|---|---|---|---|---|---|
| Z | p | No Violation (Means ± SD%) | One or More Violations (Means ± SD%) | Z | p | No Violation (Means ± SD%) | One or More Violations (Means ± SD%) | |
| Lead | 2.79 | 0.01 | 29.83 ± 23.60 | 40.23 ± 18.46 | 2.9 | 0.004 | 0.37 ± 0.24 | 0.52 ± 0.19 |
| Iron-Manganese | 0.79 | 0.43 | 30.22 ± 23.44 | 33.20 ± 26.00 | −0.03 | 0.97 | 0.38 ± 0.24 | 0.33 ± 0.15 |
| Mercury | - | - | 30.29 ± 23.47 | 00.00 ± 00.00 | - | - | 0.38 ± 0.24 | 00.00 ± 00.00 |
| Chromium | - | - | 30.29 ± 23.47 | 00.00 ± 00.00 | - | - | 0.38 ± 0.24 | 00.00 ± 00.00 |
| Cadmium | - | - | 30.29 ± 23.47 | 00.00 ± 00.00 | - | - | 0.38 ± 0.24 | 00.00 ± 00.00 |
| Barium | - | - | 30.29 ± 23.47 | 00.00 ± 00.00 | - | - | 0.38 ± 0.24 | 00.00 ± 00.00 |
| Arsenic | −1.39 | 0.16 | 30.35 ± 23.47 | 7.06 ± 0.00 | −0.85 | 0.39 | 0.38 ± 0.24 | 0.17 ± 0.00 |
| Silver | - | - | 30.29 ± 23.47 | 00.00 ± 00.00 | - | - | 0.38 ± 0.24 | 00.00 ± 00.00 |
| Manganese | - | - | 30.29 ± 23.47 | 00.00 ± 00.00 | - | - | 0.38 ± 0.24 | 00.00 ± 00.00 |
| Iron | - | - | 30.29 ± 23.47 | 00.00 ± 00.00 | - | - | 0.38 ± 0.24 | 00.00 ± 00.00 |
| Nickel | - | - | 30.29 ± 23.47 | 00.00 ± 00.00 | - | - | 0.38 ± 0.24 | 00.00 ± 00.00 |
| Thallium Total | - | - | 30.29 ± 23.47 | 00.00 ± 00.00 | - | - | 0.38 ± 0.24 | 00.00 ± 00.00 |
| Beryllium Total | - | - | 30.29 ± 23.47 | 00.00 ± 00.00 | - | - | 0.38 ± 0.24 | 00.00 ± 00.00 |
| Zinc | - | - | 30.29 ± 23.47 | 00.00 ± 00.00 | - | - | 0.38 ± 0.24 | 00.00 ± 00.00 |
| Violations | BIPOC | Language Other than English at Home | ||||||
|---|---|---|---|---|---|---|---|---|
| Z | p | No Violation (Means ± SD%) | One or More Violations (Means ± SD%) | Z | p | No Violation (Means ± SD%) | One or More Violations (Means ± SD%) | |
| E. coli | 1.07 | 0.29 | 29.78 ± 22.76 | 43.79 ± 36.45 | −1.92 | 0.05 | 0.38 ± 0.24 | 0.25 ± 0.15 |
| TTHM | 1.69 | 0.09 | 30.08 ± 23.66 | 34.31 ± 19.63 | 1.18 | 0.24 | 0.38 ± 0.24 | 0.39 ± 0.14 |
| Nitrate | −0.01 | 0.99 | 30.09 ± 23.05 | 41.00 ± 41.86 | −2.03 | 0.04 | 0.38 ± 0.24 | 0.21 ± 0.12 |
| Fluoride | - | - | 30.29 ± 23.47 | 00.00 ± 00.00 | - | - | 0.38 ± 0.24 | 00.00 ± 00.00 |
| Selenium | - | - | 30.29 ± 23.47 | 00.00 ± 00.00 | - | - | 0.38 ± 0.24 | 00.00 ± 00.00 |
| PFNA | - | - | 30.29 ± 23.47 | 00.00 ± 00.00 | - | - | 0.38 ± 0.24 | 00.00 ± 00.00 |
| 1,2,3-Trichloropropane | −0.14 | 0.89 | 30.22 ± 23.31 | 39.62 ± 46.74 | −1.45 | 0.15 | 0.38 ± 0.24 | 0.18 ± 0.11 |
| 1,2-Dibromo-3-Chloropropane | −0.14 | 0.89 | 30.22 ± 23.31 | 39.62 ± 46.74 | −1.45 | 0.15 | 0.38 ± 0.24 | 0.18 ± 0.11 |
| Ethylene Dibromide | −0.14 | 0.89 | 30.22 ± 23.31 | 39.62 ± 46.74 | −1.45 | 0.15 | 0.38 ± 0.24 | 0.18 ± 0.11 |
| TDS | - | - | 30.29 ± 23.47 | 00.00 ± 00.00 | - | - | 0.38 ± 0.24 | 00.00 ± 00.00 |
| Trichloroethylene | - | - | 30.29 ± 23.47 | 00.00 ± 00.00 | - | - | 0.38 ± 0.24 | 00.00 ± 00.00 |
| Sodium | - | - | 30.29 ± 23.47 | 00.00 ± 00.00 | - | - | 0.38 ± 0.24 | 00.00 ± 00.00 |
| pH | - | - | 30.29 ± 23.47 | 00.00 ± 00.00 | - | - | 0.38 ± 0.24 | 00.00 ± 00.00 |
| 1,1-Dichloroethylene | - | - | 30.29 ± 23.47 | 00.00 ± 00.00 | - | - | 0.38 ± 0.24 | 00.00 ± 00.00 |
| Tetrachloroethylene | - | - | 30.29 ± 23.47 | 00.00 ± 00.00 | - | - | 0.38 ± 0.24 | 00.00 ± 00.00 |
| Cryptosporidium | 1.28 | 0.20 | 30.15 ± 23.55 | 35.75 ± 20.83 | 2.18 | 0.03 | 0.37 ± 0.24 | 0.54 ± 0.27 |
| Color | - | - | 30.29 ± 23.47 | 00.00 ± 00.00 | - | - | 0.38 ± 0.24 | 00.00 ± 00.00 |
| Cyanide | 1.41 | 0.16 | 30.19 ± 23.42 | 70.01 ± 0.00 | 0.55 | 0.58 | 0.38 ± 0.24 | 0.45 ± 0.00 |
| Turbidity | 1.17 | 0.24 | 30.20 ± 23.60 | 35.45 ± 15.35 | 2.95 | 0.003 | 0.37 ± 0.24 | 0.66 ± 0.20 |
| Antimony Total | - | - | 30.29 ± 23.47 | 00.00 ± 00.00 | - | - | 0.38 ± 0.24 | 00.00 ± 00.00 |
| Copper Free | - | - | 30.29 ± 23.47 | 00.00 ± 00.00 | - | - | 0.38 ± 0.24 | 00.00 ± 00.00 |
| Combined Uranium | - | - | 30.29 ± 23.47 | 00.00 ± 00.00 | - | - | 0.38 ± 0.24 | 00.00 ± 00.00 |
| Inorganics | 1.74 | 0.08 | 30.12 ± 23.31 | 64.21 ± 40.52 | −1.78 | 0.08 | 0.38 ± 0.24 | 0.15 ± 0.03 |
| Asbestos | −0.09 | 0.92 | 30.30 ± 23.50 | 25.94 ± 0.00 | 0.50 | 0.61 | 0.38 ± 0.24 | 0.43 ± 0.00 |
| Fecal Coliform | - | - | 30.29 ± 23.47 | 00.00 ± 00.00 | - | - | 0.38 ± 0.24 | 00.00 ± 00.00 |
| Stage 2 TTHM HAA5 | 0.47 | 0.64 | 30.19 ± 23.58 | 32.25 ± 21.72 | 1.77 | 0.08 | 0.37 ± 0.24 | 0.47 ± 0.24 |
| Total THM HAA5 | −0.30 | 0.76 | 30.33 ± 23.51 | 22.56 ± 18.09 | −0.08 | 0.94 | 0.38 ± 0.24 | 0.35 ± 0.26 |
| Chlorine | −1.18 | 0.23 | 30.98 ± 23.81 | 25.50 ± 20.54 | −0.62 | 0.54 | 0.38 ± 0.24 | 0.37 ± 0.25 |
| Total Haloacetic (Acids) HAA5 | - | - | 30.29 ± 23.47 | 00.00 ± 00.00 | - | - | 0.38 ± 0.24 | 00.00 ± 00.00 |
| Coliform | - | - | 30.29 ± 23.47 | 00.00 ± 00.00 | - | - | 0.38 ± 0.24 | 00.00 ± 00.00 |
| Violations | BIPOC | Language Other than English at Home | ||||||
|---|---|---|---|---|---|---|---|---|
| Z | p | No Violation (Means ± SD%) | One or More Violations (Means ± SD%) | Z | p | No Violation (Means ± SD%) | One or More Violations (Means ± SD%) | |
| LCR | 2.19 | 0.03 | 29.47 ± 22.73 | 41.19 ± 30.24 | −0.53 | 0.59 | 0.38 ± 0.24 | 0.33 ± 0.19 |
| Consumer Confidence Report | 0.45 | 0.65 | 30.42 ± 23.33 | 29.23 ± 24.94 | −1.08 | 0.28 | 0.38 ± 0.25 | 0.32 ± 0.18 |
| State Rule | 0.9 | 0.37 | 30.23 ± 23.51 | 34.68 ± 22.43 | 0.65 | 0.51 | 0.38 ± 0.24 | 0.38 ± 0.12 |
| Revised Total Coliform Rule | 0.51 | 0.61 | 30.21 ± 23.36 | 35.24 ± 31.99 | −0.01 | 0.99 | 0.38 ± 0.24 | 0.35 ± 0.20 |
| WQP Initial | 1.21 | 0.22 | 30.26 ± 23.52 | 36.08 ± 0.62 | −0.71 | 0.47 | 0.38 ± 0.24 | 0.26 ± 0.15 |
| Public Notice | 0.25 | 0.8 | 30.31 ± 23.52 | 26.06 ± 14.99 | 0.09 | 0.92 | 0.38 ± 0.24 | 0.32 ± 0.07 |
| DBP Stage 1 | - | - | 30.29 ± 23.47 | 0.00 ± 0.00 | - | - | 0.38 ± 0.24 | 0.00 ± 0.00 |
| VOCs State | - | - | 30.29 ± 23.47 | 0.00 ± 0.00 | - | - | 0.38 ± 0.24 | 0.00 ± 0.00 |
| RAD_M&R Historical | - | - | 30.29 ± 23.47 | 0.00 ± 0.00 | - | - | 0.38 ± 0.24 | 0.00 ± 0.00 |
| VOC Phase 1 | - | - | 30.29 ± 23.47 | 0.00 ± 0.00 | - | - | 0.38 ± 0.24 | 0.00 ± 0.00 |
| Filter Backwash Rule | - | - | 30.29 ± 23.47 | 0.00 ± 0.00 | - | - | 0.38 ± 0.24 | 0.00 ± 0.00 |
| VOCS Federal | 0.13 | 0.9 | 30.25 ± 23.49 | 31.90 ± 24.34 | 1.72 | 0.09 | 0.37 ± 0.24 | 0.54 ± 0.30 |
| IESWTR | 2.47 | 0.01 | 29.98 ± 23.30 | 70.25 ± 0.23 | 0.95 | 0.34 | 0.38 ± 0.24 | 0.45 ± 0.00 |
| Parameters | Estimate | SE a | LR χ2 | 95% CI a | p |
|---|---|---|---|---|---|
| Intercept | 0.02 | 0.02 | 0.68 | −0.02 to 0.06 | 0.41 |
| BIPOC | −0.00 | 0.00 | 0.04 | −0.00 to 0.00 | 0.83 |
| HOLC | −0.00 | 0.00 | 1.10 | −0.01 to 0.00 | 0.29 |
| Without proadband | −0.03 | 0.03 | 1.67 | −0.08 to 0.02 | 0.20 |
| Proportion below poverty | 0.02 | 0.06 | 0.12 | −0.10 to 0.15 | 0.73 |
| Speak language other than English at home | 0.09 | 0.02 | 31.99 | 0.06 to 0.11 | <0.0001 |
| Foreign-born & speak language other than English at home | −0.00 | 0.00 | 0.04 | −0.00 to 0.00 | 0.83 |
| Speak English less than very well | 0.00 | 0.00 | 2.02 | −0.00 to 0.00 | 0.16 |
| Not a US citizen and speak language other than English at home | −0.00 | −0.00 | 3.30 | −0.00 to 0.00 | 0.07 |
| Parameters | Estimate | SE a | LR χ2 | 95% CI a | p |
|---|---|---|---|---|---|
| Intercept | 0.05 | 0.03 | 2.08 | −0.02 to 0.12 | 0.15 |
| BIPOC | 0.00 | 0.00 | 5.53 | 0.00 to 0.00 | 0.19 |
| HOLC | −0.00 | 0.06 | 0.30 | −0.02 to 0.01 | 0.59 |
| Without broadband | 0.01 | 0.07 | 0.02 | −0.13 to 0.15 | 0.89 |
| Proportion below poverty | −0.07 | 0.11 | 0.41 | −0.28 to 0.15 | 0.52 |
| Proportion renter-occupied | −0.31 | 0.34 | 0.83 | −1.00 to 0.39 | 0.36 |
| Speak language other than English at home | 0.02 | 0.02 | 0.81 | −0.02 to 0.05 | 0.34 |
| Foreign-born & speak language other than English at home | −0.00 | 0.00 | 1.79 | −0.00 to 0.00 | 0.18 |
| Speak English less than very well | −0.00 | 0.00 | 0.08 | −0.00 to 0.00 | 0.77 |
| Not a US citizen and speak language other than English at home | 0.00 | 0.00 | 1.00 | −0.00 to 0.00 | 0.32 |
| Lead | 0.00 | 0.00 | 0.43 | −0.00 to 0.01 | 0.51 |
Disclaimer/Publisher’s Note: The statements, opinions and data contained in all publications are solely those of the individual author(s) and contributor(s) and not of MDPI and/or the editor(s). MDPI and/or the editor(s) disclaim responsibility for any injury to people or property resulting from any ideas, methods, instructions or products referred to in the content. |
© 2023 by the authors. Licensee MDPI, Basel, Switzerland. This article is an open access article distributed under the terms and conditions of the Creative Commons Attribution (CC BY) license (https://creativecommons.org/licenses/by/4.0/).
Share and Cite
Cade, R.; Yu, D.; Whyte, K.; Lal, P.; Borgerson, C. Poor Water Quality Persists in Diverse Urban Communities. Water 2023, 15, 3446. https://doi.org/10.3390/w15193446
Cade R, Yu D, Whyte K, Lal P, Borgerson C. Poor Water Quality Persists in Diverse Urban Communities. Water. 2023; 15(19):3446. https://doi.org/10.3390/w15193446
Chicago/Turabian StyleCade, Rae, Danlin Yu, Kyle Whyte, Pankaj Lal, and Cortni Borgerson. 2023. "Poor Water Quality Persists in Diverse Urban Communities" Water 15, no. 19: 3446. https://doi.org/10.3390/w15193446
APA StyleCade, R., Yu, D., Whyte, K., Lal, P., & Borgerson, C. (2023). Poor Water Quality Persists in Diverse Urban Communities. Water, 15(19), 3446. https://doi.org/10.3390/w15193446

