Abstract
Septic tanks without proper construction and insulation entail a significant risk to the environment. In this study, the environmental impacts of a permeably designed septic tank on shallow groundwater contamination are investigated, and changes in water quality in the period after its elimination in 2014 are assessed. For the purpose of evaluating the pollution level of the site, 10 monitoring wells were installed around the septic tank in 2012 and long-term monitoring was carried out. Analytical measurements revealed a significant level of groundwater contamination in the operational period of the septic tank. Extremely high concentrations of NH4+ (>90 mg/L) were observed in the closest monitoring wells, and in most of the wells, concentrations exceeded the relevant contamination limit. δD and δ18O isotopic ratios of monitoring wells within 1 m from the septic tank indicate continuous recharge of sewage water originating from deeper aquifers. The groundwater dome resulting from the wastewater discharge exceeded 1.1 m, within a distance of 25 m. Statistical analyses also revealed significant changes in water quality depending on the monitoring well location from the septic tank. In the period after the septic tank elimination, considerable changes have been detected. Following the cessation of the wastewater discharge, the groundwater dome around the septic tank disappeared; therefore, differences in groundwater levels have decreased from more than 1 m to a few cm. Significant positive changes were detected in the water quality parameters investigated after the dismantling of the septic tank. Five years after the cessation of the pollutant supply, concentrations still exceeded the contamination limit in most of the monitoring wells, indicating slow decontamination processes with a permanently high level of pollution.
1. Introduction
The use of septic tank systems is the most commonly used method for the on-site collection and treatment of municipal wastewater worldwide [1,2,3]. Their use is especially widespread in rural areas where connection to sewerage networks is either not accessible or not cost-effective [4,5,6]. Septic tank systems have been considered an acceptable permanent solution for the management of municipal wastewater in rural areas [7,8]; however, an increasing amount of evidence indicates that septic emissions contribute to water quality deterioration [9,10,11].
The efficiency of the different systems depends on the quality of the effluent, which is highly dependent on the physical, biological and chemical processes taking place in the tank, as well as the retention time [12,13,14]. The efficiency of the treatment also depends on the chemicals used in the household and the organic matter content of the effluent [15]. In Hungary, due to the lack of adequate environmental regulations, it has become common practice among the population to build uninsulated septic tanks, with impermeable concrete or brick walls, which have enabled rapid leakage of raw wastewater, considerably increasing the negative environmental impact of these sites [16].
Numerous studies conclude that septic tanks pose a potential risk to surface water, groundwater and human health [17,18,19,20]. Based on studies conducted in Tennessee, Hanchar [21] concluded that effluent from septic tanks results in elevated levels of ammonium, nitrite and nitrate in groundwater. Reay [22] came to a similar conclusion after studying the environmental impacts of septic tanks on groundwater. He found that the nitrogen emission from septic tanks is considerable (5.7–10.7 kg/household/year), leading to elevated levels (up to 100 times higher) of dissolved inorganic nitrogen (DIN) in groundwater than that of surface water in the unaffected areas. Research by McQuillan [23] showed that pollution from on-site systems has the most significant impact on groundwater quality compared to other contamination sources. Richards [1] carried out fluorescence studies in the UK on effluent from septic tanks. They found that the condition of the tanks and the number of users significantly influences the quality of the effluent, which, when combined with the effects of the surrounding tanks, poses direct risks to the environment. Abdalla—Khalil [24] investigated the impacts of wastewater effluent on water quality. Due to the lack of a proper disposal and treatment network, the wastewater generated is stored in uninsulated septic tanks in direct contact with the groundwater, which makes it easy for wastewater to infiltrate into the soil. The groundwater sampling points showed a 94% mixing of groundwater and wastewater. Kringel and colleagues [25] evaluated the impact of organic matter leaching from septic tanks and latrines on groundwater quality in the central part of the city of Yaounde. Abrupt increases in ammonium, nitrate and EC from the outskirts towards urban areas indicated anthropogenic effects. Edo and colleagues [26] studied the impact of open sewage dump sites on groundwater in Nigeria. They found that inorganic, organic and biological contaminants were leaching from surface sources into groundwater, causing significant contamination.
There are regional differences in the quantities of septic tanks around the world, but even in developed countries, they are a widespread form of on-site sanitation. According to estimates, 26% of households in Europe, and 25% in the United States use septic tank systems for on-site wastewater treatment. In Australia this figure is around 13% [27] There are significant differences between countries behind the average values for the European content. While only 4% of the UK population use septic systems, they are used by 1/3 of households in Ireland.
In Hungary, the establishment of the sewerage system has not been completed in tandem with establishment of the drinking water system. In municipalities without sewerage, the traditional practice of individual sewage disposal in uninsulated septic tanks has caused significant pollution in village environment. With the accession (2004) to the European Union, the Water Framework Directive 2000/60/EC and the Urban Waste Water Treatment Directive 91/271/EEC were ratified by Hungary, resulting in considerable progress towards the construction of sewerage systems in settlements with a pollutant load above 2000 population equivalent (p.e.). During the last decade, Hungary has made considerable progress in the collection and treatment of domestic wastewater [28]. While in the 1990s, the proportion of households with access to the sewerage system was slightly above 40%, the gap in the ratio of households with access to the drinking water and sewerage systems decreased from 39.1% in 2001 to 12.1% in 2021 [29].
In the present study, the environmental impacts of permeable constructed septic tanks are assessed based on a case study in Hungary. The objective of the investigations carried out is to reveal the level of groundwater pollution around a leaky septic tank, and the assessment of purification processes after the elimination of the wastewater effluent. The general hypothesis was that groundwater around the dismantled septic tanks is highly contaminated, and that contamination levels will decrease significantly over a five-year period after the cessation of wastewater discharge. In order to verify our hypothesis, groundwater monitoring, hydro-chemical and statistical evaluation were carried out. In addition, long-term monitoring enables the evaluation of the ongoing groundwater decontamination processes after the elimination of the pollution source. Since only a few studies exist in the international literature that evaluate the clean-up processes after the cessation of septic tanks against the baseline condition, the current study provides a valuable contribution to the relevant field.
2. Materials and Methods
2.1. Location of the Study Area
The settlement under investigation is located in the Nagy-Sárrét micro region, which is part of the Great Hungarian Plain (Figure 1). The investigations around the septic tank covered an area of 1100 m2. The lowland area (altitude 85–89 m.a.s.l.) is part of the alluvial deposit of the Sebes-Körös River, categorized as a flat plain.
Figure 1.
Location of the uninsulated septic tank and the monitoring wells.
Soil formation is influenced by groundwater near the surface, which has resulted in predominantly Vertisol, Solonetz, Chernozem and Kastanozem soil types, according to the World Reference Base for Soil Resources (WRB) classification system [30]. Saline soils are predominant in 36% of the micro region, while 16% of the area is covered by meadow Chernozem soils which are not directly affected by groundwater. Based on the soil analyses from the 3 m deep boreholes in the sample area, the soil texture is dominated by fine particle fractions (<0.02 mm), with a combined proportion of clay and silt fractions of over 70% giving a loam or clay loam soil texture. The average precipitation of the area is 520–540 mm per year, and the climate is moderately warm and dry (Cfb) [31].
2.2. Field Sampling and Laboratory Analysis
To determine the impacts of septic tank effluent on groundwater, 10 monitoring wells were installed around the tank at a depth of 3 m (Figure 1). The wells were designed with a filtered part in the lower 1-m section of the PVC pipe (⌀ 50 mm). Seasonal water sampling was carried out between 2012 and 2019, after the extraction of water three times the well volume, according to the MSZ ISO 21464:1998 standard.
In the years following the cessation of sewage outflow, groundwater levels decreased significantly; therefore, after 2016, it was not possible to conduct sampling in all seasons, and in 2020, water levels decreased to below 3 m, so no data are available from this date onwards. The authors plan to establish deeper monitoring wells in the near future to maintain long-term monitoring.
The data from field measurements with a Trimble S9 dual-frequency, high precision geodesic GPS device were used to create a digital elevation model for the study area and to determine the absolute height of groundwater levels.
Laboratory measurements of NH4+, NO2−, NO3−, PO43−, Cl− and SO4− were performed according to Hungarian Standards (HS ISO 7150-1:1992; HS 1484-13:2009). The Chemical Oxygen Demand (COD) was determined using the KMnO4 method. The results were evaluated on the basis of the relevant contamination limits of the Joint Regulation KvVM-EüM-FVM No 6/2009 (IV. 14).
The quantitative analysis of the element content of the water samples 2012 and 2019 was performed by microwave plasma atomic emission spectrometry (MP-AES 4200, Agilent Technologies, Santa Clara, CA, USA). The plasma gas was continuously supplied during measurement by a nitrogen generator (Agilent Technologies 4107, Santa Clara, CA, USA). The MP-AES instrument operates with a vertical torch alignment together with an axial observation position. Standards, as well as sample solutions, were introduced by autosampler (SPS, Agilent Technologies, Santa Clara, CA, USA) with a 30 sec rinsing between each by 0.1 M HNO3 prepared in ultrapure water. Standard solutions of the macro elements (Ca, K, Mg, Na) were prepared from the mono element spectroscopic standard of 1000 mg L−1 (Scharlau), and samples of the micro elements (Al, Ba, Cu, Co, Cr, Fe, Mn, Ni, Pb, Sr, Zn) were prepared from the multi element spectroscopic standard solution of 1000 mg L−1 (ICP IV, Merck, Kenilworth, NJ, USA). In both cases a 5-point calibration process was used for which standard solutions were diluted with 0.1 M HNO3 prepared in ultrapure water.
δ18O and δ2H (δD) values of water samples were determined in 2013 using a DELTAplusXP mass spectrometer, followed by isotopic shift analysis. Since water infiltrating into the soil preserves its original isotopic ratios, it can be used to determine its origin. In the settlement under investigation, domestic wastewater is generated from the water of deeper aquifers; its presence in shallow groundwater is a clear indication of wastewater effluent [32,33,34].
2.3. Septic Tanks in Hungarian Settlements
Due to high transportation costs, local residents have constructed their domestic septic tanks with permeable concrete or brick walls (uninsulated septic tanks), which enables wastewater to easily infiltrate into the soil, causing groundwater contamination, as shown in Figure 2. The situation was further worsened by the fact that the groundwater level in the studied municipality varied between 1 and 3 m during the operational period of the septic tank; therefore, the effluent was directly mixed with groundwater.
Figure 2.
Schematic illustration of permeable constructed septic tanks in Hungary.
In addition, these modified septic tanks cause significantly more environmental contamination than septic tanks, as they discharge raw, untreated sewage into groundwater and are consequently the main source of groundwater pollution in municipalities without sewerage systems.
The investigated settlement, Báránd, is a characteristic medium-sized village with a population of 2611 inhabitants in 2020. The current number of households is 1153. During the last decade, the annual water consumption of the investigated settlement has varied between 90,000 and 120,000 m3, with the volume of water supplied to households between 70,000 and 90,000 m3. According to our calculations, up to 40–60% of the domestic wastewater disposed in permeable septic tanks could have leached into the environment. This statement is based on the water use and wastewater discharge data of the household investigated.
2.4. GIS and Statistical Analysis
Multivariate statistical techniques and GIS are valuable tools for evaluating heterogeneous water quality data sets, performing spatio-temporal analysis and determining the origin of contaminants as well as for providing information for monitoring network design, sustainable environmental policy and effective remediation practices [35,36,37,38]. In the present study, statistical analysis (e.g., correlation, hierarchical cluster analysis, discriminant and principal component analysis) of the groundwater monitoring data between 2012 and 2019 were performed using SPSS26 software. Besides the calculation of the main statistical values, boxplot diagrams were used for better interpretation of the mean, the lower and upper quartiles, and the median. The Spearman rank correlation test was performed in order to analyze the variable dependence. Principal component analysis (PCA) was performed to assess the spatial differences of the monitoring wells. The Kaiser criterion was used in order to determine the number of principal components [39]. The suitability of the data for analysis was assessed using Kaiser–Meyer–Olkin (KMO) and Bartlett probes. Hierarchical cluster analysis was performed using the Ward method, to identify monitoring wells with similar water quality. Discriminant analyses (DA) (Wilks’ Lambda method) were used for determination of the separability of the pre and post sewerage period.
Geographic information systems (GIS) are commonly used to identify the spatial variation of hydrochemical parameters by a combination of spatial data and other geographic information. In addition, spatio-temporal changes in groundwater quality were visualized and assessed using ArcGIS 10.4.1 and Surfer 19 software. Kriging interpolation was chosen to assess the spatio-temporal variation of contaminants, since ordinary kriging is one of the most commonly used interpolation techniques in geostatistics for generating interpolated (predictive) maps for unsampled sites. The semivariogram is used to quantify spatial dependence:
Ɣ(h) indicates the semivariogram as a function of the lag distance or separation vector h between two points., N(h) represents the number of observation pairs divided by distance h, and z(xi) represents the random variable at position xi [40].
The spatial distribution of different parameters can be determined according to the equation below [40]:
is the predictable value at x0 points, while n is the number of the sampled point is the recognized value at sampled xi points, and is the weight assigned to the sampled point.
The Piper and Durov diagrams created in Grapher software were used to assess the cation–anion ratios of water samples. Piper [41] proposed an efficient graphical procedure to separate the relevant analytical data in order to isolate the water-soluble constituents. This procedure is based on the fact that most natural waters contain cations and anions in chemical equilibrium.
3. Results and Discussion
3.1. Impact of Septic Tank Discharge on Groundwater Level
According to the water consumption and sanitation data of the household under investigation, it was found that approximately 220 liters of wastewater per day was discharged into the environment during the operational phase of the permeable septic tank, clearly defining the local groundwater flow directions in the area. Based on our groundwater level measurements, a marked groundwater dome resulting from the wastewater discharge was detected. The difference in the groundwater levels exceeded 1.1 m, within a distance of 25 m (Figure 3). In the operational period of the septic tank, the highest water levels were measured in monitoring wells BA1 and BA6, located 1 m from the septic tank, although considerable differences were found in these monitoring wells. In the summer of 2012, the groundwater level in these two wells was 87.55 mBf (BA1) and 88.05 mBf (BA6), respectively, resulting in a difference of up to 50 cm within a few meters. In the monitoring wells BA2 and BA7, located 5 m from the septic tank, the water level continues to decrease to 87.05 mBf and 87.47 mBf, respectively. At the furthest monitoring well BA5, located 25 m west of the tank, the groundwater level reached only 86.87 mBf. According to the groundwater levels measured in the monitoring wells, it can be stated, that septic tank leakage was most intense in a southern direction.
Figure 3.
Interpolated maps of groundwater level in the operational phase of the septic tank in the summer of 2012 and five years after the closure in the summer of 2019.
During the period after the elimination of the septic tank (2014–2019), considerable changes have been detected. Following the cessation of the wastewater discharge, the groundwater dome around the septic tank disappeared, therefore differences in groundwater levels have decreased from more than 1 m to a few cm. These changes have also altered the direction of local groundwater flow. The former radial flow direction has changed to the general direction beneath the municipality.
3.2. Evaluation of δD and δ18O Values
In order to confirm the detectability of the presence of domestic wastewater in the monitoring wells around the investigated septic tanks, the isotopic ratio shifts (δ) for 18O and D(2H) were investigated.
Since the isotopic ratios of sewage and precipitation from groundwater are markedly different, it is possible to infer the ratio of sewage to precipitation in groundwater. In the evaluation of the results, the δD values are plotted against δ18O values, and both the global (GMWL) and local precipitation lines (LMWL) are indicated. The local precipitation line also allows us to determine whether evaporation or recharge is dominant for a given sample.
The isotopic ratios of the groundwater used as tap water (δD −11.2, δ18O −80.6) are very similar to those of the produced wastewater (δD −10.9, δ18O −78.5). When examining the values of monitoring wells around the septic tank, a marked difference was found between wells located close to the tank and wells located further away from the tank (Figure 4).
Figure 4.
δD and δ18O values of the monitoring wells in 2013.
The isotopic ratios of monitoring wells within a 1 m distance of the tank (δD −11.3, δ18O 71.4; δD −10.9 δ18O −69.6) are close to the values of the sewage, which proves that the water in these wells is not of precipitation origin, but of aquifer origin. In addition, it can be clearly shown that due to the continuous recharge of deeper groundwater, no evaporation is present. In wells BA2 and BA3, deeper groundwater is still dominant, but evaporation losses have been detected. The isotopic values of the wells located further from the tank, are close to the local precipitation line, so it can be stated that precipitation processes dominate in their water.
3.3. Temporal and Spatial Changes in the Water Quality Parameters after Elimination of the Septic Tank
The values of the regularly measured parameters are separately presented on boxplot diagrams for the pre- and post-closure periods (Figure 5). Due to the wastewater discharge, the hydrochemical parameters of the monitoring wells closest to the septic tank differ significantly from the monitoring wells located at greater distances. After the elimination of wastewater outflow, positive changes in the investigated parameters have been detected.
Figure 5.
Temporal changes in water quality parameters in the monitoring wells, before and after elimination of the septic tank.
Over the years of operation (2012–2014), in the monitoring wells within a 1 m distance of the septic tank, high (20–50 mg/L) organic matter content (COD) was detected. Concentrations showed a decreasing trend at greater distance, but the elevated values indicate the contamination of the entire study area. After the closure, despite a decrease in the organic matter content of water samples closest to the septic tank, still very high concentrations (35–70 mg/L) were found, indicating that a considerable amount of organic matter from the wastewater discharge has accumulated in the vicinity of the septic tank, providing a continuous pollution supply. This is evidenced by the fact that the organic matter content of a borehole BA1 within a 1 m distance of the tank is almost two times higher than in the borehole of BA5, at a distance of 25 m from the tank [16].
Within a 1 m distance of the permeable septic tank, extremely high NH4+ concentrations (>90 mg/L) were measured in the operational phase (Figure 6). Nitrification conditions improved in parallel with the distance from the septic tank, resulting in rapidly reduced NH4+ concentrations. However, concentration exceeded the contamination limit in the majority of monitoring wells, indicating a high level of pollution in the entire study area.
Figure 6.
Spatial distribution maps of NH4+ concentrations in the years before (2012, 2013) and after (2016, 2019) the elimination of the septic tank.
In contrast, the spatial variation of NO3− concentrations showed the opposite pattern. Close to the septic tank, the concentrations varied between 1 and 3 mg/L, and in parallel with improved nitrification processes values increased significantly, exceeding the limit (50 mg/L). The cessation of wastewater effluent in 2014 resulted in an immediate reduction in the NH4+ concentrations of the monitoring wells closest to the contamination source. In the post-closure period, similar to COD values, concentrations (>35 mg/L) were still several times above the pollution limit (0.5 mg/L). High concentrations indicate that significant amounts of NH4+ continue to be released from the soil into the groundwater [42].
Concentrations of PO43− exceed the pollution limit (0.5 mg/L) in a large part of the investigated site, both before and after the elimination of the septic tank (Figure 7). However, after the closure a considerable decrease in concentrations was detected around the septic tank. While values before elimination ranged between 3 and 6 mg/L, in 2019, values of less than 2 mg/L values were measured. The phosphate concentration in the study area also decreased from an average of 1.97 mg/L (2013) to 1.12 mg/L by 2019.
Figure 7.
Spatial distribution maps of PO43− concentrations in the years before (2012, 2013) and after (2016, 2019) the elimination of the septic tank.
The results are in accordance with other studies conducted around septic tanks, revealing the high pollution of shallow and deeper aquifers [43,44,45].
3.4. Temporal Changes in the Microelements around the Septic Tank
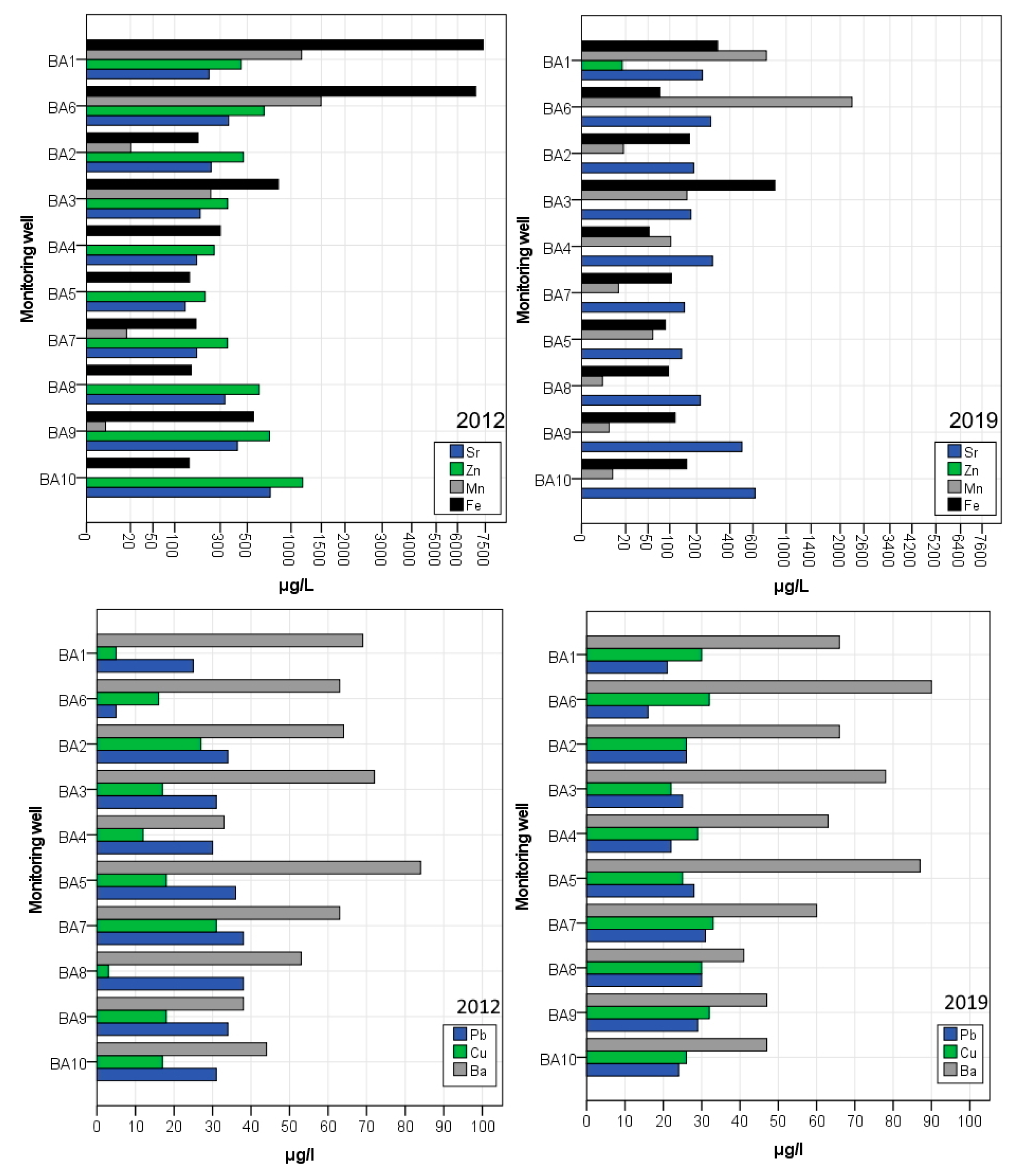
Due to the high Fe content of the wastewater effluent, originating from deeper aquifers, Fe concentrations higher than 7000 µg/L were measured within a 1 m distance of the contaminant supply (monitoring wells BA1 and BA6) (Figure 8). In the case of further wells, the mean of the Fe concentration was significantly lower, at 312 µg/L. The concentration of Mn exceeded 1000 µg/L in wells BA1 and BA6, located 1 m from the tank, while in four wells, concentration was below the detection limit. Values in the remaining wells ranged from 4 to 240 µg/L.
Figure 8.
Groundwater microelement content changes in the monitoring wells in 2012 and 2019.
This statement is in accordance with other studies, which have investigated the heavy metal pollution around sewage disposal sites, i.e., considerably higher Fe and Mn concentrations were found located in the vicinity of point-sources, compared to areas not affected by pollution [46].
In the case of Zn, the mean concentration significantly decreased from 526 µg/L to 1.7 µg/L in the period after the septic tank elimination (Figure 8). However, no correlation with distance from the tank was detected. Sr concentrations decreased slightly in 80% of the wells, from 300 µg/L in 2013 to 275 µg/L in 2019. The concentrations of Pb, Cu and Ba did not exceed the relevant limit values during any of the periods studied. Several studies have stated that industrial effluent is the main source of elevated microelement content [47]. Given that no industrial wastewater has been emitted on the site, the trace element concentrations of the monitoring wells do not exceed the relevant standards.
3.5. Cation and Anoin Ratios in the Post-Closure Period
The anion and cation compositions of the water samples collected in 2018 and 2019 are plotted on a Piper and Durov diagram (Figure 9). Most of the water samples were classified as the Ca2+ type, only two were assigned to the Na+ type. In the case of anions, the SO42− type was defined. Unfortunately, no sulphate values are available for the period before the elimination, making comparisons impossible.
Figure 9.
Piper and Durov diagrams for anion and cation composition of groundwater in 2018 and 2019.
3.6. Statistical Analyses of the Data
Results of the Spearman correlation analysis are presented in Table 1. Significant (p < 0.01), strong positive correlations were detected between NO3−/EC (r = 0.484) and NH4+/COD (r = 0.510). Monitoring wells were divided into two groups based on distance from the septic tank. BA1 and BA6 monitoring wells located within 1 m of the septic tank were categorized as the first group, while the other wells were categorized as the second group. A significant strong negative correlation was found between location and NH4+, COD and Na+.
Table 1.
Correlation matrix of the investigated parameters.
Hierarchical cluster analysis was used to determine which monitoring wells belong to the same group based on water quality parameters. The analysis was based on data from the first sampling in 2012. The results of the clustering were plotted on a dendogram diagram. The most polluted wells—BA1, BA6 and BA7—were included in the same cluster, whereas the furthest and the least polluted monitoring well (BA5) was markedly separated from the remaining wells (Figure 10).
Figure 10.
Dendrogram of hierarchical cluster analysis based on the location of the monitoring wells in 2012.
Since significant differences were found in the hydrochemical parameters of wells close to the tank compared to wells further away from the tank, a two-step cluster analysis was carried out to identify the weight of each parameter in the clustering of wells within 1 m distance and wells located at more than 1 m distance. The results showed that NH4+ contributed the most considerably to the cluster formation (Figure 11). COD and Na+ content were also important contributors to classification. The high Na+ concentration of domestic wastewater is evidenced by numerous studies [48,49].
Figure 11.
Clusters and cluster comparison for data before the elimination of the septic tank.
PCA test results are illustrated in Table 2. According to the rotated component matrix, three groups were identified. The first principal component included NO3−, EC, NO2− and COD; the second principal component consists of NH4+, Na+ and pH, while the third principal component is represented by PO43−.
Table 2.
Rotated component matrix of the variables.
A clear separation is detectable between the wells within 1 m distance of the pollution source (<1 m distance) and wells further away (>1 m) in the multi-variable space of PC1 and PC2 (Figure 12).
Figure 12.
Bivariate plot of the scores of PC1 and PC2 by location of the monitoring wells.
Discriminant analysis also shows considerable variations depending on the location from the septic tank. Based on the water quality parameters, it is possible to determine with 96.5% accuracy, into which category the sample belongs (Table 3). A discriminant analysis was also carried out on the basis of the data before and after the closure of the septic tank. Of the cross-validated data, 71.3% were correctly categorized into the original class based on the water quality parameters (Table 4). This lower value indicates that, despite positive changes, the area remains heavily polluted even 5 years after the cessation of the septic tank.
Table 3.
Classification results of the discriminant analysis for the location of monitoring wells.
Table 4.
Classification results of the discriminant analysis for the period before and after of the septic tank elimination.
4. Conclusions
The current study investigated the environmental effects of an uninsulated septic tank, and assessed the groundwater quality improvement in the period after its closure in 2014. It was revealed—verifying the first part of our hypotheses—that the wastewater discharge of the investigated permeable septic tank resulted in a local groundwater dome and markedly deteriorated water quality. Very high concentrations of hydrochemical parameters were detected in the immediate vicinity of the septic tank. Statistical analyses also revealed considerable variations depending on the distance from the septic tank. By applying discriminant analysis, it was determined with high accuracy into which category the sample belongs according to its hydrochemical parameters. Based on the results of the two-stage cluster analysis, it can be stated that NH4+ contributed the most significantly to the cluster formation
During the period after the septic tank elimination (2014–2019), considerable changes have been detected. Following the cessation of the wastewater discharge, the groundwater dome around the septic tank disappeared; therefore, differences in groundwater levels have decreased from more than 1 m to a few cm. These changes have also altered the direction of local groundwater flow. Significant positive changes were detected in the hydrochemical parameters investigated after the dismantling of the septic tank. The cessation of wastewater effluent in 2014 resulted in an immediate reduction in COD and NH4+ concentrations; however, 5 years after the elimination of pollution supply, concentrations still exceeded the contamination limit by several times, indicating slow decontamination processes with a permanently high level of pollution.
The relevance of the current study is that it demonstrates the negative environmental effects of leaky septic tanks, which are present in several parts of the world. The results of the investigations also highlight the risk that accumulated pollutants can continuously contaminate these sites even several years after the pollutant supply has ceased. To avoid further aquifer pollution, comprehensive investments are needed at a municipal level to increase the proportion of closed storage systems or sewers. Recultivation of similar septic tanks is, therefore, highly recommended. Furthermore, it is essential to ensure rigorous compliance with environmental rules and increase the environmental awareness of the population.
Author Contributions
Conceptualization. T.M., G.S. and D.B.; methodology. T.M., Z.S. and E.B.; software. T.M. and D.B.; validation. T.M., G.S., E.K. and D.B.; formal analysis. T.M.; investigation. T.M., G.S. and D.B.; resources. T.M. and G.S.; data curation. T.M. and D.B.; writing—original draft preparation. T.M., G.S. and D.B.; writing—review and editing. T.M., G.S., E.K. and D.B.; visualization. T.M. and D.B.; supervision. T.M. All authors have read and agreed to the published version of the manuscript.
Funding
Project no. TKP2021-NKTA-32 has been implemented with the support provided from the National Research, Development and Innovation Fund of Hungary, financed under the TKP2021-NKTA funding scheme.
Institutional Review Board Statement
Not applicable.
Informed Consent Statement
Not applicable.
Data Availability Statement
Not applicable.
Acknowledgments
The work of Tamás Mester was supported by the ÚNKP-22-4-II-145 New National Excellence Program of the Ministry of Human Capacities. The work of Dániel Balla was supported by the ÚNKP-22-4-II-4 New National Excellence Program of the Ministry of Human Capacities. We acknowledge the Agilent Technologies and the Novo-Lab Ltd. (Hungary) for providing the MP-AES 4200 and ETHOS UP instruments for the elemental analysis.
Conflicts of Interest
The authors declare no conflict of interest.
References
- Richards, S.; Paterson, E.; Withers, P.J.A.; Stutter, M. Septic Tank Discharges as Multi-Pollutant Hotspots in Catchments. Sci. Total Environ. 2016, 542, 854–863. [Google Scholar] [CrossRef] [PubMed]
- Gao, Q.; Blum, K.M.; Gago-Ferrero, P.; Wiberg, K.; Ahrens, L.; Andersson, P.L. Impact of On-Site Wastewater Infiltration Systems on Organic Contaminants in Groundwater and Recipient Waters. Sci. Total Environ. 2019, 651, 1670–1679. [Google Scholar] [CrossRef]
- Houéménou, H.; Tweed, S.; Dobigny, G.; Mama, D.; Alassane, A.; Silmer, R.; Babic, M.; Ruy, S.; Chaigneau, A.; Gauthier, P.; et al. Degradation of Groundwater Quality in Expanding Cities in West Africa. A Case Study of the Unregulated Shallow Aquifer in Cotonou. J. Hydrol. 2020, 582, 124438. [Google Scholar] [CrossRef]
- Abioye, S.O.; Perera, E.D.P. Public Health Effects Due to Insufficient Groundwater Quality Monitoring in Igando and Agbowo Regions in Nigeria: A Review. Sustain. Water Resour. Manag. 2019, 5, 1711–1721. [Google Scholar] [CrossRef]
- Dudley, B.; May, L. Estimating the Phosphorus Load to Waterbodies from Septic Tanks. Available online: https://nora.nerc.ac.uk/id/eprint/2531/ (accessed on 18 January 2023).
- Bouderbala, A.; Hadj Mohamed, N. Groundwater Quality in an Alluvial Aquifer Affected by the Anthropogenic and Natural Processes in a Rural Area, North Algeria. In Advances in Sustainable and Environmental Hydrology, Hydrogeology, Hydrochemistry and Water Resources; Chaminé, H.I., Barbieri, M., Kisi, O., Chen, M., Merkel, B.J., Eds.; Advances in Science, Technology & Innovation; Springer International Publishing: Cham, Switzerland, 2019; pp. 107–110. ISBN 978-3-030-01571-8. [Google Scholar]
- Withers, P.J.; Jordan, P.; May, L.; Jarvie, H.P.; Deal, N.E. Do Septic Tank Systems Pose a Hidden Threat to Water Quality? Front. Ecol. Environ. 2014, 12, 123–130. [Google Scholar] [CrossRef] [PubMed]
- Okoye, B.S.; Umeora, C.O.; Ifebi, O.C.; Onwuzuligbo, C.C. Effects of Sewage Disposal Systems on the Environment in Public Housing Estates in Enugu Metrpolis. Coou Afr. J. Environ. Res. 2018, 1, 120–130. [Google Scholar]
- Singh, S.; Hariteja, N.; Renuka Prasad, T.J.; Raju, N.J.; Ramakrishna, C. Impact Assessment of Faecal Sludge on Groundwater and River Water Quality in Lucknow Environs, Uttar Pradesh, India. Groundw. Sustain. Dev. 2020, 11, 100461. [Google Scholar] [CrossRef]
- Lasagna, M.; De Luca, D.A. Evaluation of Sources and Fate of Nitrates in the Western Po Plain Groundwater (Italy) Using Nitrogen and Boron Isotopes. Environ. Sci. Pollut. Res. 2019, 26, 2089–2104. [Google Scholar] [CrossRef] [PubMed]
- Bugajski, P.M.; Kurek, K.; Młyński, D.; Operacz, A. Designed and Real Hydraulic Load of Household Wastewater Treatment Plants. J. Water Land Dev. 2019, 40, 155–160. [Google Scholar] [CrossRef]
- Wolf, L.; Held, I.; Eiswirth†, M.; Hötzl, H. Impact of Leaky Sewers on Groundwater Quality. Acta Hydrochim. Hydrobiol. 2004, 32, 361–373. [Google Scholar] [CrossRef]
- Oliveira, T.J.J.; da Fonseca Santiago, A.; da Silva Lanna, M.C.; Fongaro, G.; Milagres, N.L.; Cunha, T.R.; Corrêa, A.L.I. Rural Blackwater Treatment by a Full-Scale Brazilian Biodigester Septic Tank: Microbial Indicators and Pathogen Removal Efficiency. Environ. Sci. Pollut. Res. 2021, 28, 23235–23242. [Google Scholar] [CrossRef]
- Brennan, R.B.; Clifford, E.; Devroedt, C.; Morrison, L.; Healy, M.G. Treatment of Landfill Leachate in Municipal Wastewater Treatment Plants and Impacts on Effluent Ammonium Concentrations. J. Environ. Manag. 2017, 188, 64–72. [Google Scholar] [CrossRef]
- Brandes, M. Characteristics of Effluents from Gray and Black Water Septic Tanks. J. (Water Pollut. Control Fed.) 1978, 50, 2547–2559. [Google Scholar]
- Mester, T.; Balla, D.; Karancsi, G.; Bessenyei, É.; Szabó, G. Eects of Nitrogen Loading from Domestic Wastewater on Groundwater Quality. Water SA 2019, 45, 349–358. [Google Scholar] [CrossRef]
- Katz, B.G.; Eberts, S.M.; Kauffman, L.J. Using Cl/Br Ratios and Other Indicators to Assess Potential Impacts on Groundwater Quality from Septic Systems: A Review and Examples from Principal Aquifers in the United States. J. Hydrol. 2011, 397, 151–166. [Google Scholar] [CrossRef]
- Pang, L.; Nokes, C.; Šimůnek, J.; Kikkert, H.; Hector, R. Modeling the Impact of Clustered Septic Tank Systems on Groundwater Quality. Vadose Zone J. 2006, 5, 599–609. [Google Scholar] [CrossRef]
- Lu, Y.; Tang, C.; Chen, J.; Sakura, Y. Impact of Septic Tank Systems on Local Groundwater Quality and Water Supply in the Pearl River Delta, China: Case Study. Hydrol. Process. 2008, 22, 443–450. [Google Scholar] [CrossRef]
- Shirazi, S.M.; Adham, M.I.; Zardari, N.H.; Ismail, Z.; Imran, H.M.; Mangrio, M.A. Groundwater Quality and Hydrogeological Characteristics of Malacca State in Malaysia. J. Water Land Dev. 2015, 24, 11–19. [Google Scholar] [CrossRef]
- Hanchar, D.W. Effects of Septic-Tank Effluent on Ground-Water Qualilty in Northern Williamson County and Southern Davidson County, Tennessee; US Geological Survey: Reston, VA, USA, 1991.
- Reay, W.G. Septic Tank Impacts on Ground Water Quality and Nearshore Sediment Nutrient Flux. Ground Water 2004, 42, 1079–1089. [Google Scholar] [CrossRef]
- McQuillan, D. Ground-Water Quality Impacts from On-Site Septic Systems. In Proceedings of the National Onsite Wastewater Recycling Association, 13th Annual Conference, Albuquerque, NM, USA, 7–10 November 2004; pp. 6–18. [Google Scholar]
- Abdalla, F.; Khalil, R. Potential Effects of Groundwater and Surface Water Contamination in an Urban Area, Qus City, Upper Egypt. J. Afr. Earth Sci. 2018, 141, 164–178. [Google Scholar] [CrossRef]
- Kringel, R.; Rechenburg, A.; Kuitcha, D.; Fouépé, A.; Bellenberg, S.; Kengne, I.M.; Fomo, M.A. Mass Balance of Nitrogen and Potassium in Urban Groundwater in Central Africa, Yaounde/Cameroon. Sci. Total Environ. 2016, 547, 382–395. [Google Scholar] [CrossRef] [PubMed]
- Edo, F.A.; Ejiogu, C.C.; Uzoije, A.P.; Nwachukwu, M.A.; Okoli, C.G. Impact of Open Sewage Dumpsites on Groundwater Quality in Igwuruta, Rivers State, Nigeria. J. Glob. Biosci. 2014, 3, 919–930. [Google Scholar]
- Dawes, L.; Goonetilleke, A. An Investigation into the Role of Site and Soil Characteristics in Onsite Sewage Treatment. Environ. Geol. 2003, 44, 467–477. [Google Scholar] [CrossRef]
- Mester, T.; Szabó, G.; Balla, D. Assessment of Shallow Groundwater Purification Processes after the Construction of a Municipal Sewerage Network. Water 2021, 13, 1946. [Google Scholar] [CrossRef]
- Hungarian Central Statistical Office. Secondary Public Utility Gap; Hungarian Central Statistical Office: Central, SC, USA; Available online: https://www.ksh.hu/stadat_files/kor/hu/kor0067.html (accessed on 15 January 2023).
- Michéli, E.; Fuchs, M.; Hegymegi, P.; Stefanovits, P. Classification of the Major Soils of Hungary and Their Correlation with the World Reference Base for Soil Resources (WRB). Agrokémia Talajt. 2006, 55, 19–28. [Google Scholar] [CrossRef]
- Dövényi, Z.; Ambrózy, P.; Juhász, Á.; Marosi, S.; Mezősi, G.; Michalkó, G.; Somogyi, S.; Szalai, Z.; Tiner, T. Magyarország Kistájainak Katasztere = Inventory of Microregions in Hungary. Available online: http://real.mtak.hu/1416/ (accessed on 23 January 2023).
- Negrel, P.; Ollivier, P.; Flehoc, C.; Hube, D. An Innovative Application of Stable Isotopes (Δ2H and Δ18O) for Tracing Pollutant Plumes in Groundwater. Sci. Total Environ. 2017, 578, 495–501. [Google Scholar] [CrossRef] [PubMed]
- Elgettafi, M.; Elmeknassi, M.; Elmandour, A.; Himi, M.; Lorenzo, J.M.; Casas, A. Δ34S, Δ18O, and Δ2H-Δ18O as an Approach for Settling the Question of Groundwater Salinization in Neogene Basins: The North of Morocco in Focus. Water 2022, 14, 3404. [Google Scholar] [CrossRef]
- Sankoh, A.A.; Derkyi, N.S.A.; Frazer-williams, R.A.D.; Laar, C.; Kamara, I. A Review on the Application of Isotopic Techniques to Trace Groundwater Pollution Sources within Developing Countries. Water 2022, 14, 35. [Google Scholar] [CrossRef]
- Güler, C.; Thyne, G.D.; McCray, J.E.; Turner, K.A. Evaluation of Graphical and Multivariate Statistical Methods for Classification of Water Chemistry Data. Hydrogeol. J. 2002, 10, 455–474. [Google Scholar] [CrossRef]
- Judeh, T.; Bian, H.; Shahrour, I. GIS-Based Spatiotemporal Mapping of Groundwater Potability and Palatability Indices in Arid and Semi-Arid Areas. Water 2021, 13, 1323. [Google Scholar] [CrossRef]
- Hajji, S.; Yahyaoui, N.; Bousnina, S.; Ben Brahim, F.; Allouche, N.; Faiedh, H.; Bouri, S.; Hachicha, W.; Aljuaid, A.M. Using a Mamdani Fuzzy Inference System Model (MFISM) for Ranking Groundwater Quality in an Agri-Environmental Context: Case of the Hammamet-Nabeul Shallow Aquifer (Tunisia). Water 2021, 13, 2507. [Google Scholar] [CrossRef]
- De Filippis, T.; Rocchi, L.; Massazza, G.; Pezzoli, A.; Rosso, M.; Housseini Ibrahim, M.; Tarchiani, V. Hydrological Web Services for Operational Flood Risk Monitoring and Forecasting at Local Scale in Niger. ISPRS Int. J. Geo Inf. 2022, 11, 236. [Google Scholar] [CrossRef]
- Jolliffe, I.T. (Ed.) Principal Component Analysis for Special Types of Data. In Principal Component Analysis; Springer Series in Statistics; Springer: New York, NY, USA, 2002; pp. 338–372. ISBN 978-0-387-22440-4. [Google Scholar]
- Aravinthasamy, P.; Karunanidhi, D.; Subramani, T.; Roy, P.D. Demarcation of Groundwater Quality Domains Using GIS for Best Agricultural Practices in the Drought-Prone Shanmuganadhi River Basin of South India. Environ. Sci. Pollut. Res. 2021, 28, 18423–18435. [Google Scholar] [CrossRef] [PubMed]
- Piper, A.M. A Graphic Procedure in the Geochemical Interpretation of Water-Analyses. Eos Trans. Am. Geophys. Union 1944, 25, 914–928. [Google Scholar] [CrossRef]
- Green, C.J.; Blackmer, A.M.; Yang, N.C. Release of Fixed Ammonium during Nitrification in Soils. Soil Sci. Soc. Am. J. 1994, 58, 1411–1415. [Google Scholar] [CrossRef]
- Adekunle, I.M.; Adetunji, M.T.; Gbadebo, A.M.; Banjoko, O.B. Assessment of Groundwater Quality in a Typical Rural Settlement in Southwest Nigeria. Int. J. Environ. Res. Public Health 2007, 4, 307–318. [Google Scholar] [CrossRef]
- Robertson, W.D.; Van Stempvoort, D.R.; Schiff, S.L. Review of Phosphorus Attenuation in Groundwater Plumes from 24 Septic Systems. Sci. Total Environ. 2019, 692, 640–652. [Google Scholar] [CrossRef]
- Harman, J.; Robertson, W.D.; Cherry, J.A.; Zanini, L. Impacts on a Sand Aquifer from an Old Septic System: Nitrate and Phosphate. Groundwater 1996, 34, 1105–1114. [Google Scholar] [CrossRef]
- James, A.; Percy, M.; Ameh, O.S. Heavy Metals Pollution Status of the Katima Mulilo Urban Open Land Wastewater Disposal Centre and the Immediate Vicinity. Cogent Environ. Sci. 2020, 6, 1726093. [Google Scholar] [CrossRef]
- Gulyás, G.; Pitás, V.; Fazekas, B.; Kárpáti, Á. Heavy Metal Balance in a Communal Wastewater Treatment Plant. Hung. J. Ind. Chem. 2015, 43, 1–5. [Google Scholar] [CrossRef]
- Pitt, W.A.; Mattraw, H.C., Jr.; Klein, H. Ground-Water Quality in Selected Areas Serviced by Septic Tanks, Dade County, Florida; Open-File Report; U.S. Geological Survey: Reston, VA, USA, 1975; Volume 75–607.
- Szabó, G.; Bessenyei, É.; Hajnal, A.; Csige, I.; Szabó, G.; Tóth, C.; Posta, J.; Mester, T. The Use of Sodium to Calibrate the Transport Modeling of Water Pollution in Sandy Formations around an Uninsulated Sewage Disposal Site. Water Air Soil Pollut. 2016, 227, 45. [Google Scholar] [CrossRef]
Disclaimer/Publisher’s Note: The statements, opinions and data contained in all publications are solely those of the individual author(s) and contributor(s) and not of MDPI and/or the editor(s). MDPI and/or the editor(s) disclaim responsibility for any injury to people or property resulting from any ideas, methods, instructions or products referred to in the content. |
© 2023 by the authors. Licensee MDPI, Basel, Switzerland. This article is an open access article distributed under the terms and conditions of the Creative Commons Attribution (CC BY) license (https://creativecommons.org/licenses/by/4.0/).











