Abstract
The impact of antibiotic residue on sediment ecology at the watershed level is not yet fully understood. In this investigation, varying concentrations of oxytetracycline (OTC) and sulfadiazine (SD) were added to the overlying water of both the upper (0–10 cm) and bottom sediment (20–30 cm) layers at the watershed scale to evaluate the ecological impact on sediment habitats through the analysis of the activities of enzymes, namely urease (UA), alkaline phosphatase (APA), peroxidase (POA), and dehydrogenase (DHA). Results showed that the levels of UA and APA in the bottom sediment layers exceeded those in the top sediment layer upon reintroduction of antibiotics. Conversely, the fluctuations in DHA were notably reduced across various types of antibiotics and exposure concentrations in the bottom sediment layers. Within the top sediment layers, as the concentration of OTC exposure increased, there was a corresponding elevation in POA levels. However, the response of POA initially ascended and subsequently descended with rising SD exposure concentration, although it consistently exceeded the control levels. In contrast, the response of DHA displayed an inverse correlation with OTC exposure concentration but a direct correlation with SD exposure concentration. At the watershed scale, under antibiotic exposure, UA and DHA exhibited significantly higher levels upstream compared to downstream. Conversely, APA and POA appeared relatively stable across the watershed following the reintroduction of antibiotics. Moreover, DHA demonstrated a noticeable decreasing trend with increasing concentrations of OTC exposure. Environmental factors had a predominant influence, exceeding 40%, on enzyme activities during antibiotic reintroduction. Specifically, particle size significantly inhibited enzyme activity, while sediment nutrient conditions, including total carbon, nitrogen, and sulfur content, significantly enhanced enzyme activities. The study suggests that enzyme activities associated with antibiotic reintroduction in watershed sediments are established during stable stages in the bottom sediment layer or downstream sediment environment as part of sedimentary and transport processes. More research is required to explore the maintenance and evolution of antibiotic resistance profiles in the presence of long-term antibiotic residues.
1. Introduction
Antibiotics have been a major contributor to the cure of diseases in all areas of human activity, such as agriculture, animal husbandry, and medicine, for centuries [1]. Global antibiotic consumption increased from 21.1 billion to 34.8 billion defined daily doses during 2000–2015 and will further increase by 200% in 2030 [2]. The release of antibiotics into the environment due to anthropogenic activities, along with other environmental pollutants, is resulting in the selection of resistance profiles in various microorganisms [3,4,5,6]. The adaptability of the microbiome in aquatic environments to exogenous disturbances, such as the introduction of antibiotics, can have long-term health implications for both the ecosystem and humans [7]. These antibiotics can be transferred from water to sediment, which can have long-term health implications for both the ecosystem and humans.
Watershed systems are essential reservoirs for antibiotic contamination from discharged solid waste and wastewater. The application of solid waste to agricultural fields further intensifies the contamination of these antibiotics in runoff [8,9]. Seasonal fluctuations and urban development have a profound effect on the distribution of antibiotics in watersheds, as demonstrated by the different antibiotic resistance profiles of the local ecology [10,11,12]. The antibiotic resistance of aquatic microorganisms can reach malleable, sub-stable, or stable stages due to the continuous release of antibiotics from human activities in the watershed basin [13,14]. The selective effects of residual antibiotics on various microbial groups are also regulated by environmental characteristics, such as organic-mineral compounds like clays. These compounds can reduce the biological activities of antibacterial molecules before they reach bacteria, even in sediment environments with complex and dynamic physico-chemical conditions that support high microbial diversity [9,14,15]. Therefore, it is essential to gain insight into the tolerance and adaptation of microbial communities in their natural habitats.
The activity of enzymes, which are secreted by living organisms such as microbes, is a vital part of the ecological system and can be impacted by antibiotics or their remnants, depending on the type of antibiotic and the amount of exposure [5,15,16]. Feng et al. [13] demonstrated that the reintroduction of sulfadiazine (SD) led to more significant alterations in various enzyme activities, such as urease, peroxidase, dehydrogenase, and fluorescein diacetate esterase (FDA), compared to oxytetracycline (OTC) in controlled laboratory settings. In a separate study, Xing et al. [17] observed that sediment exposure to antibiotics and nutrient pollution interactively modified the prokaryotic community structure, consequently impacting enzyme activity. However, Thiele-Bruhn and Beck [18] and Fang et al. [19] determined that chlortetracycline had no effect on DHA, even at a concentration of 1000 mg/kg, while DHA significantly increased with increasing sulfadiazine (SD) concentration and exposure time. The influence of antibiotics on enzyme activity is predominantly shaped by environmental conditions; for instance, the co-occurrence of toxic heavy metals with antibiotic pollutants may transform enzymes into less harmful variants. Moreover, fluctuations in pH and conductivity can influence microbial and enzyme functions, with alkaline phosphatase being particularly sensitive to changes in total phosphorus levels and nutrient availability, thereby affecting enzyme performance [13,20,21]. Moreover, the interaction between antibiotics and the sediment environment may decrease the promotion effect and alter microbial processes, affecting their mobility, stability, bioavailability, and bioaccessibility when interacting with antibiotics and microorganisms [22].
In this study, we hypothesize that in a watershed contaminated with antibiotics, the water environment is expected to have acquired varying levels of resistance, dependent on the types and concentrations of antibiotics present. Therefore, sediment from two layers of the watershed (upper and lower) was collected and exposed to solutions containing the two most abundant antibiotics in the environment near the wastewater effluent, namely oxytetracycline and sulfadiazine, at three different concentrations. This simulated the potential response of the sediment environment to antibiotics reintroduced at the watershed scale. The resistance profiles of the sedimentary microbes in the watershed basin were evaluated by measuring the activities of four enzymes: urease (UA), alkaline phosphatase (APA), peroxidase (POA), and dehydrogenase (DHA) in the presence of antibiotic exposure. This study evaluates the ecological resistance of watersheds to sediment contamination, particularly with regards to antibiotics which are commonly present in the aquatic environment.
2. Materials and Methods
2.1. Study Site and Sampling
Samples of sediment were taken from the Jinjiang River in Quanzhou City, which is 182 km long and has a drainage area of 5629 km2. It flows through Yongchun, Anxi, Nan’an, Jinjiang, Licheng, and Fengze counties from northwest to southeast, and receives effluent from wastewater treatment plants in these locations. Ultimately, it was found to be commonly contaminated with antibiotics in the watershed environment. The upper reaches of the Jinjiang River are formed by two tributaries, the East River and the West River. The river basin is a typical representation of countryside and towns, with numerous tea plantations scattered throughout.
Samples of sediment from the upper (0–10 cm) and lower (20–30 cm) layers were obtained using a box-type mud picker (Beijing New Landmark Soil Equipment Co., Ltd., Beijing, China). The sampled locations included two tributaries in the upper reaches and the main river in the downstream (Figure 1). The sediment was kept in a 4 °C icebox and directly transported to the laboratory where it was sieved through a 2.0 mm wet sieve to remove any impurities. A sedimentary layer was simulated by combining 30 g of sediment with 10 cm of aqueous solution containing oxytetracycline (OTC) or sulfadiazine (SD) at two concentrations of 10 µg/L and 100 µg/L with three replicates. The external conditions were set to remain constant, with a temperature of 25 °C, 8 h of light duration, and a light intensity of 2000–3000 LX, and after 45 days, sediment samples were collected to further analysis.
Figure 1.
Distribution of sampling points in the Jinjiang River Basin, S1–S7 are different sampling points in the watershed.
2.2. Determination of Sediment Physico-Chemical Properties and Heavy Metals
Sediments were characterized by their total carbon content (TC), total nitrogen content (TN), total sulfur content (TS), pH, electrical conductivity (EC), and sediment size distribution. TC, TN, and TS were measured using an Elementar Analysensysteme GmbH (Vario MAX, Frankfurt, Germany). EC and pH were measured using a pH-EC meter (Accumet Excel XL60, Fisher Scientific Inc., Waltham, MA, USA) in sediment/deionized water slurries at a ratio of 1:2.5. The particle size distribution of the sediment was analyzed using a Malvern Mastersizer 2000 (Malvern Instruments Ltd., Worcestershire, UK). The concentrations of heavy metals in the sediment were determined with reference to our previous study [23], and were determined by inductively coupled plasma mass spectrometry (ICP-MS, XII, Thermo Fisher, Waltham, MA, USA).
2.3. Determination of Enzyme Activity
Four enzyme activities—urease (UA), alkaline phosphatase (APA), peroxidase (POA), and dehydrogenase (DHA)—were quantified in fresh sediment samples following the methods outlined in references [24,25], with detailed procedural information provided in the Supplementary Material.
2.4. Data Analysis
Statistical analyses and graphical design were conducted using R (version 4.0.5, R Development Core Team, Vienna, Austria). Mantel tests were carried out employing the “mantel” function in the “vegan” R package to examine the relationship between the variables of UA, POA, APA, DHA, and environmental factors. Pearson correlation analyses were conducted on the physico-chemical properties of sediment samples, and the predictive values were correlated with enzyme activities at the respective sites. The “randomForest” package was utilized for random forest analyses to evaluate the association between enzyme activity and environmental variables. Redundancy analysis and Monte Carlo permutation analyses were executed to determine the impact of exposure to specific environmental factors on enzyme activity.
3. Result and Discussion
3.1. Response of Enzyme Activities to Antibiotic Reintroduction
UA reflected the ability of sediment to convert organic nitrogen to active-state nitrogen and is an important parameter of nitrogen conversion mechanisms in ecosystems [26,27]. As seen in Figure S1 (Supplementary Material), watershed sediments were again exposed to different concentrations of SD and OTC solutions, and the UA mainly ranged between 0.26 and 0.78 NH4+-N mg/(g·24 h). The treatment groups with additions of sulfadiazine and oxytetracycline were mostly lower than the control (CK) group, and overall appeared to show an inhibitory but non-significant effect, with significant differences in the expression of UA among the sample sites. This was expected because several papers reported that tetracycline and sulfonamide antibiotics inhibited soil urease under prolonged incubation, but the effect was not significant [28]. In the OTC-added group, UA was more stressed by the higher concentration of 100 µg/L OTC compared to the lower concentration of 10 µg/L OTC. However, in the case of SD exposure, the inhibition of UA activity was greatest at the low concentration of 10 µg/L SD compared to the other groups, whereas UA expression was increased at the high concentration of 100 µg/L SD, but was still inhibited compared to the control group.
APA plays a crucial role in providing phosphorus nutrients to cells from the environment [29]. The activity of APA in the sediments across the five treatments ranged from 0.20 to 2.00 mg/(g·24 h), with no significant correlation observed between the treatments. Overall, there was a facilitative effect on APA activity, except for the low-concentration 10 µg/L OTC group. It was noted that SD acted as a facilitator of APA activity in all cases, with a higher enzyme characterization at high concentrations of 100 µg/L SD compared to low concentrations of 10 µg/L SD [30]. However, at the extremes of each group, the low concentration of 10 µg/L antibiotic exhibited an inhibitory effect compared to the control group. The differences between the OTC groups were significant, with the high concentration of 100 µg/L OTC displaying the highest APA expression among all the treatment groups.
POA is a common extracellular enzyme used as an indicator of aerobic microorganisms in soil, as it is closely linked to their number and activity [31,32]. The POA activity in sediments varied from 0.05 to 2.75 mg/(g·20 min) under different treatments (Figure S1), with no significant difference between enzyme activities. Overall, there was an increase in POA response after the addition of various concentrations of oxytetracycline (OTC) and sulfadimidine (SD). POA activity was highest at 100 µg/L OTC compared to other groups. In contrast, under SD treatment, enzyme activity was lower at a high concentration of 100 µg/L compared to 10 µg/L SD, but slightly higher than the control group.
DHA is an important intracellular enzyme in microbial communities, serving as an indicator of microbial abundance and activity in soil [33,34]. The DHA activity levels varied between 0.0006 and 0.006 µL/(g·6 h) across the five treatments (Figure S1), with no significant correlations observed. Overall, DHA expression was higher in the soil disturbance (SD) treatment compared to the oxytetracycline (OTC) treatment and control (CK) group. DHA activity was found to be higher at a lower concentration of 10 µg/L OTC compared to 100 µg/L OTC, and was enhanced relative to the CK group. However, at the higher concentration of 100 µg/L OTC, DHA activity was inhibited. In contrast, in the SD treatment group, DHA activity was promoted at the higher concentration of 100 µg/L SD compared to the lower concentration of 10 µg/L SD.
3.2. Changes in Enzyme Activities in Both the Top and Bottom Sediment Layers
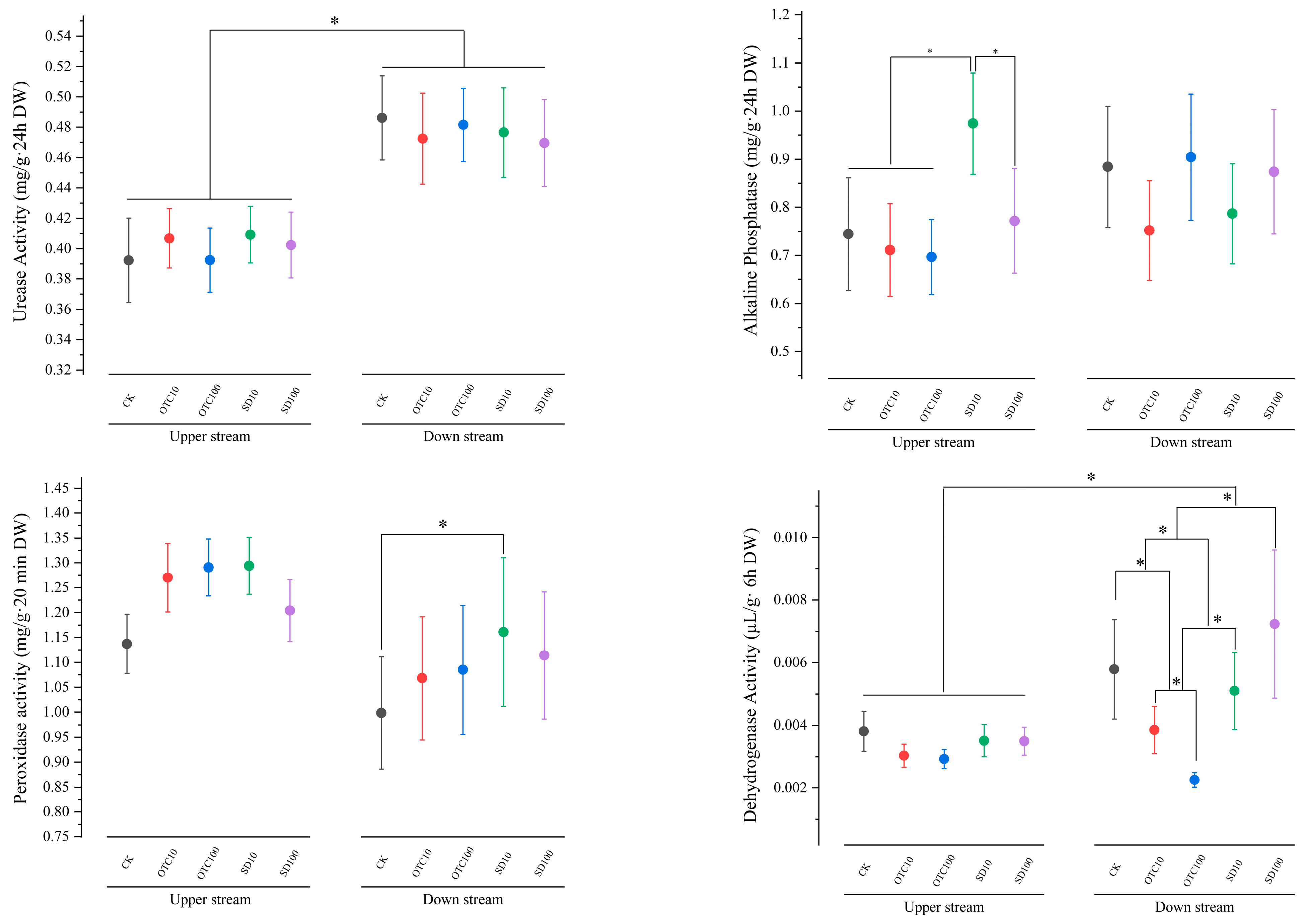
The vertical distribution of soil enzymes follows a specific pattern that indicates the nutrient levels in each soil layer, reflecting the fertility and productivity of the soil [35]. Urease and alkaline phosphatase are key indicators of soil fertility, playing roles in nitrogen metabolism and phosphorus remineralization. In the control group, both urease and alkaline phosphatase activities were higher in the top layer compared to the bottom layer. This is consistent with previous studies that have shown an increase in enzyme activities with soil depth [26,36,37]. In the top sediment, urease activity decreased in the OTC 100 µg/L treatment group (Figure 2), while in the bottom sediment, there was a decrease in the hygromycin 100 µg/L treatment group. The highest urease activity was observed in the SD 10 µg/L exposure group in the top deposits. The presence of antibiotics in the bottom sediment led to a reversal in urease activity, with the highest levels observed in the group treated with SD at 100 µg/L. This increase in urease activity may be attributed to the toxic effects of antibiotics, which could have resulted in the death of soil microorganisms and subsequent inhibition of enzyme activity [26]. Additionally, the expression of alkaline phosphatase (APA) in the top layer was higher in the groups treated with SD and OTC compared to the control group, indicating a stimulating effect. In the groups treated with different concentrations of OTC, APA activity initially decreased before increasing in both the top and bottom sediment layers. Previous studies have also shown similar trends in enzyme activity after exposure to antibiotics, with some antibiotics having significant inhibitory effects on enzyme activity. Overall, the results of this study align with previous research findings on the impact of antibiotics on soil enzyme activities.
Figure 2.
Comparison of urease activities, alkaline phosphatase activities, catalase activities, and dehydrogenase activities in top and bottom sediment layers. The CK group represents the control treatment without the reintroduction of any antibiotics. The OTC10, OTC100, SD10, and SD100 groups refer to the overlying water to sediment containing oxytetracycline (OTC) or sulfadiazine (SD) at concentrations of 10 µg/L and 100 µg/L (Significance level was marked by * p < 0.05).
The responses of DHA and POA indicate the activity of microorganisms in decomposing organic matter and converting energy in soil. Studies by Xu et al. [33], Guo et al. [35], Sinclair et al. [38], and Keplin et al. [39] support this. In untreated basins, POA expression was lower in the top layer compared to the bottom layer, while DHA expression showed the opposite trend [40,41,42]. After adding SD 10 µg/L, POA expression in the top layer increased significantly compared to the CK, OTC10 µg/L, and SD100 µg/L groups. The activity of POA in the top layer increased with OTC concentration and decreased with SD concentration. The expression of POA in the bottom layer showed the opposite trend. In both top and bottom sediments treated with hygromycin and sulfadiazine, POA activity was higher than in the CK group. This is because soil microorganisms under antibiotic stress secrete more catalase to resist poisoning, as observed in studies by Liu et al. [43] and Wu et al. [8]. DHA levels were found to be significantly higher in the top sediment layer compared to the bottom layer across all treatments. Additionally, DHA levels in the top sediment decreased with increasing concentrations of OTC. Enzyme activity was notably higher in the group treated with 100 µg/L SD compared to the control, 10 µg/L SD-treated, and OTC-treated groups. The expression of DHA remained consistent in both top and bottom sediment layers after antibiotic exposure, but there was a significant decrease in DHA levels in the bottom sediment. Enzyme activity of DHA in both top and bottom sediment layers was significantly higher than in the control, 10 µg/L SD-treated, and OTC-treated groups. In the bottom sediment, enzyme activity of DHA was notably higher in the control and OTC-treated groups. The difference in POA expression between top and bottom sediments may be attributed to aerobic microorganisms in the bottom soil developing resistance to antibiotics and being stimulated by exposure to SD and OTC solutions [21]. On the other hand, the lower expression of DHA responses in the bottom layer could be due to the development of new community structures over time with exposure to antibiotics, resulting in a stable community that is less responsive to re-activation of antibiotics [30].
3.3. Changes in Enzyme Activities in Sediment Environments Upstream and Downstream
Antibiotics are frequently found in river sediments due to their metabolic elimination into the environment during social and production activities [44]. Studies have shown that there are differences in adaptation and resistance to antibiotics between upstream and downstream areas, likely due to varying levels of antibiotic selection pressure over time [45]. In a study, it was observed that the activities of UA and DHA were significantly lower upstream compared to downstream, while there was no significant correlation between the activities of APA and POA in these areas (Figure 3). Treatment with 10 µg/L SD resulted in a higher response of APA upstream compared to other groups, with no significant change in downstream expression. Exposure to 100 µg/L sulfadoxine-pyrimethamine and hygromycin in upstream sediment led to lower APA activity compared to the 10 µg/L treatment group. Interestingly, downstream expression of enzyme activity was higher in antibiotic-treated groups compared to lower treated groups [42]. The response to 100 µg/L SD was greater upstream than in the blank-treated group. POA and DHA showed higher responses upstream compared to downstream, with DHA being inhibited in both areas in response to different concentrations of SD and 10 µg/L OTC. Inhibition downstream was more pronounced in the 10 µg/L OTC treatment, while inhibition upstream was greater in the 100 µg/L OTC treatment. The study found that enzyme responses were higher in upstream areas compared to downstream areas when exposed to high concentrations of 100 µg/L OTC and SD. Additionally, downstream responses to changes in UA and APA were higher than upstream responses. The responses of DHA to OTC and SD remained constant, while the responses of POA to OTC and SD were smaller. Upstream changes in OTC showed increasing inhibition with higher concentrations, while downstream changes showed a trend of increasing inhibition. Furthermore, as SD concentration increased, the inhibitory effect changed to a facilitatory effect.
Figure 3.
Comparison of urease activity, dehydrogenase activity, catalase activity, and alkaline phosphatase activity in sediment samples from upstream and downstream. The CK group represents the control treatment without the reintroduction of any antibiotics. The OTC10, OTC100, SD10, and SD100 groups refer to the overlying water to sediment containing oxytetracycline (OTC) or sulfadiazine (SD) at concentrations of 10 µg/L and 100 µg/L (Significance level was marked by * p < 0.05).
3.4. Impacts of Environmental Factors on Enzyme Activities in Watershed Environment
Soil enzyme activities are influenced by the physico-chemical properties of the soil environment [44], with low concentrations of heavy metals and high organic carbon or nitrogen content promoting higher enzyme activities [13,46,47]. This study aimed to analyze the activities of four enzymes in relation to soil physico-chemical indicators and other environmental factors. A Mantal analysis was conducted (Figure S2), showing that particle size, soil nitrogen content, and soil carbon content were significantly correlated with all four enzymes, while lead and electrical conductivity were not. Phosphatase and peroxidase activities were significantly correlated with most measured environmental factors, except for lead and electrical conductivity. These enzymes were particularly well correlated with arsenic, mercury, pH, carbon, nitrogen, and sulfur, indicating their impact on phosphorus nutrient synthesis and aerobic microbial activity. The activities of sediment microbial communities are primarily influenced by basic soil properties such as total carbon and total nitrogen [48,49,50]. The impact of physico-chemical properties on enzyme activity in each treatment was assessed using random forest calculation (Figure 4). It was observed that pH in the sediment had a limited influence, explaining less than 15% of the enzyme activity. The sediment pH in this study was slightly alkaline, which may have affected the stability of OTC, as it is known to be more stable in acidic and neutral soils but easily degrades in alkaline soils [1,51]. The composition of soil particle size plays a significant role in nutrient storage and transport in the soil [52]. The effect of D50 on enzyme activity was particularly notable, accounting for around 75% of the variation. The importance of particle size on enzymes such as UA, APA, DHA, and POA increased with the addition of antibiotics. Soil particles have the ability to adsorb colloids, which can in turn adsorb toxic substances [53]. In this study, the large particle size of the soil limited the adsorption of colloids and organic matter, resulting in a negative correlation with enzyme activity for most of the enzymes studied. The study found that heavy metals Pb, Ni, and As had a positive correlation with APA, POA, and DHA, while UA had a negative correlation with these heavy metals. Enzymes involved in nitrogen and sulfur cycles were more sensitive to the toxicity of the heavy metals [52]. When SD and OTC were introduced, there was a significant decrease in the impact of Pb, Ni, and As on UA, suggesting that urease activity may change its sensitivity to heavy metals under antibiotic stress. Among the soil physico-chemical properties, sulfur had the highest explanatory power, with a correlation between soil sulfur content and enzyme activity increasing in the antibiotic treatment group. DHA, POA, and ALP were positively correlated, indicating that the soil microbial community relies more on soil sulfur under the influence of hygromycin and sulphadiazine.
Figure 4.
Mantel correlation analysis of enzymes, physico-chemical properties, and heavy metals. Relative abundance of environmental factors and enzyme activities under different treatments was assessed by correlation and optimal random forest models, and the size of the environmental correlation circle indicates the importance of the variable. Colors indicate Spearman correlations.
Redundancy analysis of enzymes revealed a strong association between physico-chemical properties and antibiotics (Figure 5). The first major axis (RDA1) of UA explained 93.51% of the total variance, while the second major axis (RDA2) explained 3.44% of the total variance. Similarly, the axes of APA explained 92.82% and 3.86% of the total variance, and the first major axis (RDA1) of POA explained 97.58% of the variance, with the second major axis (RDA2) explaining 1.75%. The first and second major components of DHA explained 94.90% and 3.39% of the variance, respectively. Furthermore, particle size was found to be significantly negatively correlated with enzyme activity, indicating a potential impact on enzyme activity due to antibiotics. Additionally, the nutrients N and C showed positive correlations with enzyme activity, suggesting a close relationship between enzyme activity and nutrient availability. This implies that antibiotics may influence enzyme activity, leading to potential effects on endogenous release [14,47]. The response of soil enzymes UA and APA to antibiotic treatment was mainly influenced by the EC value, as well as heavy metals such as As, Ni, Hg, and Pb. These factors had a significant impact on APA but not on UA. On the other hand, the responses of POA and DHA were primarily affected by pH levels, with heavy metals As, Pb, and Hg also playing a role, although to a lesser extent for DHA. These findings align with previous research suggesting that EC affects UA and APA [54], while pH levels have a greater impact on POA and DHA [25]. RDA analyses revealed minimal differences in the responses of UA, APA, POA, and DHA in upstream and downstream sediments after exposure to hygromycin and sulfadiazine. The environmental factors and soil layers in upstream and downstream areas were used as explanatory variables, with UA, APA, POA, and DHA as response variables. There was no clear pattern of interpretation based on these analyses. The analysis in Figure 6 shows that environmental factors have the greatest impact on enzyme activities, explaining between 32.10% and 47.90% of the variance. Environmental factors have always been known to play a significant role in soil enzyme activity [14]. After recontamination with antibiotics, the synergistic upstream and downstream effects of DHA were found to have the highest degree of explanation at 4.80% (Figure 5). Upstream and downstream alone had no effect on POA; however, the combined effect of upstream, downstream, and environmental factors had the highest effect of 6.80% on POA. The individual effects of top and bottom soil layers on enzyme activities ranged from 4.70% to 6.30%, indicating that the effects on the four enzymes studied were higher than those brought about by the upstream and downstream after the secondary antibiotic intervention. In particular, the combination of top and bottom soil layers and environmental factors had an effect of nearly 10% on DHA. It was demonstrated that after re-exposure to antibiotics, the effect of synergistic effects of top and bottom soil layers and environmental factors on DHA was higher, and the response had a greater effect on microorganisms.
Figure 5.
Redundant analysis (RDA) of enzymes and physico-chemical properties under antibiotics. (A) UA, (B) APA, (C) POA, (D) DHA. The CK group represents the control treatment without the reintroduction of any antibiotics. The OTC10, OTC100, SD10, and SD100 groups refer to the overlying water to sediment containing oxytetracycline (OTC) or sulfadiazine (SD) at concentrations of 10 µg/L and 100 µg/L; EC is electric conductivity; D50 is vol. weighted median value of particle diameter; N is total nitrogen content; C is total carbon content; S is total sulfur content.
Figure 6.
Relative contributions of upstream and downstream watersheds, different soil layers, and environmental factors to sediment enzyme activity. The variance division analysis was used to determine the contribution of environmental factors to the activity of different enzymes.
4. Conclusions
Upon reintroduction of SD and OTC antibiotics, activities of enzymes such as UA and APA in sediments within the Jinjiang River Basin exhibited higher levels in the bottom layer than in the top layer, while downstream areas showed elevated levels of UA and DHA compared to upstream locations. Environmental factors exerted a significant influence on the ecological responses of the four target enzyme activities to antibiotic reintroduction. Specifically, particle size markedly inhibited enzyme activity, while sediment nutrient conditions, such as total carbon, nitrogen, and sulfur content, notably enhanced enzyme activities. Additional research is necessary to elucidate the maintenance and development profiles of antibiotic resistance under prolonged antibiotic selection at environmental concentration levels on a watershed scale.
Supplementary Materials
The following supporting information can be downloaded at: https://www.mdpi.com/article/10.3390/w16101393/s1, Figure S1: Box plots of sediment urease activities (UA), alkaline phosphatase activities (APA), dehydrogenase activities (DHA), and peroxidase activities (POA) under different antibiotics; Figure S2: Mantel analysis between enzyme activities and sediment properties.
Author Contributions
Y.C. designed the work plan, Y.L. performed all experiments, Y.L. and Y.C. analyzed the data and wrote manuscript. J.X., Y.F. and J.J. helped in modifying this manuscript. All authors have read and agreed to the published version of the manuscript.
Funding
This work was supported by the National Natural Science Foundation of China (No. 41671495; 41977358; 52230006) and Natural Science Foundation of Fujian province of China (No. 2022J011105).
Data Availability Statement
The data sets used and/or analyzed during the current study are available from the corresponding author on request.
Conflicts of Interest
The authors declare no conflicts of interest.
References
- Liu, K.; Yin, X.; Zhang, D.; Yan, D.; Cui, L.; Zhu, Z.; Wen, L. Distribution, sources, and ecological risk assessment of quinotone antibiotics in the surface sediments from Jiaozhou Bay wetland, China. Mar. Pollut. Bull. 2018, 129, 859–865. [Google Scholar] [CrossRef] [PubMed]
- Klein, E.Y.; Van Boeckel, T.P.; Martinez, E.M.; Pant, S.; Gandra, S.; Levin, S.A.; Goossens, H.; Laxminarayan, R. Global increase and geographic convergence in antibiotic consumption between 2000 and 2015. Proc. Natl. Acad. Sci. USA 2018, 115, 3463–3470. [Google Scholar] [CrossRef]
- Li, D.; Zeng, S.; He, M.; Gu, A.Z. Water Disinfection Byproducts Induce Antibiotic Resistance-Role of Environmental Pollutants in Resistance Phenomena. Environ. Sci. Technol. 2016, 50, 3193–3201. [Google Scholar] [CrossRef] [PubMed]
- Li, W.; Zhang, Y.; Wu, N.; Zhao, Z.; Xu, W.A.; Ma, Y.; Niu, Z. Colonization Characteristics of Bacterial Communities on Plastic Debris Influenced by Environmental Factors and Polymer Types in the Haihe Estuary of Bohai Bay, China. Environ. Sci. Technol. 2019, 53, 10763–10773. [Google Scholar] [CrossRef] [PubMed]
- Wang, Y.; Lu, J.; Zhang, S.; Li, J.; Mao, L.; Yuan, Z.; Bond, P.L.; Guo, J. Non-antibiotic pharmaceuticals promote the transmission of multidrug resistance plasmids through intra- and intergenera conjugation. ISME J. 2021, 15, 2493–2508. [Google Scholar] [CrossRef] [PubMed]
- Sandegren, L. Low sub-minimal inhibitory concentrations of antibiotics generate new types of resistance. Sustain. Chem. Pharm. 2019, 11, 46–48. [Google Scholar] [CrossRef]
- Zhu, L.; Li, R.; Yan, Y.; Cui, L. Urbanization drives the succession of antibiotic resistome and microbiome in a river watershed. Chemosphere 2022, 301, 134707. [Google Scholar] [CrossRef] [PubMed]
- Wu, T.; Zhang, Y.; Wang, B.; Chen, C.; Cheng, Z.; Li, Y.; Wang, B.; Li, J. Antibiotic resistance genes in Chishui River, a tributary of the Yangtze River, China: Occurrence, seasonal variation and its relationships with antibiotics, heavy metals and microbial communities. Sci. Total Environ. 2022, 846, 157472. [Google Scholar] [CrossRef] [PubMed]
- Qiu, W.; Hu, J.; Magnuson, J.T.; Greer, J.; Yang, M.; Chen, Q.; Fang, M.; Zheng, C.; Schlenk, D. Evidence linking exposure of fish primary macrophages to antibiotics activates the NF-kB pathway. Environ. Int. 2020, 138, 105624. [Google Scholar] [CrossRef]
- Wang, J.; Lu, X.; Jing, Q.; Zhang, B.; Ye, J.; Zhang, H.; Xiao, Z.; Zhang, J. Spatiotemporal characterization of heavy metal and antibiotics in the Pearl River Basin and pollutants removal assessment using invasive species-derived biochars. J. Hazard. Mater. 2023, 454, 131409. [Google Scholar]
- Zhang, Y.; Li, K.; Wu, Y.; Liu, Y.; Wu, R.; Zhong, Y.; Xiao, S.; Mao, H.; Li, G.; Wang, Y.; et al. Distribution and correlation between antibiotic resistance genes and host-associated markers before and after swine fever in the longjiang watershed. Environ. Pollut. 2022, 313, 120101. [Google Scholar] [CrossRef]
- Chen, C.; Fang, Y.; Zhou, D. Selective pressure of PFOA on microbial community: Enrichment of denitrifiers harboring ARGs and the transfer of ferric-electrons. Water Res. 2023, 233, 119813. [Google Scholar] [CrossRef]
- Feng, Y.; Hu, J.; Chen, Y.; Xu, J.; Yang, B.; Jiang, J. Ecological response to antibiotics re-entering the aquaculture environment with possible long-term antibiotics selection based on enzyme activity in sediment. Environ. Sci. Pollut. Res. 2022, 29, 19033–19044. [Google Scholar] [CrossRef]
- Feng, Y.; Lu, Y.; Chen, Y.; Xu, J.; Jiang, J. Microbial community structure and antibiotic resistance profiles in sediments with long-term aquaculture history. J. Environ. Manag. 2023, 341, 118052. [Google Scholar] [CrossRef]
- Roose-Amsaleg, C.; Laverman, A.M. Do antibiotics have environmental side-effects? Impact of synthetic antibiotics on biogeochemical processes. Environ. Sci. Pollut. Res. Int. 2016, 23, 4000–4012. [Google Scholar] [CrossRef]
- Nannipieri, P.; Ascher-Jenull, J.; Ceccherini, M.T.; Landi, L.; Pietramellara, G.; Renella, G. Microbial diversity and soil functions. Eur. J. Soil Sci. 2017, 68, 12–26. [Google Scholar] [CrossRef]
- Xing, G.; Lu, J.; Xuan, L.; Chen, J.; Xiong, J. Sediment prokaryotic assembly, methane cycling, and ammonia oxidation potentials in response to increasing antibiotic pollution at shrimp aquafarm. J. Hazard. 2022, 434, 128885. [Google Scholar] [CrossRef]
- Thiele-Bruhn, S.; Beck, I.C. Effects of sulfonamide and tetracycline antibiotics on soil microbial activity and microbial biomass. Chemosphere 2005, 59, 457–465. [Google Scholar] [CrossRef]
- Fang, H.; Han, Y.; Yin, Y.; Pan, X.; Yu, Y. Variations in dissipation rate, microbial function and antibiotic resistance due to repeated introductions of manure containing sulfadiazine and chlortetracycline to soil. Chemosphere 2014, 96, 51–56. [Google Scholar] [CrossRef] [PubMed]
- Wang, F.F.; Qu, J.H.; Hu, Y.S. Spatial and temporal characteristics and correlation of phosphorus, pH and alkaline phosphatase at the water-sediment interface of Taihu Lake. Ecol. Environ. 2012, 21, 907–912. [Google Scholar]
- Zhang, Y.L.; Chen, L.J.; Chen, X.H.; Tan, M.L.; Duan, Z.H.; Wu, Z.J.; Li, X.J.; Fan, X.H. Response of soil enzyme activity to long-term restoration of desertified land. Catena 2015, 133, 64–70. [Google Scholar] [CrossRef]
- Uddin, M.; Chen, J.; Qiao, X.; Tian, R.; Zhu, M. Insight into dynamics and bioavailability of antibiotics in paddy soils by in situ soil moisture sampler. Sci. Total Environ. 2020, 703, 135562. [Google Scholar] [CrossRef]
- Chen, Y.S.; Xi, X.P.; Xu, J.H.; Xie, R.J.; Jiang, J.J. Distribution patterns of antibiotic residues in an urban river catchment. Water Environ. J. 2019, 33, 31–39. [Google Scholar] [CrossRef]
- Lorenz, N.; Dick, R.P. Sampling and Pretreatment of Soil before Enzyme Analysis. Methods Soil Enzymol. 2011, 9, 85–101. [Google Scholar]
- Guan, S.Y.; Zhang, D.; Zhang, Z. Soil Enzyme and Its Research Methods; China Agriculture Press: Beijing, China, 1986; pp. 274–297. [Google Scholar]
- Nosrati, K.; Govers, G.; Ahmadi, H.; Sharifi, F.; Amoozegar, M.A.; Merckx, R.; Vanmaercke, M. An exploratory study on the use of enzyme activities as sediment tracers: Biochemical fingerprints? Int. J. Sediment Res. 2011, 26, 136–151. [Google Scholar] [CrossRef]
- Li, X.; Hou, L.; Liu, M.; Lin, X.; Li, Y.; Li, S. Primary effects of extracellular enzyme activity and microbial community on carbon and nitrogen mineralization in estuarine and tidal wetlands. Appl. Microbiol. Biotechnol. 2015, 99, 2895–2909. [Google Scholar] [CrossRef]
- Han, J.; Zhang, C.; Cheng, J.; Wang, F.; Qiu, L. Effects of biogas residues containing antibiotics on soil enzyme activity and lettuce growth. Environ. Sci. Pollut. 2019, 26, 6116–6122. [Google Scholar] [CrossRef]
- Li, Y.; Yu, X.; Liu, H.; Gong, Z. The spatio-temporal distribution of alkaline phosphatase activity and phoD gene abundance and diversity in sediment of Sancha Lake. Sci. Rep. 2023, 13, 3121. [Google Scholar] [CrossRef]
- Ma, T.; Pan, X.; Chen, L.k.; Liu, W.; Christie, P.; Luo, Y.; Wu, L. Effects of different concentrations and application frequencies of oxytetracycline on soil enzyme activities and microbial community diversity. Eur. J. Soil Biol. 2016, 76, 53–60. [Google Scholar] [CrossRef]
- Ghosh, A.; Singh, A.B.; Kumar, R.V.; Manna, M.C.; Bhattacharyya, R.; Rahman, M.M.; Sharma, P.; Rajput, P.S.; Misra, S. Soil enzymes and microbial elemental stoichiometry as bio-indicators of soil quality in diverse cropping systems and nutrient management practices of Indian Vertisols. Appl. Soil. Ecol. 2020, 145, 103304. [Google Scholar] [CrossRef]
- Saleem, A.; Zulfiqar, A.; Arshed, M.Z.; Hussain, S.; Khan, M.T.; Zivcak, M.; Zuan, A.T.K.; Alshahrani, S.M.; Alarjani, K.M. The impact of newly synthesized sulfonamides on soil microbial population and respiration in rhizospheric soil of wheat (Triticum aestivum L.). PLoS ONE 2022, 17, e0264476. [Google Scholar] [CrossRef]
- Xu, M.; Huang, X.-H.; Shen, X.-X.; Chen, H.-Q.; Li, C.; Jin, G.-Q.; Cao, J.-S.; Xue, Z.-X. Metagenomic insights into the spatiotemporal responses of antibiotic resistance genes and microbial communities in aquaculture sediments. Chemosphere 2022, 307, 135596. [Google Scholar] [CrossRef]
- Barrena, R.; Vázquez, F.; Sánchez, A. Dehydrogenase activity as a method for monitoring the composting process. Bioresour. Technol. 2008, 99, 905–908. [Google Scholar] [CrossRef]
- Zhang, Y.; Zhou, G.; Wu, N. A Review of Studies on Soil Enzymology. J. Trop. Subtrop. Bot. 2004, 1, 83–90. [Google Scholar]
- Widdig, M.; Schleuss, P.-M.; Biederman, L.A.; Borer, E.T.; Crawley, M.J.; Kirkman, K.P.; Seabloom, E.W.; Wragg, P.D.; Spohn, M. Microbial carbon use efficiency in grassland soils subjected to nitrogen and phosphorus additions. Soil Biol. Biochem. 2020, 146, 107815. [Google Scholar] [CrossRef]
- Zhang, T.; Wang, X.; Jin, X. Variations of alkaline phosphatase activity and P fractions in sediments of a shallow Chinese eutrophic lake (Lake Taihu). Environ. Pollut. 2007, 150, 288–294. [Google Scholar]
- Sinclair, D.C.R.; Smith, G.M.; Bruce, A.; Staines, H.J. Soil dehydrogenase activity adjacent to remedially treated timber, weathered in a physical field model. Int. Biodeter. Biodegr. 1997, 39, 207–216. [Google Scholar] [CrossRef]
- Keplin, B.; Broll, G. Earthworms and dehydrogenase activity of urban biotopes. Soil Biol. Biochem. 1997, 29, 533–536. [Google Scholar] [CrossRef]
- Tiquia, S.M.; Wan, J.H.C.; Tam, N.F.Y. Dynamics of yard trimmings composting as determined by dehydrogenase activity, ATP content, arginine ammonification, and nitrification potential. Process Biochem. 2002, 37, 1057–1065. [Google Scholar] [CrossRef]
- Xia, M.; Hu, C.; Zhang, H. Effects of tourmaline addition on the dehydrogenase activity of Rhodopseudomonas palustris. Process Biochem. 2006, 41, 221–225. [Google Scholar] [CrossRef]
- Yang, L.; Zhang, Y.; Li, F. Soil Enzyme Activities and Soil Fertility Dynamics. In Advances in Citrus Nutrition; Srivastava, A.K., Ed.; Springer: Dordrecht, The Netherlands, 2012; pp. 143–156. [Google Scholar]
- Liu, F.; Ying, G.-G.; Tao, R.; Zhao, J.-L.; Yang, J.-F.; Zhao, L.-F. Effects of six selected antibiotics on plant growth and soil microbial and enzymatic activities. Environ. Pollut. 2009, 157, 1636–1642. [Google Scholar] [CrossRef]
- Huang, D.Z.; Xiao, W.J.; Liu, Y.B.; Liu, J.Y.; Zhou, Y.Y. Determination of dehydrogenase activity in sediment of shallow lakes and its ecological significance. J. Lake Sci. 2009, 21, 345–350. [Google Scholar]
- Xi, X.; Wang, M.; Chen, Y.; Yu, S.; Hong, Y.; Ma, J.; Wu, Q.; Lin, Q.; Xu, X. Adaption of the microbial community to continuous exposures of multiple residual antibiotics in sediments from a salt-water aquacultural farm. J. Hazard. 2015, 290, 96–105. [Google Scholar] [CrossRef]
- You, X.; Li, H.; Pan, B.; You, M.; Sun, W. Interactions between antibiotics and heavy metals determine their combined toxicity to Synechocystis sp. J. Hazard. Mater. 2022, 424, 127707. [Google Scholar] [CrossRef]
- Han, Z.; Zhang, Y.; An, W.; Lu, J.; Hu, J.; Yang, M. Antibiotic resistomes in drinking water sources across a large geographical scale: Multiple drivers and co-occurrence with opportunistic bacterial pathogens. Water Res. 2020, 183, 116088. [Google Scholar] [CrossRef]
- Xun, W.; Huang, T.; Zhao, J.; Ran, W.; Wang, B.; Shen, Q.; Zhang, R. Environmental conditions rather than microbial inoculum composition determine the bacterial composition, microbial biomass and enzymatic activity of reconstructed soil microbial communities. Soil Biol. Biochem. 2015, 90, 10–18. [Google Scholar] [CrossRef]
- Mao, H.W.; Hui, L.L. Soil particle size distribution and its fractal dimension among degradation sequences of the alpine meadow in the source region of the Yangtze and Yellow River, Qinghai-Tibetan Plateau, China. J. Appl. Ecol. 2014, 25, 679–686. [Google Scholar]
- Su, Z.Y.; Zhao, H.L. Losses of Soil Organic Carbon and Nitrogen and Their Mechanisms in the Desertification Process of Sandy Farmlands in Horqin Sandy Land. Agric. Sci. China 2003, 8, 890–897. [Google Scholar]
- Zhou, C.F.; Yu, R.; Wang, X.; Chuang, S.C.; Yang, H.X.; Xie, Y. Effects of Antibiotics on Soil Enzyme Activities in Different Soils. J. Ecol. Environ. 2022, 31, 2234–2241. [Google Scholar]
- Tang, M.; Huang, Y.; Zhang, W.; Fu, T.; Zeng, T.; Huang, Y.; Yang, X. Effects of Microplastics on the Mineral Elements Absorption and Accumulation in Hydroponic Rice Seedlings (Oryza sativa L.). Bull. Environ. Contam. Toxicol. 2022, 108, 949–955. [Google Scholar] [CrossRef] [PubMed]
- Liu, B.R.; Niu, S.F.; Zhang, W.W. Effects of soil particle size on enzyme activities and the amount of soil microorganism in rhizosphere of Caragana korshinskii in desert steppe. Acta. Ecol. Sin. 2019, 39, 9171–9178. [Google Scholar]
- Chi, X.W.; Du, C.; Zhou, H.; Liu, L.; Dong, X. Effects of Changing Dryland into Paddy Field on pH, Electrical Conductivity and Enzyme Activities in Black Soil. Hubei Agric. Sci. 2017, 56, 2045–2048. [Google Scholar]
Disclaimer/Publisher’s Note: The statements, opinions and data contained in all publications are solely those of the individual author(s) and contributor(s) and not of MDPI and/or the editor(s). MDPI and/or the editor(s) disclaim responsibility for any injury to people or property resulting from any ideas, methods, instructions or products referred to in the content. |
© 2024 by the authors. Licensee MDPI, Basel, Switzerland. This article is an open access article distributed under the terms and conditions of the Creative Commons Attribution (CC BY) license (https://creativecommons.org/licenses/by/4.0/).





