In-Depth Photocatalytic Degradation Mechanism of the Extensively Used Dyes Malachite Green, Methylene Blue, Congo Red, and Rhodamine B via Covalent Organic Framework-Based Photocatalysts
Abstract
1. Introduction
2. Classification of Dyes and Their Hazardous Effect
3. Photocatalysis with a General Mechanism
- (a)
- Direct degradation method.
- (b)
- Indirect degradation method.
- (c)
- Charge injection dye sensitization method.

4. Photocatalysts
4.1. Mechanism of Dye Degradation over COF Photocatalysts
4.2. COF and Its Synthesis Routes
4.3. Synthesis of COFs
4.3.1. Room-Temperature Solution Synthesis
4.3.2. Solvothermal Synthesis
4.3.3. Microwave-Assisted Method
4.3.4. Mechanochemical Synthesis
4.3.5. Ionothermal Synthesis
5. Detailed Mechanism of Dye Degradation over COF Photocatalysts
6. Detailed Description and Photocatalytic Degradation of MG, MB, CR and RhB
6.1. Malachite Green
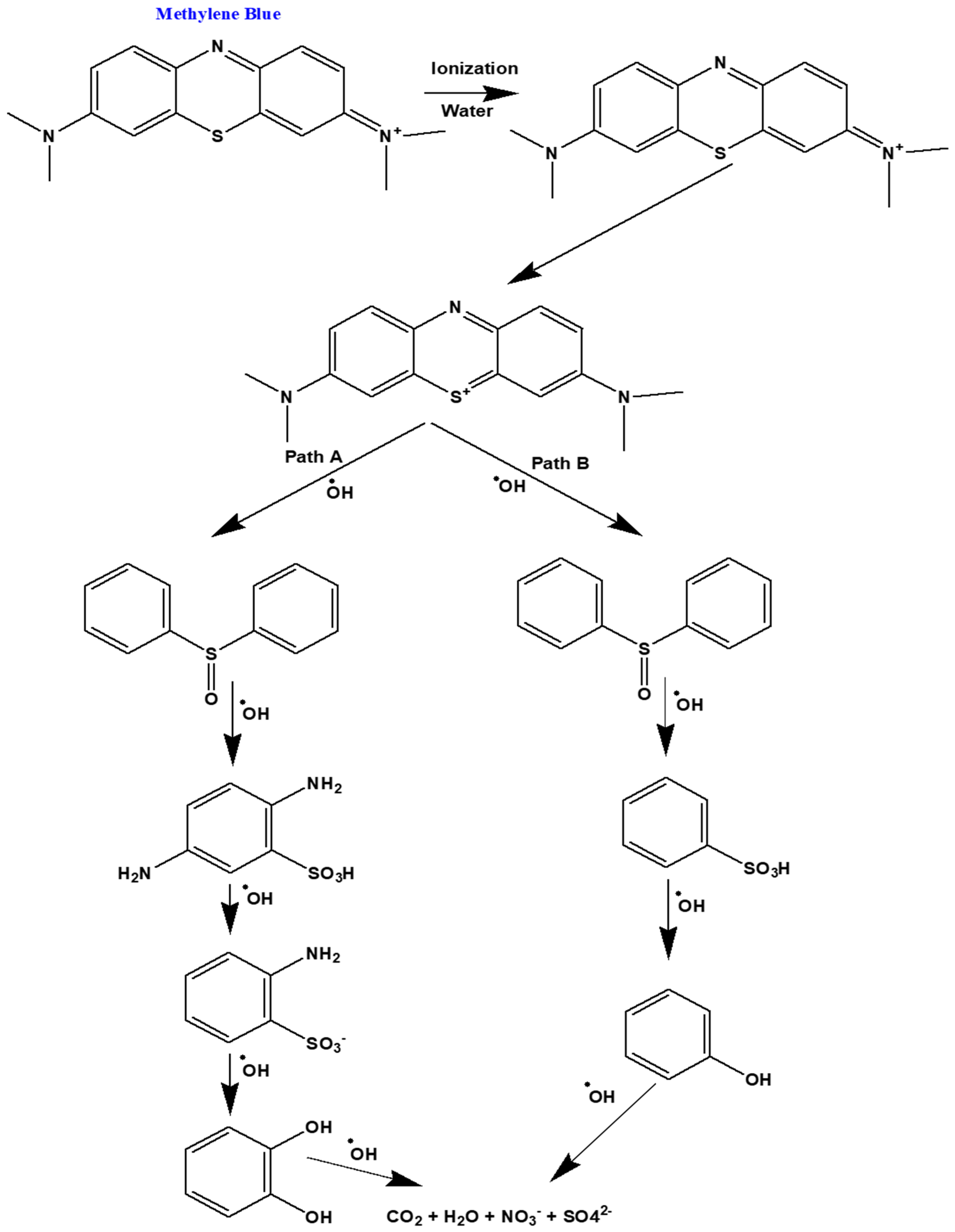
6.2. Methylene Blue
6.3. Congo Red
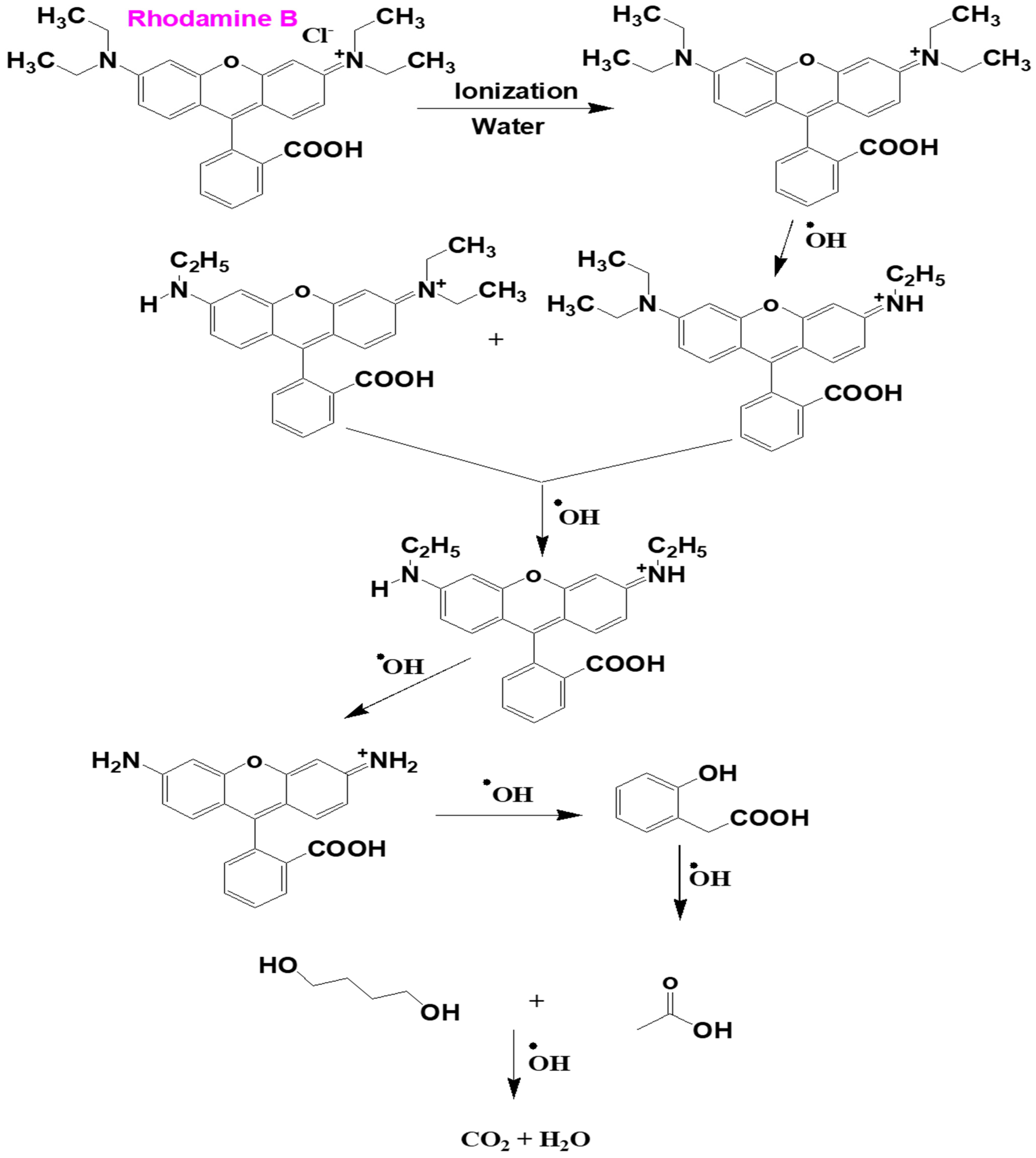
6.4. Rhodamine B
7. Techniques for Photocatalytic Degradation Confirmation
8. Factors Effecting Photocatalytic Degradation
9. Advantages and Disadvantages of Photocatalytic Degradation
10. Economic Cost of Photocatalytic Technology
11. Summary, Challenges and Future Prospects
Author Contributions
Funding
Acknowledgments
Conflicts of Interest
References
- Mustafa, S.; Bhatti, H.N.; Maqbool, M.; Iqbal, M. Microalgae biosorption, bioaccumulation and biodegradation efficiency for the remediation of wastewater and carbon dioxide mitigation: Prospects, challenges and opportunities. J. Water Process Eng. 2021, 41, 102009. [Google Scholar] [CrossRef]
- Iqbal, M.A.; Akram, S.; Lal, B.; Hassan, S.U.; Ashraf, R.; Kezembayeva, G.; Mushtaq, M.; Chinibayeva, N.; Hosseini-Bandegharaei, A. Advanced Photocatalysis as a Viable and Sustainable Wastewater Treatment Process: A Comprehensive Review. Environ. Res. 2024, 253, 118947. [Google Scholar] [CrossRef] [PubMed]
- Scaria, J.; Nidheesh, P.V.; Kumar, M.S. Synthesis and applications of various bimetallic nanomaterials in water and wastewater treatment. J. Environ. Manag. 2020, 259, 110011. [Google Scholar] [CrossRef] [PubMed]
- Wang, X.S.; Zhou, Y.; Jiang, Y.; Sun, C. The removal of basic dyes from aqueous solutions using agricultural by-products. J. Hazard. Mater. 2008, 157, 374–385. [Google Scholar] [CrossRef] [PubMed]
- Allen, S.J.; Mckay, G.; Porter, J.F. Adsorption isotherm models for basic dye adsorption by peat in single and binary component systems. J. Colloid. Interf. Sci. 2004, 280, 322–333. [Google Scholar] [CrossRef]
- Kausar, A.; Zohra, S.T.; Ijaz, S.; Iqbal, M.; Iqbal, J.; Bibi, I.; Nouren, S.; El Messaoudi, N.; Nazir, A. Cellulose-based materials and their adsorptive removal efficiency for dyes: A review. Int. J. Biol. Macromol. 2023, 224, 1337–1355. [Google Scholar] [CrossRef] [PubMed]
- Kasbaji, M.; Ibrahim, I.; Mennani, M.; Mohamed, M.M.; Salama, T.M.; Moneam, I.A.; Mbarki, M.; Moubarik, A.; Oubenali, M. Future Trends in Dye Removal by Metal Oxides and Their Nano/Composites: A Comprehensive Review. Inorg. Chem. Commun. 2023, 158, 111546. [Google Scholar] [CrossRef]
- Splitstoser, J.C.; Dillehay, T.D.; Wouters, J.; Claro, A. Early pre-Hispanic use of indigo blue in Peru. Sci. Adv. 2016, 2, e1501623. [Google Scholar] [CrossRef] [PubMed]
- El Harfi, S.; El Harfi, A. Classifications, properties and applications of textile dyes: A review. Appl. J. Environ. Eng. Sci. 2017, 3, 311–320. [Google Scholar]
- Laissaoui, M.; Elbatal, Y.; Vioque, I.; Manjon, G. Adsorption of methylene blue on bituminous schists from Tarfaya-Boujdour. Chem. Int. 2017, 3, 343–352. [Google Scholar]
- Yagub, M.T.; Sen, T.K.; Afroze, S.; Ang, H.M. Dye and its removal from aqueous solution by adsorption: A review. Adv. Colloid. Interface Sci. 2014, 209, 172–184. [Google Scholar] [CrossRef] [PubMed]
- Rafiq, A.; Ikram, M.; Ali, S.; Niaz, F.; Khan, M.; Khan, Q.; Maqbool, M. Photocatalytic degradation of dyes using semiconductor photocatalysts to clean industrial water pollution. J. Ind. Eng. Chem. 2021, 97, 111–128. [Google Scholar] [CrossRef]
- Ramesha, G.K.; Kumara, A.V.; Muralidhara, H.B.; Sampath, S. Graphene and graphene oxide as effective adsorbents toward anionic and cationic dyes. J. Colloid. Interf. Sci. 2011, 361, 270–277. [Google Scholar] [CrossRef] [PubMed]
- Bradley, B.R.; Daigger, G.T.; Rubin, R.; Tchobanoglous, G. Evaluation of onsite wastewater treatment technologies using sustainable development criteria. Clean. Technol. Environ. Policy 2002, 4, 87–99. [Google Scholar] [CrossRef]
- Pereira, L.; Alves, M. Dyes—Environmental impact and remediation. In Environmental Protection Strategies for Sustainable Development. Strategies for Sustainability; Springer: Dordrecht, The Netherlands, 2012; pp. 111–162. [Google Scholar]
- Sana, S.S.; Haldhar, R.; Parameswaranpillai, J.; Chavali, M.; Kim, S.C. Silver nanoparticles-based composite for dye removal: A comprehensive review. Clean. Mater. 2022, 6, 100161. [Google Scholar] [CrossRef]
- Liaqat, F.; Vosqa, U.T.; Khan, F.; Haleem, A.; Shaik, M.R.; Siddiqui, M.R.H.; Khan, M. Light-Driven Catalytic Activity of Green-Synthesized SnO2/WO3–x Hetero-nanostructures. Acs Omega 2023, 8, 20042–20055. [Google Scholar] [CrossRef]
- Haleem, A.; Syaal, S.B.; Ajmal, M.; Ambreen, J.; Rauf, S.; Ali, N.; Muhammad, S.; Shah, A.; Zia, M.A.; Siddiq, M. Silver and palladium nanoparticle embedded poly(n-isopropylacrylamide-co-2-acrylamido-2-methylpropane sulfonic acid) hybrid microgel catalyst with pH and temperature dependent catalytic activity. Korean J. Chem. Eng. 2020, 37, 614–622. [Google Scholar] [CrossRef]
- Haleem, A.; Chen, S.Q.; Ullah, M.; Siddiq, M.; He, W.D. Highly porous cryogels loaded with bimetallic nanoparticles as an efficient antimicrobial agent and catalyst for rapid reduction of water-soluble organic contaminants. J. Environ. Chem. Eng. 2021, 9, 106510. [Google Scholar] [CrossRef]
- Haleem, A.; Chen, S.; Pan, J.; Weidong, H. Gamma radiation induced synthesis of double network hydrophilic cryogels at low pH loaded with AuNPs for fast and efficient degradation of Congo red. J. Hazard. Mater. Adv. 2023, 10, 100299. [Google Scholar] [CrossRef]
- Umar, A.; Khan, M.S.; Alam, S.; Zekker, I.; Burlakovs, J.; dCRubin, S.S.; Bhowmick, G.D.; Kallistova, A.; Pimenov, N.; Zahoor, M. Synthesis and characterization of Pd-Ni bimetallic nanoparticles as efficient adsorbent for the removal of acid orange 8 present in wastewater. Water 2021, 13, 1095. [Google Scholar] [CrossRef]
- Nasrollahzadeh, M.; Sajjadi, M.; Iravani, S.; Varma, R.S. Starch, cellulose, pectin, gum, alginate, chitin and chitosan derived (nano) materials for sustainable water treatment: A review. Carbohydr. Polym. 2021, 251, 116986. [Google Scholar] [CrossRef] [PubMed]
- Oruç, Z.; Ergüt, M.; Uzunoğlu, D.; Özer, A. Green synthesis of biomass-derived activated carbon/Fe-Zn bimetallic nanoparticles from lemon (Citrus limon (L.) Burm. f.) wastes for heterogeneous Fenton-like decolorization of Reactive Red 2. J. Environ. Chem. Eng. 2019, 7, 103231. [Google Scholar] [CrossRef]
- Haleem, A.; Pan, J.M.; Shah, A.; Hussain, H.; He, W.D. A systematic review on new advancement and assessment of emerging polymeric cryogels for environmental sustainability and energy production. Sep. Purif. Technol. 2023, 316, 123678. [Google Scholar] [CrossRef]
- Emmanuel, S.S.; Adesibikan, A.A. Bio-fabricated green silver nano-architecture for degradation of methylene blue water contaminant: A mini-review. Water Environ. Res. 2021, 93, 2873–2882. [Google Scholar] [CrossRef] [PubMed]
- Homaeigohar, S. The nanosized dye adsorbents for water treatment. Nanomaterials 2020, 10, 295. [Google Scholar] [CrossRef] [PubMed]
- Emenike, E.C.; Iwuozor, K.O.; Anidiobi, S.U. Heavy metal pollution in aquaculture: Sources, impacts and mitigation techniques. Biol. Trace Elem. Res. 2021, 200, 4476–4492. [Google Scholar] [CrossRef] [PubMed]
- Lopez-Barbosa, N.; Florez, S.L.; Cruz, J.C.; Ornelas-Soto, N.; Osma, J.F. Congo red decolorization using textile filters and laccase-based nanocomposites in continuous flow bioreactors. Nanomaterials 2020, 10, 1227. [Google Scholar] [CrossRef]
- Ambreen, J.; Haleem, A.; Shah, A.A.; Mushtaq, F.; Siddiq, M.; Bhatti, M.A.; Bukhari, S.N.U.S.; Chandio, A.D.; Mahdi, W.A.; Alshehri, S. Facile Synthesis and Fabrication of NIPAM-Based Cryogels for Environmental Remediation. Gels 2023, 9, 64. [Google Scholar] [CrossRef]
- Kareem, L.; Shad, S.; Siddiq, M.; Farooq, M.; Haleem, A.; Ayub, A.; Ibrar, A.; Iqbal, M. Facile synthesis and characterization of palladium-loaded hydrophilic cryogels for catalytic and bactericidal applications. Emergent Mater. 2024, 7, 643–658. [Google Scholar] [CrossRef]
- Sheraz, N.; Shah, A.; Haleem, A.; Iftikhar, F.J. Comprehensive assessment of carbon-, biomaterial-and inorganic-based adsorbents for the removal of the most hazardous heavy metal ions from wastewater. RSC Adv. 2024, 14, 11284. [Google Scholar] [CrossRef]
- Rehman, S.U.; Farooq, M.; Haleem, A.; Ambreen, J.; Siddiq, M.; Althobaiti, S.A. Facile synthesis of highly macroporous Gum Arabic hydrophilic cryogel for dyes adsorption. Int. J. Mod. Phys. B 2024, 38, 2450127. [Google Scholar] [CrossRef]
- Khan, K.A.; Shah, A.; Nisar, J.; Haleem, A.; Shah, I. Photocatalytic Degradation of Food and Juices Dyes via Photocatalytic Nanomaterials Synthesized through Green Synthetic Route: A Systematic Review. Molecules 2023, 28, 4600. [Google Scholar] [CrossRef] [PubMed]
- Aamir, M.; Farooq, M.; Ambreen, J.; Ahmad, N.; Iqbal, M.; Haleem, A.; Saeed, S.; Shah, A.; Siddiq, M. Synthesis and characterization of gum arabic microgels stabilizing metal based nanocatalysts for ultrafast catalytic reduction of 4-nitrophenol at ambient conditions. J. Environ. Chem. Eng. 2019, 7, 103280. [Google Scholar] [CrossRef]
- Khan, A.S.; Muhammad, S.; Ambreen, J.; Farooq, M.; Ihsan, J.; Haleem, A.; Usman, M.; Siddiq, M. Fabrication of manganese oxide-silica based functional polymer composite membranes and their environmental application. Polym.-Plast. Technol. Eng. 2021, 60, 1420–1432. [Google Scholar] [CrossRef]
- Quddus, F.; Shah, A.; Iftikhar, F.J.; Shah, N.S.; Haleem, A. Environmentally Benign Nanoparticles for the Photocatalytic Degradation of Pharmaceutical Drugs. Catalysts 2023, 13, 511. [Google Scholar] [CrossRef]
- Farooq, M.; Ihsan, J.; Saeed, S.; Haleem, A.; Siddiq, M. Highly Versatile Gum Acacia Based Swellable Microgels Encapsulating Cobalt Nanoparticles; An Approach to Rapid and Recoverable Environmental Nano-catalysis. J. Inorg. Organomet. Polym. Mater. 2021, 31, 2030–2042. [Google Scholar] [CrossRef]
- Haleem, A.; Chen, J.; Guo, X.-X.; Wang, J.-Y.; Li, H.-J.; Li, P.-Y.; Chen, S.-Q.; He, W.-D. Hybrid Cryogels Composed of P(NIPAM-co-AMPS) and Metal Nanoparticles for Rapid Reduction of p-Nitrophenol. Polymer 2020, 193, 122352. [Google Scholar] [CrossRef]
- Haleem, A.; Pan, Y.; Wu, F.; Ullah, M.; Chen, S.; Li, H.; Pan, J. A customized 3D bio-macroporous cryogels for efficient and selective gold extraction. Sep. Purif. Technol. 2024, 345, 127305. [Google Scholar] [CrossRef]
- Haleem, A.; Wu, F.; Wang, W.; Ullah, M.; Li, H.; Shah, A.; Pan, J. Fast and effective palladium adsorption from electronic waste using a highly macroporous monolith synthesized via rapid UV-irradiation. Sep. Purif. Technol. 2024, 331, 125500. [Google Scholar] [CrossRef]
- Haleem, A.; Wu, F.; Ullah, M.; Saeed, T.; Li, H.; Pan, J. Chitosan functionalization with vinyl monomers via ultraviolet illumination under cryogenic conditions for efficient palladium recovery from waste electronic materials. Sep. Purif. Technol. 2024, 329, 125213. [Google Scholar] [CrossRef]
- Ihsan, J.; Farooq, M.; Khan, M.A.; Khan, A.S.; Muhammad, S.; Ahmad, N.; Haleem, A.; Shah, L.A.; Saeed, S.; Siddiq, M. Acacia Gum Hydrogels Embedding the In Situ Prepared Silver Nanoparticles; Synthesis, Characterization, and Catalytic Application. Catal. Lett. 2020, 151, 1212–1223. [Google Scholar] [CrossRef]
- Bibi, S.; Ahmad, A.; Anjum, M.A.R.; Haleem, A.; Siddiq, M.; Shah, S.S.; Al Kahtani, A. Photocatalytic degradation of malachite green and methylene blue over reduced graphene oxide (rGO) based metal oxides (rGO-Fe3O4/TiO2) nanocomposite under UV-visible light irradiation. J. Environ. Chem. Eng. 2021, 9, 105580. [Google Scholar] [CrossRef]
- Shah, L.A.; Malik, T.; Siddiq, M.; Haleem, A.; Sayed, M.; Naeem, A. TiO2 nanotubes doped poly (vinylidene fluoride) polymer membranes (PVDF/TNT) for efficient photocatalytic degradation of brilliant green dye. J. Environ. Chem. Eng. 2019, 7, 103291. [Google Scholar] [CrossRef]
- Nemiwal, M.; Zhang, T.C.; Kumar, D. Recent progress in g-C3N4, TiO2 and ZnO based photocatalysts for dye degradation: Strategies to improve photocatalytic activity. Sci. Total Environ. 2021, 767, 144896. [Google Scholar] [CrossRef]
- Waghchaure, R.H.; Adole, V.A.; Jagdale, B.S. Photocatalytic degradation of methylene blue, rhodamine B, methyl orange and Eriochrome black T dyes by modified ZnO nanocatalysts: A concise review. Inorg. Chem. Commun. 2022, 143, 109764. [Google Scholar] [CrossRef]
- Saeed, M.; Muneer, M.; Haq, A.U.; Akram, N. Photocatalysis: An effective tool for photodegradation of dyes—A review. Environ. Sci. Pollut. Res. 2022, 29, 293–311. [Google Scholar] [CrossRef]
- Ibhadon, A.O.; Fitzpatrick, P. Heterogeneous photocatalysis: Recent advances and applications. Catalysts 2013, 3, 189–218. [Google Scholar] [CrossRef]
- Ahmad, R.; Ahmad, Z.; Khan, A.U.; Mastoi, N.R.; Aslam, M.; Kim, J. Photocatalytic systems as an advanced environmental remediation: Recent developments, limitations and new avenues for applications. J. Environ. Chem. Eng. 2016, 4, 4143–4164. [Google Scholar] [CrossRef]
- Hassaan, M.A.; El-Nemr, M.A.; Elkatory, M.R.; Ragab, S.; Niculescu, V.C.; El Nemr, A. Principles of photocatalysts and their different applications: A review. Top. Curr. Chem. 2023, 381, 31. [Google Scholar] [CrossRef]
- Iqbal, Z.; Shah, L.A.; Sayed, M.; Haleem, A.; Siddiq, M. Responsive Polymer Hybrid Gel Cross-Linked by N,N-(1,2-Dihydroxyethylene) Bisacrylamide for Catalytic Application. J. Chil. Chem. Soc. 2016, 61, 3061–3065. [Google Scholar] [CrossRef]
- Chong, M.N.; Jin, B.; Chow, C.W.; Saint, C. Recent developments in photocatalytic water treatment technology: A review. Water Res. 2010, 44, 2997–3027. [Google Scholar] [CrossRef] [PubMed]
- Gu, H.; Liu, X.; Wang, S.; Chen, Z.; Yang, H.; Hu, B.; Shen, C.; Wang, X. COF-Based Composites: Extraordinary removal performance for heavy metals and radionuclides from aqueous solutions. Rev. Environ. Contam. Toxicol. 2022, 260, 23. [Google Scholar] [CrossRef]
- Shao, M.; Liu, Y.; Guo, Y. Customizable 2D Covalent Organic Frameworks for Optoelectronic Applications. Chin. J. Chem. 2023, 41, 1260–1285. [Google Scholar] [CrossRef]
- Aadil, M.; Zulfiqar, S.; Shahid, M.; Haider, S.; Shakir, I.; Warsi, M.F. Binder free mesoporous Ag-doped Co3O4 nanosheets with outstanding cyclic stability and rate capability for advanced supercapacitor applications. J. Alloys Compd. 2020, 844, 156062. [Google Scholar] [CrossRef]
- Wu, S.; Li, Y.; Wang, T.; Li, H.; Wang, X.; Ma, L.; Zhang, N.; Yue, P.; Li, Y. Design and synthesis of dual functional porphyrin-based COFs as highly selective adsorbent and photocatalyst. Chem. Eng. J. 2023, 470, 144135. [Google Scholar] [CrossRef]
- Cote, A.P.; Benin, A.I.; Ockwig, N.W.; O’Keeffe, M.; Matzger, A.J.; Yaghi, O.M. Porous, crystalline, covalent organic frameworks. Science 2005, 310, 1166–1170. [Google Scholar] [CrossRef] [PubMed]
- Freitas, S.K.; Borges, R.S.; Merlini, C.; Barra, G.M.; Esteves, P.M. Thermal conductivity of covalent organic frameworks as a function of their pore size. J. Phys. Chem. C 2017, 121, 27247–27252. [Google Scholar] [CrossRef]
- Haug, W.K.; Moscarello, E.M.; Wolfson, E.R.; McGrier, P.L. The luminescent and photophysical properties of covalent organic frameworks. Chem. Soc. Rev. 2020, 49, 839–864. [Google Scholar] [CrossRef] [PubMed]
- Abuzeid, H.R.; EL-Mahdy, A.F.; Kuo, S.W. Covalent organic frameworks: Design principles, synthetic strategies, and diverse applications. Giant 2021, 6, 100054. [Google Scholar] [CrossRef]
- Geng, K.; He, T.; Liu, R.; Dalapati, S.; Tan, K.T.; Li, Z.; Tao, S.; Gong, Y.; Jiang, Q.; Jiang, D. Covalent organic frameworks: Design, synthesis, and functions. Chem. Rev. 2020, 120, 8814–8933. [Google Scholar] [CrossRef]
- Wang, H.; Wang, H.; Wang, Z.; Tang, L.; Zeng, G.; Xu, P.; Chen, M.; Xiong, T.; Zhou, C.; Li, X.; et al. Covalent organic framework photocatalysts: Structures and applications. Chem. Soc. Rev. 2020, 49, 4135–4165. [Google Scholar] [CrossRef] [PubMed]
- Akinnawo, S.O. Covalent organic frameworks: Design, synthesis, characterization, and applications. ChemPhysMater 2024, 3, 36–63. [Google Scholar] [CrossRef]
- Zhuang, Z.; Shi, H.; Kang, J.; Liu, D. An overview on covalent organic frameworks: Synthetic reactions and miscellaneous applications. Mater. Today Chem. 2021, 22, 100573. [Google Scholar] [CrossRef]
- Keller, N.; Bessinger, D.; Reuter, S.; Calik, M.; Ascherl, L.; Hanusch, F.C.; Auras, F.; Bein, T. Oligothiophene-bridged conjugated covalent organic frameworks. J. Am. Chem. Soc. 2017, 139, 8194–8199. [Google Scholar] [CrossRef]
- Huang, N.; Wang, P.; Jiang, D. Covalent organic frameworks: A materials platform for structural and functional designs. Nat. Rev. Mater. 2016, 1, 16068. [Google Scholar] [CrossRef]
- Liu, R.; Tan, K.T.; Gong, Y.; Chen, Y.; Li, Z.; Xie, S.; He, T.; Lu, Z.; Yang, H.; Jiang, D. Covalent organic frameworks: An ideal platform for designing ordered materials and advanced applications. Chem. Soc. Rev. 2021, 50, 120–242. [Google Scholar] [CrossRef]
- Gao, Y.-Y.; Ding, Y.-L.; Chen, L.-Y.; Du, F.; Xin, X.-B.; Feng, J.-J.; Sun, M.-X.; Feng, Y.; Sun, M. Recent application advances of covalent organic frameworks for solid-phase extraction. Se Pu = Chin. J. Chromatogr. 2023, 41, 545–553. [Google Scholar] [CrossRef] [PubMed]
- Rasheed, T.; Ahmad Hassan, A.; Ahmad, T.; Khan, S.; Sher, F. Organic Covalent Interaction-based Frameworks as Emerging Catalysts for Environment and Energy Applications: Current Scenario and Opportunities. Chem.–Asian J. 2023, 18, e202300196. [Google Scholar] [CrossRef] [PubMed]
- Chen, J.; Wang, Y.; Yu, Y.; Wang, J.; Liu, J.; Ihara, H.; Qiu, H. Composite materials based on covalent organic frameworks for multiple advanced applications. Exploration 2023, 4, 20220144. [Google Scholar] [CrossRef]
- Nabeela, K.; Deka, R.; Abbas, Z.; Kumar, P.; Saraf, M.; Mobin, S.M. Covalent Organic Frameworks (COFs)/MXenes Heterostructures for Electrochemical Energy Storage. Cryst. Growth Des. 2023, 23, 3057–3078. [Google Scholar] [CrossRef]
- Mohajer, F.; Ziarani, G.M.; Badiei, A.; Iravani, S.; Varma, R.S. Recent advances in covalent organic frameworks (COFs) for wound healing and antimicrobial applications. RSC Adv. 2023, 13, 8136–8152. [Google Scholar] [CrossRef] [PubMed]
- Feng, X.; Ding, X.; Jiang, D. Covalent organic frameworks. Chem. Soc. Rev. 2012, 41, 6010–6022. [Google Scholar] [CrossRef] [PubMed]
- Covalent organic frameworks. Nat. Rev. Methods Primers 2023, 3, 2. [CrossRef]
- El-Kaderi, H.M.; Hunt, J.R.; Mendoza-Cortés, J.L.; Côté, A.P.; Taylor, R.E.; O’Keeffe, M.; Yaghi, O.M. Designed synthesis of 3D covalent organic frameworks. Science 2007, 316, 268–272. [Google Scholar] [CrossRef] [PubMed]
- Xiao, J.; Chen, J.; Liu, J.; Hirotaka, I.; Qiu, H. Synthesis strategies of covalent organic frameworks: An overview from nonconventional heating methods and reaction media. Green Energy Environ. 2023, 8, 1596–1618. [Google Scholar] [CrossRef]
- Sharma, R.K.; Yadav, P.; Yadav, M.; Gupta, R.; Rana, P.; Srivastava, A.; Zbořil, R.; Varma, R.S.; Antonietti, M.; Gawande, M.B. Recent development of covalent organic frameworks (COFs): Synthesis and catalytic (organic-electro-photo) applications. Mater. Horiz. 2020, 7, 411–454. [Google Scholar] [CrossRef]
- Bagheri, A.R.; Aramesh, N. Towards the room-temperature synthesis of covalent organic frameworks: A mini-review. J. Mater. Sci. 2021, 56, 1116–1132. [Google Scholar] [CrossRef]
- Sajjad, M.; Lu, W. Covalent organic frameworks based nanomaterials: Design, synthesis, and current status for supercapacitor applications: A review. J. Energy Storage 2021, 39, 102618. [Google Scholar] [CrossRef]
- Ahmed, M.; Kotp, M.G.; Mansoure, T.H.; Lee, R.-H.; Kuo, S.-W.; EL-Mahdy, A.F. Ultrastable carbazole-tethered conjugated microporous polymers for high-performance energy storage. Microporous Mesoporous Mater. 2022, 333, 111766. [Google Scholar] [CrossRef]
- Zhi, Y.; Wang, Z.; Zhang, H.L.; Zhang, Q. Recent progress in metal-free covalent organic frameworks as heterogeneous catalysts. Small 2020, 16, 2001070. [Google Scholar] [CrossRef]
- Fan, M.; Wang, W.D.; Zhu, Y.; Sun, X.; Zhang, F.; Dong, Z. Palladium clusters confined in triazinyl-functionalized COFs with enhanced catalytic activity. Appl. Catal. B Environ. 2019, 257, 117942. [Google Scholar] [CrossRef]
- Xie, Z.; Wang, B.; Yang, Z.; Yang, X.; Yu, X.; Xing, G.; Zhang, Y.; Chen, L. Stable 2D heteroporous covalent organic frameworks for efficient ionic conduction. Angew. Chem. Int. Ed. 2019, 58, 15742–15746. [Google Scholar] [CrossRef] [PubMed]
- Li, Z.; Zhi, Y.; Feng, X.; Ding, X.; Zou, Y.; Liu, X.; Mu, Y. An azine-linked covalent organic framework: Synthesis, characterization and efficient gas storage. Chem.–A Eur. J. 2015, 21, 12079–12084. [Google Scholar] [CrossRef] [PubMed]
- Verma, P.; Kuwahara, Y.; Mori, K.; Raja, R.; Yamashita, H. Functionalized mesoporous SBA-15 silica: Recent trends and catalytic applications. Nanoscale 2020, 12, 11333–11363. [Google Scholar] [CrossRef] [PubMed]
- Verma, P.; Stewart, D.J.; Raja, R. Recent advances in photocatalytic CO2 utilisation over multifunctional metal–organic frameworks. Catalysts 2020, 10, 1176. [Google Scholar] [CrossRef]
- Newland, S.H.; Sinkler, W.; Mezza, T.; Bare, S.R.; Carravetta, M.; Haies, I.M.; Levy, A.; Keenan, S.; Raja, R. Expanding beyond the micropore: Active-site engineering in hierarchical architectures for Beckmann rearrangement. ACS Catal. 2015, 5, 6587–6593. [Google Scholar] [CrossRef]
- Chapman, S.; Carravetta, M.; Miletto, I.; Doherty, C.M.; Dixon, H.; Taylor, J.D.; Gianotti, E.; Yu, J.; Raja, R. Probing the Design Rationale of a High-Performing Faujasitic Zeotype Engineered to Have Hierarchical Porosity and Moderated Acidity. Angew. Chem. 2020, 132, 19729–19737. [Google Scholar] [CrossRef]
- Wan, S.; Guo, J.; Kim, J.; Ihee, H.; Jiang, D. A belt-shaped, blue luminescent, and semiconducting covalent organic framework. Angew. Chem. 2008, 120, 8958–8962. [Google Scholar] [CrossRef]
- Liu, X.; Huang, D.; Lai, C.; Zeng, G.; Qin, L.; Wang, H.; Yi, H.; Li, B.; Liu, S.; Zhang, M. Recent advances in covalent organic frameworks (COFs) as a smart sensing material. Chem. Soc. Rev. 2019, 48, 5266–5302. [Google Scholar] [CrossRef]
- Guo, L.; Yang, L.; Li, M.; Kuang, L.; Song, Y.; Wang, L. Covalent organic frameworks for fluorescent sensing: Recent developments and future challenges. Coord. Chem. Rev. 2021, 440, 213957. [Google Scholar] [CrossRef]
- de la Peña Ruigómez, A.; Rodríguez-San-Miguel, D.; Stylianou, K.C.; Cavallini, M.; Gentili, D.; Liscio, F.; Milita, S.; Roscioni, O.M.; Ruiz-González, M.L.; Carbonell, C. Direct On-Surface Patterning of a Crystalline Laminar Covalent Organic Framework Synthesized at Room Temperature. Chem.–A Eur. J. 2015, 21, 10666–10670. [Google Scholar] [CrossRef] [PubMed]
- Yang, C.-X.; Liu, C.; Cao, Y.-M.; Yan, X.-P. Facile room-temperature solution-phase synthesis of a spherical covalent organic framework for high-resolution chromatographic separation. Chem. Commun. 2015, 51, 12254–12257. [Google Scholar] [CrossRef]
- Lin, S.; Diercks, C.S.; Zhang, Y.-B.; Kornienko, N.; Nichols, E.M.; Zhao, Y.; Paris, A.R.; Kim, D.; Yang, P.; Yaghi, O.M. Covalent organic frameworks comprising cobalt porphyrins for catalytic CO2 reduction in water. Science 2015, 349, 1208–1213. [Google Scholar] [CrossRef]
- Campbell, N.L.; Clowes, R.; Ritchie, L.K.; Cooper, A.I. Rapid microwave synthesis and purification of porous covalent organic frameworks. Chem. Mater. 2009, 21, 204–206. [Google Scholar] [CrossRef]
- Wei, H.; Chai, S.; Hu, N.; Yang, Z.; Wei, L.; Wang, L. The microwave-assisted solvothermal synthesis of a crystalline two-dimensional covalent organic framework with high CO2 capacity. Chem. Commun. 2015, 51, 12178–12181. [Google Scholar] [CrossRef]
- Peng, Y.; Xu, G.; Hu, Z.; Cheng, Y.; Chi, C.; Yuan, D.; Cheng, H.; Zhao, D. Mechanoassisted synthesis of sulfonated covalent organic frameworks with high intrinsic proton conductivity. ACS Appl. Mater. Interfaces 2016, 8, 18505–18512. [Google Scholar] [CrossRef] [PubMed]
- Kuhn, P.; Antonietti, M.; Thomas, A. Porous, covalent triazine-based frameworks prepared by ionothermal synthesis. Angew. Chem. Int. Ed. 2008, 47, 3450–3453. [Google Scholar] [CrossRef]
- Kuecken, S.; Schmidt, J.; Zhi, L.; Thomas, A. Conversion of amorphous polymer networks to covalent organic frameworks under ionothermal conditions: A facile synthesis route for covalent triazine frameworks. J. Mater. Chem. A 2015, 3, 24422–24427. [Google Scholar] [CrossRef]
- Zhao, W.; Xia, L.; Liu, X. Covalent organic frameworks (COFs): Perspectives of industrialization. CrystEngComm 2018, 20, 1613–1634. [Google Scholar] [CrossRef]
- Chen, Z.; Yu, C.; Xi, J.; Tang, S.; Bao, T.; Zhang, J. A hybrid material prepared by controlled growth of a covalent organic framework on amino-modified MIL-68 for pipette tip solid-phase extraction of sulfonamides prior to their determination by HPLC. Microchim. Acta 2019, 186, 393. [Google Scholar] [CrossRef]
- Yu, X.; Zholobenko, V.L.; Moldovan, S.; Hu, D.; Wu, D.; Ordomsky, V.V.; Khodakov, A.Y. Stoichiometric methane conversion to ethane using photochemical looping at ambient temperature. Nat. Energy 2020, 5, 511–519. [Google Scholar] [CrossRef]
- Matsushima, Y.; Nishiyabu, R.; Takanashi, N.; Haruta, M.; Kimura, H.; Kubo, Y. Boronate self-assemblies with embedded Au nanoparticles: Preparation, characterization and their catalytic activities for the reduction of nitroaromatic compounds. J. Mater. Chem. 2012, 22, 24124–24131. [Google Scholar] [CrossRef]
- Pérez-Miana, M.; Reséndiz-Ordóñez, J.U.; Coronas, J. Solventless synthesis of ZIF-L and ZIF-8 with hydraulic press and high temperature. Microporous Mesoporous Mater. 2021, 328, 111487. [Google Scholar] [CrossRef]
- Harish, V.; Ansari, M.; Tewari, D.; Yadav, A.B.; Sharma, N.; Bawarig, S.; García-Betancourt, M.-L.; Karatutlu, A.; Bechelany, M.; Barhoum, A. Cutting-edge advances in tailoring size, shape, and functionality of nanoparticles and nanostructures: A review. J. Taiwan Inst. Chem. Eng. 2023, 149, 105010. [Google Scholar] [CrossRef]
- Rodríguez-Carríllo, C.; Benítez, M.; El Haskouri, J.; Amorós, P.; Ros-Lis, J.V. Novel Microwave-Assisted Synthesis of COFs: 2020–2022. Molecules 2023, 28, 3112. [Google Scholar] [CrossRef]
- Moharramnejad, M.; Malekshah, R.E.; Salariyeh, Z.; Saremi, H.; Shahi, M.; Ehsani, A. The synthetic strategies of COFs, for Drug delivery, Photo/Sono-dynamic, Photo/Microwave thermal and Combined Therapy. Inorg. Chem. Commun. 2023, 153, 110888. [Google Scholar] [CrossRef]
- Srivastava, M.; Banger, A.; Yadav, R.; Srivastava, A.; Dwivedi, J.; Rawat, V. Advanced Microwave Assisted Organic Synthesis Method in Organic Chemistry. Adv. Org. Synth. 2022, 17, 101. [Google Scholar]
- Diaz de Grenu, B.; Torres, J.; García-González, J.; Muñoz-Pina, S.; de Los Reyes, R.; Costero, A.M.; Amorós, P.; Ros-Lis, J.V. Microwave-assisted synthesis of covalent organic frameworks: A review. ChemSusChem 2021, 14, 208–233. [Google Scholar] [CrossRef]
- Chen, L.; Du, J.; Zhou, W.; Shen, H.; Tan, L.; Zhou, C.; Dong, L. Microwave-Assisted Solvothermal Synthesis of Covalent Organic Frameworks (COFs) with Stable Superhydrophobicity for Oil/Water Separation. Chem.–Asian J. 2020, 15, 3421–3427. [Google Scholar] [CrossRef]
- Ma, X.; Ma, Y.; Su, H.; Liu, S.; Liu, Y.; Li, Q.; Xia, C. Novel insights into the mechanism for protic solvent promoting Pd/C-catalyzed hydrodechlorination of chlorinated organic compounds. Chem. Eng. J. 2022, 431, 133729. [Google Scholar] [CrossRef]
- Mohammed, K.J.; Hadrawi, S.K.; Kianfar, E. Synthesis and Modification of Nanoparticles with Ionic Liquids: A Review. BioNanoScience 2023, 13, 760–783. [Google Scholar] [CrossRef]
- Contreras-Pereda, N.; Pané, S.; Puigmartí-Luis, J.; Ruiz-Molina, D. Conductive properties of triphenylene MOFs and COFs. Coord. Chem. Rev. 2022, 460, 214459. [Google Scholar] [CrossRef]
- Frey, L.; Oliveira, O.; Sharma, A.; Guntermann, R.; Fernandes, S.P.; Cid-Seara, K.M.; Abbay, H.; Thornes, H.; Rocha, J.; Döblinger, M. Building Blocks and COFs Formed in Concert—Three-Component Synthesis of Pyrene-Fused Azaacene Covalent Organic Framework in the Bulk and as Films. Angew. Chem. 2023, 135, e202302872. [Google Scholar] [CrossRef]
- Dighe, A.V.; Bhawnani, R.R.; Podupu, P.K.; Dandu, N.K.; Ngo, A.T.; Chaudhuri, S.; Singh, M.R. Microkinetic insights into the role of catalyst and water activity on the nucleation, growth, and dissolution during COF-5 synthesis. Nanoscale 2023, 15, 9329–9338. [Google Scholar] [CrossRef]
- Zhu, C.; Pang, S.; Chen, Z.; Bi, L.; Wang, S.; Liang, C.; Qin, C. Synthesis of Covalent Organic Frameworks (COFs)-Nanocellulose Composite and Its Thermal Degradation Studied by TGA/FTIR. Polymers 2022, 14, 3158. [Google Scholar] [CrossRef]
- Biswal, B.P.; Chandra, S.; Kandambeth, S.; Lukose, B.; Heine, T.; Banerjee, R. Mechanochemical synthesis of chemically stable isoreticular covalent organic frameworks. J. Am. Chem. Soc. 2013, 135, 5328–5331. [Google Scholar] [CrossRef]
- Shinde, D.B.; Aiyappa, H.B.; Bhadra, M.; Biswal, B.P.; Wadge, P.; Kandambeth, S.; Garai, B.; Kundu, T.; Kurungot, S.; Banerjee, R. A mechanochemically synthesized covalent organic framework as a proton-conducting solid electrolyte. J. Mater. Chem. A 2016, 4, 2682–2690. [Google Scholar] [CrossRef]
- Chen, Z.; Li, Y.; Cai, Y.; Wang, S.; Hu, B.; Li, B.; Ding, X.; Zhuang, L.; Wang, X. Application of covalent organic frameworks and metal–organic frameworks nanomaterials in organic/inorganic pollutants removal from solutions through sorption-catalysis strategies. Carbon Res. 2023, 2, 8. [Google Scholar] [CrossRef]
- Bi, S. Photoredox Catalysis by Covalent Organic Frameworks. In Covalent Organic Frameworks; IntechOpen: London, UK, 2022. [Google Scholar]
- He, Z.; Goulas, J.; Parker, E.; Sun, Y.; Zhou, X.-d.; Fei, L. Review on covalent organic frameworks and derivatives for electrochemical and photocatalytic CO2 reduction. Catal. Today 2023, 409, 103–118. [Google Scholar] [CrossRef]
- Cai, Y.; Chen, Z.; Wang, S.; Chen, J.; Hu, B.; Shen, C.; Wang, X. Carbon-based nanocomposites for the elimination of inorganic and organic pollutants through sorption and catalysis strategies. Sep. Purif. Technol. 2022, 308, 122862. [Google Scholar] [CrossRef]
- Shah, S.S.A.; Javed, M.S.; Najam, T.; Nazir, M.A.; ur Rehman, A.; Rauf, A.; Sohail, M.; Verpoort, F.; Bao, S.-J. Covalent Organic Frameworks (COFs) for heterogeneous catalysis: Recent trends in design and synthesis with structure-activity relationship. Mater. Today 2023, 67, 229–255. [Google Scholar] [CrossRef]
- Cusin, L.; Peng, H.; Ciesielski, A.; Samorì, P. Chemical conversion and locking of the imine linkage: Enhancing the functionality of covalent organic frameworks. Angew. Chem. Int. Ed. 2021, 133, 14356–14370. [Google Scholar] [CrossRef]
- Yang, Q.; Luo, M.; Liu, K.; Cao, H.; Yan, H. Covalent organic frameworks for photocatalytic applications. Appl. Catal. B Environ. 2020, 276, 119174. [Google Scholar] [CrossRef]
- Chen, Z.; Wang, J.; Hao, M.; Xie, Y.; Liu, X.; Yang, H.; Waterhouse, G.I.; Wang, X.; Ma, S. Tuning excited state electronic structure and charge transport in covalent organic frameworks for enhanced photocatalytic performance. Nat. Commun. 2023, 14, 1106. [Google Scholar] [CrossRef] [PubMed]
- Kou, M.; Wang, Y.; Xu, Y.; Ye, L.; Huang, Y.; Jia, B.; Li, H.; Ren, J.; Deng, Y.; Chen, J.; et al. Molecularly engineered covalent organic frameworks for hydrogen peroxide photosynthesis. Angew. Chem. Int. Ed. 2022, 61, e202200413. [Google Scholar] [CrossRef] [PubMed]
- He, S.; Rong, Q.; Niu, H.; Cai, Y. Construction of a superior visible-light-driven photocatalyst based on a C3N4 active centre-photoelectron shift platform-electron withdrawing unit triadic structure covalent organic framework. Chem. Commun. 2017, 53, 9636–9639. [Google Scholar] [CrossRef] [PubMed]
- Hou, Y.; Cui, C.-X.; Zhang, E.; Wang, J.-C.; Li, Y.; Zhang, Y.; Zhang, Y.; Wang, Q.; Jiang, J. A hybrid of g-C3N4 and porphyrin-based covalent organic frameworks via liquid-assisted grinding for enhanced visible-light-driven photoactivity. Dalton Trans. 2019, 48, 14989–14995. [Google Scholar] [CrossRef] [PubMed]
- Deng, Y.; Zhang, Z.; Du, P.; Ning, X.; Wang, Y.; Zhang, D.; Liu, J.; Zhang, S.; Lu, X. Embedding ultrasmall Au clusters into the pores of a covalent organic framework for enhanced photostability and photocatalytic performance. Angew. Chem. 2020, 132, 6138–6145. [Google Scholar] [CrossRef]
- Hu, X.-L.; Li, H.-G.; Tan, B.-E. COFs-based porous materials for photocatalytic applications. Chin. J. Polym. Sci. 2020, 38, 673–684. [Google Scholar] [CrossRef]
- Niu, F.; Tao, L.; Deng, Y.; Gao, H.; Liu, J.; Song, W. A covalent triazine framework as an efficient catalyst for photodegradation of methylene blue under visible light illumination. New J. Chem. 2014, 38, 5695–5699. [Google Scholar] [CrossRef]
- Zhu, S.-R.; Qi, Q.; Fang, Y.; Zhao, W.-N.; Wu, M.-K.; Han, L. Covalent triazine framework modified BiOBr nanoflake with enhanced photocatalytic activity for antibiotic removal. Cryst. Growth Des. 2018, 18, 883–891. [Google Scholar] [CrossRef]
- Peng, Y.; Zhao, M.; Chen, B.; Zhang, Z.; Huang, Y.; Dai, F.; Lai, Z.; Cui, X.; Tan, C.; Zhang, H. Hybridization of MOFs and COFs: A new strategy for construction of MOF@ COF core–shell hybrid materials. Adv. Mater. 2018, 30, 1705454. [Google Scholar] [CrossRef] [PubMed]
- He, S.; Rong, Q.; Niu, H.; Cai, Y. Platform for molecular-material dual regulation: A direct Z-scheme MOF/COF heterojunction with enhanced visible-light photocatalytic activity. Appl. Catal. B Environ. 2019, 247, 49–56. [Google Scholar] [CrossRef]
- Yu, H.-Y.; Wang, J.-S.; Xie, F.-Y.; Yang, Q.; Chen, Y.; Zhao, L.; Li, Y.; Ruan, W.-J. A stack-guiding unit constructed 2D COF with improved charge carrier transport and versatile photocatalytic functions. Chem. Eng. J. 2022, 445, 136713. [Google Scholar] [CrossRef]
- Yao, D.; Xie, X.; Liang, X.; Lu, S.; Lai, H. Photocatalytic Degradation of Malachite Green by Titanium Dioxide/Covalent Organic Framework Composite: Characterization, Performance and Mechanism. ChemistryOpen 2024, e202300209. [Google Scholar] [CrossRef] [PubMed]
- Xue, H.; Xiong, S.; Mi, K.; Wang, Y. Visible-light degradation of azo dyes by imine-linked covalent organic frameworks. Green. Energy Environ. 2021, 8, 194–199. [Google Scholar] [CrossRef]
- Xiao, Z.; Zhou, Y.; Xin, X.; Zhang, Q.; Zhang, L.; Wang, R.; Sun, D. Iron (III) Porphyrin-Based Porous Material as Photocatalyst for Highly Efficient and Selective Degradation of Congo Red. Macromol. Chem. Phys. 2016, 217, 599–604. [Google Scholar] [CrossRef]
- Wang, S.; Wang, X.; Liu, B.; Xiao, X.; Wang, L.; Huang, W. Boosting the photocatalytic hydrogen production performance of graphitic carbon nitride nanosheets by tailoring the cyano groups. J. Colloid. Interf. Sci. 2022, 610, 495–503. [Google Scholar] [CrossRef] [PubMed]
- Wang, L.; Zhang, L.; Lin, B.; Zheng, Y.; Chen, J.; Zheng, Y.; Gao, B.; Long, J.; Chen, Y. Activation of Carbonyl Oxygen Sites in β-Ketoenamine-Linked Covalent Organic Frameworks via Cyano Conjugation for Efficient Photocatalytic Hydrogen Evolution. Small 2021, 17, 2101017. [Google Scholar] [CrossRef]
- Chen, S.; Kong, P.; Niu, H.; Liu, H.; Wang, X.; Zhang, J.; Li, R.; Guo, Y.; Peng, T. Co-porphyrin/Ru-pincer complex coupled polymer with Z-scheme molecular junctions and dual single-atom sites for visible light-responsive CO2 reduction. Chem. Eng. J. 2022, 431, 133357. [Google Scholar] [CrossRef]
- Shan, H.; Cai, D.; Zhang, X.; Zhu, Q.; Qin, P.; Baeyens, J. Donor-acceptor type two-dimensional porphyrin-based covalent organic framework for visible-light-driven heterogeneous photocatalysis. Chem. Eng. J. 2022, 432, 134288. [Google Scholar] [CrossRef]
- Xue, H.; Bi, Z.; Cheng, J.; Xiong, S.; Wang, Y. Coupling covalent organic frameworks and carbon nanotube membranes to design easily reusable photocatalysts for dye degradation. Ind. Eng. Chem. Res. 2021, 60, 8687–8695. [Google Scholar] [CrossRef]
- Khaing, K.K.; Yin, D.; Ouyang, Y.; Xiao, S.; Liu, B.; Deng, L.; Li, L.; Guo, X.; Wang, J.; Liu, J. Fabrication of 2D–2D heterojunction catalyst with covalent organic framework (COF) and MoS2 for highly efficient photocatalytic degradation of organic pollutants. Inorg. Chem. 2020, 59, 6942–6952. [Google Scholar] [CrossRef]
- Xu, N.; Wang, R.-L.; Li, D.-P.; Meng, X.; Mu, J.-L.; Zhou, Z.-Y.; Su, Z.-M. A new triazine-based covalent organic polymer for efficient photodegradation of both acidic and basic dyes under visible light. Dalton Trans. 2018, 47, 4191–4197. [Google Scholar] [CrossRef]
- Lv, H.; Zhao, X.; Niu, H.; He, S.; Tang, Z.; Wu, F.; Giesy, J.P. Ball milling synthesis of covalent organic framework as a highly active photocatalyst for degradation of organic contaminants. J. Hazard. Mater. 2019, 369, 494–502. [Google Scholar] [CrossRef] [PubMed]
- Yao, Y.; Hu, Y.; Hu, H.; Chen, L.; Yu, M.; Gao, M.; Wang, S. Metal-free catalysts of graphitic carbon nitride–covalent organic frameworks for efficient pollutant destruction in water. J. Colloid. Interface Sci. 2019, 554, 376–387. [Google Scholar] [CrossRef] [PubMed]
- Rajappa, S.; Shivarathri, P.G.; Rajappa, M.H.; Devendrachari, M.C.; Kotresh, H.M.N. Energy-efficient low-power LED-mediated effective photodegradation of cationic and anionic dyes by phthalocyanine-based COF sensitized ZnO photoactive material. Polyhedron 2024, 554, 116881. [Google Scholar] [CrossRef]
- Xu, N.; Liu, K.; Liu, Q.; Wang, Q.; Zhu, A.; Fan, L. Peroxymonosulfate enhanced photocatalytic degradation of organic dye by metal-free TpTt-COF under visible light irradiation. Sci. Rep. 2024, 14, 8183. [Google Scholar] [CrossRef]
- Ruidas, S.; Chowdhury, A.; Ghosh, A.; Ghosh, A.; Mondal, S.; Wonanke, A.D.; Addicoat, M.; Das, A.K.; Modak, A.; Bhaumik, A. Covalent organic framework as a metal-free photocatalyst for dye degradation and radioactive iodine adsorption. Langmuir 2023, 39, 4071–4081. [Google Scholar] [CrossRef]
- Zheng, M.; Yao, C.; Xu, Y. Fe3O4 nanoparticles decorated with UIO-66 Metal–Organic Framework particles and encapsulated in a triazine-based Covalent Organic Framework matrix for photodegradation of anionic dyes. ACS Appl. Nano Mater. 2020, 3, 11307–11314. [Google Scholar] [CrossRef]
- Yang, Y.; Niu, H.; Xu, L.; Zhang, H.; Cai, Y. Triazine functionalized fully conjugated covalent organic framework for efficient photocatalysis. Appl. Catal. B Environ. 2020, 269, 118799. [Google Scholar] [CrossRef]
- Ahmad, N.; Wijaya, A.; Arsyad, F.S.; Royani, I.; Lesbani, A. Layered double hydroxide-functionalized humic acid and magnetite by hydrothermal synthesis for optimized adsorption of malachite green. Kuwait J. Sci. 2024, 51, 100206. [Google Scholar] [CrossRef]
- Srivastava, S.; Sinha, R.; Roy, D. Toxicological effects of malachite green. Aquat. Toxicol. 2004, 66, 319–329. [Google Scholar] [CrossRef] [PubMed]
- Culp, S.J.; Beland, F.A. Malachite green: A toxicological review. J. Am. Coll. Toxicol. 1996, 15, 219–238. [Google Scholar] [CrossRef]
- Kotian, A.; Prabhu, D.; Sundarrajan, B.; Prabhu, A.; Mani, N.K. 3D Pen with cotton cartridge for on-site detection of Malachite Green Dye coating on Okra. J. Food Compos. Anal. 2024, 128, 106021. [Google Scholar] [CrossRef]
- Saad, A.M.; Abukhadra, M.R.; Ahmed, S.A.K.; Elzanaty, A.M.; Mady, A.H.; Betiha, M.A.; Shim, J.J.; Rabie, A.M. Photocatalytic degradation of malachite green dye using chitosan supported ZnO and Ce–ZnO nano-flowers under visible light. J. Environ. Manag. 2020, 258, 110043. [Google Scholar] [CrossRef]
- Cwalinski, T.; Polom, W.; Marano, L.; Roviello, G.; D’Angelo, A.; Cwalina, N.; Matuszewski, M.; Roviello, F.; Jaskiewicz, J.; Polom, K. Methylene blue—Current knowledge, fluorescent properties, and its future use. J. Clin. Med. 2020, 9, 3538. [Google Scholar] [CrossRef] [PubMed]
- Hamel, J. A review of acute cyanide poisoning with a treatment update. Crit. Care Nurse 2011, 31, 72–82. [Google Scholar] [CrossRef] [PubMed]
- Jangjoo, A.; Forghani, M.N.; Mehrabibahar, M.; Sadeghi, R. Anaphylaxis reaction of a breast cancer patient to methylene blue during breast surgery with sentinel node mapping. Acta Oncol. 2010, 49, 877–878. [Google Scholar] [CrossRef]
- Matsui, A.; Tanaka, E.; Choi, H.S.; Kianzad, V.; Gioux, S.; Lomnes, S.J.; Frangioni, J.V. Real-time, near-infrared, fluorescence-guided identification of the ureters using methylene blue. Surgery 2010, 148, 78–86. [Google Scholar] [CrossRef]
- Khan, M.A.S.; North, A.P.; Chadwick, D.R. Prolonged postoperative altered mental status after methylene blue infusion during parathyroidectomy: A case report and review of the literature. Ann. R. Coll. Surg. Engl. 2007, 89, W9. [Google Scholar] [CrossRef] [PubMed]
- Qin, T.; Nie, S.; Ji, H.; Xie, Z. Synergistic degradation and degradation pathways of methylene blue by plasma process combined with cavitation impinging stream reactor based on hydrodynamic cavitation. J. Environ. Chem. Eng. 2023, 11, 110356. [Google Scholar] [CrossRef]
- Siddiqui, S.I.; Allehyani, E.S.; Al-Harbi, S.A.; Hasan, Z.; Abomuti, M.A.; Rajor, H.K.; Oh, S. Investigation of Congo Red toxicity towards different living organisms: A review. Processes 2023, 11, 807. [Google Scholar] [CrossRef]
- Yakupova, E.I.; Bobyleva, L.G.; Vikhlyantsev, I.M.; Bobylev, A.G. Congo Red and amyloids: History and relationship. Biosci. Rep. 2019, 39, BSR20181415. [Google Scholar] [CrossRef] [PubMed]
- Kocyigit, A.; Yılmaz, M.; İncekara, Ü.; Şahin, Y.; Aydoğan, Ş. The light detection performance of the congo red dye in a Schottky type photodiode. Chem. Phys. Lett. 2022, 800, 139673. [Google Scholar] [CrossRef]
- Obi, F.O.; Maduka, H.C.C.; Zubairu, I. Assessment of congo red-induced liver damage by selected serum transaminase levels. J. Med. Sci. 2003, 3, 157–162. [Google Scholar] [CrossRef]
- Hernández-Zamora, M.; Martínez-Jerónimo, F. Congo red dye diversely affects organisms of different trophic levels: A comparative study with microalgae, cladocerans, and zebrafish embryos. Environ. Sci. Pollut. Res. 2019, 26, 11743–11755. [Google Scholar] [CrossRef] [PubMed]
- Moeinzadeh, R.; Azizi, N.; Hekmati, M.; Qomi, M.; Esmaeili, D. ZnONPs/covalent triazine frameworks nanocomposite as high-performance photocatalysts for degradation of Congo red under visible light. Mater. Chem. Phys. 2023, 307, 128122. [Google Scholar] [CrossRef]
- Glossman-Mitnik, D. Computational study of the chemical reactivity properties of the Rhodamine B molecule. Procedia Comput. Sci. 2013, 18, 816–825. [Google Scholar] [CrossRef]
- Birtalan, E.; Rudat, B.; Kölmel, D.K.; Fritz, D.; Vollrath, S.B.; Schepers, U.; Bräse, S. Investigating rhodamine B-labeled peptoids: Scopes and limitations of its applications. Biopolymers 2011, 96, 694–701. [Google Scholar] [CrossRef]
- Sharma, J.; Sharma, S.; Bhatt, U.; Soni, V. Toxic effects of Rhodamine B on antioxidant system and photosynthesis of Hydrilla verticillata. J. Hazard. Mater. Lett. 2022, 3, 100069. [Google Scholar] [CrossRef]
- Battula, H.; Bommi, S.; Bobde, Y.; Patel, T.; Ghosh, B.; Jayanty, S. Distinct rhodamine B derivatives exhibiting dual effect of anticancer activity and fluorescence property. J. Photochem. Photobiol. 2021, 6, 100026. [Google Scholar] [CrossRef]
- Nikitha, M.; Elanchezhiyan, S.; Meenakshi, S. Photodegradation of rhodamine-B in aqueous environment using visible-active gC3N4@ CS-MoS2 nanocomposite. Environ. Res. 2023, 238, 117032. [Google Scholar] [CrossRef] [PubMed]
- Kumar, A.; Pandey, G. A review on the factors affecting the photocatalytic degradation of hazardous materials. Mater. Sci. Eng. Int. J. 2017, 1, 106–114. [Google Scholar] [CrossRef]
- Ameen, S.; Seo, H.K.; Akhtar, M.S.; Shin, H.S. Novel graphene/polyaniline nanocomposites and its photocatalytic activity toward the degradation of rose Bengal dye. Chem. Eng. J. 2012, 210, 220–228. [Google Scholar] [CrossRef]
- Puri, N.; Gupta, A. Water remediation using titanium and zinc oxide nanomaterials through disinfection and photo catalysis process: A review. Environ. Res. 2023, 227, 115786. [Google Scholar] [CrossRef] [PubMed]
- Shubha, J.P.; Sushma, N.V.; Adil, S.F.; Khan, M.; Assal, M.E.; Hatshan, M.R.; Shaik, B. ZnO/La2O3/NiO based ternary heterostructure nano-photocatalyst: Preparation, characterization and its application for the degradation of methylene blue. J. King Saud. Univ.-Sci. 2022, 34, 101738. [Google Scholar] [CrossRef]
- Mohammadzadeh, A.; Khoshghadam-Pireyousefan, M.; Shokrianfard-Ravasjan, B.; Azadbeh, M.; Rashedi, H.; Dibazar, M.; Mostafaei, A. Synergetic photocatalytic effect of high purity ZnO pod shaped nanostructures with H2O2 on methylene blue dye degradation. J. Alloys Compd. 2020, 845, 156333. [Google Scholar] [CrossRef]
- Singh, J.; Chang, Y.Y.; Koduru, J.R.; Yang, J.K. Potential degradation of methylene blue (MB) by nano-metallic particles: A kinetic study and possible mechanism of MB degradation. Environ. Eng. Res. 2018, 23, 1–9. [Google Scholar] [CrossRef]
- Sharma, C.P.; Karim, A.V.; Shriwastav, A. Decolorization of methylene blue using Fe (III)-citrate complex in a solar photo-Fenton process: Impact of solar variability on process optimization. Water Sci. Technol. 2019, 80, 2047–2057. [Google Scholar] [CrossRef]
- Guo, Z.; Wang, G.; Fu, H.; Wang, P.; Liao, J.; Wang, A. Photocatalytic degradation of methylene blue by a cocatalytic PDA/TiO2 electrode produced by photoelectric polymerization. Rsc Adv. 2020, 10, 26133–26141. [Google Scholar] [CrossRef] [PubMed]
- Li, J.; Wang, X.; Wang, J.; Li, Y.; Xia, S.; Zhao, J. Simultaneous recovery of microalgae, ammonium and phosphate from simulated wastewater by MgO modified diatomite. Chem. Eng. J. 2019, 362, 802–811. [Google Scholar] [CrossRef]
- Cui, X.; Xu, W.; Xie, Z.; Dorman, J.A.; Gutierrez-Wing, M.T.; Wang, Y. Effect of dopant concentration on visible light driven photocatalytic activity of Sn1−xAgxS2. Dalton Trans. 2016, 45, 16290–16297. [Google Scholar] [CrossRef]
- Bashir, S.; Jamil, A.; Alazmi, A.; Khan, M.S.; Alsafari, I.A.; Shahid, M. Synergistic effects of doping, composite formation, and nanotechnology to enhance the photocatalytic activities of semiconductive materials. Opt. Mater. 2023, 135, 113264. [Google Scholar] [CrossRef]
- Singh, P.; Ojha, A.; Borthakur, A.; Singh, R.; Lahiry, D.; Tiwary, D.; Mishra, P.K. Emerging trends in photodegradation of petrochemical wastes: A review. Environ. Sci. Pollut. Res. 2016, 23, 22340–22364. [Google Scholar] [CrossRef] [PubMed]
- Jansson, I.; Suárez, S.; Garcia-Garcia, F.J.; Sánchez, B. Zeolite–TiO2 hybrid composites for pollutant degradation in gas phase. Appl. Catal. B Environ. 2015, 178, 100–107. [Google Scholar] [CrossRef]
- Varshney, G.; Kanel, S.R.; Kempisty, D.M.; Varshney, V.; Agrawal, A.; Sahle-Demessie, E.; Varma, R.S.; Nadagouda, M.N. Nanoscale TiO2 films and their application in remediation of organic pollutants. Coord. Chem. Rev. 2016, 306, 43–64. [Google Scholar] [CrossRef]
- Leung, Y.H.; Yung, M.M.; Ng, A.M.; Ma, A.P.; Wong, S.W.; Chan, C.M.; Ng, Y.H.; Djurišić, A.B.; Guo, M.; Wong, M.T.; et al. Toxicity of CeO2 nanoparticles–The effect of nanoparticle properties. J. Photochem. Photobiol. B Biol. 2015, 145, 48–59. [Google Scholar] [CrossRef]
- Gupta, V. Application of low-cost adsorbents for dye removal—A review. J. Environ. Manag. 2009, 90, 2313–2342. [Google Scholar] [CrossRef]
- Haleem, A.; Shafiq, A.; Chen, S.-Q.; Nazar, M. A Comprehensive Review on Adsorption, Photocatalytic and Chemical Degradation of Dyes and Nitro-Compounds over Different Kinds of Porous and Composite Materials. Molecules 2023, 28, 1081. [Google Scholar] [CrossRef]
- Kumari, H.; Sonia; Suman; Ranga, R.; Chahal, S.; Devi, S.; Sharma, S.; Kumar, S.; Kumar, P.; Kumar, S.; et al. A review on photocatalysis used for wastewater treatment: Dye degradation. Water Air Soil. Pollut. 2023, 234, 349. [Google Scholar] [CrossRef] [PubMed]
- Lan, D.; Zhu, H.; Zhang, J.; Li, S.; Chen, Q.; Wang, C.; Wu, T.; Xu, M. Adsorptive removal of organic dyes via porous materials for wastewater treatment in recent decades: A review on species, mechanisms and perspectives. Chemosphere 2021, 293, 133464. [Google Scholar] [CrossRef] [PubMed]







| Scheme. | Solvent | Temperature | Time | Examples | Advantages | Drawbacks | Ref. |
|---|---|---|---|---|---|---|---|
| Room-temperature solution synthesis | Organic solvent | 293 K | 1–30 min | COF-39 | Fast reaction rate, mild reaction conditions | Consumption of solvent | [92,93] |
| Solvothermal synthesis | Organic solvent | 353–473 K | 2–9 days | COF-1 | Excellent crystallinity | Longer time for reaction and consumption of solvent | [76,94] |
| Microwave synthesis | Organic solvent | 373.16 K | 20–60 min | COF-5 | Fast reaction rate, high yield | Consumption of polar solvent | [95,96] |
| Mechanochemical synthesis | No solvent or organic solvent | 293 K | 30 min–3 days | COF-66 | Mild reaction conditions, high yield | Lack of crystallinity | [97] |
| Ionothermal synthesis | Molten salts or ionic liquids | 673.15 K or 293 K | 12–40 h | COF-6 | No solvent consumption | Intensive reaction conditions | [98,99] |
| COF Name | Dye Name | Efficiency (%) | Ref. |
|---|---|---|---|
| TiO2/COF | MG | 93.64 | [137] |
| Imine-linked covalent organic framework | MB | 100 | [138] |
| Porphyrin-based COFs | MB | 99 | [56] |
| Organic framework with carbon nanotubes | Mordant Black 17 | 71 | [144] |
| UPC-CMP-1 | Congo Red | 88.3 | [139] |
| MoS2/COF | RhB | 98 | [145] |
| COP-NT | MO | 67 | [146] |
| COP-NT | RhB | 78 | [146] |
| CTF-A | MB | 100 | [132] |
| TpMA(1 mL) | Phenol | 83.5 | [147] |
| TpMA(3 mL) | Phenol | 100 | [147] |
| DCN@COF/PMS | Orange 2 | 93 | [148] |
| UCN@COF/P | Orange 2 | 100 | [148] |
| MCN@COF/PMSMS | Orange 2 | 64.1 | [148] |
| COF of 2DZnPc@ZnO | Methylene Violet Eosin Y | 98 92 | [149] |
| Metal-free TpTt-COF | RhB | 83.2 | [150] |
| C6-TRZ-TPA COF | Rose Bengal | 99 | [151] |
| NH2-MIL-68@TPA-COF | RhB | - | [134] |
| Fe3O4@MOFUiO-66@Tz-Dz-COF | MG/CR | 99/97 | [152] |
| CuPor-Ph-COF@g-C3N4 | RhB | 86 | [129] |
| TTO-COF | MO/MB | 99/99 | [153] |
Disclaimer/Publisher’s Note: The statements, opinions and data contained in all publications are solely those of the individual author(s) and contributor(s) and not of MDPI and/or the editor(s). MDPI and/or the editor(s) disclaim responsibility for any injury to people or property resulting from any ideas, methods, instructions or products referred to in the content. |
© 2024 by the authors. Licensee MDPI, Basel, Switzerland. This article is an open access article distributed under the terms and conditions of the Creative Commons Attribution (CC BY) license (https://creativecommons.org/licenses/by/4.0/).
Share and Cite
Haleem, A.; Ullah, M.; Rehman, S.u.; Shah, A.; Farooq, M.; Saeed, T.; Ullah, I.; Li, H. In-Depth Photocatalytic Degradation Mechanism of the Extensively Used Dyes Malachite Green, Methylene Blue, Congo Red, and Rhodamine B via Covalent Organic Framework-Based Photocatalysts. Water 2024, 16, 1588. https://doi.org/10.3390/w16111588
Haleem A, Ullah M, Rehman Su, Shah A, Farooq M, Saeed T, Ullah I, Li H. In-Depth Photocatalytic Degradation Mechanism of the Extensively Used Dyes Malachite Green, Methylene Blue, Congo Red, and Rhodamine B via Covalent Organic Framework-Based Photocatalysts. Water. 2024; 16(11):1588. https://doi.org/10.3390/w16111588
Chicago/Turabian StyleHaleem, Abdul, Mohib Ullah, Saif ur Rehman, Afzal Shah, Muhammad Farooq, Tooba Saeed, Ishan Ullah, and Hao Li. 2024. "In-Depth Photocatalytic Degradation Mechanism of the Extensively Used Dyes Malachite Green, Methylene Blue, Congo Red, and Rhodamine B via Covalent Organic Framework-Based Photocatalysts" Water 16, no. 11: 1588. https://doi.org/10.3390/w16111588
APA StyleHaleem, A., Ullah, M., Rehman, S. u., Shah, A., Farooq, M., Saeed, T., Ullah, I., & Li, H. (2024). In-Depth Photocatalytic Degradation Mechanism of the Extensively Used Dyes Malachite Green, Methylene Blue, Congo Red, and Rhodamine B via Covalent Organic Framework-Based Photocatalysts. Water, 16(11), 1588. https://doi.org/10.3390/w16111588

