Preparation of CTAB-ATP/CTS Composite Adsorbent and Removal Performance of Norfloxacin in Water
Abstract
1. Introduction
2. Materials and Methods
2.1. Materials
2.2. Preparation of CTAB-ATP/CTS Adsorbents
2.3. Characterisation of CTAB-ATP/CTS Adsorbents
2.4. Adsorption Experiments
3. Results and Discussion
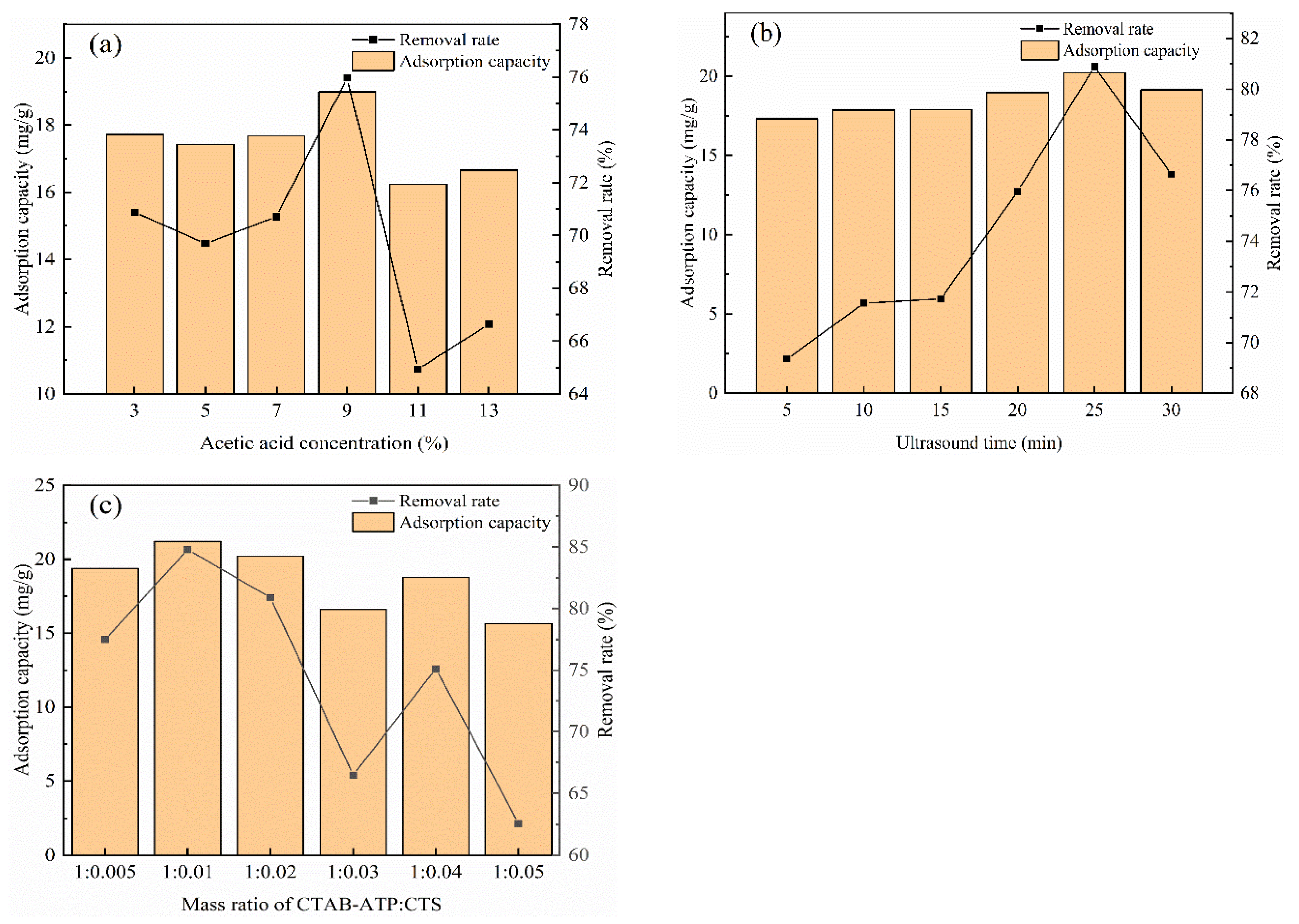
3.1. Optimisation of CTAB-ATP/CTS Preparation Conditions
3.2. Characterisation of CTAB-ATP/CTS Adsorbents
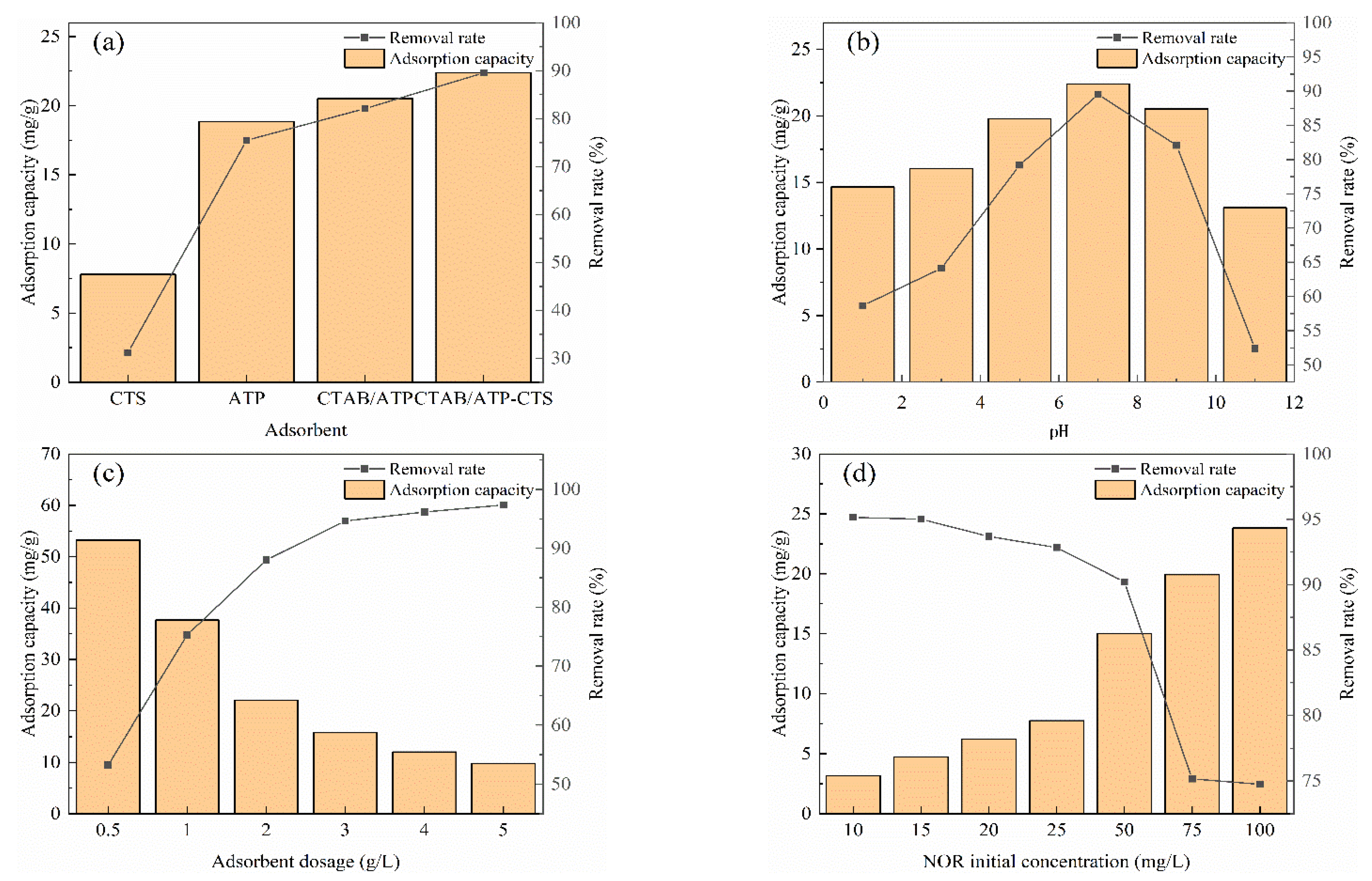
3.3. Study of Factors Affecting Adsorption of Norfloxacin by CTAB-ATP/CTS
3.4. Study of CTAB-ATP/CTS Adsorption Mechanism
3.4.1. Adsorption Kinetic Studies
3.4.2. Adsorption Isotherm Studies
4. Conclusions
Supplementary Materials
Author Contributions
Funding
Data Availability Statement
Conflicts of Interest
References
- Yang, W.; Lu, Y.; Zheng, F.; Xue, X.; Li, N.; Liu, D. Adsorption behavior and mechanisms of norfloxacin onto porous resins and carbon nanotube. Chem. Eng. J. 2012, 179, 112–118. [Google Scholar] [CrossRef]
- Li, W.; Shi, Y.; Gao, L.; Liu, J.; Cai, Y. Occurrence, distribution and potential affecting factors of antibiotics in sewage sludge of wastewater treatment plants in China. Sci. Total Environ. 2013, 445, 306–313. [Google Scholar] [CrossRef]
- Fang, N.; He, Q.; Sheng, L.; Xi, Y.; Zhang, L.; Liu, H.; Cheng, H. Toward broader applications of iron ore waste in pollution control: Adsorption of norfloxacin. J. Hazard. Mater. 2021, 418, 126273. [Google Scholar] [CrossRef] [PubMed]
- Magureanu, M.; Bilea, F.; Bradu, C.; Hong, D. A review on non-thermal plasma treatment of water contaminated with antibiotics. J. Hazard. Mater. 2021, 417, 125481. [Google Scholar] [CrossRef]
- Yang, H.; Wang, S.; Liu, Y.; Hu, Y.; Shen, W. ZIF-67 grows in chitosan-rGO hydrogel beads for efficient adsorption of tetracycline and norfloxacin. Sep. Purif. Technol. 2024, 330, 125208. [Google Scholar] [CrossRef]
- Wang, L.; Qiang, Z.; Li, Y.; Ben, W. An insight into the removal of fluoroquinolones in activated sludge process: Sorption and biodegradation characteristics. J. Environ. Sci. 2017, 56, 263–271. [Google Scholar] [CrossRef]
- Tong, J.; Chen, L.; Cao, J.; Yang, Z.; Xiong, W.; Jia, M.; Xiang, Y.; Peng, H. Biochar supported magnetic MIL-53-Fe derivatives as an efficient catalyst for peroxydisulfate activation towards antibiotics degradation. Sep. Purif. Technol. 2022, 294, 121064. [Google Scholar] [CrossRef]
- Wu, H.; Niu, X.; Yang, J.; Wang, C.; Lu, M. Retentions of bisphenol A and norfloxacin by three different ultrafiltration membranes in regard to drinking water treatment. Chem. Eng. J. 2016, 294, 410–416. [Google Scholar] [CrossRef]
- Fang, X.; Wu, S.; Wu, Y.; Yang, W.; Li, W.; He, J.; Hong, P.; Nie, M.; Xie, C.; Wu, Z.; et al. High-efficiency adsorption of norfloxacin using octahedral UIO-66-NH2 nanomaterials: Dynamics, thermodynamics, and mechanisms. Appl. Surf. Sci. 2020, 518, 146226. [Google Scholar] [CrossRef]
- Wang, S.; Yuan, R.; Chen, H.; Wang, F.; Zhou, B. Anaerobic biodegradation of four sulfanilamide antibiotics: Kinetics, pathways and microbiological studies. J. Hazard. Mater. 2021, 416, 125840. [Google Scholar] [CrossRef]
- Ghosh, S.; Kar, S.; Pal, T.; Ghosh, S. Sunlight-driven photocatalytic degradation of Norfloxacin antibiotic in wastewater by ZnSe microsphere functionalized RGO composite. Sustain. Chem. Environ. 2023, 4, 100038. [Google Scholar] [CrossRef]
- Zhang, Y.; Xiao, R.; Wang, S.; Zhu, H.; Song, H.; Chen, G.; Lin, H.; Zhang, J.; Xiong, J. Oxygen vacancy enhancing Fenton-like catalytic oxidation of norfloxacin over prussian blue modified CeO2: Performance and mechanism. J. Hazard. Mater. 2020, 398, 122863. [Google Scholar] [CrossRef]
- Wang, H.; Cheng, Z.; Zhu, N.; Yuan, H.; Lou, Z.; Otieno, P.; Li, W. pH-dependent norfloxacin degradation by E+-ozonation: Radical reactivities and intermediates identification. J. Clean. Prod. 2020, 265, 121722. [Google Scholar] [CrossRef]
- Ohale, P.; Igwegbe, C.; Iwuozor, K.; Emenike, E.; Obi, C.; Białowiec, A. A review of the adsorption method for norfloxacin reduction from aqueous media. MethodsX 2023, 10, 102180. [Google Scholar] [CrossRef] [PubMed]
- Nasrollahi, N.; Vatanpour, V.; Khataee, A. Removal of antibiotics from wastewaters by membrane technology: Limitations, successes, and future improvements. Sci. Total Environ. 2022, 838, 156010. [Google Scholar] [CrossRef] [PubMed]
- Zhang, X.; Bhattacharya, T.; Wang, C.; Kumar, A.; Nidheesh, P. Straw-derived biochar for the removal of antibiotics from water: Adsorption and degradation mechanisms, recent advancements and challenges. Environ. Res. 2023, 237, 116998. [Google Scholar] [CrossRef]
- Nayak, A.; Bhushan, B.; Kotnala, S. Fabrication of chitosan-hydroxyapatite nano-adsorbent for removal of norfloxacin from water: Isotherm and kinetic studies. Mater. Today Proc. 2022, 61, 143–149. [Google Scholar] [CrossRef]
- Li, J.; Liu, Y.; Wang, J.; Liu, Y.; Zhang, M.; Zhao, L.; Gu, S.; Lin, R.; Chen, L. Research progress on the application of natural adsorbents in the treatment of livestock wastewater. Desalin. Water Treat. 2024, 317, 100018. [Google Scholar] [CrossRef]
- Pan, Z.; Zeng, B.; Shen, L.; Teng, J.; Lai, T.; Zhao, L.; Yu, G.; Lin, H. Innovative Treatment of Industrial Effluents through Combining Ferric Iron and Attapulgite Application. Chemosphere. 2024, 358, 142132. [Google Scholar] [CrossRef]
- Liu, J.; Bai, R.; Zhang, X. Fabrication of the Pesticide-Attapulgite composites regulated by mixed-surfactants. J. Ind. Eng. Chem. 2023, 119, 461–475. [Google Scholar] [CrossRef]
- Wang, H.; Zhang, D.; Zhao, Y.; Xie, M. Cationic surfactant modified attapulgite for removal of phenol from wastewater. Colloids Surf. A Physicochem. Eng. Asp. 2022, 641, 128479. [Google Scholar] [CrossRef]
- Rostamian, M.; Hosseini, H.; Fakhri, V.; Talouki, P.; Farahani, M.; Gharehtzpeh, A.; Goodarzi, V.; Su, C. Introducing a bio sorbent for removal of methylene blue dye based on flexible poly(glycerol sebacate)/chitosan/graphene oxide ecofriendly nanocomposites. Chemosphere 2022, 289, 133219. [Google Scholar] [CrossRef]
- Nayak, A.; Bhushan, B.; Kotnala, S. Evaluation of hydroxyapatite-chitosan-magnetite nanocomposites for separation of pharmaceuticals from water: A mechanistic and comparative approach. J. Hazard. Mater. Adv. 2023, 10, 100308. [Google Scholar] [CrossRef]
- Khan, M.; Abdulhameed, A.; Alshahrani, H.; Algburi, S. Chitosan/functionalized fruit stones as a highly efficient adsorbent biomaterial for adsorption of brilliant green dye: Comprehensive characterization and statistical optimization. Int. J. Biol. Macromol. 2024, 263, 130465. [Google Scholar] [CrossRef] [PubMed]
- Mu, C.; Zhang, L.; Zhang, X.; Zhong, L.; Li, Y. Selective adsorption of Ag (Ⅰ) from aqueous solutions using Chitosan/polydopamine@C@magnetic fly ash adsorbent beads. J. Hazard. Mater. 2020, 381, 120943. [Google Scholar] [CrossRef] [PubMed]
- Guo, J.; Chen, S.; Liu, L.; Li, B.; Yang, P.; Zhang, L.; Feng, Y. Adsorption of dye from wastewater using chitosan–CTAB modified bentonites. J. Colloid Interface. Sci. 2012, 382, 61–66. [Google Scholar] [CrossRef]
- Zhu, Y.; Zheng, Y.; Wang, A. Preparation of granular hydrogel composite by the redox couple for efficient and fast adsorption of La(III) and Ce(III). J. Environ. Chem. Eng. 2015, 3, 1416–1425. [Google Scholar] [CrossRef]
- Tao, C.; Xu, J.; Shi, S.; Dai, J.; Ji, H. Environmental-friendly nanocomposite attapulgite modified by β-cyclodextrin and ionic liquid for the adsorption of thiamethoxam. J. Water Process Eng. 2023, 53, 103838. [Google Scholar] [CrossRef]
- Shi, W.; Fu, Y.; Jiang, W.; Ye, Y.; Kang, J.; Liu, D.; Ren, Y.; Li, D.; Luo, C.; Xu, Z. Enhanced phosphate removal by zeolite loaded with Mg-Al-La ternary (hydr)oxides from aqueous solutions: Performance and mechanism. Chem. Eng. J. 2019, 357, 33–44. [Google Scholar] [CrossRef]
- Teng, Y.; Jiang, Z.; Yu, A.; Yu, H.; Huang, Z.; Zou, L. Optimization of preparation parameters for environmentally friendly attapulgite functionalized by chitosan and its adsorption properties for Cd2+. Environ. Sci. Pollut. Res. 2021, 28, 44064–44078. [Google Scholar] [CrossRef]
- Liu, Y.; Liu, Y.; Niu, Y.; Qu, R. Fast and highly efficient removal of organic dyes from aqueous solution by attapulgite modified with different amino groups. Colloids Surf. A Physicochem. Eng. Asp. 2024, 687, 133543. [Google Scholar] [CrossRef]
- Kong, H.; Li, Q.; Zheng, X.; Chen, P.; Zhang, G.; Huang, Z. Lanthanum modified chitosan-attapulgite composite for phosphate removal from water: Performance, mechanisms and applicability. Int. J. Biol. Macromol. 2023, 224, 984–997. [Google Scholar] [CrossRef]
- Li, Y.; Wang, Z.; Xie, X.; Zhu, J.; Li, R.; Qin, T. Removal of Norfloxacin from aqueous solution by clay-biochar composite prepared from potato stem and natural attapulgite. Colloids Surf. A Physicochem. Eng. Asp. 2017, 514, 126–136. [Google Scholar] [CrossRef]
- Wu, X.; Huang, M.; Zhou, T.; Mao, J. Recognizing removal of norfloxacin by novel magnetic molecular imprinted chitosan/γ-Fe2O3 composites: Selective adsorption mechanisms, practical application and regeneration. Sep. Purif. Technol. 2016, 165, 92–100. [Google Scholar] [CrossRef]
- Yan, B.; Niu, C. Adsorption behavior of norfloxacin and site energy distribution based on the Dubinin-Astakhov isotherm. Sci. Total Environ. 2018, 631–632, 1525–1533. [Google Scholar] [CrossRef] [PubMed]
- Yadav, S.; Asthana, A.; Singh, A.; Chakraborty, R.; Vidya, S.; Singh, A.; Carabineiro, S. Methionine-Functionalized Graphene Oxide/Sodium Alginate Bio-Polymer Nanocomposite Hydrogel Beads: Synthesis, Isotherm and Kinetic Studies for an Adsorptive Removal of Fluoroquinolone Antibiotics. Nanomaterials 2021, 11, 568. [Google Scholar] [CrossRef] [PubMed]
- Tang, J.; Mu, B.; Zheng, M.; Wang, A. One-Step Calcination of the Spent Bleaching Earth for the Efficient Removal of Heavy Metal Ions. ACS Sustain. Chem. Eng. 2015, 3, 1125–1135. [Google Scholar] [CrossRef]
- Tang, J.; Wang, L.; Qin, W.; Qing, Z.; Du, C.; Xiao, S.; Yan, B. High reusability and adsorption capacity of acid washed calcium alginate/chitosan composite hydrogel spheres in the removal of norfloxacin. Chemosphere 2023, 335, 139048. [Google Scholar] [CrossRef]
- El-Ghobashy, M.; Salem, I.; El-Dahrawy, W.; Salem, M. Fabrication of α-MnO2/Fe-Mn binary oxide nanocomposite as an efficient adsorbent for the removal of methylene blue from wastewater. J. Mol. Struct. 2023, 1272, 134118. [Google Scholar] [CrossRef]
- Sharma, P.; Sharma, M.; Laddha, H.; Gupta, R.; Agarwal, M. Non-toxic and biodegradable κ-carrageenan/ZnO hydrogel for adsorptive removal of norfloxacin: Optimization using response surface methodology. Int. J. Biol. Macromol. 2023, 238, 124145. [Google Scholar] [CrossRef]
- Jang, H.; Yoo, S.; Choi, Y.; Park, S.; Kan, E. Adsorption isotherm, kinetic modeling and mechanism of tetracycline on Pinus taeda-derived activated biochar. Bioresour. Technol. 2018, 259, 24–31. [Google Scholar] [CrossRef] [PubMed]
- Teng, R.; Shi, D.; Pan, Y.; Jiang, J.; Song, H.; Tan, W. Synthesis of mesoporous MIL-100(Fe) from acid mine drainage sludge for norfloxacin removal: Industrial sludge high value utilization, adsorbent performance and contaminant removal mechanisms. Colloids Surf. A Physicochem. Eng. Asp. 2024, 684, 133032. [Google Scholar] [CrossRef]
- Xie, R.; Zhou, L.; Smith, A.; Almquist, C.; Berberich, J.; Danielson, N. dual grafted fluorinated hydrocarbon amine weak anion exchange resin polymer for adsorption of perfluorooctanoic acid from water. J. Hazard. Mater. 2022, 431, 128521. [Google Scholar] [CrossRef]
- Tan, L.; Yu, J.; Pang, Y.; Zeng, G.; Deng, Y.; Wang, J.; Ren, X.; Ye, S.; Peng, B.; Feng, H. Sustainable efficient adsorbent: Alkali-acid modified magnetic biochar derived from sewage sludge for aqueous organic contaminant removal. Chem. Eng. J. 2018, 336, 160–169. [Google Scholar]
- Ma, Y.; Wu, L.; Li, P.; Yang, L.; He, L.; Chen, S.; Yang, Y.; Gao, F.; Qi, X.; Zhang, Z. A novel, efficient and sustainable magnetic sludge biochar modified by graphene oxide for environmental concentration imidacloprid removal. J. Hazard. Mater. 2020, 407, 124777. [Google Scholar] [CrossRef] [PubMed]
- Cheng, T.; Zhang, Y.; Cui, F.; Jiang, G.; Liu, P.; Guo, J.; Cui, K.; Chen, C.; Li, H. Preparation of novel ZIF-8 aerogel adsorbent based on cellulose and the application of Cu (II) removal from wastewater. Chem. Phys. Lett. 2022, 808, 140100. [Google Scholar] [CrossRef]
- Wang, Y.; Yu, S.; Yuan, H.; Zhang, L. Constructing N,S co-doped network biochar confined CoFe2O4 magnetic nanoparticles adsorbent: Insights into the synergistic and competitive adsorption of Pb2+ and ciprofloxacin. Environ. Pollut. 2024, 343, 123178. [Google Scholar] [CrossRef]






| Sample | Specific Surface Area (m2/g) | Total Void Volume (cm2/g) | Average Pore Size (nm) |
|---|---|---|---|
| ATP | 16.4610 | 0.021969 | 9.3055 |
| CTAB-ATP/CTS before adsorption | 69.2159 | 0.141051 | 9.1745 |
| CTAB-ATP/CTS after adsorption | 86.3373 | 0.172600 | 12.2968 |
| Models | Parameters | NOR Initial Concentration | ||
|---|---|---|---|---|
| 25 mg/L | 50 mg/L | 75 mg/L | ||
| pseudo-first-order kinetic | 0.0075 | 0.0058 | 0.0056 | |
| 0.4708 | 2.0839 | 2.6631 | ||
| R2 | 0.9523 | 0.9585 | 0.9878 | |
| pseudo-second-order kinetic | 0.1405 | 0.0223 | 0.0178 | |
| 7.8180 | 15.8153 | 20.1898 | ||
| R2 | 0.9999 | 0.9998 | 0.9999 | |
| intra-particle diffusion | 0.0930 | 0.2726 | 0.4178 | |
| 7.0582 | 13.1400 | 16.2070 | ||
| 0.9837 | 0.9083 | 0.9168 | ||
| 0.0162 | 0.0982 | 0.1337 | ||
| 7.5469 | 14.109 | 17.9550 | ||
| 0.9430 | 0.9845 | 0.9715 | ||
| 0.0045 | 0.0244 | 0.0324 | ||
| 7.7194 | 15.282 | 19.4732 | ||
| 0.9486 | 0.9485 | 0.9983 | ||
| Temperatures | Langmuir Isothermal Model | Freundlich Isothermal Model | ||||
|---|---|---|---|---|---|---|
| (mg/g) | R2 | R2 | ||||
| 25 °C | 26.4300 | 0.3123 | 0.9903 | 7.0197 | 0.3924 | 0.9532 |
| 30 °C | 26.1949 | 0.2896 | 0.9935 | 6.7098 | 0.3984 | 0.9596 |
| 35 °C | 26.3556 | 0.2511 | 0.9933 | 6.3121 | 0.4098 | 0.9594 |
Disclaimer/Publisher’s Note: The statements, opinions and data contained in all publications are solely those of the individual author(s) and contributor(s) and not of MDPI and/or the editor(s). MDPI and/or the editor(s) disclaim responsibility for any injury to people or property resulting from any ideas, methods, instructions or products referred to in the content. |
© 2024 by the authors. Licensee MDPI, Basel, Switzerland. This article is an open access article distributed under the terms and conditions of the Creative Commons Attribution (CC BY) license (https://creativecommons.org/licenses/by/4.0/).
Share and Cite
Du, H.; Wang, Z.; Shah, K.J.; Sun, Y. Preparation of CTAB-ATP/CTS Composite Adsorbent and Removal Performance of Norfloxacin in Water. Water 2024, 16, 2446. https://doi.org/10.3390/w16172446
Du H, Wang Z, Shah KJ, Sun Y. Preparation of CTAB-ATP/CTS Composite Adsorbent and Removal Performance of Norfloxacin in Water. Water. 2024; 16(17):2446. https://doi.org/10.3390/w16172446
Chicago/Turabian StyleDu, Hongxia, Zihan Wang, Kinjal J. Shah, and Yongjun Sun. 2024. "Preparation of CTAB-ATP/CTS Composite Adsorbent and Removal Performance of Norfloxacin in Water" Water 16, no. 17: 2446. https://doi.org/10.3390/w16172446
APA StyleDu, H., Wang, Z., Shah, K. J., & Sun, Y. (2024). Preparation of CTAB-ATP/CTS Composite Adsorbent and Removal Performance of Norfloxacin in Water. Water, 16(17), 2446. https://doi.org/10.3390/w16172446

