Abstract
Accurate characterization of soil hydraulic conductivity influenced by temperature under a centrifugal environment is important for hydraulic and geotechnical engineering. Therefore, a temperature-influenced scaling law for hydraulic conductivity of soil in centrifuge modeling was deduced, and a temperature-controlled falling-head permeameter apparatus specifically designed for centrifuge modeling was also developed. Subsequently, a series of temperature-controlled falling-head tests were conducted under varying centrifugal accelerations to achieve the following objectives: (1) examine the performance of the apparatus, (2) investigate the influence of temperature and centrifugal acceleration on the hydraulic conductivity of sand and its scaling factor, and (3) validate the proposed scaling law for hydraulic conductivity. The main conclusions of the study are as follows. Firstly, the apparatus demonstrated good sealing and effectively controlled the temperature of both the soil specimen and the fluid. Secondly, the hydraulic conductivity of sand was not constant but varied over time, likely due to the presence of radial seepage in addition to vertical seepage as the test progressed. Thirdly, temperature significantly influenced the hydraulic conductivity of sand and its scaling factor under the same centrifugal acceleration. Therefore, it is essential to closely monitor the temperature of models during centrifugal tests. Finally, the measured and calculated values of the scaling factor index for the hydraulic conductivity of sand showed good agreement, verifying the proposed scaling law.
1. Introduction
Centrifuge modeling technology (hereinafter referred to as centrifuge modeling) is one of the commonly used physical simulation techniques in fields such as geotechnical and hydraulic engineering. The basic principle can typically be described as follows [1,2,3]: a prototype is scaled down by a factor of 1/n to create a model (where n represents the centrifugal acceleration level), which is then placed in a high-speed centrifuge. By applying a centrifugal acceleration n times gravitational acceleration to the model, centrifuge modeling can generate the same stress state for the model as that in the prototype, ensuring consistency in deformation and failure mechanisms between them [4]. Additionally, the environment with n times gravitational acceleration created by the high-speed rotation of the centrifuge is referred to as the centrifugal environment, which can also be referred to as the ng environment, where g represents gravitational acceleration. Due to these advantages, centrifuge modeling has been widely utilized in materials science, geological science, geotechnical engineering, and hydraulic engineering [5,6,7,8].
There are many problems related to water and seepage in geotechnical engineering, hydraulic engineering, and centrifugal experiments, such as internal erosion [9,10], slope failures [11,12], pollutant migration [13,14], and dam failures [15,16]. To successfully elucidate the mechanisms of occurrence and development of the aforementioned water-related problems in hydraulic and geotechnical engineering using centrifuge modeling, it is important and necessary to thoroughly investigate the effects of the centrifuge environment on soil water permeability in the structures mentioned above. Marot et al. [9] and Ovalle-Villamil and Sasanakul [17] conducted a series of centrifuge modeling tests to evaluate internal erosion and the centrifuge scaling behavior of models induced by downward or upward flow under different centrifugal acceleration. Beckett et al. [18] investigated steady-state and drawdown seepage behavior of tailing embankments in centrifuge modeling. Ye et al. [19] used centrifuge modeling tests to study the influence of desiccation cracks on the seepage performance of upstream clay anti-seepage systems subjected to abrupt flooding. These studies mainly focused on the seepage characteristics of entire structures. It is well known that hydraulic conductivity is an important parameter for quantitatively describing soil permeability, as well as for studying the seepage of soils and hydraulic structures [20,21,22,23]. Consequently, some researchers have examined the effects of the centrifuge environment on soil hydraulic conductivity (in this study, the hydraulic conductivity refers to the soil’s saturated hydraulic conductivity rather than its unsaturated hydraulic conductivity, and for simplicity, we refer to saturated hydraulic conductivity as hydraulic conductivity throughout the paper). Anderson et al. [24] developed an apparatus for measuring the permeability of fine-grained soils using a centrifuge. Lei et al. [25,26] proposed a method for accurately determining the effective centrifuge radius for saturated permeability tests, considering the linear increase in centrifugal acceleration along the rotational radius in constant-head, falling-head and constant-tail, and falling-head and rising-tail centrifuge permeability tests. Singh and Gupta [27] evaluated the permeability of soils using a geotechnical centrifuge and found that the hydraulic conductivity of silty sand and marine clay gradually increased with increasing centrifugal acceleration, though the rate of increase diminished as the centrifugal acceleration continued to rise.
The aforementioned research primarily qualitatively reveals the impact of the centrifugal environment on the permeability of soils. To accurately address issues induced by seepage using centrifuge modeling, it is necessary to quantitatively resolve the influence of the centrifugal environment on soil permeability. This relates to the scaling laws of seepage, meaning that the centrifugal models must satisfy the scaling laws of seepage [28]. And the core scaling law of Darcy’s seepage is the scaling law for seepage flow velocity, which has been deduced and confirmed by experiments [1,29,30]. However, there is still controversy over whether it is the hydraulic conductivity or the hydraulic gradient that is a function of centrifugal acceleration [30]. Schofield [1] and Taylor [31] described the scaling factor for the hydraulic gradient as n and the scaling factor for the hydraulic conductivity as 1. Butterfield [32] and Thusyanthan and Madabhushi [30] considered the scaling factor of the hydraulic conductivity to be 1 from the energy gradient (pressure gradient) perspective. However, Tan and Scott [33] and Cargill and Ko [34] suggested that the scaling factors of the hydraulic gradient and the hydraulic conductivity were 1 and n, respectively. Garnier et al. [35] also suggested that the scaling factor of the hydraulic conductivity was n, which has been approximately verified experimentally [36].
As a result of the above arguments, more centrifugal tests have been carried out to verify the scaling factor of hydraulic conductivity. Van Tonder and Jacobsz [37] and Jones et al. [38] conducted a number of falling-head tests in the geotechnical centrifuge and found that the hydraulic conductivity calculated from the hydrostatic potentials was independent of the centrifugal acceleration, but the ratio (/, where and are the hydraulic conductivity obtained from centrifugal tests and 1 g tests, respectively) was not equal to 1. Singh and Gupta [39] conducted various falling-head tests in a small centrifuge (its rotation radius was 315 mm) under 1 g and ng conditions to find a scaling relationship for hydraulic conductivity. However, the test results of Singh’s study showed that the ratio (/) was not equal to the centrifugal acceleration level (n), and this may be due to the non-uniformity of the centrifugal acceleration field of a small-radius centrifuge and the curvature of the water table [40]. Therefore, Wang et al. [28] used the Kozeny–Carman equation to establish a relation between hydraulic conductivity and centrifugal acceleration by considering the clay compression under the centrifugal environment, and they conducted a series of constant-head tests on clay in a general geotechnical centrifuge (whose radius was 5030 mm) and concluded that the ratio (/) decreased with the increase in centrifugal acceleration, and the ratio (/) was close to n. Although the non-uniformity of the centrifugal gravity field, the compressibility of the soil, and other factors were considered in the above, there is still an error between the ratio (/) and 1 or n, and further studies are needed to find out factors affecting the accurate measurement of hydraulic conductivity in centrifugal tests.
In centrifugal tests, as the centrifuge operates, the temperature within the centrifuge chamber gradually increases due to the wind resistance. Furthermore, the magnitude of the temperature rise within the chamber intensifies with higher centrifugal acceleration [41]. Simultaneously, temperature exerts a significant influence on the hydraulic conductivity of soils. Wang et al. [42] and Cho et al. [43] studied the variation in hydraulic conductivity in clayey soils and compacted bentonite with temperature changes. Their research indicates that the hydraulic conductivity of these soils significantly increases with rising temperatures. Beyond clayey soils, Huang et al. [44] investigated the changes in the bound water content and hydraulic conductivity of fine sand as a function of temperature. Their results showed that while the bound water content does not vary significantly with temperature, the hydraulic conductivity does. Joshaghani and Ghasemi-Fare [45] studied the intrinsic permeability and hydraulic conductivity of Ottawa sand with respect to temperature changes. They found that the intrinsic permeability of Ottawa sand gradually decreases with increasing temperature, whereas the hydraulic conductivity significantly increases. These studies collectively demonstrate that in a 1 g environment, temperature has a pronounced and dramatic effect on the hydraulic conductivity of both sandy and clayey soils. Therefore, it can be inferred that excessive temperature rise can significantly compromise the accuracy of hydraulic conductivity measurements in centrifugal tests [46]. However, no studies have yet focused on the impact of temperature on centrifugal permeability tests.
Previous studies [27,28,37,39] on the permeability characteristics of soils under a centrifugal environment have primarily focused on clay or clayey soils, with relatively little research on sandy soils. Nonetheless, sand is a ubiquitous component of many hydraulic and geotechnical structures, including dams [47], embankments [48], and foundation pits [49], etc. Therefore, investigating the hydraulic conductivity of sand under the centrifugal environment is of significant practical importance for the safe operation and maintenance of hydraulic and geotechnical structures. Therefore, to address the research gaps mentioned above, in this study, we deduced a scaling law for hydraulic conductivity, taking into account the influence of temperature and soil compression induced by the centrifugal environment. Subsequently, a temperature-controlled falling-head permeameter apparatus for centrifugal experiments was developed, and a series of temperature-controlled falling-head tests under varying centrifugal accelerations were conducted to address the other following objectives: (1) assess the apparatus sealing, the constant temperature control effect on the soil specimen and the fluid, and the reliability of the obtained test results; (2) investigate the effects of temperature and centrifugal acceleration on the hydraulic conductivity of sand and its associated scaling factor; and (3) validate the proposed scaling law of hydraulic conductivity.
2. Temperature-Influence Scaling Law of Hydraulic Conductivity for Centrifuge Modeling
Based on previous studies [28,35,39], we considered that hydraulic conductivity varies with centrifugal acceleration in centrifuge modeling. The hydraulic conductivity of the soil is related to the intrinsic permeability of the soil, the unit weight of the fluid, and the dynamic viscosity coefficient of the fluid as follows [28,50]:
where ksat is the hydraulic conductivity of the soil; K is the intrinsic permeability of the soil; γ is the unit weight of the fluid; μ is the dynamic viscosity coefficient of the fluid; ρ is the density of the fluid; and g is the acceleration due to gravity. Based on the Kozeny–Carman equation [28,51], the intrinsic permeability of the soil satisfies the following relationship with the characteristic particle size and the porosity:
where d is the characteristic particle size of the soil; s is the porosity of the soil; and e is the void ratio of the soil.
In the general centrifugal tests, the stress states of the prototype and model are the same, allowing us to assume that their void ratios and intrinsic permeabilities are the same. However, the prototype and model of the seepage unit tests are the same. Consequently, the stress states of the prototype and model differ under 1 g and ng environments, resulting in distinct void ratios and intrinsic permeabilities for both the prototype and the model. Furthermore, temperature control of the model is seldom taken into account in centrifugal tests. Consequently, a disparity arises between the temperature of the prototype and the model, resulting in a distinction in the dynamic viscosity coefficient of the fluid used in the prototype and the model. Thus, a scaling law of hydraulic conductivity considering the effect of temperature for centrifuge modeling can be obtained:
where the subscript “p” is in the prototype scale, the subscript “m” is in the centrifugal model scale, and n is the centrifuge acceleration level. By taking the base logarithm of n on both sides of Equation (3), Equation (4) is obtained as
where χ is the scaling factor index of the hydraulic conductivity of the soil.
3. A Newly Developed Temperature-Controlled Falling-Head Permeameter Apparatus for Centrifuge Modeling
A temperature-controlled falling-head permeameter apparatus was developed to conduct temperature-controlled falling-head tests under a centrifugal environment. The apparatus should satisfy the following requirements: (1) precisely control the temperature of soil specimens and fluids, ensuring that their temperature changes during a test do not exceed 0.5 °C; (2) remotely control the start and end of a test while the geotechnical centrifuge is in operation; and (3) measure and collect the values of physical quantities such as temperature, pore water pressure, and flow rate during a test in real time.
3.1. General Design of the Apparatus
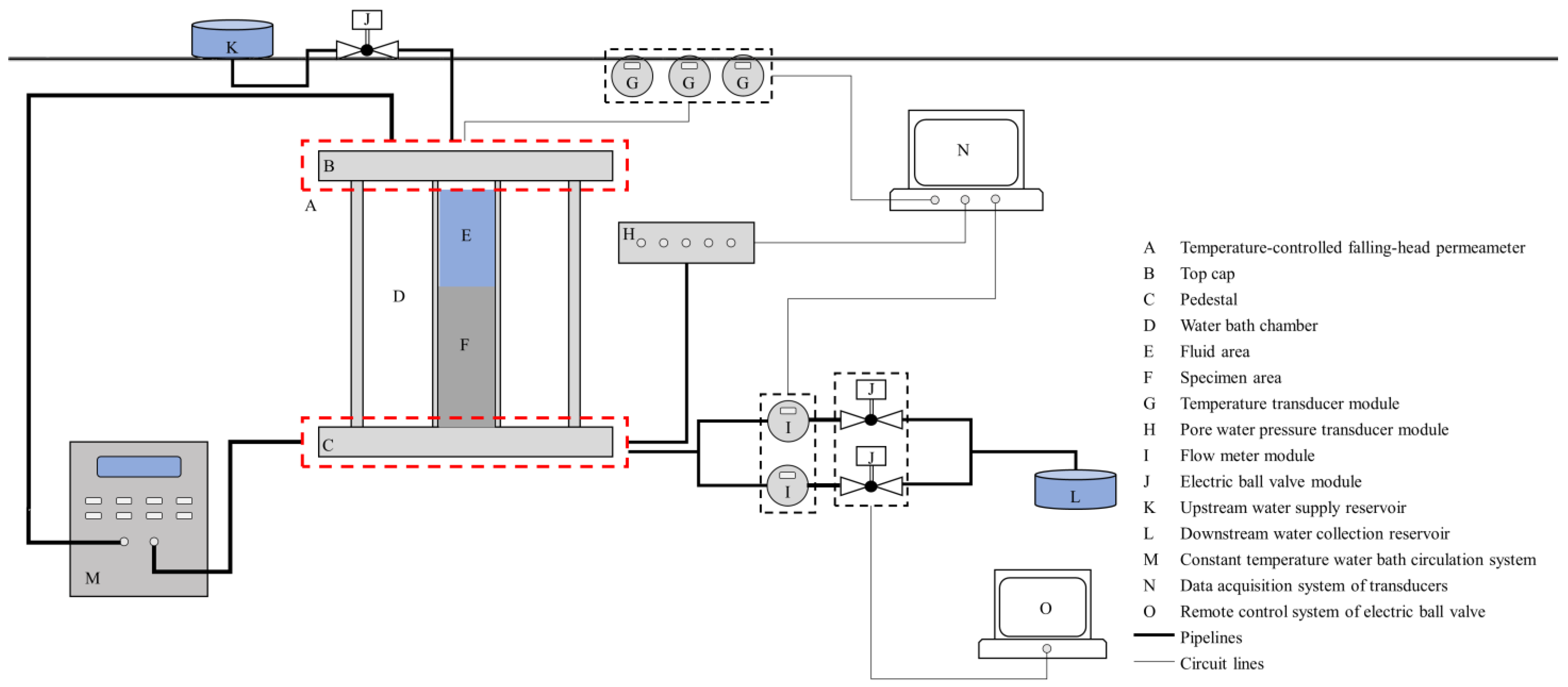
The general design scheme of the apparatus, which fulfilled the aforementioned three requirements, is illustrated in Figure 1. It primarily consisted of a temperature-controlled falling-head permeameter (A), various transducer modules (including a temperature transducer module (G), a pore water pressure transducer module (H), and a flow meter module (I)) along with their data acquisition system (N), an electric ball valve module (J) and its corresponding remote control system (O), an upstream water supply reservoir (K), a downstream water collection reservoir (L), and a constant temperature water bath circulation system for geotechnical centrifuge (M).
Figure 1.
General design schematic diagram of the temperature-controlled falling-head permeameter apparatus for centrifuge modeling.
The temperature-controlled falling-head permeameter was the core part of the apparatus to control the temperature of soil specimens and fluids and to conduct falling-head tests. The remaining parts of the apparatus were connected to the temperature-controlled falling-head permeameter as follows:
(1) The pore water pressure transducer module comprised multiple pore water pressure transducers, which were interconnected to pore water pressure monitoring channels positioned at the base pedestal (C) of the temperature-controlled falling-head permeameter. These transducers enabled real-time monitoring of pore water pressure at various locations within a soil specimen (F). (2) The temperature transducer module consisted of multiple temperature transducers, which were connected to temperature monitoring holes positioned at the top cap (B) of the temperature-controlled falling-head permeameter. These transducers facilitated real-time monitoring of the fluid area (E) and the water bath chamber (D) temperatures. (3) The flow meter module comprised multiple flow meters, which were interconnected to the flow monitoring channel located on the base pedestal of the temperature-controlled falling-head permeameter. These flow meters enabled real-time monitoring of the flow rate. (4) The electric ball valve module consisted of several electric ball valves, some of which were interconnected in series with the flow meters to remotely start and end tests. Additionally, one electric ball valve was connected in series with the upstream water supply reservoir. (5) The constant-temperature water bath circulation system was connected to the water bath channels positioned at the top cap and base pedestal of the temperature-controlled falling-head permeameter to control the temperature of soil specimens and fluids. (6) The data acquisition system of the centrifuge was employed to measure and collect data from the aforementioned transducers. Additionally, remote control of the electric ball valves can be achieved via a PC.
3.2. Details of the Apparatus and Transducer Arrangement
The specific details regarding each part of the apparatus and the arrangement of transducers are shown in Figure 2. The temperature-controlled falling-head permeameter mainly included the following parts: (1) a base pedestal, which was 320 mm in diameter and 45 mm in height. There were four pore water pressure monitoring channels and one flow monitoring channel in the base pedestal. One end of the pore water pressure monitoring channel was connected to the respective pore water pressure monitoring hole on the soil column cylinder, while the other end was connected to the pore water pressure transducer on the pore water pressure transducer module. For this study, the flow monitoring channel was connected to two parallel flow meters with ranges of 3 to 300 mL/min and 10 to 1000 mL/min, respectively. (2) A water bath chamber cylinder, which was 190 mm in diameter and 325 mm in height. (3) A soil column cylinder, which was 60 mm in inner diameter and 310 mm in height. This was divided into two distinct parts: the upper part was the fluid area with a height of 145 mm, and the lower part was the soil specimen area with a height of 160 mm. The bottom of the soil column cylinder can be embedded in a perforated plate with a thickness of 5 mm. There were four 10 mm-diameter pore water-pressure-monitoring holes on the side wall of the soil column cylinder, and the distance between the center of these four holes and the top surface of the perforated plate was 30 mm, 80 mm, 130 mm, and 165 mm, respectively. The above four pore water pressure monitoring holes were numbered P1, P2, P3, and P4 from top to bottom. In addition to the pore water pressure monitoring hole P1, the corresponding pore water pressure transducer numbers for each pore water pressure monitoring hole were also P2, P3, and P4. In order to accurately measure the fluid level in the fluid area, we arranged two pore water pressure transducers at P1, numbered P1-1 and P1-2, with ranges of 0–100 kPa and 0–200 kPa, respectively, and the rest of the pore water pressure transducers had ranges of 0–200 kPa. The accuracy of the pore water pressure transducers was 0.2%. (4) A top cap, which was 320 mm in diameter and 25 mm in height. The top cap was arranged with three temperature monitoring holes and installed with temperature transducers. These three transducers were used to monitor the temperature in the middle of the water bath camber (T1), the edge of the fluid area (T2), and the center of the fluid area (T3). The range of the temperature transducers was −50 °C ~ +50 °C. There was also a vent and an inlet of water supply on the top cap, and the inlet of water supply was connected to the electric ball valve and upstream water supply reservoir.
Figure 2.
Details of each part of the apparatus.
The equipment platform was used to fix the flow meters, electric ball valves, upstream water supply reservoir, downstream water collection reservoir, and other equipment (as shown in Figure 2) so that they could operate safely under the centrifugal environment and would not move randomly. The equipment platform was divided into the following three floors: (1) the first floor was used to hold the downstream water collection reservoir. (2) The second floor was used to fix the flow meters, electric ball valves, and water tank. The flow meters, electric ball valves, and water tank were connected in series in turn, and the water tank was connected with the downstream water collection reservoir. The role of the water tank was to produce a free fluid surface so that the downstream head height was constant while the height of the free fluid surface was always higher than the top surface of the soil specimen, which could make the soil specimen remain saturated during the test. (3) The third layer was used to place the upstream water supply reservoir, and whether the upstream water supply reservoir supplies water to the fluid area was controlled by an electric ball valve connected in series with it, which was fixed on the second floor of the equipment platform.
4. Materials and Methods
4.1. Test Soil and Test Plan
The test soil with a particle size of 0.075–0.25 mm was sieved from ISO standard sand of China. The particle size distribution of the test soil is shown in Figure 3. The specific gravity of the test soil was 2.631. The maximum and minimum void ratios of the test soil were 0.956 and 0.589, respectively. The fluid used in this study was airless water. The test plan is given in Table 1. In this study, twelve temperature-controlled falling-head tests were carried out under a centrifugal environment.
Figure 3.
Particle size distribution curve of test soil.
Table 1.
Test plan.
4.2. Test Preparation under the 1 g Environment
Some test preparations were finished under the 1 g environment, which are as follows: (1) Soil specimen preparation. The soil specimen was 60 mm in diameter and 160 mm in height, and it was compacted into eight 20 mm-thick layers by using the dry tamping method [52]. (2) Soil specimen saturation. The soil specimen was saturated in two steps, namely carbon dioxide saturation and airless water saturation. In order to saturate the soil specimen sufficiently, the carbon dioxide saturation process lasted three hours, and the airless water saturation process lasted twelve hours. (3) Model installation. Following saturation, the temperature-controlled falling-head permeameter, equipment platform, and other equipment were well placed in the model box. Then, the model box was installed in the centrifuge. A photograph of the apparatus after it was installed in the geotechnical centrifuge is shown in Figure 4. (4) Temperature control. After model installation, the constant temperature water bath circulation system started to run to control the soil specimen and fluid temperatures to the target temperature set in Test 1.
Figure 4.
Apparatus after installing it in the geotechnical centrifuge.
4.3. Test Procedures under the Centrifugal Environment
The tests were performed on a ZJU-400 centrifuge. The ZJU-400 centrifuge at Zhejiang University had a rotating radius of 4.5 m, a maximum centrifugal acceleration of 150 g, a maximum capacity of 400 g·t, and a basket volume of 1.5 m × 1.2 m × 1.5 m. For detailed information on the ZJU-400 centrifuge, please refer to reference [4].
After the step of temperature control under the 1 g environment was completed, the geotechnical centrifuge began to run. Twelve temperature-controlled falling-head tests were carried out under the centrifugal environment, and the test procedure for a single test is as follows: (1) Fill the fluid area. After completing the current test, the downstream electric ball valve was closed, and the electric ball valve of the upstream water supply reservoir was opened. Fluid was injected into the fluid area, and after the fluid area was filled, the electric ball valve of the upstream water supply reservoir was closed. (2) Adjust the target temperature. After the first step was completed, the temperature of the water bath was adjusted to the temperature set for the next test. (3) Adjust the target centrifugal acceleration. After the second step was completed, the centrifugal acceleration was changed to the value set for the next test. (4) Evaluate the effectiveness of the apparatus’s sealing. Once the target centrifugal acceleration was reached, observe the readings of all pore water pressure transducers. If the readings remained stable, it suggested that the sealing of the apparatus was effective. Conversely, if the values changed, it indicated the presence of water leaked within the apparatus. (5) Carry out the test. After the completion of the fourth step, we closely monitored the values of the three temperature transducers and then stabilized for a certain period of time after reaching the temperature set for the current test. After that, we selected the appropriate flow meter, opened the corresponding electric ball valve to carry out the test, and closed the ball valve after the test was completed.
5. Performance of the New Developed Apparatus
5.1. Sealing of the Temperature-Controlled Falling-Head Permeameter
The accuracy of temperature-controlled falling-head tests is directly influenced by the sealing of the permeameter, as inadequate sealing can lead to result distortion. Consequently, a series of sealing tests were conducted on the permeameter under the 1 g environment. The outcomes demonstrated the permeameter’s favorable sealing capabilities. However, it is important to consider the potential impact of the centrifugal environment and temperature changes on the deformation of permeameter components, which could result in poor sealing. Therefore, we analyzed the temporal variation in pore water pressure during centrifugal tests and utilized it to infer the permeameter’s sealing performance under the centrifugal environment.
Figure 5 presents the variation in centrifugal acceleration and pore water pressure (P1-2) with time during Test 9. The variations of P2, P3, and P4 with time were the same as those of P1-2 and are thus not displayed in Figure 5. In Figure 5, it can be seen that the variation in pore water pressure was exactly the same as the variation in centrifugal acceleration, and their variation can be divided into three stages. Firstly, the stage of rapid increase: with the rapid increase in centrifugal acceleration, the pore water pressure also increased rapidly. Secondly, the stage of slight adjustment: when the centrifugal acceleration approached the target centrifugal acceleration, it started a slight adjustment, and at the same time, the pore water pressure also changed slightly. Thirdly, the stage of stabilization: once the centrifugal acceleration reached the target centrifugal acceleration, the centrifugal acceleration remained constant, and during this period, the pore water pressure remained essentially unchanged, which indicated that the permeameter was well sealed. Although there were very slight changes in pore water pressure at the third stage, they were mainly due to small changes in the centrifugal acceleration, vibration of the centrifuge, etc. The results of other tests were the same as Test 9, so they are not shown in this paper. After the centrifuge was shut down, we carefully checked the sealing of the permeameter and found no leakage or seepage. In summary, the sealing of the permeameter was good under the conditions of the tests.
Figure 5.
Variation of centrifugal acceleration and pore water pressure (PWP, P1-2) with time (Test 9).
5.2. Performance of the Temperature Control
The high-speed rotation of the centrifuge generated a large amount of heat, which could cause the temperature of the centrifuge chamber and the model to increase. The higher the centrifugal acceleration, the more dramatic this temperature increase will be. Therefore, it is more difficult to control the model at a constant temperature using a water bath circulation system at a higher centrifugal acceleration. Based on this, we chose two tests under a centrifugal acceleration of 50 g to analyze the temperature control effect of the water bath circulation system on the model.
The variation in water bath temperature (T1) and fluid temperature (T2, T3) with time before and during seepage for Tests 9 and 12 is given in Figure 6. In order to distinguish between before and during seepage, the variation in pore water pressure (P1-2) with time is also plotted in Figure 6. Before seepage, the pore water pressure remained constant, and during seepage, the pore water pressure gradually decreased. It can be found in Figure 6 that (1) the water bath circulation system can always effectively lower or raise the temperature of the fluid for a short period of time before seepage and keep it constant after reaching the target temperature, and (2) during the seepage process, the temperature of the fluid gradually increased, but it did not change more than 0.5 °C during the whole seepage process, so the temperature control effect of the water bath circulation system on the model met expectations. The results of the other tests were the same as Tests 9 and 12, so they are not shown in this paper. We also suggest that the working time of the water bath circulation system before seepage can be extended appropriately so as to obtain a better temperature control effect on the model.
Figure 6.
Variation of water bath temperature (T1) and fluid temperature (T2, T3) with time: (a) Test 9; (b) Test 12.
6. Temperature-Controlled Falling-Head Tests Results and Discussion
6.1. Calculation of Hydraulic Conductivity and Typical Test Results
As shown in Figure 2, between holes P2 and P3 is soil layer 23, and its hydraulic conductivity is ksat-23; between holes P3 and P4 is soil layer 34, and its hydraulic conductivity is ksat-34; between holes P2 and P4 is soil layer 24, and its hydraulic conductivity is ksat-24. The hydraulic conductivity for each layer of the soil specimen was calculated using the following equation:
where is the hydraulic conductivity at T °C, in cm/s; Q is the flow rate, measured by flow meters, in cm3/s; L0 is the distance between the centers of two pore water pressure monitoring holes, in cm; A is the cross-sectional area of the soil specimen, in cm2; H is the total head difference between the centers of two pore water pressure monitoring holes, obtained by the relationship between the water head and the pore water pressure, in cm.
For the condition when the central axis of the soil column coincides with the central axis of the basket, previous studies have established the relationship between the water head and pore water pressure and considered the non-uniformity along the radial direction of the centrifugal field. However, the soil column was placed eccentrically in this study. Therefore, we need to establish the relationship between water head and pore water pressure by considering that the soil column is placed eccentrically in the centrifuge basket. Figure 7 shows the calculation diagram of the total head at any point in the soil specimen when the soil column is placed eccentrically. Considering the small eccentricity in this experiment, it is assumed that the centrifugal acceleration direction of the permeameter’s central axis remains perpendicular to the bottom of the model box. In order to accurately determine the water head, the non-uniformity of the centrifugal field is taken into account.
Figure 7.
Calculation of the total head at any point in the soil specimen when the permeameter is placed eccentrically.
Considering the non-uniformity of the centrifugal field and the eccentric placement of the soil column, the value of centrifugal acceleration at any point in the soil specimen (N’) at a height of h0 from the plane E (Plane E is the datum plane) is
where R0 = R − d1 − d2; R is the maximum effective rotation radius of the centrifuge; d1 is the model box base thickness; and d2 is the distance between Plane E and the top surface of the model box base. From Equation (6), we can obtain the total head height of h0 when the total pore water pressure is
where P is the total pore water pressure. Using Equation (7), we used Matlab to solve the value of the total head corresponding to pore water pressure.
Figure 8 shows the typical results of Test 1. Only the results of Test 1 are presented here to illustrate how the hydraulic conductivity of soil was obtained using pore water pressure and flow rate data. The results of other tests will be discussed later. Figure 8a shows the variation in pore water pressure with time, and the pore water pressure decreased non-linearly because it was a falling head test; Figure 8b shows the variation in total head with time, which was obtained by Figure 8a using Equation (7); Figure 8c shows the variation in flow rate with time; combining Figure 8b,c, the hydraulic conductivity for each layer of the soil specimen was obtained by Equation (5), as shown in Figure 8d.
Figure 8.
Typical test results of Test 1: (a) pore water pressure; (b) total head; (c) flux; (d) hydraulic conductivity.
6.2. Hydraulic Conductivity
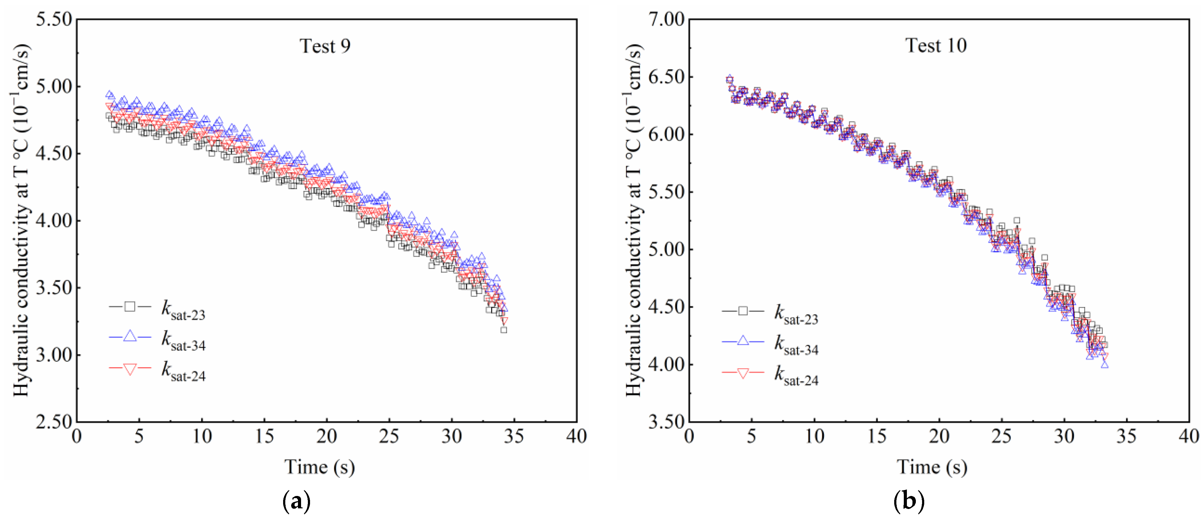
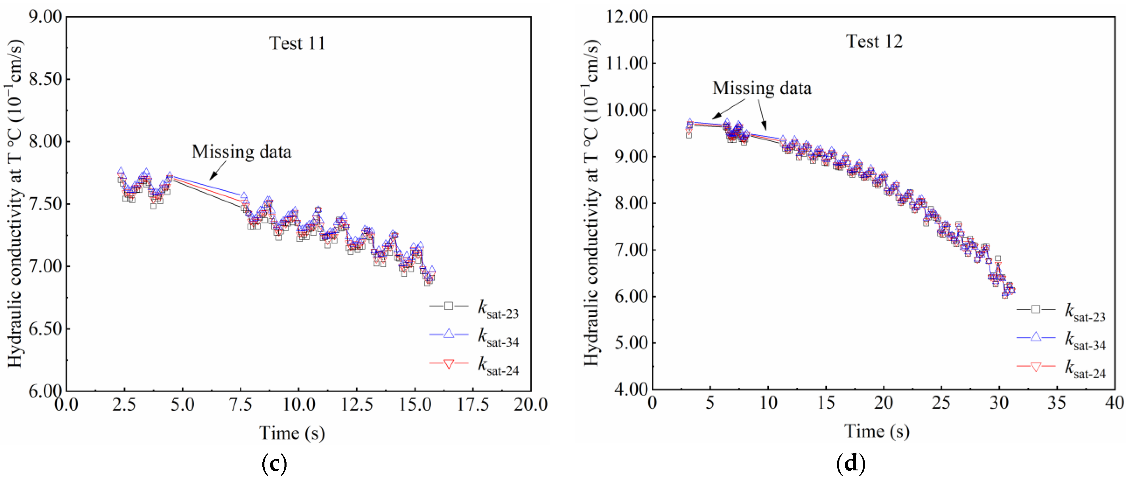
Figure 9, Figure 10 and Figure 11 show how the hydraulic conductivity changed over time for each layer of the soil sample at different test temperatures and centrifugal accelerations. In Figure 11, some data were missing due to a problem with the flow meter data acquisition. It is clear that the hydraulic conductivity of the layers of the soil specimen was not always constant throughout the test but varied with time. The following characteristics can be found in Figure 9, Figure 10 and Figure 11. (1) Under the centrifugal accelerations of 15 g and 30 g, the hydraulic conductivity of each soil layer remained constant or slightly decreased at the early stage of the tests but gradually decreased as the tests continued. For example, in Figure 9a, early in Test 1 (0 to 50 s), the ksat-23 and ksat-24 were stable at 1.20 × 10−1 cm/s and 1.33 × 10−1, respectively. However, during 50 to 230 s of Test 1, they decreased significantly from the beginning of the test, by 32.5% and 23.3%, respectively. Although the ksat-34 remained relatively constant in Test 1, it also showed a significant decrease in other tests (except Test 2). Accordingly, under the centrifugal accelerations of 15 g and 30 g, we divided the test process into a stabilization stage of hydraulic conductivity and a gradually decreasing stage of hydraulic conductivity. (2) Under the centrifugal acceleration of 50 g, the hydraulic conductivity of each soil layer was stable only for a very short time at the beginning of the tests and then gradually decreased. (3) At the same centrifugal acceleration, the duration of the stabilization stage of hydraulic conductivity gradually decreased as the temperature of the fluid increased. (4) With the increase in centrifugal acceleration, the difference in hydraulic conductivity between the soil layers gradually decreased and the homogeneity of the soil layers was enhanced, which indicated the centrifugal environment helps to enhance the homogeneity of the soil.
Figure 9.
Variation in the hydraulic conductivity with time for each layer of the soil specimen (15 g). (1—the stabilization stage of hydraulic conductivity; 2—the gradually decreasing stage of hydraulic conductivity): (a) Test 1; (b) Test 2; (c) Test 3; (d) Test 4.
Figure 10.
Variation in the hydraulic conductivity with time for each layer of the soil specimen (30 g). (1—the stabilization stage of hydraulic conductivity; 2—the gradually decreasing stage of hydraulic conductivity): (a) Test 5; (b) Test 6; (c) Test 7; (d) Test 8.

Figure 11.
Variation in the hydraulic conductivity with time for each layer of the soil specimen (50 g): (a) Test 9; (b) Test 10; (c) Test 11; (d) Test 12.
Figure 12 shows the comparison of hydraulic conductivity for each layer of the soil specimen for two tests with similar test temperatures at the same centrifugal acceleration. It can be seen in Figure 12 that the reduction in the hydraulic conductivity with time mentioned in the previous section was not a permanent reduction but a recoverable one.
Figure 12.
Comparison of hydraulic conductivity for each layer of the soil specimen for two tests with similar test temperatures at the same centrifugal acceleration.
To initially elucidate the factors contributing to the diminishing hydraulic conductivity over time, we first analyzed the soil compression deformation potentially induced by seepage force. As a type of body force, the seepage force (J) arising from seepage can be calculated as the product of the water unit weight (γw) in a 1 g environment, the centrifugal acceleration level (n), and the hydraulic gradient (i), represented as J = nγwi. For example, in the case of soil layer 23 in Test 1, the initial seepage force acting on the soil at the beginning of seepage was 120.7 kN/m3. At this point, without considering soil compression due to the centrifugal environment, the soil’s saturated bulk unit weight was 301.5 kN/m3. Zheng et al. [53] proposed that when the seepage force is of a magnitude comparable to the bulk soil unit weight, it becomes substantial enough to induce clear deformation in the soil. Hence, in this study, the seepage force may induce soil compression deformation, resulting in a reduction in the soil’s hydraulic conductivity over time.
Due to the challenging nature of calculating soil compression deformation caused by seepage force, we employed a method of inferring soil void ratio through hydraulic conductivity to validate the rationality of the explanation mentioned above. From Equations (1) and (2), we can derive:
Based on the initial hydraulic conductivity () and void ratio (e0) at the beginning of the test, we can obtain the proportionality coefficient ():
Therefore, the relationship between the hydraulic conductivity at time “t” () and the corresponding void ratio (et) satisfies:
Using Equation (10), we can determine the void ratio corresponding to the hydraulic conductivity at time “t”. For example, for soil layer 23, Table 2 provides the initial and final hydraulic conductivities at T °C and corresponding void ratios of the soil layer 23 under different test conditions. The initial void ratio was obtained by experiments, and the final void ratio was calculated by Equation (10). From Table 2, it is evident that, except for Tests 2, 8, and 11, the calculated final void ratios of soil layer 23 in other test conditions were less than the minimum void ratio of the soil (emin was 0.589). Based on this, we can infer that the seepage force can lead to soil compression deformation, but the extent to which it causes a decrease in hydraulic conductivity is insufficient to explain the phenomenon observed in this study.
Table 2.
Initial and final hydraulic conductivities at T °C and corresponding void ratios of the soil layer 23 under different test conditions.
Excluding the fact that seepage force caused soil compression deformation and subsequently reduced hydraulic conductivity, this phenomenon may be due to the presence of radial seepage in addition to vertical seepage as the seepage test progressed. This means that the seepage field gradually became disturbed from a single downward seepage field, leading to a longer actual seepage path and reducing the actual hydraulic gradient. However, the calculations still used the theoretical seepage path length, resulting in a gradual decrease in the calculated hydraulic conductivity. Detailed research on this explanation is needed, but it is not the focus of this paper.
6.3. Effect of Centrifugal Acceleration and Temperature on Hydraulic Conductivity
In order to study the effect of centrifugal acceleration on the hydraulic conductivity of the soil specimen, we converted the hydraulic conductivity at T °C to that at 20 °C by the following equation:
where is the hydraulic conductivity at 20 °C, μT is the dynamic viscosity coefficient of the fluid at T °C, and μ20 is the dynamic viscosity coefficient of the fluid at 20 °C. From Section 6.1, we know that the hydraulic conductivity varied with time in this centrifugal experiment, so only the hydraulic conductivity at the beginning of the tests will be studied in this section.
Figure 13 shows the variation in the hydraulic conductivity at 20 °C with the centrifugal acceleration for each layer of the soil specimen, and we can find that under the same centrifugal acceleration, the hydraulic conductivity at 20 °C of the soil layers showed good repeatability, which indicated the tests were accurate and reliable. Figure 13 also provides the linear regression process between the hydraulic conductivity at 20 °C and the centrifugal acceleration, and the correlation coefficients for each soil layer are 0.990, 0.991, and 0.991, respectively, which also means the hydraulic conductivity at 20 °C of the soil layers increased linearly with increasing centrifugal acceleration. To facilitate verification for readers, we present the results from Figure 13 in Table 3 for those who may require them.
Figure 13.
Variation in the hydraulic conductivity at 20 °C with the centrifugal acceleration: (a) ksat-23; (b) ksat-34; (c) ksat-24.
Table 3.
Hydraulic conductivity of soil layers 23, 34, and 24 at 20 °C under different centrifugal accelerations.
Figure 14 shows the variation in hydraulic conductivity at T °C with centrifugal acceleration, and it can help us better illustrate the comprehensive effect of temperature and centrifugal acceleration on hydraulic conductivity during the centrifuge tests. To facilitate verification for readers, we also present the results from Figure 14 in Table 4 for those who may require them. It can be found from Figure 14 that temperature had a great influence on the hydraulic conductivity of the soil layers at the same centrifugal acceleration. Taking soil layer 23 as an example (from Figure 14a): (1) under the centrifugal acceleration of 15 g, the hydraulic conductivity (ksat-23) at 13.2 °C, 23.2 °C, 32.7 °C, and 42.2 °C were 1.23 × 10−1 cm/s, 1.74 × 10−1 cm/s, 1.85 × 10−1 cm/s, and 2.27 × 10−1 cm/s, respectively, and compared to the former, the latter increased by 41.7%, 6.4%, and 22.6%, respectively; (2) under the centrifugal acceleration of 30 g, the ksat-23 at 16.0 °C, 26.4 °C, 36.2 °C, and 45.3 °C were 2.40 × 10−1 cm/s, 3.40 × 10−1 cm/s, 4.18 × 10−1 cm/s, and 5.00 × 10−1 cm/s, respectively, and compared to the former, the latter increased by 42.3%, 22.7%, and 19.5%, respectively; and (3) under the centrifugal acceleration of 50 g, the ksat-23 at 18.9 °C, 29.2 °C, 39.0 °C, and 49.2 °C were 4.78 × 10−1 cm/s, 6.46 × 10−1 cm/s, 7.67 × 10−1 cm/s, and 9.55 × 10−1 cm/s, respectively, and compared to the former, the latter increased by 35.1%, 18.7%, and 24.5%, respectively. In summary, under the same centrifugal acceleration, the change in hydraulic conductivity of the soil layers caused by a 10 °C change in temperature was generally more than 20%, resulting in a very significant change in hydraulic conductivity.
Figure 14.
Variation in hydraulic conductivity at T °C with centrifugal acceleration: (a) ksat-23; (b) ksat-34; (c) ksat-24.
Table 4.
Hydraulic conductivity of soil layers 23, 34, and 24 at T °C under different centrifugal accelerations.
Changes in the temperature of the test environment (e.g., the temperature of the centrifuge chamber varies significantly between summer and winter, and the running of the centrifuge also causes an increase in the temperature of the centrifuge chamber) can cause changes in the temperature of models and fluids. Therefore, according to the results of this study, it will lead to significant changes in the permeability characteristics of the soil and thus have a large impact on the test results. For example, if we designed the test to be performed in a 20 °C centrifugal environment, but in actuality, the centrifugal test was performed in the summer and the temperature of the test environment, test model, and test material were much higher than 20 °C, obviously, this would cause the actual test phenomenon and results to be significantly different from the expected ones. In previous centrifugal tests, the monitoring and control of the temperature of test environments and models were not given enough attention, and the effect of temperature on the test results was also rarely considered. Therefore, when conducting centrifugal tests, we suggest that the monitoring of temperature during tests and the temperature correction of the test results after tests must be given sufficient attention.
6.4. Effect of Temperature on the Scaling Factor of Hydraulic Conductivity
In order to illustrate the effect of temperature on the scaling factor of hydraulic conductivity, we compared the theoretical and measured values of the scaling factor of hydraulic conductivity with different centrifugal accelerations and different temperatures. The theoretical value of the scaling factor of hydraulic conductivity was obtained by the following equation [35]:
where Nk-theoretical is the theoretical value of the scaling factor of hydraulic conductivity. The measured value of the scaling factor of hydraulic conductivity was obtained by the following equation:
where Nk-measured is the measured value of the scaling factor of hydraulic conductivity. The value of was 9.85 × 10−3 cm/s. Since the was the hydraulic conductivity of the whole soil specimen, only the scaling factor of hydraulic conductivity of soil layer 24 was calculated.
Table 5 shows the theoretical and measured values of the scaling factor of hydraulic conductivity of soil layer 24 with different temperatures and different centrifuge accelerations. From Table 5, we can find that the theoretical value of the scaling factor of hydraulic conductivity did not change with temperature under a constant centrifuge acceleration, but its measured value changed significantly with temperature. For example, the theoretical value of the scaling factor of hydraulic conductivity at each temperature was always 15 under the centrifugal acceleration of 15 g, but its measured values were 13.6, 18.5, 20.0, and 24.6 at 13.2 °C, 23.2 °C, 32.7 °C, and 42.2 °C, respectively, changing −9.3%, 23.3%, 33.3%, and 64.0% from the theoretical value. The theoretical value of the scaling factor of hydraulic conductivity at each temperature was always 30 under the centrifugal acceleration of 30 g, but its measured values were 25.2, 35.2, 43.4, and 52.2 at 16.0 °C, 26.4 °C, 36.2 °C, and 45.3 °C, respectively, changing −16.0%, 17.3%, 44.7%, and 74.0% from the theoretical value. The theoretical value of the scaling factor of hydraulic conductivity at each temperature was always 50 under the centrifugal acceleration of 50 g, but its measured values were 49.4, 65.7, 78.3, and 97.7 at 18.9 °C, 29.2 °C, 39.0 °C, and 49.2 °C, respectively, changing from the theoretical value by −1.2%, 31.4%, 56.6%, and 95.4%. The above results tell us that temperature has a great influence on the scaling factor of hydraulic conductivity and should be given sufficient attention in the design and implementation of the centrifugal tests.
Table 5.
Theoretical and measured values of the scaling factor of hydraulic conductivity of soil layer 24 with different centrifugal accelerations and temperatures.
6.5. Scaling Factor Index of Hydraulic Conductivity
In Section 2, we have deduced a scaling law for hydraulic conductivity considering the influence of temperature and soil compression due to the centrifugal environment and then got the expression of the scaling factor index of hydraulic conductivity. In order to verify the accuracy of the derived scaling law for hydraulic conductivity in this study, we compared the measured value of the scaling factor index of hydraulic conductivity with the calculated value of the scaling factor index of hydraulic conductivity. The calculated value of χ was obtained by the following equation:
where χcalculated is the calculated value of the scaling factor index of the hydraulic conductivity, and the values of the middle two terms of the right side of Equation (14) are zero because the soil specimen was dense and em was very close to ep. The measured value of χ was obtained by the following equation:
where χmeasured is the measured value of the scaling factor index of the hydraulic conductivity. The value of was 9.85 × 10−3 cm/s. Since the was the hydraulic conductivity of the whole soil specimen, only the scaling factor index of the hydraulic conductivity of soil layer 24 was calculated.
Figure 15 shows a comparison of the measured and calculated values of the scaling factor index of the hydraulic conductivity of the soil layer 24 under the centrifugal acceleration of 50 g. The comparative results at 15 g and 30 g were similar to those at 50 g. Therefore, they are not presented here. It can be found in Figure 15 that (1) at the beginning of the tests, the measured and calculated values of the scaling factor index of the hydraulic conductivity of the soil layer 24 were in good agreement, which indicates that the theory proposed in this study is correct; and (2) as the tests proceeded, the measured and calculated values of the scaling factor index of the hydraulic conductivity of the soil layer 24 began to differ, which was mainly due to the gradual decrease in the hydraulic conductivity under the centrifugal environment in this study.
Figure 15.
Comparison of the measured and calculated values of the scaling factor index of the hydraulic conductivity of soil layer 24 under the centrifugal acceleration of 50 g.
6.6. Discussion
Soils are generally categorized into sandy and clayey soils. While the primary conclusions of this study are based on sand, it is important to note that clayey soils differ from sand in two significant respects. First, clayey soils exhibit greater compressibility compared to sand, which can result in more pronounced compression under the centrifugal environment, making their hydraulic conductivity more sensitive to such an environment. Consequently, the hydraulic conductivity of clayey soils may not follow a linear relationship with centrifugal acceleration (as illustrated in Figure 13) but may instead display a nonlinear variation with centrifugal acceleration [27,28].
Second, the presence of a substantial amount of bound water on the surface of clay particles (in contrast to the minimal amount on sand particles [44]) introduces additional complexity in how temperature affects the hydraulic conductivity of clayey soils under the centrifugal environment. It is widely accepted that the increase in hydraulic conductivity of sandy soil due to temperature rise is primarily due to the reduction in fluid viscosity [44]. However, in the case of clayey soils, temperature rise also induces the conversion of bound water to free water, increasing the effective pore area and resulting in a more significant increase in hydraulic conductivity [50,54]. This increase in effective pore area also enhances the compressibility of clayey soils, potentially leading to greater compression under the centrifugal environment, which may reduce their hydraulic conductivity [55]. Therefore, the impact of temperature on the hydraulic conductivity of clayey soils under a centrifugal environment requires further investigation, taking into account the specific type of clay.
In summary, considering these factors, it is evident that the influence of temperature on the hydraulic conductivity and its scaling law in clayey soils under the centrifugal environment is more complex than in sandy soils. Consequently, additional centrifuge modeling tests are necessary to thoroughly examine the effects of temperature on the hydraulic conductivity and its scaling law in clayey soils under the centrifugal environment.
7. Conclusions
In this study, a scaling law of hydraulic conductivity for centrifuge modeling considering the influence of temperature and soil compression due to the centrifugal environment was deduced, and a temperature-controlled falling-head permeameter apparatus for centrifuge modeling was developed. Using this apparatus, a series of temperature-controlled falling-head tests under different temperatures and centrifugal accelerations were conducted, and the following conclusions were drawn:
- (1)
- The sealing of the permeameter, the constant temperature control effect on the soil specimen and the fluid, and the reliability of test results were tested. The permeameter had good sealing, and the apparatus can effectively control the temperature of the soil specimen and fluid under the centrifugal environment. The test results also had good repeatability.
- (2)
- The hydraulic conductivity of sand was not always constant but varied with time in these tests, and it may be due to the presence of radial seepage in addition to vertical seepage as the test progressed. As a result, the test process can be divided into a stabilization stage of hydraulic conductivity and a gradually decreasing stage of hydraulic conductivity.
- (3)
- The temperature had a great influence on the hydraulic conductivity of sand and its scaling factor under the centrifugal environment. Additionally, the proposed scaling law of hydraulic conductivity considering the influence of temperature was also verified.
This study found the temperature had a great influence on the hydraulic conductivity of sand and its centrifugal scaling factor. Internal erosion in internal unstable soils, contaminant migration in soils, and the performance of landfill seepage barriers are all closely related to soil hydraulic conductivity. When employing centrifuge modeling to study these issues, if temperature changes (such as the increasing temperature of a landfill over time or the temperature variations in the centrifuge chamber between summer and winter) are not considered in determining the scaling factor of hydraulic conductivity, the results may be distorted or inconsistent with field measurements. Therefore, the scaling law of hydraulic conductivity considering the influence of temperature proposed in this study is recommended. And when conducting these centrifugal tests, the monitoring of temperature during tests and the temperature correction of the test results must be given sufficient attention. Additionally, the hydraulic conductivity is one of the key parameters for accurately describing the coupled THM (thermo-hydro-mechanical) behavior of soil. To the best of our knowledge, this study is the first to measure the hydraulic conductivity of sand during THM coupling under a centrifugal environment using a newly developed apparatus. Although this study only focuses on sand, this provides researchers with a concrete technical approach for testing other types of soil hydraulic conductivity during THM coupling under a centrifugal environment and also lays a more solid foundation for accurately simulating THM coupling behavior using centrifuge modeling.
Author Contributions
Conceptualization, J.H. and Y.W.; Data curation, J.H. and Y.W.; Formal analysis, J.H.; Funding acquisition, Y.W.; Investigation, J.H. and X.J.; Methodology, J.H.; Project administration, Y.W.; Resources, Y.W.; Software, J.H.; Supervision, Y.W.; Validation, J.H. and X.J.; Visualization, J.H.; Writing—original draft, J.H.; Writing—review and editing, J.H., X.J. and Y.W. All authors have read and agreed to the published version of the manuscript.
Funding
This research was funded by the Basic Science Center Program for Multiphase Media Evolution in Hypergravity of the National Natural Science Foundation of China, grant number 51988101.
Data Availability Statement
Dataset available on request from the authors.
Conflicts of Interest
The authors declare no conflicts of interest.
References
- Schofield, A.N. Cambridge geotechnical centrifuge operations. Geotechnique 1980, 30, 227–268. [Google Scholar] [CrossRef]
- Zhu, W.X. Centrifuge modeling for geotechnical engineering in the world. Chin. J. Geotech. Eng. 1986, 8, 82–95. [Google Scholar]
- Liu, F.X. The Effects of Radial Linear Acceleration on the Centrifuge Modeling of Soil Slope Instability and Seepage. Ph.D. Thesis, Hohai University, Nanjing, China, 2023. [Google Scholar]
- Chen, Y.M.; Han, C.; Ling, D.S.; Kong, L.G.; Zhou, Y.G. Development of geotechnical centrifuge ZJU400 and performance assessment of its shaking table system. Chin. J. Geotech. Eng. 2011, 33, 1887–1894. [Google Scholar]
- Ng, C.W.W. The state-of-the-art centrifuge modeling of geotechnical problems at HKUST. J. Zhejiang Univ.-Sci. 2014, 15, 1–21. [Google Scholar] [CrossRef]
- Chen, S.S. Experimental techniques for earth and rockfill dams and their applications. Chin. J. Geotech. Eng. 2015, 37, 1–28. [Google Scholar] [CrossRef]
- Liao, B.; Li, Y.Y.; Guan, Y.; Liu, Y.H.; Huang, Q.Q.; Ye, C.W.; Liu, G.; Xu, F. Insight into barrier mechanism of fly ash-bentonite blocking wall for lead pollution in groundwater. J. Hydrol. 2020, 590, 125444. [Google Scholar] [CrossRef]
- Chen, Y.M.; Tang, Y.; Ling, D.S.; Wang, Y.B. Hypergravity experiments on multiphase media evolution. Sci. China Technol. Sci. 2022, 65, 2791–2808. [Google Scholar] [CrossRef]
- Marot, D.; Le, V.D.; Garnier, J.; Thorel, L.; Audrain, P. Study of scale effect in an internal erosion mechanism: Centrifuge model and energy analysis. Eur. J. Environ. Civ. Eng. 2012, 16, 1–19. [Google Scholar] [CrossRef]
- Ovalle-Villamil, W.; Sasanakul, I. Centrifuge modeling study of backward erosion piping with variable exit size. J. Geotech. Geoenviron. Eng. 2021, 147, 04022224. [Google Scholar] [CrossRef]
- Raisinghani, D.V.; Viswanadham, B.V.S. Centrifuge model study on low permeable slope reinforced by hybrid geosynthetics. Geotext. Geomembr. 2011, 29, 567–580. [Google Scholar] [CrossRef]
- Chen, Y.M.; Li, J.C.; Yang, C.B.; Zhu, B.; Zhan, L.T. Centrifuge modeling of municipal solid waste landfill failures induced by rising water levels. Can. Geotech. J. 2017, 54, 1739–1751. [Google Scholar] [CrossRef]
- Zhang, J.H.; Lo, I.M.C. Centrifuge study of long-term transport behavior and fate of copper in soils at various saturation of water, compaction and clay content. Soil Sediment Contam. 2008, 17, 237–255. [Google Scholar] [CrossRef]
- Zhan, L.T.; You, Y.Q.; Zhao, R.; Chen, C.; Chen, Y.M. Centrifuge modeling of lead retardation in soil-bentonite cut-off walls. Int. Int. J. Phys. Model. Geotech. 2022, 23, 166–179. [Google Scholar] [CrossRef]
- Zhao, T.L.; Chen, S.S.; Fu, C.J.; Zhong, Q.M. Centrifugal model test on the failure mechanism of barrier dam overtopping. KSCE J. Civ. Eng. 2019, 23, 1548–1559. [Google Scholar] [CrossRef]
- Mei, S.Y.; Zhong, Q.M.; Chen, S.S.; Shan, Y.B. Investigation of the overtopping-induced breach of tailings dams. Comput. Geotech. 2022, 149, 104864. [Google Scholar] [CrossRef]
- Ovalle-Villamil, W.; Sasanakul, I. Assessment of centrifuge modelling of internal erosion induced by upward flow conditions. Int. J. Phys. Model. Geotech. 2021, 21, 251–267. [Google Scholar] [CrossRef]
- Beckett, C.; Fourie, A.B.; O’Loughlin, C.D. Centrifuge modelling of seepage through tailings embankments. Int. J. Phys. Model. Geotech. 2016, 16, 18–30. [Google Scholar] [CrossRef]
- Ye, W.; Hu, J.; Ma, F.H. Centrifuge model study on the influence of desiccation cracks on the seepage behavior of upstream clay anti-seepage system subjected to abrupt flood. Bull. Eng. Geol. Environ. 2021, 80, 5075–5090. [Google Scholar] [CrossRef]
- Huang, B.; Guo, C.; Tang, Y.; Guo, J.C.; Cao, L.F. Experimental study on the permeability characteristic of fused quartz sand and mixed oil as a transparent soil. Water 2019, 11, 2514. [Google Scholar] [CrossRef]
- Nourani, V.; Ojaghj, A.; Zhang, Y.Q. Saturated and unsaturated seepage analysis of earth-fill dams using fractal hydraulic conductivity function and its verification. J. Hydrol. 2022, 612, 128302. [Google Scholar] [CrossRef]
- Li, N.P.; Xu, Y.S.; Wang, X.W. Estimation of hydraulic conductivity by the modified Kozeny-Carman equation considering the derivation principle of the original equation. J. Hydrol. 2023, 621, 129658. [Google Scholar] [CrossRef]
- Zhong, Y.; Zhou, A.N.; Du, J.P.; Teng, J.D.; Shen, S.L. Modified Kozeny-Carman equation for estimating hydraulic conductivity in nanoscale pores of clayey soils with active surfaces. J. Hydrol. 2023, 626, 130209. [Google Scholar] [CrossRef]
- Anderson, C.; Sivakumar, V.; Black, J.A. Measurement of permeability using a bench-top centrifuge. Geotechnique 2015, 65, 12–22. [Google Scholar] [CrossRef]
- Lei, G.H.; Liu, F.X.; Xia, S.W. A note on falling-head and rising-tail permeability tests on saturated soils in centrifuge. Can. Geotech. J. 2020, 57, 1232–1238. [Google Scholar] [CrossRef]
- Lei, G.; Dai, C.; Liu, F.; Xu, G.; Gu, X.; Ren, G. Effective centrifuge radius for determining saturated hydraulic conductivity in porous media. In Proceedings of the 10th International Conference on Physical Modelling in Geotechnics, Daejeon, Republic of Korea, 19–23 September 2022. [Google Scholar]
- Singh, D.N.; Gupta, A.K. Falling head hydraulic conductivity tests in a geotechnical centrifuge. J. Test. Eval. 2001, 29, 258–263. [Google Scholar] [CrossRef]
- Wang, Q.S.; Chen, Z.Y.; Sui, H.B.; Hou, Y.J.; Liang, J.H. Modeling seepage flow velocity in centrifuge models. Chin. J. Geotech. Eng. 2011, 33, 1235–1239. [Google Scholar]
- Arulanandan, K.; Thompson, P.Y.; Kutter, B.L.; Meegoda, N.J.; Muraleetharan, K.K.; Yogachandran, C. Centrifuge modeling of transport processes for pollutants in soils. J. Geotech. Eng. 1988, 114, 185–205. [Google Scholar] [CrossRef]
- Thusyanthan, N.I.; Madabhushi, S.P.G. Scaling of Seepage Flow Velocity in Centrifuge Models; Report, No. CUED/D-SOILS/TR326; Engineering Department, Cambridge University: Cambridge, UK, 2003; Available online: http://www-civ.eng.cam.ac.uk/geotech_new/publications/TR/TR326.pdf (accessed on 27 July 2024).
- Taylor, R.N. Discussion: Centrifuge scaling considerations for fluid-particle systems. Geotechnique 1987, 37, 131–133. [Google Scholar] [CrossRef]
- Butterfield, R. Scale-modeling of fluid flow in geotechnical centrifuges. Soils Found. 2000, 40, 39–45. [Google Scholar] [CrossRef]
- Tan, T.S.; Scott, R.F. Centrifuge scaling considerations for fluid-particle systems. Geotechnique 1985, 35, 461–470. [Google Scholar] [CrossRef]
- Cargill, K.W.; Ko, H.Y. Centrifuge modeling of transient water flow. J. Geotech. Eng. 1983, 109, 366–387. [Google Scholar] [CrossRef]
- Garnier, J.; Gaudin, C.; Springman, S.M.; Culligan, P.J.; Goodings, D.; Konig, D.; Kutter, B.; Phillips, R.; Randolph, M.F.; Thorel, L. Catalogue of scaling laws and similitude questions in geotechnical centrifuge modeling. Int. J. Phys. Model. Geotech. 2007, 7, 1–23. [Google Scholar] [CrossRef]
- Khalifa, A.; Garnier, J.; Thomas, P.; Rault, G. Scaling laws of water flow in centrifuge models. In Proceedings of the International Symposium on Physical Modelling in Environmental Geotechnics, Paris, France, 15–17 May 2000. [Google Scholar]
- Van Tonder, W.D.; Jacobsz, S.W. Seepage column hydraulic conductivity tests in the geotechnical centrifuge. J. S. Afr. Inst. Civ. Eng. 2017, 59, 16–24. [Google Scholar] [CrossRef]
- Jones, B.R.; Brouwers, L.B.; Van Tonder, W.D.; Dippenaar, M.A. Assessing geotechnical centrifuge modeling in addressing variably saturated flow in soil and fractured rock. Environ. Sci. Pollut. Res. 2017, 24, 13203–13223. [Google Scholar] [CrossRef] [PubMed]
- Singh, D.N.; Gupta, K.A. Modeling hydraulic conductivity in a small centrifuge. Can. Geotech. J. 2000, 37, 1150–1155. [Google Scholar] [CrossRef]
- Sharma, J.S.; Samarasekera, L. Effect of centrifuge radius on hydraulic conductivity measured in a falling-head test. Can. Geotech. J. 2007, 44, 96–102. [Google Scholar] [CrossRef]
- Guo, C. Design of Super Gravity Internal Erosion Device and Preliminary Experimental Study. Master’s Thesis, Zhejiang University, Hangzhou, China, 2020. [Google Scholar]
- Wang, Y.; Shi, B.; Gao, L.; Liu, J. Laboratory tests for temperature effects of clayey soil permeability. J. Eng. Geol. 2010, 18, 351–356. [Google Scholar] [CrossRef]
- Cho, W.J.; Lee, J.O.; Chun, K.S. The temperature effects on hydraulic conductivity of compacted bentonite. Appl. Clay Sci. 1999, 14, 47–58. [Google Scholar] [CrossRef]
- Huang, Y.H.; Zhang, Z.C.; Xiao, Y.; Li, L.H. Non-isothermal coupled effects of bound water content and permeability in sand and clay. Chin. J. Geotech. Eng. 2024, 46, 375–384. [Google Scholar] [CrossRef]
- Joshaghani, M.; Ghasemi-Fare, O. Exploring the effects of temperature on intrinsic permeability and void ratio alteration through temperature-controlled experiments. Eng. Geol. 2021, 293, 106299. [Google Scholar] [CrossRef]
- Guo, Y.N.; Yang, Y.; Jiang, J.Q.; Yu, J.X.; Wang, Y.L. Analysis of influences of helium working medium replacement and operating pressure on wind resistance power of geotechnical centrifuge. Earthq. Eng. Eng. Dyn. 2020, 40, 197–206. [Google Scholar] [CrossRef]
- Wen, L.F.; Chai, J.R.; Wang, X.; Xu, Z.G.; Qin, Y.; Li, Y.L. Behavior of concrete-face rockfill dam on sand and gravel foundation. Proc. Inst. Civ. Eng.-Geotech. Eng. 2015, 168, 439–456. [Google Scholar] [CrossRef]
- Ikbarieh, A.; Izadifar, M.; Abu-Farsakh, M.Y.; Voyiadjis, G.Z. A parametric study of embankment supported by geosynthetic reinforced load transfer platform and timber piles tip on sand. Transp. Geotech. 2023, 38, 100901. [Google Scholar] [CrossRef]
- Sun, Y.; Zhao, Y.; Zhang, D.L. Surface subsidence of pit-in-pit foundation in sand-obble stratum in Beijing area. Proc. Inst. Civ. Eng.-Ground Improv. 2019, 172, 96–107. [Google Scholar] [CrossRef]
- Ye, W.M.; Wan, M.; Chen, B.; Chen, Y.G.; Cui, Y.J.; Wang, J. Temperature effects on the swelling pressure and saturated hydraulic conductivity of the compacted GMZ01 bentonite. Environ. Earth Sci. 2013, 68, 281–288. [Google Scholar] [CrossRef]
- Flint, L.E.; Selker, J.S. Use of porosity to estimate hydraulic properties of volcanic tuffs. Adv. Water Resour. 2003, 26, 561–571. [Google Scholar] [CrossRef]
- Zhu, Z.H.; Zhang, F.; Dupla, J.C.; Canou, J.; Foerster, E.; Peng, Q.Y. Assessment of tamping-based specimen preparation methods on static liquefaction of loose silty sand. Soil Dyn. Earthq. Eng. 2021, 143, 106592. [Google Scholar] [CrossRef]
- Zheng, G.; Zeng, C.F.; Diao, Y.; Xue, X.L. Test and numerical research on wall deflections induced by pre-excavation dewatering. Comput. Geotech. 2014, 62, 244–256. [Google Scholar] [CrossRef]
- Towhata, I.; Kuntiwattanaku, P.; Seko, I.; Ohishi, K. Volume change of clays induced by heating as observed in consolidation tests. Soils Found. 1993, 33, 170–183. [Google Scholar] [CrossRef]
- Chen, W.Z.; Ma, Y.S.; Yu, H.D.; Li, F.F.; Li, X.L.; Sillen, X. Effects of temperature and thermally-induced microstructure change on hydraulic conductivity of Boom Clay. J. Rock Mech. Geotech. Eng. 2017, 9, 383–395. [Google Scholar] [CrossRef]
Disclaimer/Publisher’s Note: The statements, opinions and data contained in all publications are solely those of the individual author(s) and contributor(s) and not of MDPI and/or the editor(s). MDPI and/or the editor(s) disclaim responsibility for any injury to people or property resulting from any ideas, methods, instructions or products referred to in the content. |
© 2024 by the authors. Licensee MDPI, Basel, Switzerland. This article is an open access article distributed under the terms and conditions of the Creative Commons Attribution (CC BY) license (https://creativecommons.org/licenses/by/4.0/).















