Abstract
The aim of this study is to explore how marine ranching construction enhances the market-oriented potential for energy conservation and emission reduction in China’s coastal cities, and its motivation is to assess the role of marine ranching in promoting sustainable development and environmental protection in these urban areas. With a sample of 53 coastal cities, including experimental-group cities designated as national marine-ranching demonstration zones and a control group of other coastal cities, this research employs theoretical pathway analysis and a quasi-natural experiment design. The findings reveal that marine ranching notably improves both the green innovation capability and industrial upgrading in coastal cities, ultimately stimulating their market-oriented emission-reduction potential. Importantly, extreme weather conditions are found to disrupt the positive impact of marine ranching on the emission-reduction potential in coastal cities, while financial stability ensures its sustained beneficial effects. This study underscores the crucial role of marine ranching in promoting sustainable development and emission reduction in China’s coastal urban areas, emphasizing the importance of addressing climate challenges and maintaining financial stability.
1. Introduction
Coastal zones exhibit unique eco-economic–social features: rich biodiversity, valuable resources supporting industries, high population density, and intricate human–nature interactions [1,2]. The significance of coastal ecosystems lies in their ecological services and carbon sequestration capacities. Coastal zones, influenced by both land and sea, face severe degradation risks due to human activities, as reported by the UN [3]. Rapid urbanization has led to biodiversity loss [4], increasing the vulnerabilities and conflicts between development and conservation [5]. Activities like land reclamation and pollution alter coastal chemistry at unprecedented rates [6], exacerbating the sea-level rise and erosion [7,8]. Mangroves, salt marshes, seagrasses, shellfish farms, and macroalgae, which possess carbon sequestration functions [9,10,11,12], are under threat. However, sustained restoration and effective utilization can unleash their potential, contributing to climate mitigation. Therefore, prioritizing coastal ecosystem conservation and sustainable use is imperative for achieving resilience and sustainability in coastal regions.
Coastal cities, as dynamic interfaces between land and sea, face distinct challenges and opportunities in their pursuit of sustainable development, necessitating careful balancing of conservation and progress. The coastal zone’s economy, society, and ecology are closely linked, and without addressing climate-induced sea-level rise and erosion, its development faces a severe crisis [13]. With population growth, urbanization, and climate change exacerbating the pressures on natural resources, there is an urgent need for innovative strategies that balance economic growth with environmental preservation.
Marine ranching is a pivotal technology for marine habitat restoration and biological resource conservation. The traditional and modern connotations of marine ranching reflect evolving understandings of this concept. Originating earlier in Japan and the United States, the traditional definition of marine ranching emphasizes the conservation and enhancement of fishery biological resources, primarily through artificial reef deployment and stock enhancement [14]. At the 1973 Okinawa International Marine Exposition, Japan highlighted marine ranching as a “marine spatial system formed through the application of scientific theories and technological practices, aiming for the coordinated development of marine resource exploitation and environmental protection to sustain human existence” [15]. The term “marine ranching” prevailed, focusing on coastal fisheries ecosystem engineering. The definition of marine ranching differs between Japanese and European/American scholars. The former focuses on broader ecological restoration and resource conservation, highlighting environmental and ecological benefits, while the latter encompasses resource enhancement for sustainable fisheries, emphasizing economic output. Euro-American countries and the FAO equate marine ranching with fisheries enhancement [16,17,18], preferring terms like “sea ranching”, ”salmon ranching”, or “ocean ranching”, emphasizing release, growth, and capture activities. South Korea, through its Aquaculture Fisheries Promotion Act of 2002, defined marine ranching as an integrated approach to conserving and harvesting aquatic resources within designated areas [19].
In contrast, the modern concept of marine ranching views it as a holistic approach that integrates marine and terrestrial management, predicated on the restoration of marine habitats. As a modern fishery complex, marine ranching incorporates new technologies, industries, business models, and approaches, optimizing the fishery industry structure. It possesses the capacity to restore marine ecosystems, conserve aquatic resources, and promote sustainable marine fisheries [20]. By harnessing natural productivity and integrating marine engineering technologies and modern management practices, modern marine ranching creates a comprehensive ecosystem in suitable waters, fulfilling multiple functions such as environmental protection, resource conservation, and sustainable fisheries development [21]. The 2017 Chinese Aquaculture Industry Standard “Classification of Marine Ranching” (SCT9111-2017) [22] encapsulates this comprehensive vision, advocating for the construction or restoration of habitats necessary for marine life cycles through artificial reefs and stock enhancement [23], ultimately aiming for sustainable fisheries resource utilization.
In practice, most nations initiate marine ranching efforts with artificial reef deployments [24,25]. Japan initiated the “Cultivated Fisheries” plan in 1978–1987, resulting in the world’s first marine ranch, the Kuroshio Marine Ranch, in 1987 [15]. The country’s efforts focused on utilizing modern biotechnology and electronics to establish nearshore marine ranches through artificial reef construction and fish stock enhancement. Core activities involve artificial reef deployment, targeted species breeding and release, and ecosystem monitoring. Japan’s approach emphasizes ecological balance and economic efficiency, with significant investments in research and development [26,27,28]. The US embarked on marine ranch development in 1968, establishing its first marine ranch in California in 1974. The program integrated marine ranching with recreational activities like fishing and diving, promoting both ecological and economic benefits. The US focuses on artificial reef construction, fish stock enhancement, and habitat restoration. It also encourages public participation through recreational opportunities, contributing to community engagement and awareness of marine conservation [29]. South Korea’s 1998 initiative, with a 30-year roadmap, focused on government-guided seed propagation and resource enhancement [30]. Additionally, South Korea emphasizes the development of seaweed forests (kelp beds) to further enhance biodiversity and fish habitat. Public–private partnerships and community involvement are crucial to the program’s success [31,32].
China, with its extensive 18,000 km coastline and abundant marine resources [33], is transitioning from traditional fishery-oriented marine ranching to a modern model that prioritizes environmental protection, ecological restoration, and resource conservation. The establishment of over 28,000 artificial reefs, 23 experimental sites, and 86 national marine ranching demonstration zones across four seas signifies this transformation. By 2025, China aims to establish 178 such zones, exemplifying a shift towards a holistic and environmentally conscious marine ranching paradigm that integrates seed propagation, ecological development, and sustainable fisheries management [34,35].
Key policies and their corresponding timepoints are presented in Table 1.
Table 1.
Key milestones.
Building on the theoretical foundations and practical experiences of marine ranching development in Japan and the United States, this paper delves into the scientific inquiry of “The Impact of China’s Marine Ranching Construction on the Energy Conservation and Emission Reduction Potential of Coastal Cities”. This study seeks to address a gap in existing research by examining the unique context and challenges of marine ranching development in China and its subsequent implications for the sustainability of coastal urban areas.
While Japan and the United States have pioneered marine ranching through artificial reef construction and stock enhancement programs, China’s marine ranching initiatives exhibit distinct characteristics, influenced by its extensive coastline, diverse marine ecosystems, and rapid urbanization. This study contributes to the field by analyzing how China’s marine ranching practices, characterized by ecological prioritization, land–sea integration, and tripartite industry convergence, can foster energy-efficient and environmentally friendly urban development in coastal regions.
Moreover, this research goes beyond current studies by incorporating a multi-faceted analytical framework that considers not only direct energy conservation and emission-reduction benefits but also indirect effects mediated by green innovation and industrial upgrading, as well as moderating factors such as extreme weather and financial stability. By doing so, this paper provides a comprehensive understanding of the complex interplay between marine ranching development and coastal urban sustainability, offering valuable insights for policymakers, industry stakeholders, and researchers alike.
2. Overview
2.1. Market-Oriented Energy-Saving and Emission-Reduction Potential
2.1.1. Market-Oriented Strategies: Unlocking the Full Potential of Energy Saving and Emission Reduction
The relationship between marketization and potential is intricate and mutually reinforcing. Marketization, the process of transforming economic activities into market-driven operations, unlocks vast potential by fostering competition, promoting efficiency, and enhancing resource allocation [36]. “Market-oriented energy-saving and emission-reduction potential” refers to the untapped capacity or opportunity within a market to achieve energy savings and reduce emissions through the adoption of market-based mechanisms, strategies, and technologies. This potential encompasses the ability to enhance energy efficiency, promote the use of renewable energy sources, and implement emission-reducing measures in a way that is driven by market forces, such as consumer demand, cost savings, and competitive pressures.
Market-oriented strategies have emerged as a crucial approach for tackling the urgent challenges of energy conservation and emission reduction. Numerous studies have underscored the positive correlation between market mechanisms and environmental outcomes. Market-based incentives have been shown to notably boost energy efficiency and mitigate greenhouse gas emissions [37]. Similarly, market competition plays a vital role in spurring technological innovations that promote energy savings [38]. Furthermore, market-oriented policies are pivotal in nurturing a green economy [39]. Collectively, these studies demonstrate that market-oriented strategies are essential for harnessing the full potential of energy conservation and emission reduction, thus contributing to a more sustainable future.
The success of these market-oriented strategies hinges on several factors, including policy support, market maturity, and public awareness. Governments play a crucial role in fostering enabling environments through regulatory frameworks, fiscal incentives, and public–private partnerships (PPPs). Additionally, raising public awareness about the benefits of low-carbon technologies and practices is essential for driving demand and fostering widespread adoption [40].
2.1.2. Emissions Trading Markets: A Catalyst for Efficient Allocation of Resources
Emissions trading markets represent a cornerstone of market-based approaches to climate change mitigation. These markets allow emitters to buy and sell allowances for emitting a certain amount of greenhouse gases, thereby incentivizing cost-effective reductions. The theoretical foundation of emissions trading is rooted in the Coase Theorem, which posits that if transaction costs are low, well-defined property rights can lead to efficient resource allocation through market transactions [41].
The European Union Emissions Trading System (EU ETS) is a prominent example of a successful emissions trading market. Studies have shown that the EU ETS has significantly reduced emissions across member states, demonstrating the potential for emissions trading to drive substantial abatement [42,43]. The effectiveness of emissions trading markets also depends on several factors, including the stringency of cap setting, market transparency, and enforcement mechanisms. Empirical evidence indicates that emissions trading markets can generate financial incentives for low-carbon investments, leading to long-term structural changes in energy systems [44,45]. Furthermore, the research highlights the importance of designing markets that balance flexibility with accountability to ensure both environmental and economic efficiency [46].
2.2. The Effect of Marine Ranches on Market-Oriented Energy-Saving and Emission Reduction
2.2.1. Economic Effect
A reasonable and scientific construction and management process of marine ranching yields comprehensive benefits in ecological, economic, and social aspects [47,48,49]. The development of marine ranching has emerged as a pivotal strategy for enhancing economic marine biomass within coastal waters, primarily through deliberate modifications of both biotic and abiotic conditions [50]. This approach not only fosters an increase in fisheries resources but also elevates the quantity and quality of seafood products [3,18,51], addressing market demands for premium marine products and stimulating ancillary industries such as seafood processing and sales. The resultant economic benefits have bestowed considerable financial gains upon coastal cities, forming a robust economic foundation that underpins market-oriented energy-saving and emission-reduction efforts.
By deploying artificial reefs and conducting stock enhancement activities, marine ranching directly augments fisheries stocks, thereby catalyzing a ripple effect across the economic spectrum. This economic upturn enables businesses and individuals to allocate resources toward adopting and investing in energy-saving and emission-reduction technologies and projects. The financial wherewithal generated from marine ranching activities thus acts as a catalyst for promoting environmentally sustainable practices within the coastal economy.
Furthermore, the establishment and expansion of marine ranching have magnetized a plethora of investors interested in marine-related sectors [52,53], encompassing governmental funds, corporate investments, and private capital. This influx of investment not only accelerates the growth trajectory of marine ranching itself but also spurs the prosperity of peripheral industries, cultivating a conducive investment ecosystem. As the economic returns of marine ranching continue to escalate, it is anticipated that an even greater number of investors will gravitate toward this domain, further enriching the financial reservoir available for market-driven energy-saving and emission-reduction initiatives.
Moreover, marine ranching presents a viable solution to the income marginalization crisis faced by traditional fishermen [54]. By engaging in various aspects of marine ranching, including aquaculture, processing, and sales, fishermen and related personnel gain access to more stable income streams. This heightened economic stability translates into improved living standards and, consequently, fosters enhanced recognition and participation in energy-saving and emission-reduction endeavors. As incomes rise, so does the community’s willingness to embrace and contribute to sustainable practices, thereby reinforcing the positive feedback loop between marine ranching development and market-oriented energy-saving and emission-reduction implementation in coastal cities.
2.2.2. Ecological Effect
The ecological benefits of marine ranching construction play a crucial role in providing ecological support for market-oriented energy conservation and emission reduction in coastal cities. Research has revealed the substantial potential of oceanic carbon sinks, with carbon storage approximately 45 times that of the atmosphere [55]. Globally, blue carbon ecosystems sequester an impressive 237.6 Tg C/a, with China contributing 0.835 Tg C/a, ranking it among the countries with the most abundant blue carbon resources [56].
The deployment of artificial reefs and other marine ranching activities exert direct ecological impacts [57,58]. They attract a plethora of marine organisms to congregate within the ranching areas, significantly enhancing biodiversity and biomass in these waters [59]. However, such interventions may also perturb existing ecological environments and structures [60,61]. Consequently, the construction and management of marine ranching necessitate adherence to stringent environmental protection regulations [62], encompassing reasonable control of aquaculture density, prevention of pollution emissions, and conservation of marine ecosystems. The formation of legal and regulatory frameworks pertaining to marine ranching across various nations serves to uphold the balance and stability of marine ecosystems, thereby offering ecological underpinnings for energy-saving and emission-reduction initiatives [63,64].
Furthermore, the development of marine ranching has propelled innovation and application in related technologies, such as intelligent aquaculture techniques [65], high-precision monitoring systems [66], and ecological-restoration methodologies. Capital and scientific advancements facilitate the generation of positive ecological benefits within marine ranching [67]. These technological advancements not only elevate the aquaculture efficiency and product quality of marine ranching but also diminish energy consumption and emissions. Consequently, they exert a proactive influence on energy-saving and emission-reduction efforts.
The integration of ecological considerations into marine ranching practices, coupled with technological advancements, fosters a synergistic relationship between economic development and environmental sustainability. By adhering to ecological regulations and harnessing innovative technologies, marine ranching can contribute to the mitigation of climate change through enhanced carbon sequestration and reduced greenhouse gas emissions. This dual-pronged approach not only bolsters the ecological resilience of coastal ecosystems but also aligns with the broader goals of sustainable development and market-oriented energy-saving and emission-reduction strategies in coastal cities.
In conclusion, the construction of marine ranches has demonstrated its profound impact on both the economic and ecological landscapes of coastal cities. By fostering economic growth through enhanced marine biomass and seafood production, as well as contributing to ecological sustainability via carbon sequestration and biodiversity promotion, marine ranches have created a fertile ground for market-oriented energy-saving and emission-reduction initiatives. The resultant economic prosperity not only facilitates investments in energy-saving and emission-reduction technologies but also raises public awareness and participation in sustainable practices. Furthermore, the ecological benefits of marine ranches provide crucial support for the development of emissions trading markets, catalyzing efficient resource allocation. Based on research findings, Hypothesis 1 is proposed:
Hypothesis 1.
The construction of marine ranches can enhance the market-oriented energy-saving and emission-reduction potential of coastal cities.
This hypothesis sets the stage for further exploration into the mechanisms and strategies for harnessing the full potential of marine ranches in driving sustainable development and environmental conservation in coastal regions.
3. Mechanism Research
3.1. Parallel Mediation
3.1.1. Green Innovation
Green innovation, as defined by scholars, entails the development and implementation of novel solutions to address environmental challenges and foster sustainable development, encompassing technological advancements in ecological protection [68,69]. Marine ranching, as an emerging sustainable fisheries model, presents unique opportunities for green innovation. Through policy coordination, financial subsidies, and environmental regulations, marine ranching stimulates technological innovations conducive to high-quality fisheries development, such as integrating renewable energy like wind power into operations [70] and developing low-pollution and energy-efficient monitoring equipment [71] and smart feeding technologies [66], reducing fossil-fuel dependence. Norway’s marine ranching innovation network exemplifies this trend [72]. These energy-saving technologies and practices in marine ranching can be extended to other sectors of the coastal economy, comprehensively enhancing energy efficiency in coastal cities. The integration of renewable energy mitigates greenhouse gas emissions in marine ranching and beyond, aiding coastal cities in achieving emission reduction targets. Furthermore, technological innovations attract investments in other green industries, fostering ecological economic diversification and resilience in coastal cities. Thus, marine ranching acts as a catalyst for green innovation in coastal cities, and green innovation, in turn, exerts a profound influence on the potential for energy conservation and emission reduction in these cities.
Based on the aforementioned theoretical analysis, the following Hypothesis 2a is proposed:
Hypothesis 2a.
Green innovation plays a mediating role in the process of enhancing the market-oriented potential for energy conservation and emission reduction in coastal cities through marine ranching.
3.1.2. Industrial Upgrading
Marine ranching facilitates industrial upgrading in its respective regions by promoting a structural shift from traditional resource-intensive industries to high-value technology-driven sectors. By harnessing advanced technologies and sustainable management practices, marine ranches transform traditional fishing industries into high-value and eco-friendly systems [73]. The resulting economic gains encourage further investment in clean technologies and sustainable practices, creating a virtuous cycle of growth and emission reduction [74].
Industrial upgrading contributes to achieving economies of scale and enhancing resource-utilization efficiency, leading to reduced energy consumption and carbon emissions per unit of output [75]. The resulting structural changes facilitate the adoption of cleaner production methods and the promotion of renewable energy sources. Industrial upgrading creates new markets and job opportunities by enhancing productivity, thus expanding production scales. These positive effects amplify the market-based emission-reduction potential of coastal cities. By offering incentives for green investments and promoting eco-conscious consumer behaviors, industrial upgrading aligns economic growth with environmental sustainability. Ultimately, the construction of marine ranches, through its catalytic role in industrial upgrading, paves the way for coastal cities to transition towards a low-carbon market-driven future, thereby significantly enhancing their emission reduction capabilities.
Based on the aforementioned theoretical analysis, the following Hypothesis 2b is proposed:
Hypothesis 2b.
Industrial upgrading plays a mediating role in the process of enhancing the market-oriented potential for energy conservation and emission reduction in coastal cities through marine ranching.
3.2. Parallel Moderation
3.2.1. Extreme Weather
With the acceleration of wetland disappearance, coastal erosion, and seabed scouring and siltation, coastal zones exhibit extreme vulnerability when facing natural disasters [76,77,78]. Extreme weather events, such as severe storms, sea level rise, and temperature anomalies, pose significant threats to the viability of ocean ranching initiatives [79]. These phenomena disrupt marine ecosystems, affecting fish migration patterns, reducing plankton productivity, and increasing the risk of disease outbreaks among aquaculture stocks [80]. The negative impacts of extreme weather can undermine the economic and environmental benefits anticipated from ocean ranching. For instance, storm surges can damage ranching infrastructure, leading to financial losses and temporary or permanent cessation of operations.
To mitigate these challenges, coastal cities must integrate climate resilience into ocean ranching planning. This involves adopting adaptive management practices, including the use of climate-resilient materials for infrastructure, implementing early warning systems for extreme weather, and diversifying species portfolios to reduce vulnerability to specific climatic events [33]. Furthermore, research collaborations between academia, industry, and government agencies can facilitate the development of innovative technologies and strategies to enhance the resilience of ocean ranching systems [81].
Based on the aforementioned theoretical analysis, the following Hypothesis 3a is proposed:
Hypothesis 3a.
Extreme weather plays a negative moderating role in the process of enhancing the market-oriented potential for energy conservation and emission reduction in coastal cities through marine ranching.
3.2.2. Financial Stability
Financial stability, on the other hand, emerges as a crucial enabler of successful ocean ranching endeavors. Access to stable and sufficient funding is essential for the establishment, maintenance, and expansion of ocean ranching projects [82]. Financial stability not only ensures the timely procurement of equipment, materials, and expertise but also supports research and development efforts aimed at improving the sustainability and productivity of ranching operations.
Governments can play a pivotal role in fostering financial stability for ocean ranching by providing grants, loans, and tax incentives to investors and operators [83]. Additionally, the development of robust insurance mechanisms tailored to the unique risks associated with ocean ranching can provide a safety net against unexpected losses due to extreme weather or other unforeseen circumstances [84]. Private sector participation, including through public–private partnerships, can further amplify the availability of financial resources and expertise, fostering innovation and scalability in ocean ranching practices.
Based on the aforementioned theoretical analysis, the following Hypothesis 3b is proposed:
Hypothesis 3b.
Financial stability plays a positive moderating role in the process of enhancing the market-oriented potential for energy conservation and emission reduction in coastal cities through marine ranching.
Figure 1 illustrates the mechanism presented according to policy formulation requirements.
Figure 1.
Illustration of mechanism relationship based on policy formulation requirements.
The selection of the influencing factors in exploring the impact mechanism of marine ranching on the market-oriented energy-conservation and emission-reduction potential of coastal cities is grounded in a synthesis of prior literature and theoretical analysis, with the intention of subjective hypothesis testing and empirical validation in subsequent research. Green innovation and industrial upgrading are posited as mediating factors due to their pivotal roles in facilitating the transition towards sustainable practices. Green innovation, by fostering the development and adoption of environmentally friendly technologies, enables marine ranching activities to reduce their ecological footprint while enhancing productivity. This, in turn, promotes a shift towards more sustainable and energy-efficient operations within coastal cities, thereby augmenting their market-oriented energy conservation and emission reduction capabilities.
Industrial upgrading, on the other hand, refers to the process of moving from low-value-added to high-value-added production activities within the marine sector. This transformation not only aligns with the global trend towards a blue economy but also catalyzes the integration of cleaner production methods and resource-efficient practices. As such, industrial upgrading acts as a conduit through which marine ranching can indirectly bolster the energy efficiency and environmental performance of coastal urban economies.
Meanwhile, extreme weather and financial stability are considered moderating factors, as they exert a contextual influence on the aforementioned relationships. Extreme weather events, by highlighting vulnerabilities in existing systems, can either accelerate or impede progress towards sustainable marine ranching practices, depending on the adaptive capacity of coastal cities. Financial stability, on the other hand, ensures the availability of capital necessary for investing in green innovations and upgrading processes, thereby modulating the extent to which these mediating factors can be leveraged for enhancing energy-conservation and emission-reduction potential.
4. Materials and Methods
4.1. Study Area and Data Source
4.1.1. Study Area
This study investigates “The Impact of China’s Marine Ranching Construction on the Market-oriented Energy-saving and Emission-reduction Potential of Coastal Cities”, with a research sample comprising 53 coastal cities in China that possess territorial waters within their jurisdictions. The cities included in this study serve as crucial intersections where marine and terrestrial economies converge, providing a fertile ground for exploring synergistic pathways between marine ranching development and urban sustainability.
To establish a robust comparative analysis, the sample is divided into experimental and control groups based on the presence of National Marine Ranching Demonstration Zones within each city’s boundaries. The experimental group consists of cities that have been approved and are actively implementing national-level marine-ranching demonstration projects. These cities represent the forefront of China’s marine ranching endeavors, employing a range of measures such as artificial reef deployment, marine bioresource enhancement, and marine environmental monitoring and protection to promote ecological restoration and sustainable utilization of fisheries resources.
Conversely, the control group comprises cities that do not have or have not been approved as National Marine Ranching Demonstration Zones. Despite their abundant marine resources, these cities lag behind in marine ranching development, serving as a baseline for comparison with the experimental group. By contrasting the differences in energy-conservation and emission-reduction potential, green economic development, and ecological-environment improvement between the experimental and control groups, this study aims to elucidate the specific impact of marine ranching construction on the sustainability of coastal cities in China. The findings of this research will provide valuable scientific evidence for policymakers to foster deeper integration between marine ranching development and sustainable urban development in China.
The distribution of the 53 coastal cities and national marine ranches in China for the years 2015 and 2022 is illustrated in Figure 2. The map data for this study were sourced from “Tiandi Map—National Geographic Information Public Service Platform”. The dark blue areas represent coastal cities with national-level marine ranching (the experimental group), while the light blue areas signify other coastal cities (the control group) in this study. Notably, coastal cities are distributed in a north–south band. Initially, marine ranches were concentrated in the northern coastal region. However, following a rapid increase in their number, the disparity in distribution between the north and south has diminished.
Figure 2.
The coverage of the study area.
The classification of national marine ranches encompasses product type, operational mode, and geographical location. Product types include fishing-oriented, leisure-oriented, aquaculture-focused, and ecological restoration, based on their primary functions. Operational modes distinguish between commercialization and integration, with enterprises or governments as dominant parties, reflecting different orientations toward economic, social, and ecological benefits. Geographical location categorizes ranches as southern or northern, which are influenced by climate, resource availability, and regional characteristics. These classifications are determined through analysis of official documents, enterprise behavior, market orientation, geographical data, and regional contexts, providing a framework for understanding and managing marine ranch diversity. The typical classification is presented in Table 2, as follows.
Table 2.
Classification of national marine ranching.
In the absence of detailed data on the operational profits of marine ranching, an approximate estimation of its scale and impact can be attempted by observing the fisheries’ output value in its vicinity. This approach leverages the correlation between marine ranching activities and regional fisheries productivity, assuming that enhancements in resource yield and fishing efficiency due to ranching contribute positively to the fisheries’ output value. However, this method is fraught with limitations and uncertainties, as the fisheries output value is influenced by various factors beyond marine ranching. Therefore, a comprehensive assessment should incorporate additional information on ranching operations, management efficiency, and technological advancements.
Figure 3 illustrates the growth of fisheries output value in provinces with national-level marine ranches from 2009 to 2022, excluding the municipalities of Tianjin and Shanghai. A consistent upward trajectory is evident across all regions. Notably, Jiangsu and Shandong exhibited the highest annual fisheries output values during this period. However, it is Guangdong that stands out with its remarkable growth rate, surpassing Shandong in 2018. This rapid ascent underscores Guangdong’s dynamic progress in harnessing marine resources, highlighting the potential of strategic investments in marine ranching to catalyze fisheries growth. Guangdong’s strategic investments in marine ranching are noteworthy, with the establishment of the first marine ranching industry fund, the Guangdong Zhanjiang Marine Ranching Development Private Equity Fund, and the allocation of specialized funds for modernization. These measures aim to bolster the entire industry chain, foster technological innovation, and ensure sustainable development, highlighting Guangdong’s commitment to advancing its marine ranching sector.
Figure 3.
Regional fisheries output value.
4.1.2. Data Source
The core variable indicators, including the total transaction values of carbon trading, energy use rights trading, and emissions trading, are sourced from disclosures compiled on prefecture-level city portals. The list of national marine ranching sites is obtained from announcements by China’s Ministry of Agriculture and Rural Affairs. The number of green invention applications in the current year is sourced from the National Intellectual Property Administration. Industry data are derived from the China City Statistical Yearbook, while extreme weather data are sourced from authoritative institutions such as the National Meteorological Information Center. Financial loan and deposit data are sourced from the CEIC database. Among the control variable indicators, the list of carbon pilot cities is sourced from the National Development and Reform Commission, with all other indicators derived from relevant statistical yearbooks. The software used for data processing in this study was Stata 17.
4.2. Index Explanation
4.2.1. Dependent Variable
Using “the ratio of the total volume of carbon trading, energy use rights trading, and emissions trading to GDP” as an indicator of “energy-saving and emission-reduction potential” for coastal cities embodies a market-oriented approach to assessing their green development prospects. These three types of trading mechanisms, by facilitating market transactions, can unlock the potential for green emission reduction in coastal cities. They incentivize market entities to adopt greener practices, thereby enhancing their motivation for green emission reduction. These trading mechanisms also strengthen the oversight of green emission-reduction efforts, ensuring more effective implementation and compliance.
4.2.2. Independent Variable
Using “whether the construction of a national-level marine ranching demonstration area has been approved within the urban administrative region” as an indicator of “marine ranching construction” in coastal cities emphasizes the strategic significance of these projects. This criterion reflects governmental support and commitment to sustainable ocean resource management and ecological conservation. Approval signifies a comprehensive plan harmonizing conservation, restoration, and sustainable utilization, aligning with coastal-zone management goals.
4.2.3. Mediating Variable
- Green innovation: As previously mentioned, the construction of marine ranching can stimulate the diffusion of environmentally friendly technological innovations within the region. Given that patent data are utilized to assess technological research and development activities [85], this study employs “the number of green invention applications in the current year” as a metric to evaluate the level of green innovation in the sample regions.
- Industrial upgrading: As stated earlier, marine ranching construction can guide the transition of traditional fishing towards tertiary industries such as leisure fishing and marine tourism, manifested by an increased contribution of the tertiary industry to the regional economic structure [86]. Therefore, this study uses “the ratio of value added by the tertiary industry to that of the secondary industry” to assess the level of industrial upgrading in the sample regions.
4.2.4. Moderating Variable
- Extreme weather: As previously mentioned, extreme weather can disrupt the normal eco-economic performance of marine ranching. In this study, the proportion of days with extreme weather phenomena (considering data availability, using indicators of maximum temperature, minimum temperature, and extreme rainfall [87]) in a year is used to reflect the extreme weather conditions in the sample area.
- Financial stability: As previously discussed, the economic and ecological benefits of marine ranching policies necessitate a stable financial environment. A higher loan-to-deposit ratio may indicate that financial institutions rely more on external financing to support their lending activities, which increases their liquidity risk [88]. Consequently, this study utilizes “the financial loan-to-deposit ratio” to measure the financial stability of the sample regions.
4.2.5. Control Variables
When assessing the impact of marine ranching on the market-oriented energy-saving and emission-reduction potential of coastal cities, several control variables are crucial for a comprehensive analysis. These include economic base (pgdp), primary industry reliance (agro), land resource (land), water resource (water), pollution control investment (invest), fiscal environmental protection (protect), human capital (human), and low-carbon pilot city (pilot). These variables collectively provide a holistic view of the factors shaping the green potential of coastal cities in the context of marine ranching.
The specific variable indicators are delineated in Table 3.
Table 3.
Explanation of variables and indicators.
4.3. Descriptive Analysis
Table 4 presents a descriptive statistical analysis that highlights significant disparities and characteristics among various indicators related to the market-oriented energy-saving and emission-reduction potential of coastal cities in China. The average market-oriented potential stands at 13.358%, with a substantial standard deviation of 34.974, indicating wide variations across cities. About 30% of the sampled cities have approved the construction of national marine ranching demonstration zones, with a relatively uniform distribution but with room for expansion. Green innovation, measured by the number of green invention applications, averages 4.286 but shows high variance, reflecting uneven technological progress. Industrial upgrading, indicated by the tertiary-to-secondary industry value-added ratio, averages 1.127%, demonstrating moderate progress towards a service-oriented economy. Extreme weather events affect about 29.2% of days on average with minor variations, yet posing potential challenges. Financial stability, assessed by the loan-to-deposit ratio, shows moderate average values, but some cities face higher liquidity risks. Among the control variables, disparities are also evident, reflecting the diverse economic, resource, environmental, and social characteristics of coastal cities. These findings highlight the need for tailored interventions to address the variations and enhance overall sustainability and resilience in coastal urban development.
Table 4.
Descriptive statistics.
4.4. Model Construction
The statistical method primarily used for the analysis in this study is regression analysis. For this purpose, regression models were constructed to examine the relationships between the variables. In order to test Hypotheses 1–3, the following models (1)–(3) are constructed, in which model (1) is the benchmark regression model, and models (2) and (3) are the path test models.
In models (1)–(3), and denote the city and year, and indicates the time- and entity-varying treatment variable. and represent the time-varying and entity-varying mediator variable and moderator variable, respectively. denote time-varying and entity-varying control variables, represents entity fixed effects, signifies time fixed effects, and denotes the standard residual term.
5. Results
5.1. Multiple Collinearity Test
Table 5 presents the results of a multicollinearity test conducted to evaluate the potential correlation between the independent and control variables used in the regression analysis. The test employs two key metrics: the variance inflation factor (VIF) and tolerance (TOL). The VIF measures the extent to which the variance of a regression coefficient is inflated due to multicollinearity. A VIF value greater than 10 typically suggests a problematic level of correlation. In contrast, the TOL, which is the reciprocal of VIF, measures the degree of independence among variables, with values closer to 1 indicating weaker correlations. All VIF values reported are below 10, with a mean VIF of 1.62, indicating a low level of multicollinearity. Similarly, all TOL values exceed 1, further confirming the absence of significant correlation among variables. The low VIF and high TOL values reported in Table 5 are reassuring as they demonstrate that the variables included in the regression model are not excessively correlated. This is crucial because multicollinearity can distort regression results, leading to biased coefficient estimates and increased variance.
Table 5.
Multiple collinearity test.
In summary, Table 5 highlights the robustness of the regression model by affirming that the chosen variables are independent enough to provide reliable and accurate insights without the confounding effects of multicollinearity. This finding underpins the credibility of subsequent analysis and the conclusions drawn from the regression results.
5.2. Benchmark Regression
Table 6 presents the results of benchmark regression analysis using the multi-period difference-in-differences (DID) method, aimed at examining the impact of marine ranching construction on the low-carbon potential of coastal cities. The analysis is conducted through six models, each progressively incorporating additional control variables to provide a deeper understanding of the effect of marine ranching.
Table 6.
Benchmark regression.
Model (1.1) serves as the baseline, exploring the direct relationship between marine ranching construction and low-carbon potential without considering any control variables. The results indicate a significant positive impact, suggesting that marine ranching construction contributes positively to enhancing urban low-carbon potential.
Model (1.2) extends this by including control variables related to the economic and industrial foundation (e.g., per-capita GDP and agricultural employment). The positive and significant coefficient of marine ranching construction increases, demonstrating its robust effect on low-carbon potential even when economic and industrial factors are taken into account.
Model (1.3) adds controls for regional resource reserves (e.g., per-capita cultivated land and water resources). The coefficient remains significant and rises further, indicating that resource availability does not diminish the impact of marine ranching.
Model (1.4) incorporates variables reflecting environmental protection efforts (e.g., investment in pollution control and fiscal expenditure on environmental protection). The positive effect of marine ranching persists and slightly increases, showing a synergistic relationship with environmental protection measures.
Model (1.5) includes controls for population development (e.g., population density). The coefficient remains significant, suggesting that demographic factors do not undermine the contribution of marine ranching to low-carbon potential.
Finally, model (1.6) adds a dummy variable for low-carbon pilot cities. The coefficient of marine ranching construction achieves its highest significance level, demonstrating that even in the context of specific low-carbon policies, marine ranching construction significantly enhances the low-carbon potential of coastal cities. Across all models, the R2 values exceed 0.9, indicating high goodness-of-fit, reinforcing the robustness and significance of the findings.
The benchmark regression analysis initially provided support for hypothesis 1, indicating a significant relationship between the variables.
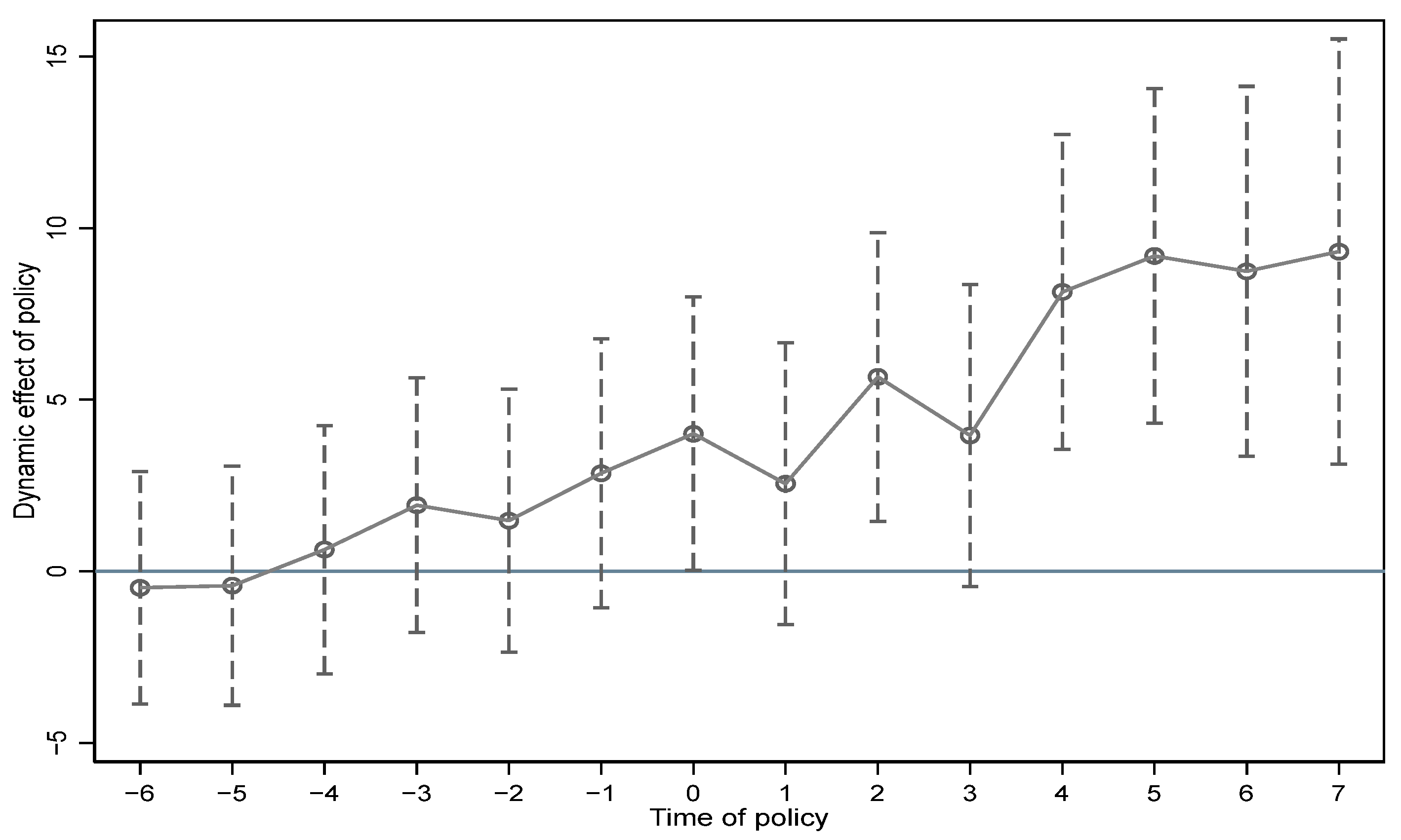
5.3. Parallel Trend Test
Figure 4 presents the results of the parallel trend test conducted to evaluate the impact of a policy intervention, in this case, likely related to marine ranch construction, on an outcome variable, presumably representing green potential or a similar measure of environmental sustainability. The parallel trend test is a critical step in difference-in-differences (DID) analysis, ensuring that the treatment and control groups follow similar trends before the policy shock, thus reinforcing the validity of the DID estimates.
Figure 4.
Parallel trend test.
The figure clearly shows the estimated values and their corresponding 95% confidence intervals for the six years preceding the policy intervention and the years following it. Prior to the policy shock, the confidence intervals for all six years include zero, indicating that there is no statistically significant difference in trends between the treatment and control groups. This aligns with the parallel trend assumption required for a valid DID analysis.
However, starting from the year when the policy shock occurs, a notable change is observed. The confidence intervals for the estimated values largely exclude zero, suggesting that the policy intervention has a statistically significant impact on the outcome variable. This finding is crucial as it indicates that the policy, likely marine ranch construction, has had a measurable effect on enhancing green potential or the environmental sustainability measure being tracked.
The figure also shows a temporary weakening of policy effects in the second and fourth years after implementation. Initially, new conservation measures led to a significant increase in green potential. However, by the second year, the ecosystem’s adaptation to these measures or implementation delays may have caused a temporary reduction in effect. Similarly, in the fourth year, adaptation or external factors could have interfered, weakening significance again. Yet, as the ecosystem adapts and measures are more thoroughly implemented, the green potential significantly increases. This fluctuation can be attributed to the ecosystem’s adaptation process and external factors, explaining the temporary weakening in significance. Over time, as the policy is further implemented, its effects become increasingly significant.
Nonetheless, as the ecosystem adapts and the measures take hold, the figure shows that the green potential enhancement gradually becomes more pronounced again in subsequent years. This reaffirms the positive and lasting impact of the policy intervention on the outcome variable.
In conclusion, Figure 4 provides a meaningful illustration of the parallel trend test results, demonstrating the significance of the policy intervention on enhancing green potential or a related environmental-sustainability measure. It also highlights the importance of considering both immediate and long-term effects when evaluating the impact of policies on ecological systems. The figure reinforces the validity of the DID analysis by showing that the treatment and control groups followed similar trends before the policy shock, allowing for a more accurate assessment of the policy’s effects.
The parallel trend test was conducted to further validate hypothesis 1, confirming the absence of systematic differences in trends over time between the treatment and control groups, thereby reinforcing the initial finding.
5.4. Placebo Test
Table 7 presents the results of a placebo test designed to verify the actual impact of marine ranching construction policies on enhancing the green potential of coastal cities, ensuring that the observed effects are not due to random factors or confounding variables.
Table 7.
Placebo test.
Model (1.7) assumes a three-period advancement of policy implementation without control variables, revealing an insignificant policy variable coefficient (p = 1.04), indicating no significant green potential enhancement. Model (1.8) extends this by incorporating control variables, yet the policy variable remains insignificant (p = 1.24), reinforcing the time-specific nature of policy effects.
Similarly, model (1.9) hypothesizes a four-period advancement without control variables, yielding a non-significant policy variable (p = 1.02). Model (1.10) includes control variables and again shows an insignificant policy variable (p = 1.19), further substantiating that marine ranching policies do not significantly affect coastal cities’ green potential before their actual implementation.
Collectively, these models demonstrate the temporal specificity of policy effects, suggesting that the observed green potential enhancement is a result of the actual policy implementation rather than random factors. The consistency across models strengthens the conclusion that marine ranching construction policies effectively promote sustainable development and environmental protection in coastal cities, providing robust evidence for policymakers. This finding underscores the importance of timing in policy interventions and their subsequent impacts on urban green potential.
A placebo test was implemented to strengthen the robustness of hypothesis 1, ensuring that the observed effects were not due to chance or confounding factors, thus enhancing the confidence in the results.
6. Further Investigation
6.1. Mechanism Test
6.1.1. Parallel Mediation
Table 8 presents the results of a bootstrap method with 1000 resamples, examining the mediating effects of green innovation and industrial upgrading in the relationship between marine ranching construction and the green potential of coastal cities. The table comprises two models, focusing on green innovation in model 2.1 and industrial upgrading in model 2.2 as the mediating variables.
Table 8.
Parallel mediation.
In model 2.1, green innovation emerges as a significant mediator. The positive and statistically significant indirect effect (bs1 = 0.334) indicates that marine ranching indirectly boosts the green potential of coastal cities by fostering green technological advancements. This is corroborated by the confidence intervals (BootLLCI = 0.012, BootULCI = 0.656), which exclude zero, affirming the robustness of this finding. Simultaneously, the direct effect (bs2 = 3.108) also signifies a direct positive impact of marine ranching on green potential, underscoring its multifaceted benefits.
Model 2.2 showcases industrial upgrading as another crucial mediator. The indirect effect through industrial upgrading (bs1 = 0.657) is also statistically significant, suggesting that marine ranching contributes to the transformation of traditional fishing industries toward more sustainable tertiary sectors, thereby indirectly enhancing green potential. The confidence intervals (BootLLCI = 0.028, BootULCI = 1.285) further validate this mediation pathway. Additionally, the direct effect (bs2 = 2.784) underscores the immediate positive influence of marine ranching on coastal cities’ green potential.
Collectively, these results demonstrate that marine ranching exerts its beneficial impact on coastal cities’ green potential through both direct and indirect channels. By promoting green innovation and fostering industrial upgrading, marine ranching not only directly enhances environmental sustainability but also catalyzes long-term structural changes that support green development. These findings emphasize the importance of marine ranching as a strategic intervention for advancing sustainable urban development along China’s coastlines.
The parallel mediation analysis was employed to examine hypotheses 2a and 2b, revealing that the mediator variables simultaneously transmitted the effect of the independent variable on the dependent variable, providing evidence for the proposed mechanisms.
6.1.2. Parallel Moderation
The results presented in Table 9 provide insightful analyses into the moderating effects of extreme weather (weather_e) and financial stability (stability_f) on the relationship between marine ranching construction (ranch) and the green potential (potential) of coastal cities.
Table 9.
Parallel moderation.
Model 3.1 serves as a baseline, demonstrating a significant positive effect of marine ranching construction on the green potential of coastal cities without considering any moderating variables. This suggests that marine ranching initiatives, on their own, contribute positively to enhancing the environmental sustainability of these urban areas.
Moving to model 3.2, the introduction of the interaction term between extreme weather and marine ranching construction (weather_e × ranch) reveals a notable negative moderation effect. This indicates that extreme weather conditions can undermine the positive impacts of marine ranching on green potential. High-intensity weather events, such as storms and hurricanes, can disrupt marine ecosystems and operational activities, thereby mitigating the beneficial effects of marine ranching on reducing emissions and promoting sustainable development.
Model 3.3 reaffirms the positive main effect of marine ranching construction on green potential without considering financial stability as a moderating factor. This reiteration solidifies the fundamental role of marine ranching in fostering environmentally friendly practices in coastal cities.
Finally, model 3.4 introduces the interaction between financial stability and marine ranching construction (stability_f × ranch), showing a significant negative moderation effect. This suggests that financial instability can diminish the positive impacts of marine ranching on green potential. Inadequate financial support or a volatile financial environment may hinder the effective implementation and sustainability of marine ranching projects, thereby limiting their potential contributions to reducing emissions and promoting green development.
Collectively, these models underscore the importance of addressing both environmental and financial challenges to fully harness the benefits of marine ranching for coastal cities. By considering the moderating roles of extreme weather and financial stability, policymakers can better design and implement marine ranching initiatives that are resilient to external shocks and conducive to long-term environmental sustainability.
The parallel moderation analysis was conducted to test hypotheses 3a and 3b, demonstrating that the moderator variables concurrently influenced the strength and direction of the relationship between the independent and dependent variables, further supporting the hypothesized moderating effects.
6.2. Heterogeneity Analysis
Table 10 presents the results of heterogeneity tests regarding the impact of marine ranching on enhancing green potential in coastal cities. The analysis is conducted by stratifying the sample into distinct groups based on various criteria.
Table 10.
Heterogeneity analysis.
Firstly, following the natural division of China by the Qinling–Huaihe line, the sample is segmented into southern and northern coastal cities. The geographical division between southern and northern coastal cities reveals notable distinctions. While both regions exhibit positive coefficients, the impact is statistically significant only in northern cities, indicating a stronger effect in promoting green potential through marine ranching initiatives in the north (coefficient of 3.787, significant at the 1% level). This suggests that northern cities might have leveraged marine ranching more effectively to drive green innovation and industrial upgrading, potentially due to their focus on technological advancements and adaptations to harsher climatic conditions.
Secondly, the analysis differentiates between central and peripheral coastal cities. Central cities, which typically encompass provincial capitals, sub-provincial cities, and municipalities, show a significant enhancement in green potential from marine ranching (coefficient of 16.133, significant at the 1% level). In contrast, peripheral cities do not demonstrate a similar significant outcome. This disparity underscores the role of economic centrality and policy focus in magnifying the benefits of marine ranching. Central cities, benefiting from greater resources and policy support, are better positioned to capitalize on marine ranching for green development.
Lastly, the table categorizes cities based on their inclusion in China’s list of environmentally key protected areas outlined in the “National Environmental Protection ‘Eleventh Five-Year’ Plan”. Marine ranching in environmentally key protected coastal cities yields a significant increase in green potential (coefficient of 5.451, significant at the 1% level), highlighting the synergy between environmental conservation efforts and marine ranching development. Conversely, non-key protected cities do not exhibit this significant effect, implying that additional policy incentives or regulatory frameworks might be necessary to harness the full green potential of marine ranching in these areas.
Overall, the heterogeneity analysis in Table 10 underscores the multifaceted impacts of marine ranching on coastal cities’ green potential. The observed differences across regions and city types suggest that tailored policies and strategies are essential for maximizing the environmental and economic benefits of marine ranching. For instance, northern and central cities, as well as those designated as environmentally key protected areas, should be prioritized for marine ranching initiatives due to their demonstrated capacity to enhance green potential. Meanwhile, peripheral and non-key protected cities may require additional support to leverage marine ranching effectively for sustainable development. These insights provide valuable guidance for policymakers in designing and implementing marine ranching programs tailored to the specific contexts and needs of different coastal regions in China.
7. Conclusions and Prospects
This study empirically and theoretically explores the impact of marine ranching in coastal cities on China’s energy-saving and emission-reduction potential, revealing significant positive effects on market-driven sustainability initiatives.
The mediation analysis underscores the pivotal role of green innovation in transducing the positive effects of marine ranching into tangible improvements in urban green potential. By promoting environmentally friendly technologies and practices, marine ranching stimulates a shift towards sustainability in coastal urban economies. Similarly, the upgrading of industrial structures, facilitated by marine ranching activities, fosters economic growth that is aligned with green principles, further enhancing the overall green potential of these cities.
The moderating effects of extreme weather and financial stability add layers of nuance to the understanding of how marine ranching initiatives unfold their benefits. Extreme weather events, which are becoming more frequent and intense due to climate change, pose challenges to the sustainability of marine ecosystems and, consequently, to the effectiveness of marine ranching. On the other hand, financial stability is crucial for ensuring the continuity and scalability of these initiatives, as it facilitates access to capital for investment in green technologies and infrastructure.
Looking ahead, the implications of this study are profound for policymakers, urban planners, and environmental managers.
Firstly, it underscores the need for integrated coastal management strategies that harness the potential of marine resources while mitigating the risks associated with climate change. This includes investing in resilient infrastructure and adopting adaptive management approaches to cope with the uncertainties posed by extreme weather events.
Secondly, the study emphasizes the importance of fostering green innovations and supporting the transition towards more sustainable industrial structures in coastal cities. This can be achieved through targeted policy interventions, such as tax incentives for green businesses, subsidies for research and development in marine-based renewable energy, and the establishment of green finance mechanisms.
Lastly, maintaining financial stability is paramount for sustaining the momentum of marine ranching and other green initiatives in coastal urban areas. This requires robust regulatory frameworks that ensure the stability of financial markets and encourage long-term investments in sustainable development projects.
In conclusion, marine ranching in coastal cities offers a promising pathway for enhancing market-oriented energy-saving and emission-reduction potential in China. However, realizing its full potential necessitates a comprehensive and integrated approach that addresses the interlinked challenges of climate change, industrial transformation, and financial sustainability. Future research should further explore the micro-level dynamics of these relationships and the scalability of successful marine ranching models to other coastal regions globally.
Author Contributions
Conceptualization, Y.H. and S.S.; methodology, S.S.; software, Z.Z.; validation, Y.H., Z.Z. and S.S.; formal analysis, Y.H.; data curation, Z.Z.; writing—review and editing, Y.H.; visualization, Z.Z.; supervision, Z.Z.; project administration, Z.Z.; funding acquisition, Z.Z. All authors have read and agreed to the published version of the manuscript.
Funding
This research was funded by The National Social Science Fund of China, grant No. 23BGL226.
Data Availability Statement
The data presented in this study are openly available in [China City Statistical Yearbook] and [China Marine Economic Statistical Yearbook] at [https://www.stats.gov.cn/sj/ndsj/] (accessed on 3 September 2024) and [https://www.nmdis.org.cn/hygb/zghyjjtjgb/] (accessed on 3 September 2024), reference number [2015–2023]. In addition, the data presented in this study are available upon request from the corresponding author.
Acknowledgments
Special thanks to Zhao Shi-yong for his guidance and suggestions.
Conflicts of Interest
The authors declare that they have no conflicts of interest.
References
- Merkens, J.L.; Reimann, L.; Hinkel, J.; Vafeidis, A.T. Gridded population projections for the coastal zone under the Shared Socioeconomic Pathways. Glob. Planet. Chang. 2016, 145, 57–66. [Google Scholar] [CrossRef]
- Mentaschi, L.; Vousdoukas, M.I.; Pekel, J.F.; Voukouvalas, E.; Feyen, L. Global long-term observations of coastal erosion and accretion. Sci. Rep. 2018, 8, 12876. [Google Scholar] [CrossRef] [PubMed]
- Seaman, W. Artificial habitats and the restoration of degraded marine ecosystems and fisheries. In Biodiversity in Enclosed Seas and Artificial Marine Habitats, Proceedings of the 39th European Marine Biology Symposium, Genoa, Italy, 21–24 July 2004; Springer: Dordrecht, The Netherlands, 2007; pp. 143–155. [Google Scholar]
- Mirauda, D.; De Donato, R.; Santandrea, G. Proposed improvement of coastal habitat resilience: The case study of Pantano forest of Policoro in southern Italy. Front. Mar. Sci. 2022, 9, 891251. [Google Scholar] [CrossRef]
- Zhang, R.; Ai, B.; Gu, F. Ecological responses to the coastal exploitation of urban agglomerations along the Pearl River Estuary. Environ. Res. Lett. 2019, 14, 124008. [Google Scholar] [CrossRef]
- Doney, S.C. The growing human footprint on coastal and open-ocean biogeochemistry. Science 2010, 328, 1512–1516. [Google Scholar] [CrossRef]
- Anderson, T.R.; Fletcher, C.H.; Barbee, M.M.; Frazer, L.N.; Romine, B.M. Doubling of coastal erosion under rising sea level by mid-century in Hawaii. Nat. Hazards 2015, 78, 75–103. [Google Scholar] [CrossRef]
- Wu, T.; Hou, X.; Xu, X. Spatio-temporal characteristics of the mainland coastline utilization degree over the last 70 years in China. Ocean. Coast. Manag. 2014, 98, 150–157. [Google Scholar] [CrossRef]
- Bouillon, S.; Borges, A.V.; Castañeda-Moya, E.; Diele, K.; Dittmar, T.; Duke, N.C.; Kristensen, E.; Lee, S.Y.; Marchand, C.; Middelburg, J.J.; et al. Mangrove production and carbon sinks: A revision of global budget estimates. Glob. Biogeochem. Cycles 2008, 22, GB2013. [Google Scholar] [CrossRef]
- Alongi, D.M. Carbon cycling and storage in mangrove forests. Annu. Rev. Mar. Sci. 2014, 6, 195–219. [Google Scholar] [CrossRef] [PubMed]
- Ahmed, N.; Bunting, S.W.; Glaser, M.; Flaherty, M.S.; Diana, J.S. Can greening of aquaculture sequester blue carbon? Ambio 2017, 46, 468–477. [Google Scholar] [CrossRef]
- Krause-Jensen, D.; Duarte, C.M. Substantial role of macroalgae in marine carbon sequestration. Nat. Geosci. 2016, 9, 737–742. [Google Scholar] [CrossRef]
- Pethick, J.; Orford, J.D. Rapid rise in effective sea-level in southwest Bangladesh: Its causes and contemporary rates. Glob. Planet. Chang. 2013, 111, 237–245. [Google Scholar] [CrossRef]
- Salvanes, A.G.V.; Steele, J.; Thorpe, S.; Turekian, K. Ocean ranching. In Marine Policy and Economics; Elsevier Ltd.: London, UK, 2001; pp. 226–235. [Google Scholar]
- Nakahara, H. Japanese Efforts in Marine-Ranching Development. In Resources & Environment in Asia’s Marine Sector; Routledge: London, UK, 2018; pp. 199–216. [Google Scholar]
- Bartley, D.M. Marine Ranching: Global Perspectives with Emphasis on the Japanese Experience; FAO Fisheries Circular; FAO: Rome, Italy, 1999; pp. 28–43. [Google Scholar]
- Leber, K.M.; Kitada, S.; Blankenship, H.L.; Svasand, T. Stock Enhancement and Sea Ranching: Developments, Pitfalls and Opportunities; John Wiley & Sons: Hoboken, NJ, USA, 2008. [Google Scholar]
- Kitada, S. Economic, ecological and genetic impacts of marine stock enhancement and sea ranching: A systematic review. Fish Fish. 2018, 19, 511–532. [Google Scholar] [CrossRef]
- Hwang, B.K.; Lee, Y.W.; Jo, H.S.; Oh, J.K.; Kang, M. Visual census and hydro-acoustic survey of demersal fish aggregations in Ulju small scale marine ranching area (MRA), Korea. J. Korean Soc. Fish. Ocean. Technol. 2015, 51, 16–25. [Google Scholar] [CrossRef]
- Barber, J.S.; Chosid, D.M.; Glenn, R.P.; Whitmore, K.A. A systematic model for artificial reef site selection. N. Z. J. Mar. Freshw. Res. 2009, 43, 283–297. [Google Scholar] [CrossRef]
- Liu, Y.; Zhao, Y.P.; Dong, G.H.; Guan, C.T.; Cui, Y.; Xu, T.J. A study of the flow field characteristics around star-shaped artificial reefs. J. Fluids Struct. 2013, 39, 27–40. [Google Scholar] [CrossRef]
- SC/T 9111-2017; Classification of Marine Ranching. Ministry of Agriculture of the People’s Republic of China: Beijing, China, 2017.
- Chen, P.M.; Shu, L.M.; Yuan, H.R.; Feng, X.; Tong, F.; Chen, Q.; Chen, Y.-X.; Yu, J.; Chen, G.-B.; Yu, J.; et al. Review on development, definition and classification of marine ranching in domestic and overseas. J. Fish. China 2019, 43, 1851–1869. [Google Scholar]
- Muir, K. The Ship That Would Not Die: USS Queens, SS Excambion, and USTS Texas Clipper. J. Am. Cult. 2013, 36, 404. [Google Scholar] [CrossRef]
- Seaman, W.; Jensen, A.C. Purposes and Practices of Artificial Reef Evaluation; CRC Press LLC: Boca Raton, FL, USA, 2000; pp. 2–19. [Google Scholar]
- Nose, T. Recent advances in aquaculture in Japan. GeoJournal 1985, 10, 261–276. [Google Scholar] [CrossRef]
- Lee, M.O.; Otake, S.; Kim, J.K. Transition of artificial reefs (ARs) research and its prospects. Ocean Coast. Manag. 2018, 154, 55–65. [Google Scholar] [CrossRef]
- Masuda, R.; Tsukamoto, K. Stock enhancement in Japan: Review and perspective. Bull. Mar. Sci. 1998, 62, 337–358. [Google Scholar]
- Ihde, T.F.; Wilberg, M.J.; Loewensteiner, D.A.; Secor, D.H.; Miller, T.J. The increasing importance of marine recreational fishing in the US: Challenges for management. Fish. Res. 2011, 108, 268–276. [Google Scholar] [CrossRef]
- Kim, S.K.; Yoon, S.C.; Youn, S.H.; Park, S.U.; Corpus, L.S.; Jang, I.K. Morphometric changes in the cultured starry flounder, Platichthys stellatus, in open marine ranching areas. J. Environ. Biol. 2013, 34, 197. [Google Scholar]
- Kim, D.H.; Seung, C.K.; Seo, Y.I. Multi-regional economic impacts of recreational fisheries: Analysis of small sea ranch in Gyeong-Nam Province, Korea. Mar. Policy 2017, 84, 90–98. [Google Scholar] [CrossRef]
- Choi, Y.R. Modernization, development and underdevelopment: Reclamation of Korean tidal flats, 1950s–2000s. Ocean Coast. Manag. 2014, 102, 426–436. [Google Scholar] [CrossRef]
- FAO Statistical Databases. Food and Agriculture Organization of the United Nations. Rome. Available online: http://faostat.fao.org (accessed on 10 September 2024).
- Yang, H.; Sheng, Y.H. Construction of marine ranching in China: Reviews and prospects. J. Fish. China 2016, 40, 1133–1140. [Google Scholar]
- Yu, J.; Zhang, L. Evolution of marine ranching policies in China: Review, performance and prospects. Sci. Total Environ. 2020, 737, 139782. [Google Scholar] [CrossRef] [PubMed]
- Head, K.; Mayer, T. Gravity, market potential and economic development. J. Econ. Geogr. 2011, 11, 281–294. [Google Scholar] [CrossRef]
- Kasterine, A.; Vanzetti, D. The effectiveness, efficiency and equity of market based and voluntary measures to mitigate greenhouse gas emissions from the agri-food sector. In UNCTAD Trade and Environment Review; United Nations Conference on Trade and Development (UNCTAD): Geneva, Switzerland, 2010; Available online: https://ssrn.com/abstract=1768948 (accessed on 10 September 2024).
- Herring, H.; Roy, R. Technological innovation, energy efficient design and the rebound effect. Technovation 2007, 27, 194–203. [Google Scholar] [CrossRef]
- Ringel, M.; Schlomann, B.; Krail, M.; Rohde, C. Towards a green economy in Germany? The role of energy efficiency policies. Appl. Energy 2016, 179, 1293–1303. [Google Scholar] [CrossRef]
- Skea, J.I.M.; Nishioka, S. Policies and practices for a low-carbon society. In Modelling Long-Term Scenarios for Low Carbon Societies; Routledge: London, UK, 2015; pp. 5–16. [Google Scholar]
- Coase, R.H. The problem of social cost. J. Law Econ. 2013, 56, 837–877. [Google Scholar] [CrossRef]
- Bayer, P.; Aklin, M. The European Union emissions trading system reduced CO2 emissions despite low prices. Proc. Natl. Acad. Sci. USA 2020, 117, 8804–8812. [Google Scholar] [CrossRef] [PubMed]
- Convery, F.J.; Redmond, L. Market and price developments in the European Union emissions trading scheme. Rev. Environ. Econ. Policy 2007, 1, 88–111. [Google Scholar] [CrossRef]
- Liu, L.; Chen, C.; Zhao, Y.; Zhao, E. China’s carbon-emissions trading: Overview, challenges and future. Renew. Sustain. Energy Rev. 2015, 49, 254–266. [Google Scholar] [CrossRef]
- Burtraw, D.; Szambelan, S.J. US Emissions Trading Markets for SO2 and NOx. In Permit Trading in Different Applications; Routledge: London, UK, 2011; pp. 15–45. [Google Scholar]
- Jiang, Y.; Lei, Y.L.; Yang, Y.Z.; Wang, F. Factors affecting the pilot trading market of carbon emissions in China. Pet. Sci. 2018, 15, 412–420. [Google Scholar] [CrossRef]
- Zhou, X.; Zhao, X.; Zhang, S.; Lin, J. Marine ranching construction and management in East China Sea: Programs for sustainable fishery and aquaculture. Water 2019, 11, 1237. [Google Scholar] [CrossRef]
- Gentry, R.R.; Alleway, H.K.; Bishop, M.J.; Gillies, C.L.; Waters, T.; Jones, R. Exploring the potential for marine aquaculture to contribute to ecosystem services. Rev. Aquac. 2020, 12, 499–512. [Google Scholar] [CrossRef]
- Fabinyi, M.; Gorospe, J.R.; McClean, N.; Juinio-Meñez, M.A. Evolving governance structures in community-based sandfish mariculture and their interactions with livelihood outcomes: Evidence from the Philippines. Front. Mar. Sci. 2022, 9, 1025693. [Google Scholar] [CrossRef]
- Brander, L.M.; Wagtendonk, A.J.; Hussain, S.S.; McVittie, A.; Verburg, P.H.; de Groot, R.S.; van der Ploeg, S. Ecosystem service values for mangroves in Southeast Asia: A meta-analysis and value transfer application. Ecosyst. Serv. 2012, 1, 62–69. [Google Scholar] [CrossRef]
- Guillen, J.; Asche, F.; Carvalho, N.; Polanco, J.M.F.; Llorente, I.; Nielsen, R.; Nielsen, M.; Villasante, S. Aquaculture subsidies in the European Union: Evolution, impact and future potential for growth. Mar. Policy 2019, 104, 19–28. [Google Scholar] [CrossRef]
- Logunova, N.; Glechikova, T.; Kotenev, A. Investment attractiveness of the area for marine farming and marine aquaculture target species. Transp. Res. Procedia 2021, 54, 76–83. [Google Scholar] [CrossRef]
- Meng, Z.; Pang, M.; Zhang, D.; Chen, W. Unlocking sustainable marine economic growth: The role of financial development, innovation, and capital investment in coastal China. Front. Mar. Sci. 2024, 11, 1463843. [Google Scholar] [CrossRef]
- Chunfen, T.; Xixi, Z.; Yi, H. Marginalization of Fishermen: An Analytical Framework of Maritime Sociology. Sociol. Rev. China 2013, 1, 67–75. [Google Scholar]
- Renforth, P.; Henderson, G. Assessing ocean alkalinity for carbon sequestration. Rev. Geophys. 2017, 55, 636–674. [Google Scholar] [CrossRef]
- Cao, Y.; Kang, Z.; Bai, J.; Cui, Y.; Chang, I.S.; Wu, J. How to build an efficient blue carbon trading market in China? A study based on evolutionary game theory. J. Clean. Prod. 2022, 367, 132867. [Google Scholar] [CrossRef]
- Schygulla, C.; Peine, F. Nienhagen reef: Abiotic boundary conditions at a large brackish water artificial reef in the baltic sea. J. Coast. Res. 2013, 29, 478–486. [Google Scholar] [CrossRef]
- Jiang, Z.; Liang, Z.; Zhu, L.; Liu, Y. Numerical simulation of effect of guide plate on flow field of artificial reef. Ocean. Eng. 2016, 116, 236–241. [Google Scholar] [CrossRef]
- Reeds, K.A.; Smith, J.A.; Suthers, I.M.; Johnston, E.L. An ecological halo surrounding a large offshore artificial reef: Sediments, infauna, and fish foraging. Mar. Environ. Res. 2018, 141, 30–38. [Google Scholar] [CrossRef]
- King, R.S.; Deluca, W.V.; Whigham, D.F.; Marra, P.P. Threshold effects of coastal urbanization on Phragmites australis (common reed) abundance and foliar nitrogen in Chesapeake Bay. Estuaries Coasts 2007, 30, 469–481. [Google Scholar] [CrossRef]
- Airoldi, L.; Connell, S.D.; Beck, M.W. Marine Hard Bottom Communities: Patterns, Dynamics, Diversity, and Change. Ecol. Stud. 2009, 206, 269–280. [Google Scholar]
- Qin, M.; Tao, Q.; Du, Y. Policy implementation and project performance: A qualitative comparative analysis based on 29 National Marine ranchings in China. Mar. Policy 2021, 129, 104527. [Google Scholar] [CrossRef]
- Pickering, H.; Whitmarsh, D. Artificial reefs and fisheries exploitation: A review of the ‘attraction versus production’ debate, the influence of design and its significance for policy. Fish. Res. 1997, 31, 39–59. [Google Scholar] [CrossRef]
- Ministry of Trade, Industry and Fisheries. Act of 21 December 2000 No. 118 Relating to Sea-Ranching. Available online: https://faolex.fao.org/docs/pdf/nor31699E.pdf (accessed on 10 September 2024).
- Tan, Y.; Lou, S. Research and development of a large-scale modern recreational fishery marine ranch System. Ocean Eng. 2021, 233, 108610. [Google Scholar] [CrossRef]
- Lee, S.I.; Zhang, C.I. Evaluation of the effect of marine ranching activities on the Tongyeong marine ecosystem. Ocean Sci. J. 2018, 53, 557–582. [Google Scholar] [CrossRef]
- Zhang, X.; Sun, D.; Zhang, X.; Yang, H. Regional ecological efficiency and future sustainable development of marine ranch in China: An empirical research using DEA and system dynamics. Aquaculture 2021, 534, 736339. [Google Scholar] [CrossRef]
- Wang, J.; Zhang, Y.; Liu, Z. Green innovation and marine economic growth: Evidence from China. Mar. Policy 2021, 131, 104637. [Google Scholar]
- Rennings, K. Redefining innovation—Eco-innovation research and the contribution from ecological economics. Ecol. Econ. 2000, 32, 319–332. [Google Scholar] [CrossRef]
- Buck, B.H.; Langan, R. Aquaculture Perspective of Multi-Use Sites in the Open Ocean: The Untapped Potential for Marine Resources in the Anthropocene; Springer Nature: Dordrecht, The Netherlands, 2017. [Google Scholar]
- Lin, B.; Zhang, Y.; Hu, X.; Duan, J. Unmanned Aerial Vehicle (UAV) Networking for Ocean Monitoring: Architectures and Key Technologies. In Proceedings of the International Conference in Communications, Signal Processing, and Systems, Changbaishan, China, 4–5 July 2020; Springer: Singapore, 2020; pp. 1928–1931. [Google Scholar]
- Afewerki, S.; Osmundsen, T.; Olsen, M.S.; Størkersen, K.V.; Misund, A.; Thorvaldsen, T. Innovation policy in the Norwegian aquaculture industry: Resha aquaculture production innovation networks. Mar. Policy 2023, 152, 105624. [Google Scholar] [CrossRef]
- Shi, X.; Wang, T.; Luo, K.; Wang, J.; Gu, X. The mechanism of constructing marine ranching industrial ecosystem based on grounded theory: A case study of Yantai, China. Reg. Stud. Mar. Sci. 2023, 68, 103214. [Google Scholar] [CrossRef]
- Kay, K. A hostile takeover of nature? Placing value in conservation finance. Antipode 2018, 50, 164–183. [Google Scholar] [CrossRef]
- Yang, Y.; Wei, X.; Wei, J.; Gao, X. Industrial structure upgrading, green total factor productivity and carbon emissions. Sustainability 2022, 14, 1009. [Google Scholar] [CrossRef]
- Finlayson, C.M.; Gardner, R.C. Ten key issues from the Global Wetland Outlook for decision makers. Mar. Freshw. Res. 2020, 72, 301–310. [Google Scholar] [CrossRef]
- Krause, A.; Papastefanou, P.; Gregor, K.; Layritz, L.S.; Zang, C.S.; Buras, A.; Li, X.; Xiao, J.; Rammig, A. Quantifying the impacts of land cover change on gross primary productivity globally. Sci. Rep. 2022, 12, 18398. [Google Scholar] [CrossRef] [PubMed]
- Kantamaneni, K. Coastal infrastructure vulnerability: An integrated assessment model. Nat. Hazards 2016, 84, 139–154. [Google Scholar] [CrossRef]
- Masson-Delmotte, V.; Zhai, P.; Pirani, A.; Connors, S.L.; Péan, C.; Chen, Y.; Berger, S.; Lonnoy, E.; Maycock, T.K.; Waterfield, T.; et al. Climate Change 2021: The Physical Science Basis; Contribution of Working Group I to the Sixth Assessment Report of the Intergovernmental Panel on Climate Change; Cambridge University Press: Cambridge, UK, 2021; Volume 2, p. 2391. [Google Scholar]
- Barange, M.; Bahri, T.; Beveridge, M.C.; Cochrane, K.L.; Funge-Smith, S.; Poulain, F. Impacts of Climate Change on Fisheries and Aquaculture; United Nations’ Food and Agriculture Organization: Rome, Italy, 2018; Volume 12, pp. 628–635. [Google Scholar]
- Galappaththi, E.K.; Ichien, S.T.; Hyman, A.A.; Aubrac, C.J.; Ford, J.D. Climate change adaptation in aquaculture. Rev. Aquac. 2020, 12, 2160–2176. [Google Scholar] [CrossRef]
- Levine, R. Financial development and economic growth: Views and agenda. J. Econ. Lit. 1997, 35, 688–726. [Google Scholar]
- McKinnon, R.I. Money and Capital in Economic Development, 1st ed.; Brookings Institution: Washington, DC, USA, 1973; pp. 22–36. [Google Scholar]
- Mills, E. A global review of insurance industry responses to climate change. Geneva Pap. Risk Insur.-Issues Pract. 2009, 34, 323–359. [Google Scholar] [CrossRef]
- Nicol, S.; Foster, J.; Kawaguchi, S. The fishery for Antarctic krill–recent developments. Fish Fish. 2012, 13, 30–40. [Google Scholar] [CrossRef]
- Zhao, J.; Tang, J. Industrial structure change and economic growth: A China-Russia comparison. China Econ. Rev. 2018, 47, 219–233. [Google Scholar] [CrossRef]
- Ummenhofer, C.C.; Meehl, G.A. Extreme weather and climate events with ecological relevance: A review. Philos. Trans. R. Soc. B Biol. Sci. 2017, 372, 20160135. [Google Scholar] [CrossRef]
- Uhde, A.; Heimeshoff, U. Consolidation in banking and financial stability in Europe: Empirical evidence. J. Bank. Financ. 2009, 33, 1299–1311. [Google Scholar] [CrossRef]
Disclaimer/Publisher’s Note: The statements, opinions and data contained in all publications are solely those of the individual author(s) and contributor(s) and not of MDPI and/or the editor(s). MDPI and/or the editor(s) disclaim responsibility for any injury to people or property resulting from any ideas, methods, instructions or products referred to in the content. |
© 2024 by the authors. Licensee MDPI, Basel, Switzerland. This article is an open access article distributed under the terms and conditions of the Creative Commons Attribution (CC BY) license (https://creativecommons.org/licenses/by/4.0/).



