Seasonal and Monthly Climate Variability in South Korea’s River Basins: Insights from a Multi-Model Ensemble Approach
Abstract
1. Introduction
2. Materials and Methods
2.1. Study Area
2.2. Climate and Hydrological Data
2.3. Hydrological Model: PRMS
2.4. Data Downscaled from Global Climate Models (GCMs)
2.5. Projecting Future Climate and Hydrological Data
3. Results
3.1. Mean Seasonal Changes in Climate and Hydrological Variables across South Korea
3.1.1. Projected Precipitation and Temperature Changes
3.1.2. Projected Precipitation and Runoff Changes
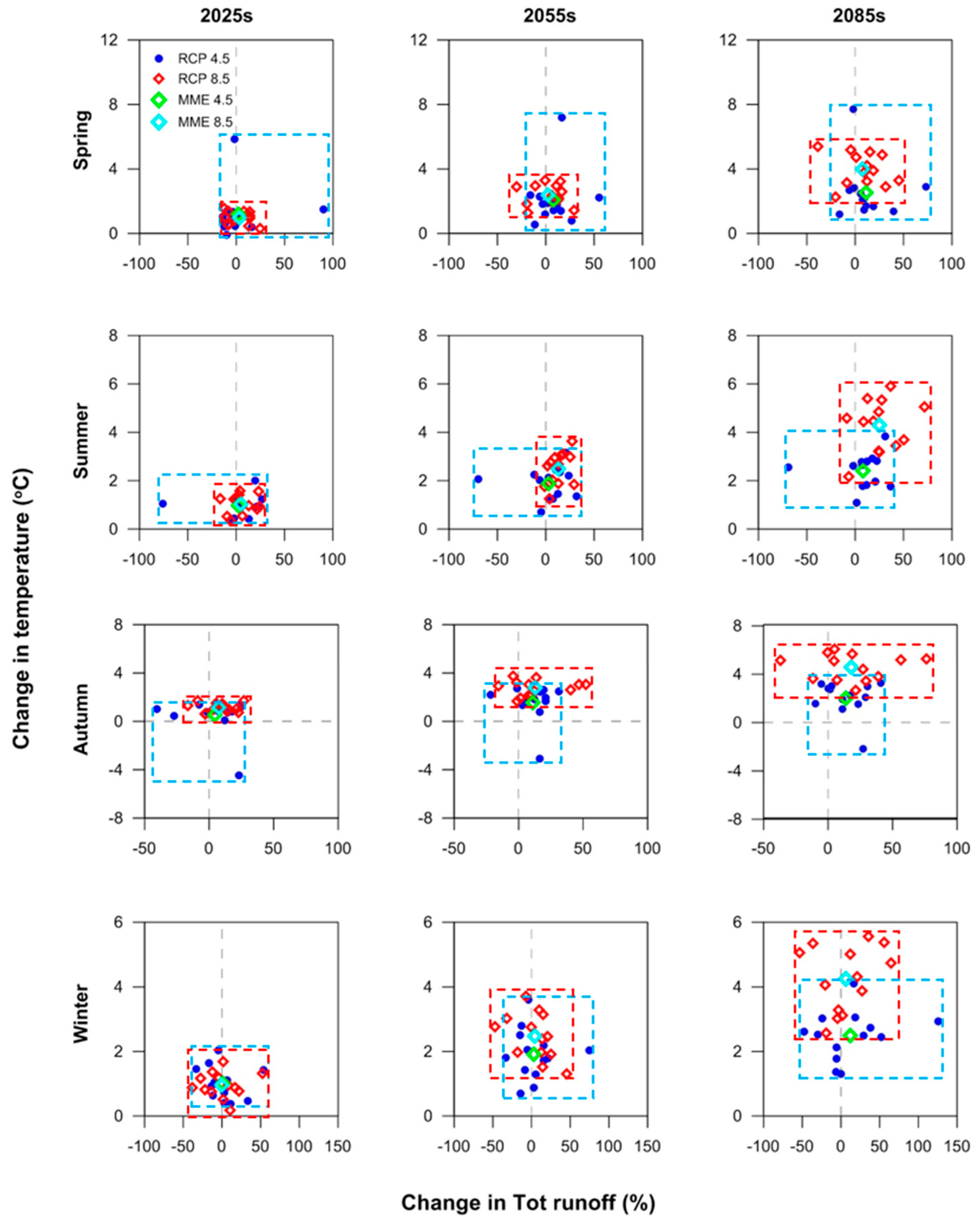
3.1.3. Projected Temperature and Runoff Changes
3.1.4. Projected Runoff and Actual Evapotranspiration Changes
3.2. Monthly Mean Changes in Climate and Hydrological Variables across South Korea
3.2.1. Projected Monthly Mean Temperature Changes in South Korea under Two Emission Scenarios: RCP4.5 and RCP8.5
3.2.2. Projected Monthly Mean Precipitation Changes in South Korea under Two Emission Scenarios: RCP4.5 and RCP8.5
3.2.3. Projected Monthly Mean Actual Evapotranspiration Changes in South Korea under Two Emission Scenarios: RCP4.5 and RCP8.5
3.2.4. Projected Monthly Mean Total Runoff Changes in South Korea under Two Emission Scenarios: RCP4.5 and RCP8.5
3.3. Seasonal Mean Temperature Variability in the Five Major River Basins of Korea
3.3.1. Seasonal Mean Temperature Variability
3.3.2. Seasonal Precipitation Variations
3.3.3. Seasonal Actual Evapotranspiration Variations
3.3.4. Seasonal Runoff Variations
3.4. Mean Monthly Climatic and Hydrological Variability in South Korea’s Five Major Basins
3.4.1. Variability in Mean Monthly Temperature
3.4.2. Variability in Mean Monthly Precipitation
3.4.3. Variability in Mean Monthly Actual Evapotranspiration
3.4.4. Variability in Mean Monthly Runoff
4. Discussion
5. Conclusions
Author Contributions
Funding
Data Availability Statement
Acknowledgments
Conflicts of Interest
References
- Randall, D.A.; Wood, R.A.; Bony, S.; Colman, R.; Fichefet, T.; Fyfe, J.; Kattsov, V.; Pitman, A.; Shukla, J.; Srinivasan, J.; et al. Cilmate Models and Their Evaluation. In Climate Change 2007: The Physical Science Basis. Contribution of Working Group I to the Fourth Assessment Report of the Intergovernmental Panel on Climate Change; Cambridge University Press: Cambridge, UK; New York, NY, USA, 2007. [Google Scholar]
 - Zhao, T.; Chen, H.; Xu, W.; Cai, H.; Yan, D.; Chen, X. Spatial Association of Anomaly Correlation for GCM Seasonal Forecasts of Global Precipitation. Clim. Dyn. 2020, 55, 2273–2286. [Google Scholar] [CrossRef]
 - Guan, T.; Liu, Y.; Sun, Z.; Zhang, J.; Chen, H.; Wang, G.; Jin, J.; Bao, Z.; Qi, W. A Framework to Identify the Uncertainty and Credibility of GCMs for Projected Future Precipitation: A Case Study in the Yellow River Basin, China. Front. Environ. Sci. 2022, 10, 863575. [Google Scholar] [CrossRef]
 - Knutti, R.; Sedlacek, J. Robustness and Uncertainties in the New CMIP5 Climate Model Projections. Nat. Clim. Chang. 2013, 3, 369–373. [Google Scholar] [CrossRef]
 - Adelodun, B.; Ahmad, M.J.; Odey, G.; Adeyi, Q.; Choi, K.S. Performance-Based Evaluation of CMIP5 and CMIP6 Global Climate Models and Their Multi-Model Ensembles to Simulate and Project Seasonal and Annual Climate Variables in the Chungcheong Region of South Korea. Atmosphere 2023, 14, 1569. [Google Scholar] [CrossRef]
 - IPCC. 2001: Climate Change 2001: The Scientific Basis. Contribution of Working Group I to the Third Assessment Report of the Intergovernmental Panel on Climate Change; Houghton, J.T., Ding, Y., Griggs, D.J., Noguer, M., van der Linden, P.J., Dai, X., Maskell, K., Johnson, C.A., Eds.; Cambridge University Press: Cambridge, UK; New York, NY, USA, 2001; 881p. [Google Scholar]
 - Adib, A.; Haidari, B.; Lotfirad, M.; Sasani, H. Evaluating climatic change effects on EC and runoff in the near future (2020–2059) and far future (2060–2099) in arid and semi-arid watersheds. Appl. Water Sci. 2023, 13, 122. [Google Scholar] [CrossRef]
 - Eum, H.I.; Cannon, A.J. Intercomparison of projected changes in climate extremes for South Korea: Application of trend preserving statistical downscaling methods to the CMIP5 ensemble. Int. J. Climatol. 2017, 4, 3381–3397. [Google Scholar] [CrossRef]
 - Yan, D.; Werners, S.E.; Ludwig, F.; Huang, H.Q. Hydrological response to climate change: The Pearl River, China under different RCP scenarios. J. Hydrol. Reg. Stud. 2015, 4, 228–245. [Google Scholar] [CrossRef]
 - Sa’adi, Z.; Shahid, S.; Chung, E.S.; Ismail, T. Projection of spatial and temporal changes of rainfall in Sarawak of Borneo Island using statistical downscaling of CMIP5 models. Atmos. Res. 2017, 197, 446–460. [Google Scholar] [CrossRef]
 - Cannon, A.J. Selecting GCM Scenarios that Span the Range of Changes in a Multimodel Ensemble: Application to CMIP5 Climate Extremes Indices. J. Clim. 2015, 28, 1260–1267. [Google Scholar] [CrossRef]
 - Veerabhadrannavar, S.A.; Venkatesh, B. Future Predictions of Precipitation and Discharge Using CMIP5 Models in the Western Ghats Region. India. NEPT J. 2022, 21, 2201–2209. [Google Scholar] [CrossRef]
 - Wang, X.; Hou, X.; Piao, Y.; Feng, A.; Li, Y. Climate Change Projections of Temperature Over the Coastal Area of China Using SimCLIM. Front. Environ. Sci. 2021, 9, 548. [Google Scholar] [CrossRef]
 - Olmo, M.; Balmaceda-Huarte, R.; Bettolli, M. Multi-model ensemble of statistically downscaled GCMs over southeastern South America: Historical evaluation and future projections of daily precipitation with focus on extremes. Clim. Dyn. 2021, 59, 3051–3068. [Google Scholar]
 - Zhuan, M.-J.; Chen, J.; Shen, M.-X.; Xu, C.-Y.; Chen, H.; Xiong, L.-H. Timing of human-induced climate change emergence from internal climate variability for hydrological impact studies. Hydrol. Res. 2018, 49, 421–437. [Google Scholar] [CrossRef]
 - Lane, R.A.; Kay, A.L. Climate Change Impact on the Magnitude and Timing of Hydrological Extremes Across Great Britain. Front. Water 2021, 3, 684982. [Google Scholar] [CrossRef]
 - Nigatu, Z.M.; Rientjes, T.; Haile, A. Hydrological impact assessment of climate change on Lake Tana’s water balance, Ethiopia. Am. J. Clim. Chang. 2016, 5, 27–37. [Google Scholar] [CrossRef]
 - Wen, S.; Su, B.; Wang, Y.; Zhai, J.; Sun, H.; Chen, Z.; Huang, J.; Wang, A.; Jiang, T. Comprehensive evaluation of hydrological models for climate change impact assessment in the Upper Yangtze River Basin, China. Clim. Chang. 2020, 163, 1207–1226. [Google Scholar] [CrossRef]
 - Jain, C.K.; Singh, S. Impact of climate change on the hydrological dynamics of River Ganga, India. J. Water Clim. Chang. 2020, 11, 274–290. [Google Scholar] [CrossRef]
 - Hwang, J.H.; Van, S.P.; Choi, B.-J.; Chang, Y.S.; Kim, Y.H. The physical processes in the Yellow Sea. Ocean Coast. Manag. 2014, 102, 449–457. [Google Scholar] [CrossRef]
 - Leavesley, G.H.; Markstrom, S.L.; Restrepo, P.J.; Viger, R.J. A modular approach to addressing model design, scale, and parameter estimation issues in distributed hydrological modelling. Hydrol. Process 2002, 16, 173–187. [Google Scholar] [CrossRef]
 - Leavesley, G.H.; Lichty, R.W.; Troutman, B.M.; Saindon, L.G. Precipitation-Runoff Modeling System-User’s Manual: U.S. Geological Survey Water-Resources Investigations Report; US Department of the Interior: Washington, DC, USA, 1983; Volume 83, pp. 1–207.
 - Chang, H.; Jung, I.W. Spatial and temporal changes in runoff caused by climate change in a complex large river basin in Oregon. J. Hydrol. 2010, 388, 186–207. [Google Scholar] [CrossRef]
 - Hamon, W.R. Estimating potential evapotranspiration. Proceedings of the American Society of Civil Engineers. J. Hydraul. Div. 1961, 87, 107–120. [Google Scholar] [CrossRef]
 - Rosenbrock, H.H. An automatic method of finding the greatest or least value of a function. Comput. J. 1960, 3, 175–184. [Google Scholar] [CrossRef]
 - Jung, I.W.; Bae, D.H.; Lee, B.J. Possible change in Korean streamflow seasonality based on multi-model climate projections. Hydrol. Process 2013, 27, 1033–1045. [Google Scholar] [CrossRef]
 


















| No. | GCMs | Institution | Resolution (Degree) | 
|---|---|---|---|
| 1 | CMCC-CM | Centro Euro-Mediterraneo per I Cambiamenti Climatici | 0.750 × 0.748 | 
| 2 | CESM1-BGC | National Center for Atmospheric Research | 1.250 × 0.942 | 
| 3 | MRI-CGCM3 | Meteorological Research Institute | 1.125 × 1.122 | 
| 4 | CNRM-CM5 | Centre National de Recherches Météorologiques | 1.406 × 1.401 | 
| 5 | HadGEM2-AO | Met Office Hadley Centre | 1.875 × 1.250 | 
| 6 | HadGEM2-ES | Met Office Hadley Centre | 1.875 × 1.250 | 
| 7 | INM-CM4 | Institute for Numerical Mathematics | 2.000 × 1.500 | 
| 8 | IPSL-CM5A-MR | Institute Pierre-Simon Laplace | 1.875 × 1.865 | 
| 9 | CMCC-CMS | Centro Euro-Mediterraneo per I Cambiamenti Climatici | 1.875 × 1.865 | 
| 10 | NorESM1-M | Norwegian Climate Centre | 2.500 × 1.895 | 
| 11 | GFDL-ESM2G | Geophysical Fluid Dynamics Laboratory | 2.500 × 2.023 | 
| 12 | IPSL-CM5A-LR | Institute Pierre-Simon Laplace | 3.750 × 1.895 | 
| 13 | CanESM2 | Canadian Centre for Climate Modelling and Analysis | 2.813 × 2.791 | 
Disclaimer/Publisher’s Note: The statements, opinions and data contained in all publications are solely those of the individual author(s) and contributor(s) and not of MDPI and/or the editor(s). MDPI and/or the editor(s) disclaim responsibility for any injury to people or property resulting from any ideas, methods, instructions or products referred to in the content.  | 
© 2024 by the authors. Licensee MDPI, Basel, Switzerland. This article is an open access article distributed under the terms and conditions of the Creative Commons Attribution (CC BY) license (https://creativecommons.org/licenses/by/4.0/).
Share and Cite
Ghafouri-Azar, M.; Lee, S.-I. Seasonal and Monthly Climate Variability in South Korea’s River Basins: Insights from a Multi-Model Ensemble Approach. Water 2024, 16, 555. https://doi.org/10.3390/w16040555
Ghafouri-Azar M, Lee S-I. Seasonal and Monthly Climate Variability in South Korea’s River Basins: Insights from a Multi-Model Ensemble Approach. Water. 2024; 16(4):555. https://doi.org/10.3390/w16040555
Chicago/Turabian StyleGhafouri-Azar, Mona, and Sang-Il Lee. 2024. "Seasonal and Monthly Climate Variability in South Korea’s River Basins: Insights from a Multi-Model Ensemble Approach" Water 16, no. 4: 555. https://doi.org/10.3390/w16040555
APA StyleGhafouri-Azar, M., & Lee, S.-I. (2024). Seasonal and Monthly Climate Variability in South Korea’s River Basins: Insights from a Multi-Model Ensemble Approach. Water, 16(4), 555. https://doi.org/10.3390/w16040555
        
