Abstract
As one of the most significant disturbance sources in the upper marine environment of the South China Sea, tropical cyclones (typhoons) serve as a typical research subject for investigating the energy transfer process between the ocean and atmosphere. Utilizing satellite remote sensing data and focusing on Typhoon Rey No. 22’s transit event in 2021, this study quantitatively analyzes typhoon-induced energy input through heat pumping and cold suction at both surface and subsurface levels of the ocean. Additionally, it explores the response characteristics and feedback mechanisms of sea surface temperature (SST) and chlorophyll-a concentration (Chl-a) in the South China Sea to typhoon events. The research results show that the SST variation along the typhoon track displayed an asymmetric pattern, with a more pronounced warming on the right side and a cold anomaly lasting for 3–5 days on the left side. The subsurface warm anomaly dominated on the right side, showing a maximum temperature difference of 1.54 °C, whereas Ekman suction-induced upwelling led to cooling effects both at the subsurface and surface level on the left side, resulting in a maximum temperature difference of −3.28 °C. During the typhoon event, there was a significant decrease in sea surface heat flux, reaching 323.36 W/m2, accompanied by corresponding changes in SST due to processes such as upwelling, seawater mixing, and air–sea heat transfer dynamics where anomalies arising from oceanic dynamic processes and exchange through sea surface heat flux contributed equally. Furthermore, strong suction-induced upwelling during the typhoon influenced chlorophyll concentration within the central and western regions of the South China Sea (13.5° N–16.5° N, 111° E–112.5° E), resulting in significant enhancement and reaching its peak value at approximately 0.65 mg/L. The average chlorophyll concentration increased by approximately 0.31 mg/L.
1. Introduction
In the upper ocean at middle and low latitudes, tropical cyclones, a kind of strong event weather, have a significant impact on regional and global air–sea interaction. Tropical cyclones are one of the most intense disturbance sources in the upper ocean environment and are a typical research object of air–sea interaction. The unique air–sea interaction process of tropical cyclones plays an important role in the exchange of heat, energy, and matter between the upper ocean and the deep ocean. The process involves a range from a synoptic scale to a climate scale, from the local sea area to a global scale, and is a complex process involving a variety of environmental variables, from dynamics to thermodynamics [1,2,3]. During the transit of tropical cyclones, severe responses and severe weather phenomena in the sea area arise, causing serious disaster losses in the surrounding sea area. Therefore, on-site observation during typhoons is very difficult. With the continuous maturity of ocean observation technology, acquiring ocean data during a typhoon through satellite remote sensing has become a convenient means to study ocean response [4].
The South China Sea is the largest semi-enclosed marginal sea in China. From the periphery to the center, it is divided into continental shelf, continental slope, and central basin, which have complicated topographic conditions. The South China Sea is connected with the western Pacific Ocean and the Indian Ocean and has a typical tropical oceanic monsoon climate. The surface circulation is significantly affected by the East Asian monsoon, and there is obvious upwelling in the central and western parts. Compared with the ocean, it has many similar dynamic characteristics and is accompanied by complex multi-scale ocean dynamics processes, so it is one of the sea areas that scholars at home and abroad focus on. Typhoon processes that occur and have an impact on China generally originate in the western Pacific Ocean, and the South China Sea is located on the western side of the Pacific Ocean. When the typhoon moves to the west, the South China Sea will be impacted. The local tropical cyclones in the South China Sea make the South China Sea more frequently affected by tropical cyclones, and there are as many as a dozen tropical cyclones affecting the South China Sea every year. Therefore, the relevant research on tropical cyclones in the South China Sea is of great significance [5,6,7].
Previous studies on the changes in the marine environment during typhoon transit based on some measured data and satellite observation data have found that the response of the ocean to typhoons mainly focuses on intense seawater mixing, the enrolling effect, changes in the ocean flow field, and heat flux transport caused by typhoons. In the Northern Hemisphere, the wind waves generated by typhoons have asymmetric spatial distribution characteristics. Since the wind field on the right side of a typhoon is consistent with the flow direction of the near-inertial flow, the overlap of the two causes the right-side force to be greater than that of the left side, whereas the opposite is true in the Southern Hemisphere. This asymmetric feature has also been found in a large number of studies on the typhoon process in the South China Sea. The findings indicate that the sea surface temperature (SST) undergoes a decrease following the passage of a typhoon, primarily influenced by upwelling and vortex effects induced by strong wind stress during the typhoon event. The intense wind field associated with the typhoon not only enhances the vertical mixing of seawater but also facilitates heat exchange between the ocean and the atmosphere [8,9,10]. The strong wind field brought on by typhoons changes the chlorophyll concentration in the South China Sea to a great extent. The distribution of chlorophyll concentration in the South China Sea varies greatly with the seasons under the influence of the monsoon. In winter, under the influence of the strong wind speed of the northeast monsoon, the chlorophyll concentration in the Beibu Gulf increases, and during a typhoon, the chlorophyll concentration also shows an abnormal increase. The response of chlorophyll concentration to typhoons is delayed, usually by 2–5 days [11,12].
In previous studies, the authors focused on the thermodynamic and dynamic responses caused by the transit of tropical cyclones, but there was a lack of detailed analysis of SST changes, such as the contribution of local factors to the intensity of SST changes [13,14]. We divided the local factors leading to SST changes into sea surface heat flux and the ocean internal dynamic process. Through statistical analysis and the mathematical calculation method of the physical ocean classical formula, we quantitatively analyzed the influence of tropical cyclone transit on the cooling process of SST and the concentration of Chl-a in the South China Sea, focusing on the mechanism of SST decline in the South China Sea. Based on comparison and analysis with previous studies, the relevant conclusions of the response of the upper ocean in the South China Sea caused by this typhoon were obtained [15,16,17].
In summary, this study presents a quantitative investigation on the mechanisms of “heat pump” and “cold suction” in typhoons, using super typhoon “Rey,” which transited the South China Sea in 2021, as a case study. Furthermore, it analyzes the response characteristics and feedback mechanisms of the upper ocean in the South China Sea to typhoon events. This research holds significant importance and practical scientific value for comprehending the large-scale coupling mechanism between the upper ocean and the lower atmosphere in the South China Sea.
2. Data and Methods
2.1. Data Sources
The sea surface temperature data (optimal differential MW_IR data) were obtained from Remote Sensing Systems in the United States, with a spatial resolution of 9 km and a temporal resolution of 1 d. MW_IR data comprise microwave band and infrared band measurements that have undergone optimal differencing and quality control procedures. The microwave band data had a resolution of 25 km, whereas the infrared band data had a resolution of 9 km. By fusing these two types of measurements, the influence of orbital gaps and weather conditions on sea surface temperature inversion can be effectively mitigated. The data can be downloaded from the following address: (http://data.remss.com/sst/daily_v04.0/mw_ir/ (accessed on 23 March 2023)).
Chlorophyll data were derived from Copernicus Marine Services Global Biogeochemical Analysis and Forecasting products (Global Ocean Biogeochemistry Analysis and Forecast | Copernicus Marine MyOcean Viewer). It provides daily and monthly average documentation of chlorophyll concentrations, nitrates, phosphates, dissolved oxygen, primary production, phytoplankton, etc. in the field of biogeochemistry at a horizontal resolution of 0.25° × 0.25°. The model product was compared with satellite data, demonstrating a high level of agreement between the average chlorophyll-a field and the estimated values from satellites, effectively reproducing most sea areas with a circulation scale structure. Additionally, the surface and the vertical distribution of chlorophyll-a concentration were compared to BGC-Argo data, resulting in a strong correlation coefficient of 0.81.
Wind field data from the INCOISLAS free wind data (https://las.incois.gov.in, (accessed on 2 April 2023)) were obtained, specifically selecting the ASCAT product with a spatial resolution of 25 km. The dataset comprises daily, monthly, and weekly products; however, for this study, only the daily product dataset was utilized to enable comparison and analysis with ground observation data. The gridded binary data file consisted of grid cells measuring 0.25° in latitude/longitude units (equivalent to 25 km), encompassing 1440 meridional units and 720 zonal units.
The thermal radiation data were derived from ECMWF’s ERA5 single-layer hourly data, which represent the latest advancement in global climate and weather reanalysis over the past eight years. Replacing its predecessor, ERA-Interim reanalysis, based on methods employed by the Numerical Weather Prediction Center, ERA5 incorporates a more sophisticated approach where previous forecasts are optimally combined with newly acquired observations every few hours (12 h for ECMWF) to generate an improved estimation of atmospheric conditions. Furthermore, to facilitate comprehensive analysis, the data were transformed into a regular latitude grid of 0.25 degrees. (https://cds.climate.copernicus.eu, (accessed on 12 May 2023)).
2.2. Method Introduction
In this study, we needed to calculate the upwelling generated by Ekman pumping, which was calculated using Formula (1):
where w refers to the upwelling velocity; is the Coriolis force parameter, calculated by ; is the density of seawater, ; is the wind stress,
is the drag coefficient; and is the wind velocity vector at 10 m below the ocean’s surface. In this paper, the drag coefficient was calculated using the following formula:
For the study of sea surface heat flux, the heat balance equation was used to calculate the net sea surface heat flux. The formula is as follows:
Among them, is the sea surface net heat flux, where a positive value is representative of ocean heat gain and a negative value is representative of ocean heat loss; is the sea surface long-wave radiation flux; is the shortwave radiation absorbed by the sea surface; is the sea surface latent heat flux; and is the sea surface sensible heat flux.
According to the principle of ocean heat balance, the balance between long-wave and short-wave radiation is based on latent heat and sensible heat on the ocean surface. Topographic effects are ignored, vertical motion is ignored, and advection transport in shallow water is considered more. The change of SST can be quantitatively analyzed by the heat budget [15,16]:
is the average SST and mixed layer h is the mixed layer depth, is the vertical roll with speed, is the net heat flux, u is the horizontal velocity, is the density of the seawater with a constant of 1027 kg/m3, and is the seawater heat capacity under ordinary conditions with a constant of 4300 J/kg·°C.
In order to calculate the temperature difference generated by air–sea heat exchange, the following formula can be used:
where Q is the net heat flux, which is the specific heat capacity of seawater, and H is the depth of the mixing layer.
The expression for the temperature drop caused by the upwelling can be calculated using the following simplified formula:
where is the upwelling velocity, is the sea surface temperature, is the temperature of the seawater at the bottom, and H is the depth of the cold water at the bottom. Here, the temperature of the cold water at the bottom is defined as the temperature of the water temperature 50 m away.
In this paper, the mixing layer depth is defined as the isothermal layer depth (ILD) when the SST is less than 0.5 °C on the sea surface. According to the law of the conservation of energy, the energy balance of the seawater in the mixing layer before and after typhoons can be found in the following simplified formula:
Assuming that seawater is a unit volume and the specific heat capacity of seawater is unchanged, the difference in sea surface temperature in the Yellow Sea caused by the change in the depth of the mixed layer after seawater exchange can be calculated, where is the change rate of the mixed layer over time, is the SST of the mixed layer before seawater mixing, and is the SST of the mixed layer after seawater mixing.
2.3. Overview of the Area Study
The 22nd typhoon of 2021, “Rey”, emerged at 14:00 on 13 December 2021, intensifying into a super typhoon on the morning of 16 December. It made landfall near the island of Siacao in the afternoon and subsequently struck the Philippines eight times. By nightfall on 17 December, it entered the South China Sea and regained super typhoon status during the afternoon of 18 December, reaching its peak intensity overnight until the early morning hours. Gradually weakening northward throughout 19 December, it eventually weakened to a tropical depression in the northern part of the South China Sea by 21 December before gradually dissipating. The National Meteorological Center ceased numbering it at 8:00 am on that day (Figure 1).
Figure 1.
Chart of the track and intensity change of Typhoon Rey.
The trajectory of Typhoon Rey, along with the variations in its central intensity and wind speed, is depicted in Figure 1 and Table 1. Originating on 13 December 2021, in the low latitudes of the Northwest Pacific Ocean, Typhoon Rey underwent rapid intensification and attained super typhoon status twice by 19 December. It crossed the Philippines into the South China Sea on 16 December.
Table 1.
Development and moving path of Typhoon Rey.
Along the developmental trajectory and track of Typhoon Rey, a total of eight research zones are delineated on both sides of the typhoon in Figure 2. Among them, research areas R5, R6, and R7 represent key investigation sites characterized by significant variations in typhoon intensity. Figure 3 illustrates the selected positions for profiling sea surface temperature (SST) and chlorophyll concentration along the central path of the typhoon.
Figure 2.
The South China Sea is divided into eight research zones along the path of Typhoon Rey.
Figure 3.
Selected profile breakpoint location in South China Sea research area.
3. Results and Discussion
3.1. Analysis of Wind Field and Ekman Pumping Iintensity
Before the passage of Typhoon Rey, the prevailing northwest wind in the South China Sea area of China had an average wind speed of about 7.8 m/s. The passage of a typhoon induces strong wind stress on the sea surface through vortex motion. The instability and variability of the wind stress field within the vortex structure are significant factors contributing to the ocean’s response. On December 16, Typhoon Rey was located in the Philippine Islands. It moved westward and entered the South China Sea on 17 December. The intensity was a strong typhoon with a maximum wind speed of 45 m/s. At 02:00 on the 19th, Typhoon Rey reached its peak intensity (12.5° N, 112.3° E), with a maximum wind speed of 62 m/s, moving northwest. At this time, the average wind speed over the South China Sea research area was 13.2 m/s. Moving along the typhoon, the wind field on the right was stronger. At 20:00 on 19 December, Rey weakened to a severe typhoon with a maximum wind speed of 48 m/s. It moved to the northeast and ended in the northern part of the South China Sea (21.5° N, 115.2° E) on 21 December (Figure 4).
Figure 4.
Wind field and wind speed distribution during the passage of Typhoon Rey over the South China Sea (16–21 December 2021).
Figure 5 shows the wind stress curl distribution in the South China Sea during Typhoon Rey. Prior to the typhoon’s entry into the South China Sea, the regional average wind curl was −0.16 × 10−5. On the 18th, as the typhoon moved towards the southern part of the South China Sea, both wind speed and wind stress curl increased significantly within a radius of approximately 250 km from its center, reaching a maximum value of 2.89 × 10−5. On the following day (19 December), at the right side of the typhoon center, there was an intense positive wind stress curl with a maximum intensity of 9.35 × 10−5; meanwhile, on average across this region, a curl value of 4.36 × 10−5 was observed. Positive values for wind stress curl indicate upwelling phenomena, which can lead to subsurface water upwelling and consequent changes in marine elements on the sea surface [18].
Figure 5.
Distribution map of regional wind curl over the South China Sea during Typhoon Rey.
The low-pressure environment and cyclonic wind field in the center of a typhoon induce strong wind stress, which serves as the driving factor for seawater mixing and upwelling. This process indirectly influences sea surface temperature (SST) changes through the Ekman pumping effect in the upper ocean. The Ekman pumping effect is characterized by an upward transport rate within the center area of a typhoon, resulting in seawater rising and forming upwelling. Outside of the typhoon, a downward transport rate is observed, representing a descending current. In terms of spatial distribution, intense Ekman pumping occurs along the path of the typhoon, primarily on both sides of its trajectory (Figure 6). Notably, this effect is stronger on the right side compared to the left side due to asymmetries in the typhoon’s wind field structure [19]. On the 18th and 19th, the maximum wind speed of the typhoon reached 62 m/s, the radius of the typhoon increased, and the influence range of the Ekman effect increased. On the 18th, a wide range of Ekman pumping was observed in the typhoon center and approximately 250 km to the right. On the 19th, the Ekman pumping effect became more prominent on the right side of the typhoon center, with a maximum intensity of 6.38 × 10−3 m/s and an average regional intensity of 1.21 × 10−3 m/s. Three regions (R5, R6, and R7) were selected for statistical analysis of Ekman pumping intensities, as presented in Table 2. On the 18th, when located in the open sea (11.8° N,113.5° E), the typhoon exhibited a large wind field radius, resulting in a reduced wind speed gradient and a lower Ekman suction rate; however, its influence range remained extensive, with the maximum value reaching 4.31 × 10−3 m/s. On the 19th, the typhoon moved to a location relatively close to land at coordinates 15.0° N,110.6° E. Due to the influence of topography and altitude, the typhoon exhibited a discernible gradient change in wind speed, with an enhanced manifestation of the Ekman pumping effect; however, its impact range was limited. The Ekman pumping phenomenon induced the vertical movement of seawater, leading to the upward transport of cooler subsurface water and a subsequent reduction in sea surface temperature [20].
Figure 6.
Ekman pumping intensity distribution map in the South China Sea research area.
Table 2.
Ekman pumping intensity in some areas of the South China Sea research area.
3.2. Response Characteristic Analysis of Net Heat Flux of Sea Surface
The maintenance and development of typhoons heavily rely on the energy and water vapor supplied by the underlying surface heat flux. Thus, studying changes in sea surface heat flux for typhoon response holds significant importance [21]. In this study, we employed the heat balance equation to calculate variations in heat flux during Typhoon Rey (Figure 7).

Figure 7.
Net heat flux of the sea surface in the study area during Typhoon Rey.
Upon comparison with Figure 7, it was evident that following Typhoon Rey’s entry into the South China Sea on the 17th, a continuous absorption of sea surface heat was required to sustain its “warm core” structure. Notably, significant areas of sea surface heat loss emerged along the typhoon’s trajectory on the 17th, 18th, and 19th. On the 18th, this heat loss area reached its maximum extent, with a radius of approximately 300 km along the typhoon’s path. In contrast to Figure 7, it is apparent that the left side of the typhoon-induced sea surface heat loss exhibited considerably greater magnitude than its right counterpart, displaying a distinct “left skewness”. The concentration of heat on the left side of the typhoon path before it entered the South China Sea resulted in a more pronounced heat loss during its movement, leading to a “left-bias” effect that influenced the northwestward trajectory of the typhoon. To investigate this phenomenon, we conducted an analysis of the temporal variation in net heat flux at three research profile points (11.2° N, 114.8° E; 12.5° N, 112.3° E; 15.0° N, 110.6° E) within the study area. Our findings revealed a significant loss of heat flux in this region on both the 18th and the 19th. The maximum heat loss reached 323.36 W/m2, peaking near the research location at 15.0° N and 110.6° E on the 19th of the month. Subsequently, following the passage of the typhoon, there was a rapid recovery observed in the sea surface heat flux (Figure 8).
Figure 8.
The sequence diagram of net heat flux change in the profile of the study area.
3.3. Analysis of Response Characteristics of Sea Surface Temperature
As the primary forcing factor for typhoons, sea surface temperature (SST) exerts a significant influence on their genesis, track, and intensity. Prior to the typhoon’s passage, the overall SST in the southeastern region of the South China Sea exceeded 28 °C, providing favorable conditions for typhoon development [18,22,23]. On the 17th, after departing from the Philippine Islands and entering the South China Sea, it transitioned from land to sea as its underlying surface caused a temporary weakening of the typhoon’s intensity. To sustain its “warm core” structure, additional heat and water vapor from a higher SST in the southeastern part of the sea were required—offering an ideal environment for further intensification. Subsequently on the 19th, Typhoon Rey moved southwestward along Vietnam’s coast at coordinates 13.0° N and 111.4° E. The sea surface temperature in the area was slightly low, and the lack of heat supply and the landform blocking along the coast caused the typhoon to turn to the north to some extent. During the northward process, the right side of the typhoon faced the land. The coastal sea surface temperature was obviously lower than that of the middle part of the South China Sea, and the typhoon’s moving direction gradually deflected to the direction with higher SST and away from the coast. In this process, due to the decrease in SST, the lack of SST heat provided by the typhoon, and the obstruction of the coastal land terrain, the underlying surface changed, and the intensity of Typhoon Rey continued to weaken. It ended at 14:00 on the 21st near the coast of Guangdong Province in the northern part of the South China Sea (Figure 9).

Figure 9.
SST distribution in the South China Sea research area during Typhoon Rey.
The data presented in Table 3 illustrate the temporal variations in sea surface temperature (SST) across eight selected research zones during the transit of Typhoon Rey. Notably, on the 19th, when this super typhoon passed through, a significant drop of approximately 3.28 °C was observed in the SST. The most pronounced cooling areas were identified within study areas R5, R6, and R7.
Table 3.
Regional SST temperature variation data were studied during the transit of Typhoon Rey.
In order to more accurately depict the magnitude of the sea surface temperature (SST) decrease in the South China Sea research area during Typhoon Rey, we calculated the temperature change during the typhoon’s passage based on 16 December (Figure 8). On December 18, as the typhoon traversed through the southeastern part of the South China Sea, it induced a significant drop in SST, with an average decline of approximately 1–2 °C observed across most regions. (Table 3, Figure 9). The temperature drop along the path of the typhoon was more pronounced, with a maximum decrease of 3.28 °C observed near 13° N and 12.5° E on 19 December. A cooling area with a radius of 220 km extended behind the typhoon’s trajectory, exhibiting significantly greater cooling on the right side compared to the left side, resulting in an average sea surface temperature (SST) reduction of 1.47 °C. On the following day, Typhoon Rey veered towards the northeast, leading to a contraction in the cooling range. The temperature on the right side of its path remained higher than that on the left side, causing a reduced cooling range of only 0.93 °C. The typhoon dissipated in the northern part of the South China Sea on the 21st, resulting in a cooling effect of approximately 1 °C at positions 12.5° N and 112.3° E, with a cooling range extending about 100 km around the typhoon path due to the cold suction effect induced by strong wind stress. The vertical mixing speed of seawater was slower than the movement speed of the typhoon, causing a delay of 1–2 days for Ekman pumping-induced cooling compared to that caused directly by the typhoon itself [24]. On day 19 after passing through (11° N, 114.8° E), warming was observed on the left side of the typhoon, with the sea surface temperature increasing between 0.2 °C and 0.5 °C as a result of the heat pump effect generated through solar radiation-induced air–sea exchange. The cold suction effect generated was robust, and the heat pump phenomenon was also encompassed by the cold suction phenomenon in the sea area experiencing intense typhoon activity (Figure 10, 13° N, 112° E). On the 19th, a primary cooling region emerged near 13° N, 112° E in the southwest of the South China Sea during the typhoon process. The sea surface temperature did not immediately recover following the typhoon; instead, it remained cool until the 22nd. The extensive cooling induced by the typhoon persisted for five days.

Figure 10.
SST variation distribution in the South China Sea during Typhoon Rey.
The three regions exhibiting the most significant sea surface temperature (SST) changes were selected for extraction of the SST variations and Ekman pumping intensity data to construct a line chart. The SST exhibited a declining trend starting from the 17th, reaching its extreme value on the 19th and dropping to a minimum of 24.2 °C. Prior to the typhoon passing over the South China Sea research area on the 18th, there was no significant change in Ekman pumping intensity. However, due to strong wind stress induced by the typhoon, the Ekman pumping intensity sharply increased to its peak values on both the 19th and 20th, resulting in vigorous updrafts with an average maximum Ekman pumping intensity of 1.80 × 10−3 m/s observed in region R7 on the 20th. It is evident that a robust positive correlation existed between the intensity of cooling and Ekman pumping in the R7 and R6 regions on the right side of the trajectory. The region with higher Ekman pumping experienced a more rapid decline in SST, whereas its recovery after the typhoon was sluggish, indicating a short-term persistence of seawater mixing caused by the typhoon (Figure 11 and Figure 12).
Figure 11.
The temperature curve of the R5, R6, and R7 zones with time was studied.
Figure 12.
R5, R6, and R7 Ekman pumping strength change line chart in the study area.
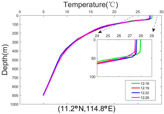
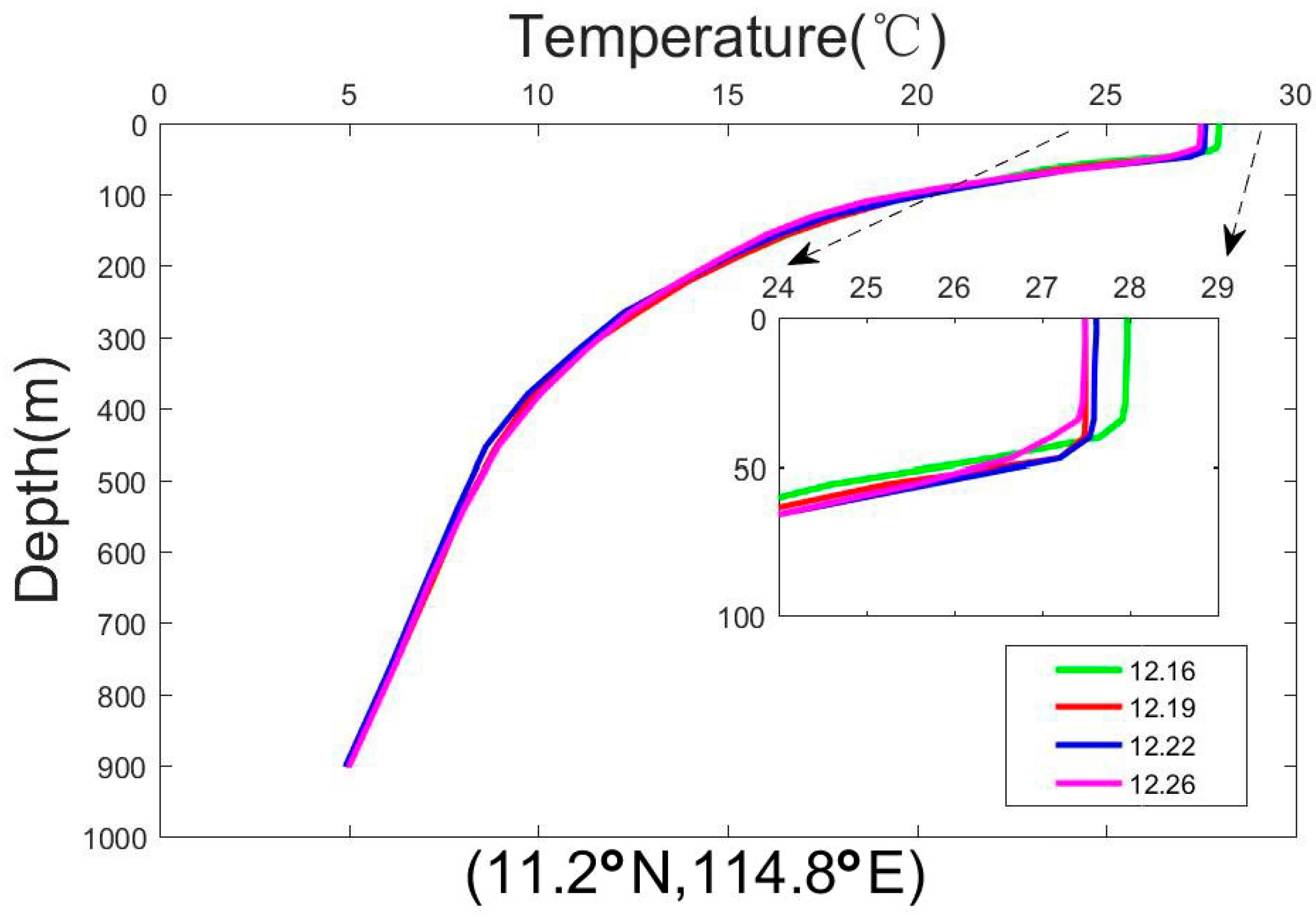
The SST profile of the selected study area is illustrated in Figure 13. It can be observed that the typhoon exerted a greater impact on the upper ocean, with a diminishing effect as the depth increased. The SST response primarily manifested within the thermocline, where a gradual decrease in temperature occurred with increasing depth. The most significant changes were observed within the thermocline (0–150 m), where the SST rapidly dropped from 25 °C to approximately 15 °C, aligning with natural seawater trends. Notably, deeper seawater appeared to be less affected by the typhoon, and the primary response of the SST was concentrated within depths ranging from 0 to 200 m at the sea surface.

Figure 13.
The SST distribution profile varied with temperature in the study area.
The distribution of changes in sea surface temperature (SST) at three profile breakpoints (11.2° N, 114.8° E; 12.5° N, 112.3° E; and 15° N, 110.6° E) within the thermocline was selected for analysis during different time periods: before, during, and after the typhoon event. Comparing the temperature variations among these three SST breakpoints revealed that the typhoon had a more pronounced impact on the subsurface ocean layer. Specifically, it enhanced vertical mixing effects primarily concentrated above −100 m depth in the subsurface region. Following the passage of the typhoon, a general decrease in SST was observed along both sides of its path. Influenced by Ekman pumping before and after the typhoon, the sea surface temperature (SST) experienced a decrease of approximately 1 °C (Figure 11), accompanied by an overall decline in thermocline temperature. The pre-typhoon distribution of thermocline SST ranged from 24 °C to 28 °C, whereas post typhoon it ranged from 21 °C to 25.5 °C. This reduction in SST can be attributed to the mixing of cold bottom water with surface water induced by the typhoon’s action, leading to a subsequent decrease in SST. The mixing effect primarily impacted SST between −40 m and −100 m deep as well as within the thermocline layer spanning −60 m to −80 m deep, with more pronounced cooling observed at greater depths. Following the typhoon event, there was a gradual recovery in sea surface temperature over a period of 3–5 days. According to the profile map, during the transit of the typhoon, the upper ocean was significantly affected by the cold suction mechanism, the sea surface temperature dropped, and the deeper seawater showed a state of uplift. The Ekman pumping effect caused by the typhoon led to upwelling, which lifted the deeper cold seawater to the sea surface, and the seawater rose most obviously on 22 December. This is because the rising and mixing speed of the seawater was much slower than the moving speed of the typhoon, so the mixing performance of the seawater pumped by Ekman pumping lagged behind. The sea surface temperature (SST) gradually recovered on the 26th due to the influence of sea air and solar radiation, whereas the SST in the thermocline at a depth of 40–80 m remained higher than its initial value. The heat pump mechanism, driven by seawater mixing caused by the typhoon, led to warm water sinking and cold water rising, resulting in an anomalously warm subsurface state. A similar heat pump phenomenon was observed on the 19th at 12.5° N, 112.3° E and 15° N, 110.6° E; however, it was quickly overshadowed by strong cold suction [25]. On both 19 and 26 December, a more pronounced heat pump effect occurred at profile positions 11.2° N and 114.8° E, leading to a slight increase in sea surface temperature (Figure 13).
The changes in sea surface temperature (SST) induced by the passage of Typhoon Rey were primarily manifested in two aspects: Firstly, the typhoon’s transit triggered vigorous dynamic processes within the upper ocean; secondly, solar radiation led to heat absorption by seawater, with the subsequent heat flux being transported to the typhoon through the upper ocean [22,24]. The distribution of sea surface temperature (SST) changes caused by seawater mixing, upwelling, and the SST heat flux budget is illustrated in Figure 14, Figure 15, Figure 16 and Figure 17. The analysis shows that the heat budget of the seawater had the most significant influence on the change in SST. The cooling effect resulting from seawater mixing was comparatively less significant than that caused by upwelling. During typhoons, strong wind stress induced a deepening of the seawater mixing layer of up to 20.1 m at profile positions located at 12.5° N and 112.3° E. The passage of the typhoon resulted in a reduction of 1.50 °C in mean sea surface temperature at 15.0° N and 110.6° E on the 18th due to the absorption of heat, followed by an increase of 1.54 °C at the same location on the same day. Due to the typhoon-induced mixing effect, the change in mixing layer depth resulted in an average maximum temperature variation of 0.27 °C. Additionally, a sea surface temperature increase of 0.097 °C was observed at coordinates 11.2° N and 114.8° E on the 18th. The upwelling-driven average temperature difference led to a significant warming effect, with cold bottom water reaching the sea surface and causing a temperature rise of up to 0.20 °C and a maximum temperature drop of 1.01 °C at coordinates 12.5° N and 112.3° E on the 19th day of the observation period. The influencing factors affecting sea surface temperature during typhoons involve complex physicochemical processes such as air–sea heat exchange, precipitation mechanisms, and seawater mixing dynamics; among these factors, seawater mixing predominantly governs both sea–air heat exchange and upwelling phenomena [11,20]. According to the temperature variations resulting from the interaction between upwelling and seawater, the mixing of cold water uplift and seawater exchange due to upwelling accounted for 50% of the total change in sea surface temperature (SST), whereas approximately half of the overall contribution was attributed to a decrease in SST caused by air–sea heat exchange and other physical processes.
Figure 14.
Time variation distribution of the depth of the mixed layer.
Figure 15.
The variation of heat flux in the profile position led to the varied distribution of SST.
Figure 16.
Distribution of SST changes caused by upwelling.
Figure 17.
The distribution of sea surface temperature variation caused by the variation of mixed layer depth.
3.4. Surface Chlorophyll Response Analysis
The transit of typhoons not only impacts the physical and dynamic processes of the ocean but also has ecological implications that manifest in biological responses. The transit of a typhoon typically induces upwelling and mixing effects, which transport phytoplankton and nutrient-rich waters from below the surface to the sea surface, consequently leading to alterations in the concentration of Chl-a at the sea surface [26,27] The present study employed Copernicus Global Ocean Physics Reanalysis data to conduct a straightforward analysis of chlorophyll concentration in the South China Sea. The obtained results demonstrate a high level of accuracy and spatial coverage, effectively capturing the fundamental characteristics of the region [28,29]. The concentration distribution of Chl-a in the South China Sea of Typhoon Rey is illustrated in Figure 18. However, it is evident from the chlorophyll concentration map that there existed a pronounced elevation in chlorophyll-a concentration along the coastal region, which represents a limitation of the model. Due to its inability to account for small-scale physical processes contributing to heightened chlorophyll values near the coast, the maximum value observed in this area was underestimated. Nevertheless, this discrepancy had minimal impact on the current study’s objectives. It should be noted that our research site for Chl-a analysis did not encompass coastal areas. The concentration of Chl-a near the shore is influenced by monsoon patterns, upwelling events, and the influx of coastal rivers. Consequently, a pronounced increase in Chl-a concentration occurs in proximity to the shoreline, whereas variations in daily sea surface wind speed far from the coast do not significantly impact Chl-a levels [30,31]. Before the typhoon, the average concentration of Chl-a in the South China Sea study area was 0.37 mg/L (Table 4). After the passage of Typhoon Rey, there was a subsequent increase in chlorophyll content observed along the right side of the typhoon track on the 20th. Furthermore, a significant increase in chlorophyll concentration occurred within the study area R7 (13° N, 112° E) on the 21st, primarily within a radius of approximately 300 km from the right side of the typhoon track. The average Chl-a concentration recorded was 0.61 mg/L. The average concentration of chlorophyll-a (Chl-a) in the entire study area of the South China Sea was 0.54 mg/L. Combined with the wind field diagram and Ekman pumping intensity diagram (Figure 2 and Figure 6), the presence of robust wind stress at this specific location resulted in pronounced upwelling phenomena. This process facilitated the transportation of essential nutrients from deeper ocean layers to the sea surface, consequently inducing alterations in Chl-a concentration. The typhoon subsided in the South China Sea on the 21st. On the 22nd, there remained a persistently high concentration of Chl-a in the region, with an average value of 0.47 mg/L. The Chl-a concentration in the region exhibited a significant decrease on the 23rd, reaching a value of 0.36 mg/L. The study revealed a gradual increase in chlorophyll-a concentration following the typhoon, with a noticeable time delay predominantly ranging from 3 to 5 days [8].

Figure 18.
Distribution of Chl-a concentration in the South China Sea during Typhoon Rey.
Table 4.
Distribution table of Chl-a concentration in the whole South China Sea study area before and after Typhoon Rey.
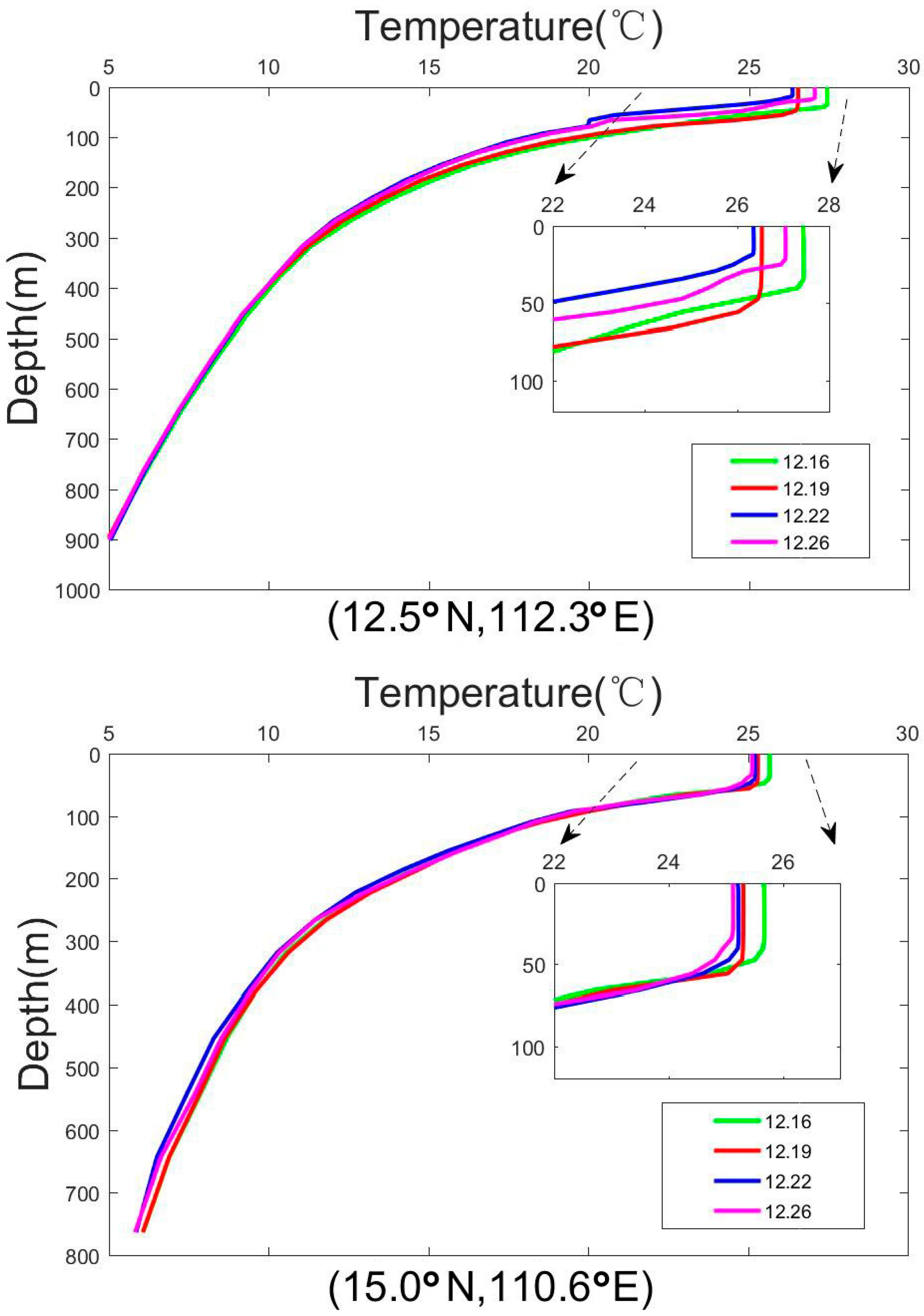
The chlorophyll concentration in the South China Sea increased during the typhoon event, which was attributed to the mixing and upwelling effects induced by the typhoon [32]. Figure 19 illustrates the temporal variation profile of Chl-a concentration in this region. Specifically, we selected breakpoints at coordinates 13.0° N and 111.4° E for analysis purposes. It is evident that the impact of the typhoon on Chl-a distribution primarily occurred within the thermocline layer, whereas concentrations below −100 m were consistently low and negligible throughout the sea area, with notable activity confined to the euoptical layer. On the 16th, when Typhoon Rey did not enter the South China Sea, the concentration of chlorophyll-a was predominantly observed at a depth of approximately −70 m below the sea surface, with a surface Chl-a concentration of 0.17 mg/L and reaching 0.73 mg/L at greater depths. The South China Sea was traversed by Typhoon Rey on the 19th, passing through the breakpoint position and generating an encircling effect due to strong wind stress. Meanwhile, the process of Ekman pumping induced upwelling, resulting in the upward movement of deep water and the transportation of nutrients from the seabed to the sea surface [14,26]. Consequently, this led to an elevation in Chl-a concentration on the sea surface. At this time, the typhoon had passed through the South China Sea research area and ended in the northern area of the South China Sea, which proved that there was a certain delay in the change in chlorophyll-a concentration. From the 24th to the 27th, there was a decrease in surface Chl-a concentration, with a maximum concentration of 0.27 mg/L. However, at approximately −20 m below the sea surface, Chl-a concentration remained relatively high, reaching a maximum of 1.08 mg/L on the 27th.
Figure 19.
Profile of Chl-a concentration in the South China Sea research area.
4. Conclusions
In this study, remote sensing data were utilized to analyze the thermodynamic and dynamic responses of the upper ocean in the South China Sea to parameters such as wind speed, sea surface temperature (SST), and ocean profiles. The subsequent findings are presented.
- (1)
- During the typhoon, significant short-term fluctuations were observed in the hydrological characteristics of the South China Sea. During the transit of Typhoon Rey, the sea surface wind speed in the South China Sea increased, with the maximum wind speed reaching 62 m/s. The SST field indicates that the super typhoon traversed a warm ocean region, providing ample oceanic heat and water vapor for sustenance. Strong wind stress generated by the typhoon induced an Ekman pumping effect with a maximum intensity of 11.18 × 10−3 m/s, leading to changes in SST. The changes in sea surface temperature (SST) were primarily distributed on both sides of the typhoon path, with a higher concentration observed along the right side. This was characterized by a decrease in SST, with a maximum temperature difference reaching 2.28 °C. Conversely, on the left side of the typhoon path, an increase in temperature was observed, with a maximum temperature difference of 0.71 °C. The reduction in sea surface temperature exhibited a positive correlation with variations in Ekman intensity.
- (2)
- In addition to systematically analyzing the response mechanism of the upper ocean to the typhoon’s transit, a significant contribution of this paper is in the derivation and application of a simplified equation for calculating SST change, which excludes the influence of external complex factors by utilizing thermodynamic formulas. The conclusions drawn from our analysis regarding typhoon response are essentially consistent with those obtained by previous researchers. Notably, during the course of a typhoon event, substantial variations in the depth of the mixing layer were observed, reaching up to 20.1 m. On the right side of the typhoon, a cold anomaly was observed with a maximum temperature change of 3.28 °C. The exchange of heat at the sea surface resulted in a decrease of 1.50 °C in maximum temperature, whereas water mixing caused an average temperature change of 0.27 °C that lasted for 3–5 days. The upwelling on this side experienced an average temperature decrease of 0.20 °C and a maximum decrease of 1.01 °C. On the left side, there was a warm anomaly; however, due to the prolonged effect of cold suction being greater than that of the heat pump effect, any abnormal warming caused by the latter was not significant. The maximum increase in sea surface temperature resulting from solar radiation absorption by seawater was 1.54 °C, whereas the maximum increase due to seawater mixing was 0.71 °C. The average increase in sea surface temperature ranged between 0.2 °C and 0.5 °C for a duration of 1–2 days. Based on the analysis of this process, factors contributing to the decrease in sea surface temperature include the dynamic impact of upwelling, accounting for half of the temperature reduction, while the remaining decrease can be attributed to air–sea heat exchange and other intricate physical processes.
- (3)
- By manipulating the temperature, mixing intensity, and solar radiation in seawater, typhoons contribute essential nutrients to surface waters while simultaneously restraining the excessive proliferation of phytoplankton. Consequently, there is a transient augmentation in sea surface chlorophyll content, which exerts an influence on the marine ecological milieu. The region exhibiting the most pronounced alteration in the South China Sea is situated in its central and western part (13.5° N–16.5° N, 111° E–112.5° E), encompassing an approximate width of 250 km on the right side of the typhoon tracks. Following the typhoon event, there was an increase of 0.66 mg/L in Chl-a concentration compared to pre-typhoon levels, with the peak value reaching 0.96 mg/L. The response of chlorophyll-a (Chl-a) concentration to the typhoon exhibited a lag of 2–3 days, with the most significant change occurring 2 days after the passage of the typhoon through the region.
Author Contributions
Conceptualization, J.G. and J.S.; methodology, S.W.; software, S.W.; validation, J.G.; formal analysis, J.G.; investigation, Y.F.; data curation, Y.C. and L.W.; writing—original draft preparation, S.W.; writing—review and editing, J.G and J.S.;. All authors have read and agreed to the published version of the manuscript.
Funding
Dalian Science and Technology Program for Innovation Talents of Dalian (2022RJ06); Science and Technology Program of Liaoning Province (2022JH2/101300222, 2022JH2/101300183); Scientific Research Project of Education Department of Liaoning Province under contract No. DL202001, JL202006, QL202006, LJKZ0709; the Doctoral Scientific Research Foundation of Liaoning Province (grant No. 2021-BS-239, 2022-BS-277).
Data Availability Statement
The data presented in this study are available upon request to the corresponding author.
Acknowledgments
We are thankful for the data support from the National Marine Scientific Data Center (Dalian), National Science & Technology Infrastructure of China (http://odc.dlou.edu.cn/ (accessed on 24 March 2023)), for providing valuable data and information. We also thank the reviewers for carefully reviewing the manuscript and providing valuable comments to help improve this paper.
Conflicts of Interest
The authors declare no conflict of interest.
References
- Zhang, H.; He, H.; Zhang, W.-Z.; Tian, D. Upper Ocean Response to Tropical Cyclones: A Review. Geosci. Lett. 2021, 8, 1. [Google Scholar] [CrossRef]
- Walsh, K.J.E.; McBride, J.L.; Klotzbach, P.J.; Balachandran, S.; Camargo, S.J.; Holland, G.; Knutson, T.R.; Kossin, J.P.; Lee, T.; Sobel, A.; et al. Tropical Cyclones and Climate Change. WIREs Clim. Change 2016, 7, 65–89. [Google Scholar] [CrossRef]
- Price, J.F. Upper Ocean Response to a Hurricane. J. Phys. Oceanogr. 1981, 11, 153–175. [Google Scholar] [CrossRef]
- Sanford, T.B.; Price, J.F.; Girton, J.B.; Webb, D.C. Highly Resolved Observations and Simulations of the Ocean Response to a Hurricane. Geophys. Res. Lett. 2007, 34, L13604. [Google Scholar] [CrossRef]
- Han, S.; Wang, M.; Peng, B. Response of Temperature to Successive Typhoons in the South China Sea. J. Mar. Sci. Eng. 2022, 10, 1157. [Google Scholar] [CrossRef]
- Zhang, Z.; Wang, Y.; Zhang, W.; Xu, J. Coastal Ocean Response and Its Feedback to Typhoon Hato (2017) Over the South China Sea: A Numerical Study. J. Geophys. Res. Atmospheres 2019, 124, 13731–13749. [Google Scholar] [CrossRef]
- Haghroosta, T.; Ismail, W.R. Typhoon Activity and Some Important Parameters in the South China Sea. Weather Clim. Extrem. 2017, 17, 29–35. [Google Scholar] [CrossRef]
- Walker, N.D.; Leben, R.R.; Balasubramanian, S. Hurricane-Forced Upwelling and Chlorophyll a Enhancement within Cold-Core Cyclones in the Gulf of Mexico. Geophys. Res. Lett. 2005, 32, L18610. [Google Scholar] [CrossRef]
- Lin, S.; Zhang, W.-Z.; Shang, S.-P.; Hong, H.-S. Ocean Response to Typhoons in the Western North Pacific: Composite Results from Argo Data. Deep Sea Res. Part Oceanogr. Res. Pap. 2017, 123, 62–74. [Google Scholar] [CrossRef]
- Chiang, T.-L.; Wu, C.-R.; Oey, L.-Y. Typhoon Kai-Tak: An Ocean’s Perfect Storm. J. Phys. Oceanogr. 2011, 41, 221–233. [Google Scholar] [CrossRef]
- Golder, M.R.; Shuva, M.S.H.; Rouf, M.A.; Uddin, M.M.; Bristy, S.K.; Bir, J. Chlorophyll-a, SST and particulate organic carbon in response to the cyclone Amphan in the Bay of Bengal. J. Earth Syst. Sci. 2021, 130, 157. [Google Scholar] [CrossRef]
- Kahru, M.; Gille, S.T.; Murtugudde, R.; Strutton, P.G.; Manzano-Sarabia, M.; Wang, H.; Mitchell, B.G. Global Correlations between Winds and Ocean Chlorophyll. J. Geophys. Res. Oceans 2010, 115, C12040. [Google Scholar] [CrossRef]
- Wang, Y. Composite of Typhoon-Induced Sea Surface Temperature and Chlorophyll-a Responses in the South China Sea. J. Geophys. Res. Oceans 2020, 125, e2020JC016243. [Google Scholar] [CrossRef]
- Liu, Y.; Tang, D.; Evgeny, M. Chlorophyll Concentration Response to the Typhoon Wind-Pump Induced Upper Ocean Processes Considering Air–Sea Heat Exchange. Remote Sens. 2019, 11, 1825. [Google Scholar] [CrossRef]
- Köberle, C.; Philander, S.G.H. On the Processes That Control Seasonal Variations of Sea Surface Temperatures in the Tropical Pacific Ocean. Tellus A 1994, 46, 481–496. [Google Scholar] [CrossRef]
- de Ruijter, W.P.M. Effects of Velocity Shear in Advective Mixed-Layer Models. J. Phys. Oceanogr. 1983, 13, 1589–1599. [Google Scholar] [CrossRef]
- Jin, W.; Liang, C.; Tian, X.; Hu, J.; Ding, T.; Zhou, B.; Chen, X.; Wang, Y. Identifying Oceanic Responses with Validated Satellite Observations after the Passage of Typhoons in the Northern South China Sea. Remote Sens. 2022, 14, 3872. [Google Scholar] [CrossRef]
- Vincent, E.M.; Lengaigne, M.; Madec, G.; Vialard, J.; Samson, G.; Jourdain, N.C.; Menkes, C.E.; Jullien, S. Processes Setting the Characteristics of Sea Surface Cooling Induced by Tropical Cyclones. J. Geophys. Res. Oceans 2012, 117, C02020. [Google Scholar] [CrossRef]
- Oginni, T.E.; Li, S.; He, H.; Yang, H.; Ling, Z. Ocean Response to Super-Typhoon Haiyan. Water 2021, 13, 2841. [Google Scholar] [CrossRef]
- Mantravadi, S.V.; Yu, S.; Raju, P.V.S. Typhoon Haikui Induced Sea Surface Temperature Cooling and Rainfall Influence over Zhejiang Coastal Waters. Atmósfera 2020, 34, 385–394. [Google Scholar] [CrossRef]
- Zheng, Z.-W.; Chen, Y.-R. Influences of Tidal Effect on Upper Ocean Responses to Typhoon Passages Surrounding Shore Region off Northeast Taiwan. J. Mar. Sci. Eng. 2022, 10, 1419. [Google Scholar] [CrossRef]
- Park, J.J.; Kwon, Y.-O.; Price, J.F. Argo Array Observation of Ocean Heat Content Changes Induced by Tropical Cyclones in the North Pacific. J. Geophys. Res. Oceans 2011, 116, C12025. [Google Scholar] [CrossRef]
- Yu, J.; Lin, S.; Jiang, Y.; Wang, Y. Modulation of Typhoon-Induced Sea Surface Cooling by Preexisting Eddies in the South China Sea. Water 2021, 13, 653. [Google Scholar] [CrossRef]
- Wang, J.; Guo, B.; Ji, Z.; Che, Y.; Mantravadi, V.S. Effects of Typhoon Chanthu on Marine Chlorophyll a, Temperature and Salinity. Atmosphere 2023, 14, 1505. [Google Scholar] [CrossRef]
- Li, Z.-L.; Wen, P. Comparison between the Response of the Northwest Pacific Ocean and the South China Sea to Typhoon Megi (2010). Adv. Atmospheric Sci. 2017, 34, 79–87. [Google Scholar] [CrossRef]
- Tang, D.; Kawamura, H.; Lee, M.-A.; Van Dien, T. Seasonal and Spatial Distribution of Chlorophyll-a Concentrations and Water Conditions in the Gulf of Tonkin, South China Sea. Remote Sens. Environ. 2003, 85, 475–483. [Google Scholar] [CrossRef]
- Chacko, N. Chlorophyll Bloom in Response to Tropical Cyclone Hudhud in the Bay of Bengal: Bio-Argo Subsurface Observations. Deep Sea Res. Part Oceanogr. Res. Pap. 2017, 124, 66–72. [Google Scholar] [CrossRef]
- Stefanidis, K.; Varlas, G.; Vourka, A.; Papadopoulos, A.; Dimitriou, E. Delineating the Relative Contribution of Climate Related Variables to Chlorophyll-a and Phytoplankton Biomass in Lakes Using the ERA5-Land Climate Reanalysis Data. Water Res. 2021, 196, 117053. [Google Scholar] [CrossRef]
- Xie, W.; Wang, T.; Jiang, W. Spatio-Temporal Variability of Surface Chlorophyll a in the Yellow Sea and the East China Sea Based on Reconstructions of Satellite Data of 2001–2020. J. Oceanol. Limnol. 2023, 1–18. [Google Scholar] [CrossRef]
- Wu, R.; Zhang, H.; Chen, D. Effect of Typhoon Kalmaegi (2014) on Northern South China Sea Explored Using Muti-Platform Satellite and Buoy Observations Data. Prog. Oceanogr. 2020, 180, 102218. [Google Scholar] [CrossRef]
- Fang, W.; Geng, B.; Xiu, P. Typhoon Effects on the Vertical Chlorophyll Distribution on the Northern Shelf of the South China Sea. J. Geophys. Res. Oceans 2022, 127, e2022JC019350. [Google Scholar] [CrossRef]
- Wang, Y.; Xiu, P. Typhoon Footprints on Ocean Surface Temperature and Chlorophyll-a in the South China Sea. Sci. Total Environ. 2022, 840, 156686. [Google Scholar] [CrossRef] [PubMed]
Disclaimer/Publisher’s Note: The statements, opinions and data contained in all publications are solely those of the individual author(s) and contributor(s) and not of MDPI and/or the editor(s). MDPI and/or the editor(s) disclaim responsibility for any injury to people or property resulting from any ideas, methods, instructions or products referred to in the content. |
© 2024 by the authors. Licensee MDPI, Basel, Switzerland. This article is an open access article distributed under the terms and conditions of the Creative Commons Attribution (CC BY) license (https://creativecommons.org/licenses/by/4.0/).























