Intermittent Rainfed Rice var. INIA 516 LM1: A Sustainable Alternative for the Huallaga River Basin
Abstract
1. Introduction
2. Materials and Methods
2.1. Study Scope
2.2. Experimental Design
2.3. Soil Physicochemical Characteristics
2.4. Experimental Plot Management
2.5. Morphological Variables Determination
2.6. Phytosanitary Variables Determination
2.7. Agronomic Variables Determination
2.8. Water Footprint Determination
2.9. Statistical Analysis
3. Results
3.1. Treatment Effects over the Evaluated Parameters
3.2. Effect on Pest and Disease Incidence
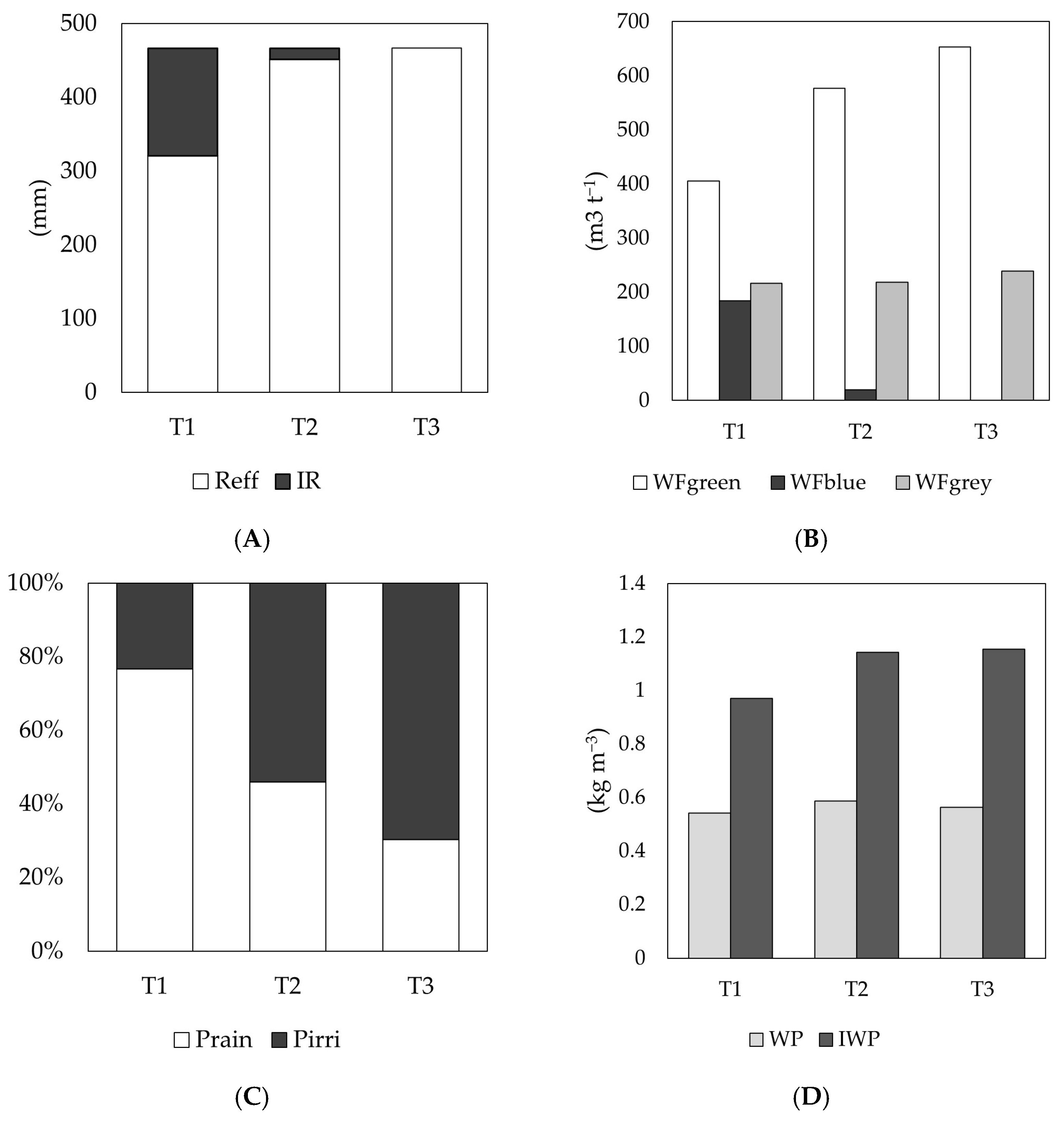
3.3. Water Footprint Quantification
4. Discussion
5. Conclusions
Supplementary Materials
Author Contributions
Funding
Data Availability Statement
Conflicts of Interest
References
- Almazroui, M.; Ashfaq, M.; Islam, M.N.; Rashid, I.U.; Kamil, S.; Abid, M.A.; O’Brien, E.; Ismail, M.; Reboita, M.S.; Sörensson, A.A.; et al. Assessment of CMIP6 Performance and Projected Temperature and Precipitation Changes Over South America. Earth Syst. Environ. 2021, 5, 155–183. [Google Scholar] [CrossRef]
- SENAMHI. Escenarios Climaticos en el Perú para el año 2030; Proyecto Segunda Comunicación Nacional del Perú a la Convención Marco de las Naciones Unidas sobre Cambio Climático; SENAMHI: Lima, Peru, 2009; Available online: https://hdl.handle.net//20.500.12542/141 (accessed on 27 December 2024).
- ANA; Consorcio Typsa—Tecnoma—Engecorps. Grupo Inclam Evaluación de Recursos Hídricos en la Cuenca de Huallaga; Autoridad Nacional del Agua: San Isidro, Peru, 2015. [Google Scholar]
- SENAMHI. Escenarios Climaticos en la cuenca del río Mayo para el año 2030; Proyecto Segunda Comunicación Nacional del Perú a la Convención Marco de las Naciones Unidas sobre Cambio Climático; SENAMHI: Lima, Peru, 2009; Available online: https://hdl.handle.net/20.500.12542/122 (accessed on 27 December 2024).
- Fernandez-Palomino, C.A.; Hattermann, F.F.; Krysanova, V.; Vega-Jácome, F.; Menz, C.; Gleixner, S.; Bronstert, A. High-resolution climate projection dataset based on CMIP6 for Peru and Ecuador: BASD-CMIP6-PE. Sci. Data 2024, 11, 34. [Google Scholar] [CrossRef]
- Vargas Rivera, J. Memoria Descriptiva de Clima; Zonificación Ecológica Económica de la Región San Martín; Gobierno Regional de San Martín: Moyobamba, Peru, 2005; p. 59. [Google Scholar]
- Castro, A.; Davila, C.; Laura, W.; Cubas, F.; Avalos, G.; López-Ocaña, C.; Villena, D.; Valdez, M.; Urbiola, J.; Trebejo, I.; et al. Climas Del Perú—Mapa de Clasificación Climática Nacional, 1st ed.; SENAMHI: Lima, Peru, 2021; ISBN 978-612-48315-3-9. Available online: https://www.senamhi.gob.pe/load/file/01404SENA-4.pdf (accessed on 27 December 2024).
- Ahmed, M.; Islam, M.K.; Das, S. Climate Change Effects on Crop Area Dynamics in the Cachar District of Assam, India: An Empirical Study. Nat. Environ. Pollut. Technol. 2024, 23, 2435–2440. [Google Scholar] [CrossRef]
- Ritchie, P.D.L.; Parry, I.; Clarke, J.J.; Huntingford, C.; Cox, P.M. Increases in the Temperature Seasonal Cycle Indicate Long-Term Drying Trends in Amazonia. Commun. Earth Environ. 2022, 3, 199. [Google Scholar] [CrossRef]
- Ukkola, A.M.; De Kauwe, M.G.; Roderick, M.L.; Abramowitz, G.; Pitman, A.J. Robust Future Changes in Meteorological Drought in CMIP6 Projections Despite Uncertainty in Precipitation. Geophys. Res. Lett. 2020, 47, e2020GL087820. [Google Scholar] [CrossRef]
- Rocha, L.O.D.S.; Guimarães, C.R.R.; Oliveira, R.A.P.D. Exploração Do Uso Eficiente de Recursos Hídricos Na Agricultura: Investigação de Técnicas de Irrigação e Tecnologias Para a Minimização Do Desperdício de Água. Rev. Foco 2024, 17, e4950. [Google Scholar] [CrossRef]
- Xue, J.; Guan, H.; Huo, Z.; Wang, F.; Huang, G.; Boll, J. Water Saving Practices Enhance Regional Efficiency of Water Consumption and Water Productivity in an Arid Agricultural Area with Shallow Groundwater. Agric. Water Manag. 2017, 194, 78–89. [Google Scholar] [CrossRef]
- ANA. Plan Nacional de Recursos Hídricos del Perú; Carrillo Mendoza, J.L., Inga Colonia, C., Eds.; ANA: San Isidro, Peru, 2013. [Google Scholar]
- Mekonnen, M.M.; Pahlow, M.; Aldaya, M.M.; Zarate, E.; Hoekstra, A.Y. Sustainability, Efficiency and Equitability of Water Consumption and Pollution in Latin America and the Caribbean. Sustainability 2015, 7, 2086–2112. [Google Scholar] [CrossRef]
- MINAM. Tercera Comunicación Nacional del Perú a la Convención Marco de las Naciones Unidas Sobre el Cambio Climático; MINAM: Lima, Perú, 2016. [Google Scholar]
- Raico Arce, V.; Stehli Torrecilla, H.; Sulca Contreras, R. Estudio Prospectivo sobre el Estrés Hídrico y la Inseguridad Alimentaria en el Perú; Centro Nacional de Planeamiento Estratégico: Lima, Peru, 2023. [Google Scholar]
- Mohidem, N.A.; Hashim, N.; Shamsudin, R.; Che Man, H. Rice for Food Security: Revisiting Its Production, Diversity, Rice Milling Process and Nutrient Content. Agriculture 2022, 12, 741. [Google Scholar] [CrossRef]
- MIDAGRI. Perfil Productivo y Competitivo de los Principales Cultivos del Sector. 2025. Available online: https://siea.midagri.gob.pe/siea_bi/ (accessed on 27 December 2024).
- Romero, C.A. Observatorio de Siembras y Perspectivas de la Producción—Arroz: Campaña Agrícola 2023/2024; Ministerio de Desarrollo Agrario y Riego (MIDAGRI): Lima, Peru, 2024; Available online: https://repositorio.midagri.gob.pe/bitstream/20.500.13036/1673/1/Observatorio-de%20siembras%20y%20perspectivas%20de%20produccion%20arroz%20enero%202024.pdf (accessed on 11 April 2025).
- Arouna, A.; Dzomeku, I.K.; Shaibu, A.-G.; Nurudeen, A.R. Water Management for Sustainable Irrigation in Rice (Oryza sativa L.) Production: A Review. Agronomy 2023, 13, 1522. [Google Scholar] [CrossRef]
- Liu, T.; Bruins, R.; Heberling, M. Factors Influencing Farmers’ Adoption of Best Management Practices: A Review and Synthesis. Sustainability 2018, 10, 432. [Google Scholar] [CrossRef] [PubMed]
- Gavilánez Luna, F.C.; Barzola Ordinola, C.M.; Falconí Zambrano, C.J.; Loqui Sánchez, A.J. Efecto Del Riego Tradicional En La Producción, Eficiencia Hídrica y Emisión de Metano Del Cultivo de Arroz. Bioagro 2024, 36, 15–26. [Google Scholar] [CrossRef]
- FAO. Recomendaciones de Política Pública para Enfrentar el Cambio Climático y la Vulnerabilidad de la Seguridad Alimentaria; FAO: Rome, Italy, 2017. [Google Scholar]
- Williams, J.F.; Roberts, S.R.; Hill, J.E.; Scardaci, S.C.; Tibbits, G. IPM: Managing water for weed control in rice. Calif. Agric. 1990, 44, 7–10. [Google Scholar] [CrossRef]
- Wickramasinghe, D.; Devasinghe, U.; Suriyagoda, L.D.B.; Egodawatta, C.; Benaragama, D.I. Weed Dynamics under Diverse Nutrient Management and Crop Rotation Practices in the Dry Zone of Sri Lanka. Front. Agron. 2023, 5, 1211755. [Google Scholar] [CrossRef]
- Rao, A.N.; Wani, S.P.; Ahmed, S.; Haider Ali, H.; Marambe, B. An Overview of Weeds and Weed Management in Rice of South Asia. In Weed Management in Rice in the Asian-Pacific Region; Asian-Pacific Weed Science Society (APWSS); The Weed Science Society of Japan: Japan; Indian Society of Weed Science: India, 2017; pp. 247–281. ISBN 978-81-931978-4-4. Available online: https://core.ac.uk/download/pdf/219475058.pdf (accessed on 16 January 2025).
- Laphatphakkhanut, R.; Puttrawutichai, S.; Dechkrong, P.; Preuksakarn, C.; Wichaidist, B.; Vongphet, J.; Suksaroj, C. IoT-Based Smart Crop-Field Monitoring of Rice Cultivation System for Irrigation Control and Its Effect on Water Footprint Mitigation. Paddy Water Environ. 2021, 19, 699–707. [Google Scholar] [CrossRef]
- Aldaya, M.M.; Chapagain, A.K.; Hoekstra, A.Y.; Mekonnen, M.M. The Water Footprint Assessment Manual; Routledge: Abingdon, UK, 2012. [Google Scholar]
- Riccetto, S.; Capurro, M.C.; Roel, Á. Estrategias Para Minimizar El Consumo de Agua Del Cultivo de Arroz En Uruguay Manteniendo Su Productividad. Agrociencia Urug. 2017, 21, 109–119. [Google Scholar] [CrossRef]
- Mboyerwa, P.; Kibret, K.; Mtakwa, P.; Aschalew, A. Evaluation of Growth, Yield, and Water Productivity of Paddy Rice with Water-Saving Irrigation and Optimization of Nitrogen Fertilization. Agronomy 2021, 11, 1629. [Google Scholar] [CrossRef]
- Bouman, B.A.M.; Humphreys, E.; Tuong, T.P.; Barker, R. Rice and Water. Adv. Agron. 2007, 92, 187–237. [Google Scholar]
- Ghosh, A.; Warwade, P. Impact of forest cover and human intervention on crop water footprint. J. Water Clim. Change 2024, 15, 5998–6012. [Google Scholar] [CrossRef]
- Chakrabarti, B.; Mina, U.; Chakraborty, D.; Pathak, H.; Sharma, D.K.; Jain, N.; Jatav, R.S.; Dixit, P.; Katiyar, R.; Harit, R.C. Water, Carbon and Nitrogen Footprints of Major Crops in Indo-Gangetic Plains. In Geospatial Infrastructure, Applications and Technologies: India Case Studies; Sarda, N.L., Acharya, P.S., Sen, S., Eds.; Springer: Singapore, 2018; pp. 401–411. [Google Scholar]
- Gil, R.; Bojacá, C.R.; Schrevens, E. Uncertainty of the Agricultural Grey Water Footprint Based on High Resolution Primary 585 Data. Water Resour. Manag. 2017, 31, 3389–3400. [Google Scholar] [CrossRef]
- Torres-Chávez, E.E. ARROZ INIA 516—LM1 LA UNIÓN 23 Nueva Variedad de Arroz de Riego Para La Selva Alta Del Perú; 587 Programa Nacional de Arroz; Instituto Nacional de Innovacion Agraria: San Martin, Peru, 2023. [Google Scholar]
- Rosero, M. Sistema de Evaluación Estandar Para Arroz. 1983. Available online: https://hdl.handle.net/10568/69571 (accessed on 23 January 2025).
- Allen, R.G.; Pereira, L.S.; Raes, D.; Smith, M. Crop Evapotranspiration: Guidelines for Computing Crop Water Requirements; FAO Irrigation and Drainage Paper 56; FAO: Rome, Italy, 1988; Volume 300, p. D05109. ISBN 92-5-104219-5. [Google Scholar]
- Dastane, N.G. Effective Rainfall in Irrigated Agriculture; FAO Irrigation and Drainage Paper; FAO: Rome, Italy, 1978; ISBN 527 978-92-5-100272-8. [Google Scholar]
- Steduto, P.; Hsiao, T.C.; Fereres, E.; Raes, D. Crop Yield Response to Water; FAO Irrigation and Drainage Paper 66; FAO: Rome, Italy, 2012; ISBN 978-92-5-107274-5. [Google Scholar]
- Raes, D.; Steduto, P.; Hsiao, T.C.; Fereres, E. Chapter 2—Users guide. In Reference Manual AquaCrop Version 71; FAO: Rome, Italy, 2023. [Google Scholar]
- Martins, M.A.; Tomasella, J.; Bassanelli, H.R.; Paiva, A.C.E.; Vieira, R.M.S.P.; Canamary, E.A.; Alvarenga, L.A. On the Sustainability of Paddy Rice Cultivation in the Paraíba Do Sul River Basin (Brazil) under a Changing Climate. J. Clean. Prod. 2023, 386, 135760. [Google Scholar] [CrossRef]
- Roudbari, M.V.; Dehnavi, A.; Jamshidi, S.; Yazdani, M. A Multi-Pollutant Pilot Study to Evaluate the Grey Water Footprint of Irrigated Paddy Rice. Agric. Water Manag. 2023, 282, 108291. [Google Scholar] [CrossRef]
- Franke, N.A.; Boyacioglu, H.; Hoekstra, A.Y. Grey Water Footprint Accounting. Tier 1 Supporting Guidelines; Value of Water Research Report Series No. 65; UNESCO-IHE: Delft, The Netherlands, 2013; Available online: https://www.waterfootprint.org/resources/Report65-GreyWaterFootprint-Guidelines.pdf (accessed on 12 February 2025).
- ANA. Visor por Cuenca—Sistema Nacional de Información de Recursos Hídricos. 2025. Available online: https://snirh.ana.gob.pe/VisorPorCuenca/ (accessed on 14 April 2025).
- ANA. Decreto Supremo N° 004-2017-MINAM: Aprueban Estándares de Calidad Ambiental (ECA) para Agua y Estableceden Disposiciones Complementarias. Available online: https://www.minam.gob.pe/wp-content/uploads/2017/06/DS-004-2017-MINAM.pdf (accessed on 14 April 2025).
- Wickham, H.; François, R.; Henry, L.; Müller, K.; Vaughan, D. Dplyr: A Grammar of Data Manipulation, Version 1.1.4. 2023. Available online: https://cran.r-project.org/web/packages/dplyr/index.html (accessed on 14 April 2025). [CrossRef]
- de Mendiburu, F. Agricolae: Statistical Procedures for Agricultural Research, Version 1.3-7. 2023. Available online: https://cran.r-project.org/web/packages/agricolae/index.html (accessed on 14 April 2025). [CrossRef]
- Sarwar, M.J.; Khanif, Y.M. Low Water Rice Production and Its Effect on Redox Potential and Soil pH. J. Agron. 2005, 4, 142–146. [Google Scholar] [CrossRef][Green Version]
- Zhang, S.; Rasool, G.; Wang, S.; Guo, X.; Zhao, Z.; Zhang, Y.; Wei, Z.; Xia, Q. Effect of Irrigation and Cultivation Modes on Growth, Physiology, Rice Yield Parameters and Water Footprints. Agronomy 2024, 14, 1747. [Google Scholar] [CrossRef]
- Talpur, M.A.; Changying, J.; Junejo, S.A.; Tagar, A.A.; Ram, B.K. Effect of Different Water Depths on Growth and Yield of Rice Crop. Afr. J. Agric. Res. 2013, 8, 4654–4659. [Google Scholar] [CrossRef]
- Konaté, A.K.; Zongo, A.; Sangaré, J.R.; Dardou, A.; Audebert, A. Effect of Water Stress on Growth, Yield and Yield Components 545 of Rice (Oryza sativa L.) Genotypes. Int. J. Sci. Res. Arch. 2022, 5, 028–038. [Google Scholar] [CrossRef]
- Dianga, A.I.; Musila, R.N.; Joseph, K.W. Rainfed Rice Farming Production Constrains and Prospects, the Kenyan Situation. In Integrative Advances in Rice Research; Huang, M., Ed.; IntechOpen: London, UK, 2021. [Google Scholar] [CrossRef]
- Mkanthama, J.; Makombe, G.; Kihoro, J.; Ateka, E.M.; Kanjere, M. Technical Efficiency of Rainfed and Irrigated Rice Production in Tanzania. Irrig. Drain. 2018, 67, 233–241. [Google Scholar] [CrossRef]
- Autovino, D.; Provenzano, G.; Monserrat, J.; Cots, L.; Barragán, J. Determining Optimal Seasonal Irrigation Depth Based on Field Irrigation Uniformity and Economic Evaluations: Application for Onion Crop. J. Irrig. Drain. Eng. 2016, 142, 04016037. [Google Scholar] [CrossRef]
- Maclean, J.; Hardy, B.; Hettel, G. Rice Almanac: Source Book for One of the Most Important Economic Activities on Earth, 4th ed.; International Rices Research Institute: Los Baños, Philippines, 2013; ISBN 978-971-22-0300-8. [Google Scholar]
- Arévalo-Aranda, Y.; Rodríguez Toribio, E.; Rosillo Cordova, L.; Díaz-Chuquizuta, H.; Torres Chávez, E.E.; Cruz-Luis, J.; Siqueira Bahia, R.D.C.; Pérez, W.E. Green Manuring and Fertilization on Rice (Oryza sativa L.): A Peruvian Amazon Study. Rev. FCA UNCUYO 2024, 56, 1–13. [Google Scholar] [CrossRef]
- Kima, A.S.; Chung, W.G.; Wang, Y.-M. Improving Irrigated Lowland Rice Water Use Efficiency under Saturated Soil Culture for Adoption in Tropical Climate Conditions. Water 2014, 6, 2830–2846. [Google Scholar] [CrossRef]
- Belder, P.; Bouman, B.; Cabangon, R.; Guoan, L.; Quilang, E.; Yuanhua, L.; Spiertz, J.; Tuong, T. Effect of water-saving irrigation on rice yield and water use in typical lowland conditions in Asia. Agric. Water Manag. 2004, 65, 193–210. [Google Scholar] [CrossRef]
- Gao, C.; Lin, M.; He, L.; Tang, M.; Ma, J.; Sun, W. The Impact of Water-Saving Irrigation on Rice Growth and Comprehensive Evaluation of Irrigation Strategies. Agronomy 2024, 14, 1363. [Google Scholar] [CrossRef]
- Goigochea-Pinchi, D.; Justino-Pinedo, M.; Vega-Herrera, S.S.; Sanchez-Ojanasta, M.; Lobato-Galvez, R.H.; Santillan-Gonzales, M.D.; Ganoza-Roncal, J.J.; Ore-Aquino, Z.L.; Agurto-Piñarreta, A.I. Yield Prediction Models for Rice Varieties Using UAV Multispectral Imagery in the Amazon Lowlands of Peru. AgriEngineering 2024, 6, 2955–2969. [Google Scholar] [CrossRef]
- Livsey, J.; Kätterer, T.; Vico, G.; Lyon, S.W.; Lindborg, R.; Scaini, A.; Manzoni, S. Do alternative irrigation strategies for rice cultivation decrease water footprints at the cost of long-term soil health? Environ. Res. Lett. 2019, 14, 074011. [Google Scholar] [CrossRef]
- Mackill, D.J.; Coffman, W.R.; Garrity, D.P. Rainfed Lowland Rice Improvement; International Rice Research Institute: Manila, Philppines, 1996; ISBN 971-22-0071-X. [Google Scholar]
- Tyagi, S.; Naresh, R.K.; Bhatt, R.; Chandra, M.S.; Alrajhi, A.A.; Dewidar, A.Z.; Mattar, M.A. Tillage, Water and Nitrogen Management Strategies Influence the Water Footprint, Nutrient Use Efficiency, Productivity and Profitability of Rice in Typic Ustochrept Soil. Agronomy 2022, 12, 1186. [Google Scholar] [CrossRef]
- Chapagain, A.K.; Hoekstra, A.Y. The Green, Blue and Grey Water Footprint of Rice from Both a Production and Consumption Perspectives. Ecol. Econ. 2011, 70, 749–758. [Google Scholar] [CrossRef]
- Mao, Y.; Liu, Y.; Zhuo, L.; Wang, W.; Li, M.; Feng, B.; Wu, P. Quantitative Evaluation of Spatial Scale Effects on Regional Water Footprint in Crop Production. Resour. Conserv. Recycl. 2021, 173, 105709. [Google Scholar] [CrossRef]
- Demir, M.S.; Muratoglu, A. Water Footprint Concept, Approaches, and Applications: A Comprehensive Review for the Agricultural Sector. Water Environ. J. 2025. early view. [Google Scholar] [CrossRef]
- Elango, L. Hydraulic Conductivity: Issues, Determination and Applications; InTech: Rijeka, Croatia, 2011. [Google Scholar] [CrossRef]
- Irmak, S. Evapotranspiration. In Encyclopedia of Ecology; Jørgensen, S.E., Fath, B.D., Eds.; Academic Press: Oxford, UK, 2008; pp. 1432–1438. [Google Scholar]
- Pereira, L.S.; Allen, R.G.; Smith, M.; Raes, D. Crop evapotranspiration estimation with FAO56: Past and future. Agric. Water Manag. 2015, 147, 4–20. [Google Scholar] [CrossRef]
- Neira Huamán, E.; Ramos Fernández, L.; Razuri Ramírez, L.R. Coeficiente del cultivo (Kc) del arroz a partir de lisímetro de drenaje en La Molina, Lima-Perú. Idesia 2020, 38, 49–55. [Google Scholar] [CrossRef]
- INIA. Resolución Jefatural N° 097-2024-INIA: Aprueba la Liberación de la Variedad de Arroz “INIA 516—LM1 La Unión 23”. 2024. Available online: https://busquedas.elperuano.pe/dispositivo/NL/2301059-1 (accessed on 27 February 2025).
- Timm, A.U.; Roberti, D.R.; Streck, N.A.; Gustavo, G.; de Gonçalves, L.; Acevedo, O.C.; Moraes, O.L.L.; Moreira, V.S.; Degrazia, G.A.; Ferlan, M.; et al. Energy Partitioning and Evapotranspiration over a Rice Paddy in Southern Brazil. J. Hydrometeorol. 2014, 15, 1975–1988. [Google Scholar] [CrossRef]
- Petry, M.T.; Tonetto, F.; Martins, J.D.; Slim, J.E.; Werle, R.; Gonçalves, A.F.; Paredes, P.; Pereira, L.S. Evapotranspiration and crop coefficients ofsprinkler-irrigated aerobic rice in southern Brazil using the SIMDualKc water balancemodel. Irrig. Sci. 2024, 42, 1–22. [Google Scholar]
- Mekonnen, M.M.; Hoekstra, A.Y. The green, blue and grey water footprint of crops and derived crop products. Hydrol. Earth Syst. Sci. 2011, 15, 1577–1600. [Google Scholar] [CrossRef]
- Lampayan, R.M.; Rejesus, R.M.; Singleton, G.R.; Bouman, B.A.M. Adoption and economics of alternate wetting and drying water management for irrigated lowland rice. Field Crops Res. 2015, 170, 95–108. [Google Scholar] [CrossRef]
- Silalertruksa, T.; Gheewala, S.H.; Mungkung, R.; Nilsalab, P.; Lecksiwilai, N.; Sawaengsak, W. Implications of Water Use and Water Scarcity Footprint for Sustainable Rice Cultivation. Sustainability 2017, 9, 2283. [Google Scholar] [CrossRef]
- Iriarte, J.; Elliott, S.; Maezumi, S.Y.; Alves, D.; Gonda, R.; Robinson, M.; de Souza, J.G.; Watling, J.; Handley, J. The origins of Amazonian landscapes: Plant cultivation, domestication and the spread of food production in tropical South America. Quat. Sci. Rev. 2020, 248, 106582. [Google Scholar] [CrossRef]
- Recktenwalt, F.; Moraes, F.; Pereira, M. Water footprint of irrigated rice in the state of Rio Grande do Sul, 2019/2020 crop2023. Environ. Monit. Assess. 2023, 195, 1532. [Google Scholar] [CrossRef]
- Hidalgo Burga, X.A.; Mauricio Gutierrez, L.E.; Campos Vasquez, N. Determination of the Impact of Water Footprint on Rice Crops in Northern Peru. In Proceedings of the 22nd LACCEI International Multi-Conference for Engineering, Education, and Technology: Sustainable Engineering for a Diverse, Equitable, and Inclusive Future at the Service of Education, Research, and Industry for a Society 5.0, San Jose, Costa Rica, 17–19 July 2024. [Google Scholar] [CrossRef]
- Johnson, J.-M.; Becker, M.; Kaboré, J.E.P.; Dossou-Yovo, E.R.; Saito, K. Alternate wetting and drying: A water-saving technology for sustainable rice production in Burkina Faso? Nutr. Cycl. Agroecosystems 2024, 129, 93–111. [Google Scholar] [CrossRef]
- Chenoweth, J.; Hadjikakou, M.; Zoumides, C. Quantifying the human impact on water resources: A critical review of the water footprint concept. Hydrol Earth Syst. Sci. 2014, 18, 2325–2342. [Google Scholar] [CrossRef]
- Qi, D.; Wu, Q.; Zhu, J. Nitrogen and phosphorus losses from paddy fields and the yield of rice with different water and nitrogen management practices. Sci. Rep. 2020, 10, 9734. [Google Scholar] [CrossRef] [PubMed]
- Zheng, S.; Ni, K.; Chai, H.; Ning, Q.; Cheng, C.; Kang, H.; Ruan, J. Comparative research on monitoring methods for nitrate nitrogen leaching in tea plantation soils. Sci. Rep. 2024, 14, 20747. [Google Scholar] [CrossRef] [PubMed]
- Rajbonshi, M.P.; Mitra, S.; Bhattacharyya, P. Agro-technologies for greenhouse gases mitigation in flooded rice fields for promoting climate smart agriculture. Environ. Pollut. 2024, 350, 123973. [Google Scholar] [CrossRef] [PubMed]
- Farstad, M.; Melås, A.M.; Klerkx, L. Climate considerations aside: What really matters for farmers in their implementation of climate mitigation measures. J. Rural. Stud. 2022, 96, 259–269. [Google Scholar] [CrossRef]
- Amarasinghe, U.A.; Smakhtin, V. Water productivity and water footprint: Misguided concepts or useful tools in water management and policy? Water Int. 2014, 39, 1000–1017. [Google Scholar] [CrossRef]
- Liu, Z.; Xu, D.; Wang, R.; Guo, X.; Song, Y.; Wang, M.; Cai, Y. Effects of Temperature Fluctuations on the Growth Cycle of Rice. Agriculture 2025, 15, 99. [Google Scholar] [CrossRef]
- CGIAR. CGIAR Research Program RICE contributions to the United Nations Sustainable Development Goals. Available online: https://ricecrp.org/wp-content/uploads/2017/03/RICE-and-SDGs.pdf (accessed on 27 February 2025).




| Treatment | NTS (Units) | PH (cm) | NPS (Units) | PL (cm) | PF (%) | FY2 (t∙ha−1) |
|---|---|---|---|---|---|---|
| T1 | 16.45 ± 0.48 ns | 120.32 ± 3.48 ns | 11.67 ± 0.83 ns | 31.70 ± 0.68 ns | 82.67 ± 2.06 ns | 7.91 ± 0.50 ns |
| T2 | 15.92 ± 0.36 ns | 118.21 ± 2.91 ns | 12.27 ± 0.85 ns | 32.05 ± 1.56 ns | 83.00 ± 2.19 ns | 7.82 ± 0.80 ns |
| T3 | 16.45 ± 1.51 ns | 119.22 ± 4.03 ns | 12.00 ± 0.56 ns | 30.67 ± 0.94 ns | 81.89 ± 2.19 ns | 7.14 ± 0.86 ns |
| Treatment | WLV_2 (%) | BG2 (%) |
|---|---|---|
| T1 | 0.53 ± 0.3 ns | 1.34 ± 0.38 ns |
| T2 | 0.9 ± 0.52 ns | 2.34 ± 1.39 ns |
| T3 | 1.21 ± 0.71 ns | 2.52 ± 1.4 ns |
Disclaimer/Publisher’s Note: The statements, opinions and data contained in all publications are solely those of the individual author(s) and contributor(s) and not of MDPI and/or the editor(s). MDPI and/or the editor(s) disclaim responsibility for any injury to people or property resulting from any ideas, methods, instructions or products referred to in the content. |
© 2025 by the authors. Licensee MDPI, Basel, Switzerland. This article is an open access article distributed under the terms and conditions of the Creative Commons Attribution (CC BY) license (https://creativecommons.org/licenses/by/4.0/).
Share and Cite
Flores-Marquez, R.; Bahia, R.d.C.; Arévalo-Aranda, Y.; Torres-Chávez, E.E.; Guevara, J.; Antezana, A.; Carranza, A.; Lao, C.; Solórzano-Acosta, R. Intermittent Rainfed Rice var. INIA 516 LM1: A Sustainable Alternative for the Huallaga River Basin. Water 2025, 17, 1262. https://doi.org/10.3390/w17091262
Flores-Marquez R, Bahia RdC, Arévalo-Aranda Y, Torres-Chávez EE, Guevara J, Antezana A, Carranza A, Lao C, Solórzano-Acosta R. Intermittent Rainfed Rice var. INIA 516 LM1: A Sustainable Alternative for the Huallaga River Basin. Water. 2025; 17(9):1262. https://doi.org/10.3390/w17091262
Chicago/Turabian StyleFlores-Marquez, Ricardo, Rita de Cássia Bahia, Yuri Arévalo-Aranda, Edson Esmith Torres-Chávez, Jonathan Guevara, Abner Antezana, Antoni Carranza, Ceila Lao, and Richard Solórzano-Acosta. 2025. "Intermittent Rainfed Rice var. INIA 516 LM1: A Sustainable Alternative for the Huallaga River Basin" Water 17, no. 9: 1262. https://doi.org/10.3390/w17091262
APA StyleFlores-Marquez, R., Bahia, R. d. C., Arévalo-Aranda, Y., Torres-Chávez, E. E., Guevara, J., Antezana, A., Carranza, A., Lao, C., & Solórzano-Acosta, R. (2025). Intermittent Rainfed Rice var. INIA 516 LM1: A Sustainable Alternative for the Huallaga River Basin. Water, 17(9), 1262. https://doi.org/10.3390/w17091262

