Abstract
For the first time in research literature, this report presents the seasonal changes of total organic carbon (TOC), total nitrogen (TN), and TOC:TN ratio in Chernozem solum (0–100 cm) as effected by 14 years of application of conventional tillage (CTu), deep reduced tillage (DRTu), and reduced tillage (RTu) under barley growing. During the season, TOC content drastically declined in the spring, increased in the summer, decreased in the middle of August, and recovered in October. TN content was gradually decreased during a crop growing season and renewed in the autumn. A trend of TOC:TN changes (vertical peak curve) in 0–30 cm soil layer varied from TOC (S-shaped curve) and TN (unsymmetrical decayed curve). The amplitude of seasonal TOC and TN changes in deeper layers was far fewer related to the upper horizons. The highest amplitude in 0–30, 30–60 and 60–100 cm layers was under: DRTu, CTu, DRTu—for TOC and DRTu, CTu, RTu—for TN correspondently. Tillage practices differently stratified the content of organic carbon and nitrogen in Chernozem profile. Minimum tillage benefited TOC sequestration in 0–5 and 5–10 cm layers: 24.83 ± 0.64- and 24.65 ± 0.57 g kg−1—under RTu, 24.49 ± 0.62- and 24.71 ± 0.47 g kg−1—under DRTu, while CT—deeper than 20 cm: 22.49–15.03 g kg−1. The vertical distribution of TN content repeated TOC trend. TOC:TN ratio upraised from 12.60 in 0–5 to 14.33 in 80–100 cm layer and was the highest in summertime. A total (0–100 cm) profile was much greater under RTu and DRTu—for TN, and CTu, DRTu—for TOC. The correlation coefficient (r) was almost negligible between TOC and: T (air temperature), P (precipitation) and W (soil moisture). The strong and very strong r was found for TN—W, and P—W pairs. The negative r was between: TOC–P, TN–P, TOC:TN-W, TOC:TN–T and P–W pairs.
1. Introduction
The global warming trend has increased during the 20th to 21st centuries. Climatic impact-drivers in the temperate regions of the European continent (mean surface temperature, extreme heat, cold spell, mean precipitation, aridity, hydrological drought, agricultural and ecological drought, fire weather, mean wind speed, sand and dust storm, hails, atmospheric CO2 at the surface) influences organic carbon and nitrogen scenarios. Solar radiation, climate and atmospheric chemistry modification affect the organic carbon/nitrogen cycles depending on the change of individual factors, and interactions among them [1]. The human-induced increase in surface temperature, bounded with global warming, substantially influences an extra mineralization and oxidation both specific and non-specific substances of SOM (Soil Organic Matter). Organic carbon and nitrogen are the main components of these fractions. Soil conservation approaches have the potential to sequester CO2 and molecular N from the atmosphere. The interannual processes of TOC and TN sequestration and mineralization on the background of conservation barley growing are studied in this manuscript.
In natural and anthropogenic ecosystems, the geobiochemical dynamics of carbon and nitrogen are closely linked. The nitrogen cycle in the soil includes the processes of its input, transformation (oxidation and reduction, nitrogen fixation, nitrification, denitrification, assimilation, mineralization), emission into the atmosphere, and leaching downward through the soil. The carbon cycle in the soil combines such processes as the addition of carbon to plant biomass as a result of photosynthesis, entry of organic carbon into the soil with surface and underground mortmass, with exudates and diffusates of plants, stabilization of the composition of humic substances assimilation of CO2 of ground air by heterotrophic microorganisms, emission of CO2 into the atmosphere, etc. [2]. TOC and TN, being the components of humus, are part of a balanced cyclic ecological system, the functioning of which is determined by natural daily, seasonal, annual, and perennial cycles. The natural seasonal fluctuations of TOC and TN changes are destroyed under the anthropogenic influence and become irregular in the conditions of agrocenoses.
The presence of stabilized specific humic fractions in the SOM structure inhibits the release of organic substances into the environment and makes the SOM comparatively persistent to changes. The cycle of the functioning of soil organic carbon compounds can last from several minutes to millennia [3]. According to Chen et al. [4], Powlson et al. [5], Blair et al. [6], and Galantini and Rosell [7] changes in total organic carbon (TOC) content are primarily related to the carbon dynamics of labile humus fractions, such as microbial biomass (MBA), particulate organic carbon (POC), dissolved organic carbon (DOC), water and permanganate oxidizable extractable carbon. The rate of the organic carbon cycle in soils decreases from the fraction of free “light” humus substances (FLF) to the occluded (OLF) and heavy fractions (HF) specific humus substances [8,9,10,11,12,13,14,15].
The dynamics of nitrogen in soils are determined primarily by the nitrogen of mineral compounds, the content of which ranges from 1 to 2.5% of total soil nitrogen. In chernozems, the nitrogen content of slightly hydrolyzed compounds is 5–9%, heavily hydrolyzed—13–28%, non-hydrolyzed—70–80% [16]. Mineral nitrogen is formed mainly as a result of the transformation of macromolecular organic compounds in humus into mineral monoforms with the participation of microorganisms and enzymes [17]. Nitric oxide (I) emits N2O into the atmosphere as a result of denitrification and nitrification [18]. According to Novikov, the largest amount of nitrate and ammonium nitrogen accumulates in spring and autumn due to reduced nitrification—ammonification processes and maximum nitrogen consumption by plants and microorganisms in the summer. The gross nitrogen content in chernozems can change by 18–26% during the growing season.
The dynamics of changes in TOC:TN in soils determine the direction of the processes of humification-mineralization, oxidation-reduction, synthesis, and destruction of soil organic compounds. The TOC:TN ratio < 10 is dominated by the processes of mineralization and nitrification, leaching of nitrates in soils, TOC:TN > 25–30—nitrogen is temporarily removed from the small biological cycle, immobilized by microorganisms, adsorbed by minerals, and incorporated into stabilized soil microaggregates.
As an integral part of the crop production process, soil tillage has a direct influence on seasonal fluctuations of TOC and TN [19,20]. Six et al. [21], Beare et al. [22], Wander and Yang [23] have reported that tillage practices affect the turnover of organic C and N depending on their location within the soil matrix. Plowing creates oxidative conditions in the upper soil layer that leads to increasing decomposition rates of the soil organic matter, mainly the aliphatic part of the humic acids (HA) [24]. Bayer et al. [25] determined increased rates of SOM decomposition under conventional tillage by 1.86 times compared to no-till. The reduced tillage effect on SOM decomposition rates in heavy textural soils was revealed by Brazil [26], because of associated with clay and colloidal particles SOM [27]. The data presented by Kirschbaum [28], Sanderman and Amundson [29], Trumbore et al. [30] showed that SOM decomposition rates increase exponentially with increasing temperature, but will be moderated if moisture becomes limiting.
High decomposition rates of SOM affected by conventional tillage in temperate climatic zone leads to the intensive transformation of organic N compounds into an inorganic N starting point for potential losses of N [31]. The mineralization occurs largely through increased moisture, temperature, and biology conditions [32,33,34] and resulted in rapid conversion of NH4+ into NO3− through nitrification by chemoautotrophic microorganisms [35,36]. Soluble NO3-N is readily leached then from soil profile decreasing the amount of available for plant uptake nitrogen [37,38,39]. Both Wu et al. [40] and Stevens et al. [41] have reported, that a corn taken-up 87 and 50–90% of N from soil correspondently. The amount of available N is also reduced in soils during plant residues decomposition; it usually happens after harvesting time, when plant remains, having a high C/N ratio, are transformed by microorganisms, which assimilate inorganic soil N for increasing their biomass. Minimum tillage practices increase soil aggregation and the formation of stabilized organic N within microaggregates [42], preventing N leaching by runoff and infiltrated waters. Moldboard plowing, on the contrary, enhances soil drying and warming, disrupts soil aggregates, increases oxygen diffusion, exposes physically protected organic N to microbial attack resulting in faster turnover rates [43,44].
Up-to-date agricultural practices are headed to receive a higher income from increasing crop yields but unfortunately, they often do not take into account changes in pedogenesis influenced by agriculture. Understanding TOC, and TN pools changes during a growing season as affected by soil/climate/crop/tillage/fertilizer systems are quite important for strategic sustainable management in resilient agriculture. Before now, nobody has been studied the quantifying of the relationship between TOC/TN and climate parameters at a depth of 0–60 cm in the temperate zone of Ukrainian Mollisols. So, in this study, our objectives were to quantify the seasonal changes of TOC and TN content in different Mollisol layers as affected by climatic factors as well as a long-term use of conventional and conservational tillage under barley growing. We hypothesized that the conservation tillage on the background of straw application would stratify the content of TOC and TN in upper soil layers, increase the synthesis/immobilization of TOC and TN substances in a dry summertime, decrease TOC:TN ratio, and supply an optimum level of TN nutrition for barley growing.
2. Materials and Methods
2.1. Experimental Design
The study site was established in 1998 near the town Velykosnyatynka (lat. 50°5′ N, long. 30°2′ E), Kyiv region by the Soil Science and Soil Conservation Department of the National University of Life and Environmental Sciences of Ukraine. The field site is located in the Forest-Steppe zone of Ukraine in a temperate climate with an average annual temperature—(+)7.9 °C, mean annual precipitation—588 mm. During the last decade, an extreme minimum temperature was (−)28.3 °C in 12 February 2012 and an extreme maximum temperature was (+)37.6 °C in 8 August 2010. The annual average available accumulated temperature (>10 °C) is 2750 °C. Weather conditions during the growing season are presented in Figure 1 and Figure 2. Tillage treatments included conventional tillage (Ctu) based on deep plowing (25–30 cm) and two soil conservation tillage based on the deep reduced tillage (DRTu) to a depth of 25–30 cm and reduced tillage (RTu) to a depth of 10–12 cm.
Figure 1.
Rainfall conditions from April to October 2012–2014 at the Velykosnyatynky research station.
Figure 2.
Temperature conditions from April to October 2012–2014 at the Velykosnyatynky research station.
Each treatment was replicated three times for a total of 15 plots. Each tested plot was 6 m wide and 30 m long. Spring barley was grown (grain corn was a precursor) in 2012, 2013 and 2014 (three plot repeats) in crop rotation made up of soybean (N60P68K68 kg ha−1), winter wheat (N50 + N40P68K68 kg ha−1), grain corn (N120P90K90 kg ha−1), spring barley (N45P45K45 kg ha−1), grain corn (N120P90K90 kg ha−1), soybean (N60P68K68 kg ha−1) and spring barley (N45P45K45 kg ha−1). The fertilizers supplied were: NH4NO3, (CaH2PO4)2 × H2O + 2CaSO4 × 2H2O, KCl. The winter wheat straw with an annual application of a straw at a rate of 1.2 t ha−1 was incorporated into a soil by the main tillage operation in the autumn after grain corn harvesting. The soil was classified as a Haplic Chernozem according to the FAO Soil Classification, Typical Chernozem in Ukrainian Soil Classification [45], a Black Chernozem according to the Canadian system of soil classification [46], or a Mollisol according to the USDA Soil Classification [47,48]. According to Ukrainian soil texture classification, the soil was classified as medium loam with 67.76% physical sand (Σ > 0.01%), and 32.24% of physical clay (Σ < 0.01%) (Table 1). The bulk density was 1.14–1.29 Mg m−3, soil pH—6.7–6.9, cation exchange capacity—29.8 meq 100 g−1, base saturation percent—95.8%, content of available N, P and K: 79.5, 69.0, and 53.4 mg kg−1 respectively.
Table 1.
Major properties of Typical Mollisol.
2.2. Sampling and Measurement
For TOC-TN analysis, soil samples (three cores per composite samples) were randomly taken from 0- to 5-, 5- to 10-, 10- to 20-, 20- to 30-, 30- to 40-, 40- to 60 cm depths during April–October. Soil samples were air-dried and ground to pass through a 1-mm sieve. Soil moisture was determined by drying subsamples at 105 °C for 7 h. A portion of each sample was ground to pass through a 0.25-mm sieve to determine the TOC content. The latter the total organic carbon and total nitrogen were determined using an automated Variomax CNS-analyzer (Elementar Analysesysteme, Langenselbold, Germany) [49].
2.3. Statistical Analysis
The IBM SPSS Statistics for Windows v. 20.0 (© SPSS, Chicago, IL, USA) was used for all of the statistical analyses. Means and standard errors were calculated for each measured parameter, tillage system, sampling depth, and date. The t-test was performed to search for statistical differences between values at a 0.05 significance level. For the correction for multiple comparisons was used the Bonferroni method applied to a one-way ANOVA analysis. A confidence interval α0.01 was computed to compare a range of dynamic variables. SigmaPlot for Windows Version 14.0 (2017 Systat Software, Inc., Chicago, IL, USA) was used for drawing all figures. Plot type was: Multiple Error Bars, Data format: Category, Many Y.
3. Results
3.1. Soil Organic Carbon Changes
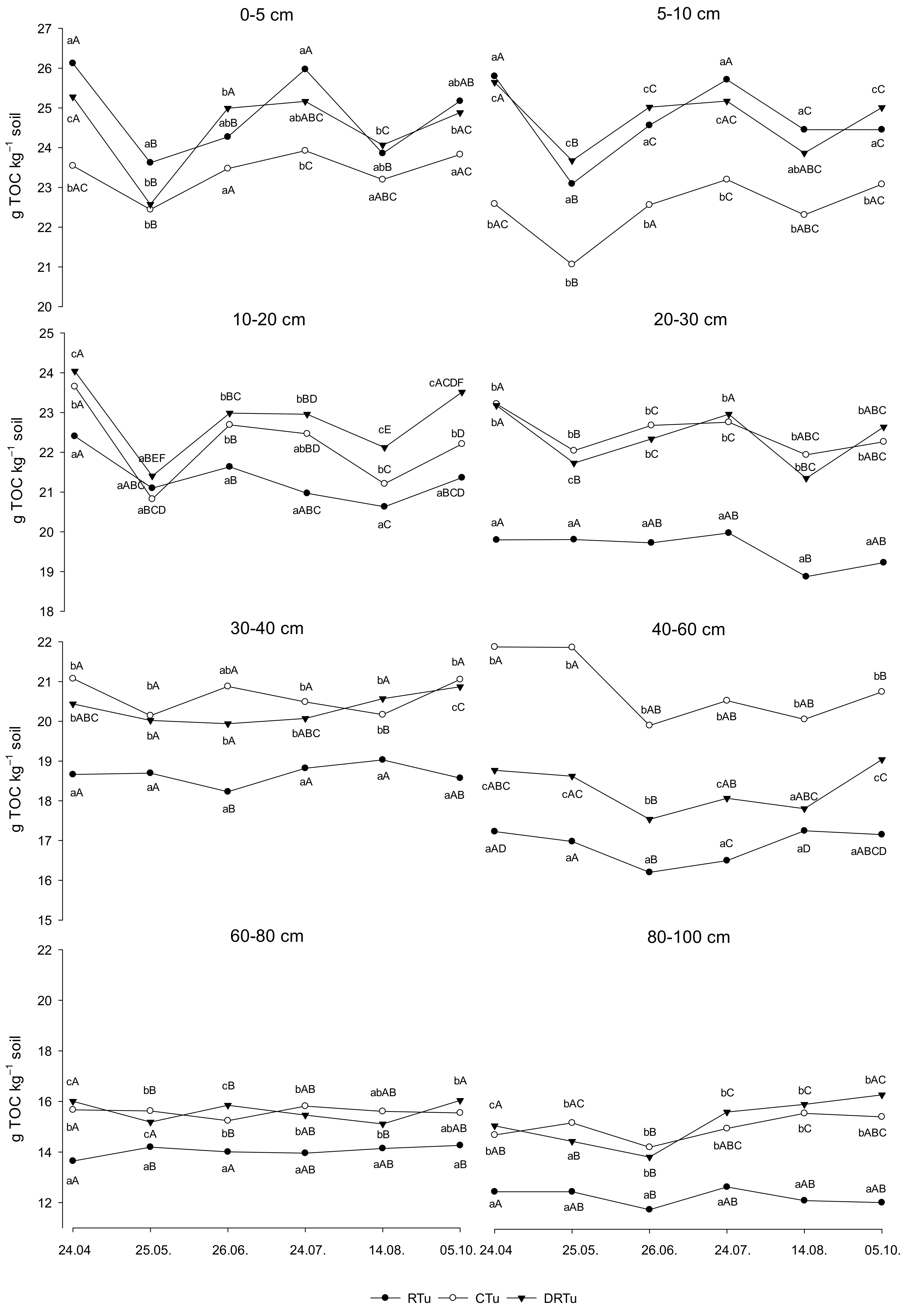
Different soil tillage has affected TOC stratification in the chernozem profile (Figure 3). TOC (g kg−1) content before crop growing period was higher under minimum tillage in the 0–5, 5–10, 10–20, 20–30, 60–80 and 80–100 cm layers: 26.1 ± 0.21—at RTu, 25.6 ± 0.1—at DRTu, 24.0 ± 0.16—at DRTu, 23.2 ± 0.07—at DRTu, 23.2 ± 0.08 and 1.50 ± 0.01 correspondingly. Plowing tillage has benefited TOC content (g kg−1) in the 30–40 and 40–60 cm layers: 21.0 ± 0.15 and 21.9 ± 0.05. During 24 April–25 May there was the largest decrease in TOC content during the growing season (g kg−1): by 2.70 ± 0.07 and 1.97 ± 0.04—at DRTu 2.50 ± 0.6 and 2.71 ± 0.6—at RTu in the 0–5 and 5–10 cm layers, by 2.8 ± 0.26—at CTu in the 10–20 cm layer. The amplitude of TOC content changes in the 20–60- and 60–100 cm layers was 1.9–17.3 and 1.07–7.38 times lower than in the 0–10 cm layer. During 25 May–24 July TOC content (g kg−1) has been gradually increased in the 0–30 cm layer with the highest parameters at RTu in 0–5- and 5–10 cm layers: 25.9 ± 0.16 and 25.6 ± 0.16, at DRTu—in the 10–30 and 80–100 cm layers: 22.9 ± 0.15 and 15.60 ± 0.01, at CTu in the 30–40, 40–60 and 60–80 cm layers: 20.8 ± 2.71, 20.5 ± 0.63 and 15.82 ± 0.03. During the last summer month, TOC content was dropped and recovered in October.
Figure 3.
TOC content changes in the 0–5, 5–10, 10–20, 20–30, 30–40, 40–60, 60–80 and 80–100 cm layers across the growing season under 14 years of continuous application: reduced tillage (RTu), conventional tillage (Ctu) and deep reduced tillage (DRTu). The plant was barley. Mean values by different lowercase letters demarcate a significant difference among different tillage adjustments within the same sampling time (significant differences a = 0.05). Mean values by different capital letters demarcate a significant difference among different sampling periods (significant differences a = 0.05).
3.2. Total Nitrogen Changes
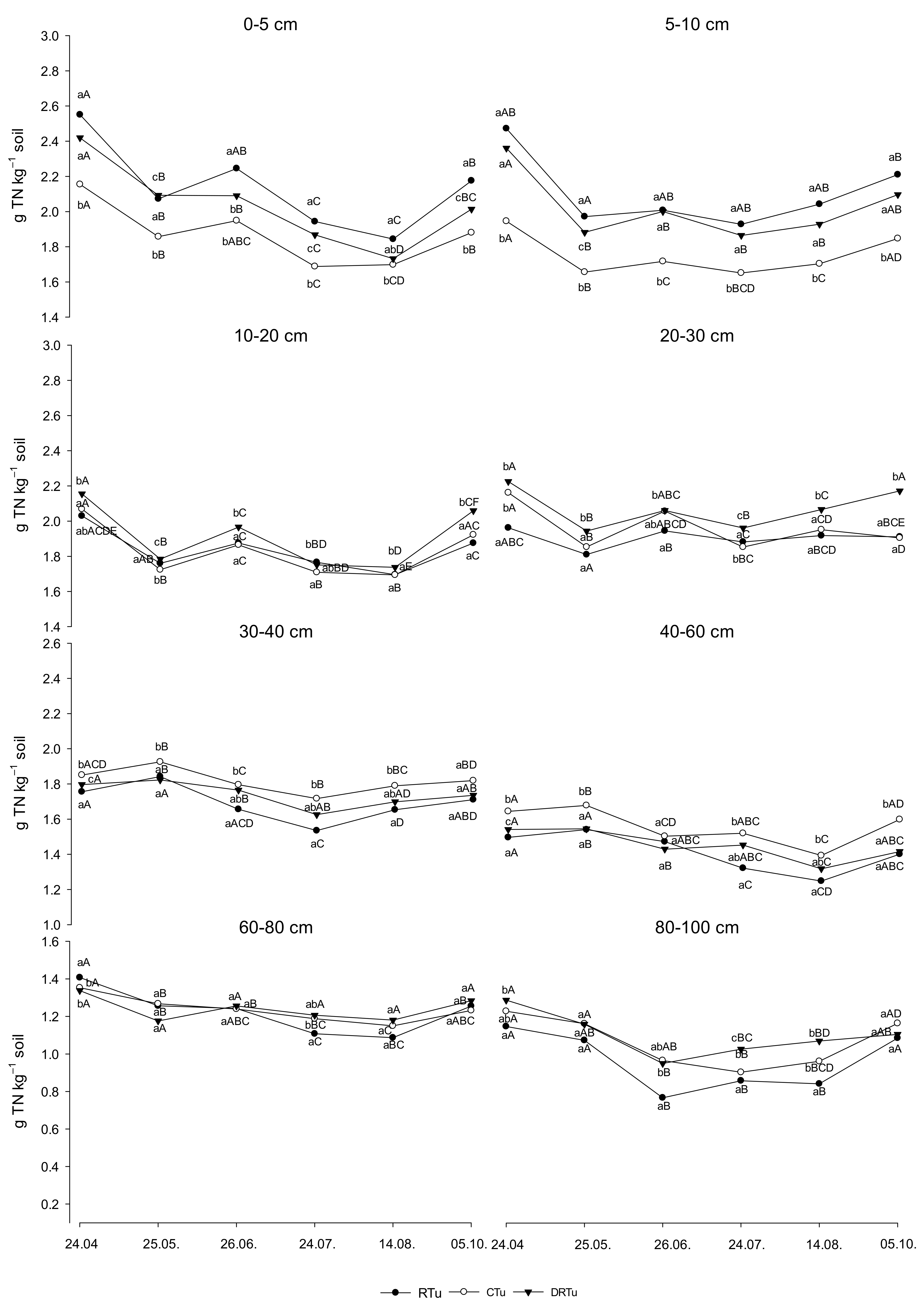
Seasonal changes of TN varied from TOC dynamics: TN content had gradually decreased from April to August and recovered in October (Figure 4). A a temporary increased pick of TN content was also found on 26 June. Before the start of the barley growing season, the highest content of TN (g kg −1) in the 0–10 cm layer was by RTu (2.6 ± 0.17), in the 20–40 and 80–100 cm layers by DRTu (2.2 ± 0.04 and 1.29 ± 0.02), in the 40–60 and 60–80 cm layers for CTu (1.8 ± 0.02 and 1.36 ± 0.01). During 24.04–25.05 in the 0–30 cm layer there was the largest decrease in TN content during the growing season: 0.5 ± 0.08—for RTu in the 0–10 cm layer, 3.8 ± 0.02—for DRTu in the 10–20 cm layer, 0.3 ± 0.02—for CTu in the 20–30 cm. In the 30–60 cm layer, there was a slight increase in TN content during this period for all tillage methods. From 25.05 to 26.06. the content of TN (g kg−1) increased with the maximum values for: RTu (2.1 ± 0.07)—in the layer 0–10 cm, RTu (2.0 ± 0.04)—in the layer 10–20 cm, and CTu (2.1 ± 0.09)—in a layer of 20–30 cm, respectively. In the 30–40 cm layer, the TN content decreased from May to June–July and was restored in August–October. At the depths of 40–60- and 80–100 cm, there was a slight increase in TN in July. During August–October, the TN content increased for all layers and all tillage options.
Figure 4.
TN content changes in the 0–5, 5–10, 10–20, 20–30, 30–40, 40–60, 60–80 and 80–100 cm ranges across the growing season under 14 years of continuous application: reduced tillage (RTu), conventional tillage (Ctu) and deep reduced tillage (DRTu). The plant was—barley. Mean values by different lowercase letters demarcate a significant difference among different tillage adjustments within the same sampling time (significant differences a = 0.05). Mean values by different capital letters demarcate a significant difference among different sampling periods (significant differences a = 0.05).
3.3. TOC:TN Changes
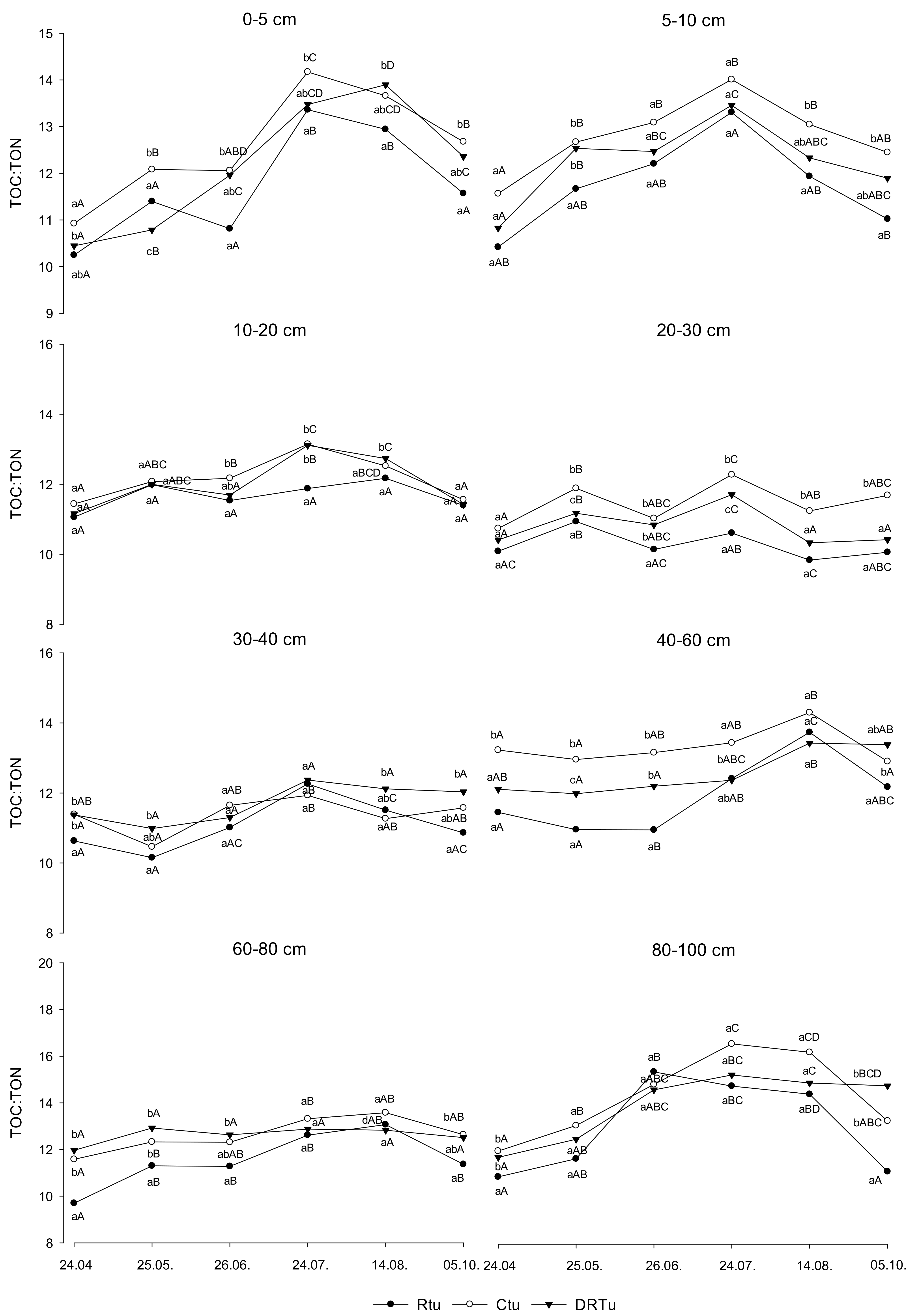
The TOC: TN ratio at all depths increased from April to Summer time and decreased in October (Figure 5). At a depth of the 20–30 cm TOC:TN ratio increased maximally in July, decreased in August and increased in October. On average during the growing season TOC: TN ratio was the lowest for RTu (11.43) and DRTu (11.92) and the highest—for CTu (12.30), and the highest amplitude of changes in TOC: TN ratio in the 0–5 cm layer was by RTu in June–July (2.54 ± 0.317), in the 5–10 cm layer—by DRTu in April–May (1.71 ± 0.11), in the 10–20 cm layer—by RTu in June–July (1.42 ± 0.11), in the 20–30 cm layer by DRTu in July–August (1.71 ± 0.11), in the 30–40 cm layer—by RTu in June–July (1.25 ± 0.76), in the 40–60, 60–80 and 80–100 cm layers—by RTu in August-October (1.56 ± 0.04, 1.746 ± 0.94 and 3.14 ± 1.9), respectively.
Figure 5.
TOC:TN ratio changes in the 0–5, 5–10, 10–20, 20–30, 30–40, 40–60, 60–80 and 80–100 cm layers across the growing season under 14 years of continuous application: reduced tillage (RTu), conventional tillage (Ctu) and deep reduced tillage (DRTu). The plant was barley. Mean values by different lowercase letters demarcate a significant difference among different tillage adjustments within the same sampling time (significant differences a = 0.05). Mean values by different capital letters demarcate a significant difference among different sampling periods (significant differences a = 0.05).
4. Discussion
4.1. A Climate Effect on TOC and TN Dynamics
TOC and TN dynamics is controlled by many factors, but climate, mainly temperature and moisture, is one of the fundamental. A limitation of observational studies on this topic was devoted in the research literature. The data Alvarez and Lavado [50] showed that SOM content in a solum significantly submerged with the precipitation and temperature. Studies Cenkseven et al. [51] reported that soil temperature and moisture are driving factors in carbon and nitrogen mineralization. González-Domínguez et al. [52] didn’t find a significant effect of temperature and precipitation on TOC. They indicated that TOC behavior, as a part of the Earth System Model, might have been acclimated over long timescales, while short time research may only define the changes of fresh readily available TOC. Moyano et al. [53] revealed that water appears to be more important than the temperature for the turnover of the TOC fractions. Soil moisture intensively affects TOC transformation through soil aeration, substrate supply, and microbial activity. Soil temperature governs the soil physical, chemical and biological processes influencing thus TOC and TN dynamics [54]. The study Fang et al. [55] have shown, that the higher temperature treatment significantly increased (63.4–102.6%) the SOC decomposition. Other observations have approved the statement mentioned by Fang et al. [55] that increased temperature stimulate SOC decomposition [56]. Azlan et al. [57] thinks, that seasonal relationship between climatic parameters and organic carbon and nitrogen on a large scale is relatively weak.
The problem of seasonal changes in soil organic matter is one of the most controversial in the modern scientific literature [58]. The vast majority of scientists, according to Stanford and Smith [59] and Campbell et al. [60] study TOC, and TN in samples taken once per year, without taking into account their possible seasonal changes. To quantify the potential influence of temperature and moisture on TOC and TN dynamics, it is important to identify the key factors regulating its relationships by terrestrial biosphere. On a field scale the main factors controlling TOC and TN changes are: organic and inorganic fertilization, soil water balance in vadose zone, soil temperature regime, microbiological activity, agricultural management practices, soil erosion, etc. The ecological deterioration of soil temperature and water regimes can diminish the capacity of the soil to accumulate organic carbon and nitrogen [61].
Regarding to our observations TOC and TN mineralization/synthesis (Figure 3 and Figure 4) were going along with the air temperature-precipitation changes between sampling points (Figure 1 and Figure 2). There was also a high confidence of a soil moisture dependance on rainfalls (Table 2). We hypothesis that TOC and TN content represents a result of a soil—environmental interaction in a specified period. The mean data in the Figure 6 displays the sum of precipitations for 2012–2014 per certain period of study divided by the total number of days in this period. That approach allowed to get a rainfall curve which was similar to TOC one. The temperature trend differed from TOC and TN curves. In spite of TOC and rainfall trends resemblance, there were found a few correlated interactions between these parameters because there were compared a large amount of volatile climatic indexes with TOC data from six sampling dates. The correlation coefficient was mainly negligible and weak between TOC and abiotic parameters. In some cases, according to the “Chaddock Scale”, correlation coefficient (r) was moderate (0.50–0.70) and strong (0.70–0.90) for: Rtu (−0.746 and −0.731)—in the 0–5 and 10–20 cm layers between.
Table 2.
Spearman’s correlation coefficients between soil and climatic parameters.
Figure 6.
Mean rainfall and temperature parameters during different seasonal periods at the Velykosnyatynky research station, 2012–2014.
TOC and P; Rtu (0.629) and DRtu (0.839)—in the 10–20-cm layer between TOC and W (soil moisture); Rtu (0.690), CRtu (0.676) and DRtu (0.606)—in the 40–60-cm layer between TOC and W. The correlation coefficient was negligible between T and soil-climatic parameters at all layers. The descending trend of TN content negatively correlated with P (−0.58 and −0.854) and positively with W (0.572–0.979). The “negligible” r coefficient between TN, R and W was mainly in 0–5 and 20–30 cm layers. The dependance of TOC:TN was the highest in 5–10 cm layer: 0.727, 0.772 and 0.556—for P at Rtu, CTu and DRTu and −0.907, −0.872 and −0.907 for W at Rtu, CTu and DRTu, correspondently. The strong and very strong negative correlation was found for the P–W pair. The r coefficient for this interaction was: −0.746, −0.790, −0.739—in 0–5 cm; −0.865, −0.781, −0.825—in 5–10 cm; −0.839, −0.865, −0.895—in 10–20 cm; −0.877, −0.930, −0.956—in 20–30 cm; −0.886; −0.823, −0.907—in 30–40 cm; 0.809, −0.615 and 0.888—in 40–60 cm soil layers at Rtu, CTu and DRTu respectively. So, the highest dependance was found between: P–W, TN-P–W and TOC/TN-P–W in 5–10 cm layer. The lowest values of r coefficient were between TOC–P/W parameters.
4.2. Seasonal Changes of TOC, TN and TOC:TN
The research literature reveals a large number of studies devoted to measuring of emitted carbon or carbon in microbial biomass, but very few of them analysing TOC, TN and TOC:TN changes during a crop growing period. The following studies report substantial seasonal variation in total organic carbon and nitrogen. It is commonly well-known that SOM consists of a large group of stabile specific humic substances [62]. On the other hand, tillage practices accelerate the decomposition of organic carbon (OC) and nitrogen (ON) from: TOC, TN, labile OC and ON, POC, DOC, FLF, MBA and alkali-hydrolysable N (AN), ammonium N (NH4 + -N) and nitrate N (NO3 + -N) N pools [3,4,5,6,7,63]. Our previous studies on Ukrainian chernozem support an above-mentioned statement. We reported that TOC seasonal changes were resulted by the rapid fluxes of easy-to-change OC components of humus [64]. That TOC seasonal changes could be described by an S-shaped curve, while an unsymmetrical decayed vertical curve is more appropriable for TN dynamics (Figure 3 and Figure 4). At the start of the growing season, the content of TOC and TN depended on the following factors: the processes of transformation of plant material during the autumn–winter–spring period, considering microclimatic conditions, agricultural techniques, soil processes, the activity of living organisms, etc. [62,65]. Minimum tillage influenced higher TOC, and TN accumulation in the 0–30 cm soil layer, while conventional tillage benefited in the 30–60 cm layer. TOC: TN ratio in this period was the lowest for the vegetation in the 0–30 cm layer, and was: 10.26–11.79—for RTu, 10.74–12.28—for DRTu, and 11.47–12.81 for CTu, respectively.
Spring. From April 24 to May 25, there was a significant decrease in the content of TOC and TN compared to the pre-sowing condition (Figure 3 and Figure 4). Kuprichenkov [66] considers that this occurred is due to the intensity of oxidation processes (induced by tillage) against the background of optimal conditions of humidity and temperature. A spring descending trend in soil organic C was more evident for RTu and DRTu in 0–10 cm layer and CT—in 10–40 cm layer. The amplitude of TOC and TN changes is responsive to the quantity of labile OC and ON pool [63]. Usually, in temperate zone of Ukrainian chernozems, minimum tillage increases the amount of labile humus fractions; this phenomenon was discovered during our trials at a long-term experimental site on a Haplick Chernozem in the Poltava region of Ukraine over a 10-yr period from 1996 to 2006 [67]. There was found that conversion from conventional to reduced soil tillage systems increased the content of C in fulvic acids (FA) and alkali DOC, expanded super-molecular (>500 kDa) associations of HA contained hydrophilic aliphatic nitrogen-rich compounds, reduced the ratio of C in HA/FA. Salinas-Garcia et al. [68] based on a 10-year study found that the amplitude of seasonal changes in organic carbon by no-till was on average 16% greater than other tillage technologies, with the largest difference in the changes observed at the beginning of the growing season (64%) and the stage flowering (41%).
At the beginning of the growing season, under average daily air temperatures of more than 20 °C and 50–60% of the saturation, there is the most active release of mobilized soil nitrogen is observed of mobilized soil nitrogen and autotrophic mineralization of organic carbon compounds. According to Bulygin and others [69], CO2 emissions in the spring-summer period are 10–25 times higher than the corresponding emissions in the autumn period, and carbon emissions for virgin lands are 10–23 times higher than for the use of systematic plowing. Accelerated catabolic metabolism occurs with no-tillage technologies, against the background of the higher content of organic substrates necessary for depolymerization and intensive microbiological and enzymatic activity [70].
During the first two months after sowing, the content of TOC and TN decreases, the newly formed organic monomers are used by microorganisms, mineral compounds, and even amino acids [71] by plants. Part of the soil nitrogen is temporarily released from the biological cycle. The energy released during catabolism and biological monomers in the summer is used for the synthesis of humic compounds, polycondensation and aromatization reactions, the formation of complex associative complexes. According to Bonde et al. [72], mineralization losses of nitrogen at the beginning of the growing season are on average 55% higher than at the end of the growing season.
Summer. The summer season increases the processes of TOC and TN synthesis due to the action of high temperatures, solar radiation (ultraviolet radiation) and air oxidation occurs:—photolytic, enzymatic, physical and chemical catalysis of TOC compounds [73];—dehydrocondensation of phenols through the mechanism of free radicals;—non-exchangeable fixation of C-CO2 soil air into heterocyclic aromatic compounds of humic substances;—polycondensation and complexation of organic compounds of carbon and nitrogen, their irreplaceable fixation in microaggregates and entry into the recalcitrant (polyphenols, lignin, benzenecarboxylic acids);—oligo- and polymerization of polyphenols, pyrogallols, hydroquinones and catechins with their subsequent fixation in stable fractions of humic substances;—biomimetic synthesis of humic substances [74];—increasing the size of humic molecules by creating macromolecular polymers or supermolecular bio-monomers [75,76];—increasing the size of large fractions of dispersed organic matter [77,78] and water-resistant soil aggregates [79]. The reaction of the environment for the summer increases and resumes in the autumn. The TOC content in the upper layers of the soil increases from May to July and reaches its maximum values on 24 July with the highest values of DRTu and RTu in the upper layers and CTu—in the lower layers chernozem. The content of total nitrogen in the 0–30 cm layer of typical chernozem increased from May to June and decreased from June to July-August in the 30–60 cm layer. The TOC:TN ratio, similar to the dynamics of TOC content, also had a maximum amplitude on 24 July in the upper layers of typical chernozem with the highest CTu values. An increase in TOC content at the end of summer and a decrease in TN content were observed by Boitsova and Puhalsky [80], Kohut [81], Kuprichenkov [66], Salinas-Garcia et al. [68], Shao et al. [65], Feng et al. [82] and others.
During this period, mineral nitrogen, amino acid nitrogen, and nitrogen of organic monomers formed as a result of depolymerization of organic remains in the spring-summer period are added to the processes of soil organic matter synthesis. The presence of residues of barley straw (C:N = 80) in the soil led to intensive assimilation of nitrogen and carbon by microorganisms during this period; this process, according to our research, accelerated after the introduction of urea CO (NH2)2 in the spring-summer period. Nitrogen fertilization against the background of applied straw and green manure, according to Agren et al. [83], inhibits the destruction of soil organic matter, reduces soil CO2 emissions, improves the process of entry of non-specific organic substances into the composition of humic substances. Kvitkina et al. [84] determined that the high concentration of amide nitrogen in microzones temporarily inhibits nitrification, and promotes nitrogen immobilization by plants, microorganisms and humic substances.
Autumn. In the period from mid-August to early October, the TOC, and TN content was restored and the TOC:TN ratio decreased at almost all depths and for all tillage options. During this period, the average daily temperature decreased from +20.3 °C (14 August) to +5.3 °C (5 October), (Figure 2). After harvesting, in the autumn-winter period, carbon and hydrophilic organic components enriched in carbon formed during the decomposition of post-harvest residues combine with hydrophobic parts of humic substances and stabilize in dispersed and water-stable fractions of soil aggregate [85]. During the rainy season, newly formed humic substances, organogenic monomers, products of acid hydrolysis of nitrogenous substances (amino acids, amines, amides) move with gravitational water into the lower layers of the soil. Under anaerobic conditions, humic substances are combined with mineral components of the soil, there is the heterotrophic fixation of soil carbon dioxide, condensation of humic substances into macromolecular structures. In the upper soil horizons, about 90% of organic carbon is in the aggregates, including 20–40%—in microaggregates [86]. The newly created water-stable aggregates, TOC and TN, will be presented in the maximum number in the spring, before the start of the growing season [64].
4.3. TOC, TN and TOC:TN Stratigraphy
Ukrainian Chernozem was characterized by humus-accumulative type of soil profile—TOC and TN content were gradually descended downward the profile. Some remains of organic carbon and nitrogen were spotted in a parent material (a mole’s loess). Chernozems phenomena have been formed in the temperate climatic zone under the influence of a mild winter with a short freezing time, hot summer, short periods of droughts, unstable precipitation in the summertime and a deeP–Water penetration in an autumn–winter period. The typical vegetation (Steppe and meadow grasses altered with oak-maple-lime-hornbeam trees) annually delivers to Chernozem a big amount of above and ground biomass, enriching the soil profile with fresh organic matter. SOM in arable soils is submerged with tillage operations used for: seedbed preparation and weed control, loose compacted aggregates, mix and incorporate the residues and fertilizers within the tilled zone, optimizing soil moisture and aeration, etc. A moldboard plow inverts the furrow at least 135°, while a conservation non-inversion tillage reduces a soil disturbance, uprises and accumulates SOM and nutrients within a crop root system. Thus, minimum tillage, used in our trials, have benefited TOC sequestration in 0–5 and 5–10 cm layers: 24.83 ± 0.64- and 24.65 ± 0.57 g kg−1—under RTu, 24.49 ± 0.62- and 24.71 ± 0.47 g kg−1—under DRTu versus to 23.40 ± 0.31- and 22.44 ± 0.45 g kg−1—under CTu correspondently. The TOC content in 10–20 cm layer was higher under CTu and DRTu: 22.18 ± 0.60- and 22.84 ± 0.56 g kg−1. Under conventional tillage TOC content exceeded conservational practices deeper than 20 cm: 22.49–20.86 g kg−1—under CTu versus to 19.57–16.91- and 22.37–18.34 g kg−1—under RTu and DRTu respectively. The vertical distribution of TN content repeated TOC trend. The conservation tillage showed the advantages in TN accumulation in 0–10 cm layer (2.14–2.11 and 2.04–2.02 g kg−1—under RTu and DRTu), while CT sequestrate more total nitrogen in 30–60 cm layers: 1.82–1.56 g kg−1. A total (0–60 cm) profile was much greater under RTu and DRTu for TN, and CTu, DRTu—for TOC.
Carbon to nitrogen ratio is an important parameter, which characterizes humification—decomposition processes, SOM quality, nitrogen enrichment in humic substances, the presence of labile OM fractions. TOC:TN ratio means the amount of carbon relative nitrogen presented in molecules of organic substances. When TOC:TN ratio is a wide—carbon immobilization, synthesis of aromatic humus fractions occurs. The lower TOC:TN ratio indicates the intensity of formation the labile fractions, fresh residues mineralization and releasing of N. The studied chernozem acquired TOC:TN ratio within 10.28–13.37. Our results have found that lower TOC:TN values were mainly under RTu (10.28–11.98) and DRTu (10.81–12.61). Under conventional tillage TOC:TN ratio upraised from 12.60 in 0–5 to 13.37 in 40–60 cm layer. Generally, carbon to nitrogen ratio descended from 0–5 to 30–40 cm layer and increased towards 60–100 cm layer.
5. Conclusions
Numerous efforts of soil scientists are headed to measure TOC and TN changes in soils rely on soil samples having compared at the same time point. But soil organic carbon and nitrogen cycling are closely related through the seasonal driven processes. The small differences in timing (a week to several months), on the background of both abiotic and biotic factors, can trigger TOC and TN transformation affecting ecosystem services. At the same time, there is a lack of information in research literature describing the long-term tillage influence on the seasonal TOC and TN turnover in a Chernozem solum. Seasonal trials require extra human efforts in research fields and laboratories, special sampling skills, and extreme analytical precision. On the other hand, such findings may better explain an agrogenesis trend in a plowing layer and pedogenesis processes in a soil profile as a whole. The following studies, where a soil was sampled at different times of the year from 0–100 cm layer, report substantial variations in TOC, TN and TOC:TN ratio.
The seasonal dynamics of TOC, TN, and TOC:TN ratio in the 0–30 cm layer were higher under minimum tillage and could be described with three major types of vertical curves: S-shaped, unsymmetrical decayed, and peak correspondently. During a season, TOC content declined in the spring, increased in the summer, decreased in the middle of August, and recovered in October. TN content was gradually decreased during a crop growing season and renewed in the autumn. A TOC:TN trend (vertical peak curve) in 0–30 cm soil layer varied from TOC and TN curves. The largest parameters of the TOC: TN ratio were observed in July and the smallest—at the beginning and end of the growing season in the 0–30 cm layer. In the lower 30–60 cm layer, the minimum TOC:TN ratio was in spring, the maximum—in July-August. The amplitude of seasonal changes was higher in a top 0–30 cm layer and far fewer in deeper ones. The highest amplitude in 0–30-, 30–60- and 60–100 cm layers was under: DRTu, CTu, DRTu—for TOC and DRTu, CTu, RTu—for TN correspondently.
Soil tillage has meaningfully affected soil organic carbon and nitrogen stratification. Minimum tillage benefited TOC and TN sequestration in the 0–30 cm layer, while CTu had the highest aforenamed parameters in the 30–100 cm soil layer. TOC:TN ratio upraised from 12.60 in 0–5 to 14.33 in 80–100 cm layer. Shallow minimum tillage (RTu) has formed the narrowest (10.28–13.04), while conventional tillage (CT)—the largest (11.38–14.33) TOC:TN ratio.
In spite of a direct effect of climatic parameters on TOC and TN decomposition [87] there was found almost negligible correlation relationship between TOC and: T, P and W, but on the plus side was the strong and very strong r between total nitrogen and moisture (air and soil) parameters. The P–W pair presented the strongest interlinkage.
Author Contributions
Conceptualization, Y.K. and Y.C.; formal analysis, Y.K.; resources A.Y.; writing—original draft preparation Y.K., A.Y. and Y.C.; writing—review and editing, Y.K. and Y.C.; visualization, Y.K. and A.Y.; supervision, Y.K., project administration, A.Y.; funding acquisition, Y.C. and A.Y. All authors have read and agreed to the published version of the manuscript.
Funding
This research was funded by the Professional Association of Alliance of International Science Organizations (ANSO-PA-2020-12).
Institutional Review Board Statement
The study was conducted in accordance with the Declaration of Helsinki and approved by the National University of Life and Environmental Sciences of Ukraine Ethics Committee (protocol › 544 from 14 May 2018) for studies involving humans.
Informed Consent Statement
Not applicable.
Data Availability Statement
Data will be available up on request.
Acknowledgments
The authors would like to thank the anonymous reviewers for their valuable comments.
Conflicts of Interest
The authors declare no conflict of interest.
References
- IPCC. Climate Change 2021: The Physical Science Basis. Contribution of Working Group I to the Sixth Assessment Report of the Intergovernmental Panel on Climate Change; Masson-Delmotte, V.P., Zhai, A., Pirani, S.L., Connors, C., Péan, S., Berger, N., Caud, Y., Chen, L., Goldfarb, M.I., Gomis, M., et al., Eds.; Cambridge University Press: Cambridge, UK; New York, NY, USA, 2021. [Google Scholar] [CrossRef]
- Semenov, V.M.; Tulina, A.S.; Semenova, N.A. Humification and Nonhumification Pathways of the Organic Matter Stabilization in Soil. Eurasian Soil Sci. 2013, 46, 355–368. [Google Scholar] [CrossRef]
- Schimel, D.S.; Coleman, D.C.; Horton, K.A. Soil organic matter dynamics in paired rangeland and crop toposequences in North Dakota. Geoderma 1985, 36, 201–214. [Google Scholar] [CrossRef]
- Chen, H.; Hou, R.; Gong, Y.; Li, H.; Fan, M.; Kuzyakov, Y. Effects of 11 years of conservation tillage on soil organic matter fractions in wheat monoculture in Loess Plateau of China. Soil Tillage Res. 2009, 106, 85–94. [Google Scholar] [CrossRef]
- Powlson, D.S.; Brooks, P.C.; Christensen, B.T. Measurement of soil microbial biomass provides and early indication of changes in total soil organic matter due to straw incorporation. Soil Biol. Biochem. 1987, 19, 159–164. [Google Scholar] [CrossRef]
- Blair, G.J.; Lefory, R.D.B.; Lise, L. Soil carbon fractions based on their degree of oxidation and the development of a carbon management index for agricultural system. Aust. J. Agric. Resour. 1995, 46, 1459–1466. [Google Scholar] [CrossRef]
- Galantini, J.; Rosell, R. Long-term fertilization effects on soil organic matter quality and dynamics under different production systems in semiarid Pampean soils. Soil Tillage Res. 2006, 87, 72–79. [Google Scholar] [CrossRef]
- Janzen, H.H.; Campbell, C.A.; Brandt, S.A. Light fraction organic matter in soils from long-term crop rotations. Soil Sci. Soc. Am. J. 1992, 56, 1799–1806. [Google Scholar] [CrossRef]
- Golchin, A.; Oades, J.M.; Skjemstad, J.O. Structural and dynamic properties of soil organic matter as reflected by 13C natural abundance, pyrolysis mass spectrometry and solid state 13C NMR spectroscopy in density fractions of an Oxisol under forest and pasture. Aust. J. Soil Res. 1995, 3, 59–76. [Google Scholar] [CrossRef]
- Besnard, E.; Chenu, C.; Balesdent, J. Fate of particulate organic matter in soil aggregates during cultivation. Eur. J. Soil Sci. 1996, 4, 495–503. [Google Scholar] [CrossRef]
- John, B.; Yamashita, T.; Ludwig, B. Storage of organic carbon in aggregate and density fractions of silty soils under different types of land use. Geoderma 2005, 128, 63–79. [Google Scholar] [CrossRef]
- Kleber, M.; Sollins, P.; Sutton, R. A conceptual model of organo-mineral interactions in soils: Self-assembly of organic molecular fragments into zonal structures on mineral surfaces. Biogeochemistry 2007, 85, 9–24. [Google Scholar] [CrossRef]
- Piccolo, A. The supramolecular structure of humic substances. Soil Sci. 2001, 166, 810–832. [Google Scholar] [CrossRef]
- Sutton, R.; Sposito, G. Molecular structure in soil humic substances: The new view. Environ. Sci. Technol. 2005, 39, 9009–9015. [Google Scholar] [CrossRef]
- Sanderman, J.; Farquharson, R.; Baldock, J. Soil Carbon Sequestration Potential: A review for Australian agriculture. A report prepared for Department of Climate Change and Energy Efficiency. CSIRO Land Water 2001. [Google Scholar] [CrossRef]
- Novikov, A. Nitrogen stocks formation in chernozem subtypies in the South of Russia. Sci. J. KubSAU Electron Sci. J. 2012, 78, 2–10. (In Russian) [Google Scholar]
- Wang, Y.S.; Xue, M.; Zheng, X.; Ji, B.; Du, R.; Wang, Y. Effects of environmental factors on N2O emission from and CH4 uptake by the typical grasslands in the Inner Mongolia. Chemosphere 2005, 58, 205–215. [Google Scholar] [CrossRef]
- Lan, T.; Han, Y.; Roelcke, M.; Nieder, R.; Cai, Z. Sources of nitrous and nitric oxides in paddy soils: Nitrification and denitrification. J. Environ. Sci. 2014, 26, 581–592. [Google Scholar] [CrossRef]
- Franzluebbers, A.J.; Hons, F.M.; Zuberer, D.A. Seasonal changes in soil microbial biomass and mineralizable C and N in wheat management systems. Soil Biol. Biochem 1994, 26, 1469–1475. [Google Scholar] [CrossRef]
- Alvarez, R.; Alvarez, C.R.; Daniel, P.E.; Richter, V.; Blotta, L. Nitrogen distribution in soil density fractions and its relation to nitrogen mineralisation under different tillage systems. Aust. J. Soil Res. 1998, 36, 247–256. [Google Scholar] [CrossRef]
- Six, J.; Elliot, E.T.; Paustian, K. Soil macroaggregate turnover and microaggregate formation: A mechanism for C sequestration under no-tillage agriculture. Soil Biol. Biochem. 2000, 32, 2099–2103. [Google Scholar] [CrossRef]
- Beare, M.H.; Hendrix, P.F.; Coleman, D.C. Water-stable aggregates and organic matter fractions in conventional and non-conventional tillage soils. Soil Sci. Soc. Am. J. 1994, 58, 777–786. [Google Scholar] [CrossRef]
- Wander, M.M.; Yang, X.M. Influence of tillage on the dynamics of loose- and occluded-particulate and humified organic matter fractions. Soil Biol. Biochem. 2000, 32, 1151–1160. [Google Scholar] [CrossRef]
- Madari, B.; Micheli, E.; Czinkota, I.; Johnston, C.T.; Graveel, J.G. Soil organic matter as indicator of changes in the environment. Anthropogenic influences: Tillage. Agroke’Mia E’S Talajt. 1998, 47, 1–4. [Google Scholar]
- Bayer, C.; Martin-Neto, L.; Mielniczuk, J.; Ceretta, C. Effect of no-till cropping systems on soil organic matter in a sandy clay loam Acrisol from Southern Brazil monitored by electron spin resonance and nuclear magnetic resonance. Soil Tillage Res. 2000, 53, 95–104. [Google Scholar] [CrossRef]
- Brazil. MinisteÂrio da Agricultura. Departamento Nacional de Pesquisa AgropecuaÂria. DivisaÄo de Pesquisa PedoloÂgica. Levantamento de reconhecimento dos solos do Estado do Rio Grande do Sul. Div. Pesqui. Pedológica 1973, 30, 431. (In Portugese) [Google Scholar]
- Guggenberg, G.; Zech, W.; Thomas, R.J. Lignin and carbohydrate alteration in particle-size separates of an oxisol under tropical pastures following native Savana. Soil Biol. Biochem. 1995, 27, 1629–1638. [Google Scholar] [CrossRef]
- Kirschbaum, M.U.F. The temperature dependence of soil organic matter decomposition, and the effect of global warming on soil organic-C storage. Soil Biol. Biochem. 1995, 27, 753–760. [Google Scholar] [CrossRef]
- Sanderman, J.; Amundson, R. Biogeochemistry of decomposition and detrital processing. Treatise on Geochemistry. Biogeochemistry 2003, 8, 249–316. [Google Scholar] [CrossRef]
- Trumbore, S.E.; Chadwick, O.A.; Amundson, R. Rapid exchange between soil carbon and atmospheric carbon dioxide driven by temperature change. Science 1996, 272, 393–396. [Google Scholar] [CrossRef]
- Myrold, D.D.; Bottomley, P.P. Nitrogen mineralization and immobilization. In Nitrogen in Agricultural Systems; Schepers, J.S., Raun, W.R., Eds.; ASA, CSSA, SSSA: Madison, WI, USA, 2008; pp. 157–172. [Google Scholar] [CrossRef]
- Agehara, S.; Warncke, D.D. Soil moisture and temperature effects on nitrogen release from organic nitrogen sources. Soil Sci. Soc. Am. J. 2005, 69, 1844–1855. [Google Scholar] [CrossRef]
- Stevenson, F.J. Cycles of Soil: Carbon, Nitrogen, Phosphorus, Sulfur, Micronutrients; John Wiley & Sons: New York, NY, USA, 1986; ISBN 978-0-471-32071-5. [Google Scholar]
- Rozhko, V. Optimization of growing of wheat is in shortly crop rotations of ring-bank forest-steppe of Ukraine. In Proceedings of the 4th International Scientific Conference Agrobiodiversity for Improve the Nutrition, Health and Quality of Human and Bees Life, Nitra, Slovakia, 11–13 September 2019; Slovak University of Agriculture in Nitra: Nitra, Slovakia, 2019; pp. 402–406, ISBN 978-80-552-2070-3. [Google Scholar]
- Luce Mervin, S.; Whalen Joann, K.; Zebarth Bernie, J. Chapter two—Nitrogen Dynamics and Indices to Predict Soil Nitrogen Supply in Humid Temperate Soils. Adv. Agron. 2011, 112, 55–102. [Google Scholar] [CrossRef]
- Whalen, J.K.; Sampedro, L. Soil Ecology and Management; CAB International: Wallingford, UK, 2010. [Google Scholar] [CrossRef]
- Rasouli, S.; Whalen, J.K.; Madramootoo, C.A. Review: Reducing residual soil nitrogen losses from agroecosystems for surface water protection in Quebec and Ontario, Canada: Best management practices, policies and perspectives. Can. J. Soil Sci. 2014, 94, 109–127. [Google Scholar] [CrossRef]
- De Jong, R.; Drury, C.F.; Yang, J.Y.; Campbell, C.A. Risk of water contamination by nitrogen in Canada as estimated by the IROWC-N model. J. Environ. Manag. 2009, 90, 3169–3181. [Google Scholar] [CrossRef] [PubMed]
- Subbarao, G.V.; Ito, O.; Sahrawat, K.L.; Berry, W.L.; Nakahara, K.; Ishikawa, T.; Watanabe, T.; Suenaga, K.; Rondon, M.; Rao, I.M. Scope and strategies for regulation of nitrification in agricultural systems—Challenges and opportunities. Crit. Rev. Plant Sci. 2006, 25, 303–335. [Google Scholar] [CrossRef]
- Wu, T.-Y.; Ma, B.; Liang, B. Quantification of seasonal soil nitrogen mineralization for corn production in eastern Canada. Nutr. Cycl. Agroecosyst. 2008, 81, 279–290. [Google Scholar] [CrossRef]
- Stevens, W.B.; Hoeft, R.G.; Mulvaney, R.L. Fate of nitrogen-15 in a longterm nitrogen rate study. Agron. J. 2005, 97, 1046–1053. [Google Scholar] [CrossRef]
- Six, J.; Elliott, E.T.; Paustian, K. Aggregate and soil organic matter dynamics under conventional and no-tillage systems. Soil Sci. Soc. Am. J. 1999, 63, 1350–1358. [Google Scholar] [CrossRef]
- Mikha, M.M.; Rice, C.W. Tillage and manure effects on soil and aggregate associated carbon and nitrogen. Soil Sci. Soc. Am. J. 2004, 68, 809–816. [Google Scholar] [CrossRef]
- Zhao, S.L.; Gupta, S.C.; Huggins, D.R.; Moncrie, J.F. Tillage and nutrient source effects on surface and subsurface water quality at corn planting. J. Environ. Qual. 2001, 30, 998–1008. [Google Scholar] [CrossRef]
- Kravchenko, Y.S.; Tonkha, O.L. Morphogenesis of Typical chernozem and Izogumusol under longterm tillage use. Plant Soil Sci. 2020, 11, 39–49. [Google Scholar] [CrossRef]
- Soil Classification Working Group. The Canadian System of Soil Classification, 3rd ed; NRC Research Press, Agriculture and Agri-Food: Ottawa, Canada, 1998; ISBN 0-660-17404-9. [Google Scholar]
- IUSS Working Group WRB. World Reference Base for Soil Resources 2006. First Update 2007; Micheli, E., Schad, P., Spaargaren, O., Blume, H.P., Dudal, R., Eds.; World Soil Resources Reports, 103; FAO: Rome, Italy, 2007; ISBN 92-5-105511-4. [Google Scholar]
- Soil Survey Staff. Keys to Soil Taxonomy, 11th ed.; United States Department of Agriculture Natural Resources Conservation Service: Washington, DC, USA, 2010. [Google Scholar]
- Slepetiene, A.; Slepetys, J.; Liaudanskiene, I. Standard and modified methods for soil organic carbon determination in agricultural soils. Agron. Res. 2008, 6, 543–554. [Google Scholar]
- Alvarez, R.; Lavado, R.S. Climate, organic matter and clay content relationships in the Pampa and Chaco soils, Argentina. Geoderma 1998, 83, 127–141. [Google Scholar] [CrossRef]
- Cenkseven, S.; Kizildag, N.; Kocak, B.; Sagliker, H.A.; Darici, C. Soil Organic Matter Mineralization under Different Temperatures and Moisture Conditions in Kızıldağ Plateau, Turkey. Sains Malays. 2017, 46, 763–771. [Google Scholar] [CrossRef]
- González-Domínguez, B.; Niklaus, P.A.; Studer, M.S.; Hagedorn, F.; Wacker, L.; Haghipour, N.; Zimmermann, S.; Walthert, L.; McIntyre, C.; Abiven, S. Climate, generally represented by temperature and moisture, is regarded as one of the fundamental controls. Sci. Rep. 2019, 9, 6422. [Google Scholar] [CrossRef]
- Moyano, F.E.; Vasilyeva, N.; Bouckaert, L.; Cook, F.; Craine, J.; Curiel Yuste, J.; Don, A.; Epron, D.; Formanek, P.; Franzluebbers, A.; et al. The moisture response of soil heterotrophic respiration: Interaction with soil properties. Biogeosciences 2012, 9, 1173–1182. [Google Scholar] [CrossRef]
- Onwuka, B.; Mang, B. Effects of soil temperature on some soil properties and plant growth. Adv. Plants Agric. Res. 2018, 8, 34–37. [Google Scholar] [CrossRef]
- Fang, X.; Zhu, Y.-L.; Liu, J.-D.; Lin, X.-P.; Sun, H.-Z.; Tang, X.-H.; Hu, Y.-L.; Huang, Y.-P.; Yi, Z.-G. Effects of Moisture and Temperature on Soil Organic Carbon Decomposition along a Vegetation Restoration Gradient of Subtropical China. Forests 2022, 13, 578. [Google Scholar] [CrossRef]
- Wang, Q.; Zhao, X.; Chen, L.; Yang, Q.; Chen, S.; Zhang, W. Global synthesis of temperature sensitivity of soil organic carbon decomposition: Latitudinal patterns and mechanisms. Funct. Ecol. 2019, 33, 514–523. [Google Scholar] [CrossRef]
- Azlan, A.; Aweng, E.; Ibrahim, C.; Noorhaidah, A. Correlation between Soil Organic Matter, Total Organic Matter and Water Content with Climate and Depths of Soil at Different Land use in Kelantan, Malaysia. J. Appl. Sci. Environ. Manag. 2012, 16, 353–358, JASEM ISSN 1119-8362. [Google Scholar]
- Semenov, V.; Kohut, B. Soil Organic Matter; GEOS: Moscow, Russia, 2015; ISBN 978-5-89118-702-3. (In Russian) [Google Scholar]
- Stanford, G.; Smith, S.J. Nitrogen mineralization potentials of soils. Soil Sci. Soc. Am. Proc. 1972, 36, 465–472. [Google Scholar] [CrossRef]
- Campbell, C.A.; Jame, Y.W.; Winkleman, G.E. Mineralization rate constants and their use for estimating nitrogen mineralization in some Canadian praire soils. Can. J Soil Sci. 1984, 64, 333–343. [Google Scholar] [CrossRef]
- Buschiazzo, D.; Estelrich, H.; Aimar, S.; Viglizzo, E.; Babinec, F. Soil texture and tree coverage influence on organic matter. J. Range Manag. 2004, 57, 511–516. [Google Scholar] [CrossRef]
- Wuest, S. Seasonal Variation in Soil Organic Carbon. Soil Sci. Soc. Am. J. 2014, 78, 1442–1447. [Google Scholar] [CrossRef]
- Nie, X.; Zhang, H.; Su, Y. Soil carbon and nitrogen fraction dynamics affected by tillage erosion. Sci. Rep. 2019, 9, 16601. [Google Scholar] [CrossRef]
- Kravchenko, Y. The transformation of soil organic matter in typical chernozem under conservation systems of soil tillage. Herald Natl. Univ. Life Environ. Sci. Ukr. 2005, 81, 57–61. (In Ukrainian) [Google Scholar]
- Shao, X. Seasonal dynamics of soil labile organic carbon and enzyme activities in relation to vegetation types in Hangzhou Bay tidal flat wetland. PLoS ONE 2015, 10, e0142677. [Google Scholar] [CrossRef]
- Kuprichenkov, M. Seasonal dynamics of chemical and agrochemical properties of bio- and agrochernozem. Achiev. Agrar. Sci. Tech. 2013, 7, 67–68. (In Russian) [Google Scholar]
- Kravchenko, Y.; Rogovska, N.; Petrenko, L.; Zhang, X.; Song, C.; Chen, Y. Quality and dynamics of soil organic matter in a typical Chernozem of Ukraine under different long-term tillage systems. Can. J. Soil Sci. 2012, 92, 429–438. [Google Scholar] [CrossRef]
- Salinas-Garcia, J.R.; Hons, F.M.; Matocha, J.E.; Zuberer, D.A. Soil carbon and nitrogen dynamics as affected by long-term tillage and nitrogen fertilization. Biol. Fertil. Soils 1997, 25, 182–188. [Google Scholar] [CrossRef]
- Bulygin, S.Y.; Velichko, V.A.; Demidenko, O.V. Agrogenesis of Chernozem; Agrarian Science: Kyiv, Ukraine, 2016; ISBN 978-966-540-442-2. (In Ukrainian) [Google Scholar]
- Kravchenko, Y. The Current State of Ukrainian Chernozems Productivity. Plant Soil Sci. 2019, 10, 29–41. (In Ukrainian) [Google Scholar] [CrossRef]
- Geisseler, D.; Horwath, W.R.; Joergensen, R.G.; Ludwig, B. Pathways of nitrogen utilization by soil microorganisms. Soil Biol. Biochem. 2010, 42, 2058–2067. [Google Scholar] [CrossRef]
- Bonde, T.A.; Schnurer, J.; Rosswall, T. Microbial biomass as a fraction of potentially mineralizable nitrogen in soils from longterm field experiments. Soil Biol. Biochem. 1988, 20, 447–452. [Google Scholar] [CrossRef]
- Piccolo, A. Carbon Sequestration in Agricultural Soils: A Multidisciplinary Approach to Innovative Methods; Springer: Heidleberg, Germany, 2012. [Google Scholar] [CrossRef]
- Piccolo, A.; Spaccini, R.; Cozzolino, V. Effective carbon sequestration in Italian agricultural soils by in situ polymerization of soil organic matter under biomimetic photocatalysis. Land Degrad Dev. 2018, 29, 485–494. [Google Scholar] [CrossRef]
- Nebbioso, A.; Piccolo, A. Basis of a Humeomics Science: Chemical Fractionation and Molecular Characterization of Humic Biosuprastructures. Biomacromolecules 2011, 12, 1187–1199. [Google Scholar] [CrossRef]
- Nuzzo, A. In situ polymerization of soil organic matter by oxidative biomimetic catalysis. Chem. Biol. Technol. Agric. 2017, 4, 12. [Google Scholar] [CrossRef][Green Version]
- You, M.; Burger, M.; Li, L. Changes in Soil Organic Carbon and Carbon Fractions Under Different Land Use and Management Practices after Development from Parent Material of Mollisols. Soil Sci. 2014, 179, 205–210. [Google Scholar] [CrossRef]
- Hua, K. Effects of long-term application of various organic amendments on soil particulate organic matter storage and chemical stabilisation of vertisol soil. Acta Agriculturae Scandinavica, section b. Soil Plant Sci. 2018, 68, 505–514. [Google Scholar] [CrossRef]
- Wang, B. Distribution of soil aggregates and organic carbon in deep soil under long-term conservation tillage with residual retention in dryland. J. Arid. Land 2019, 11, 241–254. [Google Scholar] [CrossRef]
- Boitsova, L.; Puhalsky, Y. Soil organic matter dynamics as well as its labile and inert part in Soddy Podzolic sandy loam soil of different fertility effected. Agrophysics 2013, 2, 14–22. (In Russsian) [Google Scholar]
- Kohut, B. Transformation of chernozem humus under agriculture. In Dissertation Abstract of the Doctor of Agricultural Sciences; Soil Institute Named after V. Docuchaiev: Moskow, Russia, 1996. (In Russian) [Google Scholar]
- Feng, Y.; Ning, T.; Li, Z.; Han, B.; Han, H.; Li, Y.; Sun, T.; Zhang, X. Effects of tillage practices and rate of nitrogen fertilization on crop yield and soil carbon and nitrogen. Plant Soil Environ. 2014, 60, 100–104. [Google Scholar] [CrossRef]
- Agren, G.I.; Bosatta, E.; Magill, A.H. Combining theory and experiment to understand effect of inorganic nitrogen on litter decomposition. Oecologia 2001, 128, 94–98. [Google Scholar] [CrossRef]
- Kvitkina, A.K.; Larionova, A.; Dudarieva, D.; Bychovets. C:N influence at a maize phytomass destraction under exogenic and endogenic nitrogen changes. Theor. Apply Ecol. 2017, 2, 78–83. (In Russian) [Google Scholar]
- Tsybulko, N.N. Carbon sequestration capacity and mineralization of organic matter in different soils of Belarus. J. Belarusian State University. Ecology 2018, 2, 110–117. (In Russian) [Google Scholar]
- Jastrow, J.D. Soil aggregate formation and the accrual of particulate and mineral associated organic matter. Soil Biol. Biochem. 1996, 28, 665–676. [Google Scholar] [CrossRef]
- Luke, C.; Cox, P. Soil carbon and climate change: From the Jenkinson effect to the compost-bomb instability. Eur. J. Soil Sci. 2011, 62, 5–12. [Google Scholar] [CrossRef]
Publisher’s Note: MDPI stays neutral with regard to jurisdictional claims in published maps and institutional affiliations. |
© 2022 by the authors. Licensee MDPI, Basel, Switzerland. This article is an open access article distributed under the terms and conditions of the Creative Commons Attribution (CC BY) license (https://creativecommons.org/licenses/by/4.0/).





