Abstract
The rapid population growth in sub-Saharan Africa requires regular monitoring of the spatial expansion of cities in order to facilitate efficient urban planning. In this study, we quantified the dynamics of urban and peri-urban areas in the city of Kisangani from 1987 to 2021, based on morphological criteria. Results demonstrate continuous urban and peri-urban growth, with respective average annual change rates of 8.2% and 7.6%. The urban core area expanded from 13.49 km2 to 100.49 km2, resulting from an alternating process of diffusion and coalescence. Peri-urbanization indexes developed to assess the trend of the decline in urban densities indicate a phase of urban densification over the period 1987–2010 succeeded by a decline in urban density over the period 2010–2021 that is characterized by a large expansion of the peri-urban area. However, despite this trend observed between 2010 and 2021, the decrease in urban density was not effective between 1987 and 2021 in Kisangani, as the fraction of peri-urban area observed in 1987 remains equivalent to that observed in 2021. This suggests a continuity of urban densification despite increasing peri-urbanization.
1. Introduction
During the past century, demographic, socio-economic, cultural, and political changes coupled with technological advances have profoundly altered natural landscapes [1,2]. In this altered landscape, cities are expanding both within and outside, and minimizing the time and distance between them [3]. In view of the demographic growth observed over the last few decades, this trend is expected to continue in future decades. Indeed, on a global scale, 50% of the population is living in urban environments [4,5]. The proportion of the world’s urban population is expected to increase by more than 70% by 2050, rising from 3.6 billion in 2011 to 6.3 billion in 2050 [5,6,7], while the world population is expected to reach approximately 9.7 billion in 2050 [8]. This rapid population growth in urban areas amplifies the demand for accommodation and social facilities leading to uncontrolled spatial expansion of the city [9]. Therefore, the influence of cities extends over spaces that still preserve a rural character, leading to the development of hybrid territories described as peri-urban areas [10]. However, this expansion is occurring in a scattered way through the development of low-density urban areas that are less compact and more dispersed [3]. This phenomenon of the physical expansion of cities, accompanied by a significant loss of density, is referred in the international literature as urban sprawl [11]. Jane Jacobs, in her book The Death and Life of Great American Cities [12], was one of the first authors to sound the alert about the inefficiency of the dispersed city model that was prospering in North America [11]. This dispersed city model has also been amply reported in Europe: “European cities were more compact and less sprawled in the 1950s than they are today, and urban sprawl is now a common phenomenon throughout Europe” [3]. More recently, in a global sample of 120 cities between 1990 and 2000, Shlomo Angel [13] shows that average built-up area densities have significantly declined, from a mean of 144 persons/ha in 1990 to a mean of 112 persons/ha in 2000. Spatially, this decline in urban densities is expressed in the formation of peri-urban areas due to the advance of urban areas into rural territories. What has not been so evident is that this phenomenon is global in scope and includes cities in developing countries as well [13].
Indeed, the initial claims of Berry, Simmons, and Tennant [14] suggest that “non-Western cities experience increasing overcrowding, constant compactness, and a lower degree of expansion at the periphery.” More recently, the research of Canning, Raja, and Yazbeck [15] and that of Mercandalli and Losch [16] show that in developing countries, particularly in Africa, rapid population growth resulting from a high birth rate and fertility rate leads to a significant migration of populations from rural to urban zones. This contributes significantly to the spatial expansion of African cities through the development of low-density, less compact, and more dispersed urban areas [17]. This type of urban expansion is susceptible to various ecological consequences in sub-Saharan Africa, where the spatial expansion of cities faces a lack of urban planning. This leads consequently to a rapid change in land cover [18]. In the city of Lubumbashi, for example, the area of green space has decreased throughout the city from 1989 to 2014 because of population pressure combined with the lack of sustainable urban planning [19]. These observations suggest that the major challenges to understand and to resolve the environmental problems related to urbanization will continue to grow [5].
Therefore, the management of urbanization and peri-urbanization should be effectively controlled [20]. This involves the characterization of urbanization gradient zones of cities, one of the prerequisites for managing their expansion [21] and subsequently understanding their dynamics. Indeed, Charles Dietzel’s theory indicates that the spatial dynamics of cities can be described as a two-phase process involving diffusion, which is the expansion of urban areas from existing cores, and coalescence, which refers to the merging of urban patches [5,6,7,8,9,10,11,12,13,14,15,16,17,18,19,20,21,22]. Landscape ecology tools, spatial remote sensing, and choralogy, a discipline that focuses on studying geographical spaces considering their increasingly limited availability [10], enable the characterization of zones along the urbanization gradient and reveal their spatial dynamics.
The city of Kisangani is experiencing accelerated demographic growth [23]. In 30 years, from 1990 to 2021, its total population nearly quintupled from 437,805 to 2,184,096 [24]. Its spatial expansion is constrained by a lack of practical implementation of the management plans successively developed in 1978, 2008, and 2010 [25]. In addition, urbanization is a less managed situation, as in most towns in DR Congo [25]. Consequently, the pressure on natural resources, including protected areas such as the Masako Forest Reserve, is increasing [26]. Despite this alarming fact, studies aiming particularly to understand the dynamics of urban and peri-urban areas are very limited. Indeed, the aim of this study is to quantify the spatial dynamics of the urbanization gradient zones from 1987 to 2021 in the city of Kisangani. In line with the observations of Shlomo Angel [13], we tested the hypothesis that the spatial growth of Kisangani city exhibits a trend toward the decline in urban density characterized by the process of urban sprawl. This process has varying effects on the landscape patterns of urban, peri-urban, and rural zones. Specifically, within the urbanization gradient, peri-urban areas were expected to gradually increase over time. Additionally, a gradual decline in the stability of the rural zone as more urban and peri-urban areas are established was anticipated.
2. Materials and Methods
2.1. Study Area
The study area, covering 2947.9 km2, includes six communes of Kisangani city and its peripheral zone (Figure 1). Among these communes, five are located on the right bank including Makiso, Tshopo, Kabondo, Mangobo, and Kisangani while Lubunga is the lone commune located on the left bank (Figure 1). Kisangani is geographically located nearer to the Equator, at a latitude of 00°31′ N and a longitude of 25°11′ E (Figure 1), with a climate classified as Af type in accordance with Köppen’s classification [27]. The monthly average temperatures range between 22.4 and 29.3 °C, and the annual rainfall fluctuates between 1500 and 2000 mm [28]. The population of Kisangani has experienced rapid growth, from an estimated 105,666 in 1959 [23] to around 28,404,496 in 2021 [24].
Figure 1.
Geographical location of Kisangani and its periphery. Kisangani is subdivided into six communes, each represented by a number from 1 to 6, and includes three protected areas on its periphery. The road network shown includes national and provincial roads.
2.2. Data Used
The dynamic of the urbanization gradient zones was characterized using images from the Sentinel 2 and SPOT sensors. This combination of multiple sensors enabled the coverage of all the periods analyzed. Additionally, the spatial resolution of the images used was adequate to better discriminate urban and peri-urban areas. The satellite data were supported by 115 GPS ground surveys carried out during a research mission in August 2022, providing detailed information on land use and land cover. Spatial demographic data from the Joint Research Centre [29], with a spatial resolution of 1000 m, were also used to complement satellite images in the description of urbanization gradient zones.
2.3. Satellite Data Pre-Processing
The images used from 1987, 1995, 2000, 2005, 2010, and 2015 were geometrically corrected using the 2021 Sentinel 2 image as a reference in order to obtain an identical geometry. The 2021 image was ortho-rectified using control points collected in the field. Resampling was applied to homogenize the pixel sizes. Subsequently, a false composite color was created by combining the green, red, and near infrared bands of Spot and Sentinel 2 images (Figure 2). This false composite color provides the ability to select the training areas necessary to perform supervised classifications.
Figure 2.
The spatial distribution of population density and the morphology of urbanization gradient zones. In A, built-up continuity characterizes the urban center of Kisangani with a high population density. In B, the built-up discontinuity describes the peripheral area and in C, the dominance of vegetation characterizes the rural zone with a low population density per km2.
2.4. Classification of Urbanization Gradient Zones
A major problem in mapping and measuring the attributes of urbanization gradient zones concerns the precise and consistent definition of these zones [13,14,15,16,17,18,19,20,21,22,23,24,25,26,27,28,29,30]. Using administrative boundaries is typically inadequate, both because they can be changed from one day to the next by decree and because they may include large rural areas [13]. However, some criteria relating to the density, aggregation, proximity, and dominance of patches are used in most cases [31,32,33]. The built-up area of the city, which is a morphological criterion [21,22,23,24,25,26,27,28,29,30,31,32,33,34], is much more precise and consistent [13]. Analysis of satellite images enables the identification of built-up areas based on impermeable surfaces (pavements, rooftops, and compacted ground) [13].
Therefore, the decision tree of Marie André et al. [21,22,23,24,25,26,27,28,29,30,31,32,33,34], based on morphological criteria, establishes a delineation of zones in the urbanization gradient [21,22,23,24,25,26,27,28,29,30,31,32,33,34]. This decision tree was preferred due to its expedient implementation, simplicity, and alignment with the actual ground conditions, characterized by a diverse range of land cover types. It should be noted that the urban zone is characterized by the dominance and continuity of the built-up area, which is otherwise dense. The peri-urban zone is characterized by the dominance of a discontinuous and less dense built-up area, while the dominance of vegetation indicates a rural zone [21,34,35].
To perform the reference classification (2021), these morphological criteria were supported by the spatial distribution of population density (Figure 2). Population density is described as a property that can modify the spatial pattern of the landscape and is expected to decrease along the urbanization gradient [23,36,37]. Indeed, the training zones used to calibrate the reference classification were created in the form of a 250 m × 250 m square within a cell of 1 km2 population density. The size and shape adopted enabled a supra-parcel analysis that is less than the km2 required to apply the decision tree [21]. Thus, an area is classified as urban when it contains a majority of built-up pixels (more than 50%) [13,14,15,16,17,18,19,20,21,22,23,24,25,26,27,28,29,30,31,32,33,34], within a perimeter of 250 m × 250 m, created in a cell with a population density greater than or equal to 100 inhabitants per km2. This reference value corresponds to the lowest population density observed nearer to the urban center of Kisangani in 2020 [29]. Values below 100 correspond to rural areas around the city. Furthermore, an area is classified as peri-urban when the proportion of built-up pixels within a 250 m × 250 m perimeter is less than or equal to 50%, and the other pixels are not exclusively forest or agricultural [21,22,23,24,25,26,27,28,29,30,31,32,33,34], created in a cell with a population density greater than or equal to 100 inhabitants per km2. Finally, an area is classified as rural when the 250 m × 250 m perimeter is dominated by vegetation pixels. To classify previous images (2015–2010–2005–2000–1995 and 1987), the sampling of built-up pixels in 250 m × 250 m cells was applied as the single criterion due to the lack of reliable data on the spatial distribution of population density for all these years. However, by using a classification performed as a reference (2021 for this study), urban, peri-urban, and rural patterns unchanged on previous images can be identified during the creation of training zones.
Then, a supervised classification was carried out for all the images analyzed using the random forest algorithm. Random Forest, a non-parametric statistical method [38,39,40], was specifically selected for its ability to build several decision trees that independently analyze and assign the samples in their respective classes [39]. The classified images were then filtered to eliminate isolated pixels.
The normalized difference vegetation index (NDVI) was analyzed for each zone along the urbanization gradient as a predictor of phenological changes in vegetation due to seasonality that could have an influence on the interpretation of the urbanization gradient. The validation data included 115 control points collected from the urban center of Kisangani to the Yoko Forest reserve. These control points describe land cover and land use. The accuracy of the classifications was assessed using the Kappa coefficients, overall accuracies, and producer accuracies obtained from the confusion matrix [35].
2.5. Spatial Dynamics and Urban Sprawl Analysis
The dynamics of landscape conversions were analyzed using transition matrixes [37]. Indeed, transition matrixes enabled the assessment of the conversion of rural areas into peri-urban and urban areas, which are expected to persist over time due to the growing demand for habitable space. The expected consequences include the gradual instability of rural areas. To this end, stability indexes were calculated for each zone [37]. In fact, these conversions should increase the proportion of unchanged urban and peri-urban areas over time, leading to their gradual stability in the landscape. Due to urban pressure, that stability is expected to be more important on a scale of 336.2 km2 around the urban center of Kisangani.
The urban expansion resulting from these conversions conforms to the theory of alternating diffusion and coalescence [22]. This theory has been tested through spatial transformation processes. The decision tree of Bogaert [41] was applied to determine the expected processes, in particular creation, which provides information on diffusion, and aggregation, which in turn provides information on coalescence. Furthermore, the trend toward the decline in urban densities, also described as urban sprawl [3,4,5,6,7,8,9,10,11,12,13], was analyzed using two indexes developed in this study including the ratio of peri-urban to urban (Equation (1)), the peri-urban fraction (Equation (2)), and the total area of urban and peri-urban spaces.
Indeed, this process occurs when the rate of urban expansion is faster than the rate of population growth [13,42,43]. Due to the lack of reliable demographic data (derived from regular population censuses), these indexes are relevant. In fact, in terms of space, the decline in urban density is expressed through the development of hybrid zones, described as peri-urban [10] or suburban zones [21,22,23,24,25,26,27,28,29,30,31,32,33,34] that are occurring in a scattered way [3].
where indicates the ratio of peri-urban to urban areas; indicates the peri-urban fraction; corresponds to the peri-urban area; indicates urban area.
3. Results
3.1. Accuracy of Supervised Classifications
The overall accuracies obtained (Table 1) were above 90%, and the Kappa index values were above 80%. These values indicate an acceptable discrimination of urban, peri-urban, and rural zones.
Table 1.
Overall accuracy and Kappa coefficient values for supervised classifications.
3.2. Changes in Landscape Pattern
Visual analysis reveals a continuous expansion of urban and peri-urban areas, while rural areas are constantly decreasing (Figure 3). In fact, from 1987 to 2021, the proportion of the landscape covered by urban and peri-urban areas has increased from 2.34% to 15.86%. This indicates a transformation of more than 13% of rural areas (Table 2). The peak of these transformations occurred between 2010 and 2015, with more than 6% of rural areas affected by peri-urbanization. These spatial dynamics along the urbanization gradient show a gradual change in the landscape pattern.
Figure 3.
Dynamics of urbanization gradient zones derived from supervised classifications of SPOT and Sentinel 2 images. From a primitive urban core estimated at 13.4 km2 (1987), urban patches have gradually filled the interstitial spaces and reached an area estimated at 100.9 km2 in 2021.
Table 2.
Transition matrix (%) illustrating the transformations of urban, peri-urban, and rural areas. Each value represents a fraction of landscape (in the study area) that has changed from the class in the row (initial year) to the class in the column (final year). Values in bold indicate the class stability, while those below the diagonal reflect urban and peri-urban expansion. At the landscape scale 1% = 28.14 km2.
3.3. Stability of the Urbanization Gradient Zones
In the city of Kisangani and its periphery, rural areas have maintained the highest level of stability along the urbanization gradient from 1987 to 2021 (Figure 4a). However, there is a noticeable decline in the proportion of unchanged rural areas, which are being gradually transformed into urban or peri-urban areas. This trend leads to a progressive decline in the rural area’s stability.

Figure 4.
Changes in stability index values. Within the city of Kisangani and its periphery (a), rural areas affected by urbanization and peri-urbanization are still less important than non-urbanized areas, despite their progressive increase. In the region of interest, with approximately 336.2 km2 around the urban center of Kisangani, rural areas affected by urbanization and peri-urbanization are more important and remain largely unchanged (b).
Conversely, the proportion of unchanged urban areas is increasing over time, leading to a gradual stability of the urban zone. In the region of interest, with approximately 336.2 km2 around the urban center of Kisangani (Figure 3), the proportion of unchanged urban areas has substantially increased, and the urban zone has become the most stable zone along the urbanization gradient during the last two diachronies (Figure 4b). The peri-urban area exhibits lower levels of stability than the urban and rural areas on both scales.
3.4. Urban Growth Modes and the Trend toward the Urban Density Decline
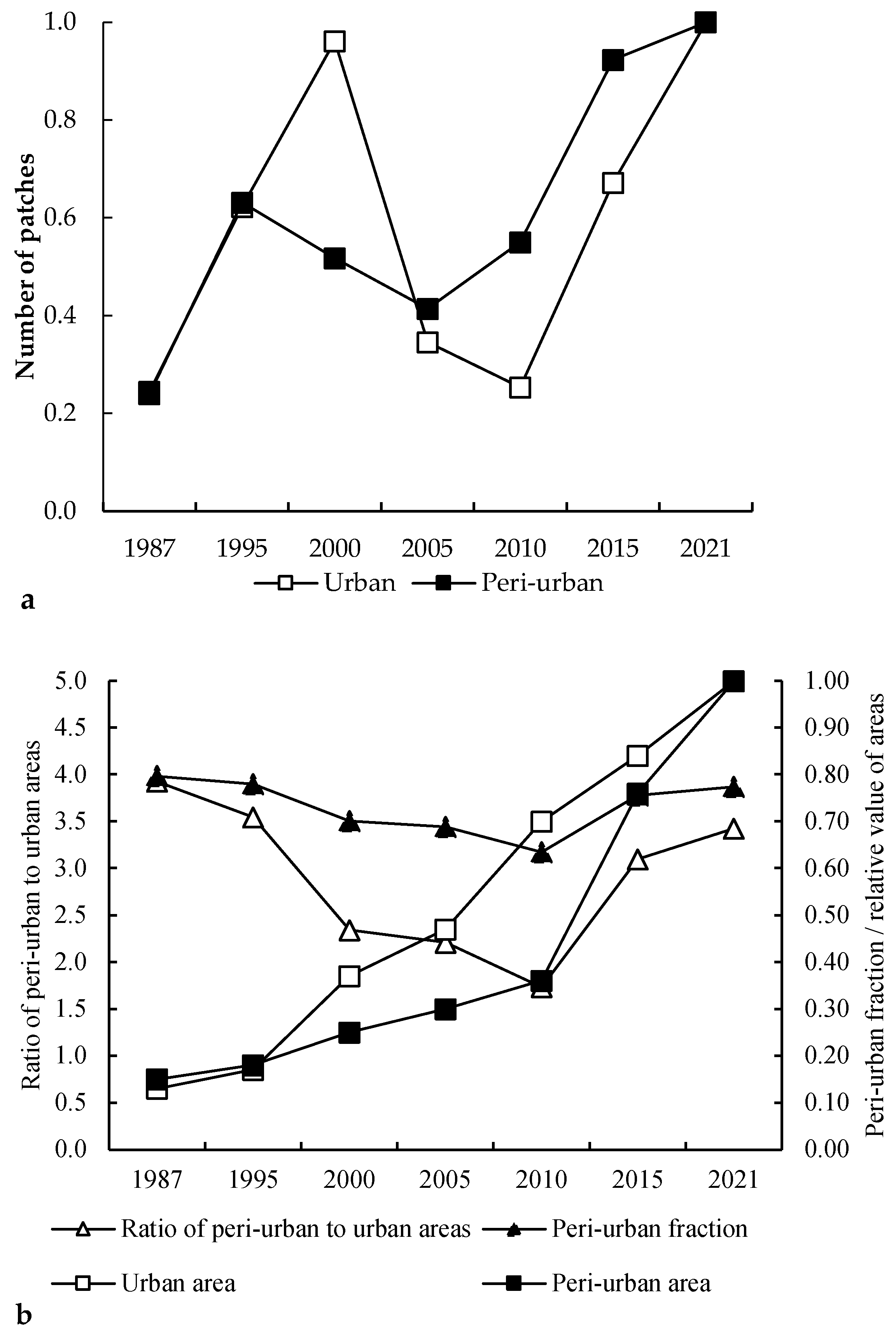
The change in the number of patches (Figure 5a) and the spatial transformation processes (Table 3) show an alternating process between diffusion and coalescence in urban and peri-urban dynamics. In urban areas, the initial phase characterized by the emergence of new patches, through the process of creation, has occurred during the periods 1987–1995, 1995–2000, 2010–2015, and 2015–2021. For peri-urban areas, this phase concerns the periods 1987–1995, 2005–2010, 2010–2015, and 2015–2021. The subsequent phase, characterized by the merging of patches, or the process of aggregation, is observed during the periods 2000–2005 and 2005–2010 for urban areas, and 1995–2000 and 2000–2005 for peri-urban areas.
Figure 5.
(a) Relative values of patches number (maximum value for urban zone = 5230) and (maximum value for peri-urban = 21,530). (b) Changes in the ratio of peri-urban to urban areas, the peri-urban fraction, and the relative values of urban areas (maximum value = 100.9 km2) and peri-urban areas (maximum value = 345.7 km2).
Table 3.
Annual rates of change (%) and spatial transformation processes.
However, the annual rate of change (Table 3), the peri-urbanization indexes, and the evolution of urban and peri-urban areas (Figure 5b) provide a clear distinction between two periods: one characterized by high urban growth (1987–1995, 1995–2000, 2000–2005, and 2005–2010), and the other by significant peri-urban growth (2010–2015 and 2015–2021). These two periods suggest a trend of urban densification and a trend of the decline in urban density. However, the peri-urban fraction indicates that the effectiveness of the decline in urban densities has not been realized from 1987 to 2021, as the fraction of peri-urban area observed in 1987 remains equivalent to that observed in 2021 (Figure 5b).
4. Discussion
4.1. Methodology
Several approaches are available to monitor the urban expansion of cities. Zha et al. [44] propose the use of an easily measurable built-up area index. This methodology is not adapted to the discrimination of the discontinuous built-up areas (peri-urban areas), which is necessary in our case. The analysis performed in this study, based on spatial morphology, with processing of satellite images, is usually applied to identify the zones within the urban-rural gradient [13,34,35,45]. However, the morphological criteria used may pose challenges in terms of measurability, as a function of the spatial resolution of the satellite images used (high, medium, or low). In this study, the use of high spatial resolution images from the Spot and Sentinel 2 sensors enabled the easy identification of built-up pixels on a supra-parcel scale. Furthermore, the implementation of population density, which is expected to decrease with distance from the town center [46,47], enabled a better interpretation of the urban–rural gradient. In addition, the low annual variations in NDVI (0.20 to 0.27) for the urban zone and (0.4 to 0.5) for the peri-urban zone indicate that seasonal variations have minimal effects on the density of green spaces in the Kisangani region. Thus, for images acquired on different dates, seasonality would not be an obstacle to the interpretation of the urban–rural gradient.
The analysis of the decline in urban densities as determined by peri-urbanization indexes differs from the approach used by Shlomo Angel, which relies on population density measurements [13]. Although this approach is not directly related to population density measurements, it does enable an analysis of urban density decline using the spatial characteristics that relate to the population density. Thus, it should be noted that, in terms of space, the decline in urban densities is expressed by the development of low-density urban areas that are less compact and more dispersed [3] and otherwise through the formation of peri-urban patches by the establishment of hybrid zones resulting from urban expansion into rural areas. Thus, analysis of the peri-urban fraction and the ratio of peri-urban to urban areas becomes relevant in understanding the trend of the decline in urban densities. This approach is particularly relevant in the context of African cities, where population censuses are infrequent.
4.2. Changes in Landscape Pattern
The results reveal a gradual transformation of the landscape pattern in the city of Kisangani toward an urbanized landscape over time, with increasing development of peri-urban areas. These observations are in line with the trends in other cities, such as Hanoi [48] and Bamako [49], where rapid and uncontrolled urbanization leads to a spatial dilation that extends over the urban fringe, which is increasingly transformed into impermeable surfaces [49].
As in most cities, these transformations are attributable to the demographic growth observed over the last few decades [24]. Indeed, demographic growth remains the primary catalyst for urban expansion worldwide [1,49,50]. In sub-Saharan Africa, this is exacerbated by precarious socio-economic conditions, leading to a substantial migration of rural populations into urban areas and resulting in significant spatial expansion of cities [15,16]. However, due to precarious socio-economic conditions and the high cost of urban living, which is common in most urban areas in the Democratic Republic of Congo (DR Congo) [20], most of Kisangani’s population resort to areas that still retain their rural character, where access to land resources is relatively affordable [50]. Consequently, landscapes have been progressively transformed into urbanized patterns, which is occurring in a scattered way through the development of low-density urban areas that are less compact [3].
4.3. Urban Growth Modes and the Trend toward the Urban Density Decline
The spatial dynamics of Kisangani city reveal an alternating process between diffusion and coalescence. These two processes, identified through Bogaert’s decision tree [41], correspond to Charles Dietzel’s theory [22], which suggests that the dynamics of cities are, in fact, a two-phase process involving diffusion, which is the expansion of urban areas from existing cores, and coalescence, which refers to the merging of urban patches. This observation is in conformity with the results of several authors [5,7,48,49]. However, this observation differs from the pattern of urban growth observed in other cities, such as Lubumbashi, where the two phases occur simultaneously [50]. In Kisangani, this alternating pattern can be attributed to the spatial evolution of the city, which is characterized by the sequential development of urbanization fronts. This sequential development can be explained by four local factors: (i) the missiological approach to the establishment of the Catholic Church in Kisangani, (ii) the geographical distribution of large companies, (iii) the temporality of armed conflicts, and (iv) the evolution of socio-economic categories of the inhabitants.
Indeed, the strategy used by the Catholic Church to establish missions in Kisangani involved setting up missionary sites deep within inhabited zones (V. Mbatu, personal communication, April 2023). Over time, these missions developed basic social services that attracted a significant number of people, transforming them into urban areas. This gradual process contributed to the creation of urban patches over time. One of the most recent missionary sites is the Scholastica center in the north of Kisangani. Furthermore, the location of industrial companies has contributed to the creation of residential centers in Kisangani. Proximity to these companies, such as the Textile Society of Kisangani, Society of Breweries, Limonaderies and Malteries, National Electricity Society, National Transport Office, and National Railway Society influenced the initial establishment and development of residential areas. This distribution of industrial companies explains the distribution of isolated urban patches observed in the 1987 image. In addition, the occurrence of armed conflicts in Kisangani throughout its history also had an impact on the sequential development of the city. During the armed conflict period in Kisangani from 1990 to 2000, some zones near the city center such as Mutumbe, Cimesta, Cité Paradis, and Cité Canadienne served as zones of refuge. Due to their high population density, these zones underwent gradual development and urbanization, resulting in the formation of urban and peri-urban zones. However, since the end of the armed conflicts (2000–2010), there has been an influx of economic operators from the eastern part of the country, who are predominantly traders, who sought large spaces in the urban environment for their economic activities. This led to the gradual occupation of interstitial spaces, fostering the aggregation of urban areas.
One immediate effect of the establishment and merging of urban and peri-urban areas is the rise in their respective proportions. The peri-urbanization indexes examined in this research indicate that, from 1987 to 2010, Kisangani experienced a process of urban densification, characterized by a significant increase in urban spaces. Geographically, this densification occurred in the Makiso commune. This commune alone concentrates many administrative functions and infrastructures. Like other cities in the DRC, such as Kinshasa, the high concentration of administrative functions and infrastructure, along with the ease of transportation and access to water and electricity distribution networks, make central communes highly attractive compared to peripheral communes [51]. In Kisangani, this attraction, which encourages rural exodus, has also been intensified due to the widespread deterioration of socio-economic conditions resulting from prevailing security crises [52]. However, the high concentration of the population in central municipalities increases the need for accommodation and social facilities, leading to uncontrolled spatial expansion of the city [16]. Furthermore, the failure to implement various development plans formulated in 1978, 2008, and 2010 [25], coupled with inadequate control of urban planning matters across most cities in DR Congo [25], has exposed Kisangani to a gradual process of the decline in urban density, characterized by a significant peri-urbanization or the emergence of hybrid zones. This trend observed between 2010 and 2021 is in accordance with Shlomo Angel’s observation according to which urban densities decreased in cities worldwide between 1990 and 2000 [13]. The trend is also in line with the European Environment Agency’s observation that, in the 1950s, European cities were more compact and less sprawling than they are today, and urban sprawl is now a common phenomenon throughout Europe [3]. However, despite this trend observed between 2010 and 2021, the decrease in urban density was not effective between 1987 and 2021 in Kisangani, as the fraction of peri-urban area observed in 1987 remains equivalent to that observed in 2021. This suggests a continuity of urban densification despite increasing peri-urbanization.
In contrast to other cities, particularly those in developed countries, where the emergence of urban emigration and even a reversal of the hierarchy of urban–rural flows can be observed [53], the rural exodus is still very pronounced in African cities. Therefore, the development of urban areas in most cities, particularly in Kisangani, by filling in interstitial spaces, is still in progress, despite the significant peri-urbanization that is already occurring.
5. Conclusions
Through a combined use of remote sensing, geographic information systems, and landscape ecology tools, this study has highlighted the rapid spatial growth of urban and peri-urban areas in Kisangani city over the last 34 years, from 1987 to 2021. The city’s urban core grew from 13.49 km2 to 100.49 km2 between 1987 and 2021, with an average annual rate of change estimated at 8.2%. The spatial transformation processes identified suggest an alternating process of diffusion and coalescence in the dynamics of urban and peri-urban areas.
The peri-urbanization indexes developed demonstrate that between 1987 and 2010, the city of Kisangani underwent a process of urban densification mainly due to the rural exodus. The increase in the demand for accommodation and social facilities in urban areas has led to a substantial expansion of peri-urban areas between 2010 and 2021, a corollary of the decline in urban densities. Nevertheless, despite this trend, the effectiveness of the decline in urban density has not been realized from 1987 to 2021, as the fraction of peri-urban area observed in 1987 remains equivalent to that observed in 2021. This suggests a continuity of urban densification despite increasing peri-urbanization.
Therefore, in Kisangani as well as in other cities where urban expansion occurs without sustainable planning, the main spatial challenge revolves around effectively managing urban sprawl. This involves adapting or redeveloping human settlements to meet socio-spatial demands and reduce the uncontrolled occupation of natural spaces. The methods used in this study enable the monitoring of urban expansion in cities. Furthermore, researchers and scientific institutions should contribute to understanding the impact of current urban densification and sprawl on the environment, particularly on green infrastructure in urban and peri-urban zones.
Author Contributions
J.B.B., J.P.P.M.T.H., K.R.S., Y.U.S., J.-F.B. and J.B. conceived the study. J.B.B. was responsible for the design and development of the data analysis. J.B.B. and T.M.S. were responsible for data collection and analysis. J.B.B. and J.B. were responsible for data interpretation. J.B.B. wrote the first draft of the article. J.B.B., J.E.L.M., C.M.M., T.B.N. and J.-P.M.M. were responsible for proofreading the text. All authors have read and agreed to the published version of the manuscript.
Funding
This research was supported by the ERAIFT-AGRINATURA consortium under the funding of the Development Cooperation Instrument (DCI) N° 41928 of the European Union. The authors would like to express their gratitude to the European Union and the ERAIFT-AGRINATURA consortium for their financial support.
Data Availability Statement
The satellite and demographic data used in this study can be found in the links below, https://spot.cnes.fr/fr/spot-world-heritage; https://visioterra.org/VtWeb/; https://earthengine.google.com/; https://data.jrc.ec.europa.eu/ (accessed on 6 October 2023).
Conflicts of Interest
The authors declare no conflict of interest.
References
- Nancy, G.; Stanley, F.; Briggs, J. Global Change, and the Ecology of Cities. Science 2008, 319, 756–760. [Google Scholar] [CrossRef]
- Schneider, A.; Woodcock, C.E. Compact, Dispersed, Fragmented, Extensive? A Comparison of Urban Growth in Twenty-Five Global Cities Using Remotely Sensed Data, Pattern Metrics and Census Information. Urban Stud. 2008, 45, 659–692. [Google Scholar] [CrossRef]
- European Environment Agency. Urban Sprawl in Europe: Landscapes, Land-Use Change & Policy; EEA: Copenhagen, Denmark, 2006. [CrossRef]
- United Nations, Department of Economic and Social Affairs. World Urbanization Prospects: The 2014 Revision; UN: Geneva, Switzerland, 2014.
- Cheng, L.; Junxiang, L.; Jianguo, W. Quantifying the Speed, Growth Modes, and Landscape Pattern Changes of Urbanization: A Hierarchical Patch Dynamics Approach. Landsc. Ecol. 2013, 28, 1875–1888. [Google Scholar] [CrossRef]
- United Nations, Department of Economic and Social Affairs. World Urbanization Prospects: The 1996 Revision. Popul. Dev. Rev. 2012, 24, 883. [Google Scholar] [CrossRef]
- Junxiang, L.; Cheng, L.; Feige, Z.; Conghe, S.; Jianguo, W. Spatiotemporal Pattern of Urbanization in Shanghai, China between 1989 and 2005. Landsc. Ecol. 2013, 28, 1545–1565. [Google Scholar] [CrossRef]
- United Nations, Department of Economic and Social Affairs. World Urbanization Prospects: The 2022 Revision; UN: Geneva, Switzerland, 2020.
- Zoma, V.; Kiemdé, A.; Sawadogo, Y.; de Géographie, D.; Ki-zerbo, U.J.; Faso, B. Principaux Facteurs de La Croissance Urbaine de Ouagadougou Main Factors of Urban Growth in Ouagadougou. Quest J. J. Res. Humanit. Soc. Sci. 2022, 10, 226–234. [Google Scholar]
- Halleux, J.M.; Courtejoie, F.; DawanCe, S.; Fagel, N.; Frédérich, M.; Lebailly, P.; Poncelet, M.; Rubbers, B.; Bogaert, J. Territoires périurbains: Développement, enjeux et perspectives dans les pays du Sud. Une introduction générale. In Territoires Périurbains. Développement, Enjeux et Perspectives Dans les Pays du Sud; Bogaert, J., Halleux, J.-M., Eds.; Les Presses Agronomiques de Gembloux: Gembloux, Belgium, 2015; pp. 21–29. [Google Scholar]
- Rubiera-Morollon, F.; Garrido-Yserte, R. Recent literature about urban sprawl: A renewed relevance of the phenomenon from the perspective of environmental sustainability. Sustainability 2020, 16, 6551. [Google Scholar] [CrossRef]
- Jacobs, J. The Death and Life of Great American Cities; Hardcover: New York, NY, USA, 1961. [Google Scholar]
- Angel, S.; Parent, J.; L. Civco, D.; Blei, A.M. Making Room for a Planet of Cities. Urban Econ. 2010, 2, 113–115. [Google Scholar] [CrossRef][Green Version]
- Berry, B.; Simmons, J.W.; Tennant, R.J. Urban Population Densities: Structure and Change. Geogr. Rev. 1963, 53, 389–405. [Google Scholar] [CrossRef]
- Canning, D.; Raja, S.; Yazbeck, A.S. La Transition Démographique de l’Afrique: Divindende ou Catastrophe? Collection L’ Afrique en Développement: Washington, DC, USA, 2016; Volume 4. [Google Scholar] [CrossRef]
- Mercandalli, S.; Losch, B. Une Afrique Rurale En Mouvement: Dynamique et Facteurs des Migrations au Sud Du Sahara; FAO: Rome, Italy, 2018. [Google Scholar]
- Ibtissem, M.; Raham, D. Etude Methodologique de La Croissance Urbaine En Algerie: Cas de l’étalement Urbain de La Ville de Batna. Sci. Technol. D Sci. De La Terre 2020, 52, 33–39. [Google Scholar]
- Vermeiren, K.; Van Rompaey, A.; Loopmans, M.; Serwajja, E.; Mukwaya, P. Urban Growth of Kampala, Uganda: Pattern Analysis and Scenario Development. Landsc. Urban Plan. 2012, 106, 199–206. [Google Scholar] [CrossRef]
- Sikuzani, U.; Cabala Kaleba, S.; Nkuku Khonde, C.; Malaisse, F.; Bogaert, J.; Munyemba Kankumbi, F. Vingt-Cinq Ans de Monitoring de La Dynamique Spatiale des Espaces Verts En Reponse à l’urbanisation Dans Les Communes de La Ville de Lubumbashi (Haut-Katanga, R.D. Congo). Tropicultura 2017, 35, 300–311. [Google Scholar] [CrossRef]
- Banque Mondiale. Revue de L’urbanisation En République Démocratique du Congo: Des Villes Productives et Inclusives Pour L’émergence de la République Démocratique du Congo; Banque Mondiale: Kinshasa, Congo, 2018. [Google Scholar]
- André, M.; Mahy, G.; Lejeune, P.; Bogaert, J. Vers Une Synthèse de la Conception et une Définition des Zones Dans le Gradient Urbain-Rural. Biotechnol. Agron. Soc. Environ. 2014, 18, 61–74. [Google Scholar]
- Dietzel, C.; Oguz, H.; Hemphill, J.J.; Clarke, K.C.; Gazulis, N. Diffusion and Coalescence of the Houston Metropolitan Area: Evidence Supporting a New Urban Theory. Environ. Plan. B Plan. Des. 2005, 32, 231–246. [Google Scholar] [CrossRef]
- Bamba, I. Anthropisation et Dynamique Spatio-Temporelle de Paysages Forestiers en Republique Democratique du Congo. Ph.D. Thesis, Université Libre de Bruxelles, Bruxelles, Belgium, 2010. [Google Scholar]
- INS. Population de La Ville de Kisangani Repartie En Sexe, de 1990 à 2021; INS: Kisangani, Congo, 2022. [Google Scholar]
- UN-Habitat. Habitat III RD Congo: Rapport Final; UN: Geneva, Switzerland, 2015; pp. 1–93. [Google Scholar]
- Meniko, T.H.; Drazo, A.; Iyongo, L.; Mweru, M.; Akaibe, D.; Bogaert, J. Chapitre.1. Affiliation Aux Habitats et Mobilité Spécifique de Rongeurs Dans un Paysage Fragmenté à Masako. In Les Forêts de la Tshopo Écologie, Histoire et Composition; Bogaert, J., Beeckman, H., Cannière, C., De Defourny, P., Ponette, Q., Eds.; Les Presses Agronomiques de Gembloux: Gembloux, Belgium, 2020; p. 31. [Google Scholar]
- Kottek, M.; Grieser, J.; Beck, C.; Rudolf, B.; Rubel, F. World Map of the Köppen-Geiger Climate Classification Updated. Meteorol. Zeitschrift. 2006, 15, 259–263. [Google Scholar] [CrossRef]
- Assani, N.S.; de Dieu, J.; Mokoso, M.; Marie, J.; Muhongya, K. La Bio-Écologie Du Petit Rotin Eremospatha Haullevillea de Wild. (Arecaceae) dans La Réserve Forestière de Yoko (Bassin du Congo, RD Congo). Int. J. Innov. Sci. Res. 2015, 18, 397–406. [Google Scholar]
- European Commission. GHSL Data Package 2023; Publications Office of the European Union: Luxembourg, 2023. [Google Scholar] [CrossRef]
- Wolman, H.; Hanson, R.; Furdell, K.; Sarzynski, A.; Galster, G.; Ratcliffe, M. The Fundamental Challenge in Measuring Sprawl: Which Land Should Be Considered? Prof. Geogr. 2005, 57, 94–105. [Google Scholar] [CrossRef]
- Clark, P.J.; Evans, C.F. Distance to Nearest Neighbor as a Measure of Spatial Relationships in Populations. Ecology 1954, 35, 445–453. [Google Scholar] [CrossRef]
- Gustafson, E.J.; Parker, G.R. Using an Index of Habitat Patch Proximity for Landscape Design. Landsc. Urban Plan. 1994, 29, 117–130. [Google Scholar] [CrossRef]
- Turner, M.G.; Ruscher, C.L. Changes in Landscape Patterns in Georgia, USA. Landsc. Ecol. 1988, 1, 241–251. [Google Scholar] [CrossRef]
- André, M. Landscape Ecological Consequences of the (Sub)Urbanization Process in an African City: Lubumbashi (Democratic Republic of Congo). ORBI 2017, 2017, 204840. [Google Scholar]
- Salomon, W.; Sikuzani, Y.U.; Sambieni, K.R.; Barima, Y.S.S.; Théodat, J.M.; Bogaert, J. Land Cover Dynamics along the Urban–Rural Gradient of the Port-Au-Prince Agglomeration (Republic of Haiti) from 1986 to 2021. Land 2022, 11, 355. [Google Scholar] [CrossRef]
- Bogaert, J.; Biloso, A.; Vranken, I.; André, M. Peri-Urban Dynamics: Landscape Ecology Perspectives. In Territoires Périurbains. Développement, Enjeux et Perspectives Dans les Pays du Sud; Bogaert, J., Halleux, J.-M., Eds.; Les Presses Agronomiques de Gembloux: Gembloux, Belgium, 2015; pp. 53–69. [Google Scholar]
- Sambieni, R. Dynamique Du Paysage de La Ville Province de Kinshasa Sous La Pression de La Périurbanisation: L’infrastructure Verte Comme Moteur D’aménagement. Ph.D. Thesis, Université de Liège, Leige, Belgium, 2019; pp. 1–261. [Google Scholar]
- Genuer, R.; Poggi, J.-M. Arbres CART et Forêts Aléatoires Importance et Sélection de Variables Table des Matières. arXiv 2017, arXiv:1610.08203v2. [Google Scholar]
- Del Río, S.; López, V.; Benítez, J.M.; Herrera, F. On the Use of MapReduce for Imbalanced Big Data Using Random Forest. Inf. Sci. 2014, 285, 112–137. [Google Scholar] [CrossRef]
- Fernández-Delgado, M.; Cernadas, E.; Barro, S.; Amorim, D. Do We Need Hundreds of Classifiers to Solve Real World Classification Problems? J. Mach. Learn. Res. 2014, 15, 3133–3181. [Google Scholar]
- Bogaert, J.; Ceulemans, R.; Salvador-Van Eysenrode, D. Decision Tree Algorithm for Detection of Spatial Processes in Landscape Transformation. Environ. Manag. 2004, 33, 62–73. [Google Scholar] [CrossRef] [PubMed]
- Simard, M. Urban Sprawl, Ecological Footprint, and the Sustainable City. Is There an Alternative to Densification? Cah. Geogr. Que. 2014, 58, 331–352. [Google Scholar]
- Sainteny, G. L’étalement Urbain. In Annales des Mines-Responsabilité et Environnement. Eska 2008, 12, 7–18. [Google Scholar]
- Zha, Y.; Gao, J.; Ni, S. Use of normalized difference built-up index in automatically mapping urban areas from TM imagery. Int. J. Remote Sens. 2003, 24, 583–594. [Google Scholar] [CrossRef]
- Sambieni, K.R.; Messina Ndzomo, J.-P.; Biloso Moyene, A.; Halleux, J.-M.; Occhiuto, R.; Bogaert, J. Les Statuts Morphologiques d’ Urbanisation Des Communes de Kinshasa En République Démocratique du Congo. Tropicultura 2019, 3, 520–530. [Google Scholar]
- Angel, S.; Parent, J.; Civco, D. Urban Sprawl Metrics: An Analysis of Global Urban Expansion Using GIS; ASPRS: Tampa, FL, USA, 2007; pp. 1–12. [Google Scholar]
- Clark, C. Urban Population Densities. J. R. Stat. Soc. 1951, 114, 375–386. [Google Scholar] [CrossRef]
- Mauro, G. Rural–Urban Transition of Hanoi (Vietnam): Using Landsat Imagery to Map Its Recent Peri-Urbanization. ISPRS Int. J. Geo-Inf. 2020, 9, 669. [Google Scholar] [CrossRef]
- Diallo, B.A.; Diarra, B.; Toure, M.; Cisse, D.A.; Doumbia, B. Etalement Urbain à Bamako: Facteurs Explicatifs et Implications. Afr. Sci. 2020, 17, 58–75. [Google Scholar]
- Sikuzani, Y.U.; Kaleba, S.C.; Halleux, J.-M.; Bogaert, J.; Kankumbi, F.M. Caractérisation de La Croissance Spatiale Urbaine de La Ville de Lubumbashi (Haut-Katanga, R.D. Congo) Entre 1989 et 2014. Tropicultura 2018, 7, 99–108. [Google Scholar]
- Delbart, V.; Wolff, E. Extension Urbaine et Densité de la Population à Kinshasa: Contribution de La Télédétection Satellitaire. Belgeo 2002, 1, 45–60. [Google Scholar]
- Koluwa, S.K. De la Reparation des Victimes de la Guerre de Six Jours à Kisangani. J. Soc. Sci. Humaniyies Res. 2020, 5, 44–56. [Google Scholar]
- Beauchemin, C. Exclusion Urbaine et Insertion Rurale: Les Logiques de l’émigration Urbaine. News.Ge. 2003. Available online: https://news.ge/anakliis-porti-aris-qveynis-momava (accessed on 2 June 2023).
Disclaimer/Publisher’s Note: The statements, opinions and data contained in all publications are solely those of the individual author(s) and contributor(s) and not of MDPI and/or the editor(s). MDPI and/or the editor(s) disclaim responsibility for any injury to people or property resulting from any ideas, methods, instructions or products referred to in the content. |
© 2023 by the authors. Licensee MDPI, Basel, Switzerland. This article is an open access article distributed under the terms and conditions of the Creative Commons Attribution (CC BY) license (https://creativecommons.org/licenses/by/4.0/).





