Has the Digital Economy Improved the Urban Land Green Use Efficiency? Evidence from the National Big Data Comprehensive Pilot Zone Policy
Abstract
1. Introduction
- The existing research primarily focuses on either the economic benefits [26,27] or the environmental benefits [28,29] of the digital economy in isolation. By incorporating pollutant emissions as undesirable outputs in the assessment of the ULGUE, in this paper, we provide a more comprehensive understanding of the consequences of the NBDCPZ policy on land use;
- While prior studies tend to analyze the economic and environmental benefits of the big data industry from perspectives such as technological innovation, resource allocation, and industrial structures [30,31], in this paper, we identify and validate an important but overlooked channel: the policy’s role in promoting the ULGUE by attracting big data enterprises and talent, thereby facilitating industrial agglomeration;
- When analyzing the heterogeneous effects of the NBDCPZ policy, the existing literature often focuses on the city size and location [24,30]. However, in this paper, we highlight the importance of a city’s economic conditions, hardware, and talent availability. Moreover, we investigate the policy’s effects across various development stages, economic growth pressures, and digital infrastructure and human capital levels, providing clearer guidance for the selection of suitable big data pilot zones;
- The high mobility of data elements implies that the impact of the NBDCPZ policy is likely to spill over to non-pilot cities [32,33], potentially violating the stable-unit treatment value assumption (SUTVA) of the difference-in-differences (DID) model. Therefore, we employ a spatial difference-in-differences (SDID) method to further explore the spillover effects, offering valuable insights for policymakers aiming to optimize land utilization.
2. Theoretical Analysis and Hypothesis
2.1. Technological Innovation
2.2. Resource Misallocation
2.3. Optimization of Industrial Structure
2.4. Industrial Agglomeration
3. Model Setting, Variables, and Data Sources
3.1. Model Setting
3.2. Variables
3.2.1. Dependent Variable
3.2.2. Independent Variable
3.2.3. Control Variables
3.3. Data Sources
4. Results
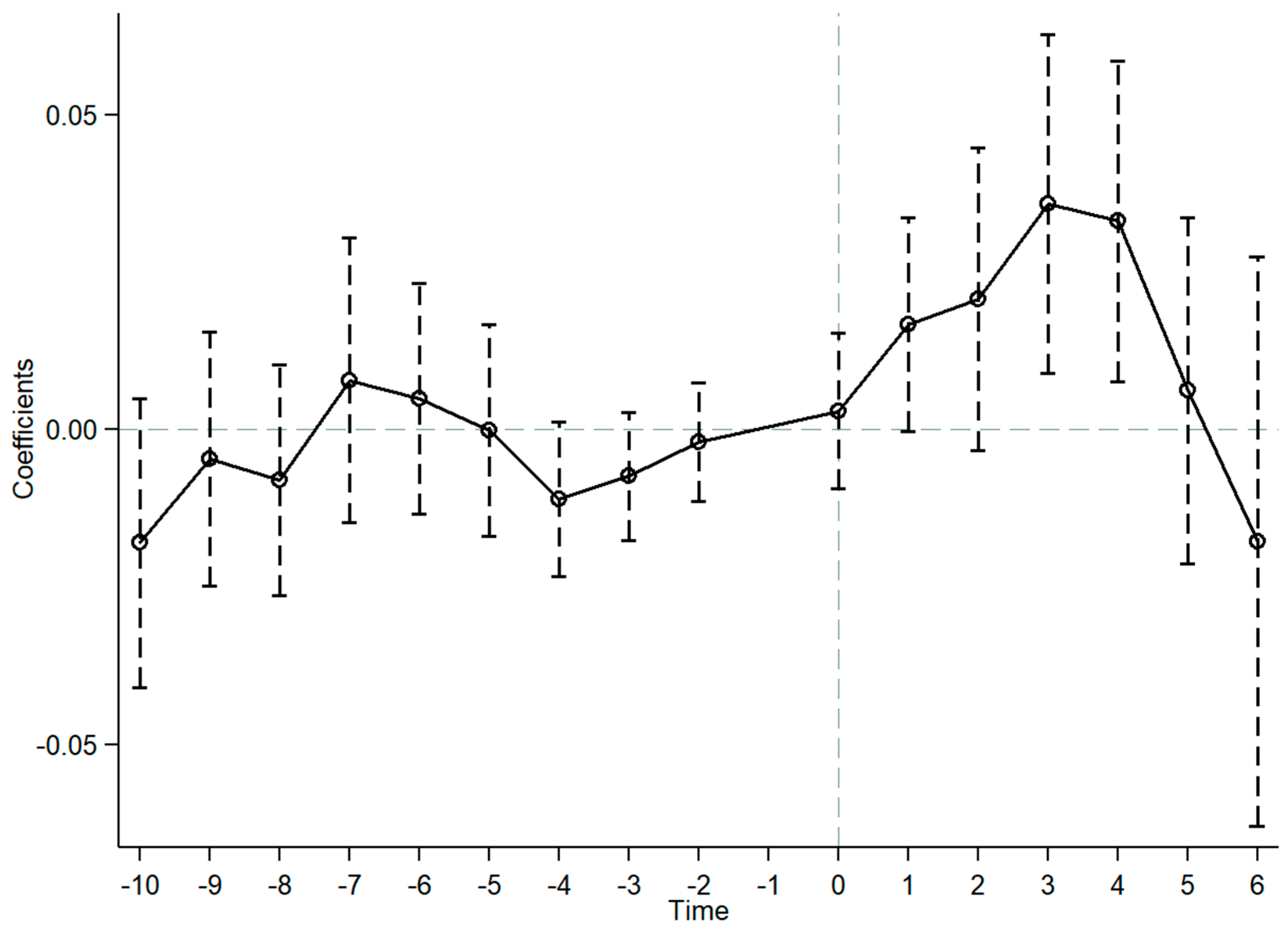
4.1. Parallel-Trend Test
4.2. Benchmark Regression
4.3. Robustness Tests
4.3.1. Placebo Test
4.3.2. Dependent Variable Substitution
4.3.3. Core Explanatory Variable Substitution
4.3.4. Testing for Anticipation Effects
4.3.5. Inclusion of Additional Control Variables
4.3.6. Excluding the Impact of Similar Policies
4.3.7. Change Regression Samples
4.3.8. The Instrumental Variable Method
5. Mechanism Test Regression
5.1. Enhancing Technological Innovation
5.2. Alleviating Resource Misallocation
5.3. Industrial Structure Optimization
5.4. Industrial Agglomeration Enhancement
6. Further Analysis
6.1. Heterogeneity Analysis
6.1.1. Resources
6.1.2. Types of City Clusters
6.1.3. Economic Growth Pressure
6.1.4. Digital Infrastructure
6.1.5. Human Capital
6.2. Spatial Spillover Effect
7. Conclusions and Implications
7.1. Conclusions
7.2. Policy Implications
- The development of the big data industry should be advanced and supported to enhance the ULGUE. Local governments should leverage big data technologies for efficient information processing, transforming land data into digital formats to aid in land-use management, thereby improving the rational allocation of land resources [30]. Furthermore, the government should prioritize the modernization of traditional high-energy-consumption and high-pollution industries using big data technologies. By replacing outdated industries with emerging green, high-tech sectors, the overall resource utilization efficiency can be significantly improved;
- Big data industry policies should be tailored to local conditions, addressing the specific needs of different cities. For cities with limited digital infrastructure and human capital, the central government should provide financial support to help local governments enhance their data infrastructure and attract skilled talent [93,96]. This targeted assistance will create a solid foundation for ULGUE enhancement through big data, ensuring that the benefits of these technologies are accessible to all regions;
- The free flow of data elements should be facilitated by removing the administrative and market barriers between cities. Governments outside pilot areas should capitalize on the non-competitive, replicable, and highly mobile nature of data elements. They should actively absorb information dissemination and technological spillovers from the big data industries in pilot cities, leveraging these advantages to improve their own ULGUEs [32,74]. This approach ensures that the positive impacts of big data technologies are widely distributed, fostering coordinated ecological development.
7.3. Limitations
Author Contributions
Funding
Data Availability Statement
Conflicts of Interest
References
- Xie, H.; Chen, Q.; Wang, W.; He, Y. Analyzing the Green Efficiency of Arable Land Use in China. Technol. Forecast. Soc. Chang. 2018, 133, 15–28. [Google Scholar] [CrossRef]
- Wang, Y.; Jiang, Y.; Li, W.; Dong, S.; Gao, C. Determinants of Land Use Conflicts with the Method of Cross-Wavelet Analysis: Role of Natural Resources and Human Activities in Spatial-Temporal Evolution. J. Clean. Prod. 2023, 429, 139498. [Google Scholar] [CrossRef]
- Bai, C.; Xie, D.; Zhang, Y. Industrial Land Transfer and Enterprise Pollution Emissions: Evidence from China. Econ. Anal. Policy 2024, 81, 181–194. [Google Scholar] [CrossRef]
- Liu, Y.; Fang, F.; Li, Y. Key Issues of Land Use in China and Implications for Policy Making. Land Use Policy 2014, 40, 6–12. [Google Scholar] [CrossRef]
- Cheng, J.; Zhao, J.; Dai, Y.; Li, Y. Land Supply Patterns and the Chinese Low Consumption Puzzle. Struct. Chang. Econ. Dyn. 2024, 69, 232–245. [Google Scholar] [CrossRef]
- Zhao, Z.; Bai, Y.; Wang, G.; Chen, J.; Yu, J.; Liu, W. Land Eco-Efficiency for New-Type Urbanization in the Beijing-Tianjin-Hebei Region. Technol. Forecast. Soc. Chang. 2018, 137, 19–26. [Google Scholar] [CrossRef]
- Tan, S.; Hu, B.; Kuang, B.; Zhou, M. Regional Differences and Dynamic Evolution of Urban Land Green Use Efficiency within the Yangtze River Delta, China. Land Use Policy 2021, 106, 105449. [Google Scholar] [CrossRef]
- Kaur, H.; Garg, P. Urban Sustainability Assessment Tools: A Review. J. Clean. Prod. 2019, 210, 146–158. [Google Scholar] [CrossRef]
- Guastella, G.; Pareglio, S.; Sckokai, P. A Spatial Econometric Analysis of Land Use Efficiency in Large and Small Municipalities. Land Use Policy 2017, 63, 288–297. [Google Scholar] [CrossRef]
- Yang, L.; Ouyang, H.; Fang, K.; Ye, L.; Zhang, J. Evaluation of Regional Environmental Efficiencies in China Based on Super-Efficiency-DEA. Ecol. Indic. 2015, 51, 13–19. [Google Scholar] [CrossRef]
- Tao, X.; Wang, P.; Zhu, B. Provincial Green Economic Efficiency of China: A Non-Separable Input–Output SBM Approach. Appl. Energy 2016, 171, 58–66. [Google Scholar] [CrossRef]
- Yu, X.; Dilanchiev, A.; Bibi, S. Enhancing Labor Productivity as a Key Strategy for Fostering Green Economic Growth and Resource Efficiency. Heliyon 2024, 10, e24640. [Google Scholar] [CrossRef] [PubMed]
- Jiao, L.; Xu, Z.; Xu, G.; Zhao, R.; Liu, J.; Wang, W. Assessment of Urban Land Use Efficiency in China: A Perspective of Scaling Law. Habitat Int. 2020, 99, 102172. [Google Scholar] [CrossRef]
- Xue, D.; Yue, L.; Ahmad, F.; Draz, M.U.; Chandio, A.A.; Ahmad, M.; Amin, W. Empirical Investigation of Urban Land Use Efficiency and Influencing Factors of the Yellow River Basin Chinese Cities. Land Use Policy 2022, 117, 106117. [Google Scholar] [CrossRef]
- Xie, C.; Ye, L.; Zhong, N.; Wan, W. Impact of Digital Finance on Corporate Green Innovation: Exploring Role of Land Resource Misallocation in China. Resour. Policy 2024, 91, 104920. [Google Scholar] [CrossRef]
- Xin, Y.; Song, H.; Shen, Z.; Wang, J. Measurement of the Integration Level between the Digital Economy and Industry and Its Impact on Energy Consumption. Energy Econ. 2023, 126, 106988. [Google Scholar] [CrossRef]
- Li, Z.; Chen, H.; Mo, B. Can Digital Finance Promote Urban Innovation? Evidence from China. Borsa Istanb. Rev. 2023, 23, 285–296. [Google Scholar] [CrossRef]
- Taye, G.; Teklesilassie, T.; Teka, D.; Kassa, H. Assessment of Soil Erosion Hazard and Its Relation to Land Use Land Cover Changes: Case Study from Alage Watershed, Central Rift Valley of Ethiopia. Heliyon 2023, 9, e18648. [Google Scholar] [CrossRef] [PubMed]
- Li, Z.; Chen, X.; Ye, Y.; Wang, F.; Liao, K.; Wang, C. The Impact of Digital Economy on Industrial Carbon Emission Efficiency at the City Level in China: Gravity Movement Trajectories and Driving Mechanisms. Environ. Technol. Innov. 2024, 33, 103511. [Google Scholar] [CrossRef]
- Gao, F.; He, Z. Digital Economy, Land Resource Misallocation and Urban Carbon Emissions in Chinese Resource-Based Cities. Resour. Policy 2024, 91, 104914. [Google Scholar] [CrossRef]
- Liu, Y.; Cao, J.; Zhang, Q. The Product Marketing Model of the Economic Zone by the Sensor Big Data Mining Algorithm. Sustain. Comput. Inform. Syst. 2022, 36, 100820. [Google Scholar] [CrossRef]
- Rehman, S.U.; Khan, S.N.; Antohi, V.M.; Bashir, S.; Fareed, M.; Fortea, C.; Cristian, N.P. Open Innovation Big Data Analytics and Its Influence on Sustainable Tourism Development: A Multi-Dimensional Assessment of Economic, Policy, and Behavioral Factors. J. Open Innov. Technol. Mark. Complex. 2024, 10, 100254. [Google Scholar] [CrossRef]
- Wang, L.; Wu, Y.; Huang, Z.; Wang, Y. Big Data Application and Corporate Investment Decisions: Evidence from A-Share Listed Companies in China. Int. Rev. Financ. Anal. 2024, 94, 103331. [Google Scholar] [CrossRef]
- Gan, C.; Yu, J.; Zhao, W.; Fan, Y. Big Data Industry Development and Carbon Dioxide Emissions: A Quasi-Natural Experiment. J. Clean. Prod. 2023, 422, 138590. [Google Scholar] [CrossRef]
- Wang, L.; Liu, G.; Ahmad, I. Cost Optimization Model Design of Fresh Food Cold Chain System in the Context of Big Data. Big Data Res. 2024, 35, 100417. [Google Scholar] [CrossRef]
- Wang, W.; Zhang, H.; Sun, Z.; Wang, L.; Zhao, J.; Wu, F. Can Digital Policy Improve Corporate Sustainability? Empirical Evidence from China’s National Comprehensive Big Data Pilot Zones. Telecommun. Policy 2023, 47, 102617. [Google Scholar] [CrossRef]
- Wei, X.; Li, H.; Wang, Y. Does Big Data Infrastructure Development Promote New Enterprises Entry: Evidence from China. Finance Res. Lett. 2024, 60, 104828. [Google Scholar] [CrossRef]
- Gu, R.; Li, C.; Yang, Y.; Zhang, J. The Impact of Industrial Digital Transformation on Green Development Efficiency Considering the Threshold Effect of Regional Collaborative Innovation: Evidence from the Beijing-Tianjin-Hebei Urban Agglomeration in China. J. Clean. Prod. 2023, 420, 138345. [Google Scholar] [CrossRef]
- Ma, R.; Liu, H.; Li, Z.; Ma, Y.; Fu, S. Promoting Sustainable Development: Revisiting Digital Economy Agglomeration and Inclusive Green Growth through Two-Tier Stochastic Frontier Model. J. Environ. Manag. 2024, 355, 120491. [Google Scholar] [CrossRef]
- Lyu, Y.; Xiao, X.; Zhang, J. Does the Digital Economy Enhance Green Total Factor Productivity in China? The Evidence from a National Big Data Comprehensive Pilot Zone. Struct. Chang. Econ. Dyn. 2024, 69, 183–196. [Google Scholar] [CrossRef]
- Lai, A.; Li, Z.; Hu, X.; Wang, Q. Does Digital Economy Improve City-Level Eco-Efficiency in China? Econ. Anal. Policy 2024, 81, 1198–1213. [Google Scholar] [CrossRef]
- Chen, C.; Ye, F.; Xiao, H.; Xie, W.; Liu, B.; Wang, L. The Digital Economy, Spatial Spillovers and Forestry Green Total Factor Productivity. J. Clean. Prod. 2023, 405, 136890. [Google Scholar] [CrossRef]
- Chagas, A.L.S.; Azzoni, C.R.; Almeida, A.N. A Spatial Difference-in-Differences Analysis of the Impact of Sugarcane Production on Respiratory Diseases. Reg. Sci. Urban Econ. 2016, 59, 24–36. [Google Scholar] [CrossRef]
- Leng, A.; Wang, K.; Bai, J.; Gu, N.; Feng, R. Analyzing Sustainable Development in Chinese Cities: A Focus on Land Use Efficiency in Production-Living-Ecological Aspects. J. Clean. Prod. 2024, 448, 141461. [Google Scholar] [CrossRef]
- Tang, M.; Liu, Y.; Hu, F.; Wu, B. Effect of Digital Transformation on Enterprises’ Green Innovation: Empirical Evidence from Listed Companies in China. Energy Econ. 2023, 128, 107135. [Google Scholar] [CrossRef]
- Li, Z.; Huang, Z.; Su, Y. New Media Environment, Environmental Regulation and Corporate Green Technology Innovation: Evidence from China. Energy Econ. 2023, 119, 106545. [Google Scholar] [CrossRef]
- Gao, Q.; Cheng, C.; Sun, G. Big Data Application, Factor Allocation, and Green Innovation in Chinese Manufacturing Enterprises. Technol. Forecast. Soc. Chang. 2023, 192, 122567. [Google Scholar] [CrossRef]
- Tian, H.; Li, Y.; Zhang, Y. Digital and Intelligent Empowerment: Can Big Data Capability Drive Green Process Innovation of Manufacturing Enterprises? J. Clean. Prod. 2022, 377, 134261. [Google Scholar] [CrossRef]
- Gao, X. Modern Design of Rural Green Buildings Based on Big Data Technology. Cities 2023, 141, 104387. [Google Scholar] [CrossRef]
- Jin, T.; Liang, F.; Dong, X.; Cao, X. Research on Land Resource Management Integrated with Support Vector Machine—Based on the Perspective of Green Innovation. Resour. Policy 2023, 86, 104180. [Google Scholar] [CrossRef]
- Restuccia, D.; Rogerson, R. The Causes and Costs of Misallocation. J. Econ. Perspect. 2017, 31, 151–174. [Google Scholar] [CrossRef]
- Sun, T.; Bian, X.; Liu, J.; Wang, R.; Sriboonchitta, S. The Economic and Social Effects of Skill Mismatch in China: A DSGE Model with Skill and Firm Heterogeneity. Econ. Model. 2023, 125, 106345. [Google Scholar] [CrossRef]
- Hsieh, C.-T.; Klenow, P.J. Misallocation and Manufacturing TFP in China and India. Q. J. Econ. 2009, 124, 1403–1448. [Google Scholar] [CrossRef]
- Zhu, C.; Fan, W.; Wu, X.; Zhang, Z.; Chen, Y. Spatial Mismatch and the Attribution Analysis of Carbon Storage Demand and Supply in the Yangtze River Economic Belt, China. J. Clean. Prod. 2024, 434, 140036. [Google Scholar] [CrossRef]
- Han, B.; Jin, X.; Wang, J.; Yin, Y.; Liu, C.; Sun, R.; Zhou, Y. Identifying Inefficient Urban Land Redevelopment Potential for Evidence-Based Decision Making in China. Habitat Int. 2022, 128, 102661. [Google Scholar] [CrossRef]
- Gong, X.; Yu, J.; Luo, X. Will the Establishment of City Commercial Banks Improve Resource Allocation Efficiency?—Concurrently on Bank Risk-Taking Channels of Monetary Policy in China. Econ. Anal. Policy 2024, 81, 1513–1526. [Google Scholar] [CrossRef]
- Acemoglu, D.; Restrepo, P. The Race between Man and Machine: Implications of Technology for Growth, Factor Shares, and Employment. Am. Econ. Rev. 2018, 108, 1488–1542. [Google Scholar] [CrossRef]
- Yang, G.-Z.; Si, D.-K.; Ning, G.-J. Does Digital Transformation Reduce the Labor Income Share in Enterprises? Econ. Anal. Policy 2023, 80, 1526–1538. [Google Scholar] [CrossRef]
- Li, W.; Yang, X.; Yin, X. Digital Transformation and Labor Upgrading. Pac.-Basin Finance J. 2024, 83, 102280. [Google Scholar] [CrossRef]
- Zhou, X.; Zhang, J.; Li, J. Industrial Structural Transformation and Carbon Dioxide Emissions in China. Energy Policy 2013, 57, 43–51. [Google Scholar] [CrossRef]
- Yang, Y.; Jiang, G.; Zheng, Q.; Zhou, D.; Li, Y. Does the Land Use Structure Change Conform to the Evolution Law of Industrial Structure? An Empirical Study of Anhui Province, China. Land Use Policy 2019, 81, 657–667. [Google Scholar] [CrossRef]
- He, W.; Yang, J.; Li, X.; Sang, X.; Xie, X. Research on the Interactive Relationship and the Optimal Adaptation Degree between Land Use Benefit and Industrial Structure Evolution: A Practical Analysis of Jiangsu Province. J. Clean. Prod. 2021, 303, 127016. [Google Scholar] [CrossRef]
- Wang, X.; Song, J.; Duan, H.; Wang, X. Coupling between Energy Efficiency and Industrial Structure: An Urban Agglomeration Case. Energy 2021, 234, 121304. [Google Scholar] [CrossRef]
- Shu, H.; Xiong, P. Reallocation Planning of Urban Industrial Land for Structure Optimization and Emission Reduction: A Practical Analysis of Urban Agglomeration in China’s Yangtze River Delta. Land Use Policy 2019, 81, 604–623. [Google Scholar] [CrossRef]
- Krugman, P. Increasing Returns and Economic Geography. J. Polit. Econ. 1991, 99, 483–499. [Google Scholar] [CrossRef]
- Bishop, P.; Gripaios, P. Spatial Externalities, Relatedness and Sector Employment Growth in Great Britain. Reg. Stud. 2010, 44, 443–454. [Google Scholar] [CrossRef]
- Hu, J.; Zhang, H.; Irfan, M. How Does Digital Infrastructure Construction Affect Low-Carbon Development? A Multidimensional Interpretation of Evidence from China. J. Clean. Prod. 2023, 396, 136467. [Google Scholar] [CrossRef]
- Hou, F.; Khan, M.A.; Hayat, M.T. Empirical Linkages among Financial Development, Digital Infrastructure, Energy Transition and Natural Resources Footprints in BRICS Region. Resour. Policy 2024, 90, 104748. [Google Scholar] [CrossRef]
- Li, G.; Li, X.; Huo, L. Digital Economy, Spatial Spillover and Industrial Green Innovation Efficiency: Empirical Evidence from China. Heliyon 2023, 9, e12875. [Google Scholar] [CrossRef]
- Zhang, D.; Lin, Y.; Zhang, J.; Han, R.; Li, L. The Spatial Distribution Patterns and Influencing Factors of China’s Newborn Digital Enterprises. J. Clean. Prod. 2023, 423, 138893. [Google Scholar] [CrossRef]
- Park, J.-I.; Kim, J.-O. Does Industrial Land Sprawl Matter in Land Productivity? A Case Study of Industrial Parks of South Korea. J. Clean. Prod. 2022, 334, 130209. [Google Scholar] [CrossRef]
- Li, H.-L.; Tang, M.-J. Vertical Integration and Innovative Performance: The Effects of External Knowledge Sourcing Modes. Technovation 2010, 30, 401–410. [Google Scholar] [CrossRef]
- Zhang, Q.; Shen, X.; Shen, C.; Chen, Y.; Su, B.; Yin, Q.; Zhou, S. Integration of Land Ecological Consolidation and Ecosystem Product Value Realization: A Case from the Yangtze Riverside Industrial Park in Changzhou, China. J. Environ. Manag. 2024, 353, 120120. [Google Scholar] [CrossRef] [PubMed]
- Ellison, G.; Glaeser, E.L. The Geographic Concentration of Industry: Does Natural Advantage Explain Agglomeration? Am. Econ. Rev. 1999, 89, 311–316. [Google Scholar] [CrossRef]
- Yuan, H.; Liu, J.; Li, X.; Zhong, S. The Impact of Industrial Collaborative Agglomeration on Total Factor Carbon Emission Efficiency in China. Sci. Rep. 2023, 13, 12347. [Google Scholar] [CrossRef] [PubMed]
- Tone, K. A Slacks-Based Measure of Efficiency in Data Envelopment Analysis. Eur. J. Oper. Res. 2001, 130, 498–509. [Google Scholar] [CrossRef]
- Feng, Y.; Li, Y.; Nie, C. The Effect of Place-Based Policy on Urban Land Green Use Efficiency: Evidence from the Pilot Free-Trade Zone Establishment in China. Land 2023, 12, 701. [Google Scholar] [CrossRef]
- Zhang, Y.; Wang, T.; Ren, C.; Wang, L.; Zhang, K.; Song, R. Heterogeneous Impacts and Spillover Effects of Green Innovation Network and Environmental Regulation on Water Use Efficiency: A Spatiotemporal Perspective from 269 Cities in China. Sustain. Cities Soc. 2023, 90, 104361. [Google Scholar] [CrossRef]
- Zhou, C.; Wang, J.; Wu, Z. Impact of China’s Energy-Consuming Right Trading on Urban Land Green Utilization Efficiency. Land 2024, 13, 729. [Google Scholar] [CrossRef]
- Fan, X.; Zhou, Y.; Xie, Q. Performance Evaluation, Environmental Regulation, and Urban Land Green Use Efficiency: Evidence from China. Environ. Prog. Sustain. Energy 2023, 42, e14120. [Google Scholar] [CrossRef]
- Shang, H.; Jiang, L.; Pan, X.; Pan, X. Green Technology Innovation Spillover Effect and Urban Eco-Efficiency Convergence: Evidence from Chinese Cities. Energy Econ. 2022, 114, 106307. [Google Scholar] [CrossRef]
- Xie, H.; Chen, Q.; Lu, F.; Wu, Q.; Wang, W. Spatial-Temporal Disparities, Saving Potential and Influential Factors of Industrial Land Use Efficiency: A Case Study in Urban Agglomeration in the Middle Reaches of the Yangtze River. Land Use Policy 2018, 75, 518–529. [Google Scholar] [CrossRef]
- Lu, X.; Tao, X. Local Government Environmental Attention and Urban Land Green Use Efficiency in China: The Intermediary Role of Industrial Restructuring. Land 2023, 13, 21. [Google Scholar] [CrossRef]
- Ma, D.; Zhang, J.; An, B.; Guo, Z.; Zhang, F.; Yan, Y.; Peng, G. Research on Urban Land Green Use Efficiency and Influencing Factors Based on DEA and ESTDA Models: Taking 284 Cities in China as an Example. Ecol. Indic. 2024, 160, 111824. [Google Scholar] [CrossRef]
- Gao, Y.; Li, B.; Sun, W. Resource Curse on Innovation: A Perspective on Local Mining Industry Monopolies in Resource-Based Cities in China. China Econ. Rev. 2023, 81, 102036. [Google Scholar] [CrossRef]
- Li, S.; Zheng, X.; Liao, J.; Niu, J. Low-Carbon City Pilot Policy and Corporate Environmental Performance: Evidence from a Quasi-Natural Experiment. Int. Rev. Econ. Financ. 2024, 89, 1248–1266. [Google Scholar] [CrossRef]
- Baier, S.L.; Bergstrand, J.H. Do Free Trade Agreements Actually Increase Members’ International Trade? J. Int. Econ. 2007, 71, 72–95. [Google Scholar] [CrossRef]
- Luo, S.; Yimamu, N.; Li, Y.; Wu, H.; Irfan, M.; Hao, Y. Digitalization and Sustainable Development: How Could Digital Economy Development Improve Green Innovation in China? Bus. Strategy Environ. 2023, 32, 1847–1871. [Google Scholar] [CrossRef]
- Yang, S.; Wang, J.; Dong, K.; Dong, X.; Wang, K.; Fu, X. Is Artificial Intelligence Technology Innovation a Recipe for Low-Carbon Energy Transition? A Global Perspective. Energy 2024, 300, 131539. [Google Scholar] [CrossRef]
- Dosi, G.; Marengo, L.; Pasquali, C. How Much Should Society Fuel the Greed of Innovators? Res. Policy 2006, 35, 1110–1121. [Google Scholar] [CrossRef]
- Hall, B.H.; Harhoff, D. Recent Research on the Economics of Patents. Annu. Rev. Econ. 2012, 4, 541–565. [Google Scholar] [CrossRef]
- Chen, C.; Wang, S.; Yao, S.; Lin, Y. Does Digital Transformation Increase the Labor Income Share? From a Perspective of Resources Reallocation. Econ. Model. 2023, 128, 106474. [Google Scholar] [CrossRef]
- Li, T.; Li, D.; Liu, Y.; Wei, G.; Liu, C.; Wang, J. The Spatiotemporal Effects on Ecosystem Services Supply-Demand from Industrial Transformation and Upgrading: Promotion or Inhibition? Ecol. Indic. 2024, 161, 111990. [Google Scholar] [CrossRef]
- Bai, T.; Qi, Y.; Li, Z.; Xu, D. Digital Economy, Industrial Transformation and Upgrading, and Spatial Transfer of Carbon Emissions: The Paths for Low-Carbon Transformation of Chinese Cities. J. Environ. Manag. 2023, 344, 118528. [Google Scholar] [CrossRef] [PubMed]
- Zhang, X.; Yao, S.; Zheng, W.; Fang, J. On Industrial Agglomeration and Industrial Carbon Productivity—Impact Mechanism and Nonlinear Relationship. Energy 2023, 283, 129047. [Google Scholar] [CrossRef]
- Ellison, G.; Glaeser, E.L.; Kerr, W.R. What Causes Industry Agglomeration? Evidence from Coagglomeration Patterns. Am. Econ. Rev. 2010, 100, 1195–1213. [Google Scholar] [CrossRef]
- Pan, M.; Zhao, X.; Lv, K.; Rosak-Szyrocka, J.; Mentel, G.; Truskolaski, T. Internet Development and Carbon Emission-Reduction in the Era of Digitalization: Where Will Resource-Based Cities Go? Resour. Policy 2023, 81, 103345. [Google Scholar] [CrossRef]
- Qiao, W.; Huang, X. Assessment the Urbanization Sustainability and Its Driving Factors in Chinese Urban Agglomerations: An Urban Land Expansion—Urban Population Dynamics Perspective. J. Clean. Prod. 2024, 449, 141562. [Google Scholar] [CrossRef]
- Huang, J.; Wang, X.; Zhang, D.; Zhang, Z.; Yan, J.; Xia, F. Trade-Offs under Pressure? Development of Urban Green Space under Economic Growth and Governance. J. Clean. Prod. 2023, 427, 139261. [Google Scholar] [CrossRef]
- Yuan, L.; Li, R.; Wu, X.; He, W.; Kong, Y.; Ramsey, T.S.; Degefu, D.M. Decoupling of Economic Growth and Resources-Environmental Pressure in the Yangtze River Economic Belt, China. Ecol. Indic. 2023, 153, 110399. [Google Scholar] [CrossRef]
- Yang, Y.; Chen, W.; Gu, R. How Does Digital Infrastructure Affect Industrial Eco-Efficiency? Considering the Threshold Effect of Regional Collaborative Innovation. J. Clean. Prod. 2023, 427, 139248. [Google Scholar] [CrossRef]
- Wang, L.; Shao, J. The Energy Saving Effects of Digital Infrastructure Construction: Empirical Evidence from Chinese Industry. Energy 2024, 294, 130778. [Google Scholar] [CrossRef]
- Suo, X.; Zhang, L.; Guo, R.; Lin, H.; Yu, M.; Du, X. The Inverted U-Shaped Association between Digital Economy and Corporate Total Factor Productivity: A Knowledge-Based Perspective. Technol. Forecast. Soc. Chang. 2024, 203, 123364. [Google Scholar] [CrossRef]
- Nicolaescu, S.S.; Florea, A.; Kifor, C.V.; Fiore, U.; Cocan, N.; Receu, I.; Zanetti, P. Human Capital Evaluation in Knowledge-Based Organizations Based on Big Data Analytics. Future Gener. Comput. Syst. 2020, 111, 654–667. [Google Scholar] [CrossRef]
- Hamilton, R.H.; Sodeman, W.A. The Questions We Ask: Opportunities and Challenges for Using Big Data Analytics to Strategically Manage Human Capital Resources. Bus. Horiz. 2020, 63, 85–95. [Google Scholar] [CrossRef]
- Barros, F.; Delalibera, B.R.; Nakabashi, L.; Ribeiro, M.J. Misallocation of Talent, Teachers’ Human Capital, and Development in Brazil. J. Macroecon. 2023, 77, 103542. [Google Scholar] [CrossRef]
- Tang, C.; Qiu, P.; Dou, J. The Impact of Borders and Distance on Knowledge Spillovers—Evidence from Cross-Regional Scientific and Technological Collaboration. Technol. Soc. 2022, 70, 102014. [Google Scholar] [CrossRef]





| Input and Output | Indicators | Variables | References |
|---|---|---|---|
| Input | Land | Urban construction land area | Xue et al., 2022 [14] |
| Capital | Fixed-asset investment | Zhou et al., 2024 [69] | |
| Labor | Employees in the secondary and tertiary industries | Fan et al., 2023 [70] | |
| Desired output | Economic benefits | Value added from the secondary and tertiary industries | Zhou et al., 2024 [69] |
| Social benefits | Per capita disposable income of urban residents | Gu et al., 2023 [28] | |
| Ecological benefits | Green coverage rate of built-up areas | Tan et al., 2021; Shang et al., 2022 [7,71] | |
| Undesired output | Pollutant emissions | Industrial wastewater discharge | Xie et al., 2018 [72] |
| Industrial sulfur dioxide emissions | Lu and Tao, 2023; Ma et al., 2024 [73,74] | ||
| Industrial smoke (dust) emissions | Feng et al., 2023; Ma et al., 2024 [67,74] |
| Variable | Obs | Mean | Std. Dev. | Min. | Max. |
|---|---|---|---|---|---|
| ULGUE | 4496 | 0.7497 | 0.1219 | 0.3924 | 1.1388 |
| NBDCPZ | 4496 | 0.0743 | 0.3100 | 0.0000 | 1.0000 |
| PGDP | 4496 | 11.6658 | 0.7121 | 8.8433 | 14.3869 |
| GDP | 4496 | 16.3604 | 1.0095 | 14.1215 | 19.0140 |
| INF | 4496 | 2.5732 | 0.3908 | 0.2328 | 4.7631 |
| GOV | 4496 | 0.1839 | 0.0998 | 0.0427 | 1.0268 |
| RES | 4496 | 0.0289 | 0.0857 | 0.0000 | 3.9874 |
| DEN | 4496 | 0.2293 | 0.4934 | −1.6174 | 2.6077 |
| (1) | (2) | (3) | |
|---|---|---|---|
| ULGUE | ULGUE | ULGUE | |
| NBDCPZ | 0.0283 *** | 0.0258 *** | 0.0223 ** |
| (0.0099) | (0.0095) | (0.0093) | |
| PGDP | 0.0170 ** | 0.0582 *** | |
| (0.0068) | (0.0125) | ||
| GDP | −0.0657 *** | −0.0917 *** | |
| (0.0160) | (0.0176) | ||
| INF | 0.0399 *** | 0.0370 *** | |
| (0.0072) | (0.0074) | ||
| GOV | −0.1123 * | −0.1172 ** | |
| (0.0591) | (0.0573) | ||
| RES | −0.0178 | ||
| (0.0113) | |||
| DEN | 0.0551 *** | ||
| 0.0223 ** | |||
| Constant | 0.7476 *** | 1.5426 *** | 1.4832 *** |
| (0.0007) | (0.2434) | (0.2356) | |
| City FE | Yes | Yes | Yes |
| Year FE | Yes | Yes | Yes |
| Observations | 4496 | 4496 | 4496 |
| R2 | 0.825 | 0.835 | 0.838 |
| (1) | (2) | (3) | (4) | (5) | (6) | (7) | |
|---|---|---|---|---|---|---|---|
| ULGUE | ULGUE | ULGUE | ULGUE | ULGUE | ULGUE | ULGUE | |
| NBDCPZ | 0.0165 * | 0.0192 ** | 0.0183 ** | 0.0185 ** | 0.0257 ** | 0.0228 ** | 0.0028 ** |
| (0.0085) | (0.0088) | (0.0084) | (0.0085) | (0.0107) | (0.0095) | (0.0092) | |
| NBDCPZ_pre1 | 0.0044 | ||||||
| (0.0063) | |||||||
| URB | 0.0152 | ||||||
| (0.0231) | |||||||
| SCI | 0.0952 | ||||||
| 0.6446 | |||||||
| FIN | −0.0266 | ||||||
| 0.0184 | |||||||
| Constant | 0.8233 *** | 1.7571 *** | 1.8587 *** | 2.0271 *** | 1.4746 *** | 1.4815 *** | 1.7180 *** |
| (0.1905) | (0.2351) | (0.2206) | (0.2335) | (0.2338) | (0.2356) | (0.3170) | |
| Controls | Yes | Yes | Yes | Yes | Yes | Yes | Yes |
| City FE | Yes | Yes | Yes | Yes | Yes | Yes | Yes |
| Year FE | Yes | Yes | Yes | Yes | Yes | Yes | Yes |
| Observations | 4496 | 4496 | 4496 | 4496 | 4496 | 4496 | 4496 |
| R2 | 0.843 | 0.857 | 0.865 | 0.864 | 0.838 | 0.838 | 0.838 |
| (8) | (9) | (10) | (11) | (12) | (13) | (14) | |
| ULGUE | ULGUE | ULGUE | ULGUE | ULGUE | NBDCPZ | ULGUE | |
| NBDCPZ | 0.0223 ** | 0.0215 ** | 0.0224 ** | 0.0224 ** | 0.0231 ** | 0.3434 * | |
| (0.0093) | (0.0094) | (0.0093) | (0.0106) | (0.0093) | (0.1796) | ||
| LCC | −0.0026 | ||||||
| (0.0084) | |||||||
| CETC | 0.0175 * | ||||||
| (0.0103) | |||||||
| SC | −0.0007 | ||||||
| (0.0059) | |||||||
| IV | 0.0048 ** | ||||||
| (0.0024) | |||||||
| Constant | 1.4820 *** | 1.5177 *** | 1.4830 *** | 1.5414 *** | 1.4459 *** | — | — |
| (0.2358) | (0.2358) | (0.2356) | (0.2410) | (0.2208) | |||
| Controls | Yes | Yes | Yes | Yes | Yes | Yes | Yes |
| City FE | Yes | Yes | Yes | Yes | Yes | Yes | Yes |
| Year FE | Yes | Yes | Yes | Yes | Yes | Yes | Yes |
| Kleibergen–Paap rk LM statistic | — | — | — | — | — | 3.917 * | |
| Cragg–Donald Wald F statistic | — | — | — | — | — | 51.322 *** | |
| Observations | 4496 | 4496 | 4496 | 4016 | 4352 | 4496 | 4496 |
| R2 | 0.838 | 0.839 | 0.838 | 0.817 | 0.842 | — | — |
| (1) | (2) | (3) | (4) | (5) | |
|---|---|---|---|---|---|
| Innovation | Substantial Innovation | Strategic Innovation | Capital Misallocation | Labor Misallocation | |
| NBDCPZ | 0.2748 * | 0.1955 *** | 0.2584 *** | −1.9268 *** | 0.4740 ** |
| (0.1492) | (0.0481) | (0.0579) | (0.7387) | (0.2076) | |
| PGDP | 0.5955 *** | 0.5073 *** | 0.2368 ** | 0.7671 | 2.1849 *** |
| (0.2098) | (0.0844) | (0.1004) | (0.8419) | (0.3399) | |
| GDP | −0.2998 | −0.0305 | 0.2072* | −6.1028 *** | −2.6064 *** |
| (0.2466) | (0.0988) | (0.1133) | (1.1614) | (0.4993) | |
| INF | 0.1408 | −0.0043 | −0.0475 | 0.5893 | 0.0824 |
| (0.0872) | (0.0338) | (0.0415) | (0.3594) | (0.1187) | |
| GOV | 0.8940 | −0.0349 | 1.0747 *** | −10.2378 *** | −2.1460 |
| (0.7562) | (0.3006) | (0.3227) | (3.9207) | (1.3812) | |
| RES | 0.0687 | 0.0346 | −0.0472 | −0.1182 | 0.1721 |
| (0.0931) | (0.0442) | (0.0833) | (0.3102) | (0.1248) | |
| DEN | −0.4961 ** | −0.2123 ** | −0.2984 *** | −1.1713 | 0.0473 |
| (0.2002) | (0.0824) | (0.0856) | (0.7129) | (0.2885) | |
| Constant | −0.2901 | −3.2377 *** | −4.8172 *** | 96.1162 *** | 20.0705 *** |
| (3.1103) | (1.2309) | (1.3207) | (15.9171) | (6.4120) | |
| City FE | Yes | Yes | Yes | Yes | Yes |
| Year FE | Yes | Yes | Yes | Yes | Yes |
| Observations | 4496 | 4496 | 4496 | 4496 | 4496 |
| R2 | 0.855 | 0.938 | 0.875 | 0.874 | 0.938 |
| (6) | (7) | (8) | (9) | (10) | |
| Rationalization | Upgrading | Manufacturing Agglomeration | Service Agglomeration | Collaborative Agglomeration | |
| NBDCPZ | −0.0268 | −0.0331 | 0.1123*** | 0.0074 | 0.0784* |
| (0.0367) | (0.0297) | (0.0399) | (0.0301) | (0.0449) | |
| PGDP | 0.0044 | 0.0597 | 0.0267 | 0.0496 | 0.0459 |
| (0.0539) | (0.0415) | (0.0503) | (0.0306) | (0.0590) | |
| GDP | −0.5040 *** | −0.2303 *** | 0.1549 ** | −0.1016 * | 0.0851 |
| (0.0831) | (0.0553) | (0.0706) | (0.0519) | (0.0871) | |
| INF | 0.0318 | −0.0043 | 0.0339 | 0.0338 ** | 0.0524 * |
| (0.0269) | (0.0207) | (0.0265) | (0.0148) | (0.0281) | |
| GOV | 0.3438 | 0.9260 *** | 0.2401 * | 0.1932 | 0.3194 |
| (0.2942) | (0.1559) | (0.1412) | (0.1563) | (0.2191) | |
| RES | −0.0654 | −0.0022 | 0.0582 | −0.0176 | 0.0853 |
| (0.0528) | (0.0887) | (0.0941) | (0.0383) | (0.0869) | |
| DEN | 0.0221 | 0.0829* | −0.0269 | 0.0235 | −0.0532 |
| (0.0585) | (0.0455) | (0.0494) | (0.0305) | (0.0609) | |
| Constant | 9.0158 *** | 3.2887 *** | −2.1341 ** | 1.7415 ** | 0.2315 |
| (1.1677) | (0.7553) | (0.9590) | (0.7213) | (1.1256) | |
| City FE | Yes | Yes | Yes | Yes | Yes |
| Year FE | Yes | Yes | Yes | Yes | Yes |
| Observations | 4496 | 4496 | 4496 | 4496 | 4496 |
| R2 | 0.859 | 0.797 | 0.824 | 0.739 | 0.782 |
| (1) | (2) | (3) | (4) | (5) | (6) | |
|---|---|---|---|---|---|---|
| Resource-Based Cities | Non-Resource-Based Cities | Developing City Clusters | Mature City Clusters | Low Economic Growth Pressure | High Economic Growth Pressure | |
| NBDCPZ | 0.0272 | 0.0206 * | 0.0173 | 0.0299 *** | 0.0334 ** | 0.0115 |
| (0.0169) | (0.0116) | (0.0222) | (0.0102) | (0.0131) | (0.0098) | |
| Constant | 1.8293 *** | 1.2965 *** | 2.1994 *** | 0.7466 ** | 1.4402 *** | 1.5291 *** |
| (0.3178) | (0.3441) | (0.3533) | (0.3493) | (0.3453) | (0.2656) | |
| Controls | Yes | Yes | Yes | Yes | Yes | Yes |
| City FE | Yes | Yes | Yes | Yes | Yes | Yes |
| Year FE | Yes | Yes | Yes | Yes | Yes | Yes |
| Observations | 1776 | 2720 | 1376 | 3120 | 2216 | 2199 |
| R2 | 0.800 | 0.857 | 0.820 | 0.846 | 0.865 | 0.841 |
| (7) | (8) | (9) | (10) | (11) | (12) | |
| Low Digital Infrastructure | Medium Digital Infrastructure | High Digital Infrastructure | Low Human Capital | Medium Human Capital | High Human Capital | |
| NBDCPZ | −0.0037 | 0.0540 *** | 0.0292 ** | 0.0129 | 0.0316 ** | 0.0054 |
| (0.0097) | (0.0185) | (0.0136) | (0.0388) | (0.0159) | (0.0618) | |
| Constant | 1.0259 *** | 1.7720 *** | 1.2944 *** | 1.5816 *** | 1.4831 *** | 1.2569 *** |
| (0.2861) | (0.3483) | (0.3703) | (0.4065) | (0.3042) | (0.5576) | |
| Controls | Yes | Yes | Yes | Yes | Yes | Yes |
| City FE | Yes | Yes | Yes | Yes | Yes | Yes |
| Year FE | Yes | Yes | Yes | Yes | Yes | Yes |
| Observations | 1392 | 1398 | 1398 | 1493 | 1491 | 1487 |
| R2 | 0.871 | 0.865 | 0.878 | 0.802 | 0.816 | 0.803 |
| (1) | (2) | (3) | |
|---|---|---|---|
| KNN1 | KNN2 | KNN3 | |
| 0.0388 | 0.0724 * | 0.1048 ** | |
| (0.0361) | (0.0381) | (0.0423) | |
| −0.0063 | 0.0111 | 0.0090 | |
| (0.0161) | (0.0128) | (0.0131) | |
| 0.0003 ** | −0.0002 | 0.0002 | |
| (0.0001) | (0.0003) | (0.0002) | |
| NBDCPZ | 0.0270 ** | 0.0161 * | 0.0165 * |
| (0.0104) | (0.0091) | (0.0087) | |
| Constant | 1.4049 *** | 1.3885 *** | 1.3136 *** |
| (0.2390) | (0.2396) | (0.2471) | |
| Controls | Yes | Yes | Yes |
| City FE | Yes | Yes | Yes |
| Year FE | Yes | Yes | Yes |
| Observations | 4,496 | 4,496 | 4,496 |
| R2 | 0.839 | 0.839 | 0.839 |
Disclaimer/Publisher’s Note: The statements, opinions and data contained in all publications are solely those of the individual author(s) and contributor(s) and not of MDPI and/or the editor(s). MDPI and/or the editor(s) disclaim responsibility for any injury to people or property resulting from any ideas, methods, instructions or products referred to in the content. |
© 2024 by the authors. Licensee MDPI, Basel, Switzerland. This article is an open access article distributed under the terms and conditions of the Creative Commons Attribution (CC BY) license (https://creativecommons.org/licenses/by/4.0/).
Share and Cite
Zhou, G.; Xu, H.; Jiang, C.; Deng, S.; Chen, L.; Zhang, Z. Has the Digital Economy Improved the Urban Land Green Use Efficiency? Evidence from the National Big Data Comprehensive Pilot Zone Policy. Land 2024, 13, 960. https://doi.org/10.3390/land13070960
Zhou G, Xu H, Jiang C, Deng S, Chen L, Zhang Z. Has the Digital Economy Improved the Urban Land Green Use Efficiency? Evidence from the National Big Data Comprehensive Pilot Zone Policy. Land. 2024; 13(7):960. https://doi.org/10.3390/land13070960
Chicago/Turabian StyleZhou, Guangya, Helian Xu, Chuanzeng Jiang, Shiqi Deng, Liming Chen, and Zhi Zhang. 2024. "Has the Digital Economy Improved the Urban Land Green Use Efficiency? Evidence from the National Big Data Comprehensive Pilot Zone Policy" Land 13, no. 7: 960. https://doi.org/10.3390/land13070960
APA StyleZhou, G., Xu, H., Jiang, C., Deng, S., Chen, L., & Zhang, Z. (2024). Has the Digital Economy Improved the Urban Land Green Use Efficiency? Evidence from the National Big Data Comprehensive Pilot Zone Policy. Land, 13(7), 960. https://doi.org/10.3390/land13070960

