Spatiotemporal Changes and Driving Mechanisms of Cropland Reclamation and Abandonment in Xinjiang
Abstract
1. Introduction
2. Materials and Methods
2.1. Study Area
2.2. Data Resources and Preprocessing
2.3. Methods
2.3.1. Cropland Reclamation Rate and Cropland Abandonment Rate
2.3.2. Center of Gravity Model
2.3.3. Optimal Parameter Geographic Detector Model
3. Results
3.1. Cropland Reclamation and Abandonment Changes
3.2. Drivers of Cropland Reclamation and Abandonment
4. Discussion
4.1. Spatial and Temporal Patterns of Cropland Reclamation and Abandonment
4.2. Divergent Drivers of Cropland Reclamation and Abandonment
4.3. Limitations and Future Directions
5. Conclusions
- (1)
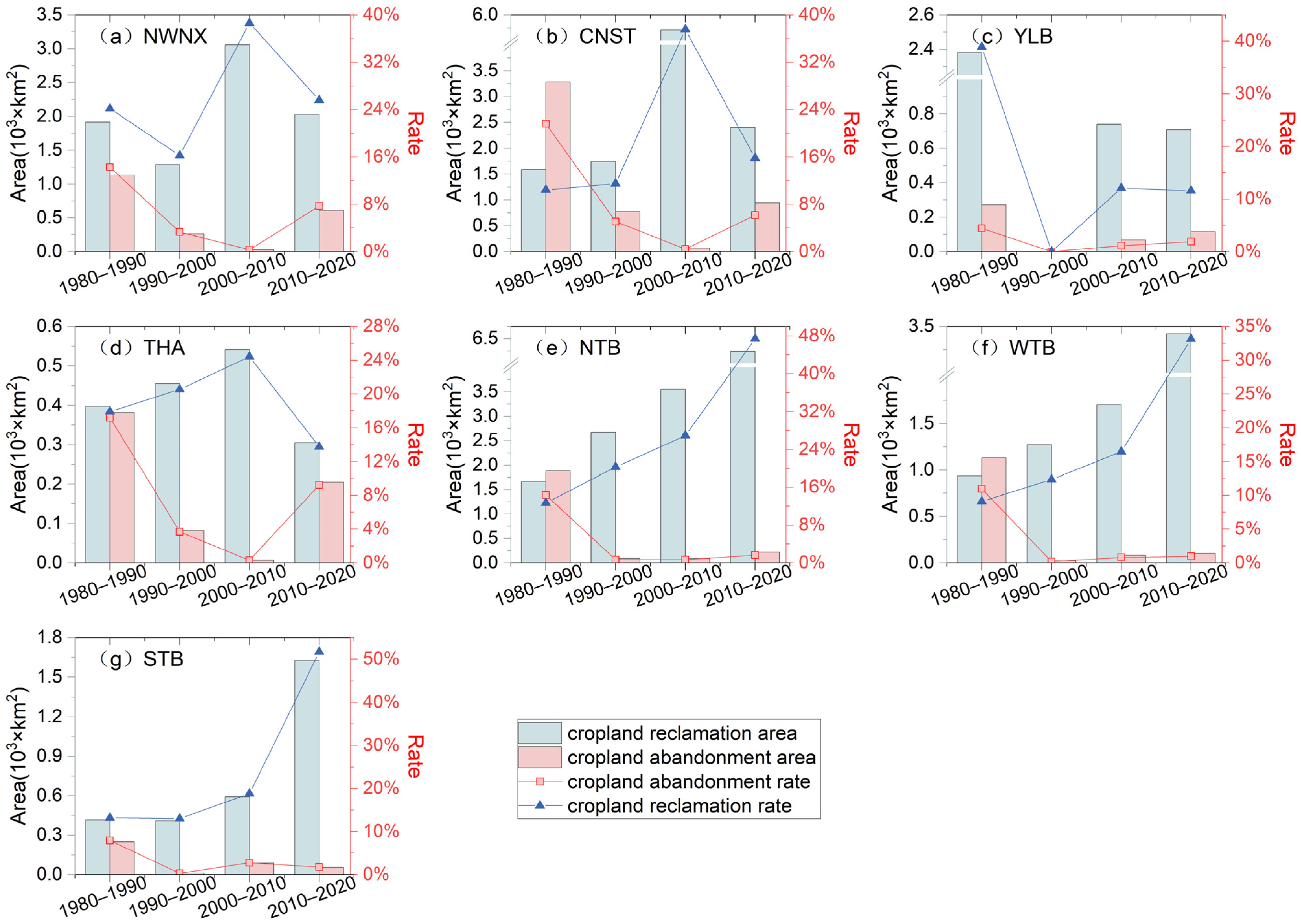
- Since 1980, the cropland area in Xinjiang has shown a stable increasing trend, despite the large-scale reclamation of grassland and cropland abandonment. The area and rate of cropland reclamation show a “V-shaped” upward trend, while the area and rate of cropland abandonment show a “U-shaped” downward trend. The changes in Xinjiang’s cropland have undergone three main stages: 1980–1990, characterized by unstable growth with frequent reclamation and abandonment; 1990–2010, marked by stable growth with a significant reduction in abandonment; and 2010–2020, a period of coexisting growth and constraints, still dominated by reclamation but with some increase in abandonment.
- (2)
- Cropland reclamation and abandonment in Xinjiang exhibited significant spatiotemporal differentiation, both overall and across the sub-regions. The center of gravity of cropland reclamation moved “slightly southeast–slightly northeast–southwest”, while the center of gravity of abandonment shifted “northeast–southwest–northeast”. The southern regions (NTB, WTB, and STB) showed a steady rise in cropland reclamation, with the declining abandonment rates stabilizing after 2000. In contrast, the northern regions (NWNX, CNST, YLB, and THA) showed volatile reclamation and fluctuating abandonment rates.
- (3)
- The primary driving factors of cropland reclamation and abandonment vary across development stages. Over time, the influence of agricultural technological investment and infrastructure improvements on reclamation has increased, while the relative importance of natural environmental factors (such as precipitation, distance to rivers, and topography) has declined. The climatic conditions (temperature, precipitation) and water accessibility (average distance to rivers) remain crucial in determining cropland abandonment, but the impact of economic and social factors has weakened, and the influence of agricultural mechanization has grown.
Author Contributions
Funding
Data Availability Statement
Conflicts of Interest
References
- Huang, Z.; Du, X.; Castillo, C.S.Z. How Does Urbanization Affect Farmland Protection? Evidence from China. Resour. Conserv. Recycl. 2019, 145, 139–147. [Google Scholar] [CrossRef]
- Chen, W.-G.; Kong, X.-B. Science and Technology Innovation Strategy for Cultivated Land Conservation of China. Chin. J. Soil Sci. 2023, 54, 947–954. [Google Scholar] [CrossRef]
- Olsen, V.M.; Fensholt, R.; Olofsson, P.; Bonifacio, R.; Butsic, V.; Druce, D.; Ray, D.; Prishchepov, A.V. The Impact of Conflict-Driven Cropland Abandonment on Food Insecurity in South Sudan Revealed Using Satellite Remote Sensing. Nat. Food 2021, 2, 990–996. [Google Scholar] [CrossRef]
- Chai, L.; Liu, A.; Li, X.; Guo, Z.; He, W.; Huang, J.; Bai, T.; Liu, J. Telecoupled Impacts of the Russia–Ukraine War on Global Cropland Expansion and Biodiversity. Nat. Sustain. 2024, 7, 432–441. [Google Scholar] [CrossRef]
- Wheeler, T.; von Braun, J. Climate Change Impacts on Global Food Security. Science 2013, 341, 508–513. [Google Scholar] [CrossRef]
- Kong, L.; Wu, T.; Xiao, Y.; Xu, W.; Zhang, X.; Daily, G.C.; Ouyang, Z. Natural Capital Investments in China Undermined by Reclamation for Cropland. Nat. Ecol. Evol. 2023, 7, 1771–1777. [Google Scholar] [CrossRef]
- Kehoe, L.; Romero-Muñoz, A.; Polaina, E.; Estes, L.; Kreft, H.; Kuemmerle, T. Biodiversity at Risk under Future Cropland Expansion and Intensification. Nat. Ecol. Evol. 2017, 1, 1129–1135. [Google Scholar] [CrossRef]
- Pendrill, F.; Gardner, T.A.; Meyfroidt, P.; Persson, U.M.; Adams, J.; Azevedo, T.; Bastos Lima, M.G.; Baumann, M.; Curtis, P.G.; De Sy, V.; et al. Disentangling the Numbers behind Agriculture-Driven Tropical Deforestation. Science 2022, 377, eabm9267. [Google Scholar] [CrossRef]
- Lark, T.J.; Spawn, S.A.; Bougie, M.; Gibbs, H.K. Cropland Expansion in the United States Produces Marginal Yields at High Costs to Wildlife. Nat. Commun. 2020, 11, 4295. [Google Scholar] [CrossRef]
- Fan, Z.L.; Wu, S.X.; Wu, Y.; Zhang, P.; Zhao, X.F.; Zhang, J. The Land Reclamation in Xinjiang since the Founding of New China. J. Nat. Resour. 2013, 28, 713–720. [Google Scholar] [CrossRef]
- HU, R.J.; Ma, H.; Fan, Z.L.; Yang, Q.; Wu, S.F.; Huang, Y.Y. Response of Water Resources to Climate Change in Xinjiang. J. Nat. Resour. 2002, 17, 22–27. [Google Scholar] [CrossRef]
- Zhu, H.; Li, Y. An Empirical Analysis of the Causes of Farmland Expansion in Northwest China. Prog. Geogr. 2011, 30, 615–620. [Google Scholar] [CrossRef]
- Jin, X.; Cao, X.; Du, X.; Yang, X.; Bai, Q.; Zhou, Y. Farmland Dataset Reconstruction and Farmland Change Analysis in China during 1661–1985. J. Geogr. Sci. 2015, 25, 1058–1074. [Google Scholar] [CrossRef]
- Wu, T.J.; Luo, J.C.; Zhang, X.; Dong, W.; Huang, Q.T.; Zhou, Y.N.; Liu, W.; Sun, Y.W.; Yang, Y.P.; Hu, X.D.; et al. Remote Sensing Granular Computing and Precise Applications Based on Geo-Parcels. Natl. Remote Sens. Bull. 2023, 27, 2774–2795. [Google Scholar] [CrossRef]
- Zhang, Q.; Luo, G.; Li, L.; Zhang, M.; Lv, N.; Wang, X. An Analysis of Oasis Evolution Based on Land Use and Land Cover Change: A Case Study in the Sangong River Basin on the Northern Slope of the Tianshan Mountains. J. Geogr. Sci. 2017, 27, 223–239. [Google Scholar] [CrossRef]
- Zhao, R.F.; Chen, Y.N.; Li, W.H.; Zhang, L.H.; Wu, S.X.; Huang, Q. Land Cover Change and Landscape Pattern in the Mainstream of the Tarim River. Acta Geogr. Sin. 2009, 64, 95–106. [Google Scholar]
- Xu, Z.; Fan, W.; Wei, H.; Zhang, P.; Ren, J.; Gao, Z.; Ulgiati, S.; Kong, W.; Dong, X. Evaluation and Simulation of the Impact of Land Use Change on Ecosystem Services Based on a Carbon Flow Model: A Case Study of the Manas River Basin of Xinjiang, China. Sci. Total Environ. 2019, 652, 117–133. [Google Scholar] [CrossRef]
- Chen, H.; Wu, S.; Feng, X. Study on the Changes of Cultivated Land and the Driving Factors in Xinjiang: Based on RS and GIS. J. Nat. Resour. 2010, 25, 614–624. [Google Scholar] [CrossRef]
- Gao, X.; Cheng, W.; Wang, N.; Liu, Q.; Ma, T.; Chen, Y.; Zhou, C. Spatio-Temporal Distribution and Transformation of Cropland in Geomorphologic Regions of China during 1990–2015. J. Geogr. Sci. 2019, 29, 180–196. [Google Scholar] [CrossRef]
- Xu, H.; Yong, N.; Xia, X.; Sheng, J.; Yili, Z. Monitoring Land-Use Change in Hetian Tarim Basin, China Using Satellite Remote Sensing Observation between 1990 and 2016. Prog. Geogr. 2020, 39, 577–590. [Google Scholar]
- Cai, T.; Zhang, X.; Xia, F.; Zhang, Z.; Yin, J.; Wu, S. The Process-Mode-Driving Force of Cropland Expansion in Arid Regions of China Based on the Land Use Remote Sensing Monitoring Data. Remote Sens. 2021, 13, 2949. [Google Scholar] [CrossRef]
- Meyfroidt, P.; Schierhorn, F.; Prishchepov, A.V.; Müller, D.; Kuemmerle, T. Drivers, Constraints and Trade-Offs Associated with Recultivating Abandoned Cropland in Russia, Ukraine and Kazakhstan. Glob. Environ. Chang. 2016, 37, 1–15. [Google Scholar] [CrossRef]
- Hou, D.; Meng, F.; Prishchepov, A.V. How Is Urbanization Shaping Agricultural Land-Use? Unraveling the Nexus between Farmland Abandonment and Urbanization in China. Landsc. Urban Plan. 2021, 214, 104170. [Google Scholar] [CrossRef]
- Arnaez, J.; Lasanta, T.; Errea, M.P.; Ortigosa, L. Land Abandonment, Landscape Evolution, and Soil Erosion in a Spanish Mediterranean Mountain Region: The Case of Camero Viejo. Land Degrad. Dev. 2011, 22, 537–550. [Google Scholar] [CrossRef]
- Shi, W.; Tao, F.; Liu, J.; Xu, X.; Kuang, W.; Dong, J.; Shi, X. Has Climate Change Driven Spatio-Temporal Changes of Cropland in Northern China since the 1970s? Clim. Chang. 2014, 124, 163–177. [Google Scholar] [CrossRef]
- Zhang, Y.; Li, X.; Song, W. Determinants of Cropland Abandonment at the Parcel, Household and Village Levels in Mountain Areas of China: A Multi-Level Analysis. Land Use Policy 2014, 41, 186–192. [Google Scholar] [CrossRef]
- Han, Z.; Song, W. Abandoned Cropland: Patterns and Determinants within the Guangxi Karst Mountainous Area, China. Appl. Geogr. 2020, 122, 102245. [Google Scholar] [CrossRef]
- Wu, B.; Fu, Z.; Fu, B.; Yan, C.; Zeng, H.; Zhao, W. Dynamics of Land Cover Changes and Driving Forces in China’s Drylands since the 1970 s. Land Use Policy 2024, 140, 107097. [Google Scholar] [CrossRef]
- Cai, H.; Wang, Z.; Du, G.; Zhang, D. Assessing the Impacts of Rural Residential Land and Cropland Transition on Agricultural Production in Northeast China. Food Energy Secur. 2023, 12, e482. [Google Scholar] [CrossRef]
- Zhong, Y.; Sun, J.; Wang, Q.; Ou, D.; Tian, Z.; Yu, W.; Li, P.; Gao, X. Spatiotemporal Distribution and Driving Mechanisms of Cropland Long-Term Stability in China from 1990 to 2018. Land 2024, 13, 1016. [Google Scholar] [CrossRef]
- Chen, Y.; Li, X.; Liu, X.; Ai, B.; Li, S. Capturing the Varying Effects of Driving Forces over Time for the Simulation of Urban Growth by Using Survival Analysis and Cellular Automata. Landsc. Urban Plan. 2016, 152, 59–71. [Google Scholar] [CrossRef]
- Guo, A.; Yue, W.; Yang, J.; Xue, B.; Xiao, W.; Li, M.; He, T.; Zhang, M.; Jin, X.; Zhou, Q. Cropland Abandonment in China: Patterns, Drivers, and Implications for Food Security. J. Clean. Prod. 2023, 418, 138154. [Google Scholar] [CrossRef]
- Chen, Y.; Li, W.; Deng, H.; Fang, G.; Li, Z. Changes in Central Asia’s Water Tower: Past, Present and Future. Sci. Rep. 2016, 6, 35458. [Google Scholar] [CrossRef]
- Yao, J.; Mao, W.; Chen, J.; Dilinuer, T. Recent Signal and Impact of Wet-to-Dry Climatic Shift in Xinjiang, China. J. Geogr. Sci. 2021, 31, 1283–1298. [Google Scholar] [CrossRef]
- Ding, Y.; Liu, Y.; Xu, Y.; Wu, P.; Xue, T.; Wang, J.; Shi, Y.; Zhang, Y.; Song, Y.; Wang, P. Regional Responses to Global Climate Change: Progress and Prospects for Trend, Causes, and Projection of Climatic Warming-Wetting in Northwest China. Adv. Earth Sci. 2023, 38, 551. [Google Scholar] [CrossRef]
- Chuai, X.; Huang, X.; Wu, C.; Li, J.; Lu, Q.; Qi, X.; Zhang, M.; Zuo, T.; Lu, J. Land Use and Ecosystems Services Value Changes and Ecological Land Management in Coastal Jiangsu, China. Habitat Int. 2016, 57, 164–174. [Google Scholar] [CrossRef]
- Liu, J.; Zhang, Z.; Xu, X.; Kuang, W.; Zhou, W.; Zhang, S.; Li, R.; Yan, C.; Yu, D.; Wu, S.; et al. Spatial Patterns and Driving Forces of Land Use Change in China during the Early 21st Century. J. Geogr. Sci. 2010, 20, 483–494. [Google Scholar] [CrossRef]
- Liu, J.Y.; Liu, M.L.; Deng, X.Z.; Zhuang, D.F.; Zhang, Z.X.; Luo, D. The Land Use and Land Cover Change Database and Its Relative Studies in China. J. Geogr. Sci. 2002, 12, 275–282. [Google Scholar] [CrossRef]
- Liu, F.; Yan, H.M.; Liu, J.Y.; Xiao, X.; Qin, Y.W. Spatial Pattern of Land Use Intensity in China in 2000. Acta Geogr. Sin. 2016, 71, 1130–1143. [Google Scholar] [CrossRef]
- Ning, J.; Liu, J.; Kuang, W.; Xu, X.; Zhang, S.; Yan, C.; Li, R.; Wu, S.; Hu, Y.; Du, G.; et al. Spatiotemporal Patterns and Characteristics of Land-Use Change in China during 2010–2015. J. Geogr. Sci. 2018, 28, 547–562. [Google Scholar] [CrossRef]
- Kuang, W.H.; Zhang, S.W.; Du, G.M.; Yan, C.Z.; Wu, S.X.; Li, R.D.; Lu, D.S.; Pan, T.; Ning, J.; Guo, C.Q. Remotely Sensed Mapping and Analysis of Spatio-Temporal Patterns of Land Use Change across China in 2015–2020. Acta Geogr. Sin. 2022, 77, 1056–1071. [Google Scholar] [CrossRef]
- Zhang, M.; Li, G.; He, T.; Zhai, G.; Guo, A.; Chen, H.; Wu, C. Reveal the Severe Spatial and Temporal Patterns of Abandoned Cropland in China over the Past 30 Years. Sci. Total Environ. 2023, 857, 159591. [Google Scholar] [CrossRef]
- Xu, F.; Wang, Z.; Chi, G.; Zhang, Z. The Impacts of Population and Agglomeration Development on Land Use Intensity: New Evidence behind Urbanization in China. Land Use Policy 2020, 95, 104639. [Google Scholar] [CrossRef]
- Movahedi, R.; Jawanmardi, S.; Azadi, H.; Goli, I.; Viira, A.-H.; Witlox, F. Why Do Farmers Abandon Agricultural Lands? The Case of Western Iran. Land Use Policy 2021, 108, 105588. [Google Scholar] [CrossRef]
- Wang, S.; Tan, S.; Yang, S.; Lin, Q.; Zhang, L. Urban-Biased Land Development Policy and the Urban-Rural Income Gap: Evidence from Hubei Province, China. Land Use Policy 2019, 87, 104066. [Google Scholar] [CrossRef]
- Chen, S.; Chen, X.; Xu, J. Impacts of Climate Change on Agriculture: Evidence from China. J. Environ. Econ. Manag. 2016, 76, 105–124. [Google Scholar] [CrossRef]
- Wang, Z.; Sun, S. Transportation Infrastructure and Rural Development in China. China Agric. Econ. Rev. 2016, 8, 516–525. [Google Scholar] [CrossRef]
- Prishchepov, A.V.; Müller, D.; Dubinin, M.; Baumann, M.; Radeloff, V.C. Determinants of Agricultural Land Abandonment in Post-Soviet European Russia. Land Use Policy 2013, 30, 873–884. [Google Scholar] [CrossRef]
- Yang, H.; Zhang, F.; Chen, Y.; Xu, T.; Cheng, Z.; Liang, J. Assessment of Reclamation Treatments of Abandoned Farmland in an Arid Region of China. Sustainability 2016, 8, 1183. [Google Scholar] [CrossRef]
- Hussain, S.; Shaukat, M.; Ashraf, M.; Zhu, C.; Jin, Q.; Zhang, J.; Hussain, S.; Shaukat, M.; Ashraf, M.; Zhu, C.; et al. Salinity Stress in Arid and Semi-Arid Climates: Effects and Management in Field Crops. In Climate Change and Agriculture; IntechOpen: London, UK, 2019; ISBN 978-1-78985-668-2. [Google Scholar]
- Liu, B.; Song, W. Mapping Abandoned Cropland Using Within-Year Sentinel-2 Time Series. CATENA 2023, 223, 106924. [Google Scholar] [CrossRef]
- Xiao, G.; Zhu, X.; Hou, C.; Xia, X. Extraction and Analysis of Abandoned Farmland: A Case Study of Qingyun and Wudi Counties in Shandong Province. J. Geogr. Sci. 2019, 29, 581–597. [Google Scholar] [CrossRef]
- Zuo, L.; Zhang, Z.; Zhao, X.; Wang, X.; Wu, W.; Yi, L.; Liu, F. Multitemporal Analysis of Cropland Transition in a Climate-Sensitive Area: A Case Study of the Arid and Semiarid Region of Northwest China. Reg. Environ. Chang. 2014, 14, 75–89. [Google Scholar] [CrossRef]
- Wang, J.; Li, X.; Christakos, G.; Liao, Y.; Zhang, T.; Gu, X.; Zheng, X. Geographical Detectors-Based Health Risk Assessment and Its Application in the Neural Tube Defects Study of the Heshun Region, China. Int. J. Geogr. Inf. Sci. 2010, 24, 107–127. [Google Scholar] [CrossRef]
- Ding, Y.; Cai, J.M.; Ren, Z.P.; Yang, Z. Spatial Disparities of Economic Growth Rate of China’s National-Level ETDZs and Their Determinants Based on Geographical Detector Analysis. Prog. Geogr. 2014, 33, 657–666. [Google Scholar] [CrossRef]
- Cao, F.; Ge, Y.; Wang, J.-F. Optimal Discretization for Geographical Detectors-Based Risk Assessment. GISci. Remote Sens. 2013, 50, 78–92. [Google Scholar] [CrossRef]
- Wang, J.; Xu, C. Geodetector: Principle and Prospective. Acta Geogr. Sin. 2017, 72, 116–134. [Google Scholar] [CrossRef]
- Liu, J.; Kuang, W.; Zhang, Z.; Xu, X.; Qin, Y.; Ning, J.; Zhou, W.; Zhang, S.; Li, R.; Yan, C.; et al. Spatiotemporal Characteristics, Patterns, and Causes of Land-Use Changes in China since the Late 1980s. J. Geogr. Sci. 2014, 24, 195–210. [Google Scholar] [CrossRef]
- Zuo, L.; Zhang, Z.; Carlson, K.M.; MacDonald, G.K.; Brauman, K.A.; Liu, Y.; Zhang, W.; Zhang, H.; Wu, W.; Zhao, X.; et al. Progress towards Sustainable Intensification in China Challenged by Land-Use Change. Nat. Sustain. 2018, 1, 304–313. [Google Scholar] [CrossRef]
- Cheng, H.; Wang, X.; Chen, D. Research on Spatial-Temporal Variations of Cultivated Land in China Based on GlobeLand30. Front. Environ. Sci. 2022, 10, 929760. [Google Scholar] [CrossRef]
- Potapov, P.; Turubanova, S.; Hansen, M.C.; Tyukavina, A.; Zalles, V.; Khan, A.; Song, X.-P.; Pickens, A.; Shen, Q.; Cortez, J. Global Maps of Cropland Extent and Change Show Accelerated Cropland Expansion in the Twenty-First Century. Nat. Food 2022, 3, 19–28. [Google Scholar] [CrossRef]
- Lichtenberg, E.; Ding, C. Assessing Farmland Protection Policy in China. Land Use Policy 2008, 25, 59–68. [Google Scholar] [CrossRef]
- Li, X.; Chen, Y.; Xu, L.; Li, P.; Zhang, R. Transformation of Farmland Use and Driving Mechanism in Xinjiang since China’s Western Development Policy. Front. Ecol. Evol. 2022, 10, 942065. [Google Scholar] [CrossRef]
- García-Ruiz, J.M.; Lana-Renault, N. Hydrological and Erosive Consequences of Farmland Abandonment in Europe, with Special Reference to the Mediterranean Region—A Review. Agric. Ecosyst. Environ. 2011, 140, 317–338. [Google Scholar] [CrossRef]
- Yan, X.; Wang, Y.; Chen, Y.; Yang, G.; Xia, B.; Xu, H. Study on the Spatial Allocation of Receding Land and Water Reduction under Water Resource Constraints in Arid Zones. Agriculture 2022, 12, 926. [Google Scholar] [CrossRef]
- Jiang, C.; Zhang, H.; Wang, X.; Feng, Y.; Labzovskii, L. Challenging the Land Degradation in China’s Loess Plateau: Benefits, Limitations, Sustainability, and Adaptive Strategies of Soil and Water Conservation. Ecol. Eng. 2019, 127, 135–150. [Google Scholar] [CrossRef]
- Tan, Y.; Wu, C.; Wang, Q.; Zhou, L.; Yan, D. The change of cultivated land and ecological environment effects driven by the policy of dynamic equilibrium of the total cultivated land. J. Nat. Resour. 2005, 20, 727–734. [Google Scholar] [CrossRef]
- Li, C.; Fu, B.; Wang, S.; Stringer, L.C.; Wang, Y.; Li, Z.; Liu, Y.; Zhou, W. Drivers and Impacts of Changes in China’s Drylands. Nat. Rev. Earth Environ. 2021, 2, 858–873. [Google Scholar] [CrossRef]
- Shidong, L.I.; Moucheng, L.I.U. The Development Process, Current Situation and Prospects of the Conversion of Farmland to Forests and Grasses Project in China. J. Resour. Ecol. 2022, 13, 120–128. [Google Scholar] [CrossRef]
- Ramankutty, N.; Mehrabi, Z.; Waha, K.; Jarvis, L.; Kremen, C.; Herrero, M.; Rieseberg, L.H. Trends in Global Agricultural Land Use: Implications for Environmental Health and Food Security. Annu. Rev. Plant Biol. 2018, 69, 789–815. [Google Scholar] [CrossRef]
- Hinojosa, L.; Napoléone, C.; Moulery, M.; Lambin, E.F. The “Mountain Effect” in the Abandonment of Grasslands: Insights from the French Southern Alps. Agric. Ecosyst. Environ. 2016, 221, 115–124. [Google Scholar] [CrossRef]
- Chauhdary, J.N.; Li, H.; Jiang, Y.; Pan, X.; Hussain, Z.; Javaid, M.; Rizwan, M. Advances in Sprinkler Irrigation: A Review in the Context of Precision Irrigation for Crop Production. Agronomy 2024, 14, 47. [Google Scholar] [CrossRef]
- Zhang, P.; Xia, L.; Sun, Z.; Zhang, T. Analysis of Spatial and Temporal Changes and Driving Forces of Arable Land in the Weibei Dry Plateau Region in China. Sci. Rep. 2023, 13, 20618. [Google Scholar] [CrossRef] [PubMed]
- Wang, S.; Bai, X.; Zhang, X.; Reis, S.; Chen, D.; Xu, J.; Gu, B. Urbanization Can Benefit Agricultural Production with Large-Scale Farming in China. Nat. Food 2021, 2, 183–191. [Google Scholar] [CrossRef]
- Matlock, W.G.; Matlock, W.G. Realistic Planning for Arid Lands: Natural Resource Limitations to Agricultural Development; CRC Press: Boca Raton, FL, USA, 1981; Volume 2, ISBN 3-7186-0051-X. [Google Scholar]
- Stricker, P. Toward a Culture of Nature: Environmental Policy and Sustainable Development in Cuba; Lexington Books: Lanham, MD, USA, 2007; ISBN 978-0-7391-2023-1. [Google Scholar]
- Gupta, I.C.; Gupta, S.K. Crop Production in Waterlogged Saline Soils; Scientific Publishers: Jodhpur, India, 2018; ISBN 978-81-7233-159-7. [Google Scholar]
- Yan, J.; Yang, Z.; Li, Z.; Li, X.; Xin, L.; Sun, L. Drivers of Cropland Abandonment in Mountainous Areas: A Household Decision Model on Farming Scale in Southwest China. Land Use Policy 2016, 57, 459–469. [Google Scholar] [CrossRef]
- Zhou, T.; Koomen, E.; Ke, X. Determinants of Farmland Abandonment on the Urban–Rural Fringe. Environ. Manag. 2020, 65, 369–384. [Google Scholar] [CrossRef]








| Type | Date and Resolution | Source | 
|---|---|---|
| Land use | 1980, 1990, 2000, 2010, and 2020, 30 m | China multi-period land use land cover data set (CNLUCC), https://www.resdc.cn/ (accessed on 11 September 2024) | 
| DEM | 2000, 30 m | Shuttle Radar Topography Mission (SRTM), https://www.earthdata.nasa.gov/sensors/srtm (accessed on 11 September 2024) | 
| Accessibility data | 2015 | National basic geographic database, https://www.webmap.cn/commres.do?method=result25W (accessed on 11 September 2024) | 
| Socioeconomic | 1980–2020 | Xinjiang Statistical Yearbook, Xinjiang Production and Construction Corps Statistical Yearbook | 
| Meteorology | 1980–2020, 1 km | 1 km monthly precipitation dataset for China (1901–2022), http://data.tpdc.ac.cn (accessed on 11 September 2024) | 
| Demographic data | 1982, 1990, 2000, 2010, and 2020 | National Bureau of Statistics | 
| Saline soil data | 1980s | Second Soil Census of Xinjiang | 
| Dimension | Variable | Description (Example: Reclamation of Reclaimed Land from 2010 to 2020) | Unit | 
|---|---|---|---|
| Socioeconomic foundation | PGDP1 | Gross domestic product (GDP) per capita per county in 2010 | yuan | 
| TPAM1 | Agricultural machinery’s gross power per county in 2010 | 104 kW | |
| POP1 | Population per county in 2010 | person | |
| GDP1 | Gross regional product per county in 2010 | 104 yuan | |
| Socioeconomic changes | PGDP | Difference in per capita GDP per county between 2010 and 2020 | yuan | 
| GDP | Difference between 2010 and 2020 gross regional product per county | 104 yuan | |
| TPAM | Difference between total power of agricultural machinery per county in 2010 and 2020 | 104 kW | |
| POP | Value of change in population size per county in 2010 and 2020 | person | |
| Accessibility | RIVER | Average distance of reclaimed cropland from rivers per county | m | 
| ROAD | Average distance of reclaimed cropland from roads per county | m | |
| Topographical | DEM | Average DEM of reclaimed cropland per county | m | 
| SLOPE | Average slope of reclaimed cropland per county | ° | |
| ASPECT | Average slope direction of reclaimed cropland per county | − | |
| Meteorology | PRE | Average annual precipitation on reclaimed cropland per county from 2010 to 2020 | mm | 
| TEM | Average annual temperature of reclaimed cropland per county from 2010 to 2020 | °C | |
| Saline soil | SALTY1 | Proportion of saline soil area by county | % | 
| SALTY | Proportion of saline soil area by county on reclaimed cropland per county from 2010 to 2020 | % | 
| 1980–1990 | 1990–2000 | 2000–2010 | 2010–2020 | |
|---|---|---|---|---|
| CL—WL | 2.39% | 0.04% | 12.01% | 0.62% | 
| CL—GL | 91.95% | 91.58% | 77.37% | 95.54% | 
| CL—WB | 1.35% | 0.22% | 1.97% | 1.00% | 
| CL—UL | 4.32% | 8.16% | 8.66% | 2.84% | 
| WL—CL | 1.18% | 1.06% | 0.62% | 3.42% | 
| GL—CL | 94.63% | 92.10% | 89.14% | 73.15% | 
| WB—CL | 0.13% | 0.09% | 0.38% | 0.31% | 
| UL—CL | 4.06% | 6.75% | 9.86% | 23.13% | 
| Disclaimer/Publisher’s Note: The statements, opinions and data contained in all publications are solely those of the individual author(s) and contributor(s) and not of MDPI and/or the editor(s). MDPI and/or the editor(s) disclaim responsibility for any injury to people or property resulting from any ideas, methods, instructions or products referred to in the content. | 
© 2024 by the authors. Licensee MDPI, Basel, Switzerland. This article is an open access article distributed under the terms and conditions of the Creative Commons Attribution (CC BY) license (https://creativecommons.org/licenses/by/4.0/).
Share and Cite
Fang, Y.; Wu, S.; Hou, G.; Long, W. Spatiotemporal Changes and Driving Mechanisms of Cropland Reclamation and Abandonment in Xinjiang. Land 2024, 13, 1476. https://doi.org/10.3390/land13091476
Fang Y, Wu S, Hou G, Long W. Spatiotemporal Changes and Driving Mechanisms of Cropland Reclamation and Abandonment in Xinjiang. Land. 2024; 13(9):1476. https://doi.org/10.3390/land13091476
Chicago/Turabian StyleFang, Yuling, Shixin Wu, Guanyu Hou, and Weiyi Long. 2024. "Spatiotemporal Changes and Driving Mechanisms of Cropland Reclamation and Abandonment in Xinjiang" Land 13, no. 9: 1476. https://doi.org/10.3390/land13091476
APA StyleFang, Y., Wu, S., Hou, G., & Long, W. (2024). Spatiotemporal Changes and Driving Mechanisms of Cropland Reclamation and Abandonment in Xinjiang. Land, 13(9), 1476. https://doi.org/10.3390/land13091476
 
        


 
       