Investigating the Influence of Urban Morphology on Seasonal Thermal Environment Based on Urban Functional Zones
Abstract
1. Introduction
2. Study Area and Data
2.1. Study Area
2.2. Data Sources
3. Methods
3.1. Identification of Urban Functional Zones
3.2. Processing of Land Surface Temperature and Urban Morphological Factors
3.3. Evaluating the Effects of Urban Morphological Characteristics on LST
3.3.1. The Global Quantitative Analysis Model
3.3.2. The Local Spatial Non-Stationarity Impact Model
4. Results
4.1. The Result of Urban Functional Zones Mapping and LST Processing
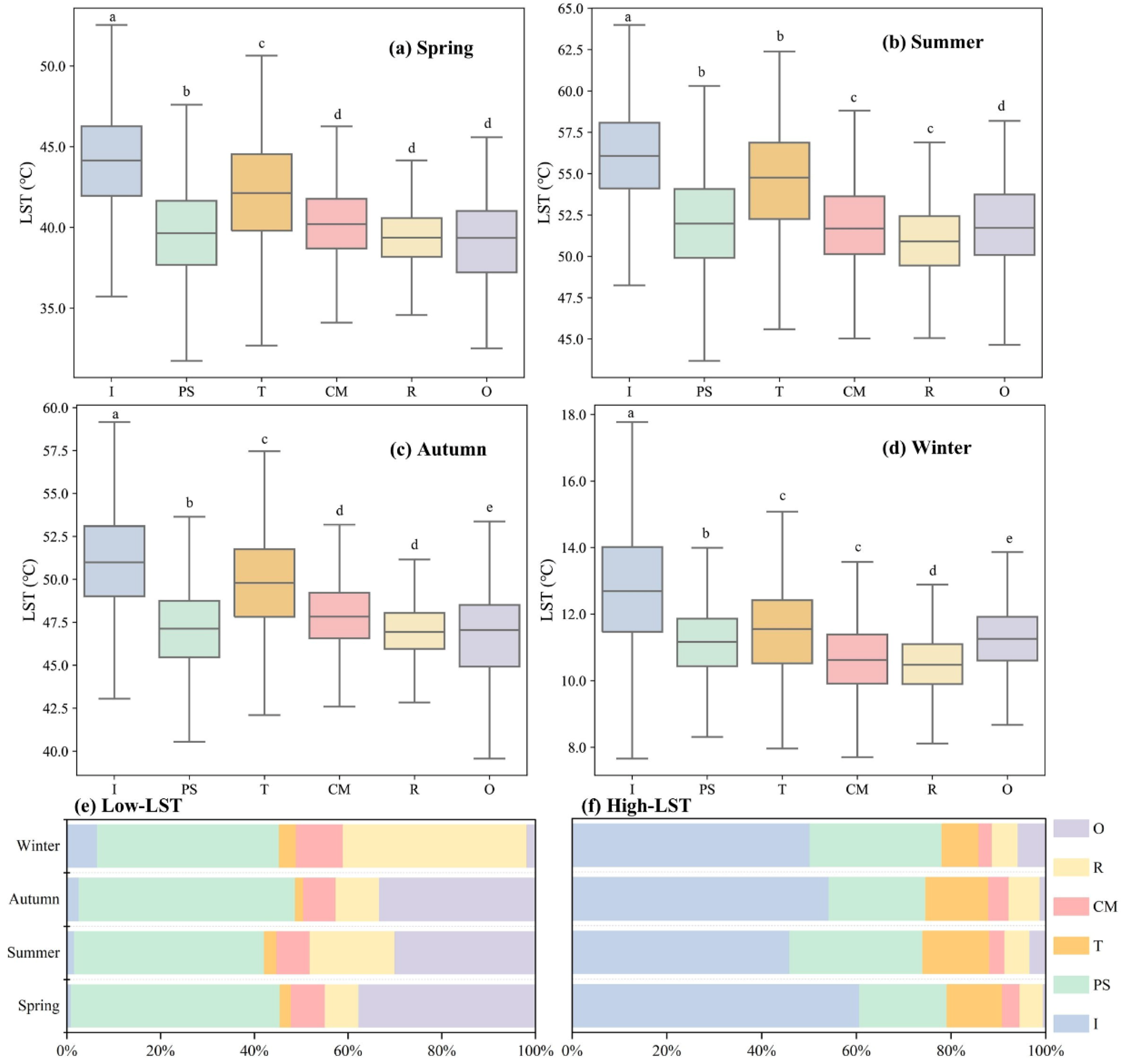
4.2. Variations in Seasonal LST Across Different Urban Functional Zones
4.3. Relative Contribution Analysis of Urban Morphology on Seasonal LST in Diverse Urban Functional Zones
4.4. Spatial Heterogeneity Analysis of the Effects of Urban Morphology on Seasonal LST
5. Discussion
5.1. Analysis of the Marginal and Interaction Effects of Urban Morphological Factors on Seasonal LST in Different Functional Zones
5.2. Applicability and Generalizability of the Research Findings
5.3. Research Contributions and Limitations
6. Conclusions
Supplementary Materials
Author Contributions
Funding
Data Availability Statement
Conflicts of Interest
References
- Oke, T.R. The Energetic Basis of the Urban Heat Island. Q. J. Roy. Meteor. Soc. 1982, 108, 1–24. [Google Scholar] [CrossRef]
- Arunab, K.S.; Mathew, A. Quantifying Urban Heat Island and Pollutant Nexus: A Novel Geospatial Approach. Sustain. Cities Soc. 2024, 101, 105117. [Google Scholar] [CrossRef]
- Kumari, P.; Garg, V.; Kumar, R.; Kumar, K. Impact of Urban Heat Island Formation on Energy Consumption in Delhi. Urban Clim. 2021, 36, 100763. [Google Scholar] [CrossRef]
- Singh, M.; Sharston, R. Quantifying the Dualistic Nature of Urban Heat Island Effect (UHI) on Building Energy Consumption. Energy Build. 2022, 255, 111649. [Google Scholar] [CrossRef]
- Song, F.; Dong, H.; Wu, L.; Leung, L.R.; Lu, J.; Dong, L.; Wu, P.; Zhou, T. Hot Season Gets Hotter Due to Rainfall Delay over Tropical Land in a Warming Climate. Nat. Commun. 2025, 16, 2188. [Google Scholar] [CrossRef] [PubMed]
- Wang, L.; Hou, H.; Weng, J. Ordinary Least Squares Modelling of Urban Heat Island Intensity Based on Landscape Composition and Configuration: A Comparative Study among Three Megacities along the Yangtze River. Sustain. Cities Soc. 2020, 62, 102381. [Google Scholar] [CrossRef]
- Zhou, L.; Hu, F.; Wang, B.; Wei, C.; Sun, D.; Wang, S. Relationship between Urban Landscape Structure and Land Surface Temperature: Spatial Hierarchy and Interaction Effects. Sustain. Cities Soc. 2022, 80, 103795. [Google Scholar] [CrossRef]
- Lin, Z.; Xu, H.; Han, L.; Zhang, H.; Peng, J.; Yao, X. Day and Night: Impact of 2D/3D Urban Features on Land Surface Temperature and Their Spatiotemporal Non-Stationary Relationships in Urban Building Spaces. Sustain. Cities Soc. 2024, 108, 105507. [Google Scholar] [CrossRef]
- Han, D.; Xu, X.; Qiao, Z.; Wang, F.; Cai, H.; An, H.; Jia, K.; Liu, Y.; Sun, Z.; Wang, S.; et al. The Roles of Surrounding 2D/3D Landscapes in Park Cooling Effect: Analysis from Extreme Hot and Normal Weather Perspectives. Build. Environ. 2023, 231, 110053. [Google Scholar] [CrossRef]
- Lin, A.; Wu, H.; Luo, W.; Fan, K.; Liu, H. How Does Urban Heat Island Differ across Urban Functional Zones? Insights from 2D/3D Urban Morphology Using Geospatial Big Data. Urban Clim. 2024, 53, 101787. [Google Scholar] [CrossRef]
- Yuan, B.; Zhou, L.; Hu, F.; Wei, C. Effects of 2D/3D Urban Morphology on Land Surface Temperature: Contribution, Response, and Interaction. Urban Clim. 2024, 53, 101791. [Google Scholar] [CrossRef]
- Chen, X.; Wang, Z.; Bao, Y.; Luo, Q.; Wei, W. Combined Impacts of Buildings and Urban Remnant Mountains on Thermal Environment in Multi-Mountainous City. Sustain. Cities Soc. 2022, 87, 104247. [Google Scholar] [CrossRef]
- Lin, P.; Lau, S.S.Y.; Qin, H.; Gou, Z. Effects of Urban Planning Indicators on Urban Heat Island: A Case Study of Pocket Parks in High-Rise High-Density Environment. Landsc. Urban Plan. 2017, 168, 48–60. [Google Scholar] [CrossRef]
- Wang, R.; Murayama, Y.; Liu, F.; Zhang, X.; Hou, H.; Morimoto, T.; Derdouri, A. Impact of Urban Morphology on Land Surface Temperature: A Case Study of the Central Tokyo, Japan. City Environ. Interact. 2025, 28, 100227. [Google Scholar] [CrossRef]
- Mo, Y.; Bao, Y.; Wang, Z.; Wei, W.; Chen, X. Spatial Coupling Relationship between Architectural Landscape Characteristics and Urban Heat Island in Different Urban Functional Zones. Build. Environ. 2024, 257, 111545. [Google Scholar] [CrossRef]
- Iungman, T.; Cirach, M.; Marando, F.; Pereira Barboza, E.; Khomenko, S.; Masselot, P.; Quijal-Zamorano, M.; Mueller, N.; Gasparrini, A.; Urquiza, J.; et al. Cooling Cities through Urban Green Infrastructure: A Health Impact Assessment of European Cities. Lancet 2023, 401, 577–589. [Google Scholar] [CrossRef]
- Zhou, S.-Q.; Yu, Z.-W.; Ma, W.-Y.; Yao, X.-H.; Xiong, J.-Q.; Ma, W.-J.; Xiang, S.-Y.; Yuan, Q.; Hao, Y.-Y.; Xu, D.-F.; et al. Vertical Canopy Structure Dominates Cooling and Thermal Comfort of Urban Pocket Parks during Hot Summer Days. Landsc. Urban Plan. 2025, 254, 105242. [Google Scholar] [CrossRef]
- Yang, L.; Yu, K.; Ai, J.; Liu, Y.; Yang, W.; Liu, J. Dominant Factors and Spatial Heterogeneity of Land Surface Temperatures in Urban Areas: A Case Study in Fuzhou, China. Remote Sens. 2022, 14, 1266. [Google Scholar] [CrossRef]
- Tang, L.; Zhan, Q.; Fan, Y.; Liu, H.; Fan, Z. Exploring the Impacts of Greenspace Spatial Patterns on Land Surface Temperature across Different Urban Functional Zones: A Case Study in Wuhan Metropolitan Area, China. Ecol. Indic. 2023, 146, 109787. [Google Scholar] [CrossRef]
- Peng, F.; Cao, Y.; Sun, X.; Zou, B. Study on the Contributions of 2D and 3D Urban Morphologies to the Thermal Environment under Local Climate Zones. Build. Environ. 2024, 263, 111883. [Google Scholar] [CrossRef]
- Stewart, I.D.; Oke, T.R. Local Climate Zones for Urban Temperature Studies. B Am. Meteorol. Soc. 2012, 93, 1879–1900. [Google Scholar] [CrossRef]
- Wang, F.; Dong, W.; Zhao, Z.; Wang, H.; Li, W.; Chen, G.; Wang, F.; Zhao, Y.; Huang, J.; Zhou, T. Heavy Metal Pollution in Urban River Sediment of Different Urban Functional Areas and Its Influence on Microbial Community Structure. Sci. Total Environ. 2021, 778, 146383. [Google Scholar] [CrossRef]
- Huang, X.; Wang, Y. Investigating the Effects of 3D Urban Morphology on the Surface Urban Heat Island Effect in Urban Functional Zones by Using High-Resolution Remote Sensing Data: A Case Study of Wuhan, Central China. ISPRS J. Photogramm. Remote Sens. 2019, 152, 119–131. [Google Scholar] [CrossRef]
- Yue, W.; Liu, Y.; Fan, P.; Ye, X.; Wu, C. Assessing Spatial Pattern of Urban Thermal Environment in Shanghai, China. Stoch. Environ. Res. Risk Assess. 2012, 26, 899–911. [Google Scholar] [CrossRef]
- Liu, H.; Huang, B.; Zhan, Q.; Gao, S.; Li, R.; Fan, Z. The Influence of Urban Form on Surface Urban Heat Island and Its Planning Implications: Evidence from 1288 Urban Clusters in China. Sustain. Cities Soc. 2021, 71, 102987. [Google Scholar] [CrossRef]
- Garzón, J.; Molina, I.; Velasco, J.; Calabia, A. A Remote Sensing Approach for Surface Urban Heat Island Modeling in a Tropical Colombian City Using Regression Analysis and Machine Learning Algorithms. Remote Sens. 2021, 13, 4256. [Google Scholar] [CrossRef]
- Oukawa, G.Y.; Krecl, P.; Targino, A.C. Fine-Scale Modeling of the Urban Heat Island: A Comparison of Multiple Linear Regression and Random Forest Approaches. Sci. Total Environ. 2022, 815, 152836. [Google Scholar] [CrossRef]
- Wan, Y.; Du, H.; Yuan, L.; Xu, X.; Tang, H.; Zhang, J. Exploring the Influence of Block Environmental Characteristics on Land Surface Temperature and Its Spatial Heterogeneity for a High-Density City. Sustain. Cities Soc. 2025, 118, 105973. [Google Scholar] [CrossRef]
- Xu, J.; Xuan, L.; Li, C.; Wu, T.; Wang, Y.; Wang, Y.; Wang, X.; Wang, Y. Effect of Landscape Architectural Characteristics on LST in Different Zones of Zhengzhou City, China. Land 2025, 14, 1581. [Google Scholar] [CrossRef]
- He, R.; Wang, J.; Liu, D. Assessing the Impact of Urban Spatial Form on Land Surface Temperature Using Random Forest—Taking Beijing as a Case Study. Land 2025, 14, 1639. [Google Scholar] [CrossRef]
- Zhang, X.; Zhang, J. Exploring the Impact of Urban Characteristics on Diurnal Land Surface Temperature Based on LCZ and Machine Learning. Land 2025, 14, 1813. [Google Scholar] [CrossRef]
- Wang, Z.; Zhou, R.; Yu, Y. The Impact of Urban Morphology on Land Surface Temperature under Seasonal and Diurnal Variations: Marginal and Interaction Effects. Build. Environ. 2025, 272, 112673. [Google Scholar] [CrossRef]
- Khanifar, J.; Khademalrasoul, A. Modeling of Land Surface Temperature–Multiscale Curvatures Relationship Using XGBoost Algorithm (Case Study: Southwestern Iran). Int. J. Environ. Sci. Technol. 2022, 19, 11763–11774. [Google Scholar] [CrossRef]
- Suthar, G.; Kaul, N.; Khandelwal, S.; Singh, S. Predicting Land Surface Temperature and Examining Its Relationship with Air Pollution and Urban Parameters in Bengaluru: A Machine Learning Approach. Urban. Clim. 2024, 53, 101830. [Google Scholar] [CrossRef]
- Li, J.; Li, G.; Jiao, Y.; Li, C.; Yan, Q. Association of Neighborhood-Level Socioeconomic Status and Urban Heat in China: Evidence from Hangzhou. Environ. Res. 2024, 246, 118058. [Google Scholar] [CrossRef]
- Zhang, Z.; Li, Z.; Song, Y. On Ignoring the Heterogeneity in Spatial Autocorrelation: Consequences and Solutions. Int. J. Geogr. Inf. Sci. 2024, 38, 2545–2571. [Google Scholar] [CrossRef]
- Chen, H.; Mamitimin, Y.; Abulizi, A.; Huang, M.; Tao, T.; Ma, Y. Seasonal and Diurnal Characteristics and Drivers of Urban Heat Island Based on Optimal Parameters-Based Geo-Detector Model in Xinjiang, China. Atmosphere 2024, 15, 1377. [Google Scholar] [CrossRef]
- Fotheringham, A.S.; Yang, W.; Kang, W. Multiscale Geographically Weighted Regression (MGWR). Ann. Am. Assoc. Geogr. 2017, 107, 1247–1265. [Google Scholar] [CrossRef]
- Liu, Y.; Zhang, W.; Liu, W.; Tan, Z.; Hu, S.; Ao, Z.; Li, J.; Xing, H. Exploring the Seasonal Effects of Urban Morphology on Land Surface Temperature in Urban Functional Zones. Sustain. Cities Soc. 2024, 103, 105268. [Google Scholar] [CrossRef]
- Xu, D.; Wang, Y.; Zhou, D.; Wang, Y.; Zhang, Q.; Yang, Y. Influences of Urban Spatial Factors on Surface Urban Heat Island Effect and Its Spatial Heterogeneity: A Case Study of Xi’an. Build. Environ. 2024, 248, 111072. [Google Scholar] [CrossRef]
- Yang, J.; Huang, X. The 30 m Annual Land Cover Dataset and Its Dynamics in China from 1990 to 2019. Earth Syst. Sci. Data 2021, 13, 3907–3925. [Google Scholar] [CrossRef]
- Shi, Q.; Zhu, J.; Liu, Z.; Guo, H.; Gao, S.; Liu, M.; Liu, Z.; Liu, X. The Last Puzzle of Global Building Footprints—Mapping 280 Million Buildings in East Asia Based on VHR Images. J. Remote Sens. 2024, 4, 138. [Google Scholar] [CrossRef]
- Deng, X.; Cao, Q.; Wang, L.; Wang, W.; Wang, S.; Wang, S.; Wang, L. Characterizing Urban Densification and Quantifying Its Effects on Urban Thermal Environments and Human Thermal Comfort. Landsc. Urban Plan. 2023, 237, 104803. [Google Scholar] [CrossRef]
- Lang, N.; Jetz, W.; Schindler, K.; Wegner, J.D. A High-Resolution Canopy Height Model of the Earth. Nat. Ecol. Evol. 2023, 7, 1778–1789. [Google Scholar] [CrossRef] [PubMed]
- Chen, D.; Zhang, F.; Zhang, M.; Meng, Q.; Jim, C.Y.; Shi, J.; Tan, M.L.; Ma, X. Landscape and Vegetation Traits of Urban Green Space Can Predict Local Surface Temperature. Sci. Total Environ. 2022, 825, 154006. [Google Scholar] [CrossRef]
- Malakar, N.K.; Hulley, G.C.; Hook, S.J.; Laraby, K.; Cook, M.; Schott, J.R. An Operational Land Surface Temperature Product for Landsat Thermal Data: Methodology and Validation. IEEE T Geosci. Remote 2018, 56, 5717–5735. [Google Scholar] [CrossRef]
- Lu, L.; Fu, P.; Dewan, A.; Li, Q. Contrasting Determinants of Land Surface Temperature in Three Megacities: Implications to Cool Tropical Metropolitan Regions. Sustain. Cities Soc. 2023, 92, 104505. [Google Scholar] [CrossRef]
- Coseo, P.; Larsen, L. How Factors of Land Use/Land Cover, Building Configuration, and Adjacent Heat Sources and Sinks Explain Urban Heat Islands in Chicago. Landsc. Urban. Plan. 2014, 125, 117–129. [Google Scholar] [CrossRef]
- Chen, Y.; Zhang, R.; Alekouei, S.A.; Amani-Beni, M. Nonlinear Impacts of Landscape and Climatological Interactions on Urban Thermal Environment during a Hot and Rainy Summer. Ecol. Indic. 2024, 166, 112551. [Google Scholar] [CrossRef]
- Sützl, B.S.; Strebel, D.A.; Rubin, A.; Wen, J.; Carmeliet, J. Urban Morphology Clustering Analysis to Identify Heat-Prone Neighbourhoods in Cities. Sustain. Cities Soc. 2024, 107, 105360. [Google Scholar] [CrossRef]
- Zhou, S.; Liu, D.; Zhu, M.; Tang, W.; Chi, Q.; Ye, S.; Xu, S.; Cui, Y. Temporal and Spatial Variation of Land Surface Temperature and Its Driving Factors in Zhengzhou City in China from 2005 to 2020. Remote Sens. 2022, 14, 4281. [Google Scholar] [CrossRef]
- Chen, J.; Zhan, W.; Jin, S.; Han, W.; Du, P.; Xia, J.; Lai, J.; Li, J.; Liu, Z.; Li, L.; et al. Separate and Combined Impacts of Building and Tree on Urban Thermal Environment from Two- and Three-Dimensional Perspectives. Build. Environ. 2021, 194, 107650. [Google Scholar] [CrossRef]
- Firozjaei, M.K.; Mijani, N.; Fathololoumi, S.; Arsanjani, J.J. Forecasting Spatiotemporal Dynamics of Daytime Surface Urban Cool Islands in Response to Urbanization in Drylands: Case Study of Kerman and Zahedan Cities, Iran. Remote Sens. 2024, 16, 4416. [Google Scholar] [CrossRef]
- Cao, S.; Cai, Y.; Du, M.; Weng, Q.; Lu, L. Seasonal and Diurnal Surface Urban Heat Islands in China: An Investigation of Driving Factors with Three-Dimensional Urban Morphological Parameters. GIScience Remote Sens. 2022, 59, 1121–1142. [Google Scholar] [CrossRef]
- Yuan, Y.; Li, C.; Geng, X.; Yu, Z.; Fan, Z.; Wang, X. Natural-Anthropogenic Environment Interactively Causes the Surface Urban Heat Island Intensity Variations in Global Climate Zones. Environ. Int. 2022, 170, 107574. [Google Scholar] [CrossRef]
- Guan, Q.; Li, Y.; Huang, W.; Cao, W.; Liang, Z.; He, J.; Liang, X. The Impact of Sub-Pixel Scale Urban Function on Urban Heat Island: Insights Derived from Its Decomposition. Appl. Geogr. 2025, 178, 103572. [Google Scholar] [CrossRef]
- Gao, S.; Zhan, Q.; Yang, C.; Liu, H. The Diversified Impacts of Urban Morphology on Land Surface Temperature among Urban Functional Zones. Int. J. Environ. Res. Public. Health 2020, 17, 9578. [Google Scholar] [CrossRef]
- Wang, C.; Li, Z.; Su, Y.; Zhao, Q.; He, X.; Wu, Z.; Gao, W.; Wu, Z. Impact of Block Morphology on Urban Thermal Environment with the Consideration of Spatial Heterogeneity. Sustain. Cities Soc. 2024, 113, 105622. [Google Scholar] [CrossRef]
- Wang, Z.; Zhou, R.; Rui, J.; Yu, Y. Revealing the Impact of Urban Spatial Morphology on Land Surface Temperature in Plain and Plateau Cities Using Explainable Machine Learning. Sustain. Cities Soc. 2025, 118, 106046. [Google Scholar] [CrossRef]
- Li, T.; Cao, J.; Xu, M.; Wu, Q.; Yao, L. The Influence of Urban Spatial Pattern on Land Surface Temperature for Different Functional Zones. Landsc. Ecol. Eng. 2020, 16, 249–262. [Google Scholar] [CrossRef]
- Weng, Q.; Yang, S. Managing the Adverse Thermal Effects of Urban Development in a Densely Populated Chinese City. J. Environ. Manag. 2004, 70, 145–156. [Google Scholar] [CrossRef]
- Min, M.; Lin, C.; Duan, X.; Jin, Z.; Zhang, L. Spatial Distribution and Driving Force Analysis of Urban Heat Island Effect Based on Raster Data: A Case Study of the Nanjing Metropolitan Area, China. Sustain. Cities Soc. 2019, 50, 101637. [Google Scholar] [CrossRef]
- Chun, B.; Guldmann, J.-M. Impact of Greening on the Urban Heat Island: Seasonal Variations and Mitigation Strategies. Comput. Environ. Urban. Syst. 2018, 71, 165–176. [Google Scholar] [CrossRef]
- Liu, H.; Zhan, Q.; Gao, S.; Yang, C. Seasonal Variation of the Spatially Non-Stationary Association Between Land Surface Temperature and Urban Landscape. Remote Sens. 2019, 11, 1016. [Google Scholar] [CrossRef]
- Chen, Y.; Yang, J.; Yu, W.; Ren, J.; Xiao, X.; Xia, J.C. Relationship between Urban Spatial Form and Seasonal Land Surface Temperature under Different Grid Scales. Sustain. Cities Soc. 2023, 89, 104374. [Google Scholar] [CrossRef]
- Weng, Q.; Lu, D.; Schubring, J. Estimation of Land Surface Temperature–Vegetation Abundance Relationship for Urban Heat Island Studies. Remote Sens. Environ. 2004, 89, 467–483. [Google Scholar] [CrossRef]
- Zhao, F.; Zhang, M.; Zhu, S.; Zhang, X.; Ma, S.; Gao, Y.; Xia, J.; Wang, X.; Zhang, Y.; Zhang, S.; et al. Spatiotemporal Patterns of the Urban Thermal Environment and the Impact of Human Activities in Low-Latitude Plateau Cities. Int. J. Appl. Earth Obs. Geoinf. 2025, 142, 104703. [Google Scholar] [CrossRef]
- Luo, P.; Yu, B.; Li, P.; Liang, P.; Zhang, Q.; Yang, L. Understanding the Relationship between 2D/3D Variables and Land Surface Temperature in Plain and Mountainous Cities: Relative Importance and Interaction Effects. Build. Environ. 2023, 245, 110959. [Google Scholar] [CrossRef]
- Shi, S.; Ji, S.; Luo, Z. Spatial Heterogeneity, Interaction and Multi-Scale Effects of Driving Factors of Heat Island Intensity in Different Urban Agglomerations. Sustain. Cities Soc. 2025, 126, 106401. [Google Scholar] [CrossRef]
- Šuklje, T.; Medved, S.; Arkar, C. On Detailed Thermal Response Modeling of Vertical Greenery Systems as Cooling Measure for Buildings and Cities in Summer Conditions. Energy 2016, 115, 1055–1068. [Google Scholar] [CrossRef]










| Data | Spatial Resolution | Time | Type | Sources |
|---|---|---|---|---|
| OSM | 2023 | Vector | https://download.geofabrik.de/ (accessed on 10 October 2023) | |
| Land cover data | 30 m | 2023 | Raster | https://zenodo.org/records/12779975 (accessed on 1 October 2024) |
| Building data | 2020 | Vector | https://zenodo.org/records/8174931 (accessed on 1 October 2024) | |
| Landsat 8/9 C2L2 | 30 m | April 2022 May 2022 | Raster | https://earthengine.google.com/ (accessed on 15 October 2024) |
| August 2022 August 2023 | ||||
| September 2023 November 2023 | ||||
| December 2022 January 2021 December 2020 | ||||
| Sentinel-2A/B | 10 m/20 m/30 m | 2023 | Raster | https://dataspace.copernicus.eu/ (accessed on 15 October 2023) |
| Sentinel-1A | 2023 | Raster | ||
| SDGSAT-1 | 2022–2023 | Raster | https://www.sdgsat.ac.cn (accessed on 20 October 2024) | |
| Landscan | 2022 | Raster | https://landscan.ornl.gov (accessed on 20 September 2024) | |
| Canopy height data | 10 m | 2020 | Raster | https://www.research-collection.ethz.ch/handle/20.500.11850/609802 (accessed on 20 October 2024) |
| DEM | 30 m | Raster | https://lpdaac.usgs.gov/ (accessed on 20 October 2023) |
| Type | Description |
|---|---|
| Industrial land (I) | The place for production, storage, and mining activities, etc. |
| Public service land (PS) | The place for government and military purpose, educational and research institutions, healthcare and disease preventive facilities, green space and parks, etc. |
| Transportation hub land (T) | The place for transportation is like a train station and related facilities. |
| Commercial land (CM) | The place for commercial retail, dining, entertainment, etc. |
| Residential land (R) | The place for residential use like apartments, etc. |
| Other land (O) | The place of other land, except as mentioned above |
| Factors | Formula | Description | Units |
|---|---|---|---|
| 2D indicators | |||
| Percentage of landscape | The proportion of total area covered by impervious surfaces/bare land, vegetation/water. | % | |
| Edge density | The edge density of impervious surfaces/vegetation/bare land/water | m\ha | |
| Landscape shape index | The irregularity of impervious surfaces/vegetation/bare land/water | ≥1 | |
| Percentage of building area | The proportion of building footprint area within a block. | % | |
| Percentage of tree area | The proportion of tree area within a block | % | |
| Normalized difference vegetation index | The biophysical properties of vegetation | [−1, 1] | |
| Modified normalized difference water index | The physical properties of water | [−1, 1] | |
| Normalized difference impervious surface index | The physical characteristics of impervious surfaces. | [−1, 1] | |
| 3D indicators | |||
| Mean building height | The average building height within a block. | m | |
| Mean tree height | The average tree height within a block. | m | |
| Floor area ratio | The ratio of a building’s total floor area to the area of the block | ≥0 | |
| Mean building volume | The mean building volume within a block | m3 | |
| Building height standard deviation | The building height variability within a block | >0 | |
| Space crowding of building volume | The building spatial congestion within a block | >0 | |
| Coefficient of variation in building volume | The spatial variation in building volumes within a block. | >0 | |
| Range of building height | The distribution range of building heights within a block. | m | |
| Sky view factor | The average ratio of visible sky area to the total hemispherical area within a block | [0, 1] | |
| DEM | The average dem within a block. | m | |
| Human activity indicators | |||
| Nighttime light intensity (NTL) | The average nighttime light intensity within a block | ≥0 | |
| Population (Pop) | The average population density within a block | ≥0 | |
| Factors | Spring | Summer | Autumn | Winter |
|---|---|---|---|---|
| PL_V | 15,196 | 15,195 | 43 | 43 |
| PL_S | 1129 | 15,196 | 15,196 | 15,196 |
| ED_V | 871 | 513 | 906 | 15,194 |
| ED_S | 338 | 275 | 337 | 541 |
| LSI_V | 11,445 | 11,292 | 2903 | 7801 |
| LSI_S | 916 | 8563 | 15,195 | 15,195 |
| BD | 43 | 53 | 53 | 53 |
| BH | 15,196 | 5102 | 15,196 | 15,196 |
| TH | 441 | 300 | 493 | 1290 |
| SVF | 842 | 15,196 | 15,196 | 3026 |
| NTL | 43 | 14,693 | 126 | 43 |
| NDVI | 1953 | 1671 | 659 | 659 |
| NDISI | 430 | 73 | 183 | 126 |
| MNDWI | 45 | 134 | 43 | 140 |
| FAR | 15,196 | 15,196 | 15,196 | 15,196 |
| MBV | 634 | 1833 | 347 | 318 |
| HSD | 1003 | 228 | 1025 | 981 |
| RBH | 15,196 | 15,196 | 15,196 | 15,196 |
| Pop | 920 | 46 | 2195 | 1807 |
| DEM | 433 | 43 | 152 | 652 |
Disclaimer/Publisher’s Note: The statements, opinions and data contained in all publications are solely those of the individual author(s) and contributor(s) and not of MDPI and/or the editor(s). MDPI and/or the editor(s) disclaim responsibility for any injury to people or property resulting from any ideas, methods, instructions or products referred to in the content. |
© 2025 by the authors. Licensee MDPI, Basel, Switzerland. This article is an open access article distributed under the terms and conditions of the Creative Commons Attribution (CC BY) license (https://creativecommons.org/licenses/by/4.0/).
Share and Cite
Zeng, M.; Liu, C.; Li, Y.; He, B.; Wang, R.; Qian, Z.; Wang, F.; Huang, Q.; Li, P.; Leng, B.; et al. Investigating the Influence of Urban Morphology on Seasonal Thermal Environment Based on Urban Functional Zones. Land 2025, 14, 2117. https://doi.org/10.3390/land14112117
Zeng M, Liu C, Li Y, He B, Wang R, Qian Z, Wang F, Huang Q, Li P, Leng B, et al. Investigating the Influence of Urban Morphology on Seasonal Thermal Environment Based on Urban Functional Zones. Land. 2025; 14(11):2117. https://doi.org/10.3390/land14112117
Chicago/Turabian StyleZeng, Meiling, Chunxia Liu, Yuechen Li, Bo He, Rongxiang Wang, Zihua Qian, Fang Wang, Qiao Huang, Peng Li, Bingrong Leng, and et al. 2025. "Investigating the Influence of Urban Morphology on Seasonal Thermal Environment Based on Urban Functional Zones" Land 14, no. 11: 2117. https://doi.org/10.3390/land14112117
APA StyleZeng, M., Liu, C., Li, Y., He, B., Wang, R., Qian, Z., Wang, F., Huang, Q., Li, P., Leng, B., & Huang, Y. (2025). Investigating the Influence of Urban Morphology on Seasonal Thermal Environment Based on Urban Functional Zones. Land, 14(11), 2117. https://doi.org/10.3390/land14112117

