Visual Meterstick: Preceding Vehicle Ranging Using Monocular Vision Based on the Fitting Method
Abstract
1. Introduction
2. Related Work
2.1. Vehicle Detection Improved Method
2.1.1. RoIAlign Layer
2.1.2. Improved Mask R-CNN Structure and Training Process
2.2. Experimental Results and Analysis
2.2.1. Experimental Environment
2.2.2. Datasets
2.2.3. Evaluation Metrics
3. Preceding Vehicle Ranging
4. Results
4.1. Establishment of Monocular Vision Ranging Model
4.1.1. Coordinate System Conversion
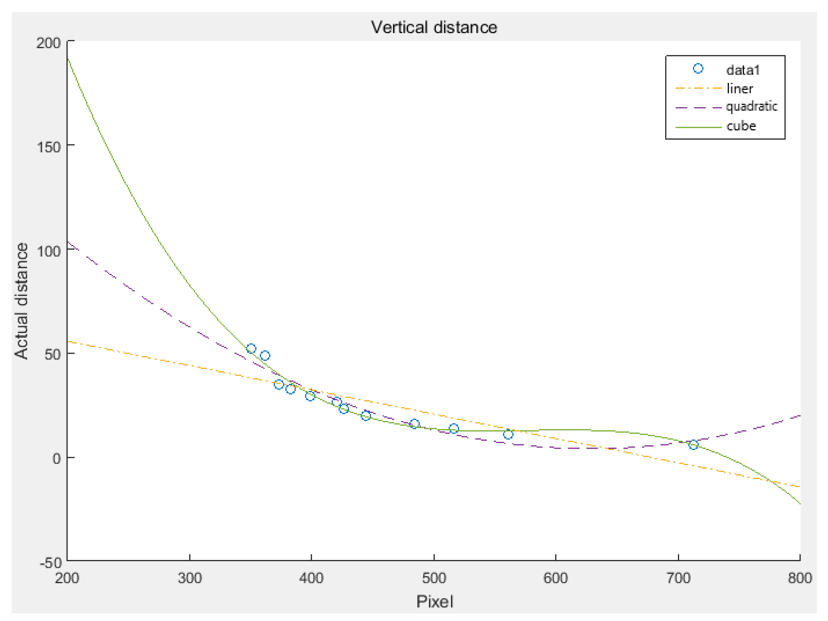
4.1.2. Data Regression Modeling
4.2. Distance Measurement
4.3. Fitting Method vs. Geometric Relations Algorithms
5. Conclusions
Author Contributions
Funding
Acknowledgments
Conflicts of Interest
References
- Huang, G.; Li, G.; Wang, B.; Ye, S. Research on monocular vision measurement technology. Acta Metrol. Sin. 2004, 25, 314–317. [Google Scholar]
- Lin, X. Research on Vehicle Detection Based on Deep Learning; Xiamen University: Xiamen, China, 2016. [Google Scholar]
- Ma, Y.; Liu, K.; Guan, Z.; Xu, X.; Qian, X.; Bao, H. Background augmentation generative adversarial networks (BAGANs): Effective data generation based on GAN-augmented 3D synthesizing. Symmetry 2018, 10, 734. [Google Scholar] [CrossRef]
- Tang, Y.; Zhang, C.; Gu, R.; Li, P.; Yang, B. Vehicle detection and recognition for intelligent traffic surveillance system. Multimed. Tools Appl. 2017, 76, 5817–5832. [Google Scholar] [CrossRef]
- Zheng, X.; Chen, Q.; Zhang, Y. Deep Learning and Its New Progress in Target and Behavior Recognition. J. Image Graph. 2014, 19, 175–184. [Google Scholar]
- Wang, S. Research on Vehicle Monocular Ranging System Based on Computer Vision; Tianjin University: Tianjin, China, 2012. [Google Scholar]
- Andriluka, M.; Pishchulin, L.; Gehler, P.; Schiele, B. 2D Human Pose Estimation: New Benchmark and State of the Art Analysis. In Proceedings of the Computer Vision and Pattern Recognition, Columbus, OH, USA, 23–28 June 2014; pp. 3686–3693. [Google Scholar]
- Ren, S.; He, K.; Girshick, R.; Sun, J. Faster R-CNN: Towards real-time object detection with region proposal networks. In Proceedings of the Neural Information Processing Systems, Montreal, QC, Canada, 7–12 December 2015; pp. 91–99. [Google Scholar]
- He, K.; Gkioxari, G.; Dollár, P.; Girshick, R. Mask R-CNN. IEEE Trans. Pattern Anal. Mach. Intell. 2018. [Google Scholar] [CrossRef] [PubMed]
- Wu, J.; Wang, G. Research on Ship Object detection Based on Mask R-CNN. Radio Eng. 2018, 48, 39–44. [Google Scholar]
- He, K.; Gkioxari, G.; Dollár, P.; Girshick, R. Mask R-CNN. In Proceedings of the International Conference on Computer Vision, Venice, Italy, 22–29 October 2017; pp. 2980–2988. [Google Scholar]
- Yu, F.; Xian, W.; Chen, Y.; Liu, F.; Liao, M.; Madhavan, V.; Darrell, T. BDD100K: A Diverse Driving Video Database with Scalable Annotation Tooling. arXiv 2018, arXiv:1805.04687. [Google Scholar]
- Han, Y.-X.; Zhang, Z.-S.; Dai, M. Monocular vision measurement method for target ranging. Opt. Precis. Eng. 2011, 19, 1110–1117. [Google Scholar]
- Li, G.-N. Structure Light Vision Measurement Technology of Involute Tooth Profile of Spur Gear; Jilin University: Jilin, China, 2014. [Google Scholar]
- Ye, H.J.; Chen, G.; Xing, Y. Stereo matching in binocular CCD structured light 3D measurement system. Opt. Precis. Eng. 2004, 1, 12. [Google Scholar]
- Zhang, Y.-P.; He, T.; Wen, C.-J.; Yang, Y.-C.; Shen, B.-X. Application and Research of Machine Vision in Industrial Measurement. Opt. Precis. Eng. 2001, 9, 324–329. [Google Scholar]
- Yuan, Y. Identification and Ranging of Obstacle in Front of Smart Car Based on Monocular Vision; Jilin University: Jilin, China, 2016. [Google Scholar]
- Chen, Y.; Das, M.; Bajpai, D. Vehicle Tracking and Distance Estimation Based on Multiple Image Features. In Proceedings of the Canadian Conference on Computer and Robot Vision, Montreal, QC, Canada, 28–30 May 2007; pp. 371–378. [Google Scholar]
- Park, K.Y.; Hwang, S.Y. Robust Range Estimation with a Monocular Camera for Vision-Based Forward Collision Warning System. Sci. World J. 2014, 2014, 1–9. [Google Scholar] [CrossRef] [PubMed]
- Guo, L.; Xu, Y.C.; Li, K.Q.; Lian, X.M. Research on real-time ranging method based on monocular vision. J. Image Graph. 2018, 11, 74–81. [Google Scholar]
- Shen, Z.; Huang, X. Monocular vision ranging algorithm based on data regression modeling. Comput. Eng. Appl. 2007, 43, 15–18. [Google Scholar]
- Zhai, L.; Li, W.; Xiao, Z.; Wu, J. Front vehicle detection and ranging based on monocular vision. Comput. Eng. 2017, 43, 26–32. [Google Scholar]
- Khammari, A.; Nashashibi, F.; Abramson, Y.; Laurgeau, C. Vehicle detection combining gradient analysis and AdaBoost classification. In Proceedings of the 2005 IEEE Intelligent Transportation Systems, Vienna, Austria, 16–16 September 2005; pp. 66–71. [Google Scholar]
- Smet, P.; Bilgin, B.; De Causmaecker, P.; Berghe, G.V. Modelling and evaluation issues in nurse rostering. Ann. Oper. Res. 2014, 218, 303–326. [Google Scholar] [CrossRef]
- Walter, M.; Zimmermann, J. On a multi-project staffing problem with heterogeneously skilled workers. In Operations Research Proceedings 2011; Springer: Berlin/Heidelberg, Germany, 2012; pp. 489–494. [Google Scholar]
- Faugeras, O.; Robert, L.; Laveau, S. 3-D Reconstruction of Urban Scenes from Image Sequences. Comput. Vis. Image Underst. 1998, 69, 292–309. [Google Scholar] [CrossRef]
- Beardsley, P.; Torr, P.; Zisserman, A. 3D Model Acquisition from Extended Image Sequences. In Lecture Notes in Computer Science, Proceedings of the Fouth European Conference on Computer Vision, Cambridge, UK, 14–18 April 1996; Springer: London, UK, 1996; pp. 683–695. [Google Scholar]










| Method | MIoU | Average Running Time |
|---|---|---|
| Fast R-CNN | 78.56% | 0.74 fps |
| Faster R-CNN | 82.06% | 4.13 fps |
| Mask R-CNN | 85.28% | 4.26 fps |
| Method | Training Time/min | Test Time/s |
|---|---|---|
| Mask R-CNN (RoIAlign) | 35 | 0.3 |
| Mask R-CNN | 28 | 0.2 |
| Serial Number | Pixel Coordinates/Pixel | Actual Distance/m |
|---|---|---|
| 1 | 712 | 6.12 |
| 2 | 561 | 11.01 |
| 3 | 516 | 13.53 |
| 4 | 484 | 16.19 |
| 5 | 444 | 19.85 |
| 6 | 426 | 23.42 |
| 7 | 420 | 26.33 |
| 8 | 399 | 29.37 |
| 9 | 382 | 32.61 |
| 10 | 373 | 35.06 |
| 11 | 362 | 48.92 |
| 12 | 250 | 51.95 |
| Serial Number | Pixel Coordinates/Pixel | Actual Distance/m |
|---|---|---|
| 1 | −205.9 | −4.04 |
| 2 | 292.1 | 2.89 |
| 3 | 231.1 | 2.75 |
| 4 | −246.9 | −1.96 |
| 5 | 145.6 | 2.51 |
| 6 | −158.9 | −1.48 |
| 7 | 77.6 | 2.05 |
| 8 | 69.6 | 2.03 |
| 9 | 26.1 | 1.58 |
| 10 | 23.6 | 1.57 |
| Polynomial Order | SSE | RMSE | R-Square |
|---|---|---|---|
| 1 | 630.96 | 7.94 | 7.94 |
| 2 | 171.1 | 4.36 | 0.924 |
| 3 | 65.86 | 2.869 | 0.9707 |
| Polynomial Order | SSE | RMSE | R-Square |
|---|---|---|---|
| 2 | 1.682774 | 0.458636 | 0.968495 |
| 3 | 0.256663 | 0.191484 | 0.995195 |
| 4 | 0.133177 | 0.148984 | 0.997507 |
| Serial Number | Actual x-Axis Distance/m | x-Axis Calculation Result/m | Relative Error/% | Actual y-Axis Distance/m | y-Axis Calculation Result/m | Relative Error/% |
|---|---|---|---|---|---|---|
| 1 | 10 | 9.2 | 5.0 | 0.5 | 0.56 | 12.0 |
| 2 | 20 | 18.5 | 3.5 | 1.5 | 1.38 | 8.0 |
| 3 | 30 | 31.2 | 4.0 | 2.5 | 2.26 | 9.6 |
| 4 | 40 | 38.6 | 3.5 | 3.5 | 3.36 | 4.0 |
| 5 | 50 | 47.4 | 5.2 | -0.5 | -0.43 | 14.0 |
| 6 | 60 | 65.8 | 9.7 | -1.5 | -1.41 | 6.0 |
| 7 | 70 | 78.5 | 12.4 | -2.5 | -2.36 | 5.6 |
| 8 | 80 | 92.3 | 15.4 | -3.5 | -3.32 | 5.1 |
| Actual x-Axis Distance/m | Fitting Method/m | Relative Error/% | Geometric Relations Algorithms/m | Relative Error/% |
|---|---|---|---|---|
| 10 | 9.2 | 5.0 | 9.0 | 10.0 |
| 20 | 18.5 | 3.5 | 22.1 | 10.5 |
| 30 | 31.2 | 4.0 | 28.5 | 5.0 |
| 40 | 38.6 | 3.5 | 37.8 | 5.5 |
| 50 | 47.4 | 5.2 | 53.0 | 6.0 |
| 60 | 65.8 | 9.7 | 65.9 | 9.8 |
| 70 | 78.5 | 12.4 | 77.6 | 10.9 |
| 80 | 92.3 | 15.4 | 89.5 | 11.9 |
© 2019 by the authors. Licensee MDPI, Basel, Switzerland. This article is an open access article distributed under the terms and conditions of the Creative Commons Attribution (CC BY) license (http://creativecommons.org/licenses/by/4.0/).
Share and Cite
Meng, C.; Bao, H.; Ma, Y.; Xu, X.; Li, Y. Visual Meterstick: Preceding Vehicle Ranging Using Monocular Vision Based on the Fitting Method. Symmetry 2019, 11, 1081. https://doi.org/10.3390/sym11091081
Meng C, Bao H, Ma Y, Xu X, Li Y. Visual Meterstick: Preceding Vehicle Ranging Using Monocular Vision Based on the Fitting Method. Symmetry. 2019; 11(9):1081. https://doi.org/10.3390/sym11091081
Chicago/Turabian StyleMeng, Chaochao, Hong Bao, Yan Ma, Xinkai Xu, and Yuqing Li. 2019. "Visual Meterstick: Preceding Vehicle Ranging Using Monocular Vision Based on the Fitting Method" Symmetry 11, no. 9: 1081. https://doi.org/10.3390/sym11091081
APA StyleMeng, C., Bao, H., Ma, Y., Xu, X., & Li, Y. (2019). Visual Meterstick: Preceding Vehicle Ranging Using Monocular Vision Based on the Fitting Method. Symmetry, 11(9), 1081. https://doi.org/10.3390/sym11091081

