Studies of Deformed Halo Structures of 39Na and 42Mg
Abstract
1. Introduction
2. The Theoretical Framework
- Volume pairing: ;
- Surface pairing: ;
- Mix pairing: ;
- New pairing: .
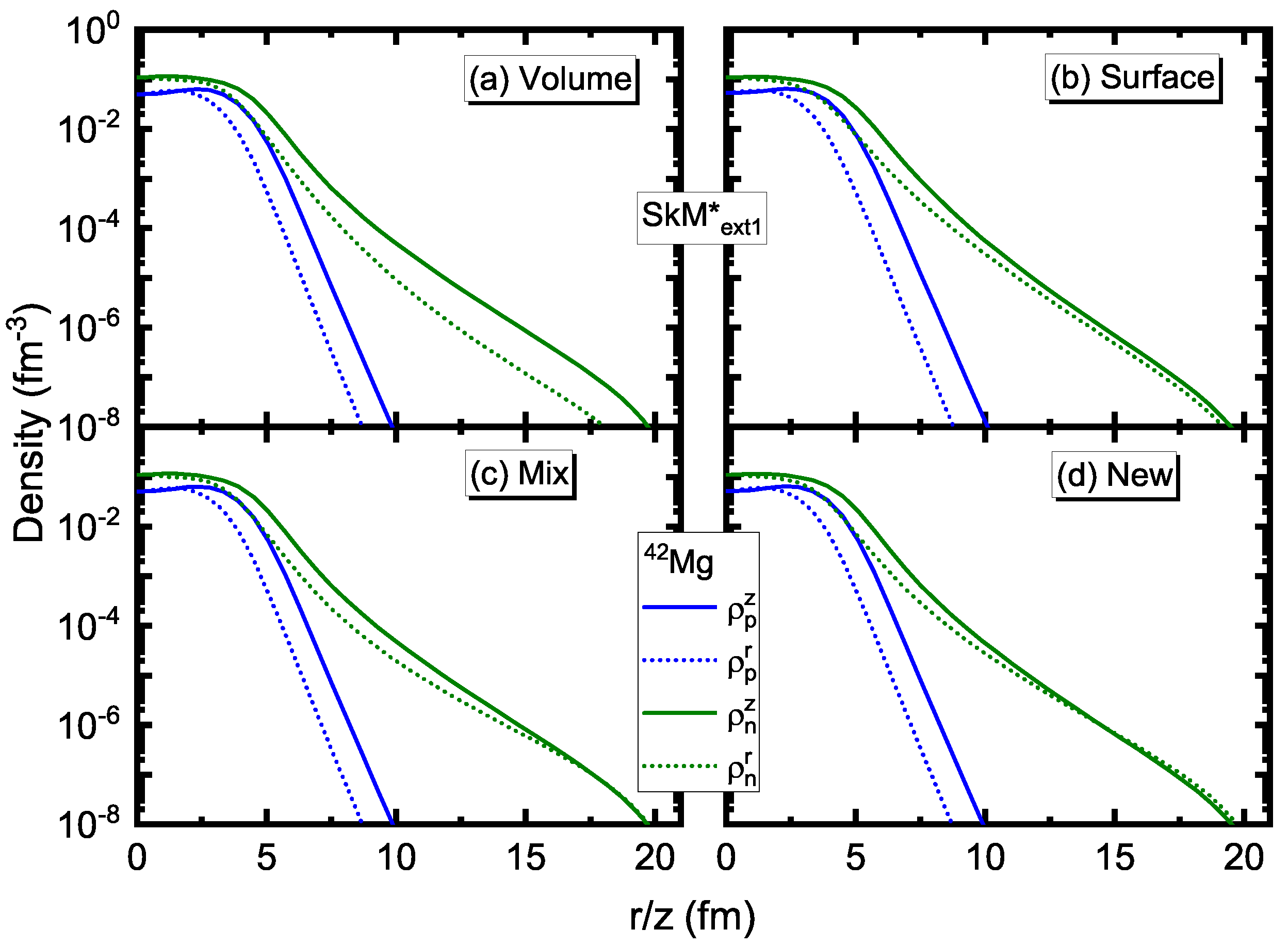
3. Results and Discussion
4. Conclusions
Author Contributions
Funding
Institutional Review Board Statement
Informed Consent Statement
Data Availability Statement
Acknowledgments
Conflicts of Interest
References
- Tanihata, I. Structure of neutron-rich nuclei studied by radioactive beams: Neutron halo and soft E1 excitation. Nucl. Phys. A 1991, 522, 275c–292c. [Google Scholar] [CrossRef]
- Fukuda, M.; Ichihara, T.; Inabe, N.; Kubo, T.; Kumagai, H.; Nakagawa, T.; Yano, Y.; Tanihata, I.; Adachi, M.; Asahi, K.; et al. Neutron halo in 11Be studied via reaction cross sections. Phys. Lett. B 1991, 268, 339–344. [Google Scholar] [CrossRef]
- Meng, J.; Ring, P. Relativistic Hartree-Bogoliubov description of the neutron halo in 11Li. Phys. Rev. Lett. 1996, 77, 3963–3966. [Google Scholar] [CrossRef] [PubMed]
- Nakamura, T.; Kobayashi, N.; Kondo, Y.; Satou, Y.; Aoi, N.; Baba, H.; Deguchi, S.; Fukuda, N.; Gibelin, J.; Inabe, N.; et al. Halo structure of the island of inversion nucleus 31Ne. Phys. Rev. Lett. 2009, 103, 262501. [Google Scholar] [CrossRef]
- Kobayashi, N.; Nakamura, T.; Kondo, Y.; Tostevin, J.A.; Utsuno, Y.; Aoi, N.; Baba, H.; Barthelemy, R.; Famiano, M.A.; Fukuda, N.; et al. Observation of a p-wave one-neutron halo configuration in 37Mg. Phys. Rev. Lett. 2014, 112, 242501. [Google Scholar] [CrossRef]
- Jian, H.; Gao, Y.; Dai, F.; Liu, J.; Xu, X.; Yuan, C.; Kaneko, K.; Sun, Y.; Liang, P.; Shi, G.; et al. β-delayed γ emissions of 26P and its mirror asymmetry. Symmetry 2021, 13, 2278. [Google Scholar] [CrossRef]
- Tanihata, I.; Savajols, H.; Kanungo, R. Recent experimental progress in nuclear halo structure studies. Prog. Part. Nucl. Phys. 2013, 68, 215–313. [Google Scholar] [CrossRef]
- Ahn, D.S.; Fukuda, N.; Geissel, H.; Inabe, N.; Iwasa, N.; Kubo, T.; Kusaka, K.; Morrissey, D.J.; Murai, D.; Nakamura, T.; et al. Location of the neutron dripline at fluorine and neon. Phys. Rev. Lett. 2019, 123, 212501. [Google Scholar] [CrossRef] [PubMed]
- Baumann, T.; Amthor, A.M.; Bazin, D.; Brown, B.A.; Folden, C.M., III; Gade, A.; Ginter, T.N.; Hausmann, M.; Matoš, M.; Morrissey, D.J.; et al. Discovery of 40Mg and 42Al suggests neutron drip-line slant towards heavier isotopes. Nature 2007, 449, 1022–1024. [Google Scholar] [CrossRef]
- Chai, Q.Z.; Pei, J.C.; Fei, N.; Guan, D.W. Constraints on the neutron drip line with the newly observed 39Na. Phys. Rev. C 2020, 102, 014302. [Google Scholar] [CrossRef]
- Terasaki, J.; Flocard, H.; Heenen, P.H.; Bonche, P. Deformation of nuclei close to the two-neutron drip line in the Mg region. Nucl. Phys. A 1997, 621, 706–718. [Google Scholar] [CrossRef][Green Version]
- Crawford, H.L.; Fallon, P.; Macchiavelli, A.O.; Doornenbal, P.; Aoi, N.; Browne, F.; Campbell, C.M.; Chen, S.; Clark, R.M.; Cortés, M.L.; et al. First spectroscopy of the near drip-line nucleus 40Mg. Phys. Rev. Lett. 2019, 122, 052501. [Google Scholar] [CrossRef] [PubMed]
- Pei, J.C.; Stoitsov, M.V.; Fann, G.I.; Nazarewicz, W.; Schunck, N.; Xu, F.R. Deformed coordinate-space Hartree-Fock-Bogoliubov approach to weakly bound nuclei and large deformations. Phys. Rev. C 2008, 78, 064306. [Google Scholar] [CrossRef]
- Zhang, Y.N.; Pei, J.C.; Xu, F.R. Hartree-Fock-Bogoliubov descriptions of deformed weakly bound nuclei in large coordinate spaces. Phys. Rev. C 2013, 88, 054305. [Google Scholar] [CrossRef]
- Skyrme, T. CVII. The nuclear surface. Phil. Mag. 1956, 1, 1043–1054. [Google Scholar] [CrossRef]
- Bartel, J.; Quentin, P.; Brack, M.; Guet, C.; Håkansson, H.B. Towards a better parametrisation of Skyrme-like effective forces: A critical study of the SkM force. Nucl. Phys. A 1982, 386, 79–100. [Google Scholar] [CrossRef]
- Chabanat, E.; Bonche, P.; Haensel, P.; Meyer, J.; Schaeffer, R. A Skyrme parametrization from subnuclear to neutron star densities Part II. Nuclei far from stabilities. Nucl. Phys. A 1998, 635, 231–256. [Google Scholar] [CrossRef]
- Kortelainen, M.; Lesinski, T.; Moré, J.; Nazarewicz, W.; Sarich, J.; Schunck, N.; Stoitsov, M.V.; Wild, S. Nuclear energy density optimization. Phys. Rev. C 2010, 82, 024313. [Google Scholar] [CrossRef]
- Xiong, X.Y.; Pei, J.C.; Chen, W.J. Extension and parametrization of high-order density dependence in Skyrme forces. Phys. Rev. C 2016, 93, 024311. [Google Scholar] [CrossRef]
- Zuo, Z.W.; Pei, J.C.; Xiong, X.Y.; Zhu, Y. Global analysis of Skyrme forces with high-order density dependencies. Chin. Phys. C 2018, 42, 064106. [Google Scholar] [CrossRef]
- Dobaczewski, J.; Flocard, H.; Treiner, J. Hartree-Fock-Bogoliubov description of nuclei near the neutron-drip line. Nucl. Phys. A 1984, 422, 103–139. [Google Scholar] [CrossRef]
- Pastore, A.; Barranco, F.; Broglia, R.A.; Vigezzi, E. Microscopic calculation and local approximation of the spatial dependence of the pairing field with bare and induced interactions. Phys. Rev. C 2008, 78, 024315. [Google Scholar] [CrossRef]
- Wang, K.; Kortelainen, M.; Pei, J.C. Probing surface quantum flows in deformed pygmy dipole modes. Phys. Rev. C 2017, 96, 031301. [Google Scholar] [CrossRef]
- Bertsch, G.; Dobaczewski, J.; Nazarewicz, W.; Pei, J.C. Hartree-Fock-Bogoliubov theory of polarized Fermi systems. Phys. Rev. A 2009, 79, 043602. [Google Scholar] [CrossRef]
- Mo¨ller, P.; Sierk, A.J.; Ichikawa, T.; Sagawa, H. Nuclear ground-state masses and deformations: FRDM(2012). At. Data Nucl. Data Tables 2016, 109, 1–204. [Google Scholar] [CrossRef]
- Wang, N.; Liu, M.; Wu, X.Z.; Meng, J. Surface diffuseness correction in global mass formula. Phys. Lett. B 2014, 734, 215–219. [Google Scholar] [CrossRef]
- Hilaire, S.; Girod, M. Large-scale mean-field calculations from proton to neutron drip lines using the D1S Gogny force. Eur. Phys. J. A 2007, 33, 237–241. [Google Scholar] [CrossRef]
- Goriely, S.; Chamel, N.; Pearson, J.M. Further explorations of Skyrme-Hartree-Fock-Bogoliubov mass formulas. XII. Stiffness and stability of neutron-star matter. Phys. Rev. C 2010, 82, 035804. [Google Scholar] [CrossRef]
- Xia, X.W.; Lim, Y.; Zhao, P.W.; Liang, H.Z.; Qu, X.Y.; Chen, Y.; Liu, H.; Zhang, L.F.; Zhang, S.Q.; Kim, Y.; et al. The limits of the nuclear landscape explored by the relativistic continuum Hartree CBogoliubov theory. At. Data Nucl. Data Tables 2018, 121, 1–215. [Google Scholar] [CrossRef]
- Wang, M.; Audi, G.; Kondev, G.G.; Huang, W.J.; Naimi, S.; Xu, X. The AME2016 atomic mass evaluation (II). Tables, graphs and references. Chin. Phys. C 2017, 41, 030003. [Google Scholar] [CrossRef]
- Zhou, S.G.; Meng, J.; Ring, P.; Zhao, E.G. Neutron halo in deformed nuclei. Phys. Rev. C 2010, 82, 011301. [Google Scholar] [CrossRef]




Publisher’s Note: MDPI stays neutral with regard to jurisdictional claims in published maps and institutional affiliations. |
© 2022 by the authors. Licensee MDPI, Basel, Switzerland. This article is an open access article distributed under the terms and conditions of the Creative Commons Attribution (CC BY) license (https://creativecommons.org/licenses/by/4.0/).
Share and Cite
Chai, Q.; Chen, H.; Zha, M.; Pei, J.; Xu, F. Studies of Deformed Halo Structures of 39Na and 42Mg. Symmetry 2022, 14, 215. https://doi.org/10.3390/sym14020215
Chai Q, Chen H, Zha M, Pei J, Xu F. Studies of Deformed Halo Structures of 39Na and 42Mg. Symmetry. 2022; 14(2):215. https://doi.org/10.3390/sym14020215
Chicago/Turabian StyleChai, Qingzhen, Hongxing Chen, Minghao Zha, Junchen Pei, and Furong Xu. 2022. "Studies of Deformed Halo Structures of 39Na and 42Mg" Symmetry 14, no. 2: 215. https://doi.org/10.3390/sym14020215
APA StyleChai, Q., Chen, H., Zha, M., Pei, J., & Xu, F. (2022). Studies of Deformed Halo Structures of 39Na and 42Mg. Symmetry, 14(2), 215. https://doi.org/10.3390/sym14020215

