Abstract
Spiker–blocker encounters are a key moment for determining the result of a volleyball rally. The characterization of such a moment using physical–statistical parameters allows us to reproduce the possible ball’s trajectory and then make calculations to set up the defense in an optimal way. In this work, we present a computational algorithm that shows the possible worst scenarios of ball trajectories for a volleyball defense, in terms of the covered area by the block and the impact time of the backcourt defense to contact the ball before it reaches the floor. The algorithm is based on the kinematic equations of motion, trigonometry, and statistical parameters of the players. We have called it the Attack-Block-Court Defense algorithm (the ABCD algorithm), since it only requires the 3D-coordinates of the attacker and the blocker, and a discretized court in a number of cells. With those data, the algorithm calculates the percentage of the covered area by the blocker and the time at which the ball impacts the court (impact time). More specifically, the structure of the algorithm consists of setting up the spiker’s and blocker’s locations at the time the spiker hits the ball, and then applying the kinematic equations to calculate the worst scenario for the team in defense. The case of a middle-hitter attack with a single block over the net is simulated, and an analysis of the space of input variables for such a case is performed. We found a strong dependence on the average impact time and the covered area on both the attack–block height’s ratio and the attack height. The standard deviation of the impact time was the variable that showed more asymmetry, respecting the input variables. An asymmetric case considering more variables with a wing spiker and three blockers is also shown, in order to illustrate the potential of the model in a more complex scenario. The results have potential applications, as a supporting tool for coaches in the design of customized defense or attack systems, in the positioning of players according to the prior knowledge of the opponent team, and in the development of replay and video-game technologies in multimedia systems.
1. Introduction
Data science and numerical modeling in sports are powerful tools applied for sports performance, which have been widely used [1,2,3]; for example, in baseball [4,5,6,7] and in a particular case in volleyball [8,9]. In volleyball, this is a real fact because of data analysis resulting from plays that have occurred during games, which have been determinant in defining play strategies.
Efficacy in volleyball has been partially determined by prior knowledge regarding the opponent and the corresponding customization, which are characteristics that show successful results when the players have reached a good visual anticipation of the attack that is based on patterns of previous action outcomes [10]. This skill and others are expected to be developed in players thanks to the coach’s experience and training. In this context, an important resource that assists coaches to make decisions is Data Volley, a computational software designed to analyze performance in volleyball, allowing for the transformation of actions performed by players during a match or training into a standard code that is statistically analyzed [11,12]. Additionally, this software has been utilized for video montages and graphical analysis to analyze the opponent team´s offense and defense before official games [13,14].
For each match, although the opponent’s strengths and weaknesses are important factors to consider, it is also fundamental to design robust strategies for offense and defense. Ideally, both of them should be at the highest level of effectiveness if it is required to have a winning team. Offense and defense are complementary and are divided by a thin line, because when an attack is conducted, the objective is to prevent the opponent from getting the point, which is a type of defensive action, and on the other hand, when a strictly defensive action is performed, the ultimate goal is to win the point, which is a type of offensive action.
Attack-perspective supporters emphasize the importance of creating offensive situations [15,16], while some defensive-style supporters, even though they accept that the attack efficacy in the game is decisive, also agree that defensive actions are fundamental for competitive success [17], and a more radical view in this last perspective is introduced by Terry Liskevych, a recognized USA Olympic Coach during 1984 and 1996. He is convinced that defense determines the winning team, and his argument is also supported by a dependence on the interplay and coordination of block and backcourt defense [18,19]. Liskevych´s perspective is partially supported by several scientific studies; one of them, a study obtained from the men’s 2005 World League, found that defense, together with attack and block, are the three terminal actions that make teams win sets [20]. In contrast to men’s volleyball, in women’s volleyball, there is a more balanced relationship between the attack and the defense, having a predominance of placed and slower attacks [21,22], which will not be considered in this work.
Now, if one deals on the defense, blocking (obstruction to the opponent’s attack) is usually understood as the characteristic defense factor, “due to the block being the first line of defense” [23], the reason that justifies the existence of several works in the literature studying its efficacy [15,24]. Although this will be detailed in the methodology of this work, it is important to emphasize the importance of blocking for volleyball teams [24,25], especially for top-level teams, where it is the most important skill in opposition to attack [26]. Blocking as a defense strategy must be performed in the best proper way. This action starts when the blocker jumps in front of the net, extending the hands upward, trying to avoid the opponent’s spike. Performing a kill block, in which the ball ends on the opponent’s court, is the best option; however, the second option is to block the ball in such a way that it remains in the blocking team’s court but has the chance of organizing their offensive game. In a successful block, the ball ends up crashing against the blocker’s hands, and in the best scenario, it returns to the opponent´s side. Thus, it is said that the key to blocking is determined by jumping at the correct time and choosing the right jumping position [27,28].
Getting a high performance for blocking is also usually associated with several abilities more commonly observed in expert players; such tasks such as as perceptual speed and anticipation of the ball direction, when better performed, are outstanding [29]. On the other hand, although it could be possible to consider various perspectives to characterize the performance in a volleyball match, the ball’s motion analysis is relevant information that is associated with those abilities that contain variables such as ball distance, speed, and deceleration [30]. Of course, the location of all players to attack the ball, and block height are also important [18,31].
However, when the ball passes the block, the time it takes the ball to fall to the floor (impact time) is another important issue, so that if it is just an instant, it could be an advantage for the spiker, because it would be less probable that the opponent team can react to it. In the opposite way, if the ball takes more time to fall, it would be more probable that the defense can recover the ball. The impact time during blocking is closely associated with block height [31,32], and although both could be controversial, block height can be a critical point to be analyzed, which is part of the purpose of this research.
Having as a background the use of valuable statistical tools such as Data Volley for the analysis of specific actions in volleyball matches, this work proposes a model to characterize the block action from a defense perspective, focusing on attending the controversy of the importance of block height, and providing a computational algorithm as a tool for supporting the decisions of volleyball coaches. The algorithm requires the 3D-coordinates of the attacker and the blocker(s) as input data, and provides the worst scenario for the defense team in terms of some quantitative variables related to the covered area by the block and the impact time that it produces for each cell of the court. It is important to note that the input data, the actual or statistical values of players, can be simulated, which allows for the use of the algorithm for different situations; in turn, our research outcomes can be applied for defensive as well as for offensive rolls; however, the discussion is oriented to the defensive perspective. Starting from the fact that a volleyball attack is a complex phenomenon that is composed of several components, multiple variables, and unpredictable factors, the hypothesis of our method considers blocking as one key component, which is analyzed in a separated way in order to enclose the relation between its inherent variables, allowing the parametrization of the attacker–blocker interaction. In this sense, our algorithm generates statistical data by modeling the possible worst scenarios that could occur for the specific situation of the block in a match. The structure of the paper is as follows: Section 2 describes the methodology to implement the algorithm, Section 3 shows the results of applying the algorithm for some cases studies, Section 4 is dedicated to discussing the applications and limitations of the model, and our conclusions are shown in Section 5.
2. Methodology
This section describes the general concepts and assumptions for modeling the ball’s motion, and defines variables and the set of equations, together with the conditions to be fulfilled, in order to have a solution. There is also a description on the discretization of the court. The pseudo-code of the ABCD algorithm is shown at the end of this section.
2.1. Physical Model
The model considers the kinematic equations of parabolic trajectories in Cartesian coordinates and the MKS system of units. The concepts of “heat”, “dink”, and “dump” should be interpreted as in [33]. Key variables and assumptions are detailed below.
The ball. The volleyball ball is considered as a perfect spherical ball whose center of mass agrees with its geometrical center, such that the kinematic equations of motion can be applied to its mass point representation m. In turn, the ball is also characterized by its radius r, in order to compute the distance measurements of the model.
The attacker. The 3D-coordinates at which the attack occurs, , is defined by the 2D location at which the spiker hits the ball , and the spike’s height , where is taken in such a way that the center of the ball agrees with the center of the attacker’s hand, as illustrated in Figure 1a.
Figure 1.
Visualization of some characteristics of the model. (a) View of an attacker–blocker encounter showing the input variables: attack height , block height , and block width . (b) Planar view of the court showing some input variables: , , and , and the -axes (the z-axis points outside); the origin of the coordinate system is located at the center of the entire court. (c) Lateral view of the court showing some trigonometric measures to decide whether a heat is possible for a certain cell or not: for cells in Sector 1, a heat is possible because restriction (4) is satisfied, while for Sector 2, a heat is not possible. The red dashed line is located at a height r, the radius of the ball.
The blocker. The block is modeled by a rectangle over the net (at m, without penetration), so that it covers the entire cross-section of the rectangle without space within it, blocking all of the balls trying to pass through it with any part of its circumference. This leads to a coverage discontinuity on the border of the rectangle; see Figure 1a. In this way, the block is characterized by its 2D location , its maximum height , and its coverage width , so that represents a single block; see Figure 1b. The distance of the arms of blocker 1 from the net is , where is the height of the net. In case of double or triple blocks, the second and third blockers are characterized in a similar way by and , respectively. Even though it will not be considered in this paper, three more blocks could be added for the case in which the arms of the blocker are uneven, so that each block would represent an arm of a player.
The court. Hereafter, we will refer to the court on the defending team’s side simply as “the court”. Then, in order to properly illustrate the relations between variables, the court with an area of 9 m × 9 m is discretized into a cell array with n cells per side, which leads to a refinement of cells per meter and a total of cells. The -th cell is defined by its 3D-coordinates in meters, according to the system of coordinates shown in Figure 1b.
Ball’s motion. The model considers two types of spike, which lead to two different types of ball motions: the first one refers to hard spikes (better known as “heats”). In this case, it is assumed that the ball travels in a straight line and the time that it takes to reach the -th cell of the court is . This assumption agrees with real heats in elite volleyball matches, in which the players acting the roll of backcourt defense do not have time to move their position, covering only their individual spots. For each -th cell of the court and a fixed attack a, the straight line mentioned above is then defined by .
On the other hand, the second type of spike refers to soft hits in general (“dinks”) and those ones near the net (“dumps”). In those cases, we define the movement of the ball by the kinematic equations of motion [34]:
where m/s refers to gravity acceleration, u, v, and w to the velocity components of the ball (only w changes with time, due to g), and the sub-indexes i and f refer to the initial and final values, respectively.
2.2. Covered Area and Impact Time
The area of the court is represented by binary matrix A, with entries , such that the covered cells are tagged by 1 and the uncovered cells are tagged by 0. Since we are looking for the worst scenario to the team in defense, it is considered that the attacker performs a heat in direction to each -th cell whenever possible; i.e., the ABCD algorithm supposes that a heat in occurs if there is not the net or a block between a and . If this occurs, is tagged as not covered, then and s, as mentioned above. In accordance with Figure 1c, this happens when constraint (4) is not satisfied:
where and are the distances on the plane from the position of a to a zone , and from a to the point where the ball crosses the center line , respectively, such that:
In turn, is also geometrically defined by a linear interpolation between and (), whereas takes its value depending on whether the ball crosses the centerline over the block or over the net:
where is the height of net, and the terms indicate the width of each side (left and right arms) of the block. The radius of the ball, r, is added to the vertical and horizontal limits of the block and the net because any ball that touches the blocker (or also the net) with any part of its circumference is blocked, according to the definition of block in Section 2.1.
Now, for each -th cell of the court in which a heat is not possible, the corresponding cell is tagged as covered by , and the time the ball takes to reach that cell (the impact time) is calculated by solving for the time the kinematic Equations (1)–(3), matching (in position and velocity) the trajectories:
- from a to s; taking a as the initial point and s as the final point,
- from s to ; taking s as the initial point and as the final point.
In this way, the impact time for the -th cell is:
where is the ratio
Note that must be the minimal height at which the ball can cross the center line to prevent negative times , which could result by computing directly from Equation (8), for the cases when:
So, must be increased by a small factor until reach the minimal height that gives .
Finally, the average impact time , the standard deviation of the impact time , and the percentage of the covered area are defined as the output variables that bring a global measure for the court. In turn, is defined in order to establish a measure of the relative height of the attack.
2.3. The Attack-Block-Court Defense Algorithm (The ABCD Algorithm)
The pseudo-code of the ABCD algorithm according to Equations (4)–(11) is presented in Algorithm 1. Given the 3D-positions of the attack and block, the algorithm calculates the output variables related to the impact time and the covered area for that simulation. Our current model, as shown in the pseudo-code, accepts up to three blockers. The parameters regarding the ball, the court, the net, and the ball’s trajectory can be modified.
| Algorithm 1 Pseudo-code of the ABCD algorithm for one simulation. |
|
In summary, the algorithm consists of the following steps:
- Input data: 3D positions of the attacker and blocker(s);
- Consider one cell of the court;
- Consider blocker 1;
- Calculate the ball’s trajectory of the worst scenario;
- If it applies, repeat Step 4 for blockers 2 and 3;
- Repeat Steps 3–5 for the rest of the cells;
- Calculate the output data.
3. Results
Numerical simulations have been conducted to show the behavior of the output variables for different case studies. For all of the simulations, the physical parameters have been set with the aim to illustrate conditions that are close to the range of elite men’s volleyball matches: cm, m [35]. The algorithm parameters were defined as cells and mm, in order to obtain a good resolution.
The system could accept up to 15 input variables: three for the position of the attacker, nine for the position of the three blockers (three variables for each one) and three variables for the corresponding block width. However, in order to show the potential of the algorithm and to have a comprehensive study of the dependence of the variables, in this paper, we show only the case studies fixing both the x-position of a middle-hitter attack at m, corresponding to m, and a single block located at (,) = (0,0). Block assist is then not considered, so that the second and third blockers are introduced in the algorithm, assuming . This reduces the number of effective input variables to four: , , , . Since only one blocker is considered, here after, we omit the superscript. The algorithm was programmed in R statistics [36], while the resulting data were plotted using Gnuplot [37]: Figure 2, Figure 3, Figure 4, Figure 5, Figure 6 and Figure 7 and Figure A1, Figure A2, Figure A3 and Figure A4.
Figure 2.
Maps of the average impact time, , at each cell of the court of the defending team; four cases are shown. The x-axis locates the position of the net. Case 1: position of the attack = −1 m, height of the attack m, height of the block =3.1 m, and lateral extension of the block m. Case 2: m, m, m, and m. Case 3: m, m, m, and m. Case 4: m, m, m, and m. The maps are color coded according to the bar at the bottom, in units of seconds. For all of the cases, the cells near the net have s. However, the color scale has 2 s as the upper limit in order to have a proper visualization of the gradient.
Figure 3.
Space of solutions of the three output variables of the entire court for four different cases of varying and : (a) m, m; (b) m, m; (c) m, m; (d) m, m.
Figure 4.
Percentage of the covered area A and average impact time in function of the ratio between heights of the attack and the block , for the four different case studies: (a) m, m; (b) m, m; (c) m, m; (d) m, m.
Figure 5.
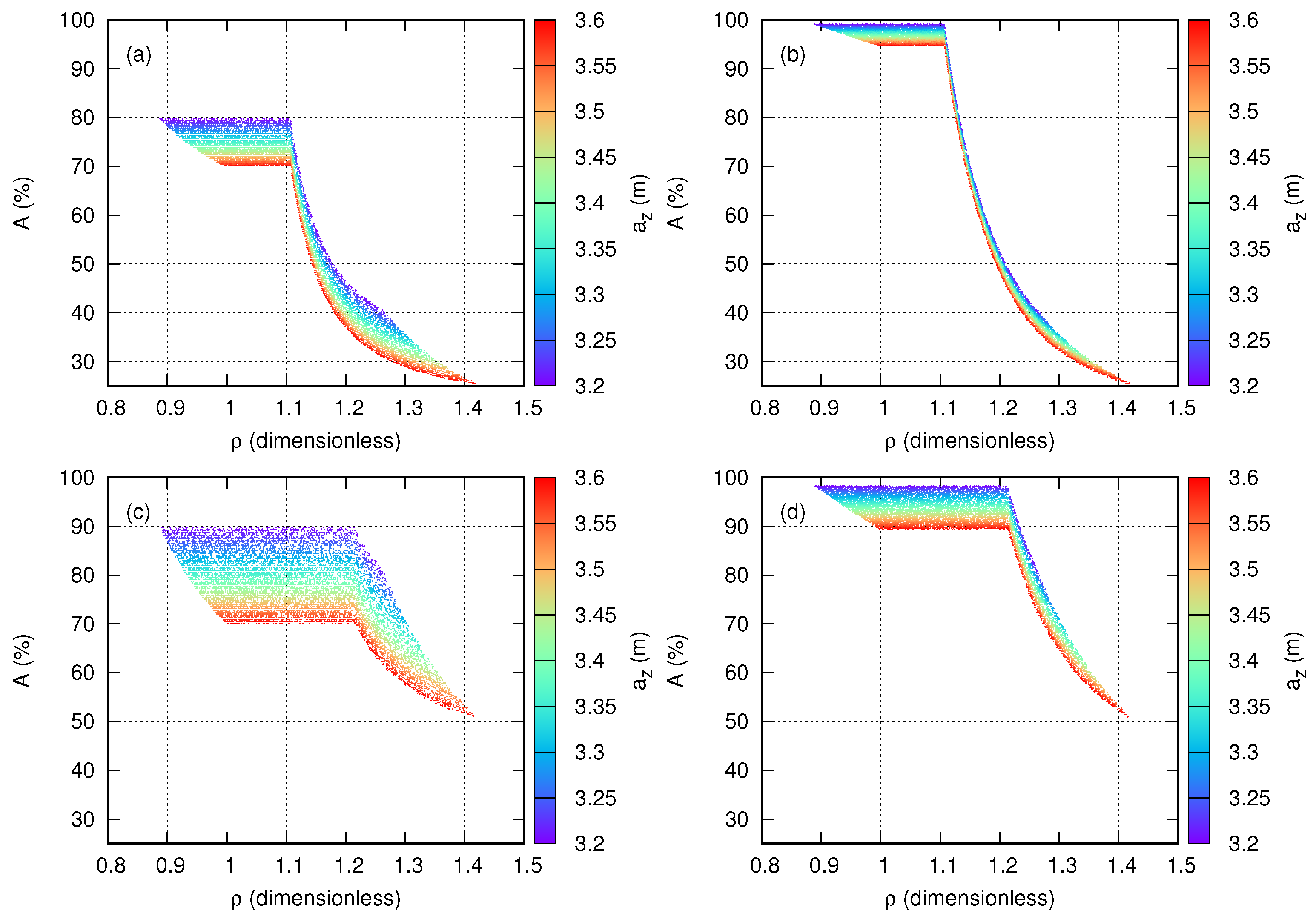
Percentage of the covered area A in function of the ratio , and the attack height , for the four different case studies: (a) m, m; (b) m, m; (c) m, m; (d) m, m.
Figure 6.
Standard deviation of the impact time and average impact time in function of the ratio , for the four different case studies: (a) m, m; (b) m, m; (c) m, m; (d) m, m.
Figure 7.
Left panel: Map of the average impact time, , at each cell of the court of the defending team for the case of a wing spiker and three blockers. Positions and heights of the blockers are given in the text. The map is color coded according to the bar at the bottom. The dashed contours enclose the area where s. Right panel: Average impact time versus percentage of the covered area by the three blockers. The points are colored according to the attack height. Each point corresponds to 1 of the 10,000 possible configurations.
Figure 2 shows four maps of the impact time on the court, corresponding to four simulations. All the cases consider that the middle hitter hits the ball at a height m. Due to the symmetry of the setup, the maps show only one half part of each solution and one half of the domain for each solution. Case 1 considers that the attacker hits the ball at one meter from the net m, while the block height is m and the block width is m. In Case 2, a higher and wider block is considered so that m and m. Cases 3 and 4 simulate a back row attack at m, while considering similar characteristics for the block to Cases 1 and 2, so that in Case 3: m and m, and in Case 4: m and m.
For all the cases, one can see a gradient for in the y-direction, having the largest times near the centerline, located at the x-axis. The gradient is cut by the diagonal projection of the block’s coverage, leading to a discontinuity in the map. Such slopes differ according to the lateral extension of the block , when comparing cases at the same . Even more, for the uncovered cells by the block, the difference in the separation of the attack from the net leads to a steeper gradient in Cases 1 and 2. The uncovered cells, neither by the block nor by the net, are identified by the darkest blue color, corresponding to . On the other hand, there is a smoother gradient for the covered cells by the block. Indeed, the minimum values of time reached are close to 1 s, in Cases 1 and 3, and more than 1 s in Cases 2 and 4, because of the higher block in these latest cases. The integration of those results helps to visualize and quantify the multi-dependence of the average impact time and its importance in a match, e.g., when comparing the impact time with the reaction time and the explosive speed of the players in the backcourt defense.
The four cases show a similar relation in shape between the covered area and the average impact time: there is a first part in which increases linearly, with similar slopes and with almost no dispersion with respect to A, and then there is a break point that defines the beginning of a second part in which the linear relation remains, but with a clear dispersion. Nevertheless, the shape in each case has a different position and size. Therefore, even though the possible scenarios of A vs. do not vary in a qualitatively manner for the backcourt defense, the attack position from the centerline and the block width modify the limits of the space of solutions. Analyzing the effect of the variables, larger average impact times could be reached when the block is wider, as in Cases (b) and (d), which is intuitive because more area is covered. On the other hand, comparing Cases (a) and (b) with Cases (c) and (d), we can observe that the farther the attack from the net, the larger the standard deviation of the impact times. In this way, Figure 3 focuses more on relating the space of solutions than on highlighting the dependence of the output variables on the input ones. Figure A1 and Figure A2 in Appendix A show similar graphs but with color coding in accordance to variables and , respectively.
Figure 4, Figure 5 and Figure 6 illustrate the results of the numerical simulations as shown in Figure 3, but plotting the output variables with the dependence of some input variables. Figure 4 relates the output variables A and with the input variables and through the ratio . The solutions of each case look like a piecewise function with a break point. The break points occur at values of when m, and when m. Moreover, the left part from the break does not depend on , which means a constant range of covered area A: Case (a), a range of 70–80%; Case (b), more than ; Case (c), a range of 70–90%; and Case (d), more than . The right part presents a non-linear decrease in A for increasing values of , reaching values of when m and when m. In turn, the color map shows that decreases when increasing . The way of that decrease is non-linear and smooth, but different for each case, as illustrated in Figure A3. The effect of is shown when comparing Cases (a) and (c) with Cases (c) and (d), so that wider blocks lead to larger average impact times and larger covered areas.
Figure 5 is similar to Figure 4, but substitutes the output variable by the input variable in the color code. The color gradient indicates that A depends also on , such that the general behavior of A as a function of consists of a family of curves, each of them having higher values of A for lower values of . The standard deviation, , shows also a similar dependence on , while has an inverted dependence on it; see Figure A3 and Figure A4, respectively.
Figure 6 shows the behavior of and A regarding . The resulting graphs for such a visualization present the largest asymmetry when comparing between cases. Here, there is an inflection point that causes a change in the concavity of the curves. Such a point coincides with the corresponding break points in the previous figures. For the cases when m, the right side of the inflection point is approximately constant s, while for the cases when m, it increases up to s. The left side of each graph shows a concave shape with a large dispersion of points. In turn, the color of the points represents the value of the percentage of the covered area A, which allows an alternative visualization of the results shown in Figure 4 and Figure 5.
To break the symmetry considered in previous cases, and to show the potential of the algorithm, we performed simulations for the case of a wing spiker at position covered by three blockers at positions , , and , with the coordinates in meters, and with m for all of them. The 10,000 numerical simulations were conducted, varying the parameters and inside the same ranges than the previous simulations. The results are shown in Figure 7. The left panel contrasts with previous cases (see Figure 2); it has a more complex pattern of zones, with ; the contours correspond to the area where . This case also shows the unpredictability reached by adding more variables to the algorithm, from 4 to 15, when comparing the right panel with the graphics in Figure A1 in the appendix. Therefore, in this case, we cannot see a clear interplay between , , and A.
4. Discussion
In order to provide a practical application guide of the results for volleyball coaches and players, in this section, we give some tips on how to interpret the obtained graphs for real matches and training, remarking that the purpose of our algorithm is to allow the coaches to establish defensive strategies to detect weak points of the defense in a parametric way. In turn, we mention the limitations of the current version of our model.
4.1. Application in Matches and Training
Due to the complexity and multi-dependence of the output variables on the input ones, fitting an equation to represent the relationship between them could not be the best option to make decisions in matches. On the other hand, the implementation of a graphical user interface (GUI), where the input variables can be introduced in a friendly manner, allows for choosing or supporting the coach’s decision in an efficient way. As an example, Figure 8 shows a GUI prototype based on our entry data that would generate graphics such as those shown in this work, highlighting the specific solution of the entry variables according to the needs of the coach. The GUI in Figure 8 was implemented in C sharp [38].
Figure 8.
Prototype of GUI for the input variables of the ABCD algorithm. The suggested GUI uses sliders to select the values of the entry data in a friendly visualization.
In the following, we will discuss a practical use for the graphics shown in this work. Figure 3, Figure A1 and Figure A2, are useful views for a quick detection of the possible combinations of solutions close to the result obtained with the entry data. For example, consider a training session in which the coach of the team in defense has statistical knowledge of the possible opponent spikers per rally in the next match. Thus, the ABCD algorithm could be applied for each possible attack to identify clusters in the plots of Figure 3, Figure A1 and Figure A2, and then to train the backcourt defense for such specific resultant scenarios; i.e., to optimize the defense in terms of A, and/or by customizing the backcourt location.
Figure 4 can be applied in real-time match rallies according to the needs of the defense. Supposing similar assumptions as in the above paragraph regarding a priori knowledge of the opponent team, Figure 4a,b could advise the middle blocker on determining the height of his/her jump: if the coach instructions are to maximize A without considering or , then the blocker could manage his/her energy in looking for a value of around units, but not lower, and focusing on maximizing its lateral coverage , since the values of A for depend mainly on the block width and the attacker height. Implementing this methodology from the training, the player could optimize his/her muscle fatigue for the next rallies.
Now, if the purpose of the middle blocker is not only to maximize A but also , with the aim of supporting the average reaction time of the backcourt defense, then Figure A3 should be an important output of the GUI. In such a case, the variable must be considered for all of the possible scenarios, whereas could diminish in importance. Moreover, considering a most complex duty for the middle blocker in which his/her purpose is not only to maximize A and but also focusing on , with the aim of optimizing the location of the backcourt defense, then Figure 6 could support the clustering of such players, accounting the high variability of . Finally, in the situation when the attack height of a specific opponent player is a risk factor for the defense, then Figure 5, Figure A3 and Figure A4 should be the output of the GUI, for a more customized defense and a proper positioning.
4.2. Limitations of the Model
The discussion of our algorithm is mainly focused on the four configurations of middle-hitter attack and one blocker (Figure 2, Figure 3, Figure 4, Figure 5 and Figure 6 and Figure A1, Figure A2, Figure A3 and Figure A4), and the number of variables that we considered. Nevertheless, we presented a different configuration with a wing spiker and three blockers (Figure 7), that shows the unpredictability that can be reached when increasing the number of variables.
Our approach considers individual players; this is important since within the team, each player may have very specific behaviors; moreover, despite the results that were obtained for the parameters of men’s volleyball, our algorithm is flexible on the input parameters and can also be applied to women’s volleyball for instance, by considering different ranges of heights. It is important to note that our algorithm is aligned to the match analysis performed by [39] in the following aspects:
- It can consider the five categories of block opposition. Here, we presented three of them: single blocking, broken double blocking, and triple blocking.
- Block position and attack zone are our input data in the way of the 3D locations of such players.
- It considers two of the five times of an attack: the ball hit and the block time.
- It proposes three additional variables (covered area, average impact time and its standard deviation) that have not been considered inside their wide set of variables.
Thus, the search for the relation between variables could be extended by considering our results in match analysis studies, complementing pre-existing data with a physical model.
In turn, some restrictions of our results can be seen by analyzing the maps in Figure 2. The positioning of the backcourt defense, when knowing the attack and block positions, is indirectly suggested by those maps but its feasibility is limited by the lack of additional variables, such as setting the tempo, the distance from attacker to setter, and the attack zone. In fact, [40] analyzed 4544 plays of the 2011 Volleyball World League, finding that certain attack zones are deeply associated with attack tempo, and that quicker attack plays affect defense system structuring. This means that small changes on those parameters can produce variations on the locations and heights at which blockers and spikers could make contact with the ball—recalling that these are the input data of the algorithm. The effects of those variations in the parameters have not been directly considered in our model, but they are implicit in Figure 3, Figure 4, Figure 5, Figure 6 and Figure 7 and Figure A1, Figure A2, Figure A3 and Figure A4. In addition to this, some general limitations of the model are discussed below.
Low impact spikes with a spin (or “off-speed hits”) are not considered in this work. Serves and those types of spikes could be implemented in forthcoming communications by taking into account that the larger velocity and flight time of the ball will lead to larger drag and Magnus forces that cause a considerable deviation of the ball’s trajectory, and then, these forces should be modeled.
Another limitation occurs when the ball interacts with the border of a blocker, since our block model only leads to two possible ways: the ball passes or not, so those cases when the block deviates the ball’s trajectory are not considered. Such situations are more difficult to model; therefore, it should be expected that more complex solutions would result. These effects are not considered in this first approximation, in order to show the potentials of our model in a structured manner, and to provide a comprehensive relation between variables.
In this sense, the interpretation of the results is restricted by the same limitations of the model that were described above, so that unpredictability effects that are difficult to measure can occur without being caught by our deterministic model. However, our simplified block–attack configuration under ideal conditions provides significant symmetric and asymmetric patterns with useful supporting information for coaches.
5. Conclusions
We developed a computational algorithm named the ABCD algorithm, which characterizes and quantifies the possible scenarios for the defense of a volleyball team when an attack of the opponent is performed. The algorithm calculates the average impact time , its standard deviation , and the percentage of the covered area A.
The algorithm was implemented for four different conditions of game, considering a middle-hitter attack with one blocker. We found a complex-general dependence of the output variables , , and A on the attack–block height’s ratio and the attack height . An asymmetric case considering more variables with a wing spiker and three blockers is also shown, in order to illustrate the potential of the model in a more complex scenario.
The way of characterization and the illustrative results suggest that the ABCD algorithm is a computational tool that allows us to visualize and quantify the scenarios for defense. In this way, it could be a potential widget to adapt in a GUI for supporting or planning the decisions of coaches in games and training. As a final comment, we propose the following future lines of research:
- To add more variables and randomness to the block’s model with the aim of representing complex scenarios that are not discussed in this work, such as small modifications in the ball’s trajectory caused by a light contact of the blocker’s fingers.
- To illustrate representative cases of double and triple block.
- To adapt the methodology to the serve, but including drag and Magnus forces to the ball’s equations of motion.
- To consider more statistical data in the algorithm, such as trends in the direction of the spike, and the percentage of the effectiveness of each player.
Author Contributions
Conceptualization, M.A.A.-L. and J.R.C.-G.; methodology, M.A.A.-L., F.H.-Z., and J.R.C.-G.; software, M.A.A.-L., F.H.-Z., and J.A.C.-P.; validation, F.H-Z, M.A.A.-L., J.R.C.-G., and J.A.C.-P.; formal analysis, M.A.A.-L., J.R.C.-G., and F.H.-Z.; investigation, M.A.A.-L., F.H.-Z., and J.R.C.-G.; resources, M.A.A.-L., F.H.-Z., and J.A.C.-P.; data curation, M.A.A.-L. and F.H.-Z.; writing—original draft preparation, M.A.A.-L. and J.R.C.-G.; writing—review and editing, M.A.A.-L., F.H.-Z., J.R.C.-G., and J.A.C.-P.; visualization, M.A.A.-L., F.H.-Z., and J.A.C.-P.; supervision, M.A.A.-L. and J.R.C.-G.; project administration, M.A.A.-L.; and final approval of the version to be published, J.R.C.-G., F.H.-Z., J.A.C.-P., and M.A.A.-L. All authors have read and agreed to the published version of the manuscript.
Funding
This research received no external funding.
Institutional Review Board Statement
Not applicable.
Informed Consent Statement
Not applicable.
Data Availability Statement
The data presented in this study are available on request from the corresponding author.
Acknowledgments
F.H.-Z. thanks FCFM-UNACH and the support from CONACyT through the program “Investigadoras e investigadores por México”, Cátedra 873. M.A.A.-L. thanks CONACyT for the postdoctoral grant 839412 and FCFM-UNACH for supporting their research stay. J.R.C.-G. and J.A.C.-P. acknowledge the resources and support from Universidad Autonoma de Coahuila.
Conflicts of Interest
The authors declare no conflict of interest.
Appendix A
Figure A1.
Percentage of the covered area A and average impact time at different attack heights , for the four different case studies: (a) m, m; (b) m, m; (c) m, m; (d) m, m.
Figure A1.
Percentage of the covered area A and average impact time at different attack heights , for the four different case studies: (a) m, m; (b) m, m; (c) m, m; (d) m, m.

Figure A2.
Percentage of the covered area A and average impact time at different block heights , for the four different case studies: (a) m, m; (b) m, m; (c) m, m; (d) m, m.
Figure A2.
Percentage of the covered area A and average impact time at different block heights , for the four different case studies: (a) m, m; (b) m, m; (c) m, m; (d) m, m.

Figure A3.
Average impact time in function of the ratio and the attack height , for the four different case studies: (a) m, m; (b) m, m; (c) m, m; (d) m, m.
Figure A3.
Average impact time in function of the ratio and the attack height , for the four different case studies: (a) m, m; (b) m, m; (c) m, m; (d) m, m.

Figure A4.
Standard deviation of the impact time in function of the ratio and the attack height , for the four different case studies: (a) m, m; (b) m, m; (c) m, m; (d) m, m.
Figure A4.
Standard deviation of the impact time in function of the ratio and the attack height , for the four different case studies: (a) m, m; (b) m, m; (c) m, m; (d) m, m.

References
- Fister, I.; Ljubič, K.; Suganthan, P.N.; Perc, M.; Fister, I. Computational intelligence in sports: Challenges and opportunities within a new research domain. Appl. Math. Comput. 2015, 262, 178–186. [Google Scholar] [CrossRef]
- Sarlis, V.; Chatziilias, V.; Tjortjis, C.; Mandalidis, D. A Data Science approach analysing the Impact of Injuries on Basketball Player and Team Performance. Inf. Syst. 2021, 99, 101750. [Google Scholar] [CrossRef]
- Grossi, V.; Giannotti, F.; Pedreschi, D.; Manghi, P.; Pagano, P.; Assante, M. Data science: A game changer for science and innovation. Int. J. Data Sci. Anal. 2021, 11, 263–278. [Google Scholar] [CrossRef]
- Aguirre-López, M.A.; Morales-Castillo, J.; Díaz-Hernández, O.; Escalera Santos, G.J.; Almaguer, F.J. Trajectories reconstruction of spinning baseball pitches by three-point-based algorithm. Appl. Math. Comput. 2018, 319, 2–12. [Google Scholar] [CrossRef]
- Aguirre-López, M.A.; Díaz-Hernández, O.; Hueyotl-Zahuantitla, F.; Morales-Castillo, J.; Almaguer, F.J.; Escalera Santos, G.J. A cardioid-parametric model for the Magnus effect in baseballs. Appl. Math. Comput. 2019, 45, 2097–2109. [Google Scholar] [CrossRef]
- Nathan, A.M. The effect of spin on the flight of a baseball. Am. J. Phys. 2008, 76, 119–124. [Google Scholar] [CrossRef] [Green Version]
- Nathan, A.M.; Crisco, J.J.; Greenwald, R.M.; Russell, D.A.; Smith, L.V. A comparative study of baseball bat performance. Sport. Eng. 2011, 13, 153. [Google Scholar] [CrossRef]
- Van Haaren, J.; Ben Shitrit, H.; Davis, J.; Fua, P. Analyzing Volleyball Match Data from the 2014 World Championships Using Machine Learning Techniques. In Proceedings of the 22nd ACM SIGKDD International Conference on Knowledge Discovery and Data Mining, San Francisco, CA, USA, 13–17 August 2016; KDD ’16. Association for Computing Machinery: New York, NY, USA, 2016; pp. 627–634. [Google Scholar] [CrossRef] [Green Version]
- Song, W.; Xu, M.; Dolma, Y. Design and Implementation of Beach Sports Big Data Analysis System Based on Computer Technology. J. Coast. Res. 2019, 94, 327–331. [Google Scholar] [CrossRef]
- Loffing, F.; Stern, R.; Hagemann, N. Pattern-induced expectation bias in visual anticipation of action outcomes. Acta Psychol. 2015, 161, 45–53. [Google Scholar] [CrossRef]
- Srl, G.S.I. Data Volley 4. 2022. Available online: https://www.dataproject.com/ (accessed on 14 May 2022).
- Srl, D.P.S.S. Data Volley Media, 2007th ed.; Data Project Sport Software Srl; Head Office & Marketing Department: Bologna, Italy, 2012; p. 66. [Google Scholar]
- Harabagiu, N. The Importance of Using the “Data Volley” Software and of the “Data Video” System in the Tactical Training of the Middle Blocker for Official Games. Gymnasium 2020, XXI, 34–41. [Google Scholar] [CrossRef]
- Silva, M.; Lacerda, D.; João, P.V. Game-Related Volleyball Skills that Influence Victory. J. Hum. Kinet. 2014, 41, 173–179. [Google Scholar] [CrossRef] [PubMed] [Green Version]
- Giatsis, G.; Martinez, A.L.; García, G.M. The efficacy of the attack and block in game phases on male FIVB and CEV beach volleyball. J. Hum. Sport Exerc. 2015, 10, 537–549. [Google Scholar] [CrossRef] [Green Version]
- Queiroga, M.; Matias, C.; Greco, P.; Graca, A.; Mesquita, I. The dimension of the high-level setter’s tactical strategic knowledge: Study with setters of Brazilian national. Braz. J. Phys. Educ. 2005, 111–119. [Google Scholar]
- Palao, J.M.; Santos, J.A.; Urena, A. Effect of reception and dig efficacy on spike performance and manner of execution in volleyball. J. Hum. Mov. Stud. 2006, 51, 221–238. [Google Scholar]
- Liskevych, T. Volleyball Defense Systems and Strategies. 2021. Available online: https://www.theartofcoachingvolleyball.com/defensive-systems/ (accessed on 8 May 2022).
- Liskevych, T. Dominating Defensive Systems. In The Volleyball Coaching Bible; Shondell, D., Reynaud, C., Eds.; Human Kinetics Publishers, Inc.: Champaign, IL, USA, 2002. [Google Scholar]
- Marcelino, R.; Mesquita, I.; Sampaio, J.; Morae, J.C. Estudo dos indicadores de rendimento em voleibol em função do resultado do set. Rev. Bras. Educ. FíSica Esporte 2010, 24, 69–78. [Google Scholar] [CrossRef] [Green Version]
- Costa, G.; Afonso, J.; Brant, E.; Mesquita, I. Differences in game patterns between male and female youth volleyball. Kinesiology 2012, 44, 60–66. Available online: https://hrcak.srce.hr/en/file/124413 (accessed on 26 June 2022).
- Drikos, S.; Sotiropoulos, K.; Barzouka, K.; Angelonidis, Y. The contribution of skills in the interpretation of a volleyball set result with minimum score difference across genders. Int. J. Sport. Sci. Coach. 2020, 15, 542–551. [Google Scholar] [CrossRef]
- Afonso, J.; Mesquita, I. Determinants of block cohesiveness and attack efficacy in high-level women’s volleyball. Eur. J. Sport Sci. 2011, 11, 69–75. [Google Scholar] [CrossRef]
- Araújo, R.M.; Castro, J.; Marcelino, R.; Mesquita, I.R. Relationship between the Opponent Block and the Hitter in Elite Male Volleyball. J. Quant. Anal. Sport. 2010, 6, 4. [Google Scholar] [CrossRef]
- Marelić, N.; Rešetar, T.; Janković, V. Discriminant analysis of the sets won and the sets lost by one team in a1 italian volleyball league—A case study. Kinesiology 2004, 36, 75–82. [Google Scholar]
- Palao, J.M.; Santos, J.A.; Ureña, A. Effect of team level on skill performance in volleyball. Int. J. Perform. Anal. Sport 2004, 4, 50–60. [Google Scholar] [CrossRef]
- Hernández-Hernández, E.; Montalvo-Espinosa, A.; García-de Alcaraz, A. A Time-Motion Analysis of the Cross-Over Step Block Technique in Volleyball: Non-Linear and Asymmetric Performances. Symmetry 2020, 12, 1027. [Google Scholar] [CrossRef]
- Xu, W. Teaching And Training Methods Of Volleyball Blocking Technique. Int. J. Front. Sociol. 2020, 2, 60–67. [Google Scholar] [CrossRef]
- Piras, A.; Lobietti, R.; Squatrito, S. A study of saccadic eye movement dynamics in volleyball: Comparison between athletes and non-athletes. J. Sport. Med. Phys. Fit. 2010, 50, 99–108. [Google Scholar]
- Piras, A.; Lobietti, R.; Squatrito, S. Response Time, Visual Search Strategy, and Anticipatory Skills in Volleyball Players. J. Ophthalmol. 2014, 2014, 189268. [Google Scholar] [CrossRef]
- Berriel, G.P.; Schons, P.; Costa, R.R.; Oses, V.H.S.; Fischer, G.; Pantoja, P.D.; Kruel, L.F.M.; Peyré-Tartaruga, L.A. Correlations Between Jump Performance in Block and Attack and the Performance in Official Games, Squat Jumps, and Countermovement Jumps of Professional Volleyball Players. J. Strength Cond. Res. 2021, 35, S64–S69. [Google Scholar] [CrossRef] [PubMed]
- Ficklin, T.; Lund, R.; Schipper, M. A comparison of jump height, takeoff velocities, and blocking coverage in the swing and traditional volleyball blocking techniques. J. Sport. Sci. Med. 2014, 13, 78–83. [Google Scholar]
- Epic-Sports. Volleyball Glossary. 2022. Available online: https://volleyball.epicsports.com/volleyball-glossary.html (accessed on 1 February 2022).
- Hibbeler, R.C. Kinematics of a Particle. In Engineering Mechanics. Dynamics, 14th ed.; Pearson Prentice Hall: Hoboken, NJ, USA, 2015. [Google Scholar]
- Official Volleyball Rules 2021–2024. Approved by the 37th FIVB World Congress 2021. Available online: https://www.tvf.org.tr/_dosyalar/MHGK_Belgeler/FIVB-Volleyball_Rules_2021_2024-EN.pdf (accessed on 1 February 2022).
- R Core Team. R: A Language and Environment for Statistical Computing; R Foundation for Statistical Computing: Vienna, Austria, 2013. [Google Scholar]
- Williams, T.; Kelley, C.; Merritt, E.A.; Bersch, C.; Bröker, H.-B.; Campbell, J.; Cunningham, R.; Denholm, D.; Elber, E.; Fearick, R. Gnuplot 5.4: An Interactive Plotting Program. 2021. Available online: http://www.gnuplot.info (accessed on 15 May 2022).
- Sharp, J. Microsoft Visual C# Step by Step, 9th ed.; Microsoft Press: Washington, DC, USA, 2018; p. 832. [Google Scholar]
- Laporta, L.; Medeiros, A.I.A.; Vargas, N.; de Oliveira Castro, H.; Bessa, C.; João, P.V.; Costa, G.D.C.T.; Afonso, J. Coexistence of Distinct Performance Models in High-Level Women’s Volleyball. J. Hum. Kinet. 2021, 78, 161–173. [Google Scholar] [CrossRef]
- Laporta, L.; Nikolaidis, P.; Thomas, L.; Afonso, J. Attack Coverage in High-Level Men’s Volleyball: Organization on the Edge of Chaos? J. Hum. Kinet. 2015, 47, 249–257. [Google Scholar] [CrossRef] [Green Version]
Publisher’s Note: MDPI stays neutral with regard to jurisdictional claims in published maps and institutional affiliations. |
© 2022 by the authors. Licensee MDPI, Basel, Switzerland. This article is an open access article distributed under the terms and conditions of the Creative Commons Attribution (CC BY) license (https://creativecommons.org/licenses/by/4.0/).







