Abstract
Recently, Pei et al. (National Science Review 2023, nwad034, 10.1093/nsr/nwad034) reported that ambient pressure -MoB2 (space group: ) exhibits a phase transition to -MoB2 (space group: ) at pressure P~70 GPa, which is a high-temperature superconductor exhibiting at P~110 GPa. Although -MoB2 has the same crystalline structure as ambient-pressure MgB2 and the superconducting critical temperatures of -MoB2 and MgB2 are very close, the first-principles calculations show that in -MoB2, the states near the Fermi level, , are dominated by the d-electrons of Mo atoms, while in MgB2, the p-orbitals of boron atomic sheets dominantly contribute to the states near the . Recently, Hire et al. (Phys. Rev. B 2022, 106, 174515) reported that the -phase can be stabilized at ambient pressure in Nb1−xMoxB2 solid solutions, and that these ternary alloys exhibit . Additionally, Pei et al. (Sci. China-Phys. Mech. Astron. 2022, 65, 287412) showed that compressed WB2 exhibited at P~121 GPa. Here, we aimed to reveal primary differences/similarities in superconducting state in MgB2 and in its recently discovered diboride counterparts, Nb1−xMoxB2 and highly-compressed WB2. By analyzing experimental data reported for P6/mmm-phases of Nb1−xMoxB2 (x = 0.25; 1.0) and highly compressed WB2, we showed that these three phases exhibit d-wave superconductivity. We deduced for -MoB2, for Nb0.75Mo0.25B2, and for WB2. We also found that Nb0.75Mo0.25B2 exhibited high strength of nonadiabaticity, which was quantified by the ratio of , whereas MgB2, α-MoB2, and WB2 exhibited , which is similar to the in pnictides, A15 alloys, Heusler alloys, Laves phase compounds, cuprates, and highly compressed hydrides.
1. Introduction
There is an experimental quest for high-temperature superconductivity in compounds based on lightweight elements which exhibit high Debye temperature, . Thus, in accordance with the theory of the electron–phonon mediated superconductivity, these compounds can have a high transition temperature, . This work started in the 1970s [1,2]. These studies covered hydrides [1] and borides [2]. Surprisingly, Cooper et al. [2] performed detailed studies of Mo-diborides, Nb-diborides, and ternary borides R2−xAxB5 (R = Mo, Nb, A = transition metal), while Fisk [3] reported on discovery of 40 superconducting phases in rare earth and transition metals borides. The diboride of magnesium was first studied on its superconducting properties in 2001 [4].
The discovery of near-room temperature superconductivity in highly compressed sulfur hydride by Drozdov et al. [5] sparked theoretical and experimental studies of a variety of materials that can potentially exhibit high-temperature superconductivity to be compressed at high pressure [6,7,8,9,10,11,12,13,14,15,16,17,18,19,20,21,22,23,24,25,26,27,28,29]. This research field represents one of the most fascinating scientific explorations in which advanced first-principles calculations are combined with the top world class of experimental studies [30,31,32,33,34,35,36,37,38,39,40,41,42,43].
In this regard, the quest for high-temperature superconductivity in highly compressed borides seems reasonable. One of the interesting results of this conjunctive exploration was reported by Pei et al. [44], who found that the stoichiometric compound MoB2 exhibits a phase transition from the -MoB2-phase (space group: ) to the -MoB2-phase (space group: ) at a critical pressure of P~70 GPa. This high-pressure phase, -MoB2, exhibits the same crystalline structure as the ambient-pressure MgB2. The most intriguing experimental result reported by Pei et al. [44] was that the -MoB2 phase is a high-temperature superconductor with (at P = 109.7 GPa); this value is remarkably close to in MgB2 [4,45].
First-principles calculations performed by Pei et al. [44] showed that several bands in the -MoB2 cross the Fermi level, , which causes the metallic type of conductivity in this phase. Pei et al. [44] also showed that molybdenum d-orbitals (especially the dz2 orbital) have larger contributions than boron p-orbitals near the . Overall, although the -MoB2 phase exhibits the same crystal structure as MgB2 and the superconducting transition temperatures for these compounds are comparable, their electronic structures are different. For instance, the out-of-plane phonon mode of molybdenum ions is strongly coupled with molybdenum d-electrons near the in -MoB2 [44], whereas the in-plane B-B stretching mode in MgB2 interacts intensively with the σ-bond in the boron honeycomb lattice near the [44]. Pei et al. [44] also calculated the electron–phonon coupling constant, , in -MoB2 at . Similar findings, including , were reported by Quan et al. [46], who performed first-principles calculations for a highly pressurized -MoB2 phase.
These results establish a ground to expect that the -MoB2 phase can exhibit d-wave superconducting energy gap symmetry (or, at least, s+d-wave gap symmetry with a significant d-wave component), which is different from the two-band s-wave MgB2.
More recently, Hire et al. [47] showed that the -phase can be stabilized at ambient pressure in Nb1−xMoxB2 (x = 0.25, 0.50, 0.75, and 0.9) solid solutions. Despite the superconducting transition temperature in Nb1−xMoxB2 (x = 0.25, 0.50, 0.75 and 0.9) being significantly lower (i.e., [47]), these values are still high enough to suggest that the same pairing mechanism emerges in ambient pressure superconductors Nb1−xMoxB2 and highly-pressurized -MoB2.
Hire et al. [47] also performed first-principles calculations and measured the temperature-dependent magnetoresistance, , and specific heat, from which several parameters of Nb1−xMoxB2 (x = 0.25, 0.50, 0.75, and 0.9) superconductors (in particular, the Debye temperature, ) were determined.
Pei et al. [48] and Lim et al. [49] extended the family of superconducting diborides by the discovery of the highly compressed phase of WB2 ( at P~121 GPa) for which Pei et al. [48] proposed the space group: P63/mmc (which is distorted P6/mmm), while Lim et al. [49] concluded that this highly pressurized superconducting phase of WB2 formed by stacking faulted P63/mmc-P6/mmm phases (which can be found to be similar to the stacking faulted 123–124 phases in the Y-Ba-Cu-O system [50,51,52]).
Here, we aimed to determine the difference in the superconducting gap symmetry and other superconducting parameters in MgB2 and in the recently discovered Nb1−xMoxB2 (x = 0.25; 1.0) and WB2, which might originate from the difference in the band structure of these materials. To do this we performed a detailed analysis of the magnetoresistance data reported by Pei et al. [44], Hire et al. [47], and Pei et al. [48] and showed that the P6/mmm-phases of Nb1−xMoxB2 (x = 0.25, 1.0) and WB2 (P = 121.3 GPa) exhibit d-wave superconducting gap symmetry. We also found that ambient pressure Nb1−xMoxB2 (x = 0.25) superconductors characterized by high strength of nonadiabaticity, which can be characterized by the ratio of (where is the Fermi temperature, which exceeds the ratio in MgB2, α-MoB2, WB2, pnictides, A15 alloys, Heusler alloys, Laves phase compounds, cuprates, and highly-compressed hydrides by more than one order of magnitude.
2. Utilized Models
The Debye temperature, , can be deduced from the fit of the experimentally measured temperature-dependent resistance curve, , to the Bloch–Grüneisen (BG) equation [53,54]. In many reports, the classical BG approach was advanced by introducing the so-called saturation resistance [55,56,57,58,59,60]:
where , , , and are free fitting parameters. From the deduced and measured (which we defined by as strict as practically possible resistance criterion of , where is the normal state resistance at the onset of the superconducting transition (ee details in [59]), the electron–phonon coupling constant, , can be calculated as the unique root of the advanced McMillan equation [59]:
where
where is the Coulomb pseudopotential parameter, which we assumed (following the approach proposed in [44,47,49]) to be for Nb1−xMoxB2 (x = 0.25; 1.0) and WB2.
By following the general logic [59,61,62] that a resistance criterion with the smallest possible value should be in use, we utilized the same criterion of , as the one that was used to define the and the . The temperature-dependent upper critical field, , is described by
where is the superconducting magnetic flux quantum and is the coherence length. datasets were fitted to the equation for the temperature-dependent upper critical field for s-wave superconductors [61,62,63]:
where the amplitude of the temperature-dependent superconducting gap, , is given by [64,65]
where for s-wave superconductors, is the Sommerfeld constant, and is Boltzmann’s constant.
datasets were also fitted to the equation for the temperature-dependent upper critical field for d-wave superconductors [61,62,63], where the amplitude of the temperature-dependent superconducting gap, , is given by [64,65]:
where the superconducting energy gap, , is given by [64,65,66,67]:
where is the maximum amplitude of the k-dependent d-wave gap, [68], is the angle around the Fermi surface subtended at in the Brillouin zone (details can be found elsewhere [64,65]).
The Fermi temperature, , was calculated using the equation [61]:
where is the bare electron mass, is the reduced Planck’s constant, and the other parameters were deduced above.
3. Results
3.1. P6/mmm -MoB2 ()
The fits of datasets, measured for the -MoB2 phase at [44] of Equation (1), together with the deduced , , and , are shown in Figure 1 (where we utilized criterion to define because the same criterion was used by Pei et al. [44] to define the upper critical field in the same -MoB2 sample).
Figure 1.
R(T) data for highly compressed -MoB2 (P = 109.7 GPa) and data fit to Equation (1) (raw data reported by Pei et al. [44]). The green balls indicate the bounds for which R(T) data were used to fit data to Equation (1). (a) Deduced , , , , fit quality is 0.9998. (b) Deduced , , , ; fit quality is 0.9998. The 95% confidence bands are indicated by pink shadowed areas.
The deduced is in good agreement with the value calculated by first-principles calculations, [44,46].
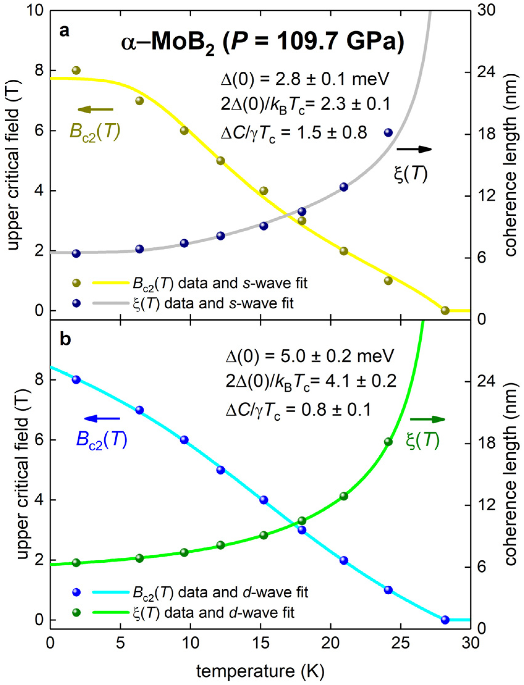
In Figure 2a, the dataset is fitted to the equation for the temperature-dependent upper critical field for s-wave superconductors (Equations (6) and (7)). However, the deduced (Figure 2a) is too low to be attributed to s-wave superconductivity, for which the weak-coupling limit is [66,67]. Additionally, the fit quality was low (coefficient of determination = 0.8267).
Figure 2.
Temperature-dependent upper critical field, Bc2(T), and data (left Y-axes) (defined by criterion), calculated by Equation (5). The coherence length (right Y-axes) for -MoB2 () reported by Pei et al. [44] and data fits to s-wave (panel a) and d-wave (panel b) single-band models. Deduced parameters are (for both panels the critical temperature was fixed to the observed value of Tc = 28.2 K): (a) s-wave fit, , , , , the goodness of fit is 0.8267; (b) d-wave fit, , , , , the goodness of fit is 0.9842.
Subsequently, we fitted the temperature-dependent upper critical field data to the d-wave gap symmetry model. The fit converged with a better quality (goodness of fit of 0.9842) (Figure 2b). The deduced parameters are , , , . Considering that the weak coupling limits for d-wave superconductors [64,65,66] are and , we can conclude that the deduced parameters in -MoB2 () superconductor are within the weak-coupling values for d-wave superconductors.
It should be noted that the accuracy of the extracted parameters is directly related to the sampling number of the measurement. Thus, further increase in the accuracy of the deduced parameters is possible if more raw data (especially, measured at low temperatures, down to the milliKelvin level) are available.
From the deduced parameters, one can calculate the Fermi temperature . The calculated implies that the P6/mmm -MoB2 () phase falls in the unconventional superconductor band in the Uemura plot (Figure 3) because this phase is typical for many unconventional superconductors (for instance, iron-based, cuprates, and hydrogen-rich superconductors) ratio of . Raw data for this plot were reported by many research groups (Refs. [68,69,70,71,72,73,74,75,76,77,78]).
Figure 3.
Uemura plot (Tc vs. TF), where the diborides are shown together with other superconducting families: 2D materials, metals, pnictides, cuprates, and near-room-temperature superconductors. References to the original data can be found in Refs. [68,69,70,71,72,73,74,75,76,77,78].
In addition, we found that the P6/mmm -MoB2 () phase exhibits a similar level of nonadiabaticy () to iron-based, cuprates, and hydrogen-rich superconductors [69,70] (Figure 4 and Figure 5).
Figure 4.
Plot of vs. for several superconducting families and diborides. This type of plot was proposed by Pietronero et al. [69]. References to the original data can be found in Refs. [68,69,70,71,72,73,74]. In this plot, we assumed that -MoB2, WB2, and the Nb1−xMoxB2 () exhibit the Coulomb pseudopotential parameter, .
Figure 5.
Plot of vs. for several superconducting families and diborides. References to the original data can be found in Refs. [68,70,71,72,73,74,75].
3.2. Ambient Pressure P6/mmm Nd0.75Mo0.25B2
In Table 1 of Hire et al.’s work [24], they reported the Debye temperature for P6/mmm Nb1−xMoxB2 (), which was deduced from low-temperature specific heat measurements, . Following the approach implemented in this study, we processed data reported by Hire et al. [24] by utilizing the resistance criterion of . We deduced , from which was calculated using Equations (2)–(4).
In Figure 6 of Hire et al. [47]’s work, they reported data, which we processed by utilizing the resistance criterion of . We deduced the dataset. The fits of this dataset to the s-wave (Equations (6) and (7)) and d-wave model (Equations (8) and (9)) are shown in Figure 6.
Figure 6.
Temperature dependent upper critical field, Bc2(T), data (left Y-axes) (defined by criterion) and calculated by Equation (5). The coherence length (right Y-axes) for P6/mmm Nb0.75Mo0.25B2 reported by Hire et al. [47], and data fit to s-wave (panel a) and d-wave (panel b) single-band models. Deduced parameters are (for both panels the critical temperature was fixed to the observed value of Tc = 7.2 K) (a) s-wave fit, , , , , the goodness of fit is 0.9534; (b) d-wave fit, , , , , the goodness of fit is 0.9959.
The deduced parameters for s-wave (Figure 6a) contradict each other, i.e., (which is lower than the s-wave weak-coupling limit is [66,67]). The deduced is larger than the s-wave weak-coupling limit of . The fit quality is not high and has a coefficient of determination of 0.9534.
The fit to the d-wave gap symmetry model has a better quality (with a goodness of fit of 0.9959) (Figure 6b). The deduced parameters are , , , and ; these values characterize the material as being a moderately strong coupled d-wave superconductor (considering that the weak coupling limits for d-wave superconductors [64,65,66] are and ). It should be noted that analyzed experimental dataset has six raw data points which cover the range. More experimental data measured at wider temperature ranges can be used to deduce primary superconducting parameters of the Nb0.75Mo0.25B2 with better accuracy.
By the substituting the deduced parameters in Equation (10), the Fermi temperature can be obtained: in P6/mmm-phase of Nb0.75Mo0.25B2. The calculated implies that this phase falls in the unconventional superconductors band in the Uemura plot (Figure 3) because this phase is typical for many unconventional superconductor ratios of .
However, what comes from our analysis and reported by Hire et al. [47] is the Debye temperature: the P6/mmm-phase of Nb0.75Mo0.25B2 superconductor exhibits strong nonadiabaticy, because the ratio
is well above the typical range for the moderate level of nonadiabaticity () observed in the majority of unconventional superconductors, including iron-based, cuprates, and highly compressed hydrides [70] (Figure 4 and Figure 5).
3.3. P63/mmc WB2 (P = 121.3 GPa)
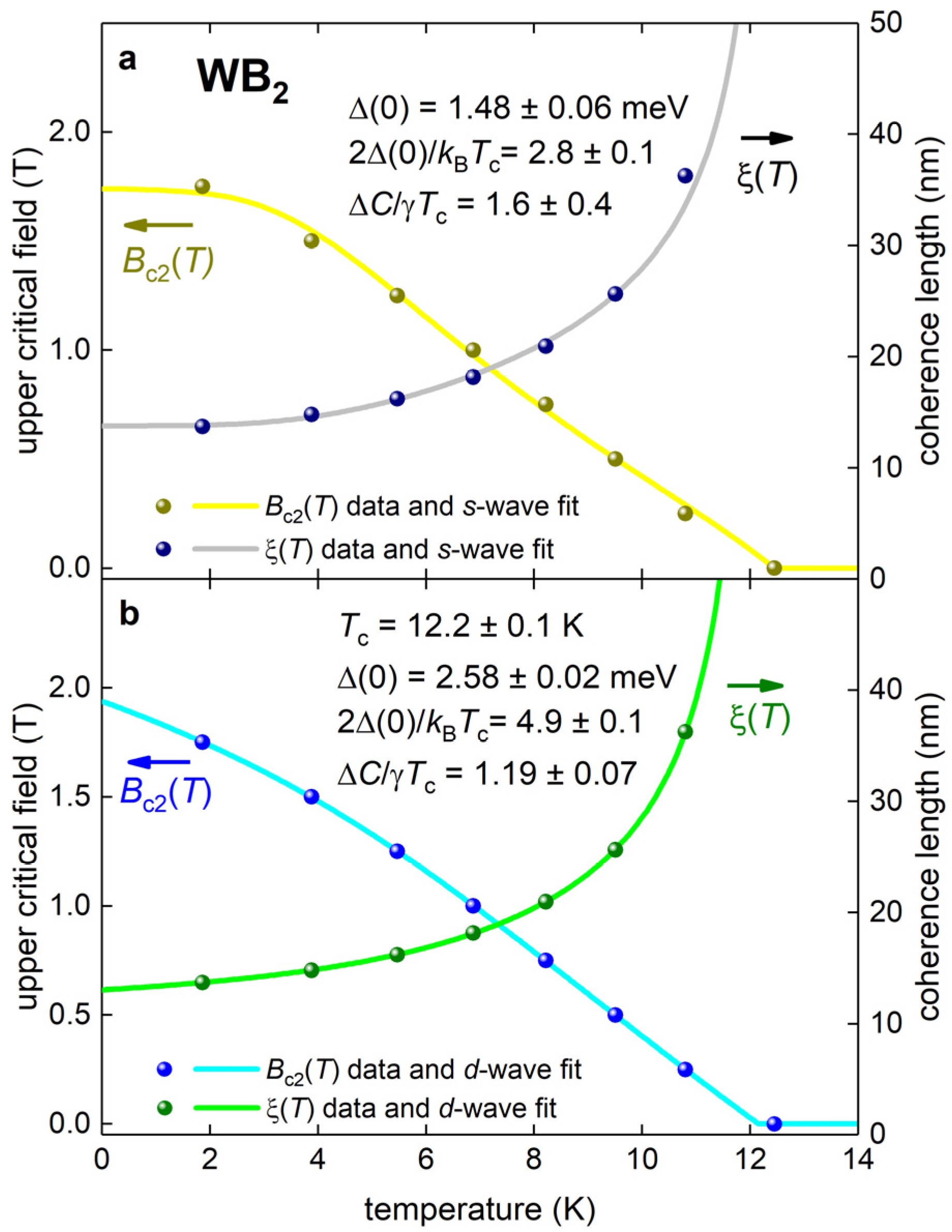
Pei et al. [48] measured the dataset for the WB2 phase at , which was fitted to Equation (1) in Figure 7. The fit converged at and . From the deduced , we found , for which we utilized the criterion of , which is based on the presence of the inflection point in the , as shown in Figure 2b,d of Ref. [48].
Figure 7.
R(T) data for highly compressed WB2 (P = 121.3 GPa) and data fit to Equation (1) (raw data reported by Pei et al. [48]). Green balls indicate the bounds for which R(T) data was used for the fit to Equation (1). Deduced , , , ; fit quality is 0.9997. 95% confidence bands are shown by pink shadow areas.
By utilizing the resistance criterion of for data reported in Figure 2d by Pei et al. [48], we deduced the dataset for WB2 (P = 121.3 GPa). The fit of the dataset to the s-wave (Equations (6) and (7)) and d-wave models (Equations (8) and (9)) are shown in Figure 8.
Figure 8.
Temperature-dependent upper critical field, Bc2(T), data (left Y-axes) (defined by criterion). Calculated by Equation (5): coherence length (right Y-axes) for P63/mmc WB2 (P = 121.3 GPa) reported by Pei et al. [48] and data fits to s-wave (panel a) and d-wave (panel b) single-band models. Deduced parameters are (a) s-wave fit, Tc = 12.45 K (fixed), , , , , the goodness of fit is 0.9019; (b) d-wave fit, , , , , , the goodness of fit is 0.9986.
The deduced parameters for s-wave (Figure 8a) contradict to each other, i.e., (which is lower than the s-wave weak-coupling limit of [66,67]), while the deduced is slightly larger than the s-wave weak-coupling limit of . The fit quality is not high and has a coefficient of determination of 0.9019.
The fit to the d-wave gap symmetry model has a better quality (with a goodness of fit of 0.9986) (Figure 8b). The deduced parameters are , , , . The parameters characterize the material as being a moderately strong coupled d-wave superconductor (considering that the weak coupling limits for d-wave superconductors [64,65,66] are and ).
By substituting the deduced parameters in Equation (10), a Fermi temperature of in WB2 (P = 121.3 GPa) is calculated. The calculated implies that this phase falls in the nearly conventional superconductors band in the Uemura plot (Figure 3), because this phase exhibits a reasonably low ratio of , while the typical range for unconventional superconductors is .
This superconductor also exhibits a very moderate strength of nonadiabaticy, because the ratio:
is typical for the majority of high-temperature superconductors, including iron-based, A15 alloys, Heusler alloys, Laves phase compounds, cuprates, and highly compressed hydrides [70] (Figure 4 and Figure 5).
3.4. P6/mmm MgB2
To demonstrate that the Bc2(T) model (Equations (6)–(9) [61,62,63,74]) can be considered as an alternative model to extract primary superconducting parameters from datasets (while the Bc2(T) definition criterion is ) in addition to the widely used Werthamer–Helfand–Hohenberg model [79,80], we showed Bc2(T) data in Figure 9. The data were reported by Zehetmayer et al. [81] for single crystal MgB2 and data fits to the single band s-wave (panel a, Equations (6) and (7)), the single band d-wave (panel b, Equations (8) and (9)), and the so-called two-band α-model [80] under the assumption of s-wave gap symmetry for both bands (panel c) [80,81]:
To reduce the number of free-fitting parameters, we implemented the restriction [82]:
Figure 9.
Temperature-dependent upper critical field, Bc2(T), data (left Y-axes). Calculated by Equation (5): coherence length (right Y-axes) for P6/mmm MgB2 reported by Zehetmayer et al. [81] and data fits to single band s-wave (panel a, Equations (6) and (7)), single band d-wave (panel b, Equations (8) and (9)), and two-band s-wave [82,83] (panel c, Equations (6) and (7), Equations (13)–(15)) models. Deduced parameters are: (a) s-wave fit, , , , , the goodness of fit is 0.9887; (b) d-wave fit, , , , , , the goodness of fit is 0.9975. (c) two conditions where used: and , and other free-fitting parameters are: , , , , , , the goodness of fit is 0.9984.
The deduced parameters for the single band s-wave model (Figure 9a) contradict each other, that is, (which is lower than the s-wave weak-coupling limit). is much larger than the s-wave weak-coupling limit. The deduced ratio of for the d-wave model is nearly two times as large as the d-wave weak-coupling limit of , which is too large to be a realistic value.
However, the parameters deduced for the two-band α-model, , , and , are in good agreement with the values deduced for MgB2 by other techniques [83], in particular, by point contact spectroscopy [84].
4. Discussion
In the consideration above, we calculated the electron–phonon coupling constant, , with the assumption that diborides exhibit the Coulomb pseudopotential parameter, . The latter value is typical value for s-wave superconductors [67]. While our analysis of the upper critical field, Bc2(T), showed that the materials exhibited d-wave gap symmetry, it is useful to show the variation in calculated in the assumption of d-wave superconductivity. Santi et al. [85] reported that d-wave superconductors exhibit much lower values in comparison with s-wave superconductors. In Table 1, we listed calculated values for all studied dibories (apart MgB2) in accordance with Equations (2)–(4), with the assumption of .
Table 1.
Calculated the electron–phonon coupling constant, , for assumed for studied diboride compounds α-MoB2, Nb0.75Mo0.25B2, and WB2.
The P6/mmm-phase of Nb0.75Mo0.25B2 exhibits pronounced nonadiabaticity, . This value is well above an empirical border, . The majority of conventional and unconventional superconductors are located below this value (Figure 4 and Figure 5). We can propose that the strength of the nonadiabaticity is a primary reason for the relatively low Tc in this material in comparison with other diboride counterparts. A good support for this hypothesis can be seen in Figure 5, where the Tc suppression within four dibories is linked to the increase in the strength of the nonadiabaticity. It can also be seen in Figure 5 that no materials simultaneously exhibit and .
Another explanation for the relatively low Tc in Nb0.75Mo0.25B2 is the Abrikosov–Gor’kov [86], Anderson [87], and Openov [88,89] theory of dirty superconductors. The theory established that impurities with magnetic moments suppress the superconducting transition temperature, if the material exhibits s-wave superconductivity. However, magnetic impurities not affect the superconducting transition temperature in d-wave superconductors. From other hand, non-magnetic impurities cause the suppression of transition temperature in d-wave superconductors, and these impurities not affect the s-wave superconductors transition temperature.. Considering that the (Nb,Mo)-(0001) planes in P6/mmm-phase have chemical atomic disorder, because Hire et al. [47] did not report any evidence for the atomic ordering within Nb-Mo atoms in the (0001) planes, it appears that the Tc suppression in Nb0.75Mo0.25B2 (and in all materials in the Nb1−xMoxB2 (x = 0.25; 0.50; 0.75 and 0.9) system) can be interpreted as Tc suppression in d-wave MoB2 superconductors by nonmagnetic impurity—Nb/Mo atoms. However, we need to note that NbB2 and MoB2 are non-superconductors and these compounds exhibit different crystalline structures ( and , respectively). Thus, the influence of the Nb/Mo atoms composition in (0001) planes on band structure and phonon spectra required more detailed experimental and first-principles calculation studies.
To consider the problem of the superconducting gap symmetry in diborides in a more general context, we should mention that there are several theoretical possibilities for the interplay between s- and d-wave symmetries for different compounds within the same group of superconductors, and even for the same compound at different condition. For instance, we can mention the infinite layer nickelates, where both gap symmetries were observed in experiment [90,91,92]. Wang et al. [93] reported the theoretical consideration that a very delicate boundary between a realization for one of two symmetries has been established.
Considering that all diborides considered here exhibit a layered structure with alternative atomic layers along the c-axis, one can expect a similarity between considered diborides and other anisotropic superconductors. For instance, in one of the seminal papers regarding cuprates (Uemura et al. [94]), the muon spin relaxation () data for Tl-based cuprates (showed in their Figure 1 [94]) can be interpreted exclusively as data supporting s-wave superconducting energy gap symmetry in cuprates. However, four years later, Uemura et al. [95] reported more extended data for Tl-based cuprates, where temperature-dependent superfluid data for samples with low doping states can be still interpreted within s-wave symmetry, while low temperature data for overdoped samples are typical for d-wave linear dependence on temperature.
In addition, while our consideration is mainly focused on highly pressurized materials, we can mention another class of layered superconductors: iron-based superconductors. In these superconductors, the interplay between s- and d-wave gap symmetries was observed for the same compound in experiment. For instance, Guguchia et al. [96] reported that, at a pressure of several gigapascals, Ba0.65Rb0.35Fe2As2 (a two-band s-wave superconductor) exhibits a transition into a d-wave superconductor: “…hydrostatic pressure promotes the appearance of nodes in the superconducting gap…” [96].
Another purely theoretical possibility exists for a crossover between the electron–phonon and the electron–plasmon mediated pairing in layered superconductors. This possibility was recently proposed by in ’t Veld et al. [97]. This is another possibility that shows how high-pressure (which, as a rule, changes the screening length in the compound) can induce the change in the pairing symmetry from s-wave (which is widely considered to be a consequence of the electron–phonon interaction) to nodal symmetry (which is widely accepted to be attributed to non-electron-phonon mediated pairing).
In overall, our analysis of experimental data on dibories—apart from MgB2—showed that d-wave gap symmetry can explain experimental data with much better consistency. However, theoretical understanding of this result is still ongoing.
5. Conclusions
The field of experimental and theoretical studies of materials with strongly correlated charge carriers [5,6,7,8,9,10,11,12,13,14,15,16,17,18,19,20,21,22,23,24,25,26,27,28,29,30,31,32,33,34,35,36,37,38,39,40,41,42,43,44,46,47,48,49,57,59,60,61,74,98,99,100,101,102,103,104,105,106,107,108,109,110,111,112,113,114,115,116], including diborides [44,46,47,48,49,107,108], is experiencing a boom. In this work, we deduced the primary superconducting parameters of highly compressed diborides: the P6/mmm phases of MoB2 and WB2 and ambient pressure superconductors Nd0.75Mo0.25B2. It was shown that these the compounds exhibit d-wave superconducting gap symmetry. We proposed that the suppression of the superconducting transition temperature (down to ) in Nb0.75Mo0.25B2 can be either related to strong nonadiabaticity in this phase (which exhibits the ratio ) or to the effect of the suppression in d-wave MoB2 superconductors by nonmagnetic impurities (Nb/Mo atoms).
Funding
This research was funded by the Ministry of Science and Higher Education of the Russian Federation, grant number No. AAAA-A18-118020190104-3 (theme “Pressure”). The research funding from the Ministry of Science and Higher Education of the Russian Federation (Ural Federal University Program of Development within the Priority-2030 Program) is gratefully acknowledged.
Institutional Review Board Statement
Not applicable.
Informed Consent Statement
Not applicable.
Data Availability Statement
Not applicable.
Acknowledgments
The author thanks Svetoslav A. Kuzmichev (Lomonosov Moscow State University) for the discussion about dirty s- and d-wave superconductors.
Conflicts of Interest
The author declares no conflict of interest. The funders had no role in the design of the study; in the collection, analyses, or interpretation of data; in the writing of the manuscript; or in the decision to publish the results.
References
- Satterthwaite, C.B.; Toepke, I.L. Superconductivity of hydrides and deuterides of thorium. Phys. Rev. Lett. 1970, 25, 741–743. [Google Scholar] [CrossRef]
- Cooper, A.S.; Corenzwit, E.; Longinotti, L.D.; Matthias, B.T.; Zachariasen, W.H. Superconductivity: The transition temperature peak below four electrons per atom. Proc. Natl. Acad. Sci. USA 1970, 67, 313–319. [Google Scholar] [CrossRef]
- Fisk, Z. Superconducting borides. AIP Conf. Proc. 1991, 231, 155–164. [Google Scholar]
- Nagamatsu, J.; Nakagawa, N.; Muranaka, T.; Zenitani, Y.; Akimitsu, J. Superconductivity at 39 K in magnesium diboride. Nature 2001, 410, 63–64. [Google Scholar] [CrossRef]
- Drozdov, A.P.; Eremets, M.I.; Troyan, I.A.; Ksenofontov, V.; Shylin, S.I. Conventional superconductivity at 203 kelvin at high pressures in the sulfur hydride system. Nature 2015, 525, 73–76. [Google Scholar] [CrossRef]
- Drozdov, A.P.; Kong, P.P.; Minkov, V.S.; Besedin, S.P.; Kuzovnikov, M.A.; Mozaffari, S.; Balicas, L.; Balakirev, F.F.; Graf, D.E.; Prakapenka, V.B.; et al. Superconductivity at 250 K in lanthanum hydride under high pressures. Nature 2019, 569, 528–531. [Google Scholar] [CrossRef] [PubMed]
- Somayazulu, M.; Ahart, M.; Mishra, A.K.; Geballe, Z.M.; Baldini, M.; Meng, Y.; Struzhkin, V.V.; Hemley, R.J. Evidence for superconductivity above 260 K in lanthanum superhydride at megabar pressures. Phys. Rev. Lett. 2019, 122, 027001. [Google Scholar] [CrossRef] [PubMed]
- Semenok, D.V.; Kvashnin, A.G.; Ivanova, A.G.; Svitlyk, V.; Fominski, V.Y.; Sadakov, A.V.; Sobolevskiy, O.A.; Pudalov, V.M.; Troyan, I.A.; Oganov, A.R. Superconductivity at 161 K in thorium hydride ThH10: Synthesis and properties. Mater. Today 2020, 33, 36–44. [Google Scholar] [CrossRef]
- Troyan, I.A.; Semenok, D.V.; Kvashnin, A.G.; Sadakov, A.V.; Sobolevskiy, O.A.; Pudalov, V.M.; Ivanova, A.G.; Prakapenka, V.B.; Greenberg, E.; Gavriliuk, A.G.; et al. Anomalous high-temperature superconductivity in YH6. Adv. Mater. 2021, 33, 2006832. [Google Scholar] [CrossRef]
- Kong, P.; Minkov, V.S.; Kuzovnikov, M.A.; Drozdov, A.P.; Besedin, S.P.; Mozaffari, S.; Balicas, L.; Balakirev, F.F.; Prakapenka, V.B.; Chariton, S.; et al. Superconductivity up to 243 K in yttrium hydrides under high pressure. Nat. Commun. 2021, 12, 5075. [Google Scholar] [CrossRef] [PubMed]
- Semenok, D.V.; Troyan, I.A.; Ivanova, A.G.; Kvashnin, A.G.; Kruglov, I.A.; Hanfland, M.; Sadakov, A.V.; Sobolevskiy, O.A.; Pervakov, K.S.; Lyubutin, I.S.; et al. Superconductivity at 253 K in lanthanum–yttrium ternary hydrides. Mater. Today 2021, 48, 18–28. [Google Scholar] [CrossRef]
- Mozaffari, S.; Sun, D.; Minkov, V.S.; Drozdov, A.P.; Knyazev, D.; Betts, J.B.; Einaga, M.; Shimizu, K.; Eremets, M.I.; Balicas, L. Superconducting phase-diagram of H3S under high magnetic fields. Nat. Commun. 2019, 10, 2522. [Google Scholar] [CrossRef] [PubMed]
- Sun, D.; Minkov, V.S.; Mozaffari, S.; Sun, Y.; Ma, Y.; Chariton, S.; Prakapenka, V.B.; Eremets, M.I.; Balicas, L.; Balakirev, F.F. High-temperature superconductivity on the verge of a structural instability in lanthanum superhydride. Nat. Commun. 2021, 12, 6863. [Google Scholar] [CrossRef] [PubMed]
- Chen, W.; Semenok, D.V.; Kvashnin, A.G.; Huang, X.; Kruglov, I.A.; Galasso, M.; Song, H.; Duan, D.; Goncharov, A.F.; Prakapenka, V.B.; et al. Synthesis of molecular metallic barium superhydride: Pseudocubic BaH12. Nat. Commun. 2021, 12, 273. [Google Scholar] [CrossRef]
- Bi, J.; Nakamoto, Y.; Zhang, P.; Shimizu, K.; Zou, B.; Liu, H.; Zhou, M.; Liu, G.; Wang, H.; Ma, Y. Giant enhancement of superconducting critical temperature in substitutional alloy (La,Ce)H9. Nat. Commun. 2022, 13, 5952. [Google Scholar] [CrossRef] [PubMed]
- Wang, Y.; Wang, K.; Sun, Y.; Ma, L.; Wang, Y.; Zou, B.; Liu, G.; Zhou, M.; Wang, H. Synthesis and superconductivity in yttrium superhydrides under high pressure. Chinese Physics B 2022, 31, 106201. [Google Scholar] [CrossRef]
- Ma, L.; Wang, K.; Xie, Y.; Yang, X.; Wang, Y.; Zhou, M.; Liu, H.; Yu, X.; Zhao, Y.; Wang, H.; et al. High-temperature superconducting phase in clathrate calcium hydride CaH6 up to 215 K at a pressure of 172 GPa. Phys. Rev. Lett. 2022, 128, 167001. [Google Scholar] [CrossRef]
- Zhou, D.; Semenok, D.V.; Duan, D.; Xie, H.; Chen, W.; Huang, X.; Li, X.; Liu, B.; Oganov, A.R.; Cui, T. Superconducting praseodymium superhydrides. Sci. Adv. 2020, 6, eaax6849. [Google Scholar] [CrossRef]
- Hong, F.; Shan, P.F.; Yang, L.X.; Yue, B.B.; Yang, P.T.; Liua, Z.Y.; Sun, J.P.; Dai, J.H.; Yu, H.; Yin, Y.Y.; et al. Possible superconductivity at ∼70 K in tin hydride SnHx under high pressure. Mater. Today Phys. 2022, 22, 100596. [Google Scholar] [CrossRef]
- Chen, W.; Semenok, D.V.; Huang, X.; Shu, H.; Li, X.; Duan, D.; Cui, T.; Oganov, A.R. High-temperature superconducting phases in cerium superhydride with a Tc up to 115 K below a pressure of 1 Megabar. Phys. Rev. Lett. 2021, 127, 117001. [Google Scholar] [CrossRef]
- Osmond, I.; Moulding, O.; Cross, S.; Muramatsu, T.; Brooks, A.; Lord, O.; Fedotenko, T.; Buhot, J.; Friedemann, S. Clean-limit superconductivity in Im3m H3S synthesized from sulfur and hydrogen donor ammonia borane. Phys. Rev. B 2022, 105, L220502. [Google Scholar] [CrossRef]
- Semenok, D.V.; Troyan, I.A.; Sadakov, A.V.; Zhou, D.; Galasso, M.; Kvashnin, A.G.; Ivanova, A.G.; Kruglov, I.A.; Bykov, A.A.; Terent’ev, K.Y.; et al. Effect of magnetic impurities on superconductivity in LaH10. Adv. Mater. 2022, 34, 2204038. [Google Scholar] [CrossRef] [PubMed]
- Li, Z.; He, X.; Zhang, C.; Wang, X.; Zhang, S.; Jia, Y.; Feng, S.; Lu, K.; Zhao, J.; Zhang, J.; et al. Superconductivity above 200 K discovered in superhydrides of calcium. Nat. Commun. 2022, 13, 2863. [Google Scholar] [CrossRef] [PubMed]
- Minkov, V.S.; Bud’ko, S.L.; Balakirev, F.F.; Prakapenka, V.B.; Chariton, S.; Husband, R.J.; Liermann, H.P.; Eremets, M.I. Magnetic field screening in hydrogen-rich high-temperature superconductors. Nat. Commun. 2022, 13, 3194. [Google Scholar] [CrossRef]
- Minkov, V.S.; Prakapenka, V.B.; Greenberg, E.; Eremets, M.I. A boosted critical temperature of 166 K in superconducting D3S synthesized from elemental sulfur and hydrogen. Angew. Chem. Int. Ed. 2020, 59, 18970–18974. [Google Scholar] [CrossRef]
- Liu, Z.Y.; Dong, Q.X.; Yang, P.T.; Shan, P.F.; Wang, B.S.; Sun, J.P.; Dun, Z.L.; Uwatoko, Y.; Chen, G.F.; Dong, X.L.; et al. Pressure-induced superconductivity up to 9 K in the quasi-one-dimensional KMn6Bi5. Phys. Rev. Lett. 2022, 128, 187001. [Google Scholar] [CrossRef]
- Minkov, V.S.; Ksenofontov, V.; Budko, S.L.; Talantsev, E.F.; Eremets, M.I. Trapped magnetic flux in hydrogen-rich high-temperature superconductors. arXiv 2022, arXiv:2206.14108. [Google Scholar] [CrossRef]
- He, X.; Zhang, C.L.; Li, Z.W.; Zhang, S.J.; Min, B.S.; Zhang, J.; Lu, K.; Zhao, J.F.; Shi, L.C.; Peng, Y.; et al. Superconductivity observed in tantalum polyhydride at high pressure. arXiv 2022, arXiv:2212.13739. [Google Scholar] [CrossRef]
- Wang, H.; Tse, J.S.; Tanaka, K.; Iitaka, T.; Ma, Y. Superconductive sodalite-like clathrate calcium hydride at high pressures. Proc. Natl. Acad. Sci. USA 2012, 109, 6463–6466. [Google Scholar] [CrossRef]
- Lyakhov, A.O.; Oganov, A.R.; Stokes, H.T.; Zhu, Q. New developments in evolutionary structure prediction algorithm USPEX. Comput. Phys. Commun. 2013, 184, 1172–1182. [Google Scholar] [CrossRef]
- Li, Y.; Hao, J.; Liu, H.; Li, Y.; Ma, Y. The metallization and superconductivity of dense hydrogen sulphide. J. Chem. Phys. 2014, 140, 174712. [Google Scholar] [CrossRef]
- Duan, D.; Liu, Y.; Tian, F.; Li, D.; Huang, X.; Zhao, Z.; Yu, H.; Liu, B.; Tian, W.; Cui, T. Pressure-induced metallization of dense (H2S)2H2 with high-Tc superconductivity. Sci. Rep. 2014, 4, 6968. [Google Scholar] [CrossRef] [PubMed]
- Heil, C.; di Cataldo, S.; Bachelet, G.B.; Boeri, L. Superconductivity in sodalite-like yttrium hydride clathrates. Phys. Rev. B 2019, 99, 220502. [Google Scholar] [CrossRef]
- Flores-Livas, J.A.; Boeri, L.; Sanna, A.; Profeta, G.; Arita, R.; Eremets, M. A perspective on conventional high-temperature superconductors at high pressure: Methods and materials. Phys. Rep. 2020, 856, 1–78. [Google Scholar] [CrossRef]
- Struzhkin, V.; Li, B.; Ji, C.; Chen, X.-J.; Prakapenka, V.; Greenberg, E.; Troyan, I.; Gavriliuk, A.; Mao, H.-k. Superconductivity in La and Y hydrides: Remaining questions to experiment and theory. Matter Radiat. Extrem. 2020, 5, 028201. [Google Scholar] [CrossRef]
- Errea, I.; Belli, F.; Monacelli, L.; Sanna, A.; Koretsune, T.; Tadano, T.; Bianco, R.; Calandra, M.; Arita, R.; Mauri, F.; et al. Quantum crystal structure in the 250-kelvin superconducting lanthanum hydride. Nature 2020, 578, 66–69. [Google Scholar] [CrossRef] [PubMed]
- Gregoryanz, E.; Ji, C.; Dalladay-Simpson, P.; Li, B.; Howie, R.T.; Mao, H.-K. Everything you always wanted to know about metallic hydrogen but were afraid to ask. Matter Radiat. Extrem. 2020, 5, 038101. [Google Scholar] [CrossRef]
- Boeri, L.; Hennig, R.; Hirschfeld, P.; Profeta, G.; Sanna, A.; Zurek, E.; Pickett, W.E.; Amsler, M.; Dias, R.; Eremets, M.I.; et al. The 2021 room-temperature superconductivity roadmap. J. Phys. Condens. Matter 2021, 34, 183002. [Google Scholar]
- Shao, M.; Chen, W.; Zhang, K.; Huang, X.; Cui, T. High-pressure synthesis of superconducting clathratelike YH4. Phys. Rev. B 2021, 104, 174509. [Google Scholar] [CrossRef]
- Amiel, Y.; Kafle, G.P.; Komleva, E.V.; Greenberg, E.; Ponosov, Y.S.; Chariton, S.; Lavina, B.; Zhang, D.; Palevski, A.; Ushakov, A.V.; et al. Silvanite AuAgTe4: A rare case of gold superconducting material. arXiv 2023, arXiv:2301.08033. [Google Scholar] [CrossRef]
- Mao, H.-K. Hydrogen and related matter in the pressure dimension. Matter Radiat. Extrem. 2022, 7, 063001. [Google Scholar] [CrossRef]
- Zhang, Z.; Cui, T.; Hutcheon, M.J.; Shipley, A.M.; Song, H.; Du, M.; Kresin, V.Z.; Duan, D.; Pickard, C.J.; Yao, Y. Design principles for high-temperature superconductors with a hydrogen-based alloy backbone at moderate pressure. Phys. Rev. Lett. 2022, 128, 047001. [Google Scholar] [CrossRef] [PubMed]
- Du, M.; Song, H.; Zhang, Z.; Duan, D.; Cui, T. Room-temperature superconductivity in Yb/Lu substituted clathrate hexahydrides under moderate pressure. Research 2022, 2022, 9784309. [Google Scholar] [CrossRef] [PubMed]
- Pei, C.; Zhang, J.; Wang, Q.; Zhao, Y.; Gao, L.; Gong, C.; Tian, S.; Luo, R.; Li, M.; Yang, W.; et al. Pressure-induced superconductivity at 32 K in MoB2. Natl. Sci. Rev. 2023, 10, nwad034, in press. [Google Scholar] [CrossRef]
- Zhuang, C.G.; Meng, S.; Zhang, C.Y.; Feng, Q.R.; Gan, Z.Z.; Yang, H.; Jia, Y.; Wen, H.H.; Xi, X.X. Ultrahigh current-carrying capability in clean MgB2 films. J. Appl. Phys. 2008, 104, 013924. [Google Scholar] [CrossRef]
- Quan, Y.; Lee, K.-W.; Pickett, W.E. MoB2 under pressure: Superconducting Mo enhanced by boron. Phys. Rev. B 2021, 104, 224504. [Google Scholar] [CrossRef]
- Hire, A.C.; Sinha, S.; Lim, J.; Kim, J.S.; Dee, P.M.; Fanfarillo, L.; Hamlin, J.J.; Hennig, R.G.; Hirschfeld, P.J.; Stewart, G.R. High critical field superconductivity at ambient pressure in MoB2 stabilized in the P6/mmm structure via Nb substitution. Phys. Rev. B 2022, 106, 174515. [Google Scholar] [CrossRef]
- Pei, C.; Zhang, J.; Gong, C.; Wang, Q.; Gao, L.; Zhao, Y.; Tian, S.; Cao, W.; Li, C.; Lu, Z.-Y.; et al. Distinct superconducting behaviours of pressurized WB2 and ReB2 with different local B layers. Sci. China-Phys. Mech. Astron. 2022, 65, 287412. [Google Scholar] [CrossRef]
- Lim, J.; Hire, A.C.; Quan, Y.; Kim, J.S.; Xie, S.R.; Sinha, S.; Kumar, R.S.; Popov, D.; Park, C.; Hemley, R.J.; et al. Creating superconductivity in WB2 through pressure-induced metastable planar defects. Nat. Commun. 2022, 13, 7901. [Google Scholar] [CrossRef]
- Zandbergen, H.W.; Gronsky, R.; Wang, K.; Thomas, G. Structure of (CuO)2 double layers in superconducting YBa2Cu3O7. Nature 1988, 331, 596–599. [Google Scholar] [CrossRef]
- Specht, E.D.; Goyal, A.; Li, J.; Martin, P.M.; Li, X.; Rupich, M.W. Stacking faults in YBa2Cu3O7−x: Measurement using X-ray diffraction and effects on critical current. Appl. Phys. Lett. 2006, 89, 162510. [Google Scholar] [CrossRef]
- Talantsev, E.F.; Strickland, N.M.; Wimbush, S.C.; Storey, J.G.; Tallon, J.L.; Long, N.J. Hole doping dependence of critical current density in YBa2Cu3O7−δ conductors. Appl. Phys. Lett. 2014, 104, 242601. [Google Scholar] [CrossRef]
- Bloch, F. Zum elektrischen Widerstandsgesetz bei tiefen Temperaturen. Z. Phys. 1930, 59, 208–214. [Google Scholar] [CrossRef]
- Grüneisen, E. Die abhängigkeit des elektrischen widerstandes reiner metalle von der temperatur. Ann. Phys. 1933, 408, 530–540. [Google Scholar] [CrossRef]
- Fisk, Z.; Webb, G.W. Saturation of the high-temperature normal-state electrical resistivity of superconductors. Phys. Rev. Lett. 1976, 36, 1084–1086. [Google Scholar] [CrossRef]
- Wiesmann, H.; Gurvitch, M.; Lutz, H.; Ghosh, A.; Schwarz, B.; Strongin, M.; Allen, P.B.; Halley, J.W. Simple model for characterizing the electrical resistivity in A-15 superconductors. Phys. Rev. Lett. 1977, 38, 782–785. [Google Scholar] [CrossRef]
- Matsumoto, R.; Song, P.; Adachi, S.; Saito, Y.; Hara, H.; Yamashita, A.; Nakamura, K.; Yamamoto, S.; Tanaka, H.; Irifune, T.; et al. Pressure-induced superconductivity in tin sulfide. Phys. Rev. B 2019, 99, 184502. [Google Scholar] [CrossRef]
- Kudo, K.; Hiiragi, H.; Honda, T.; Fujimura, K.; Idei, H.; Nohara, M. Superconductivity in Mg2Ir3Si: A fully ordered Laves phase. J. Phys. Soc. Jpn. 2020, 89, 013701. [Google Scholar] [CrossRef]
- Talantsev, E.F. Advanced McMillan’s equation and its application for the analysis of highly-compressed superconductors. Supercond. Sci. Technol. 2020, 33, 094009. [Google Scholar] [CrossRef]
- Talantsev, E.F. The electron–phonon coupling constant and the Debye temperature in polyhydrides of thorium, hexadeuteride of yttrium, and metallic hydrogen phase III. J. Appl. Phys. 2021, 130, 195901. [Google Scholar] [CrossRef]
- Talantsev, E.F. Classifying superconductivity in compressed H3S. Mod. Phys. Lett. B 2019, 33, 1950195. [Google Scholar] [CrossRef]
- Talantsev, E.F. In-plane p-wave coherence length in iron-based superconductors. Results Phys. 2020, 18, 103339. [Google Scholar] [CrossRef]
- Talantsev, E.F.; Mataira, R.C.; Crump, W.P. Classifying superconductivity in Moiré graphene superlattices. Sci. Rep. 2020, 10, 212. [Google Scholar] [CrossRef]
- Gross, F.; Chandrasekhar, B.S.; Einzel, D.; Andres, K.; Hirschfeld, P.J.; Ott, H.R.; Beuers, J.; Fisk, Z.; Smith, J.L. Anomalous temperature dependence of the magnetic field penetration depth in superconducting UBe13. Z. Phys. B 1986, 64, 175–188. [Google Scholar] [CrossRef]
- Gross-Alltag, F.; Chandrasekhar, B.S.; Einzel, D.; Hirschfeld, P.J.; Andres, K. London field penetration in heavy fermion superconductors. Z. Phys. B 1991, 82, 243–255. [Google Scholar] [CrossRef]
- Bardeen, J.; Cooper, L.N.; Schrieffer, J.R. Theory of superconductivity. Phys. Rev. 1957, 108, 1175–1204. [Google Scholar] [CrossRef]
- Carbotte, J.P. Properties of boson-exchange superconductors. Rev. Mod. Phys. 1990, 62, 1027–1157. [Google Scholar] [CrossRef]
- Talantsev, E.F.; Crump, W.P.; Tallon, J.L. Thermodynamic parameters of single- or multi-band superconductors derived from self-field critical currents. Ann. Phys. 2017, 529, 1700197. [Google Scholar] [CrossRef]
- Pietronero, L.; Boeri, L.; Cappelluti, E.; Ortenzi, L. Conventional/unconventional superconductivity in high-pressure hydrides and beyond: Insights from theory and perspectives. Quantum Stud. Math. Found. 2018, 5, 5–21. [Google Scholar] [CrossRef]
- Talantsev, E.F. Quantifying nonadiabaticity in major families of superconductors. Nanomaterials 2023, 13, 71. [Google Scholar] [CrossRef]
- Talantsev, E.F.; Tallon, J.L. Universal self-field critical current for thin-film superconductors. Nat. Commun. 2015, 6, 7820. [Google Scholar] [CrossRef] [PubMed]
- Cappelluti, E.; Ciuchi, S.; Grimaldi, C.; Pietronero, L.; Strässler, S. High Tc superconductivity in MgB2 by nonadiabatic pairing. Phys. Rev. Lett. 2002, 88, 117003. [Google Scholar] [CrossRef] [PubMed]
- Papagelis, K.; Arvanitidis, J.; Margiolaki, I.; Brigatti, K.; Prassides, K.; Schenck, A.; Lappas, A.; Amato, A.; Iwasa, Y.; Takenobu, T. μSR studies of superconducting MgB1.96C0.04. Phys. B 2003, 326, 346–349. [Google Scholar] [CrossRef]
- Talantsev, E.F. Electron–phonon coupling constant and BCS ratios in LaH10−y doped with magnetic rare-earth element. Supercond. Sci. Technol. 2022, 35, 095008. [Google Scholar] [CrossRef]
- Patra, C.; Agarwal, T.; Chaudhari, R.R.; Singh, R.P. Two-dimensional multigap superconductivity in bulk 2H-TaSeS. Phys. Rev. B 2022, 106, 134515. [Google Scholar] [CrossRef]
- Park, S.; Kim, S.Y.; Kim, H.K.; Kim, M.J.; Kim, T.; Kim, H.; Choi, G.S.; Won, C.J.; Kim, S.; Kim, K.; et al. Superconductivity emerging from a stripe charge order in IrTe2 nanoflakes. Nat. Commun. 2021, 12, 3157. [Google Scholar] [CrossRef]
- Szczesniak, D.; Kaczmarek, A.Z.; Drzazga-Szczesniak, E.A.; Szczesniak, R. Phonon-mediated superconductivity in bismuthates by nonadiabatic pairing. Phys. Rev. B 2021, 104, 094501. [Google Scholar] [CrossRef]
- Szczesniak, D.; Szczesniak, R. Signatures of nonadiabatic superconductivity in lithium-decorated graphene. Phys. Rev. B 2019, 99, 224512. [Google Scholar] [CrossRef]
- Helfand, E.; Werthamer, N.R. Temperature and purity dependence of the superconducting critical field, Hc2. II. Phys. Rev. 1966, 147, 288–294. [Google Scholar] [CrossRef]
- Werthamer, N.R.; Helfand, E.; Hohenberg, P.C. Temperature and purity dependence of the superconducting critical field, Hc2. III. Electron spin and spin-orbit effects. Phys. Rev. 1966, 147, 295–302. [Google Scholar] [CrossRef]
- Zehetmayer, M.; Eisterer, M.; Jun, J.; Kazakov, S.M.; Karpinski, J.; Wisniewski, A.; Weber, H.W. Mixed-state properties of superconducting MgB2 single crystals. Phys. Rev. B 2002, 66, 052505. [Google Scholar] [CrossRef]
- Bouquet, F.; Wang, Y.; Fisher, R.A.; Hinks, D.G.; Jorgensen, J.D.; Junod, A.; Phillips, N.E. Phenomenological two-gap model for the specific heat of MgB2. Europhys. Lett. 2001, 56, 856. [Google Scholar] [CrossRef]
- Talantsev, E.F.; Crump, W.P.; Island, J.O.; Xing, Y.; Sun, Y.; Wang, J.; Tallon, J.L. On the origin of critical temperature enhancement in atomically thin superconductors. 2D Mater. 2017, 4, 025072. [Google Scholar] [CrossRef]
- Szabó, P.; Samuely, P.; Kačmarčík, J.; Klein, T.; Marcus, J.; Fruchart, D.; Miraglia, S.; Marcenat, C.; Jansen, A.G.M. Evidence for two superconducting energy gaps in MgB2 by point-contact spectroscopy. Phys. Rev. Lett. 2001, 87, 137005. [Google Scholar] [CrossRef]
- Santi, G.; Jarlborg, T.; Peter, M.; Weger, M. Existence of both s and d-wave solutions of Eliashberg equations. J. Supercond. 1995, 8, 405–408. [Google Scholar] [CrossRef]
- Gor’kov, L.P. Superconductivity: Conventional and Unconventional Superconductors; Bennemann, K.H., Ketterson, J.B., Eds.; Springer: Berlin/Heidelberg, Germany, 2008; pp. 201–224. [Google Scholar]
- Anderson, P.W. Theory of dirty superconductors. J. Phys. Chem. Solids 1959, 11, 26–30. [Google Scholar] [CrossRef]
- Openov, L.A. Critical temperature of an anisotropic superconductor containing both nonmagnetic and magnetic impurities. Phys. Rev. B 1998, 58, 9468–9478. [Google Scholar] [CrossRef]
- Openov, L.A. Effect of nonmagnetic and magnetic impurities on the specific heat jump in anisotropic superconductors. Phys. Rev. B 2004, 69, 224516. [Google Scholar] [CrossRef]
- Gu, Q.; Li, Y.; Wan, S.; Li, H.; Guo, W.; Yang, H.; Li, Q.; Zhu, X.; Pan, X.; Nie, Y.; et al. Single particle tunnelling spectrum of superconducting Nd1-xSrxNiO2 thin films. Nat. Commun. 2020, 11, 6027. [Google Scholar] [CrossRef]
- Chow, L.E.; Sudheesh, S.K.; Nandi, P.; Zeng, S.W.; Zhang, Z.T.; Du, X.M.; Lim, Z.S.; Chia, E.E.M.; Ariando, A. Pairing symmetry in infinite-layer nickelate superconductor. arXiv 2022, arXiv:2201.10038. [Google Scholar] [CrossRef]
- Harvey, S.P.; Wang, B.Y.; Fowlie, J.; Osada, M.; Lee, K.; Lee, Y.; Li, D.; Hwang, H.Y. Evidence for nodal superconductivity in infinite-layer nickelates. arXiv 2022, arXiv:2201.12971. [Google Scholar] [CrossRef]
- Wang, Z.; Zhang, G.-M.; Yang, Y.-f.; Zhang, F.-C. Distinct pairing symmetries of superconductivity in infinite-layer nickelates. Phys. Rev. B 2020, 102, 220501. [Google Scholar] [CrossRef]
- Uemura, Y.J.; Luke, G.M.; Sternlieb, B.J.; Brewer, J.H.; Carolan, J.F.; Hardy, W.N.; Kadono, R.; Kempton, J.R.; Kiefl, R.F.; Kreitzman, S.R. Universal correlations between Tc and (carrier density over effective mass) in high-Tc cuprate. Phys. Rev. Lett. 1989, 62, 2317–2320. [Google Scholar] [CrossRef]
- Uemura, Y.J.; Keren, A.; Le, L.P.; Luke, G.M.; Wu, W.D.; Kubo, Y.; Manako, T.; Shimakawa, Y.; Subramanian, M.; Cobb, J.L.; et al. Magnetic-field penetration depth in Tl2Ba2CuO6+δ in the overdoped regime. Nature 1993, 364, 605–607. [Google Scholar] [CrossRef]
- Guguchia, Z.; Amato, A.; Kang, J.; Luetkens, H.; Biswas, P.K.; Prando, G.; von Rohr, F.; Bukowski, Z.; Shengelaya, A.; Keller, H.; et al. Direct evidence for a pressure-induced nodal superconducting gap in the Ba0.65Rb0.35Fe2As2 superconductor. Nat. Commun. 2015, 6, 8863. [Google Scholar] [CrossRef] [PubMed]
- in ’t Veld, Y.; Katsnelson, M.I.; Millis, A.J.; Rösner, M. Screening induced crossover between phonon- and plasmon-mediated pairing in layered superconductors. arXiv 2023, arXiv:2303.06220. [Google Scholar] [CrossRef]
- Talantsev, E.F. Classifying hydrogen-rich superconductors. Mater. Res. Express 2019, 6, 106002. [Google Scholar] [CrossRef]
- Jorba, P.; Regnat, A.; Tong, A.; Seifert, M.; Bauer, A.; Schulz, M.; Franz, C.; Schneidewind, A.; Kunkemöller, S.; Jenni, K.; et al. High-pressure studies of correlated electron systems. Phys. Status Solidi B 2022, 259, 2100623. [Google Scholar] [CrossRef]
- Ruangrungrote, S.; Chanpoom, T.; Thaninworapak, R.; Udomsamuthirun, P. Investigation of the gap-to-Tc ratio of LaH10 and LaD10 superconductors. Int. J. Mod. Phys. B 2023, 37, in press. [Google Scholar] [CrossRef]
- Chanilkul, G.; Changjan, A.; Nilkamjon, T.; Udomsamuthirun, P. External pressure effects on superfluid density of isotropic s-wave superconductors. J. Phys. Conf. Ser. 2023, 2431, 012043. [Google Scholar] [CrossRef]
- Talantsev, E.F. Universal Fermi velocity in highly compressed hydride superconductors. Matter Radiat. Extrem. 2022, 7, 058403. [Google Scholar] [CrossRef]
- Malik, G.P.; Varma, V.S. On the generalized BCS equations incorporating chemical potential for the Tc and the calculation of the coherence length of some elements and compressed H3S. J. Low Temp. Phys. 2023, in press. [Google Scholar] [CrossRef]
- van de Bund, S.; Ackland, G.J. Competition between superconductivity and molecularization in quantum nuclear behavior of Lanthanum Hydride. arXiv 2023, arXiv:2303.01441. [Google Scholar] [CrossRef]
- Feng, X.Y.; Zhao, Z.; Luo, J.; Yang, J.; Fang, A.F.; Yang, H.T.; Gao, H.J.; Zhou, R.; Zheng, G.-Q. Commensurate-to-incommensurate transition of charge-density-wave order and a possible quantum critical point in pressurized kagome metal CsV3Sb5. arXiv 2023, arXiv:2303.01225. [Google Scholar] [CrossRef]
- He, X.; Zhang, C.; Li, Z.; Liua, C.; Feng, S.; Zhao, J.; Lu, K.; Bin, B.; Zhang, S.; Peng, Y.; et al. Superconductivity above 30 K achieved in dense scandium. arXiv 2023, arXiv:2303.01062. [Google Scholar] [CrossRef]
- Yang, W.; Xiao, G.; Zhu, Q.; Song, S.; Cao, G.-H.; Ren, Z. Effect of carbon doping on the structure and superconductivity in AlB2-type (Mo0.96Ti0.04)0.8B2. arXiv 2023, arXiv:2302.14272. [Google Scholar] [CrossRef]
- Lim, J.; Sinha, S.; Hire, A.C.; Kim, J.S.; Dee, P.M.; Kumar, R.S.; Popov, D.; Hemley, R.J.; Hennig, R.G.; Hirschfeld, P.J.; et al. Suppression of superconductivity in Nb-substituted MoB2 at high pressure. arXiv 2023, arXiv:2302.13936. [Google Scholar] [CrossRef]
- Zhang, W.; Liu, X.; Wang, L.; Tsang, C.W.; Wang, Z.; Lam, S.T.; Wang, W.; Xie, J.; Zhou, X.; Zhao, Y.; et al. Nodeless superconductivity in Kagome metal CsV3Sb5 with and without time reversal symmetry breaking. Nano Lett. 2023, 23, 872–879. [Google Scholar] [CrossRef] [PubMed]
- Troyan, I.A.; Semenok, D.V.; Ivanova, A.G.; Sadakov, A.V.; Zhou, D.; Kvashnin, A.G.; Kruglov, I.A.; Sobolevskiy, O.A.; Lyubutina, M.V.; Helm, T.; et al. Non-Fermi-liquid behavior of superconducting SnH4. arXiv 2023, arXiv:2303.06339. [Google Scholar] [CrossRef]
- Jung, S.G.; Seo, S.; Lee, S.; Bauer, E.D.; Lee, H.-O.; Park, T. A peak in the critical current for quantum critical superconductors. Nat. Commun. 2018, 9, 434. [Google Scholar] [CrossRef] [PubMed]
- Kim, Y.H.; Park, S.; Kwon, C.I.; Kim, S.Y.; Watanabe, K.; Taniguchi, T.; Kim, J.S. Two-dimensional multiband superconductivity of the optimally and uniformly Li-intercalated FeSe nanoflakes. Curr. Appl. Phys. 2023, 46, 27–33. [Google Scholar] [CrossRef]
- Liu, X.; Zhang, W.; Lai, K.T.; Moriyama, K.; Tallon, J.L.; Yoshimura, K.; Goh, S.K. Peak in the critical current density in (CaxSr1−x)3Rh4Sn13 tuned towards the structural quantum critical point. Phys. Rev. B 2022, 105, 214524. [Google Scholar] [CrossRef]
- Nobukane, H.; Yanagihara, K.; Kunisada, Y.; Ogasawara, Y.; Isono, K.; Nomura, K.; Tanahashi, K.; Nomura, T.; Akiyama, T.; Tanda, S. Co-appearance of superconductivity and ferromagnetism in a Ca2RuO4 nanofilm crystal. Sci. Rep. 2020, 10, 3462. [Google Scholar] [CrossRef]
- Jung, S.-G.; Han, Y.; Kim, J.H.; Hidayati, R.; Rhyee, J.-S.; Lee, J.M.; Kang, W.N.; Choi, W.S.; Jeon, H.-R.; Suk, J.; et al. High critical current density and high-tolerance superconductivity in high-entropy alloy thin films. Nat. Commun. 2022, 13, 3373. [Google Scholar] [CrossRef]
- Li, C.; Zhao , Y.-F.; Vera, A.; Lesser, O.; Yi, H.; Kumari, S.; Yan, Z.; Dong, C.; Bowen, T.; Wang, K.; et al. Proximity-induced superconductivity in epitaxial topological insulator/graphene/gallium heterostructures. Nat. Mater. 2023, 22. in press. [Google Scholar] [CrossRef] [PubMed]
Disclaimer/Publisher’s Note: The statements, opinions and data contained in all publications are solely those of the individual author(s) and contributor(s) and not of MDPI and/or the editor(s). MDPI and/or the editor(s) disclaim responsibility for any injury to people or property resulting from any ideas, methods, instructions or products referred to in the content. |
© 2023 by the author. Licensee MDPI, Basel, Switzerland. This article is an open access article distributed under the terms and conditions of the Creative Commons Attribution (CC BY) license (https://creativecommons.org/licenses/by/4.0/).








