Abstract
This paper aims to investigate the robustness of exponential synchronization in complex dynamic networks (CDNs) with time-varying delays and random disturbances. Via the Gronwall–Bellman lemma and partial inequality methods, by calculating the transcendental equations, the delays limits and maximum disturbance size of the CDNs are estimated. This means that the perturbed system achieves exponential synchronization if the disturbance strength is within our estimation range. The theoretical results are illustrated by several simulations.
1. Introduction
Complex dynamic networks (CDNs) consist of a large number of nodes or edges; each node or edge represents a basic dynamic system with a specific content. CDNs have become an interesting research field in various fields, such as ecological networks [1], biological neural networks [2], and communication networks [3,4]. With the continuous exploration of the dynamic behavior of CDNs, the analysis of complex behavior of CDNs has been recognized as a research hotspot [5,6,7,8].
Synchronization, as one of the topics worth thinking about in CDNs, has been used in various industries, such as face recognition, information security, and so on [9,10]. The earliest research on synchronization dates back to the time of Huygens in 1655 [11]. In recent years, synchronization control of CDNs, such as global Mittag–Leffler synchronization [2], adaptive synchronization [12] and lag synchronization [13], etc., has attracted great attention as an interesting direction of control systems.
Generally speaking, because of the different characteristics of CDN nodes, it is difficult to realize synchronization. Then, the synchronous implementation of the CDNs still needs some control strategy. Therefore, many scholars have produced some effective controllers to synchronize CDNs. To the best of our knowledge, controllers are divided into linear controllers [14,15] and nonlinear controllers [16,17,18,19]. The synchronization problem of the CDN is studied using a hierarchical controller in [20]. The authors of [21,22] studied the synchronization of a CDN with delays under the adaptive control strategy.
Because of the limitation of information transmission rate between nodes, CDNs are inevitably affected by time-varying delays and random noises [19]. The existence of time-varying delays may cause delays in information transfer between CDN nodes, and may cause the CDN to lose synchronization [23]. In general, the main types of time delays are leakage delays [24], discrete delays [25], and state-dependent delays [26], etc. For the random disturbances, the disturbance process is complex, and noise interference may lead to the deviation of information transmission in CDNs. For CDNs interfered by time-varying delays and external noise, the synchronization phenomenon has attracted the attention of scholars at home and abroad in recent years [19,27,28,29].
It is noted that CDNs may lose synchronization if the time-varying delays and noise intensity exceed certain limits [30]. We know that CDNs may still have exponential synchronization (ESy) if the intensity of time-varying delays and random noise disturbance is small when ESy has been achieved in CDNs [31]. Many interesting results were obtained for CDN synchronization interfered by time-varying delays [32,33,34] and random noise in [16,19,21,23,28,35,36,37]. It should be noted that the above work pays little attention to the robustness of ESy in CDNs. Therefore, how much time-varying delay and noise intensity CDNs can withstand without losing synchronization is an interesting question.
Robustness means that the system maintains certain characteristics under the certain disturbance of external factors. It has important reference value for the analysis and design of complex systems. In [38], the robustness of exponential stability in recurrent neural networks is explored for the first time. In recent years, there have been many interesting results on the robustness of stability [39]. In addition, with the development of CDNs, the Lyapunov stability theory and the linear matrix inequality methods have been used to analyze the synchronization of CDNs extensively, but the robustness of ESy is rarely studied by estimating the upper bound of noise intensity and delays. The robustness of ESy in CDNs with piecewise constant parameters is studied for the first time in [40]. In addition, in [41], Zhang et al. investigated the robustness of ESy in CDNs with random disturbances.
Inspired by the above works, this paper discusses the robustness of ESy in CDNs with time-varying delays and noise interference. The main works are as follows.
- Using the Gronwall–Bellman lemma and inequality methods, the upper bound of a CDN subject to both delays and random noise intensity is obtained. By calculating the transcendental equations, The allowable ESy range of a CDN with both delay and external noise is estimated.
- In the systems discussed in this paper, the parameter configuration matrices without delay and with delay are not necessarily symmetric.
- Compared with the [23,41], this article comprehensively considers the influence of time-varying delays and random disturbance on ESy of CDNs. This paper provides a judgment basis for the analysis and designs of CDNs.
- In [39], the robustness of neural network stability was thoroughly studied. Unlike the aforementioned paper, we investigate the robustness of ESy in CDNs with time-varying delays and random disturbances.
2. Problem Statement and Model
2.1. Notation
In this paper, is sets of m-dimensional Euclidean spaces, and represents -dimensional matrices composed of spaces or sets. is an identity matrix of . is the Kronecker product of matrices and . Let be a complete probability space with filtering , and the filter contains all P-null sets and is right-continuous. stands for time delays. is a Brownian motion. is the Euclidean norm. stands for a mathematical expectation operator in probability measure P.
A graph has three elements. is the node set, and the edge set . Coupling matrix is , where represents the coupling weight from the i-th node to the j-th node. If the information is from the j-th node to the i-th node (), then the ; otherwise, .
2.2. Problem Formulation
Consider the following CDN model consisting of m nodes with time delays
where is the state vector of the i-th node; : is vector-valued function; k is called the coupling strength; is the latter needed the design of the controllers. represents the matrix , and satisfying and ; are delays that satisfy .
The dynamic equation of isolated nodes of CDN (1) is
where is any expected state.
In addition, when CDN (1) has no time delay interference, the following form is obtained:
Defining system (2) and (3), the error is , and subtracting (2) from system (3) gives the following error system:
where , and the function satisfies the following assumptions.
() The function will satisfy the following condition:
where is a known constant.
To obtain synchronization of (1) and (2), the linear controller is expressed as
where is the feedback gain matrix.
Substitute (6) into (4):
Denote , , , , .
Then, CDN (7) can be rewritten into the following matrix form:
Define system (1) and (2); the synchronization error is . Subtracting (2) from (1) gives the following error system:
The matrix form of the error system (9) is
For the convenience of the analysis, this paper first provides some basic definitions, and abbreviates some nouns (see Table 1).
Table 1.
This article deals with abbreviated tables.
Definition 1.
If the error system (8) achieved ESt (Table 1), then the CDN (2) and (3) said to achieve ESy. That is, for , , such that for any , satisfying
3. Main Results
A controller is an algorithm or rule that makes the system reach the desired state under certain control rules. Next, we discuss the robustness of ESy of CDNs with time delays and noise interference under linear and nonlinear controllers, respectively.
We first discuss how much time delay CDN can withstand without losing synchronization under linear and nonlinear controllers.
3.1. Effect of Time Delays on CDN Synchronization
3.1.1. The Linear Controller
In this section, we will investigate the robustness of ESy for CDNs with time delays under linear controllers. For CDNs that have reached ESy, how much external time delay can the system withstand without losing synchronization? That is, the CDN is still synchronous if the limits of the system being disturbed by external time delays is within our estimate. From this, we can obtain the following theorem:
Theorem 1.
If Assumption is trues, and (8) is ESt, then (10) is ESt. That is, systems (1) and (2) can realize ESy under (6), if , where is the only nonnegative solution of the following transcendental equation.
where
Proof.
Denote is and . According to the systems (8) and (10), the differential equation is transformed into an integral equation, and we have
From (5),
Furthermore, when , from (5) and (9),
Exchange integration order, one has
Similarly, one has
When , substitute (14) and (15) into (13), and one has
When , substitute (16) into (12), and one has
By Definition 1, further available is
where
Using the Gronwall–Bellman lemma [42], when ,
Hence, when ,
Notice , due to ,
where .
From (10), when , .
Choose
From (21), one has
Then, for any nonnegative integer , when , one has
From (22) and (23),
where . So, for , there is a nonnegative integer d, such than , and we have
The condition is also trues when . So, the error system (10) achieves ESt. Thus, systems (1) and (2) achieve ESy under linear controller (6). □
Remark 1.
Theorem 1 shows that the error system (10) still achieves ESt when the magnitude of delays is within the range of our derivation. Thus, systems (1) and (2) are ESy under linear controller (6).
3.1.2. The Nonlinear Controller
In the previous section, we discussed for how much time delay the CDN is still ESy under linear controllers. Now, we discuss the robustness of ESy in CDNs with time delays under nonlinear controllers.
To obtain synchronization of (1) and (2), the nonlinear controllers are expressed as
Combining (4) and (25), one has
The matrix form is
where .
The system (27) disturbed by the time delays will take the following form:
where , , .
The following theorem describes how much time delay CDN can withstand under a nonlinear controller that is ESy.
Theorem 2.
If Assumption is trues, and (27) is ESt, then (26) is ESt. That is, systems (1) and (2) can realize ESy under (25), if , where is the only nonnegative solution of the following transcendental equation.
where
Proof.
Similar to Theorem 1, from (8) and (10), we have
In addition, when , from (28) and (5),
Similarly to (15),
Similarly to (16),
When , substitute (32) and (33) into (31):
For , substitute (34) into (30):
By Definition 1, one has
where
For , using the Gronwall–Bellman lemma [42],
Due to , and ,
where . From (29), when , .
Select
From (37), one has
The following proof is similar to Theorem 1. □
Remark 2.
Theorem 2 shows that CDNs achieve ESy under nonlinear controllers. When the time delays does not exceed the deduced range, the CDNs (1) and (2) are still exponentially synchronized.
Remark 3.
Theorems 1 and 2 show that CDNs achieve ESy under the controllers. When the time delays of external interference is within the range we deduced, that is, , CDNs still remain ESy.
3.2. Effect of Time Delays and Random Disturbances on CDN Synchronization
Consider the following CDN model consisting of m nodes with time delays and random disturbances:
where is the random interference intensity, and represents the coupling matrix , satisfying .
When CDN (39) is not interfered by time delays and external noise, system (39) will become the following form:
Similarly, (2) is defined as the isolated node equation of CDN (39) and (40).
Similar to system (4), we have
where is defined in (4).
Substituting the linear controller (6) into (41), we have
The matrix form of system (42) is
Similar to system (9), we have
where , .
For the error system (39), we have the following definitions.
Definition 2
([42,43]). CDN (44) is called to be ASESt, if , , the Lyapunov exponent
then, the CDN (39) with (2) is called to be ASESy. That is, if , and the , , such that
where is constant.
Definition 3
([29,42]). CDN (44) is called to be MSESt, if , , the Lyapunov exponent
then, the CDN (39) with (2) is called to be MSESy, That is, if , and the , , such that
where is constant.
From Definitions 2 and 3, MSESt can be derived from ASESt, but vice versa is not trues. However, if (5) is assumed to hold, the MSESt of (44) implies the ASESt of the CDN (44) [42].
3.2.1. The Linear Controller
In this section, we will analyze the effects of time delays and random disturbance on ESy of CDNs under linear controllers. For CDNs that have reached ESy, how much external delay and random noise interference can the system withstand without losing synchronization? In other words, if the disturbance of the system by external delays and random noise is within the range of our estimation, the CDNs are still ESy.
Theorem 3.
If assumption is trues, and (43) is ESt, then (44) is ESt. That is, systems (39) and (2) can realize ESy under (6), if , where is the only nonnegative solution of the following transcendental equation.
and is the only nonnegative solution of the following transcendental equation.
where
Proof.
Similar to Theorem 1, from (43) and (44), we have
For , based on the inequality, combine (5) and the ESt of (43):
In addition, when , from (44) and (5), one has
Like (14) and (15), combined with (49),
Substituting (50) into (48),
Further obtained by (51),
where
For , using the Gronwall–Bellman lemma [42],
Hence,
When ,
where .
Due to and is strictly monotonically increasing with respect to , there is a only solution such that , that is (45) is trues. When , and is strictly monotonically increasing with respect to , there is a only , such that , that is, (46) is trues. From (45) and (46), for and , then .
Choose
From (55), we have
The rest of the proof is exactly like Theorem 1. □
Remark 4.
According to Theorem 3, the CDN can realize ESy under (6). When the delays and random disturbances intensity are satisfied, and , that is, the CDN is still ESy within the range of time delays and noise intensity.
3.2.2. The Nonlinear Controller
In the previous section, we discussed the effect of time delays and random disturbances on the ESy of CDNs under linear controllers. In this section, we will explore the influence of nonlinear controllers on the ESy of CDNs.
To obtain synchronization of systems (39) and (2), (25) is still the nonlinear controller.
Substitute (25) into (41):
Written in matrix form is as follows:
Similarly, subtract (2) from (39) and write in matrix form
the definition of ESy of the (58) is similar to Definition 1.
The following theorem describes how much time delay and random disturbance a CDN can withstand under a nonlinear controller that is ESy.
Theorem 4.
If Assumption is trues, and (58) is ESt, then (59) is ESt. That is, systems (39) and (2) can realize ESy under (25), if , where is the only solution to the following transcendental equation.
and is the only solution to the following transcendental equation.
where
Proof.
Similar to Theorem 1, from (58) and (59), one has
For , using the inequality, define the ESt of system (58):
Furthermore, when , from (59),
Similarly to (14) and (15),
where
For , using the Gronwall–Bellman lemma [42],
Like (54), (55), and when ,
where .
Similar to Theorem 3, is strictly monotonically increasing in terms of and . Therefore, there exist only solutions and , such that , , that is, (60) and (61) hold. For and , then .
Select
from (67),
The rest of the proof is exactly like Theorem 1. □
Remark 5.
From Theorem 4, when the external delays and random interference intensity are satisfied, and , that is, the CDN is still ESy within the range of external delays and random interference intensity.
Remark 6.
Theorems 3 and 4 show that CDNs achieve ESy under the controllers. As long as the external delays and the random interference are within the range of our derivation, the CDNs can still achieve ESy.
4. Numerical
In this section, some examples are given to illustrate the correctness of the results in this paper.
Remark 7.
In Table 2, we represent random disturbances as RD, deviating argument as DAr, time-varying delays as TvD and asymptotic synchronization as AsSy, respectively.
Table 2.
Comparing other articles with this one.
Example 1.
Consider CDN consisting of three nodes with time delays in the linear controller
without delay interference, system (69) becomes
where , define the error as , and is the i state vector of the CDN. is time delays and satisfies . The matrix forms of system (69) and (70) are, respectively,
and
Suppose the coupling matrix is
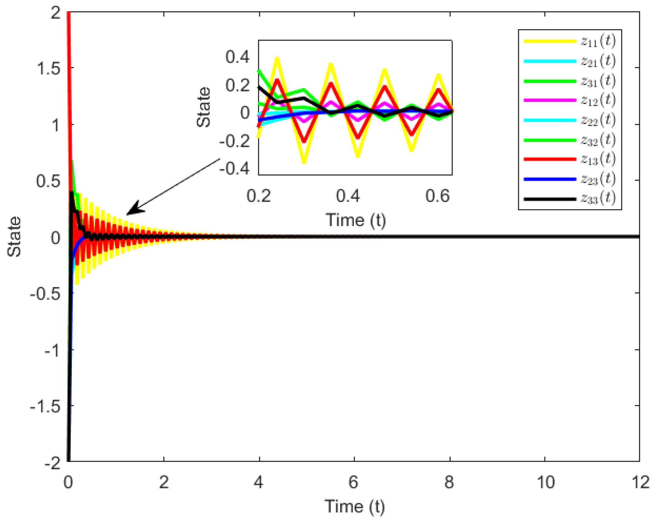
The coupling coefficient is . The activation function is and satisfies that holds, so that means . The initial value of the three-nodes and isolated node is and . When , the error system (71) is ESt.
Choose , through calculation . Hence, from (10), we can obtain , and solve the following transcendental equation by MATLAB:
Thus, by Theorem 1, when , the system (71) is ESt. In Figure 1, we take ; the state in Figure 1 is ESt, That is, systems (1) and (2) are ESy. In addition, Figure 2 shows the state of the system without delay interference under a linear controller.
Figure 1.
Convergence state of CDN (71) under linear controller.
Figure 2.
The state of CDN (72) without time delays under the linear controller.
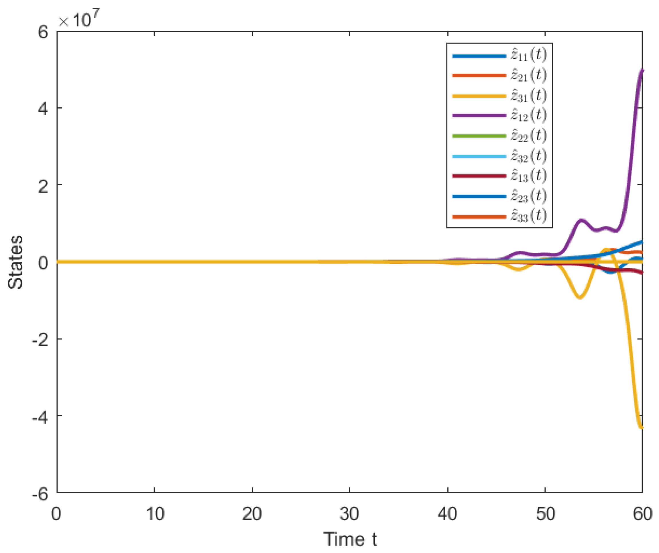
In Figure 3, we select ; the state in Figure 3 is not ESt, that is, systems (1) and (2) are not ESy.
Figure 3.
The state of CDN (71) at under linear controller.
Example 2.
A CDN consisting of three nodes with time delays under the nonlinear controller is considered:
Without delay interference, system (74) becomes
where , let the synchronization error be
and is the i state vector of the CDN. is the time delays and satisfies .
The error system is obtained from system (74) and system (75) and expressed in matrix form as
and
Suppose the coupling coefficient is . The coupling matrix is
The activation function is . The initial value of the three nodes and isolated node is and . When , the system (77) is ESt.
Choose . By calculation . Hence, from (29), we have , and solve the following transcendental equation by MATLAB:
According to Theorem 2, when , the system (77) is ESt. In Figure 4, we take ; the state in Figure 4 is ESt, which means that systems (1) and (2) are ESy. In addition, Figure 5 shows the state of the system (77) without delay interference under a nonlinear controller.
Figure 4.
Convergence state of CDN (76) under linear controller.
Figure 5.
The state of CDN (77) without time delays under the linear controller.
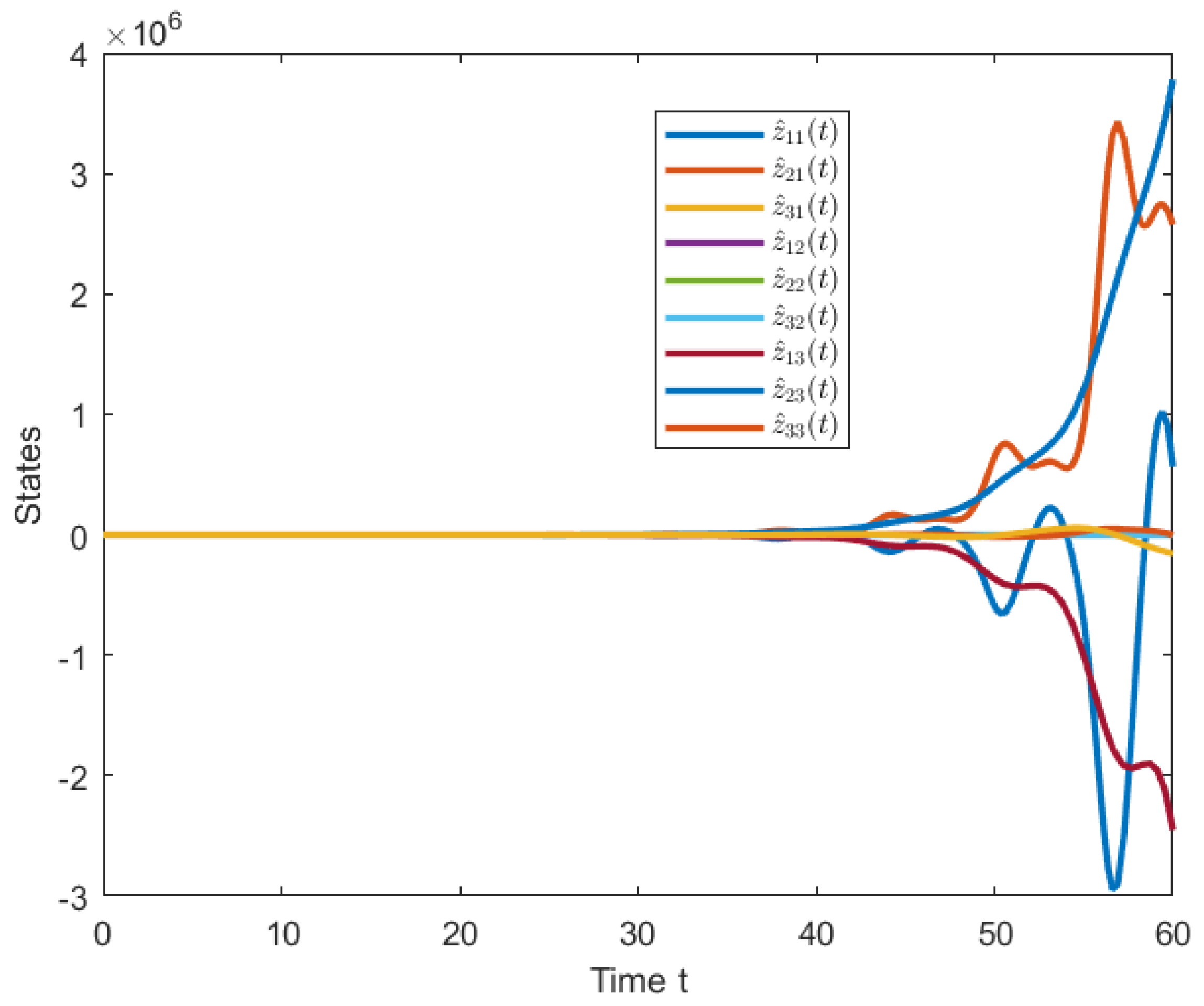
In Figure 6, we select ; the state in Figure 6 is not ESt, which means that systems (1) and (2) are not ESy.
Figure 6.
The state of CDN (76) at under linear controller.
Example 3.
Consider CDN model consisting of three nodes with time delays and random disturbances under the linear controller
where , let the synchronization error be
and be the i-th state vector of the CDN. is time delay, and satisfies .
Without delay and random disturbance, system (79) becomes
The matrix forms of systems (79) and (80) are, respectively,
and
Suppose the coupling matrix
The coupling coefficient is . The activation function is . Select , that is, . The initial value of the three nodes and isolated node is and . For , system (82) is ESt.
Let . From Theorem 3, we obtain the following two equations:
and
Combine Theorem 3 in . We have . From Theorem 3, if the time delays and random disturbance are less than the above-derived bound, which is , then CDN (39) disturbed by noise is MSESt. Thus, CDN (39) and (2) are MSESy.
In Figure 7, said CDNs under linear controller (39) and (2) have been implemented as ESy. Meanwhile, Figure 7 shows CDN (39) and (2) under the linear controller . Because both the time delays and the strength of random disturbances are smaller than the bound derived from Theorem 3, error system (81) is stable. Therefore, CDNs (39) and (2) are MSESy and ASESy. In addition, Figure 8 shows the state of the system (81) without delay and random perturbations under a nonlinear controller.
Figure 7.
The state of CDN (81) with and under linear controller.
Figure 8.
The state of CDN (81) without delay and disturbance under linear controller.
In Figure 9 describes the state of time delays and excessive noise intensity, i.e., . It is easy to obtain that the limits of the time delays and noise intensity are greater than the theoretical results derived from Theorem 3. Therefore, error system (82) is unstable, that is, error system (81) is unstable, so CDNs (39) and (2) are not ESy.
Figure 9.
The state of CDN (82) with and under linear controller.
Example 4.
Consider a CDN with three nodes with time delays and random disturbances under the nonlinear controller
where , the synchronization error is
and is the i-th state vector of the CDN. is a time delay that satisfies .
Without time delays and random disturbances, system (85) becomes
The matrix forms of systems (85) and (86) are, respectively,
and
Suppose the coupling matrix
The coupling coefficient is . The activation function is , the initial value of the three nodes and isolated node is and . When , system (88) is ESt.
Select . From Theorem 4, we can obtain the following two equations.
and
According to Theorem 4, , we can obtain . According to Theorem 4, if the time delays and random disturbances are less than the bounds derived above, that is, , then the CDN (39) disturbed by noise is MSESt. Thus, CDNs (39) and (2) are MSESy.
In Figure 10 shows the state of CDN (39) and (2) under nonlinear controller , . In addition, Figure 11 shows the state of the system (88) without delay and random perturbations under a nonlinear controller. Because both the time delays and the strength of random disturbances are smaller than the bound derived from Theorem 3. Hence, error system (88) is stable and error system (87) is stable, Therefore, CDNs (39) and (2) are MSESy and ASESy under the nonlinear controller.
Figure 10.
The state of CDN (87) with and under nonlinear controller.
Figure 11.
The state of CDN (88) without delay and disturbance under nonlinear controller.
Figure 12 shows the status of . Obviously, the time delays and noise intensity are greater than the bounds derived from Theorem 4. Therefore, error system (88) is unstable, that is, error system (87) is unstable, so CDN (38) and (2) are not ESy.
Figure 12.
The state of CDN (87) with and under nonlinear controller.
Remark 8.
The proof and calculation process involved in this paper is complex. For the proof process, the Gronwall–Bellman lemma and some inequality techniques are used to analyze the results of this paper. The calculation process was performed by MATLAB calculation of the involved matrices and numerical simulations.
5. Conclusions
This paper explores the robustness of ESy with time delays and random disturbances in the CDNs that the have realized the ESy under the controllers. However, the information of the CDN is inevitably disturbed by external time delay and the noise in the process of transmission between nodes. Hence, to what extent CDN can withstand external time delays and noise interference without losing synchronization has become the research hotspot of this paper. By applying the Gronwall–Bellman lemma and some inequality methods, the maximum intensities of CDNS with external time delays and noise interference are estimated by calculating transcendental equations, and sufficient conditions to ensure the ESy of CDNs with time delays and random disturbances are obtained. It is shown that (9), (28), (44) and (59) are ESt when the time delay limits and the size of random disturbances are less than the upper bound we derive, and therefore, systems (1), (39) and (2) are ESy. The results of this paper provide theoretical support for the analysis and design of CDN. In the future, we try to use less conservative inequality techniques to expand the upper limit of the delays and random disturbance strength. In view of the methods and techniques utilized in this article, we will further study the inequality techniques, which are less conservative, to analyze the upper bounds of delays and random interference in the next stage, so that the obtained results are less conservative, so that the synchronization of CDN is easier, or consider other systems, for example, generalized synchronization of delayed CDNs.
Author Contributions
Conceptualization, T.X., Q.Z. and X.X.; methodology, T.X. and Q.Z.; software, Q.Z.; validation, T.X., Q.Z. and X.X.; formal analysis, T.X.; investigation, Q.Z.; resources, T.X.; data curation, Q.Z.; writing—original draft preparation, Q.Z.; writing—review and editing, T.X., Q.Z. and X.X.; visualization, Q.Z.; supervision, T.X.; project administration, T.X. and Q.Z.; funding acquisition, T.X. All authors have read and agreed to the published version of the manuscript.
Funding
This work was supported by the National Natural Science Foundation of China, 12101213.
Data Availability Statement
Not applicable.
Acknowledgments
The author thanks those who contributed to this article.
Conflicts of Interest
The authors declare no conflict of interest.
References
- Pocock, M.J.; Evans, D.M.; Memmott, J. The robustness and restoration of a network of ecological networks. Science 2012, 335, 973–977. [Google Scholar] [CrossRef] [PubMed]
- Zhang, X.L.; HLi, L.; Kao, Y.G.; Zhang, L.; Jiang, H.J. Global mittag-leffler synchronization of discrete-time fractional-order neural networks with time delays. Appl. Math. Comput. 2022, 43, 127417. [Google Scholar] [CrossRef]
- Strogatz, S.H. Exploring complex networks. Nature 2001, 410, 268–276. [Google Scholar] [CrossRef] [PubMed]
- Newman, M.E. The structure and function of complex networks. SIAM Rev. 2003, 45, 167–256. [Google Scholar] [CrossRef]
- Watts, D.J.; Strogatz, S.H. Collective dynamics of ‘small-world’ networks. Nature 1998, 393, 440–442. [Google Scholar] [CrossRef]
- Barabási, A.L.; Albert, R. Emergence of scaling in random networks. Science 1999, 286, 509–512. [Google Scholar] [CrossRef]
- Albert, R.; Barabási, A.L. Statistical mechanics of complex networks. Rev. Modern Phys. 2002, 74, 47. [Google Scholar] [CrossRef]
- Wang, X.F.; Chen, G.R. Complex networks: Small-world, scale-free and beyond. IEEE Circuits Syst. Mag. 2003, 3, 6–20. [Google Scholar] [CrossRef]
- Blekhman, I. The problem of synchronization of dynamical systems. J. Appl. Math. Mech. 1964, 28, 239–265. [Google Scholar] [CrossRef]
- Arenas, A.; Díaz-Guilera, A.; Kurths, J.; Moreno, Y.; Zhou, C. Synchronization in complex networks. Phys. Rep. 2008, 469, 93–153. [Google Scholar] [CrossRef]
- Huygens, C.; Oscillatorium, H. The pendulum clock. In Trans RJ Blackwell; The Iowa State University Press: Ames, IA, USA, 1986. [Google Scholar]
- Zhou, J.; Lu, J.A.; Lu, J.H. Adaptive synchronization of an uncertain complex dynamical network. IEEE Trans. Automat. Control. 2006, 51, 652–656. [Google Scholar] [CrossRef]
- Cheng, H.; Zhong, S.; Zhong, Q.S.; Shi, K.B.; Wang, X. Lag exponential synchronization of delayed memristor-based neural networks via robust analysis. IEEE Access 2018, 7, 173–182. [Google Scholar] [CrossRef]
- Wong, W.K.; Li, H.; Leung, S. Robust synchronization of fractional-order complex dynamical networks with parametric uncertainties. Commun. Nonlinear Sci. Numer. Simul. 2012, 17, 4877–4890. [Google Scholar] [CrossRef]
- Cheng, R.R.; Peng, M.S.; Yu, W.B. Pinning synchronization of delayed complex dynamical networks with nonlinear coupling. Phys. A Stat. Mech. Its Appl. 2014, 413, 426–431. [Google Scholar] [CrossRef]
- Shen, W.W.; Zeng, Z.G.; Wen, S.P. Synchronization of complex dynamical network with piecewise constant argument of generalized type. Neurocomputing 2016, 173, 671–675. [Google Scholar] [CrossRef]
- Shi, C.X.; Yang, G.H.; Li, X.J. Event-triggered output feedback synchronization control of complex dynamical networks. Neurocomputing 2018, 275, 29–39. [Google Scholar] [CrossRef]
- Liu, S.X.; Yu, Y.G.; Zhang, S. Robust synchronization of memristor-based fractional-order hopfield neural networks with parameter uncertainties. Neural Comput. Appl. 2019, 31, 3533–3542. [Google Scholar] [CrossRef]
- Dong, Q.; Shi, S.L.; Ma, Y.C. Non-fragile synchronization of complex dynamical networks with hybrid delays and stochastic disturbance via sampled-data control. ISA Trans. 2020, 105, 174–189. [Google Scholar] [CrossRef]
- Wang, Y.; Li, T.Z. Synchronization of fractional order complex dynamical networks. Phys. A Stat. Mech. Its Appl. 2015, 428, 1–12. [Google Scholar] [CrossRef]
- Liang, S.; Wu, R.C.; Chen, L.P. Adaptive pinning synchronization in fractional-order uncertain complex dynamical networks with delay. Phys. A Stat. Mech. Its Appl. 2016, 444, 49–62. [Google Scholar] [CrossRef]
- Du, L.; Yang, Y.; Lei, Y.M. Synchronization in a fractional-order dynamic network with uncertain parameters using an adaptive control strategy. Appl. Math. Mech. 2018, 39, 353–364. [Google Scholar] [CrossRef]
- Zhang, Q.J.; Chen, G.R.; Wan, L. Exponential synchronization of discrete-time impulsive dynamical networks with time-varying delays and stochastic disturbances. Neurocomputing 2018, 309, 62–69. [Google Scholar] [CrossRef]
- Popa, C.A.; Kaslik, E. Finite-time mittag-leffler synchronization of neutral-type fractional-order neural networks with leakage delay and time-varying delays. Mathematics 2020, 8, 1146. [Google Scholar] [CrossRef]
- Zhou, J.; Bao, H.B. Fixed-time synchronization for competitive neural networks with gaussian-wavelet-type activation functions and discrete delays. J. Appl. Math. Comput. 2020, 64, 103–118. [Google Scholar] [CrossRef]
- Wang, Z.C.; Chen, G.L.; Ning, Z.P.; Xia, J.W. Stability analysis of impulsive switched nonlinear systems with double state-dependent delays. J. IEEE Trans. Circuits Syst. II Express Briefs 2022, 69, 5014–5018. [Google Scholar] [CrossRef]
- Zhou, W.N.; Wang, T.B.; Mou, J.P. Mean square exponential synchronization in lagrange sense for uncertain complex dynamical networks. J. Frankl. Inst. 2012, 349, 1267–1282. [Google Scholar] [CrossRef]
- Zhang, Y.J.; Gu, D.W.; Xu, S.Y. Global exponential adaptive synchronization of complex dynamical networks with neutral-type neural network nodes and stochastic disturbances. IEEE Trans. Circuits Syst. I Regul. Pap. 2013, 60, 2709–2718. [Google Scholar] [CrossRef]
- Wang, Y.N.; Ma, Y.C.; Chen, A.H. Exponential synchronization of markovian jump complex dynamical networks with partially uncertain transition rates and stochastic disturbances. Neurocomputing 2018, 304, 30–46. [Google Scholar] [CrossRef]
- Sipahi, R.; Niculescu, S.I.; Abdallah, C.T.; Michiels, W.; Gu, K. Stability and stabilization of systems with time delay. IEEE Control Syst. Mag. 2011, 31, 38–65. [Google Scholar]
- Mao, X.R. Stabilization of continuous-time hybrid stochastic differential equations by discrete-time feedback control. Automatica 2013, 49, 3677–3681. [Google Scholar] [CrossRef]
- Samidurai, R.; Sriraman, R. Non-fragile sampled-data stabilization analysis for linear systems with probabilistic time-varying delays. J. Frankl. Inst. 2019, 356, 4335–4357. [Google Scholar] [CrossRef]
- Samidurai, R.; Sriraman, R.; Zhu, S. Stability and dissipativity analysis for uncertain markovian jump systems with random delays via new approach. Int. J. Syst. Sci. 2019, 50, 1609–1625. [Google Scholar] [CrossRef]
- Samidurai, R.; Sriraman, R.; Cao, J.; Tu, Z. Nonfragile stabilization for uncertain system with interval time-varying delays via a new double integral inequality. Math. Methods Appl. Sci. 2018, 41, 6272–6287. [Google Scholar] [CrossRef]
- Kaviarasan, B.; Kwon, O.M.; Park, M.J.; Sakthivel, R. Composite synchronization control for delayed coupling complex dynamical networks via a disturbance observer-based method. Nonlinear Dynam. 2020, 99, 1601–1619. [Google Scholar] [CrossRef]
- Zhu, J.W.; Yang, G.H. Robust H∞ dynamic output feedback synchronization for complex dynamical networks with disturbances. Neurocomputing 2016, 175, 287–292. [Google Scholar] [CrossRef]
- Qin, Z.; Wang, J.L.; Huang, Y.L.; Ren, S.Y. Analysis and adaptive control for robust synchronization and H∞ synchronization of complex dynamical networks with multiple time-delays. Neurocomputing 2018, 289, 241–251. [Google Scholar] [CrossRef]
- Shen, Y.; Wang, J. Robustness analysis of global exponential stability of recurrent neural networks in the presence of time delays and random disturbances. IEEE Trans. Neural Netw. Learn. Syst. 2011, 23, 87–96. [Google Scholar] [CrossRef]
- Si, W.X.; Xie, T.; Li, B.W. Robustness analysis of exponential stability of neutral-type nonlinear systems with multi-interference. IEEE Access 2021, 9, 116015–116032. [Google Scholar] [CrossRef]
- Lia, B.W.; Huang, J.J.; Wang, D.L. Robustness analysis of control laws in complex dynamical networks evoked by deviating argument. Discrete Dyn. Nat. Soc. 2022, 2022. [Google Scholar] [CrossRef]
- Zhang, Q.K.; Fang, W.X.; Xie, T. Robustness analysis of exponential synchronization in complex dynamic networks with random perturbations. AIMS Math. 2023, 8, 20487–20509. [Google Scholar] [CrossRef]
- Mao, X.R. Stochastic Differential Equations and Applications, 2nd ed.; Publishing House—Woodhead Publishing: Sawston, UK, 2008. [Google Scholar]
- Li, N.; Sun, H.Y.; Jing, X.; Zhang, Q.L. Exponential synchronisation of united complex dynamical networks with multi-links via adaptive periodically intermittent control. IET Control Theory Appl. 2013, 7, 1725–1736. [Google Scholar] [CrossRef]
Disclaimer/Publisher’s Note: The statements, opinions and data contained in all publications are solely those of the individual author(s) and contributor(s) and not of MDPI and/or the editor(s). MDPI and/or the editor(s) disclaim responsibility for any injury to people or property resulting from any ideas, methods, instructions or products referred to in the content. |
© 2023 by the authors. Licensee MDPI, Basel, Switzerland. This article is an open access article distributed under the terms and conditions of the Creative Commons Attribution (CC BY) license (https://creativecommons.org/licenses/by/4.0/).











