A Novel Three-Parameter Nadarajah Haghighi Model: Entropy Measures, Inference, and Applications
Abstract
1. Introduction
2. The HTNH Model and Its Distributional Properties
3. Statistical Properties of HTNH Model
3.1. Identifiability Property
3.2. Quantile Function
3.3. Useful Expansion
3.4. Moment and Related Measures
3.5. Residual and Reverse Residual Life
3.6. The Pdf and Cdf of the Order Statistics of the HTNH Model
4. Certain Entropy Measures
- When increases and and are fixed, the values of and tend to decrease, whereas the value of increases.
- When increases and and are fixed, we obtain the same results.
- Finally, if increases, the values of and increase, but the values of and decrease.
- The HTNH model has a great role in modeling different fields of datasets.
5. Statistical Inference
5.1. Maximum Likelihood Estimator
5.2. Approximate Confidence Interval
5.3. Bayesian Estimator
6. Simulation Experiments
- Generate from Uniforme(0,1).
- Generate t as
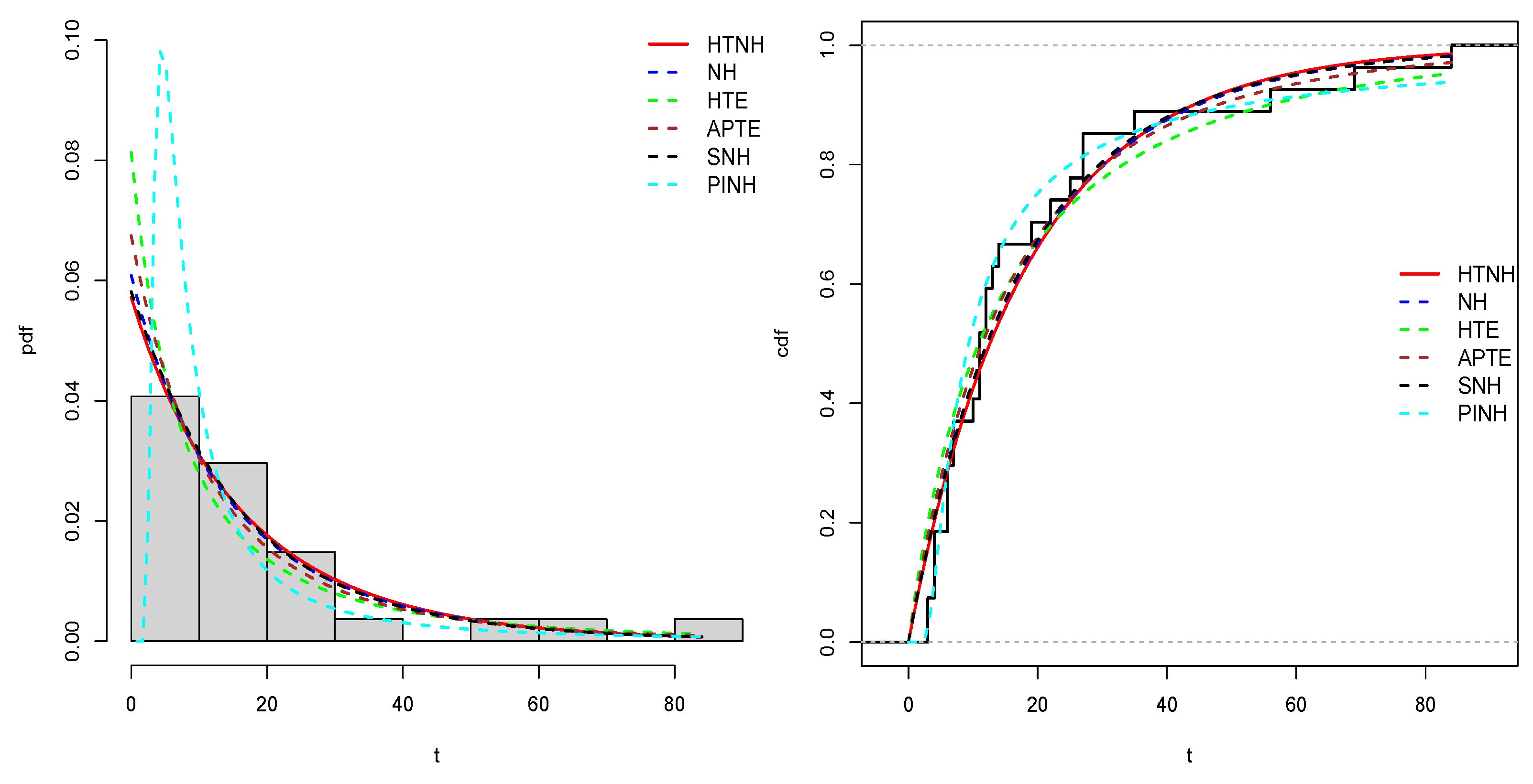
7. Dataset Analysis
7.1. First Dataset
7.2. Second Dataset
7.3. Third Dataset
8. Concluding Remarks
Author Contributions
Funding
Data Availability Statement
Acknowledgments
Conflicts of Interest
Appendix A
References
- Mahdavi, A.; Kundu, D. A new method for generating distributions with an application to exponential distribution. Commun. Stat.-Theory Methods 2017, 46, 6543–6557. [Google Scholar] [CrossRef]
- Alfaer, N.M.; Gemeay, A.M.; Aljohani, H.M.; Afify, A.Z. The extended log-logistic distribution: Inference and actuarial applications. Mathematics 2021, 9, 1386. [Google Scholar] [CrossRef]
- Marshall, A.W.; Olkin, I. A new method for adding a parameter to a family of distributions with application to the exponential and Weibull families. Biometrika 1997, 84, 641–652. [Google Scholar] [CrossRef]
- Afify, A.; Gemeay, A.; Ibrahim, N. The heavy-tailed exponential distribution: Risk measures, estimation, and application to actuarial data. Mathematics 2020, 8, 1276. [Google Scholar] [CrossRef]
- Meraou, M.A.; Raqab, M.Z. Statistical properties and different estimation procedures of Poisson Lindley distribution. J. Stat. Theory Appl. 2021, 20, 33–45. [Google Scholar] [CrossRef]
- Ahmad, A.; Alsadat, N.; Atchade, M.N.; ul Ain, S.Q.; Gemeay, A.M.; Meraou, M.A.; Almetwally, E.M.; Hossain, M.M.; Hussam, E. New hyperbolic sine-generator with an example of Rayleigh distribution: Simulation and data analysis in industry. Alex. Eng. J. 2023, 73, 415–426. [Google Scholar] [CrossRef]
- Meraou, M.A.; Al-Kandari, N.; Raqab, M.Z. Univariate and bivariate compound models based on random sum of variates with application to the insurance losses data. J. Stat. Theory Pract. 2022, 16, 1–30. [Google Scholar] [CrossRef]
- Gemeay, A.M.; Karakaya, K.; Bakr, M.E.; Balogun, O.S.; Atchadé, M.N.; Hussam, E. Power Lambert uniform distribution: Statistical properties, actuarial measures, regression analysis, and applications. AIP Adv. 2023, 13, 095319. [Google Scholar] [CrossRef]
- Amal, H.; Said, G.N. The inverse Weibull-G family. J. Data Sci. 2018, 16, 723–742. [Google Scholar] [CrossRef]
- Sapkota, L.P.; Kumar, V.; Gemeay, A.M.; Bakr, M.E.; Balogun, O.S.; Muse, A.H. New Lomax-G family of distributions: Statistical properties and applications. AIP Adv. 2023, 13, 095128. [Google Scholar] [CrossRef]
- Cordeiro, R.; Pulcini, G. A new family of generalized distributions. J. Stat. Comput. Simul. 2011, 81, 883–893. [Google Scholar] [CrossRef]
- Teamah, A.E.A.; Elbanna, A.A.; Gemeay, A.M. Heavy-tailed log-logistic distribution: Properties, risk measures, and applications. Stat. Optim. Inf. Comput. 2021, 9, 910–941. [Google Scholar] [CrossRef]
- Bourguignon, M.; Silva, R.B.; Cordeiro, G.M. The Weibull-G family of probability distributions. J. Data Sci. 2014, 12, 53–68. [Google Scholar] [CrossRef]
- Yıldırım, E.; Ilıkkan, E.S.; Gemeay, A.M.; Makumi, N.; Bakr, M.E.; Balogun, O.S. Power unit Burr-XII distribution: Statistical inference with applications. AIP Adv. 2023, 13, 105107. [Google Scholar] [CrossRef]
- Meraou, M.A.; Al-Kandari, N.; Raqab, M.Z.; Kundu, D. Analysis of skewed data by using compound Poisson exponential distribution with applications to insurance claims. J. Stat. Comput. Simul. 2021, 92, 928–956. [Google Scholar] [CrossRef]
- Almuqrin, M.A.; Gemeay, A.M.; El-Raouf, M.A.; Kilai, M.; Aldallal, R.; Hussam, E. A flexible extension of reduced kies distribution: Properties, inference, and applications in biology. Complexity 2022, 2022, 1–9. [Google Scholar] [CrossRef]
- Zagrafos, K.; Balakrishnan, N. On families of beta-and generalized gamma-generated distributions and associated inference. Stat. Methodol. 2009, 6, 344–362. [Google Scholar] [CrossRef]
- Kamal, M.; Atchadé, M.N.; Sokadjo, Y.M.; Hussam, E.; Gemeay, A.M.; Almulhim, F.A.; Alharthi, A.S.; Aljohani, H.M. Statistical study for Covid-19 spread during the armed crisis faced by Ukrainians. Alex. Eng. J. 2023, 78, 419–425. [Google Scholar] [CrossRef]
- Teamah, A.E.; Elbanna, A.A.; Gemeay, A.M. Right truncated fréchet-weibull distribution: Statistical properties and application. Delta J. Sci. 2019, 41, 20–29. [Google Scholar] [CrossRef]
- Eugene, N.; Lee, C.; Famoye, F. Beta-normal distribution and its applications. Commun. Stat.-Theory Methods 2002, 31, 497–512. [Google Scholar] [CrossRef]
- Alsadat, N.; Hassan, A.S.; Gemeay, A.M.; Chesneau, C.; Elgarhy, M. Different estimation methods for the generalized unit half-logistic geometric distribution: Using ranked set sampling. AIP Adv. 2023, 13, 085230. [Google Scholar] [CrossRef]
- Alzaatreh, A.; Lee, C.; Famoye, F. A new method for generating families of continuous distributions. Metron 2013, 71, 63–79. [Google Scholar] [CrossRef]
- Nagy, M.; Almetwally, E.M.; Gemeay, A.M.; Mohammed, H.S.; Jawa, T.M.; Sayed-Ahmed, N.; Muse, A.H. The new novel discrete distribution with application on covid-19 mortality numbers in Kingdom of Saudi Arabia and Latvia. Complexity 2021, 2021, 1–20. [Google Scholar] [CrossRef]
- Meraou, M.A.; Raqab, M.Z.; Kundu, D.; Alqallaf, F. Inference for compound truncated Poisson log-normal model with application to maximum precipitation data. Commun. Stat.-Simul. Comput. 2024, 1–22. [Google Scholar] [CrossRef]
- Ahmad, Z.; Mahmoudi, E.; Dey, S. A new family of heavy-tailed distributions with an application to the heavy-tailed insurance loss data. Commun. Stat. Simul. Comput. 2020, 51, 4372–4395. [Google Scholar] [CrossRef]
- Nadarajah, S.; Haghighi, F. An extention of the exponential distribution. J. Theor. Appl. Stat. 2011, 45, 543–558. [Google Scholar]
- Almetwally, E.A.; Meraou, M.A. Application of environmental data with new extension of nadarajah haghighi distribution. Comput. J. Math. Stat. Sci. 2022, 1, 26–41. [Google Scholar] [CrossRef]
- Korkmaz, M.C.; Yousof, H.M.; Hamedani, G.G. Topp-Leone Nadrajah-Haghighi distribution mathematical properties and applications. Stat. Actuar. Sci. 2017, 2, 119–128. [Google Scholar]
- Salama, M.M.; El-Sherpieny, E.S.A.; Abd-elaziz, A.E.A. The length-biased weighted exponentiated inverted exponential distribution: Properties and estimation. Comput. J. Math. Stat. Sci. 2023, 2, 181–196. [Google Scholar] [CrossRef]
- Almongy, H.M.; Almetwally, E.M.; Haj Ahmad, H.; Al-nefaie, A.H. Modeling of COVID-19 vaccination rate using odd Lomax inverted Nadarajah-Haghighi distribution. PLoS ONE 2022, 17, 0276181. [Google Scholar] [CrossRef]
- Tahir, M.H.; Gauss, M.; Cordeiro, S.A.; Sanku, D.; Aroosa, M. The inverted Nadrajah-Haghighi distribution estimation methodes and applications. J. Stat. Comput. Simul. 2018, 88, 2775–2798. [Google Scholar] [CrossRef]
- Lone, S.A.; Anwar, S.; Sindhu, T.N.; Jarad, F. Some estimation methods for the mixture of extreme value distributions with simulation and application in medicine. Results Phys. 2022, 37, 105496. [Google Scholar] [CrossRef]
- Shafq, S.; Helal, T.S.; Elshaarawy, R.S.; Nasiru, S. Study on an Extension to Lindley Distribution: Statistical Properties, Estimation and Simulation. Comput. J. Math. Stat. Sci. 2022, 1, 1–12. [Google Scholar] [CrossRef]
- Shafiq, A.; Lone, S.A.; Sindhu, T.N.; El Khatib, Y.; Al-Mdallal, Q.M.; Muhammad, T. A New Modified Kies Fréchet Distribution: Applications of Mortality Rate of COVID-19. Results Phys. 2022, 28, 104638. [Google Scholar] [CrossRef] [PubMed]
- Xu, A.; Wang, B.; Zhu, D.; Pang, J.; Lian, X. Bayesian reliability assessment of permanent magnet brake under small sample size. IEEE Trans. Reliab. 2024; Early Access. [Google Scholar] [CrossRef]
- Almetwally, E.M.; Alotaibi, R.; Mutairi, A.A.; Park, C.; Rezk, H. Optimal plan of multi-stress–strength reliability Bayesian and non-Bayesian methods for the alpha power exponential model using progressive first failure. Symmetry 2022, 14, 1306. [Google Scholar] [CrossRef]
- Al-Babtain, A.A.; Elbatal, I.; Almetwally, E.M. Bayesian and non-Bayesian reliability estimation of stress-strength model for power-modified Lindley distribution. Comput. Intell. Neurosci. 2022, 2022, 1154705. [Google Scholar] [CrossRef] [PubMed]
- Zhou, S.; Xu, A.; Tang, Y.; Shenn, L. Fast Bayesian inference of reparameterized gamma process with random effects. IEEE Trans. Reliab. 2024, 73, 399–412. [Google Scholar] [CrossRef]
- Simsek, B. Formulas derived from moment generating functions and Bernstein polynomials. Appl. Anal. Discret. Math. 2019, 13, 839–848. [Google Scholar] [CrossRef]
- Rényi, A. On Measures of Entropy and Information. In Proceedings of the Fourth Berkeley Symposium on Mathematical Statistics and Probability, Volume 1: Contributions to the Theory of Statistics; University of California Press: Berkeley, CA, USA, 1961; pp. 547–561. [Google Scholar]
- Havrda, J.; Charvat, F.S. Quantification method of classification processes: Concept of structural-entropy. Kybernetika 1967, 3, 30–35. [Google Scholar]
- Tsallis, C. Possible generalization of Boltzmann-Gibbs statistics. J. Stat. Phys. 1988, 52, 479–487. [Google Scholar] [CrossRef]
- Ibrahim, R. Water Engineering Modeling Controlled by Generalized Tsallis Entropy. Montes Taurus J. Pure Appl. Math. 2021, 3, 227–237. [Google Scholar]
- Arimoto, S. Information-theoretical considerations on estimation problems. Inf. Control. 1971, 19, 181–194. [Google Scholar] [CrossRef]
- Mathai, A.M.; Haubold, H.G. On generalized distributions and pathways. Phys. Lett. 2008, 372, 2109–2113. [Google Scholar] [CrossRef]
- Louis, T.A. Finding the observed information matrix when uisng the EM algorithm. J. R. Stat. Soc. Ser. B 1982, 44, 226–233. [Google Scholar] [CrossRef]
- Cordeiro, G.M.; Afify, A.Z.; Yousof, H.M.; Pescim, R.R.; Aryal, G.R. The exponentiated Weibull-H family of distributions: Theory and applications. Mediterr. J. Math. 2017, 14, 1–22. [Google Scholar] [CrossRef]
- Abouelmagd, M.; Al-mualim, S.; Afify, A.; Munir, A.; Al-Mofleh, H. The odd Lindley Burr XII distribution with applications. Pak. J. Stat. 2018, 34, 15–32. [Google Scholar]
- Andrews, D.F.; Herzberg, A.M. Stress-rupture life of kevlar 49/epoxy spherical pressure vessels. In Data; Springer: New York, NY, USA, 1985; pp. 181–186. [Google Scholar]
- Chinedu, E.Q.; Chukwudum, Q.C.; Alsadat, N.; Obulezi, O.J.; Almetwally, E.M.; Tolba, A.H. New Lifetime Distribution with Applications to Single Acceptance Sampling Plan and Scenarios of Increasing Hazard Rates. Symmetry 2023, 15, 1881. [Google Scholar] [CrossRef]











| ID | ||||||
|---|---|---|---|---|---|---|
| 0.2 | 1.3647 | 1.8501 | 1.3557 | 1.7282 | 3.6433 | |
| 0.4 | 0.6823 | 0.4625 | 0.6778 | 1.7282 | 3.6433 | |
| 0.6 | 0.4549 | 0.2056 | 0.4519 | 1.7282 | 3.6433 | |
| 0.8 | 0.3412 | 0.1156 | 0.3389 | 1.7282 | 3.6433 | |
| 0.2 | 1.5724 | 2.1078 | 1.3405 | 1.5172 | 2.7109 | |
| 0.4 | 0.7862 | 0.5270 | 0.6703 | 1.5172 | 2.7109 | |
| 0.6 | 0.5241 | 0.2342 | 0.4468 | 1.5172 | 2.7109 | |
| 0.8 | 0.3931 | 0.1317 | 0.3351 | 1.5172 | 2.7109 | |
| 0.2 | 1.6627 | 2.2149 | 1.3321 | 1.4361 | 2.3869 | |
| 0.4 | 0.8314 | 0.5537 | 0.6661 | 1.4361 | 2.3869 | |
| 0.6 | 0.5542 | 0.2461 | 0.4440 | 1.4361 | 2.3869 | |
| 0.8 | 0.4157 | 0.1384 | 0.3330 | 1.4361 | 2.3869 |
| ID | ||||||
|---|---|---|---|---|---|---|
| 0.2 | 0.6127 | 0.3156 | 0.5151 | 1.4198 | 2.1529 | |
| 0.4 | 0.3063 | 0.0789 | 0.2576 | 1.4198 | 2.1529 | |
| 0.6 | 0.2042 | 0.0351 | 0.1717 | 1.4198 | 2.1529 | |
| 0.8 | 0.1532 | 0.0197 | 0.1288 | 1.4198 | 2.1529 | |
| 0.2 | 0.7014 | 0.3564 | 0.5082 | 1.2194 | 1.3991 | |
| 0.4 | 0.3507 | 0.0891 | 0.2541 | 1.2194 | 1.3991 | |
| 0.6 | 0.2338 | 0.0396 | 0.1694 | 1.2194 | 1.3991 | |
| 0.8 | 0.1753 | 0.0223 | 0.1271 | 1.2194 | 1.3991 | |
| 0.2 | 0.7395 | 0.3718 | 0.5028 | 1.1427 | 1.1605 | |
| 0.4 | 0.3697 | 0.0929 | 0.2514 | 1.1427 | 1.1605 | |
| 0.6 | 0.2465 | 0.0413 | 0.1676 | 1.1427 | 1.1605 | |
| 0.8 | 0.1849 | 0.0232 | 0.1257 | 1.1427 | 1.1605 |
| 0.2 | 3.0866 | 2.2944 | 8.8843 | 7.3600 | 20.9023 | −18.2487 | |
| 0.4 | 2.7092 | 1.7463 | 6.9416 | 5.7506 | 14.0179 | −13.2577 | |
| 0.6 | 1.9997 | 1.1071 | 4.1473 | 3.4358 | 6.3869 | −6.9614 | |
| 0.8 | 1.3829 | 0.6686 | 2.4060 | 1.9932 | 2.9864 | −3.6424 | |
| 0.2 | 2.9204 | 1.9489 | 7.9834 | 6.6136 | 17.5486 | −15.8757 | |
| 0.4 | 2.2667 | 1.1079 | 5.0845 | 4.2121 | 8.6477 | −8.9483 | |
| 0.6 | 1.3250 | 0.4178 | 2.2685 | 1.8793 | 2.7622 | −3.4027 | |
| 0.8 | 0.6882 | −0.0192 | 0.9916 | 0.8215 | 0.9902 | −1.3512 | |
| 0.2 | 2.8067 | 1.7044 | 7.4088 | 6.1376 | 15.5552 | −14.4146 | |
| 0.4 | 1.9620 | 0.7159 | 4.0248 | 3.3342 | 6.1135 | −6.7115 | |
| 0.6 | 0.9200 | 0.0168 | 1.4100 | 1.1681 | 1.5092 | −1.9874 | |
| 0.8 | 0.2812 | −0.4180 | 0.3645 | 0.3019 | 0.3247 | −0.4696 |
| 0.2 | 4.0285 | 2.5078 | 3.9894 | 2.5389 | 2.7661 | −2.1206 | |
| 0.4 | 2.1733 | 2.3272 | 2.6347 | 1.6768 | 1.7626 | −1.3387 | |
| 0.6 | 1.4374 | 1.6300 | 1.8973 | 1.2075 | 1.2493 | −0.9450 | |
| 0.8 | 0.9841 | 1.1330 | 1.3707 | 0.8724 | 0.8933 | −0.6740 | |
| 0.2 | 3.1994 | 2.3623 | 3.4607 | 2.2024 | 2.3632 | −1.8045 | |
| 0.4 | 1.4736 | 1.7315 | 1.9368 | 1.2326 | 1.2763 | −0.9656 | |
| 0.6 | 0.7493 | 0.9386 | 1.0736 | 0.6833 | 0.6958 | −0.5243 | |
| 0.8 | 0.2973 | 0.4418 | 0.4503 | 0.2865 | 0.2887 | −0.2169 | |
| 0.2 | 2.7427 | 2.2202 | 3.1191 | 1.9850 | 2.1111 | −1.6082 | |
| 0.4 | 1.0705 | 1.3473 | 1.4758 | 0.9392 | 0.9637 | −0.7274 | |
| 0.6 | 0.3488 | 0.5347 | 0.5249 | 0.3340 | 0.3369 | −0.2532 | |
| 0.8 | −0.1017 | 0.0388 | −0.1619 | −0.1030 | −0.1028 | 0.0770 |
| Sample Size | Est | MLE | Bayes | ||||
|---|---|---|---|---|---|---|---|
| 50 | AE | 1.2108 | 0.3004 | 0.3952 | 1.1593 | 0.2796 | 0.3742 |
| AB | 0.1108 | 0.0504 | 0.1452 | 0.0593 | 0.0296 | 0.1242 | |
| MSE | 0.0521 | 0.0124 | 0.1252 | 0.0051 | 0.0023 | 0.021 | |
| LCL | 1.0262 | 0.1578 | 0.0473 | 1.0957 | 0.2127 | 0.2435 | |
| UCL | 1.7337 | 0.5511 | 1.2033 | 1.2422 | 0.3543 | 0.5489 | |
| AL | 0.7075 | 0.3934 | 1.1561 | 0.1465 | 0.1417 | 0.3054 | |
| CP | 0.910 | 0.920 | 0.900 | 0.930 | 0.950 | 0.940 | |
| 100 | AE | 1.1948 | 0.2856 | 0.3458 | 1.1118 | 0.2515 | 0.2717 |
| AB | 0.0948 | 0.0356 | 0.0958 | 0.0118 | 0.0015 | 0.0217 | |
| MSE | 0.0416 | 0.0061 | 0.1151 | 0.0043 | 0.0018 | 0.0186 | |
| LCL | 1.0243 | 0.1862 | 0.0684 | 1.0627 | 0.1733 | 0.165 | |
| UCL | 1.7261 | 0.4605 | 1.0686 | 1.1886 | 0.3131 | 0.4416 | |
| AL | 0.7018 | 0.2744 | 1.0002 | 0.1258 | 0.1398 | 0.2767 | |
| CP | 0.890 | 0.910 | 0.910 | 0.930 | 0.940 | 0.960 | |
| 300 | AE | 1.1693 | 0.2578 | 0.3750 | 1.1065 | 0.2231 | 0.3342 |
| AB | 0.0693 | 0.0078 | 0.1250 | 0.0065 | 0.0269 | 0.0842 | |
| MSE | 0.0406 | 0.0015 | 0.0961 | 0.0010 | 0.0013 | 0.0172 | |
| LCL | 1.0160 | 0.1850 | 0.0348 | 1.0559 | 0.1748 | 0.1881 | |
| UCL | 1.49699 | 0.34430 | 0.8798 | 1.1753 | 0.2638 | 0.516 | |
| AL | 0.48096 | 0.1592 | 0.8450 | 0.1194 | 0.0890 | 0.3279 | |
| CP | 0.900 | 0.920 | 0.910 | 0.940 | 0.940 | 0.950 | |
| 500 | AE | 1.1185 | 0.2540 | 0.2754 | 1.1158 | 0.2514 | 0.3035 |
| AB | 0.0185 | 0.0040 | 0.0254 | 0.0158 | 0.0014 | 0.0535 | |
| MSE | 0.0091 | 0.0009 | 0.0303 | 0.0007 | 0.0006 | 0.0091 | |
| LCL | 1.0329 | 0.2034 | 0.0749 | 1.0499 | 0.1910 | 0.1479 | |
| UCL | 1.3272 | 0.3122 | 0.7323 | 1.2018 | 0.2954 | 0.4582 | |
| AL | 0.2942 | 0.1087 | 0.6573 | 0.1519 | 0.1045 | 0.3103 | |
| CP | 0.890 | 0.910 | 0.930 | 0.950 | 0.960 | 0.970 | |
| 700 | AE | 1.1066 | 0.2490 | 0.2671 | 1.1283 | 0.2542 | 0.2806 |
| AB | 0.0066 | 0.0009 | 0.0171 | 0.0283 | 0.0042 | 0.0306 | |
| MSE | 0.0032 | 0.0004 | 0.0193 | 0.0005 | 0.0004 | 0.0054 | |
| LCL | 1.0255 | 0.2096 | 0.0609 | 1.0735 | 0.2218 | 0.1653 | |
| UCL | 1.2568 | 0.2918 | 0.5987 | 1.1819 | 0.2884 | 0.3979 | |
| AL | 0.2312 | 0.0821 | 0.5378 | 0.1084 | 0.0665 | 0.2326 | |
| CP | 0.880 | 0.930 | 0.940 | 0.940 | 0.970 | 0.980 | |
| 1000 | AE | 1.1140 | 0.2521 | 0.2768 | 1.1075 | 0.2531 | 0.2735 |
| AB | 0.0140 | 0.0021 | 0.0268 | 0.0075 | 0.0031 | 0.0235 | |
| MSE | 0.0028 | 0.0004 | 0.0118 | 0.0003 | 0.0003 | 0.0017 | |
| LCL | 1.0385 | 0.2189 | 0.0778 | 1.0779 | 0.2158 | 0.1860 | |
| UCL | 1.2872 | 0.2932 | 0.5797 | 1.1388 | 0.2848 | 0.3350 | |
| AL | 0.2486 | 0.0743 | 0.5018 | 0.0609 | 0.069 | 0.1490 | |
| CP | 0.920 | 0.930 | 0.940 | 0.950 | 0.970 | 0.960 | |
| Sample Size | Est | MLE | Bayes | ||||
|---|---|---|---|---|---|---|---|
| 50 | AE | 1.3437 | 0.2841 | 0.7081 | 1.2037 | 0.4207 | 0.2655 |
| AB | 0.1437 | 0.0341 | 0.2081 | 0.0037 | 0.1707 | 0.2345 | |
| MSE | 0.5898 | 0.0099 | 0.4798 | 0.0616 | 0.0077 | 0.0595 | |
| LCL | 1.0625 | 0.1726 | 0.1133 | 1.0662 | 0.162 | 0.1581 | |
| UCL | 1.9331 | 0.5086 | 1.6707 | 1.3516 | 0.6447 | 0.4353 | |
| AL | 0.8706 | 0.3361 | 1.5574 | 0.2854 | 0.4827 | 0.2772 | |
| CP | 0.920 | 0.940 | 0.910 | 0.940 | 0.970 | 0.950 | |
| 100 | AE | 1.2691 | 0.2774 | 0.7040 | 1.2625 | 0.2556 | 0.5545 |
| AB | 0.0691 | 0.0274 | 0.040 | 0.0625 | 0.0056 | 0.0545 | |
| MSE | 0.5391 | 0.0041 | 0.3804 | 0.0302 | 0.0025 | 0.0267 | |
| LCL | 1.0454 | 0.2008 | 0.0763 | 1.117 | 0.1798 | 0.440 | |
| UCL | 1.7513 | 0.4325 | 1.1512 | 1.4142 | 0.3189 | 0.6921 | |
| AL | 0.7059 | 0.2317 | 1.0749 | 0.2972 | 0.1391 | 0.2521 | |
| CP | 0.910 | 0.930 | 0.930 | 0.940 | 0.960 | 0.950 | |
| 300 | AE | 1.3907 | 0.2564 | 0.7021 | 1.1749 | 0.2332 | 0.5358 |
| AB | 0.1907 | 0.0064 | 0.2021 | 0.0251 | 0.0168 | 0.0358 | |
| MSE | 0.4052 | 0.0008 | 0.3405 | 0.0103 | 0.0007 | 0.0181 | |
| LCL | 1.0382 | 0.2130 | 0.0958 | 1.1036 | 0.1891 | 0.4188 | |
| UCL | 2.7006 | 0.3201 | 2.4076 | 1.2851 | 0.2764 | 0.6931 | |
| AL | 1.6623 | 0.1071 | 2.3118 | 0.1815 | 0.0874 | 0.2743 | |
| CP | 0.900 | 0.920 | 0.910 | 0.930 | 0.930 | 0.960 | |
| 500 | AE | 1.2729 | 0.2526 | 0.5977 | 1.3059 | 0.2791 | 0.6357 |
| AB | 0.0729 | 0.0026 | 0.0977 | 0.1059 | 0.0291 | 0.1357 | |
| MSE | 0.0502 | 0.0004 | 0.1159 | 0.0095 | 0.0003 | 0.0142 | |
| LCL | 1.0664 | 0.2183 | 0.1743 | 1.2075 | 0.2469 | 0.4615 | |
| UCL | 1.9156 | 0.2925 | 1.4563 | 1.3919 | 0.3189 | 0.7960 | |
| AL | 0.8491 | 0.0742 | 1.2819 | 0.1844 | 0.0720 | 0.3344 | |
| CP | 0.900 | 0.920 | 0.910 | 0.930 | 0.960 | 0.940 | |
| 700 | AE | 1.2412 | 0.2500 | 0.5632 | 1.2369 | 0.2222 | 0.6702 |
| AB | 0.0412 | 0.0009 | 0.0632 | 0.0369 | 0.0278 | 0.1702 | |
| MSE | 0.0357 | 0.0003 | 0.0990 | 0.0046 | 0.0001 | 0.0108 | |
| LCL | 1.0809 | 0.2173 | 0.2124 | 1.1473 | 0.1909 | 0.5010 | |
| UCL | 1.7205 | 0.2906 | 1.2128 | 1.3698 | 0.2523 | 0.8258 | |
| AL | 0.6396 | 0.0732 | 1.0003 | 0.2224 | 0.0614 | 0.3248 | |
| CP | 0.900 | 0.920 | 0.910 | 0.970 | 0.960 | 0.960 | |
| 1000 | AE | 1.2234 | 0.2485 | 0.5482 | 1.2240 | 0.2624 | 0.5371 |
| AB | 0.0234 | 0.0014 | 0.0482 | 0.0240 | 0.0124 | 0.0371 | |
| MSE | 0.0112 | 0.0001 | 0.0499 | 0.0013 | 0.0001 | 0.0032 | |
| LCL | 1.0876 | 0.2229 | 0.2304 | 1.1784 | 0.2320 | 0.4470 | |
| UCL | 1.5196 | 0.2730 | 1.1347 | 1.2800 | 0.2896 | 0.6051 | |
| AL | 0.4319 | 0.0501 | 0.9043 | 0.1016 | 0.0576 | 0.1581 | |
| CP | 0.900 | 0.920 | 0.910 | 0.940 | 0.940 | 0.950 | |
| Sample Size | Est | MLE | Bayes | ||||
|---|---|---|---|---|---|---|---|
| 50 | AE | 1.4880 | 0.2125 | 0.775 | 1.5154 | 0.2253 | 0.9296 |
| AB | 0.0880 | 0.0125 | 0.025 | 0.1154 | 0.02530 | 0.1796 | |
| MSE | 0.3809 | 0.0095 | 0.5163 | 0.0286 | 0.0056 | 0.0371 | |
| LCL | 1.1304 | 0.1532 | 0.2645 | 1.3268 | 0.1665 | 0.784 | |
| UCL | 2.0784 | 0.3213 | 1.5687 | 1.7344 | 0.2855 | 1.0712 | |
| AL | 0.9480 | 0.1681 | 1.3043 | 0.4077 | 0.1190 | 0.2873 | |
| CP | 0.910 | 0.920 | 0.930 | 0.950 | 0.960 | 0.960 | |
| 100 | AE | 1.4842 | 0.2130 | 0.7752 | 1.5596 | 0.2339 | 0.7161 |
| AB | 0.0842 | 0.0130 | 0.0252 | 0.1596 | 0.0339 | 0.0339 | |
| MSE | 0.3514 | 0.0049 | 0.3793 | 0.0203 | 0.0028 | 0.0280 | |
| LCL | 1.1608 | 0.1641 | 0.3646 | 1.2943 | 0.1695 | 0.5373 | |
| UCL | 1.9842 | 0.2732 | 1.4478 | 1.7143 | 0.2830 | 0.9329 | |
| AL | 0.8233 | 0.1090 | 1.0831 | 0.4200 | 0.1135 | 0.3956 | |
| CP | 0.920 | 0.940 | 0.940 | 0.930 | 0.970 | 0.960 | |
| 300 | AE | 1.5444 | 0.1998 | 0.8704 | 1.3873 | 0.1919 | 0.7261 |
| AB | 0.1444 | 0.0001 | 0.1204 | 0.0127 | 0.0081 | 0.0239 | |
| MSE | 0.2738 | 0.0004 | 0.2116 | 0.0125 | 0.0003 | 0.0144 | |
| LCL | 1.1726 | 0.1767 | 0.3458 | 1.3062 | 0.1680 | 0.6180 | |
| UCL | 2.9200 | 0.2257 | 2.0828 | 1.4805 | 0.2136 | 0.8437 | |
| AL | 1.7474 | 0.0490 | 1.7360 | 0.1743 | 0.0456 | 0.2256 | |
| CP | 0.920 | 0.940 | 0.910 | 0.930 | 0.980 | 0.970 | |
| 500 | AE | 1.48077 | 0.2042 | 0.7789 | 1.5342 | 0.2198 | 0.7974 |
| AB | 0.0807 | 0.0042 | 0.0289 | 0.1342 | 0.0198 | 0.0474 | |
| MSE | 0.1231 | 0.0003 | 0.1334 | 0.0093 | 0.0002 | 0.0072 | |
| LCL | 1.1843 | 0.18292 | 0.3564 | 1.3698 | 0.1953 | 0.6716 | |
| UCL | 2.1959 | 0.2296 | 1.5652 | 1.6506 | 0.2416 | 0.9238 | |
| AL | 1.0115 | 0.0466 | 1.2088 | 0.2807 | 0.0464 | 0.2522 | |
| CP | 0.920 | 0.940 | 0.910 | 0.950 | 0.980 | 0.970 | |
| 700 | AE | 1.4606 | 0.2006 | 0.8202 | 1.4325 | 0.2054 | 0.7754 |
| AB | 0.0606 | 0.0006 | 0.0702 | 0.0325 | 0.0054 | 0.0254 | |
| MSE | 0.0493 | 0.0002 | 0.0981 | 0.0062 | 0.0001 | 0.0052 | |
| LCL | 1.2300 | 0.1848 | 0.4369 | 1.3343 | 0.1850 | 0.6169 | |
| UCL | 1.9319 | 0.2190 | 1.4832 | 1.5825 | 0.2256 | 0.8627 | |
| AL | 0.7019 | 0.0342 | 1.0462 | 0.2482 | 0.0406 | 0.2458 | |
| CP | 0.920 | 0.940 | 0.910 | 0.950 | 0.970 | 0.940 | |
| 1000 | AE | 1.4503 | 0.2002 | 0.8179 | 1.4044 | 0.1915 | 0.7759 |
| AB | 0.0503 | 0.0002 | 0.0679 | 0.0044 | 0.0085 | 0.0259 | |
| MSE | 0.0332 | 0.0001 | 0.0744 | 0.0025 | 0.00010 | 0.0039 | |
| LCL | 1.2239 | 0.1861 | 0.4696 | 1.3094 | 0.1773 | 0.6413 | |
| UCL | 1.8541 | 0.2163 | 1.4488 | 1.4957 | 0.2087 | 0.8632 | |
| AL | 0.6308 | 0.0302 | 0.9792 | 0.1863 | 0.0313 | 0.2219 | |
| CP | 0.920 | 0.940 | 0.910 | 0.960 | 0.990 | 0.980 | |
| Sample Size | Est | MLE | Bayes | ||||
|---|---|---|---|---|---|---|---|
| 50 | AE | 1.7054 | 0.2183 | 0.9560 | 1.6405 | 0.2824 | 1.0205 |
| AB | 0.1054 | 0.0183 | 0.0440 | 0.0405 | 0.0824 | 0.0205 | |
| MSE | 0.4378 | 0.0060 | 0.3933 | 0.0278 | 0.0054 | 0.0675 | |
| LCL | 1.2153 | 0.1610 | 0.3118 | 1.5025 | 0.1935 | 0.8568 | |
| UCL | 2.5493 | 0.3208 | 1.6284 | 1.7705 | 0.3420 | 1.1817 | |
| AL | 1.334 | 0.1598 | 1.3165 | 0.2680 | 0.1485 | 0.3249 | |
| CP | 0.920 | 0.900 | 0.940 | 0.940 | 0.950 | 0.970 | |
| 100 | AE | 1.7101 | 0.2052 | 1.0517 | 1.5710 | 0.1964 | 1.1436 |
| AB | 0.1101 | 0.0052 | 0.0517 | 0.029 | 0.0036 | 0.1436 | |
| MSE | 0.3396 | 0.0024 | 0.2533 | 0.0155 | 0.0016 | 0.0487 | |
| LCL | 1.2703 | 0.1726 | 0.3749 | 1.4145 | 0.1628 | 0.9874 | |
| UCL | 2.6902 | 0.2629 | 2.0399 | 1.6841 | 0.2399 | 1.2956 | |
| AL | 1.4199 | 0.0903 | 1.6650 | 0.2696 | 0.0770 | 0.3081 | |
| CP | 0.930 | 0.940 | 0.940 | 0.960 | 0.980 | 0.950 | |
| 300 | AE | 1.7282 | 0.2018 | 1.1295 | 1.5933 | 0.1972 | 1.0884 |
| AB | 0.1282 | 0.0018 | 0.1295 | 0.0067 | 0.0028 | 0.0884 | |
| MSE | 0.2834 | 0.0006 | 0.2045 | 0.0121 | 0.0004 | 0.0387 | |
| LCL | 1.2100 | 0.1708 | 0.3726 | 1.5066 | 0.1746 | 0.8992 | |
| UCL | 3.2956 | 0.2301 | 2.0673 | 1.6697 | 0.2186 | 1.3083 | |
| AL | 2.0856 | 0.0593 | 1.6947 | 0.1631 | 0.0440 | 0.4091 | |
| CP | 0.910 | 0.920 | 0.930 | 0.970 | 0.940 | 0.980 | |
| 500 | AE | 1.7273 | 0.2003 | 1.1062 | 1.5599 | 0.1974 | 1.0926 |
| AB | 0.1273 | 0.0003 | 0.1062 | 0.0401 | 0.0026 | 0.0926 | |
| MSE | 0.2051 | 0.0004 | 0.1678 | 0.0058 | 0.0003 | 0.0148 | |
| LCL | 1.2528 | 0.1829 | 0.5263 | 1.4357 | 0.1810 | 0.9687 | |
| UCL | 2.7325 | 0.2278 | 2.0077 | 1.6800 | 0.2146 | 1.2306 | |
| AL | 1.4797 | 0.0449 | 1.4814 | 0.2443 | 0.0336 | 0.2618 | |
| CP | 0.910 | 0.920 | 0.930 | 0.940 | 0.970 | 0.970 | |
| 700 | AE | 1.6982 | 0.1999 | 1.0477 | 1.5975 | 0.2037 | 1.0204 |
| AB | 0.0982 | 0.0001 | 0.0477 | 0.0025 | 0.0037 | 0.0204 | |
| MSE | 0.2316 | 0.0002 | 0.1696 | 0.0030 | 0.0001 | 0.0053 | |
| LCL | 1.2841 | 0.1843 | 0.4820 | 1.4545 | 0.1855 | 0.8983 | |
| UCL | 2.7068 | 0.2185 | 1.9236 | 1.6905 | 0.2248 | 1.1382 | |
| AL | 1.4227 | 0.0342 | 1.4615 | 0.2360 | 0.0392 | 0.2400 | |
| CP | 0.910 | 0.920 | 0.930 | 0.960 | 0.940 | 0.970 | |
| 1000 | AE | 1.6350 | 0.1991 | 1.0195 | 1.6367 | 0.2027 | 1.0055 |
| AB | 0.0350 | 0.0008 | 0.0195 | 0.0367 | 0.0027 | 0.0055 | |
| MSE | 0.0829 | 0.0001 | 0.0921 | 0.0017 | 0.0001 | 0.0041 | |
| LCL | 1.3273 | 0.18282 | 0.6125 | 1.5366 | 0.1884 | 0.8893 | |
| UCL | 2.4934 | 0.2126 | 1.7508 | 1.8106 | 0.2184 | 1.2219 | |
| AL | 1.1661 | 0.0297 | 1.1383 | 0.2740 | 0.0300 | 0.3326 | |
| CP | 0.910 | 0.920 | 0.930 | 0.960 | 0.970 | 0.980 | |
| 17.36 | 17.14 | 17.12 | 16.62 | 15.96 | 14.83 | 14.77 | 14.76 | 14.24 | 13.80 | 13.29 | 13.11 | 12.63 |
| 12.07 | 12.03 | 12.02 | 11.98 | 11.79 | 11.64 | 11.25 | 10.75 | 10.66 | 10.34 | 10.06 | 9.74 | 9.47 |
| 9.22 | 9.02 | 8.66 | 8.65 | 8.53 | 8.37 | 8.26 | 7.93 | 7.87 | 7.66 | 7.63 | 7.62 | 7.59 |
| 7.39 | 7.32 | 7.28 | 7.26 | 7.09 | 6.97 | 6.94 | 6.93 | 6.76 | 6.54 | 6.25 | 5.85 | 5.71 |
| 5.62 | 5.49 | 5.41 | 5.41 | 5.34 | 5.32 | 5.32 | 5.17 | 5.09 | 5.06 | 4.98 | 4.87 | 4.51 |
| 4.50 | 3.02 | 4.40 | 4.34 | 4.33 | 4.26 | 4.23 | 4.18 | 3.88 | 3.82 | 3.70 | 3.64 | 3.57 |
| 3.52 | 3.48 | 3.36 | 3.36 | 3.31 | 3.25 | 2.87 | 2.83 | 2.75 | 2.69 | 2.69 | 2.64 | 2.62 |
| 2.54 | 2.46 | 2.26 | 2.23 | 2.09 | 2.07 | 2.02 | 2.02 | 1.76 | 1.46 | 1.40 | 1.35 | 1.26 |
| 1.19 | 1.05 | 0.90 | 0.81 | 0.51 | 0.50 | 0.40 | 0.20 | 0.08 |
| 0.0251 | 0.0886 | 0.0891 | 0.2501 | 0.3113 | 0.3451 | 0.4763 | 0.5650 | 0.5671 | 0.6566 | 0.6748 | 0.6751 |
| 0.6753 | 0.7696 | 0.8375 | 0.8391 | 0.8425 | 0.8645 | 0.8851 | 0.9113 | 0.9120 | 0.9836 | 1.0483 | 1.0596 |
| 1.0773 | 1.1733 | 1.2570 | 1.2766 | 1.2985 | 1.3211 | 1.3503 | 1.3551 | 1.4595 | 1.4880 | 1.5728 | 1.5733 |
| 1.7083 | 1.7263 | 1.7460 | 1.7630 | 1.7746 | 1.8475 | 1.8375 | 1.8503 | 1.8808 | 1.8878 | 1.8881 | 1.9316 |
| 1.9558 | 2.0048 | 2.0408 | 2.0903 | 2.1093 | 2.1330 | 2.2100 | 2.2460 | 2.2878 | 2.3203 | 2.3470 | 2.3513 |
| 2.4951 | 2.5260 | 2.9911 | 3.0256 | 3.2678 | 3.4045 | 3.4846 | 3.7433 | 3.7455 | 3.9143 | 4.8073 | 5.4005 |
| 5.4435 | 5.5295 |
| 56 | 10 | 22 | 3 | 69 | 6 | 7 | 11 | 4 |
| 4 | 19 | 13 | 7 | 27 | 12 | 3 | 4 | 11 |
| 84 | 27 | 25 | 6 | 35 | 14 | 11 | 12 | 6 |
| Dataset | Median | Mean | ID | ||||
|---|---|---|---|---|---|---|---|
| 1 | 2.870 | 5.340 | 6.408 | 8.660 | 3.012 | 0.738 | −0.312 |
| 2 | 0.891 | 1.717 | 1.801 | 2.237 | 0.851 | 1.196 | 1.3517 |
| 3 | 6.000 | 11.000 | 18.810 | 23.500 | 22.355 | 1.846 | 2.610 |
| Dataset | Distribution | p-Value | |||||||
|---|---|---|---|---|---|---|---|---|---|
| I | HTNH | 32.327 | 17.255 | 0.0056 | 0.0743 | 0.5596 | −312.774 | 631.549 | 639.732 |
| PINH | 0.2289 | 218.607 | 2.1747 | 0.1273 | 0.0512 | −328.966 | 663.932 | 672.114 | |
| NH | 2.7633 | 0.0418 | 0.0983 | 0.2239 | −318.406 | 640.825 | 646.280 | ||
| HTE | 53.497 | 0.1540 | 0.1472 | 0.0149 | −323.134 | 650.268 | 650.377 | ||
| SNH | 1.1934 | 0.0702 | 0.1212 | 0.0723 | −318.628 | 641.272 | 646.727 | ||
| APTE | 0.1955 | 2.4602 | 0.1100 | 0.1297 | −319.784 | 642.918 | 648.372 | ||
| II | HTNH | 37.658 | 9.2309 | 0.0379 | 0.1081 | 0.3289 | −111.694 | 229.388 | 236.300 |
| PINH | 0.1176 | 235.45 | 4.0355 | 0.1544 | 0.0524 | −116.978 | 239.956 | 246.868 | |
| NH | 2.3901 | 0.1771 | 0.1381 | 0.1077 | −114.485 | 232.970 | 237.578 | ||
| HTE | 50.236 | 0.5470 | 0.1844 | 0.0112 | −117.712 | 239.424 | 244.032 | ||
| SNH | 1.5596 | 0.1815 | 0.1493 | 0.0661 | −115.357 | 234.714 | 239.322 | ||
| APTE | 0.7621 | 3.6160 | 0.1302 | 0.1488 | −114.203 | 232.406 | 237.014 | ||
| III | HTNH | 13.359 | 0.9402 | 0.0562 | 0.1561 | 0.5257 | −106.209 | 218.418 | 222.306 |
| PINH | 51.976 | 0.0899 | 0.9757 | 0.1605 | 0.4897 | −106.214 | 218.428 | 222.315 | |
| NH | 0.8113 | 0.0750 | 0.1640 | 0.4620 | −111.238 | 226.476 | 229.067 | ||
| HTE | 1.3786 | 0.0223 | 0.2013 | 0.2235 | −113.421 | 230.842 | 233.433 | ||
| SNH | 0.6403 | 0.0577 | 0.1598 | 0.4853 | −108.696 | 221.392 | 223.983 | ||
| APTE | 0.0297 | 0.1434 | 0.1784 | 0.3565 | −112.401 | 228.802 | 231.393 |
Disclaimer/Publisher’s Note: The statements, opinions and data contained in all publications are solely those of the individual author(s) and contributor(s) and not of MDPI and/or the editor(s). MDPI and/or the editor(s) disclaim responsibility for any injury to people or property resulting from any ideas, methods, instructions or products referred to in the content. |
© 2024 by the authors. Licensee MDPI, Basel, Switzerland. This article is an open access article distributed under the terms and conditions of the Creative Commons Attribution (CC BY) license (https://creativecommons.org/licenses/by/4.0/).
Share and Cite
Alshawarbeh, E.; Alghamdi, F.M.; Meraou, M.A.; Aljohani, H.M.; Abdelraouf, M.; Riad, F.H.; Alsheikh, S.M.A.; Alsolmi, M.M. A Novel Three-Parameter Nadarajah Haghighi Model: Entropy Measures, Inference, and Applications. Symmetry 2024, 16, 751. https://doi.org/10.3390/sym16060751
Alshawarbeh E, Alghamdi FM, Meraou MA, Aljohani HM, Abdelraouf M, Riad FH, Alsheikh SMA, Alsolmi MM. A Novel Three-Parameter Nadarajah Haghighi Model: Entropy Measures, Inference, and Applications. Symmetry. 2024; 16(6):751. https://doi.org/10.3390/sym16060751
Chicago/Turabian StyleAlshawarbeh, Etaf, Fatimah M. Alghamdi, Mohammed Amine Meraou, Hassan M. Aljohani, Mahmoud Abdelraouf, Fathy H. Riad, Sara Mohamed Ahmed Alsheikh, and Meshayil M. Alsolmi. 2024. "A Novel Three-Parameter Nadarajah Haghighi Model: Entropy Measures, Inference, and Applications" Symmetry 16, no. 6: 751. https://doi.org/10.3390/sym16060751
APA StyleAlshawarbeh, E., Alghamdi, F. M., Meraou, M. A., Aljohani, H. M., Abdelraouf, M., Riad, F. H., Alsheikh, S. M. A., & Alsolmi, M. M. (2024). A Novel Three-Parameter Nadarajah Haghighi Model: Entropy Measures, Inference, and Applications. Symmetry, 16(6), 751. https://doi.org/10.3390/sym16060751

