Next Article in Journal
Partial Imaginary Transition State (ITS) Graphs: A Formal Framework for Research and Analysis of Atom-to-Atom Maps of Unbalanced Chemical Reactions and Their Completions
Previous Article in Journal
The L-Fuzzy Prime Filter Degrees on Lattices and Its Induced L-Fuzzy Convex Structure
Previous Article in Special Issue
A Hybrid Swarming Algorithm for Adaptive Enhancement of Low-Illumination Images
 
 
Font Type:
Arial Georgia Verdana
Font Size:
Aa Aa Aa
Line Spacing:
Column Width:
Background:
Article

Towards Discriminative Class-Aware Domain Alignment via Coding Rate Reduction for Unsupervised Adversarial Domain Adaptation

School of Computer Engineering and Science, Shanghai University, Shanghai 200444, China
*
Author to whom correspondence should be addressed.
Symmetry 2024, 16(9), 1216; https://doi.org/10.3390/sym16091216
Submission received: 6 August 2024 / Revised: 2 September 2024 / Accepted: 13 September 2024 / Published: 16 September 2024

Abstract

Unsupervised domain adaptation (UDA) methods, based on adversarial learning, employ the means of implicit global and class-aware domain alignment to learn the symmetry between source and target domains and facilitate the transfer of knowledge from a labeled source domain to an unlabeled target domain. However, these methods still face misalignment and poor target generalization due to small inter-class domain discrepancy and large intra-class discrepancy of target features. To tackle these challenges, we introduce a novel adversarial learning-based UDA framework named Coding Rate Reduction Adversarial Domain Adaptation (CR2ADA) to better learn the symmetry between source and target domains. Integrating conditional domain adversarial networks with domain-specific batch normalization, CR2ADA learns robust domain-invariant features to implement global domain alignment. For discriminative class-aware domain alignment, we propose the global and local coding rate reduction methods in CR2ADA to maximize inter-class domain discrepancy and minimize intra-class discrepancy of target features. Additionally, CR2ADA combines minimum class confusion and mutual information to further regularize the diversity and discriminability of the learned features. The effectiveness of CR2ADA is demonstrated through experiments on four UDA datasets. The code can be obtained through email or GitHub.

1. Introduction

Over the past few years, significant progress has been witnessed in various applications of supervised learning utilizing deep neural networks (DNNs) [1,2], which rely heavily on high-quality labeled data. However, creating high-quality labeled data is typically expensive [3]. Additionally, DNNs often underperform on real-world test datasets due to the mismatch between the training data’s distribution and the actual data they encounter. In response to the issue of domain shift, as discussed in [4], unsupervised domain adaptation (UDA) was introduced. UDA focuses on efficiently transferring learned knowledge from a well-labeled source domain to an unlabeled target domain. Current UDA techniques, relying on the theoretical studies [5,6] and the empirical investigation [7] of UDA, usually aim to learn the symmetry between domains by acquiring domain-invariant features on domain-specific layers. UDA techniques can be broadly categorized into two main approaches: aligning statistical distributions and employing adversarial training. The statistical divergence matching approach, as detailed in [8], seeks to mitigate the effects of domain shift by minimizing the pre-defined divergence between domains. Alternatively, adversarial learning strategies, as described in [9], progressively discern the extent of the distributional disparity across domains. This is achieved by engaging in a dynamic competition, where two opposing entities aim for an equilibrium, all in an effort to alleviate the impact of domain shift.
Many researchers [10], encouraged by the promising results of adversarial learning [11], focus on developing a UDA method using the adversarial approach. In recent years, adversarial learning methods, such as MSTN [12], have achieved global and class-aware domain alignment by implicitly reducing global and intra-class domain discrepancies. However, many of these approaches struggle to efficiently minimize the disparities between different classes across domains and to enhance the cohesion within the classes of the target domain features, which can result in misalignment and poor target generalization. Recent UDA methods [13,14] demonstrate the capability to effectively diminish intra-class discrepancies while simultaneously augmenting inter-class domain disparities within a batch. However, due to only utilizing local information, they are unable to ensure the comprehensive optimization of the differences between different classes across domains and the cohesion within the classes of target features.
To address this constraint, within the framework of adversarial domain adaptation, our objective is to attain discriminative class-aware domain alignment through a reduction in intra-class variations and the enhancement of inter-class distinctions among centroids within domains, as illustrated in Figure 1. To measure the discrepancy, we introduce the coding rate [15]. Generally, a low coding rate for features within the same class indicates a small intra-class discrepancy, while a high coding rate for all features indicates a large inter-class discrepancy. By optimizing the disparity between the coding rate of whole features and that of features within each class, known as coding rate reduction, we can effectively reduce intra-class variations and enhance inter-class distinctions of learned features. Moreover, to further improve the target generalization, we also propose maximizing the coding rate reduction for target features and source and target centroids, aiming to minimize intra-class discrepancy of target features.
In light of the preceding discussion, we present a new UDA framework called Coding Rate Reduction Adversarial Domain Adaptation (CR2ADA). To achieve global domain alignment, the global domain alignment (GDA) module of CR2ADA integrates a domain discriminator based on the cross-covariance between feature representations and classifier outputs in order to adversarially reduce domain discrepancy. GDA also integrates batch normalization that is tailored for each domain, allowing for the separation of domain-unique characteristics from features that remain stable across different domains. Furthermore, CR2ADA maximizes the global coding rate reduction (GCR2) and local coding rate reduction (LCR2) for discriminative class-aware domain alignment. Specifically, the GCR2 module minimizes the gap between centroids of the same class while simultaneously maximizing the one between centroids associated with different class labels, which can reduce misalignment during global domain alignment. The LCR2 module then works to guide the target features towards the centroid of the same class, which can improve target generalization. To facilitate the optimization of CR2ADA, we combine minimum class confusion and mutual information in the regularization (REG) module to regularize the diversity and discriminability of the learned target features. Our innovations and contributions can be summarized as follows:
  • We combine conditional adversarial domain adaptation with domain-specific batch normalization for GDA to learn robust domain-invariant features.
  • We propose GCR2 and LCR2 methods, achieving discriminative class-aware domain alignment for unsupervised adversarial domain adaptation.
  • A new unsupervised adversarial domain adaptation framework is proposed to facilitate the end-to-end training with GDA, GCR2, and LCR2, improving the learning of the symmetry between domains.
  • Extensive experiments have showcased the effectiveness of CR2ADA when compared to state-of-the-art UDA methods, across four UDA benchmark datasets.
The layout of this document is arranged in the following manner: We begin by providing essential background information on unsupervised domain adaptation in Section 2. Continuing with this, Section 3 delves into a thorough examination of the literature pertaining to adversarial domain adaptation and coding rate. Section 4 then delves into our proposed methodology, detailing the global domain alignment module, the process of learning discriminative features through coding rate, the implementation of discriminative class-aware domain alignment, and the overall optimization strategy. Subsequently, Section 5 presents our experimental findings and a thorough analysis of the model. We explore the constraints of our study and propose avenues for subsequent investigative efforts in Section 6. The paper culminates in Section 7, where we encapsulate the principal findings and contributions of our research.

2. Background

Unsupervised domain adaptation (UDA) is an approach intended for bolstering a model’s ability to generalize to an unlabeled domain, as discussed in [16]. In the context of UDA, the scenario is characterized by the presence of a labeled source dataset D S = { ( x i s , y i s ) } i = 1 N S and an unlabeled target one D T = { ( x i t ) } i = 1 N T , where x s and x t denote samples and y s represents the true labels. The quantities N S and N T correspond to the number of samples. It is essential to acknowledge that the datasets originate from joint probability distributions P ( x s , y s ) and Q ( x t , y t ) , respectively, with P not equal to Q , thus violating the assumption of identical independent distribution (IID). Both domains under consideration in this study share a common label space { 0 , 1 , , K 1 } . According to the UDA theory stated in [12], the theoretical maximum of the anticipated error within the target domain can be articulated as follows:
Theorem 1.
Let H be the hypothesis class. Given two domains S and T , we have
h H , ε T ( h ) ε S ( h ) + 1 2 d H Δ H ( P , Q ) + C , C = min h H ε S ( h , G F S ) + ε T ( h , G F T ) ,
where ε T ( h ) is the expected error on the target domain, ε S ( h ) is the expected error on the source domain, d H Δ H ( P , Q ) defines a discrepancy distance between source distribution P and target distribution Q , and G F S and G F T are labeling functions for source and target domains.
The predominant approaches for UDA are typically categorized into two types: aligning statistical divergences and employing adversarial learning techniques. Methods that rely on statistical divergence matching primarily tackle domain discrepancies by reducing pre-established statistical divergence metrics. For instance, DAN [8] utilizes maximum mean discrepancy (MMD) [17]. JMMD [18] proposes joint MMD to provide a more robust estimation than the vanilla MMD. Similarly, CORAL [19] is characterized by the disparity in second-order statistical metrics, particularly the covariances. To further align the conditional distribution, CAN [13] incorporates the class label into MMD, enhancing inter-class divergence while simultaneously reducing intra-class divergence. Apart from these metrics, optimal transport (OT) distance has recently gained significant attention. ETD [20] exploits the attention mechanism to effectively evaluate the transport distance for learning discriminant features. Furthermore, COT [21] establishes a mapping at the clustering level between domains to resolve class imbalance challenges and heavy computation overhead of OT-based UDA methods. Compared to self-defining divergence metrics, UDA methods based on adversarial training primarily concentrate on adaptively acquiring a measure of divergence. Our method, CR2ADA, is designed to achieve discriminative class-aware domain alignment for adversarial domain adaptation. Detailed insights into adversarial domain adaptation are provided in Section 3.1.
Over the past few years, a range of diverse strategies for domain adaptation have emerged. For example, DSBN [22] suggests domain-specific normalization to separate domain-specific information. MCC [23] addresses class confusion to achieve more significant transfer gains. SCDA [24] promotes the focus of the model on principal features by aligning prediction distributions in a pairwise adversarial manner. SIDA [25] maximizes mutual information (MI) between features for effective domain adaptation. IndUDA [14] utilizes an invertible flow mechanism along with a swapping technique to ensure the separation of domain-specific and domain-invariant elements within the latent space. HMA [26] aligns the source and target data within distinct spaces. CDICL [27] establishes an information perception space through instance contrastive learning. DTR [28] suggests aligning the distributions twice using disentanglement and reconstruction processes. These methods aim to boost the model’s ability to generalize by directly refining the target features. However, they are implemented from a local perspective, which may yield suboptimal results when directly applied within adversarial learning-based methods. In this paper, we achieve global discriminative class-aware domain alignment by integrating centroid alignment and coding rate during the adversarial domain adaptation process. This integration aids in bolstering the generalization capabilities of adversarial learning-based methods on the target domain.

3. Related Work

3.1. Adversarial Domain Adaptation

With the rapid advancement of generative adversarial networks (GANs) [11], the idea of the GAN has gained widespread application for achieving domain-invariant feature extraction. DANN [9] is one of the earliest pioneers to introduce an additional discriminator to discern the features from the feature extractor. Building upon DANN, ADDA [29] begins by training the target model on data from the source domain and then fine-tunes it to align with the target domain’s classifier using adversarial domain adaptation techniques. Inspired by conditional GAN, CDAN [30] merges the prediction with learned features to enhance feature alignment. In addition, MSTN [12] leverages the L 1 distance to minimize the disparities among centroids of the same category. Subsequently, it synchronizes the labeled source centroids with the pseudo-labeled target centroids, thereby fostering a semantic representation for the unlabeled target samples.
In recent years, some studies have used two task-specific classifiers for implicit adversarial learning, as the bi-classifier paradigm can often generate more discriminant features than the single-discriminator paradigm. MCD [31] employs the L 1 norm to measure the divergence between the outputs of two distinct classifiers. SWD [32] proposes the sliced Wasserstein discrepancy. BCDM [33] presents the classifier determinacy disparity distance. CGDM [34] further incorporates cross-domain gradient discrepancy. CDAL [10] incorporates class discrimination knowledge to control the classifier discrepancy constraints in a discriminative manner. In addition to the above two paradigms, DALN [35] proposes a new discriminator-free paradigm, which introduces a nuclear-norm Wasserstein discrepancy (NWD) and utilizes the classifier as the domain discriminator.
Although these methods have improved the learning of domain-invariant features by refining the adversarial learning process, this process can also reduce inter-class domain differences to some extent, thereby diminishing the model’s generalization capability on the target domain. In this paper, we propose the global coding rate reduction by integrating centroid alignment and coding rate, which maximizes inter-class domain differences and minimizes intra-class domain differences at a global level, thereby achieving more discriminative class-aware domain alignment. Furthermore, we introduce the local coding rate reduction to push ambiguous target samples towards their corresponding class centroids, thereby further enhancing the model’s target generalization capability.

3.2. Coding Rate

Representation learning involves compressing data from a high-dimensional structural distribution to a low-dimensional structural distribution for effective representation [36]. In information theory [37], the coding rate is used to measure a random distribution’s compactness. However, it is challenging to estimate the coding rate of a complex distribution directly. To solve this problem, ref. [38] utilizes sphere packing to precisely estimate the coding rate of the features of finite samples from a subspace-like distribution. From a geometric perspective, the estimation of the coding rate measures the features’ volume in high-dimensional space. Based on this characteristic, ref. [39] utilizes the coding rate to explain feature selection in neural networks. Ref. [15] proposes to learn more discriminative features by maximizing the coding rate of all features and minimizing the coding rate of all intra-class features for each category. Additionally, refs. [36,40] further utilize the coding rate to explain the feature learning process in deep learning. In this work, we utilize the characteristic of the precise estimation of the coding rate to achieve discriminative class-aware domain alignment for unsupervised adversarial domain adaptation.

4. Methodology

4.1. Overview

Our CR2ADA, as depicted in Figure 2, can be divided into three parts. To achieve global domain alignment in an adversarial manner, the initial part integrates a conditional domain discriminator. The domain discriminator is established on the cross-covariance of extractor features and classifier predictions, engaging in a min–max adversarial game with the feature extractor. We also condition the domain discriminator on the uncertainty of classifier predictions to give precedence to easily transferable examples. Furthermore, domain-specific batch normalization is utilized to capture domain-unique information.
To achieve discriminative class-aware domain alignment, the second part of CR2ADA maximizes global coding rate reduction to minimize intra-class discrepancies and maximize inter-class differences between centroids. A moving average strategy is employed to update the centroids. Additionally, we enhance local coding rate reduction to guide target features towards the centroids of the same class, thereby reducing intra-class discrepancies in target features. Moreover, we employ spherical K-means to obtain target pseudo labels for calculating global and local coding rate reduction.
To facilitate the optimization process of CR2ADA, the third section introduces the use of minimum class confusion loss to evaluate the uncertainty between each pair of classes, thereby controlling the classifier’s inclination to confuse predictions between correct and ambiguous classes. Furthermore, we employ mutual information to push target samples away from a decision boundary to converge to improved solutions and produce adequate prediction diversity.

4.2. Preliminary

4.2.1. Global Domain Alignment

In UDA, global domain alignment involves the training of a feature extractor G and a visual classifier F. In our research, to mitigate the differences between domains, we utilize adversarial learning, a competitive interaction between two agents [9], to learn the measure of the divergence adaptively. The domain discriminator D is specifically utilized to differentiate between features originating from the domains, while F is leveraged to produce features that are consistent across domains to perplex D. The equilibrium of this game is achieved when the features produced by F exhibit consistency across different domains. It is possible to achieve global domain alignment by adapting only the features of two domains. However, this approach can only match a fraction of the components underlying different joint distributions. To better match different joint distributions and achieve improved global domain alignment, F and D should be further conditioned on relevant label information [41]. As noted by the work [30], conditioning enables the simultaneous modeling of domain variances in the feature f = F ( x ) and the classifier prediction g = G F ( x ) . To condition D on the classifier prediction g , we use the multilinear map T f , g  [42]. To further prevent difficult-to-transfer examples from impacting the adversarial adaptation process, we measure the uncertainty of classifier predictions using entropy H ( g ) and adjust the weight of each training example using a weight W H ( g ) = 1 + e H ( g ) . We define the domain adversarial loss L A L as:
L A L = E x i s D S W H g i s log 1 D T f i s , g i s + E x i t D T W H g i t log D T f i t , g i t .
During the training phase, L A L is subject to maximization by D and minimization by F. To achieve both objectives in a single stage, the gradient reversal layer (GRL) [9] is utilized. During the forward pass, the GRL acts as a pass-through operation. During the backward pass, the GRL inverts the sign of the gradient received from the subsequent layer and passes it back to the preceding layer.
The conventional adversarial domain adaptation methods usually employ an identical model to train data from domains. Throughout the training, the model is impacted by the domain-specific characteristics of the labeled samples. As per the work [22], the performance of a model in generalizing to a target domain is significantly influenced by the shared components of F and G, particularly when the two domains exhibit incompatible characteristics that cannot be effectively accommodated inside a singular model. Focusing on segregating domain-unique knowledge, we replace all batch normalization layers of the model with domain-specific batch normalization (DSBN) layers. These layers are intended for assigning different affine parameters to different domains. Let x d R H × W × N represent the activations at each channel associated with a domain label d. These layers can be expressed as follows:
DSBN x i j n d γ d , β d = γ d x i j n d μ d σ d 2 + ϵ + β d ,
where ϵ represents a constant and μ d and σ d are the average and dispersion of the outputs within a mini-batch, domain label d { S , T } .

4.2.2. Learning Discriminative Features via Coding Rate

In information theory [37], the coding rate is used to assess the compactness of a random distribution. When considering a random variable z and a precision ϵ > 0 , the coding rate R ( z , ϵ ) denotes the minimum binary bit count essential for encoding z while maintaining an expected decoding error below ϵ . As detailed in [38], accurate estimation of the requisite binary bits for encoding finite samples from a distribution akin to a subspace is feasible. For encoding the acquired features F = [ f 1 , , f m ] R d × m , where d signifies the feature dimension and m represents the sample count, with a precision of ϵ , the aggregate bit count required is m + d 2 log det I + d m ϵ 2 F F . Hence, the compactness of the acquired features, denoted as the coding rate, under the distortion of ϵ , can be assessed in terms of the average coding length per sample in the subsequent manner:
R ( F , ϵ ) = 1 2 log det I + d m ϵ 2 F F .
Because the learned features F belong to multiple class subspaces, we can partition them into multiple subsets: F = F 0 F K 1 , with each in one class subspace. We can compute the coding rate for each subset. For convenience, let Π = { Π j R m × m } j = 0 K 1 be a set of diagonal matrices encoding the membership of m samples in the K classes. Π j is defined as diag π 1 j , π 2 j , , π m j , where π i j 0 , 1 denotes whether sample i belongs to category j. Then, we can define the average coding length per sample as:
R c ( F , ϵ Π ) = j = 0 K 1 t r ( Π j ) 2 m log det I + d t r ( Π j ) ϵ 2 F Π j F .
To minimize differences within each class, the features should cover a small range and have a low coding rate. To maximize differences between classes, the features should cover a large range and have a high coding rate. By reducing the difference in coding rates between all features and those within each class, we can achieve a reduction in variance among instances of the same category and an increase in distinctions among different categories in the learned features.
Δ R ( F , Π , ϵ ) = R F , ϵ ) R c ( F , ϵ Π .

4.3. Discriminative Class-Aware Domain Alignment

In Section 4.2.1, we utilize adversarial domain adaptation with a multilinear conditioned domain discriminator and DSBN to achieve global domain alignment, which minimizes ε S ( h ) and d H Δ H ( S , T ) . When C in Theorem 1 is small, we can disregard C and obtain a low ε T ( h ) by achieving global domain alignment. However, learning a good target classifier becomes difficult when the value of C is large. According to the upper bound of C stated in [12], we can enhance the distinctiveness between features from various classes across the domains while simultaneously reducing the variability among features within the same class in the target domain to lower the false pseudo rate and enhance prediction consistency, thereby reducing C. In recent years, some UDA methods [13,14] explicitly address the reduction of intra-class differences and the enhancement of inter-class disparities across domains. However, due to only utilizing local information, these approaches are challenging to apply to adversarial learning-based UDA methods to achieve discriminative class-aware domain alignment globally.

4.3.1. Global Coding Rate Reduction

Inspired by [12], we approach the problem through class-aware centroid alignment. A centroid is a straightforward and effective way to represent sample sets [43]. Using centroids, we can help the global domain alignment (GDA) module achieve discriminative class-aware domain alignment globally by concurrently reducing the variability within each class and amplifying the distinctions between different class centroids. However, there remains a scarcity of research on reducing intra-class differences and enhancing inter-class disparities among different centroids. Inspired by [15], we utilize the coding rate [37] to quantitatively measure the disparities within the same category and between different categories of the acquired features. By using coding rate reduction in Equation (6), we can help the GDA achieve discriminative class-aware domain alignment globally by maximizing the coding rate reduction of centroids of source and target domains:
L G C R 2 = Δ R C S , C T , Π C S , Π C T , ϵ ,
where · represents a tensor formed by stacking input feature tensors along the dimension of the number of samples, C S R d × K is a feature matrix of source centroids, C T is a feature matrix of target centroids, Π C S is a class diagonal matrix of C S , Π C T is a class diagonal matrix of C T , and ϵ 2 is set to 0.5 as stated in [15] for all experiments.
Because target class information is necessary for achieving discriminative class-aware domain alignment, the spherical K-means method from [13] is utilized to label the target samples. To prevent all target samples from clustering around a single centroid, we cluster the domains separately to find their cluster centers. The label of the target cluster center is assigned based on its proximity to the source center. Let the k-th clustering center in the target domain be denoted as O k t . Then, the target samples are labeled as y ˜ t = arg min k dist F x t , O k t . To obtain centroids representing the overall samples, we use the exponential moving average to update centroids as follows:
C S k ^ 1 | D S k | ( x i s , y i s ) D S k F ( x i s ) , C T k ^ 1 | D T k | ( x i t , y ˜ i t ) D T k F ( x i t ) , C S k θ C S k + ( 1 θ ) C S k ^ , C T k θ C T k + ( 1 θ ) C T k ^ ,
where θ is the moving average coefficient, which is consistently set to 0.7 across all experiments, as detailed in [12].

4.3.2. Local Coding Rate Reduction

If we only achieve discriminative class-aware domain alignment globally, some target samples will be far from the centroids. To solve this problem, we maximize the coding rate reduction of the target features and the centroids to minimize the variability within the classes of the target domain features:
L L C R 2 = Δ R ( C S , C T , F T , Π C S , Π C T , Π T , ϵ ) ,
where F T is a feature matrix of the target domain and Π T is a class diagonal matrix of F T . We select a subset D T ˜ = x t , y ˜ t dist F x t , O y ˜ t t < D 0 , x t D T to filter ambiguous data to compute L L C R 2 , where D 0 0 , 1 and dist is measured as a cosine dissimilarity. For D 0 , we set 0.05 for ImageCLEF-DA and Office-31, 0.1 for VisDA-2017, and 1 for Office-Home. Empirically, coding rate reduction shows robustness to label corruptions. Therefore, our approach is more robust than other UDA methods to false target pseudo labels.

4.4. Overall Optimization

As per [23], classifiers often confuse predictions between correct and ambiguous classes for target samples. To address this issue during domain alignment, we incorporate the minimum class confusion loss L M C C to regularize the training of CR2ADA. The loss function L M C C primarily utilizes the dot product between the classifier’s output vectors and their transpose to measure the degree of confusion among classes. By minimizing L M C C , the model is encouraged to produce more distinctive class representations, thereby reducing the likelihood of misclassification across similar classes. Additionally, while many studies use the uncertainty of classifier predictions [44] to improve the decision boundary of the classifier, relying solely on uncertainty will limit prediction diversity [45]. To enhance both diversity and discriminability, we suggest employing mutual information for model training regularization. The mutual information is represented by the equation:
I ( G ^ , G ) = H ( G ^ ) H ( G ^ G ) = k = 0 K 1 g ^ ( k ) log g ^ ( k ) + 1 m i = 1 m g i log g i ,
where g denotes classifier predictions, g ^ ( k ) is the k-th of g ^ = 1 m i = 1 m g i , m is the number of samples, and H represents entropy. H ( G ^ ) assesses prediction diversity in a given batch, while H ( G ^ G ) corresponds to prediction uncertainty. To improve the discriminability and diversity of the target domain and the diversity of source domain, CR2ADA focuses on maximizing mutual information on the target domain and maximizing prediction diversity on the source domain. We define L M I as:
L M I = γ I ( G ^ T , G T ) + γ H ( G ^ S ) ,
where G T represents the target classifier predictions, G S represents the source classifier predictions, and γ is set to 0.1 in all experiments.
Our general objective function can be expressed as follows:
L = L C E + λ ( L A L α L G C R 2 β L L C R 2 + L M C C L M I ) ,
where progressive learning parameter λ , GCR2 weight parameter α , and LCR2 weight parameter β are trade-off parameters to balance the objective loss function. We minimize the general objective function to optimize CR2ADA. Algorithm 1 depicts the detailed optimization process of CR2ADA.
Algorithm 1 Optimization of CR2ADA
  • Input: Source domain data D S = { ( x i s , y i s ) } i = 1 N S , target domain data D T = { ( x i t ) } i = 1 N T , the epoch number E, the iteration number of each epoch I, the class number K, global centroids for two domains: C S k k = 0 K 1 and C T k k = 0 K 1 , an initialized feature extractor F, and classifier G.
  • Output: An adapted feature extractor F and classifier G.
1:
  for  e 0 ; e < E ; e e + 1  do
2:
      Forward D S and compute the K cluster centers.
3:
      Cluster D T using spherical K-means with the K cluster centers.
4:
      Update pseudo labels of D T .
5:
      for  i 0 ; i < I ; i i + 1  do
6:
          Take mini-batch of samples from D S and D T .
7:
          Use source samples to compute cross-entropy loss L C E .
8:
          Use source and target samples to compute L A L in Equation (2) and L M I in Equation (11).
9:
          Use target samples with pseudo labels to update centroids in Equation (8) and compute L G C R 2 in Equation (7).
10:
        Filter target samples with pseudo labels and compute L L C R 2 in Equation (9).
11:
        Use target samples to compute L M C C [23].
12:
        Back-propagate with the overall loss function L in Equation (12).
13:
        Update the parameters of F and G.
14:
    end for
15:
end for
16:
return F and G

5. Experiments

5.1. Experimental Setup

5.1.1. Datasets

To assess the effectiveness of our CR2ADA approach, we compare its performance with other unsupervised domain adaptation (UDA) methods using four well-established benchmarks. ImageCLEF-DA [18] contains 12 common classes shared by three domains: Caltech256 (C), ImageNet ILSVR-C 2012 (I), and Pascal VOC 2012 (P). This dataset is small and balanced, with 600 images in each domain and 50 for each category. Office-31 [46] serves as a standard benchmark for real-world domain adaptation and includes a total of 4652 photo images spanning 31 object categories across three domains: Amazon (A), DSLR (D), and Webcam (W). The objects in Office-31 are commonly found in office environments, such as keyboards, file cabinets, and laptops. Office-Home [47] presents a more significant challenge for mainstream domain adaptation, featuring 15,500 images with an average of 70 per category. Office-Home encompasses four distinct domains: Art (Ar), Clipart (Cl), Product (Pr), and RealWorld (Rw), each consisting of 65 categories. VisDA-2017 [48] is a large-scale dataset that bridges simulated and real-world images, comprising 1,502,397 synthetic images and 553,388 real-world images across two distinct domains and 12 categories. VisDA-2017 is notably large and highly unbalanced.

5.1.2. Implementation Details

In this paper, we utilize the transfer learning library [49] to conduct all experiments. To ensure a fair comparison with state-of-the-art UDA methods across different datasets, we utilize ResNet [1] pretrained on ImageNet [50] as the backbone. For the optimizer schedule, we employ SGD with a momentum of 0.9 and a weight decay of 0.001 . The initial learning rate μ 0 is set to 0.001 for the backbone and 0.01 for the bottleneck and classifier head. We adopt the learning rate scheduler μ p = μ 0 ( 1 + a · p ) b [9], where p represents the training progress. For a and b, we set a = 0.001 and b = 0.75 . As for λ , we set λ = 2 2 + e x p ( γ · p ) 1 , where γ is set to 10, in order to suppress noisy signals from the discriminator during the early stages of training for ImageCLEF-DA, Office-31, and Office-Home. Because CR2ADA converges quickly on VisDA-2017, we set λ = 1 on VisDA-2017. We primarily tune two hyperparameters: the GCR2 weight parameter α and the LCR2 weight parameter β . Notably, we encounter difficulty in training CR2ADA with regularization on VisDA-2017. Therefore, we initially train CR2ADA using the overall loss function L without REG for 40,000 iterations. Subsequently, the learning rate for the backbone is adjusted to 0.0002 , while for the bottleneck and classifier head it is set to 0.002 . Additionally, we set a = 0.0005 and b = 2.25 to continue training CR2ADA using the overall loss function L for 10,000 iterations. More implementation details are placed in Table 1 for better readability.

5.2. Performance Analysis

To assess the efficacy of our method CR2ADA, comparisons were made with other UDA methodologies across four established benchmarks. We compare CR2ADA with three types of UDA methods, detailed in Table 2.
Table 3 showcases the outcomes of CR2ADA on ImageCLEF-DA. Demonstrating superior performance compared to other UDA techniques across various transfer tasks, CR2ADA attains an exceptional average accuracy of 91.9 % . In scenarios with limited samples and class equilibrium, maximizing inter-class domain differences and further reducing intra-class disparities within target features during the adversarial domain adaptation process can significantly enhance the model’s generalization capability.
The symbol A v g . denotes the mean value excluding D W and W D . Analysis of the data in Table 4 reveals that CR2ADA achieves the highest average accuracy of 91.7 % and 87.8 % in comparison to alternative methodologies on Office-31. Notably, CR2ADA significantly enhances classification accuracy for demanding transfer tasks (e.g., W→A and D→A) involving dissimilar source and target datasets, indicating that maximizing inter-class domain discrepancy while minimizing intra-class differences within the target domain can substantially improve the mismatch problem of adversarial domain adaptation when faced with significant domain disparities.
The data in Table 5 illustrate that CR2ADA outperforms other approaches in the majority of transfer tasks within the Office-Home dataset, attaining a peak average accuracy of 74.9 % . This accomplishment underscores the significance of fostering substantial inter-class domain disparities and minimal intra-class discrepancies within target features in UDA scenarios encompassing diverse categories.
Because VisDA-2017 contains more samples and fewer classes and is highly unbalanced, CR2ADA pays more attention to the majority of the classes while ignoring the misalignment of the minority during training. Despite being inferior to state-of-the-art UDA methods, CR2ADA still outperforms other methods on four categories, achieving a comparable average accuracy of 86.1 % in Table 6, due to the contribution of GCR2 and LCR2 in mitigating misalignment among most classes.
To conclude, these comparable results highlight the effectiveness of CR2ADA for UDA.

5.3. Ablation Study

We perform an ablation study on the Office-31 dataset to evaluate the specific contributions of different components to the overall performance. Our focus is primarily on challenging transfer tasks. We primarily investigate combinations of four components: GDA, GCR2, LCR2, and REG. The GDA module uses conditional domain adversarial networks with domain-specific normalization for global domain alignment. The GCR2 module employs global coding rate reduction for discriminative class-aware domain alignment. The LCR2 module utilizes local coding rate reduction to minimize intra-class discrepancy of target features. The REG module incorporates minimum class confusion and mutual information to enhance the diversity and discriminability of the learned target features. The average classification accuracy for these tasks is outlined in Table 7. We select MSTN [12] as our base model due to its similar concept of global class-aware domain alignment. MSTN directly minimizes the L 1 distance between centroids of different classes. The results demonstrate that the model integrating all four components outperforms the base model MSTN without these components by approximately 9.2 % on average, underscoring the effectiveness of our approach. GCR2 and LCR2 improve average performance by 1.6 % over the simple GDA, demonstrating their effectiveness in enhancing feature-level discriminability. REG enhances performance by 0.7 % compared to CR2ADA without REG, showing its impact on prediction-level discriminability. The combination of all four modules results in the most significant improvement.

5.4. Sensitivity Analysis of the Parameters

We tune two hyperparameters, referred to as GCR2 weight parameter α and LCR2 weight parameter β , in the overall loss function. Our research endeavors are carried out using Office-31. An exploration of values for α and β ranging from 0.01 to 0.1 is undertaken, as visualized in Figure 3. Throughout our investigations, CR2ADA consistently demonstrates superior performance compared to HMA [26] across a broad spectrum, notably on the challenging tasks W A and D A within the Office-31 dataset. Additionally, these curves also illustrate the robustness of CR2ADA. Guided by the insights from the performance analysis, we opt to set α and β to 0.03 each. The average accuracy is highest when both values are precisely selected.

5.5. Visual Analysis

We present the t-SNE visualizations of feature representations for our CR2ADA and baseline models in Figure 4, Figure 5, Figure 6 and Figure 7. These tasks are among the most challenging in the Office31 dataset. The baselines chosen include ResNet-50 pretrained on ImageNet and MSTN, a typical global class-aware domain alignment method. We fine-tune the pre-trained ResNet-50 on the source domain and evaluate it on the target domain. Results for MSTN are obtained by running the official code. All models are trained until convergence, after which we encode the data from the domains using the model and extract feature vectors before the final linear classification layer. We utilize the t-SNE function from scikit-learn with default parameters for visualization. This outcome provides additional validation of our approach’s efficacy in managing intricate transfer learning challenges. Especially as depicted in Figure 6, the features extracted by the CR2ADA algorithm demonstrate significant inter-class separability and improved intra-class compactness. This is achieved by maximizing the coding rate of centroids across domains, which accentuates the global distinctions between different classes. Concurrently, we minimize the coding rate of centroids within the same category in both domains, thereby diminishing the intra-class disparities on a global scale. Furthermore, by employing local coding rate reduction, we encourage the target domain features to align more closely with their corresponding centroids, effectively reducing the intra-class variance of target features. This dual strategy of global and local coding rate optimization serves to refine the feature representation.

5.6. Distribution Discrepancy

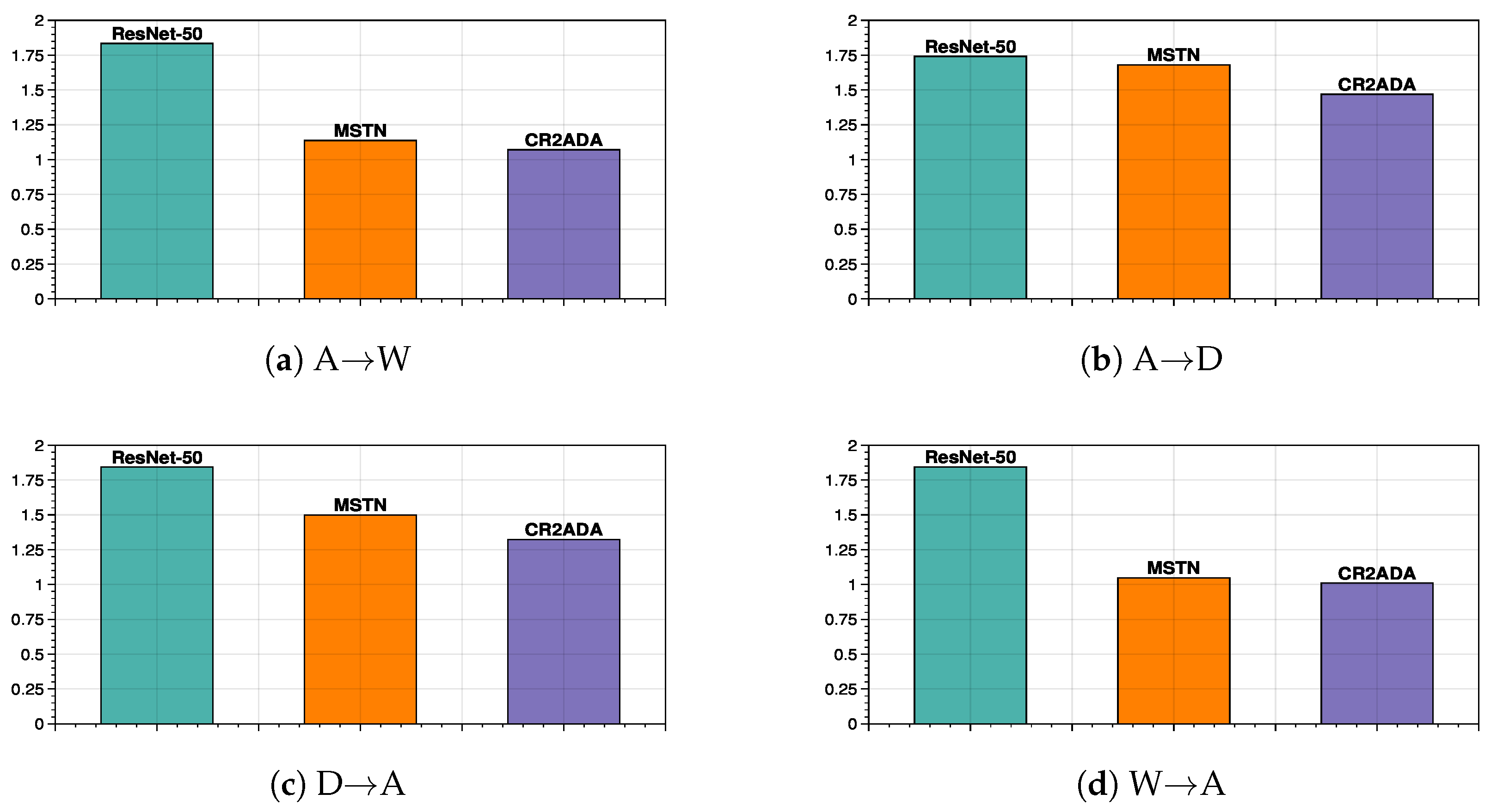
The A -distance, denoted as d A = 2 ( 1 2 ϵ ) , quantifies domain dissimilarity. Here, ϵ signifies the misclassification rate of the domain classifier distinguishing between the two domains. We employ A -distance as a gauge for feature transferability. In Figure 8, we assess tasks on A W , A D , D A , and W A . The A -distance of CR2ADA’s features is lower than that of ResNet-50 and MSTN. As per the principles outlined in [5], a reduced A -distance suggests enhanced distribution alignment.

6. Limitations and Future Research

This paper presents new global and local coding rate reduction strategies to enhance discriminative class-aware domain alignment for adversarial domain adaptation. Our approach has demonstrated significant performance improvements over adversarial learning-based UDA methods on four benchmark datasets. Nonetheless, our current methodology has been observed to exhibit a propensity for undervaluing classes that are less frequently represented, particularly in scenarios characterized by class imbalance. This observation underscores the need for further investigation and refinement of our approach. A pivotal aspect of our forthcoming research endeavors will be the development of mechanisms designed to ensure equitable representation across all classes, with a particular focus on those that are currently underrepresented. This will be aimed at maximizing inter-class differentiation while concurrently minimizing intra-class variability within the target domain.
In our subsequent inquiries, we intend to delve deeper into the theoretical underpinnings of coding rate reduction and its efficacy in the realm of UDA. We aspire to fortify the theoretical linkage between our proposed coding rate reduction techniques and the existing theoretical bounds pertaining to domain adaptation. We will explore more systematic methodologies for the selection of hyperparameters and the conduct of sensitivity analyses, which are specifically calibrated for the UDA domain. Furthermore, we will examine a broader spectrum of hyperparameter combinations to attain a more holistic comprehension of the method’s sensitivity to parameter selections. Additionally, we will seek to further validate the consistency of our methodology across diverse domain adaptation scenarios and reconnect these findings to the theoretical bedrock of our approach. By addressing these limitations and pursuing these research avenues, we aim to bolster the robustness and applicability of our domain adaptation methodologies, leading to models that are more effective and broadly generalizable.

7. Conclusions

This study introduces a novel unsupervised domain adaptation (UDA) framework known as Coding Rate Reduction Adversarial Domain Adaptation (CR2ADA). CR2ADA incorporates a global domain alignment module to produce robust domain-invariant features. The primary focus of CR2ADA is on enhancing the global coding rate reduction between source and target centroids to reduce intra-class domain differences and increase inter-class domain distinctions, ultimately achieving a discriminative class-aware domain alignment for unsupervised adversarial domain adaptation. Furthermore, CR2ADA works to maximize the local coding rate reduction of target features and source and target centroids to decrease the intra-class differences of target features, thereby establishing a more robust decision boundary for the target domain. Through empirical evaluations conducted on established benchmark datasets, the superiority and effectiveness of CR2ADA over existing UDA techniques have been unequivocally validated.

Author Contributions

Conceptualization, J.W.; methodology, J.W.; software, J.W.; validation, J.W.; formal analysis, J.W.; investigation, J.W.; resources, J.W. and Y.F.; data curation, J.W. and Y.F.; writing—original draft preparation, J.W.; writing—review and editing, J.W. and Y.F.; visualization, J.W.; supervision, Y.F.; project administration, J.W. and Y.F.; funding acquisition, Y.F. All authors have read and agreed to the published version of the manuscript.

Funding

The work is supported by the National Natural Science Foundation of China under Grant Nos. 61976132 and 61991410.

Data Availability Statement

Dataset available on request from the authors.

Acknowledgments

This work is supported by Shanghai Technical Service Center of Science and Engineering Computing, Shanghai University.

Conflicts of Interest

The authors declare no conflicts of interest.

References

  1. He, K.; Zhang, X.; Ren, S.; Sun, J. Deep residual learning for image recognition. In Proceedings of the IEEE/CVF Conference on Computer Vision and Pattern Recognition, Las Vegas, NV, USA, 27–30 June 2016; pp. 770–778. [Google Scholar]
  2. Zhao, B.; Feng, J.; Wu, X.; Yan, S. A survey on deep learning-based fine-grained object classification and semantic segmentation. Int. J. Autom. Comput. 2017, 14, 119–135. [Google Scholar] [CrossRef]
  3. Zhang, L.; Gao, X. Transfer adaptation learning: A decade survey. IEEE Trans. Neural Netw. Learn. Syst. 2022, 35, 23–44. [Google Scholar] [CrossRef] [PubMed]
  4. Pan, S.J.; Yang, Q. A survey on transfer learning. IEEE Trans. Knowl. Data Eng. 2009, 22, 1345–1359. [Google Scholar] [CrossRef]
  5. Ben-David, S.; Blitzer, J.; Crammer, K.; Kulesza, A.; Pereira, F.; Vaughan, J.W. A theory of learning from different domains. Mach. Learn. 2010, 79, 151–175. [Google Scholar] [CrossRef]
  6. Wang, Z.; Mao, Y. Information-Theoretic Analysis of Unsupervised Domain Adaptation. In Proceedings of the Eleventh International Conference on Learning Representations, Kigali, Rwanda, 1–5 May 2023. [Google Scholar]
  7. Yosinski, J.; Clune, J.; Bengio, Y.; Lipson, H. How transferable are features in deep neural networks? In Advances in Neural Information Processing Systems; Curran Associates, Inc.: New York, NY, USA, 2014; Volume 27. [Google Scholar]
  8. Long, M.; Cao, Y.; Wang, J.; Jordan, M. Learning transferable features with deep adaptation networks. In Proceedings of the International Conference on Machine Learning, PMLR, Lille, France, 7–9 July 2015; pp. 97–105. [Google Scholar]
  9. Ganin, Y.; Ustinova, E.; Ajakan, H.; Germain, P.; Larochelle, H.; Laviolette, F.; Marchand, M.; Lempitsky, V. Domain-adversarial training of neural networks. J. Mach. Learn. Res. 2016, 17, 1–35. [Google Scholar]
  10. Zhou, L.; Ye, M.; Zhu, X.; Li, S.; Liu, Y. Class Discriminative Adversarial Learning for Unsupervised Domain Adaptation. In Proceedings of the 30th ACM International Conference on Multimedia, Lisboa, Portugal, 10–14 October 2022; pp. 4318–4326. [Google Scholar]
  11. Goodfellow, I.; Pouget-Abadie, J.; Mirza, M.; Xu, B.; Warde-Farley, D.; Ozair, S.; Courville, A.; Bengio, Y. Generative adversarial nets. In Advances in Neural Information Processing Systems; Curran Associates, Inc.: New York, NY, USA, 2014; Volume 27. [Google Scholar]
  12. Xie, S.; Zheng, Z.; Chen, L.; Chen, C. Learning semantic representations for unsupervised domain adaptation. In Proceedings of the International Conference on Machine Learning, PMLR, Stockholm, Sweden, 10–15 July 2018; pp. 5423–5432. [Google Scholar]
  13. Kang, G.; Jiang, L.; Yang, Y.; Hauptmann, A.G. Contrastive adaptation network for unsupervised domain adaptation. In Proceedings of the IEEE/CVF Conference on Computer Vision and Pattern Recognition, Long Beach, CA, USA, 16–20 June 2019; pp. 4893–4902. [Google Scholar]
  14. He, Q.; Xiao, S.; Ye, M.; Zhu, X.; Neri, F.; Hou, D. Independent Feature Decomposition and Instance Alignment for Unsupervised Domain Adaptation. In Proceedings of the International Joint Conference on Artificial Intelligence, Macao, China, 19–25 August 2023; pp. 819–827. [Google Scholar]
  15. Yu, Y.; Chan, K.H.R.; You, C.; Song, C.; Ma, Y. Learning diverse and discriminative representations via the principle of maximal coding rate reduction. Adv. Neural Inf. Process. Syst. 2020, 33, 9422–9434. [Google Scholar]
  16. Pan, S.J.; Tsang, I.W.; Kwok, J.T.; Yang, Q. Domain adaptation via transfer component analysis. IEEE Trans. Neural Netw. 2010, 22, 199–210. [Google Scholar] [CrossRef] [PubMed]
  17. Gretton, A.; Sejdinovic, D.; Strathmann, H.; Balakrishnan, S.; Pontil, M.; Fukumizu, K.; Sriperumbudur, B.K. Optimal kernel choice for large-scale two-sample tests. In Advances in Neural Information Processing Systems; Curran Associates, Inc.: New York, NY, USA, 2012; Volume 25. [Google Scholar]
  18. Long, M.; Zhu, H.; Wang, J.; Jordan, M.I. Deep transfer learning with joint adaptation networks. In Proceedings of the International Conference on Machine Learning, PMLR, Sydney, Australia, 6–11 August 2017; pp. 2208–2217. [Google Scholar]
  19. Sun, B.; Feng, J.; Saenko, K. Correlation alignment for unsupervised domain adaptation. In Domain Adaptation in Computer Vision Applications; Springer: Berlin/Heidelberg, Germany, 2017; pp. 153–171. [Google Scholar]
  20. Li, M.; Zhai, Y.M.; Luo, Y.W.; Ge, P.F.; Ren, C.X. Enhanced transport distance for unsupervised domain adaptation. In Proceedings of the IEEE/CVF Conference on Computer Vision and Pattern Recognition, Seattle, WA, USA, 14–19 June 2020; pp. 13936–13944. [Google Scholar]
  21. Liu, Y.; Zhou, Z.; Sun, B. COT: Unsupervised Domain Adaptation With Clustering and Optimal Transport. In Proceedings of the IEEE/CVF Conference on Computer Vision and Pattern Recognition, Vancouver, BC, Canada, 18–24 June 2023; pp. 19998–20007. [Google Scholar]
  22. Chang, W.G.; You, T.; Seo, S.; Kwak, S.; Han, B. Domain-specific batch normalization for unsupervised domain adaptation. In Proceedings of the IEEE/CVF Conference on Computer Vision and Pattern Recognition, Long Beach, CA, USA, 16–20 June 2019; pp. 7354–7362. [Google Scholar]
  23. Jin, Y.; Wang, X.; Long, M.; Wang, J. Minimum class confusion for versatile domain adaptation. In Proceedings of the European Conference on Computer Vision, Glasgow, UK, 23–28 August 2020; Springer: Berlin/Heidelberg, Germany, 2020; pp. 464–480. [Google Scholar]
  24. Li, S.; Xie, M.; Lv, F.; Liu, C.H.; Liang, J.; Qin, C.; Li, W. Semantic concentration for domain adaptation. In Proceedings of the IEEE/CVF International Conference on Computer Vision, Montreal, BC, Canada, 11–17 October 2021; pp. 9102–9111. [Google Scholar]
  25. Zhao, H.; Ma, C.; Chen, Q.; Deng, Z.H. Domain Adaptation via Maximizing Surrogate Mutual Information. In Proceedings of the International Joint Conference on Artificial Intelligence, Vienna, Austria, 23–29 July 2022; pp. 1700–1706. [Google Scholar]
  26. Zhou, L.; Ye, M.; Zhu, X.; Xiao, S.; Fan, X.Q.; Neri, F. Homeomorphism Alignment for Unsupervised Domain Adaptation. In Proceedings of the IEEE/CVF International Conference on Computer Vision, Paris, France, 2–6 October 2023; pp. 18699–18710. [Google Scholar]
  27. Tian, Q.; Wu, W. Confidence-diffusion instance contrastive learning for unsupervised domain adaptation. Knowl.-Based Syst. 2024, 293, 111717. [Google Scholar] [CrossRef]
  28. Zhou, L.; Ye, M.; Li, X.; Zhu, C.; Liu, Y.; Li, X. Disentanglement then reconstruction: Unsupervised domain adaptation by twice distribution alignments. Expert Syst. Appl. 2024, 237, 121498. [Google Scholar] [CrossRef]
  29. Tzeng, E.; Hoffman, J.; Saenko, K.; Darrell, T. Adversarial discriminative domain adaptation. In Proceedings of the IEEE/CVF Conference on Computer Vision and Pattern Recognition, Honolulu, HI, USA, 21–26 July 2017; pp. 7167–7176. [Google Scholar]
  30. Long, M.; Cao, Z.; Wang, J.; Jordan, M.I. Conditional adversarial domain adaptation. In Advances in Neural Information Processing Systems; Curran Associates, Inc.: New York, NY, USA, 2018; Volume 31. [Google Scholar]
  31. Saito, K.; Watanabe, K.; Ushiku, Y.; Harada, T. Maximum classifier discrepancy for unsupervised domain adaptation. In Proceedings of the IEEE/CVF Conference on Computer Vision and Pattern Recognition, Salt Lake City, UT, USA, 18–22 June 2018; pp. 3723–3732. [Google Scholar]
  32. Lee, C.Y.; Batra, T.; Baig, M.H.; Ulbricht, D. Sliced wasserstein discrepancy for unsupervised domain adaptation. In Proceedings of the IEEE/CVF Conference on Computer Vision and Pattern Recognition, Long Beach, CA, USA, 16–20 June 2019; pp. 10285–10295. [Google Scholar]
  33. Li, S.; Lv, F.; Xie, B.; Liu, C.H.; Liang, J.; Qin, C. Bi-classifier determinacy maximization for unsupervised domain adaptation. In Proceedings of the AAAI Conference on Artificial Intelligence, Virtual, 2–9 February 2021; Volume 35, pp. 8455–8464. [Google Scholar]
  34. Du, Z.; Li, J.; Su, H.; Zhu, L.; Lu, K. Cross-domain gradient discrepancy minimization for unsupervised domain adaptation. In Proceedings of the IEEE/CVF Conference on Computer Vision and Pattern Recognition, Nashville, TN, USA, 20–25 June 2021; pp. 3937–3946. [Google Scholar]
  35. Chen, L.; Chen, H.; Wei, Z.; Jin, X.; Tan, X.; Jin, Y.; Chen, E. Reusing the task-specific classifier as a discriminator: Discriminator-free adversarial domain adaptation. In Proceedings of the IEEE/CVF Conference on Computer Vision and Pattern Recognition, New Orleans, LA, USA, 18–24 June 2022; pp. 7181–7190. [Google Scholar]
  36. Yu, Y.; Buchanan, S.; Pai, D.; Chu, T.; Wu, Z.; Tong, S.; Haeffele, B.; Ma, Y. White-box transformers via sparse rate reduction. In Advances in Neural Information Processing Systems; Curran Associates, Inc.: New York, NY, USA, 2024; Volume 36. [Google Scholar]
  37. Cover, T.M.; Thomas, J.A. Elements of Information Theory; Wiley-Interscience: Hoboken, NJ, USA, 2006. [Google Scholar]
  38. Ma, Y.; Derksen, H.; Hong, W.; Wright, J. Segmentation of multivariate mixed data via lossy data coding and compression. IEEE Trans. Pattern Anal. Mach. Intell. 2007, 29, 1546–1562. [Google Scholar] [CrossRef] [PubMed]
  39. Macdonald, J.; Wäldchen, S.; Hauch, S.; Kutyniok, G. A rate-distortion framework for explaining neural network decisions. arXiv 2019, arXiv:1905.11092. [Google Scholar]
  40. Chan, K.H.R.; Yu, Y.; You, C.; Qi, H.; Wright, J.; Ma, Y. Deep networks from the principle of rate reduction. arXiv 2020, arXiv:2010.14765. [Google Scholar]
  41. Mirza, M.; Osindero, S. Conditional generative adversarial nets. arXiv 2014, arXiv:1411.1784. [Google Scholar]
  42. Song, L.; Dai, B. Robust low rank kernel embeddings of multivariate distributions. In Advances in Neural Information Processing Systems; Curran Associates, Inc.: New York, NY, USA, 2013; Volume 26. [Google Scholar]
  43. Luo, Z.; Zou, Y.; Hoffman, J.; Fei-Fei, L. Label efficient learning of transferable representations acrosss domains and tasks. In Advances in Neural Information Processing Systems; Curran Associates, Inc.: New York, NY, USA, 2017; Volume 30. [Google Scholar]
  44. Grandvalet, Y.; Bengio, Y. Semi-supervised learning by entropy minimization. In Advances in Neural Information Processing Systems; MIT Press: Cambridge, MA, USA, 2004; Volume 17. [Google Scholar]
  45. Wu, X.; Hang, S.; Zhou, Q.; Yang, Z.; Zhao, C.; Latecki, L.J. Entropy minimization vs. diversity maximization for domain adaptation. arXiv 2020, arXiv:2002.01690. [Google Scholar]
  46. Saenko, K.; Kulis, B.; Fritz, M.; Darrell, T. Adapting visual category models to new domains. In Proceedings of the European Conference on Artificial Intelligence, Lisbon, Portugal, 16–20 August 2010; Springer: Berlin/Heidelberg, Germany, 2010; pp. 213–226. [Google Scholar]
  47. LeCun, Y.; Bottou, L.; Bengio, Y.; Haffner, P. Gradient-based learning applied to document recognition. Proc. IEEE 1998, 86, 2278–2324. [Google Scholar] [CrossRef]
  48. Peng, X.; Usman, B.; Kaushik, N.; Hoffman, J.; Wang, D.; Saenko, K. Visda: The visual domain adaptation challenge. arXiv 2017, arXiv:1710.06924. [Google Scholar]
  49. Jiang, J.; Chen, B.; Fu, B.; Long, M. Transfer-Learning-Library. 2020. Available online: https://github.com/thuml/Transfer-Learning-Library (accessed on 15 May 2023).
  50. Deng, J.; Dong, W.; Socher, R.; Li, L.J.; Li, K.; Fei-Fei, L. Imagenet: A large-scale hierarchical image database. In Proceedings of the IEEE/CVF Conference on Computer Vision and Pattern Recognition, Miami, FL, USA, 20–25 June 2009; pp. 248–255. [Google Scholar]
  51. Huang, J.; Xiao, N.; Zhang, L. Balancing transferability and discriminability for unsupervised domain adaptation. IEEE Trans. Neural Netw. Learn. Syst. 2022, 35, 5807–5814. [Google Scholar] [CrossRef] [PubMed]
  52. Zhang, J.; Huang, J.; Tian, Z.; Lu, S. Spectral unsupervised domain adaptation for visual recognition. In Proceedings of the IEEE/CVF Conference on Computer Vision and Pattern Recognition, New Orleans, LA, USA, 18–24 June 2022; pp. 9829–9840. [Google Scholar]
  53. Du, Y.; Zhou, D.; Xie, Y.; Lei, Y.; Shi, J. Prototype-guided feature learning for unsupervised domain adaptation. Pattern Recognit. 2023, 135, 109154. [Google Scholar] [CrossRef]
  54. Wang, M.; Wang, S.; Wang, Y.; Wang, W.; Liang, T.; Chen, J.; Luo, Z. Boosting unsupervised domain adaptation: A Fourier approach. Knowl.-Based Syst. 2023, 264, 110325. [Google Scholar] [CrossRef]
  55. Zhang, C.; Lee, G.H. GeT: Generative Target Structure Debiasing for Domain Adaptation. In Proceedings of the IEEE/CVF International Conference on Computer Vision, Paris, France, 2–6 October 2023; pp. 23577–23588. [Google Scholar]
Figure 1. A depiction of the core principle of CR2ADA. (Left) Domain shift is apparent prior to adaptation. (Middle) Maximizing global coding rate reduction can effectively decrease intra-class variations and enhance inter-class domain disparities. (Right) Maximizing local coding rate reduction is essential in driving the target features towards the centroids of their respective class while simultaneously distancing them from the centroids of other classes.
Figure 1. A depiction of the core principle of CR2ADA. (Left) Domain shift is apparent prior to adaptation. (Middle) Maximizing global coding rate reduction can effectively decrease intra-class variations and enhance inter-class domain disparities. (Right) Maximizing local coding rate reduction is essential in driving the target features towards the centroids of their respective class while simultaneously distancing them from the centroids of other classes.
Symmetry 16 01216 g001
Figure 2. An overview of the CR2ADA framework. CR2ADA minimizes cross-entropy loss L C E to reduce the expected error on the source domain. CR2ADA utilizes domain adversarial learning loss L A L to reduce the discrepancy between domains. CR2ADA maximizes L G C R 2 to enlarge the global coding rate reduction of centroids of source and target domains. CR2ADA maximizes L L C R 2 to enhance the local coding rate reduction of target features and centroids of source and target domains. CR2ADA utilizes L M C C to improve the class confusion on the target domain. CR2ADA utilizes L M I to maximize mutual information on the target domain and maximizing prediction diversity on the source domain.
Figure 2. An overview of the CR2ADA framework. CR2ADA minimizes cross-entropy loss L C E to reduce the expected error on the source domain. CR2ADA utilizes domain adversarial learning loss L A L to reduce the discrepancy between domains. CR2ADA maximizes L G C R 2 to enlarge the global coding rate reduction of centroids of source and target domains. CR2ADA maximizes L L C R 2 to enhance the local coding rate reduction of target features and centroids of source and target domains. CR2ADA utilizes L M C C to improve the class confusion on the target domain. CR2ADA utilizes L M I to maximize mutual information on the target domain and maximizing prediction diversity on the source domain.
Symmetry 16 01216 g002
Figure 3. Hyperparameter sensitivity analysis of weight balance parameters α and β on the Office-31 dataset.
Figure 3. Hyperparameter sensitivity analysis of weight balance parameters α and β on the Office-31 dataset.
Symmetry 16 01216 g003
Figure 4. The t-SNE of features learned by ResNet-50, MSTN, and CR2ADA on A→W in the Office-31 dataset.
Figure 4. The t-SNE of features learned by ResNet-50, MSTN, and CR2ADA on A→W in the Office-31 dataset.
Symmetry 16 01216 g004
Figure 5. The t-SNE of features learned by ResNet-50, MSTN, and CR2ADA on A→D in the Office-31 dataset.
Figure 5. The t-SNE of features learned by ResNet-50, MSTN, and CR2ADA on A→D in the Office-31 dataset.
Symmetry 16 01216 g005
Figure 6. The t-SNE of features learned by ResNet-50, MSTN, and CR2ADA on D→A in the Office-31 dataset.
Figure 6. The t-SNE of features learned by ResNet-50, MSTN, and CR2ADA on D→A in the Office-31 dataset.
Symmetry 16 01216 g006
Figure 7. The t-SNE of features learned by ResNet-50, MSTN, and CR2ADA on W→A in the Office-31 dataset.
Figure 7. The t-SNE of features learned by ResNet-50, MSTN, and CR2ADA on W→A in the Office-31 dataset.
Symmetry 16 01216 g007
Figure 8. We use the A -distance as our distribution metric. Different colors indicate different models.
Figure 8. We use the A -distance as our distribution metric. Different colors indicate different models.
Symmetry 16 01216 g008
Table 1. Implementation details of CR2ADA on four benchmark datasets.
Table 1. Implementation details of CR2ADA on four benchmark datasets.
SetupImageCLEF-DAOffice-31Office-HomeVisDA-2017
backboneResNet-50ResNet-50ResNet-50ResNet-101
number of training iterations20,00020,00020,00050,000
batch size32323232
GCR2 weight parameter α 0.030.030.060.03
LCR2 weight parameter β 0.030.030.030.003
precision ϵ 2 for L G C R 2 and L L C R 2 0.50.50.50.5
moving average coefficient θ for updating centroid0.70.70.70.7
filter threshold D 0 for L L C R 2 0.050.0510.1
Table 2. Competitors.
Table 2. Competitors.
CategoryMethod
statistical divergence matching-based methodCAN [13], ETD [20], COT [21]
adversarial learning-based methodCDAN [30], MCD [31], SWD [32],
BCDM [33], CGDM [34], CDAL [10], DALN [35]
other recent approachesDMAL [51], SUDA [52], SIDA [25], PGFL [53], FUDA [54],
IndUDA [14], GeT [55], HMA [26], CDICL [27], DTR [28]
Table 3. Classification accuracy (%) compared with state-of-the-art methods on ImageCLEF-DA dataset (backbone: ResNet-50, bold red: the highest precision, underlined blue: the second-highest precision).
Table 3. Classification accuracy (%) compared with state-of-the-art methods on ImageCLEF-DA dataset (backbone: ResNet-50, bold red: the highest precision, underlined blue: the second-highest precision).
MethodVenueI→PP→II→CC→IC→PP→CAvg.
ResNet-50CVPR1674.883.991.578.065.591.280.7
ETDCVPR2081.091.798.192.877.997.290.5
CDAN+ENIPS1877.790.797.791.374.294.387.7
BCDMAAAI2179.593.296.891.378.995.889.3
CGDMCVPR2178.793.397.592.779.295.789.5
CDALACM MM2280.493.797.893.380.297.590.5
DALNCVPR2279.894.598.094.280.097.590.7
DMALTNNLS2280.393.296.590.576.396.088.8
PGFLPR2378.792.996.294.280.296.889.8
CR2ADAproposed method81.5 ± 0.395.2 ± 0.398.6 ± 0.395.6 ± 0.382.3 ± 0.297.8 ± 0.291.9 ± 0.1
Table 4. Classification accuracy (%) compared with state-of-the-art methods on Office-31 dataset (backbone: ResNet-50; Avg. : mean values except D W , bold red: the highest precision, underlined blue: the second-highest precision).
Table 4. Classification accuracy (%) compared with state-of-the-art methods on Office-31 dataset (backbone: ResNet-50; Avg. : mean values except D W , bold red: the highest precision, underlined blue: the second-highest precision).
MethodVenueA→WD→WW→DA→DD→AW→AAvg.Avg.
ResNet-50CVPR1668.496.799.368.962.560.776.165.1
CANCVPR1994.599.199.895.078.077.090.686.1
ETDCVPR2092.1100.0100.088.071.067.886.279.7
COTCVPR2396.599.1100.096.176.777.491.086.7
CDAN+ENIPS1894.198.6100.092.971.069.387.781.8
BCDMAAAI2195.498.6100.093.873.173.089.083.8
DALNCVPR2295.299.1100.095.476.476.590.485.9
DMALTNNLS2288.499.2100.089.171.870.886.680.0
SUDACVPR2290.898.7100.091.272.271.487.481.4
SIDAIJCAI2294.599.2100.095.776.676.290.485.8
PGLSPR2390.799.199.893.878.176.489.684.8
FUDAKBS2396.4100.0100.096.176.379.491.487.1
IndUDAIJCAI2395.896.678.978.191.487.4
GeTICCV2395.899.1100.096.778.677.891.287.2
HMAICCV2395.199.3100.095.879.377.691.287.0
CDICLKBS2496.599.2100.094.177.377.590.886.4
DTRESA2495.699.0100.094.676.475.690.285.6
CR2ADAproposed method97.198.6100.095.079.679.691.787.8
Table 5. Classification accuracy (%) compared with state-of-the-art methods on Office-Home dataset (backbone: ResNet-50, bold red: the highest precision, underlined blue: the second-highest precision).
Table 5. Classification accuracy (%) compared with state-of-the-art methods on Office-Home dataset (backbone: ResNet-50, bold red: the highest precision, underlined blue: the second-highest precision).
MethodVenueAr→ClAr→PrAr→RwCl→ArCl→PrCl→RwPr→ArPr→ClPr→RwRw→ArRw→ClRw→PrAvg.
ResNet-50CVPR1634.950.058.037.441.946.238.531.260.453.941.259.946.1
ETDCVPR2051.371.985.757.669.273.757.851.279.370.257.582.167.3
COTCVPR2357.675.283.267.876.275.765.456.282.475.160.784.771.7
CDAN+ENIPS1850.770.676.057.670.070.057.450.977.370.956.781.665.8
CDALACM MM2259.577.880.067.077.176.666.656.281.874.360.684.671.8
DALNCVPR2257.879.982.066.376.277.266.755.581.373.560.485.371.8
DMALTNNLS2248.170.676.660.867.768.862.551.278.173.354.081.766.1
SIDAIJCAI2257.279.181.767.174.577.367.253.982.571.458.783.371.2
PGLSPR2350.776.880.064.377.880.264.953.781.370.154.782.869.8
FUDAKBS2362.379.482.867.776.177.068.958.481.374.962.684.273.0
IndUDAIJCAI2361.980.283.070.378.978.870.959.684.076.163.085.474.3
GeTICCV2360.578.882.969.179.778.869.559.384.675.262.388.074.0
HMAICCV2360.679.182.968.977.579.369.155.983.574.662.384.473.2
CDICLKBS2455.974.678.160.373.372.658.653.479.572.762.984.868.9
DTRESA2456.476.579.163.775.174.965.556.280.775.561.085.370.9
CR2ADAproposed method57.080.683.873.680.681.773.658.084.278.559.287.674.9
Table 6. Classification accuracy (%) compared with state-of-the-art methods on VisDA-2017 dataset (backbone: ResNet-101, bold red: the highest precision, underlined blue: the second-highest precision).
Table 6. Classification accuracy (%) compared with state-of-the-art methods on VisDA-2017 dataset (backbone: ResNet-101, bold red: the highest precision, underlined blue: the second-highest precision).
MethodVenuePlaneBicycleBusCarHorseKnifeMotorPersonPlantSkateTrainTruckAvg.
ResNet-101CVPR1655.153.361.959.180.617.979.731.281.026.573.58.552.4
CANCVPR1997.087.282.574.397.896.290.880.796.696.387.559.987.2
COTCVPR2396.989.684.274.196.496.588.682.096.094.185.162.187.1
CDAN+ENIPS1870.0
MCDCVPR1887.060.983.764.088.979.684.776.988.640.383.025.871.9
SWDCVPR1990.882.581.770.591.769.586.377.587.463.685.629.276.4
CGDMCVPR2193.482.773.268.492.994.588.782.193.482.586.849.282.3
BCDMAAAI2195.187.681.273.292.795.486.982.595.184.888.139.583.4
DALNCVPR2280.6
CDALACM MM2297.584.981.070.597.197.390.680.996.294.988.248.785.7
DMALTNNLS2277.6
SUDACVPR2288.379.366.264.787.480.185.978.386.387.578.874.579.8
SIDAIJCAI2295.483.177.164.694.597.288.778.493.889.985.259.484.0
FUDAKBS2393.488.284.184.596.182.393.782.093.477.293.946.784.6
IndUDAIJCAI2397.689.686.181.396.696.090.081.895.492.288.960.388.0
HMAICCV2397.688.484.376.098.497.191.381.497.096.788.860.788.1
CDICLKBS2496.079.680.559.794.595.389.979.492.185.888.038.281.5
DTRESA2494.275.180.266.192.189.694.980.890.976.489.250.381.7
CR2ADAproposed method97.986.081.267.096.289.791.784.893.194.290.660.786.1
Table 7. Ablation study (✕: without the component, ✓: with the component, bold red: the highest precision, underlined blue: the second-highest precision).
Table 7. Ablation study (✕: without the component, ✓: with the component, bold red: the highest precision, underlined blue: the second-highest precision).
GDAGCR2LCR2REGA→WA→DD→AW→AAvg.
94.189.670.176.078.6
94.295.476.576.085.5
94.695.077.779.186.6
96.494.677.976.986.4
95.195.678.379.287.1
97.494.079.778.687.4
97.594.479.278.787.5
97.195.079.679.687.8
Disclaimer/Publisher’s Note: The statements, opinions and data contained in all publications are solely those of the individual author(s) and contributor(s) and not of MDPI and/or the editor(s). MDPI and/or the editor(s) disclaim responsibility for any injury to people or property resulting from any ideas, methods, instructions or products referred to in the content.

Share and Cite

MDPI and ACS Style

Wu, J.; Fang, Y. Towards Discriminative Class-Aware Domain Alignment via Coding Rate Reduction for Unsupervised Adversarial Domain Adaptation. Symmetry 2024, 16, 1216. https://doi.org/10.3390/sym16091216

AMA Style

Wu J, Fang Y. Towards Discriminative Class-Aware Domain Alignment via Coding Rate Reduction for Unsupervised Adversarial Domain Adaptation. Symmetry. 2024; 16(9):1216. https://doi.org/10.3390/sym16091216

Chicago/Turabian Style

Wu, Jiahua, and Yuchun Fang. 2024. "Towards Discriminative Class-Aware Domain Alignment via Coding Rate Reduction for Unsupervised Adversarial Domain Adaptation" Symmetry 16, no. 9: 1216. https://doi.org/10.3390/sym16091216

APA Style

Wu, J., & Fang, Y. (2024). Towards Discriminative Class-Aware Domain Alignment via Coding Rate Reduction for Unsupervised Adversarial Domain Adaptation. Symmetry, 16(9), 1216. https://doi.org/10.3390/sym16091216

Note that from the first issue of 2016, this journal uses article numbers instead of page numbers. See further details here.

Article Metrics

Back to TopTop