Abstract
Bacillus sp. is widely used in the remediation of uranium-contaminated sites. However, little is known about the competitive process of microbial community in the environment during bioremediation. The bioremediation of uranium tailings using Bacillus sp. was explored, and the bacterial community was analyzed by high-throughput sequencing at different stages of remediation. Bacillus sp. reduced the leaching of uranium from uranium tailings. The lowest uranium concentration was 17.25 μg/L. Alpha diversity revealed that the abundance and diversity of microorganisms increased with the extension of the culture time. The microbial abundance and diversity were higher in the treatment group than in the control group. The dominant species at the phyla level were Firmicutes and Proteobacteria in the uranium tailings environment, whereas the phylum of Proteobacteria was significantly increased in the treatment group. Based on the genus level, the proportions of Arthrobacter, Rhodococcus and Paenarthrobacter decreased significantly, whereas those of Clostridium sp., Bacillus and Pseudomonas increased dramatically. Hence, the remediation of uranium contamination in the environment was due to the functional microorganisms, which gradually became the dominant strain in the treatment, such as Desulfotomaculum, Desulfosporporosinus, Anaerocolumna, Ruminiclostridium and Burkholderia. These findings provided a promising outlook of the potential for remediation strategies of soil contaminated by uranium. The dynamic characteristics of the microbial community are likely to provide a foundation for the bioremediation process in practice.
1. Introduction
Uranium mining and metallurgy development produced a large number of uranium tailing; a large amount of uranium and other toxic heavy metals leach from the tailings into the soil and groundwater under the erosion of acid rain [1]. Uranium in the environment exists in U(IV) and U(VI) forms, and the U(VI) has higher solubility and toxicity with the type of UO22+ [2]. Uranium exerts radioactive and chemical toxicities, and the chemical toxicity of uranium is far more harmful to the human body than the radioactive radiation; chemical toxicity induces a variety of diseases or cause mutations, aberrations and even cancer [3,4]. The uranium pollution problem has gained worldwide attention because of its high toxicity and long-term accumulative behavior.
The remediation methods for uranium pollution include physical-chemical methods and bioremediation. Compared with traditional physical-chemical methods, bioremediation is environmentally friendly and characterized by low cost, simple operation, and low environmental disturbance; it is considered as a potential remediation method in pollution control [5]. Many studies have reported the effects of Bacillus sp. on uranium contaminated area, and on the removal rate of uranium [6,7]. For example, Beazley et al. [8] found that the removal rates of uranium from the environment by Bacillus sp. reached 73% when stimulated by glycerophosphate. However, in the bioremediation process, uranium affected the microbial community structure, resulting in the loss of microbial diversity [9].
In recent years, high-throughput sequencing technology was widely used in the study of microbial community structure; it is low cost and quickly and effectively provide a large amount of biological information [10]. At present, most studies focus on the analysis of microbial community structure in heavy metal-polluted environments [11]. Some reports found that Firmicutes and Proteobacteria could multiply growth in the abovementioned environments and showed, relative tolerance to heavy metals; α-Proteobacteria were sensitive to heavy metals [12,13].
However, studies on the relevant mechanism underlying the response of microorganisms during the uranium bioremediation are few. Some papers showed that uranium concentration was negatively correlated with microbial community structure [14]. Others studies showed that the community relationship became more complex owing to competition between microorganisms during bioremediation [15,16]. Exogenous microorganisms competition with in-situ microorganisms, leading to the change in the community structure [17]. Therefore, under the conditions of exogenous microbial remediation, the microbial community competition and change relationship in the remediation environment need to be studied for ecological safety and protection in the process of bioremediation of uranium pollution.
In this study, we investigated the microbial diversity and the responses of the components of microbial communities to the introduction of Bacillus sp. for the remediation of uranium tailings. The objectives of this research were as follows: (1) study the changes of Bacillus sp. during the bioleaching of uranium from uranium tailings; and (2) use high-throughput sequencing technology to explore the bacterial diversity and abundance, as well as the competitive relationship among microorganisms in the remediation process. Results of this study contributed reference information on the changes in microbial community structure and the process of community reconstruction under uranium stress.
2. Materials and Methods
2.1. The Source of Bacteria and Medium
This strain identified as Bacillus sp. (preserved in Wuhan University M2019958) was initially isolated and purified from the uranium tailings pile in southern of China, and preserved in National Engineering Laboratory of Biohydrometallurgy, GRINM Group Corporation Limited [18].
The Bacillus sp. was cultured in the LB liquid medium with 10 g/L of tryptone, 5 g/L of yeast extract, and 10 g/L of NaCl. The culture was shaken (150 rpm) overnight at 30 °C, after which the number and activity of the bacteria were observed. The resulting bacterial suspension concentration was 108 CFU/mL.
2.2. Remediation Experiment of Uranium Tailings
The tailing samples used in this experiment were taken from a uranium tailings depot in southern China. Seventeen points were selected by a diagonal sampling method in the tailings pile. Samples from the surface (approximately 0–20 cm) of the tailings were collected. All samples were placed in sterile bags and barrels, immediately brought back to the laboratory, and stored at 4 °C. The physical and chemical properties of the samples are shown in Table 1.
Table 1.
Chemical properties of the sampled tailings.
The remediation experiment of uranium tailings was carried out in a 1000 mL Erlenmeyer flask, which contained 500 g uranium tailings and 500 mL medium (freshwater bacteria release methane as a by-product of phosphorus acquisition), with the following composition (g/L): NaCl (3), MgCl2·6H2O (6), KCl (2.5), (NH4)2SO4 (0.1), Ca3(PO4)2 (5), and glucose (5). In this culture medium, the initial pH was about 6.5, and the temperature was 30 ℃. For Bacillus sp. inoculation, the inoculum volume was 15% (v/v) of the bacterial suspension. Then, a culture without cells was used as a blank control, and three parallel groups were set in the experiment. Samples (15 mL) from the remediation system were taken after 1, 7, 14, 21, and 28 days. The number of samples in the treatment was 15, whereas that in the control was 14 (One sample in the control group was lost due to an unknown reason on the first day). Afterward, 5 mL of the leaching solution was tested for pH and uranium concentration by 0.22 μm filter, and the rest (10 mL) was used for monitoring the dynamic changes of the microbial community.
2.3. DNA Extraction, PCR Amplification
All the above-mentioned samples DNA was extracted and purified using a E.Z.N.A.® soil DNA kit following the manufacturer’s instructions (Omega Bio-tek, Norcross, GA, USA). The DNA quality and concentrations was checked by agarose gel electrophoresis with the Quantus™ Fluorometer (Promega, Madison, WI, USA).
PCR amplification of the 16S rRNA gene was performed based on the literature, which selected the primers 338F (5′-ACTCCTACGGGAGGCAGCAG-3′) and 806R (5′-GGACTACHVGGGTWTCTAAT-3′) to amplify the V3–V4 regions. The PCR amplification system contained 15 μL 2×Taq master Mix with 10 ng genomic DNA, 4 μL PCR reaction buffer, 0.4 mM of each primer, 2.5 mM dNTPs, and ultrapure water was added to a final volume of 50 μL. The PCR conditions were as follows: 94 °C for 3 min, 27 cycles of 94 °C for 30 s, 45 °C for 20 s, 72 °C for 30 s, and a final extension of 72 °C for 5 min. All PCR products were visualized on agarose gels (2% in TAE buffer) containing ethidium bromide and purified with a AxyPrep DNA Gel Extraction Kit (Axygen Biosciences, Union City, CA, USA)
2.4. High-Throughput Sequencing
Amplification products complete high-throughput gene sequencing was performed in the Illumina Miseq platform (Majorbio BioPharm Technology Co., Ltd., Shanghai, China). The data were analyzed on the free online platform of Majorbio Cloud Platform (www.majorbio.com accessed on 7 July 2020). In order to know similarity and overlap of the species (such as OTU) composition of environmental samples, OTU with a similar level of 97% is selected for analysis. According to the statistical analysis results, the Alpha indices of Chao, ACE, Shannon, Simpson, Coverage reflects he richness and diversity of microbial communities, and corresponding rarefaction curves were analyzed Mothur (v.1.30.1 http://www.mothur.org/wiki/Schloss_SOP#Alpha_diversity accessed on 28 June 2020). The dynamic change of microbial community was classified at phylum and genus level by statistical analysis, which was determined using R software (version 3.3.1).
2.5. Analytical Methods
Cell extracts were filtered using a 0.22 μm filter system before U concentration and pH were measured, the total U concentration was determined by ICP-MS (Agilent Technologies 7700x, Palo Alto, CA, USA). The pH was measured using a pH meter (STARTER 3100, Ohaus Corporation, Shanghai, China).
3. Results and Discussion
3.1. Removal Efficiency of Uranium
To illustrate the effect of bioremediation, the uranium concentration and pH for uranium tailings are shown in Figure 1. The uranium concentrations in the solution initially increased rapidly from 0.30 μg/L to 81.45 μg/L in the treatment group in 7 days. However, after this period, the concentrations decreased until day 28 (17.25 μg/L). In the control, the uranium concentrations increased from days 1 to 21 and reached 433.28 μg/L and then decreased at day 28. At the same time, the pH levels in the treatment and control groups rapidly declined to 4.94 and 5.53 over a 7-day period, respectively. The pH in the treatment group stayed constant during days 7 and 21, but it increased to 6.91 at day 28. In contrast, the pH slightly increased and then fluctuated in the control from 7 to 28 days; ultimately, the pH was maintained at 5.33.
Figure 1.
The uranium concentration and pH value in uranium tailing remediation by Bacillus sp. during different periods.
Tu et al. [19] reported that Bacillus sp. dw-2 can remove 86% total uranium in simulated environment. Pan et al. [20] found that Bacillus sp. can effectively remove uranium in a uranium-contained environment and facilitate uranium transformation from U(VI) to nano-uramphite. In the present study, the introduction of Bacillus sp. can stabilize the uranium in the tailings in situ and effectively reduce the release of uranium compared with the control group. Thus, the final uranium concentration was below the maximum contaminant limit for uranium wastewater discharge (50 μg/L; reference, Chinese Environment Protection Ministry GB 23727-2009) after the remediation. The pH decreased with time; Bacillus sp. decreased the pH of the system, as we found in our previous research [18]. However, pH was stabilized during days 7–28. The pH of the treatment group increased between days 21 and 28. Based on these results, we confirmed that Bacillus sp. can be a useful microorganism in the bioremediation of uranium tailings.
3.2. Microbial Diversity and Richness Assessment
The obtained alpha indexes and coverage are shown in Table 2, and the rank-abundance and alpha diversity rarefaction curves are shown in Figure S1. After quality control, 29,712 sequences were available for further analysis. The mean length between 405 and 420 nucleotides was consistent with the expected PCR results. The coverage of all samples was above 0.997, thereby proving that most of the sequences contained within the uranium tailing were detected.
Table 2.
Alpha index of bacterial diversity for the samples during the different period of remediation (C1,C2,C3,C4,C5 means sample taken at 1, 7, 14, 21 and 28 days in the control; T1,T2,T3,T4,T5 means sample taken at 1, 7, 14, 21 and 28 days in the treatment).
Rarefaction curve analysis shows that all curves reached a plateau (Figure S1b–f), thereby proving that the sequencing depth was appropriate [21]. With progressing time, the biodiversity gradually increased, but the diversity in the treatment group was always higher than that in the control group, as shown in Figure S1a. Alpha diversity was used to evaluate the richness and diversity of microbial community. The Shannon and Simpson indices reflected diversity, whereas ACE and Chao 1 indices were used to evaluate richness [22]. As shown in Figure S1c,d, the rarefaction curves reached saturation rapidly, thereby indicating that the bacterial richness was fully presented.
The Chao 1 and ACE indexes were positively correlated with time in the control and changed dramatically between days 1 and 21. In the remediation experiments, the Chao 1 and ACE indexes were higher in the treatment group than in the control during days 1 to 21, and the highest Chao 1 and ACE indexes (455.4 and 516.8, respectively) were obtained at day 28. However, the Shannon index increased, and Sampson index decreased, and these findings were positively correlated with time in the control, thereby indicating that microbial diversity obviously increased with progressing time. In the treatment group, the Shannon index increased from 1.31 to 2.52 and the Simpson index decreased from 0.45 to 0.16, which might be due to microbial adaptation to the uranium toxicity in the environment during 7 days. During days 7 to 28, the rarefaction curve of Shannon and Simpson in Figure S1e,f showed that the Shannon index reached the maximum value of 3.27 in the treatment group at day 28, which was much greater than the control, and the lowest Simpson index value of 0.09 was obtained.
The alpha indexes in the treatment group were higher than in the control, which indicated that the introduction of Bacillus sp. could enhance the adaptability of microorganisms to the environment. At the same time, this finding implied that the in situ microorganisms have stronger growth characteristics after adapting to the environment. The decrease in uranium content leads to the better growth of microorganisms. Thus, the in situ microorganisms can better adapt to the environment and grow well.
3.3. Microbial Community Composition Analysis at Phylum Level
All effective sequences for all samples were assigned at the phylum level, and the results of all samples are shown in Figure 2 with a relative abundance of more than 0.5%. The dominant phyla across all sample were Firmicutes, Proteobacteria, Actinobacteria, and Bacteroidetes, which had a cumulative contribution of above 99%.
Figure 2.
Composition of bacterial communities at the phylum level ((a) Firmicutes, (b) Proteobacteria, (c) Actinobacteria, (d) Bacteroidetes).
The abundance of Firmicutes and Proteobacteria changed obviously during bioremediation (Figure 2a,b). The content of Firmicutes was 2.43% in the treatment group at day 1, and it increased until day 21. The highest abundance of 82.25% was obtained at day 21. Compared with the treatment group, the content of Firmicutes decreased rapidly in the control from days 1 to 7 and kept a steady status with a slight decrease from days 7 to 28, the highest proportion was 83.71%. Firmicutes was previously reported to be present in the uranium exposure environment [23]. By adding a carbon source into an in situ leaching uranium mine, Ding et al. [24] found that Firmicutes (>70%) was dominant in the sediment. The other most dominant phylum in all samples was Proteobacteria, which has been used in the remediation of uranium-contaminated soil during composting [25]. The ratios in the control and treatment groups were 4.31% and 10.89% at day 1 (Figure 2b), but with time, the ratios increased to 25.42% and 50.6%, respectively. Compared with the control, the significant increase of Proteobacteria in the treatment group indicated that Proteobacteria was a functional microorganism for uranium remediation.
The other phyla observed were Bacteroidetes and Actinobacteria. The abundance of Bacteroidetes was unique to the treatment group (Figure 2d), and its proportion was <0.5% in days 1–7. After 7 days, the proportion increased to the highest level of 2.33% at day 28. Martinez et al. [26] reported that Bacteroidetes can promote the biomineralization of uranium during organophosphate amendments, which indicated that organophosphate could promote the Bacteroidetes growth. On the contrary, an obvious decline of Actinobacteria was found in the samples. The proportion of Actinobacteria decreased from 95.14% to 2.24% in the treatment group, whereas decreased from 86.18% to 1.79% in the control. Actinobacteria is a dominated phyla in the uranium-contaminated environment, as previously reported [27]. The reason for the decrease versus culture time in this study is unknow. Possibly, Actinobacteria was in disadvantageous position in competition with other microorganisms, resulting in a reduction in its microbial population.
The abundance of Firmicutes, Proteobacteria, and Bacteroidetes significantly increased from days 1 to 28 in the treatment group, indicating that they played an important role in the remediation. However, the changes in Firmicutes and Proteobacteria differed in the treatment and control groups from days 1 to 21. The functional microbe adapted to the uranium-contaminated environment and obtained more energy during the competition with other phyla. These conclusions may further explain the lower uranium contents in the treatment group than in the control. So, exogenous microorganisms can better adapt to the environment in the early stage of remediation, and their competition with indigenous microorganisms affects the reconstruction process of indigenous microorganisms.
3.4. Dynamic Change of Microbial Community at Genus Level
Figure 3 shows the distribution of the microbial community at the genus level during the composting process, and a genus’ relative abundance was >1%. Figure 3 shows that the dominant genera were different between control and treatment groups. The diversity of bacteria in the treatment group was higher than that in the control, which was consistent with the results of alpha index diversity.
Figure 3.
Composition of bacterial communities at the genus level (C1,C2,C3,C4,C5 means sample taken at 1, 7, 14, 21 and 28 days in the control; T1,T2,T3,T4,T5 means sample taken at 1, 7, 14, 21 and 28 days in the treatment).
First, the components of bacterial genera (except Bacillus) of both groups were homologous, but the richness differed. The dominant genera in the treatment group were Rhodococcus (57.64%), Paenarthrobacter (24.05%), Luteibacter (6.37%), Pseudomonas (2.85%), and Arthrobacter (1.75%). The abundance accounted for approximately 94% of the entire community. In the control, the dominant genera were Arthrobacter (80.46%), Paenarthrobacter (8.27%), Rhodococcus (4.98%), Pseudomonas (2.16%), and Dyella (1.06%). The dominance of Arthrobacter, Rhodococcus, and Paenarthrobacter in the uranium-contaminated environment has been reported; these bacterial genera could remove uranium effectively [28,29]. During the remediation process, the diversity of treatment changed greatly, and the relative abundance of Rhodococcus and Paenarthrobacter gradually decreased and even disappeared. However, the microbial community change in the control group was not obvious. The introduction of Bacillus could affect Arthrobacter and Dyella proportions in the early stage of remediation.
To further understand the process of microbial structure change, the top 10 dominant genera in the treatment and control groups were compared, and the results are shown in Figure 4. The proportion of Bacillus increased with time. At days 7 and 28, the highest proportions of Bacillus were 8.91% and 3.98% in the treatment and control groups, respectively. However, the proportion of Bacillus decreased after 7 days in the treatment group, possibly because the indigenous microbes can make better use of energy materials after adaptation to the uranium environment. However, Clostridium sp. was the most abundant dominant genus in both control and treatment groups. The abundance of Clostridium sp. was highest in the control group (71.85%) and treatment group (45.87%). Many reports showed that Clostridium sp. was involved in the uranium remediation by bioreduction, bioprecipitation, and biosorption [30,31].
Figure 4.
Abundance changes in genera between treatment and control during different times ((a) the abundance of genes in control group, (b) the abundance of genes in treatment group).
Arthrobacter, Rhodococcus, and Paenarthrobacter decreased obviously with the culture time in all samples and did not adapt to the uranium-contaminated environment. Interestingly, Azotobacter was found in the treatment group, and the highest proportion was obtained at day 14 (30.71%). However, the proportion decreased from days 14 to 28. Azotobacter is involved in the nitrogen biogeochemical cycles, as found in an environment amended with uranyl nitrate [32,33], but no reports on the role of Azotobacter in uranium remediation have been published.
As bacteria that have been used in bioleaching, Pseudomonas and Enterobacter were used to enhance bioleaching [34,35,36]; the relative abundance levels of Pseudomonas (5.34%) and Enterobacter (4.87%) in the control group were higher than in the treatment group, and the highest proportion was obtained on day 7. Edberg et al. [37] reported that dissolved uranium concentrations were higher in the presence of Pseudomonas and light than under dark conditions. However, no report in the literature has mentioned the enhancement of uranium leaching from tailings by Enterobacter. This explains why the uranium concentration was increased in the control group compared with higher than the treatment group during from days of 7 to 28 (Figure 1).
By comparing with the control, some genera were ubiquitous in the treatment group, such as Desulfotomaculum, Desulfosporporosinus, Anaerocolumna, Ruminiclostridium, Burkholderia, and Caproiciproducens, which were significant higher in all samples in the treatment group (Table 3) than in the control. Desulfotomaculum, Desulfosporporosinus, and Anaerocolumna are U(VI)-reducing bacteria found in the uranium remediation composting system, and their presence explained why the pH increased in the control group compared with the treatment group from days 7 to 28 (Figure 1). Desulfosporosinus and Desulfotomaculum are typical sulfate-reducing and metal-reducing bacteria that can be efficiently used for uranium pollution treatment and bioremediation [38,39,40]. Anaerocolumna is an anaerobic bacteria that can use hydrogen as the electron donor, which is responsible for the U(VI)-reducing function [41,42]. Ruminiclostridium is a function bacteria for xyloglucan degradation [43], but no report has proven that Ruminiclostridium can remove uranium or adapt to the uranium-contaminated environment. Caproiciproducens was found in an environment exposed to 9.6 mg/L U(VI) [22]. Agarwal et al. [44] isolated two Burkholderia spp. from the U.S. Department of Energy (DOE)-managed Savannah River Site, and used concomitant genomic and proteomic analysis to finds that 52 metal-resistant genes and proteins were expressed.
Table 3.
OTU numbers of remediation and control during different periods of some species (C1,C2,C3,C4,C5 means sample taken at 1, 7, 14, 21 and 28 days in the control; T1,T2,T3,T4,T5 means sample taken at 1, 7, 14, 21 and 28 days in the treatment).
Based on these outcomes, Bacillus sp. can effectively reduce the growth of some microorganisms that are beneficial to uranium leaching (Pseudomonas and Enterobacter), thereby reducing the uranium concentration in the environment. However, the beneficial stimulus of indigenous bacterial growth was also found during the process, resulting in uranium stabilization. These indigenous bacteria included Desulfotomaculum, Desulfosporosinus, Anaerocolumna and Burkholderia. Desulfotomaculum, Desulfosporosinus, and Anaerocolumna, which belong to Firmicutes. These were speculated to remove the uranium in the environment by bioreduction, biomineralization, and biosorption [45,46]. Burkholderia belongs to Proteobacteria phyla, which reportedly reduces U(VI) to U(VI) and performs uranium bioremediation by biosorption [47].
3.5. Microbial Community Structures
Bacterial communities across all samples were examined using the Unweighted Pair-group Method with Arithmetic Mean (UPGMA) with hierarchical clustering analysis. Each branch on the tree represented one sample of gut microbiota (Figure 5a). Interestingly, the microbial communities obtained in this study were clustered into three groups, namely, group 1 (initial samples of the control and treatment groups), group 2 (the rest of the samples of the control), and group 3 (the rest of the samples of the treatment group).
Figure 5.
Microbial clustering and distribution during remediation: group 1 (initial samples of the control and treatment groups), group 2 (the rest of the samples of the control group), and group 3 (the rest of the samples of the treatment group) ((a) PCoA results; (b) microbial community structure).
ANOSIM revealed significant differences in the structure of all samples (Table S1: R = 0.883, p = 0.001) and intergroup distance box (Figure S2). The difference of microbial community structure between groups was greater than that within groups in different remediation periods. Thus, the grouping scheme was suitable.
The microbial community structure of all samples was examined by principal coordinate analysis (PCoA) (Figure 5b). On the PCoA plot, each symbol represented one gut microbe [48]. Similar to the cluster analysis, microbial community in initial samples was separated from the rest of the samples in the control and treatment groups along the principal coordinate axis 1 (PC 1), which explained the largest amount of variation (28.12%).
Figure 5 shows the microbial community under a dynamic composition. At day 1, control and treatment microbes clustered to group 1, which indicated that the impact of treatment on the microbial community was not obvious during the early stage. Among these groups, groups 2 and 3 were distinct from group 1. The results indicated that the structure of microbial communities of the control and treatment groups changed greatly with the increase of culture time, with the trend shifting from 1 to 2 or 3. The different group trends proved that Bacillus sp.’s introduction into the system can affect the microbial community structures. Possibly, Bacillus sp. could effectively stimulate the growth of reducing microorganisms and reduce the dissolution of uranium, thereby changing the structure of the microbial community [49]. This result was consistent with the bacterial community analysis, where the functional bacteria richness in the treatment group was significantly higher than in the control group.
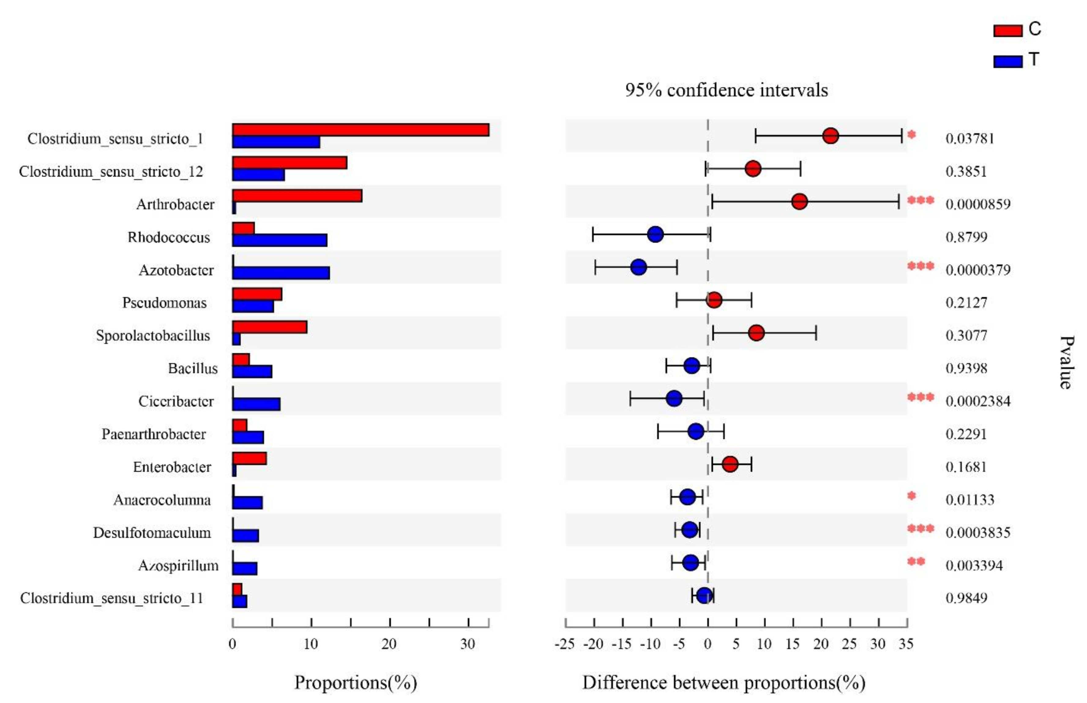
3.6. Significance Test of Differences between Control and Treatment Groups
To better compare the species differences between the control and treatment groups, the samples of the single-photograph group were summarized as C, and the samples in the treatment group were marked as T1–T5. The differences of each sample was determined by Wilcoxon rank-sum test or Mann–Whitney U test (Figure 6). Compared with control, Arthrobacter, Clostridium_sensu_sticto_1, Azobacter, Ciccribacter, Anaerocolumna, Desulfotomaculum, and Azospirillum in the treatment group showed significant differences (with the p < 0.01). This result corresponded to the result of microbial community changes at the genus level. Thus, this result further showed that the introduction of exogenous microorganisms into uranium tailings greatly changed the structure of the in situ microbial community in response to changes in the living environment.
Figure 6.
The difference in the abundance of dominant bacterial genera based on Fisher’s exact test.
4. Conclusions
Bacillus sp. is beneficial to the reduction of the dissolution of uranium in uranium tailings. The concentration of uranium in the leaching solution decreased from 433.28 μg/L (in the control) to 17.25 μg/L (in the treatment group). Changes in the microbial diversity and richness during the remediation process were beneficial. With the extension of remediation time, the microbial diversity increased significantly. The abundance of Firmicutes and Proteobacteria in the treatment group was much higher than in the control group. Genus level analysis found that the abundance of bioreducation microorganisms, such as Desulfotomaculum, Desulfosporporosinus, Anaerocolumna and Burkholderia presented a significant difference between the treatment group and the control. In addition, Bacillus can lead to the functional evolution of the microbial community structure, which is conducive to the stabilization of uranium. Bacillus sp. can be useful for the bioremediation of uranium-contaminated sites and can change the microbial community structure in the remediation environment.
Supplementary Materials
The following are available online at https://www.mdpi.com/article/10.3390/min11090967/s1, Figure S1: Relative rank-abundance (a) and rarefaction curves (b–f) in treatment and control during different times. Richness (b); ACE (c); Chao1 (d); Shannon and Simpson rarefaction plots (e,f), Figure S2: Distance calculated on Genus levels of each Sample groups, Table S1: ANOSIM analysis on Genus levels of each Samples.
Author Contributions
C.T., Conceptualization, Methodology, Software, Investigation, Writing—Original Draft; J.Z., Validation, Formal Analysis; (Y.L.) Ying Lv, Supervision, Data Curation; (Y.L.) Yongbin Li, Writing—Review and Editing.; M.Z., Writing—Review and Editing; X.Y., Review and Editing, W.S., Writing—Review and Editing; X.L., Visualization, Writing—Review and Editing, Supervision, Data Curation. All authors have read and agreed to the published version of the manuscript.
Funding
This research was funded by the National Natural Science Foundation of China [grant numbers 51974279, U1402234, 41573074], KeJunPing [2018] No. 159, the National Key Research and & Development Program of China [grant numbers 2018YFC18018, 2018YFC18027], the Guangxi Scientific Research and Technology Development Plan [grants number GuikeAB16380287 and GuikeAB17129025].
Data Availability Statement
The datasets used and/or analysed during the current study are available from the corresponding author on reasonable request.
Acknowledgments
The data were analyzed on the free online platform of Majorbio Cloud Platform (www.majorbio.com accessed on between 7 April 2020 and 8 September 2020).
Conflicts of Interest
The authors declare no conflict of interest.
References
- Yin, M.; Sun, J.; Chen, Y.; Wang, J.; Shang, J.; Belshaw, N.; Shen, C.; Liu, J.; Li, H.; Linghu, W.; et al. Mechanism of uranium release from uranium mill tailings under long-term exposure to simulated acid rain: Geochemical evidence and environmental implication. Environ. Pollut. 2019, 244, 174–181. [Google Scholar] [CrossRef] [PubMed]
- Yin, M.; Sun, J.; He, H.; Liu, J.; Chen, D. Uranium re-adsorption on uranium mill tailings and environmental implications. J. Hazard. Mater. 2021, 416, 126153. [Google Scholar] [CrossRef]
- Chen, L.; Liu, J.; Zhang, W.; Zhou, J.; Luo, D.; Li, Z. Uranium (U) source, speciation, uptake, toxicity and bioremediation strategies in soil-plant system: A review. J. Hazard. Mater. 2021, 413, 125319. [Google Scholar] [CrossRef]
- Yue, Y.; Li, M.; Wang, H..; Zhang, B.; He, W. The toxicological mechanisms and detoxification of depleted uranium exposure. Environ. Heal. Prev. Med. 2018, 23, 18. [Google Scholar] [CrossRef] [PubMed]
- Rainer, K. Gastrointestinal absorption of uranium compounds—A review. Regul. Toxicol. Pharmacol. 2015, 71, 125–133. [Google Scholar]
- Jing, L.; Zhang, X.; Ali, I.; Chen, X.; Wang, L.; Chen, H.; Han, M.; Shang, R.; Wu, Y. Usage of microbial combination degradation technology for the remediation of uranium contaminated ryegrass. Environ. Int. 2020, 144, 106051. [Google Scholar] [CrossRef]
- Suriya, J.; Shekar, M.C.; Nathani, N.M.; Suganya, T.; Bharathiraja, S.; Krishnan, M. Assessment of bacterial community composition in response to uranium levels in sediment samples of sacred Cauvery River. Appl. Microbiol. Biotechnol. 2017, 101, 1–11. [Google Scholar] [CrossRef]
- Beazley, M.J.; Martinez, R.J.; Sobecky, P.A.; Webb, S.M.; Taillefert, M. Nonreductive Biomineralization of Uranium(VI) Phosphate Via Microbial Phosphatase Activity in Anaerobic Conditions. Geomicrobiol. J. 2009, 26, 431–441. [Google Scholar] [CrossRef]
- Jaswal, R.; Pathak, A.; Edwards, B.; Lewis, R.; Seaman, J.C.; Stothard, P.; Krivushin, K.; Blom, J.; Rupp, O.; Chauhan, A. Metagenomics-Guided Survey, Isolation, and Characterization of Uranium Resistant Microbiota from the Savannah River Site, USA. Genes 2019, 10, 325. [Google Scholar] [CrossRef] [PubMed]
- Fajardo, C.; Costa, G.; Nande, M.; Botías, P.; Garcia-Cantalejo, J.; Martín, M. Pb, Cd, and Zn soil contamination: Monitoring functional and structural impacts on the microbiome. Appl. Soil Ecol. 2018, 135, 56–64. [Google Scholar] [CrossRef]
- Yuebing, S.; Shunan, Z.; Lin, W.; Xuefeng, L.; Yingming, X. Changes of Enzymatic Activities, Substrate Utilization Pattern, and Microbial Community Diversity in Heavy Metal-Contaminated Soils. Water Air Soil Pollut. 2020, 231, 1–16. [Google Scholar]
- Singh, J.P.; Vaidya, B.P.; Goodey, N.M.; Krumins, J.A. Soil microbial response to metal contamination in a vegetated and urban brownfield. J. Environ. Manag. 2019, 244, 313–319. [Google Scholar] [CrossRef] [PubMed]
- Pan, X.; Zhang, S.; Zhong, Q.; Gong, G.; Wang, G.; Guo, X.; Xu, X. Effects of soil chemical properties and fractions of Pb, Cd, and Zn on bacterial and fungal communities. Sci. Total. Environ. 2020, 715, 136904. [Google Scholar] [CrossRef] [PubMed]
- Zeng, T.; Zhang, S.; Liao, W.; Ma, H.; Xie, S. Bacterial community analysis of sulfate-reducing granular sludge exposed to high concentrations of uranium. J. Water Supply Res. Technol. Aqua 2019, 68, 645–654. [Google Scholar] [CrossRef]
- Ye, D.; Zhang, P.; Qin, Y.; Tu, Q.; Yang, Y.; He, Z.; Schadt, C.; Zhou, J. Network succession reveals the importance of competition in response to emulsified vegetable oil amendment for uranium bioremediation. Environ. Microbiol. 2015, 18, 205–218. [Google Scholar]
- Li, B.; Wu, W.; Watson, D.; Cardenas, E.; Chao, Y.; Phillips, D.; Mehlhorn, T.; Lowe, K.; Kelly, S.; Li, P.; et al. Bacterial community shift and coexisting/coexcluding patterns revealed by network analysis in a bioreduced uranium contaminated site after reoxidation. Appl. Environ. Microbiol. 2018, 84, e02885-17. [Google Scholar] [CrossRef]
- You, W.; Peng, W.; Tian, Z.; Zheng, M. Uranium bioremediation with U(VI)-reducing bacteria. Sci. Total. Environ. 2021, 798, 149107. [Google Scholar] [CrossRef]
- Zhong, J.; Hu, X.; Liu, X.; Cui, X.; Lv, Y.; Tang, C.; Zhang, M.; Li, H.; Qiu, L.; Sun, W. Isolation and Identification of Uranium Tolerant Phosphate-Solubilizing Bacillus spp. and Their Synergistic Strategies to U(VI) Immobilization. Front. Microbiol. 2021, 12, 676391. [Google Scholar] [CrossRef]
- Tu, H.; Yuan, G.; Zhao, C.; Liu, J.; Li, F.; Yang, J.; Liao, J.; Yang, Y.; Liu, N. U-phosphate biomineralization induced by Bacillus sp. dw-2 in the presence of organic acids. Nucl. Eng. Technol. 2019, 51, 1322–1332. [Google Scholar] [CrossRef]
- Pan, X.; Chen, Z.; Chen, F.; Cheng, Y.; Lin, Z.; Guan, X. The mechanism of uranium transformation from U(VI) into nano-uramphite by two indigenous Bacillus thuringiensis strains. J. Hazard. Mater. 2015, 297, 313–319. [Google Scholar] [CrossRef]
- Conceição, M.V.R.; Costa, S.S.; Schaan, A.P.; Ribeiro-dos-Santos, Â.K.C.; Silva, A.; Graças, D.A.; Schneider, M.P.C.; Baraúna, R.A. Amazonia Seasons Have an Influence in the Composition of Bacterial Gut Microbiota of Mangrove Oysters (Crassostrea gasar). Front. Genet. 2021, 11, 602608. [Google Scholar] [CrossRef] [PubMed]
- Zeng, T.; Li, L.; Mo, G.; Wang, G.; Liu, H.; Xie, S. Analysis of uranium removal capacity of anaerobic granular sludge bacterial communities under different initial pH conditions. Environ. Sci. Pollut. Res. 2019, 26, 5613–5622. [Google Scholar] [CrossRef] [PubMed]
- Khomdram, N.; Narzary, D. Heavy metal tolerance of bacterial isolates associated with overburden strata of an opencast coal mine of Assam (India). Environ. Sci. Pollut. Res. 2021, 1–16. [Google Scholar] [CrossRef]
- Ding, D.X.; Li, S.M.; Hu, N.; Xu, F.; Li, G.Y.; Wang, Y.D. Bioreduction of U(VI) in groundwater under anoxic conditions from a decommissioned in situ leaching uranium mine. Bioprocess. Biosyst. Eng. 2015, 38, 661–669. [Google Scholar] [CrossRef]
- Yan, X.; Luo, X.; Zhao, M. Metagenomic analysis of microbial community in uranium-contaminated soil. Appl. Microbiol. Biotechnol. 2016, 100, 299–310. [Google Scholar] [CrossRef]
- Martinez, R.; Wu, C.H.; Andersen, G.L.; Taillefert, M.; Beazley, M.J.; Hazen, T.C.; Sobecky, P.A. Uranium Biomineralization by Natural Microbial Phosphatase Activities in the Subsurface. In AGU Fall Meeting Abstracts; American Geophysical Union: Washington, DC, USA, 2015. [Google Scholar]
- Rajeev, M.; Sushmitha, J.; Aravindraja, C.; Toleti, S.R.; Pandian, S.K. Exploring the impacts of heavy metals on spatial variations of sediment-associated bacterial communities. Ecotoxicol. Environ. Saf. 2021, 209, 111808. [Google Scholar] [CrossRef]
- Mtimunye, P.J.; Chirwa, E.M. Uranium (VI) Reduction in a Fixed-Film Reactor by a Bacterial Consortium Isolated from Uranium Mining Tailing Heaps. Biochem. Eng. J. 2019, 145, 62–73. [Google Scholar] [CrossRef]
- Grigoryan, A.A.; Bondici, V.F.; Kryachko, Y.; Khan, N.H.; Lawrence, J.R.; Singh, S.; Wolfaardt, G.M.; Gamage, N.W.; Shetty, D.; Korber, D.R. Draft Genome Sequence of Arthrobacter sp. Strain 260, Isolated from a Uranium Tailings Management Facility in Northern Saskatchewan, Canada. Microbiol. Resour. Announc. 2021, 10, e0036021. [Google Scholar] [CrossRef] [PubMed]
- Zhang, C.; Dodge, C.J.; Malhotra, S.V.; Francis, A.J. Bioreduction and precipitation of uranium in ionic liquid aqueous solution by Clostridium sp. Bioresour. Technol. 2013, 136, 752–756. [Google Scholar] [CrossRef]
- Zhang, C.; Malhotra, S.V.; Francis, A.J. Toxicity of ionic liquids to Clostridium sp. and effects on uranium biosorption. J. Hazard. Mater. 2014, 264, 246–253. [Google Scholar] [CrossRef]
- Povedano-Priego, C.; Jroundi, F.; Lopez-Fernandez, M.; Sánchez-Castro, I.; Martin-Sánchez, I.; Huertas, F.J.; Merroun, M.L. Shifts in bentonite bacterial community and mineralogy in response to uranium and glycerol-2-phosphate exposure. Sci. Total. Environ. 2019, 692, 219–232. [Google Scholar] [CrossRef]
- Shutova, V.V.; Revin, V.V.; Kalinkina, E.A.; Safonov, A.V.; Maksimov, G.V. Levan from Azotobacter vinelandii as a Component of Biosorbents for Heavy Metals and Radionuclides. Appl. Biochem. Microbiol. 2021, 57, 102–109. [Google Scholar] [CrossRef]
- Fathollahzadeh, H.; Becker, T.; Eksteen, J.J.; Kaksonen, A.H.; Watkin, E.L. Microbial contact enhances bioleaching of rare earth elements. Bioresour. Technol. Rep. 2018, 3, 102–108. [Google Scholar] [CrossRef]
- Pollmann, K.; Kutschke, S.; Matys, S.; Raff, J.; Hlawacek, G.; Lederer, F. Bio-recycling of metals: Recycling of technical products using biological applications. Biotechnol. Adv. 2018, 36, 1048–1062. [Google Scholar] [CrossRef] [PubMed]
- Haghighatjoo, M.; Mohammadi, A. Bioleaching for Nanoparticle Production as a Solution for Environmental Pollution. J. Biosaf. 2021, 13, 62. [Google Scholar]
- Edberg, F.; Kalinowski, B.E.; Holmström, S.J.; Holm, K. Mobilization of metals from uranium mine waste: The role of pyoverdines produced by Pseudomonas fluorescens. Geobiology 2010, 8, 278–292. [Google Scholar] [CrossRef]
- Leigh, M.B.; Wu, W.-M.; Cardenas, E.; Uhlik, O.; Carroll, S.; Gentry, T.; Marsh, T.; Zhou, J.; Jardine, P.; Criddle, C.S.; et al. Microbial communities biostimulated by ethanol during uranium (VI) bioremediation in contaminated sediment as shown by stable isotope probing. Front. Environ. Sci. Eng. 2014, 9, 453–464. [Google Scholar] [CrossRef]
- Junier, P.; Frutschi, M.; Wigginton, N.; Schofield, E.J.; Bargar, J.R.; Bernier-Latmani, R. Metal reduction by spores ofDesulfotomaculum reducens. Environ. Microbiol. 2009, 11, 3007–3017. [Google Scholar] [CrossRef]
- Li, D.; Hu, N.; Sui, Y.; Ding, D.; Li, K.; Li, G.; Wang, Y. Influence of bicarbonate on the abundance of microbial communities capable of reducing U(vi) in groundwater. RSC Adv. 2017, 7, 49745–49752. [Google Scholar] [CrossRef]
- Thomas, S.H.; Padilla-Crespo, E.; Jardine, P.M.; Sanford, R.A.; Loffler, F.E. Diversity and Distribution of Anaeromyxobacter Strains in a Uranium-Contaminated Subsurface Environment with a Nonuniform Groundwater Flow. Appl. Environ. Microbiol. 2009, 75, 3679–3687. [Google Scholar] [CrossRef]
- Kim, J.; Kim, J.Y.; Song, H.S.; Kim, Y.B.; Whon, T.W.; Ahn, S.W.; Lee, S.H.; Yoo, S.; Kim, Y.J.; Myoung, J.; et al. Anaerocolumna sedimenticola sp. nov., isolated from fresh water sediment. Antonie Van Leeuwenhoek 2021, 114, 507–513. [Google Scholar] [CrossRef] [PubMed]
- Ravachol, J.; de Philip, P.; Borne, R.; Mansuelle, P.; Maté, M.J.; Perret, S.; Fierobe, H.-P. Mechanisms involved in xyloglucan catabolism by the cellulosome-producing bacterium Ruminiclostridium cellulolyticum. Sci. Rep. 2016, 6, 22770. [Google Scholar] [CrossRef]
- Agarwal, M.; Pathak, A.; Rathore, R.S.; Prakash, O.; Singh, R.; Jaswal, R.; Seaman, J.; Chauhan, A. Proteogenomic Analysis of Burkholderia Species Strains 25 and 46 Isolated from Uraniferous Soils Reveals Multiple Mechanisms to Cope with Uranium Stress. Cells 2018, 7, 269. [Google Scholar] [CrossRef] [PubMed]
- Yin, T.; Lin, H.; Dong, Y.; Li, B.; He, Y.; Liu, C.; Chen, X. A novel constructed carbonate-mineralized functional bacterial consortium for high-efficiency cadmium biomineralization. J. Hazard. Mater. 2020, 401, 123269. [Google Scholar] [CrossRef]
- Brito, E.M.S.; Romero-Núñez, V.M.; Caretta, C.A.; Bertin, P.; Valerdi-Negreros, J.C.; Guyoneaud, R.; Goñi-Urriza, M. The bacterial diversity on steam vents from Paricutín and Sapichu volcanoes. Extremophiles 2019, 23, 249–263. [Google Scholar] [CrossRef]
- Pathak, A.; Chauhan, A.; Stothard, P.; Green, S.; Maienschein-Cline, M.; Jaswal, R.; Seaman, J. Genome-centric evaluation of Burkholderia sp. strain SRS-W-2-2016 resistant to high concentrations of uranium and nickel isolated from the Savannah River Site (SRS), USA. Genom. Data 2017, 12, 62–68. [Google Scholar] [CrossRef] [PubMed]
- Hu, X.; Wang, J.; Lv, Y.; Liu, X.; Zhong, J.; Cui, X.; Zhang, M.; Ma, D.; Yan, X.; Zhu, X. Effects of Heavy Metals/Metalloids and Soil Properties on Microbial Communities in Farmland in the Vicinity of a Metals Smelter. Front. Microbiol. 2021, 12, 2347. [Google Scholar] [CrossRef]
- Zhang, X.; Zhan, Y.; Zhang, H.; Wang, R.; Tao, X.; Zhang, L.; Zuo, Y.; Zhang, L.; Wei, Y.; Li, J. Inoculation of phosphate-solubilizing bacteria (Bacillus) regulates microbial interaction to improve phosphorus fractions mobilization during kitchen waste composting. Bioresour. Technol. 2021, 340, 125714. [Google Scholar] [CrossRef]
Publisher’s Note: MDPI stays neutral with regard to jurisdictional claims in published maps and institutional affiliations. |
© 2021 by the authors. Licensee MDPI, Basel, Switzerland. This article is an open access article distributed under the terms and conditions of the Creative Commons Attribution (CC BY) license (https://creativecommons.org/licenses/by/4.0/).





