Abstract
Portuguese archaeological excavations dated to the 17th century onwards are extremely rich in glass artefacts, with this being a reality from the north to the south of the territory. Contrasting with this reality, no glass production locations from this period have been discovered or excavated so far, which makes the provenance attribution a challenging endeavour. One specific archaeological location, the Monastery of Santa Clara-a-Velha in Coimbra, held one of the largest glass archaeological assemblages dated to the 17th century unearthed in Portugal so far. Due to the large variety of objects’ shapes, glass colours and decorative features, this assemblage is a valuable candidate to hold glass artefacts produced in Portugal. Lacking archaeological excavation on glass furnaces in Portugal, the study of glassmaking raw materials is the most promising research line to investigate the provenance of glass circulating in Portugal. In this study, sand and pebbles from six different locations in the north/centre of Portugal were collected and melted to produce glass samples. The resulting glass samples were chemically characterised using LA-ICP-MS, to obtain the composition of the samples in major, minor and trace elements. The obtained results were compared with the composition of 37 historical samples from the Monastery of Santa Clara-a-Velha previously studied. Additionally, the thermal properties of selected synthesised glasses were analysed by Differential Scanning Calorimetry, allowing new insights on melting temperatures and glass workability. Results indicate that three artefacts with stylistic features attributed to a Portuguese production were locally made with sands collected in Coimbra.
1. Introduction
In the last few decades, the study of historical glass concerning its provenance, origin and nature of the employed raw materials has experienced considerable evolution.
Regarding historical glass and its provenance, besides the objects, the focus of research has turned to the raw materials used to produce glass, namely, silica sources. Silica is the major component of glass, responsible for its structure, and it usually comes from sand (more common) or quartz pebbles [1,2]. Natural sand results from the accumulation of mineral quartz of high insolubility that is composed, by silica, and also by other insoluble minerals. All these minerals also constitute the composition of the glass. These secondary minerals bring to the glass variable contents of aluminium, iron, titanium, zirconium and rare earth, among others, that differ from one sand deposit to another depending on the type of rock source [3,4]. Under this premise, studies especially focusing on Roman glass production were conducted to explore suitable glassmaking sands and how their composition can be explored to determine glass provenance (see [5,6,7,8] for examples). Despite the previous focus on Roman glass and Roman glassmaking sands, there is a fair amount of important information to retrieve from these studies that might be used for provenance research on glass, independent from the chronology.
Although sand is a ubiquitous material, only a limited source of sands are suitable for glassmaking. From very early on in glass production, glass manufacturers were looking for pure sands to decrease the trace of colour in the glass left by impurities. However, even the purest sand will bring to the glass composition impurities derived from feldspars, carbonates and iron oxide, among other minerals [1]. These impurities coming from the sand minerals can be explored as trackers for the sand’s silica source [2,3]. Elements such as Al, Ti, Fe and Zr are among the most used to group related glass compositions. Powerful analytical techniques, such as the laser ablation inductively coupled plasma mass spectrometry (LA-ICP-MS), detect other elements probably associated with the silica source and used as silica trackers, namely Li, Be, Ga, Ge, Y, Nb, Mo, Te, Cs, La, Hf, Ta, W, Tl, Bi and Th [3]. Rare earth element (REE) patterns in glass were also successfully explored to distinguish between different glass groups [9].
Historical Background—The Glass from the Monastery of Santa Clara-a-Velha as a Case-Study
According to documentary evidence, several glass factories were active in Portugal during the 17th and 18th centuries. These factories were spread throughout the Portuguese territory, as seen in Figure 1 [10,11].
Figure 1.
Map of Portugal with the locations of the reported glass workshops in the 17th century (orange dots). Adapted from [10].
Côvo is considered the first large-scale production centre introduced to the North coast of Portugal. The royal privilege for this furnace was established in 1528 and explicitly given to its founder, Pero Moreno or Pero Fernandes Moreno, from Castile [10]. Information about the type of objects made in the manufactory is scarce; however, it is reported that during the 17th century, its production was more dedicated to utilitarian objects. In terms of its location, Côvo had proximity to clay deposits used for crucibles, and it was surrounded by large areas of forest for furnace fuel. Quartz pebbles used as silica sources were collected only a few kilometres away in Vermoim, and finally, it had an abundance of water for the mills to crush quartz pebbles [10]. It is also close to the coastline, where soda-rich plants, such as Salsola Kali, are abundant [12]. Legally speaking, only the kiln located in Côvo (nowadays Oliveira de Azeméis) was the only one with the royal privilege to produce and sell glass (from the village of Coruche up to the frontier with Galicia). However, several glass production locations were found reported in historical documents (see Figure 1) [10], including one located in Coimbra. Information suggests that glass was produced in other locations during the 17th century apart from Côvo.
Between 1283 and 1286, D. Mor Dias (1st half 13th century—1302), a Portuguese noble lady, arranged for the Santa Clara-a-Velha Monastery (order of the Poor Clarissas) to be built in the city of Coimbra. This noble lady chose the monastery’s location on the left bank of the Mondego River because of its proximity to the already existent Franciscan Monastery to receive ecclesiastic assistance from the latter [13]. During the following centuries, the great majority of young women joining the order of the Poor Clares in Santa Clara-a-Velha Monastery (SCV) were of high social status belonging to noble families. This fact is proven by their family names and by the objects of high quality retrieved during the archaeological excavation [13]. The proximity of the monastery to the Mondego River resulted in constant flooding, which led to the construction of a new monastery (Santa Clara-a-Nova Monastery) on a hill located nearby further away from the riverbank, and in 1677, the old building was permanently abandoned. From this date on, the old monastery remained abandoned and partially submersed until 1995, when archaeological excavations began.
During the archaeological works, several objects were recovered. Various metal utensils were found among the retrieved objects, such as spindles, needles, thimbles and scissors and jet adornments. Additionally, a large quantity of common and glazed ceramic objects, including pieces decorated with coats of arms together with a set of high-quality Chinese porcelain, were found [13]. Concerning the glass assemblage, thousands of pieces were retrieved, making this assemblage the largest one so far unearthed in Portugal dated to the 17th century. Glass of all colours was recovered, predominantly various shades of green, blue, yellow and purple. The colourless glass is worth noting, as it is possible to identify perfectly discoloured glass and colourless glass with natural hues (grey, blue, yellow and green). Glass decoration is outstanding, with gilded glass, filigree, engraved glass, mould-blown pattern decorations and millefiori [14,15,16,17,18]. The shapes are characterised by their refinement, and among the objects, Venetian or façon-de-Venise forms and decorations were found [14]. Besides the glass objects, a striking discovery was the set of filigree canes with different patterns and the remains of two millefiori canes [19]. These production remains seem to indicate the presence of glass production in the monastery surroundings.
Most Santa Clara-a-Velha Monastery (SCV) objects have shapes, decorative features and chemical compositions distinctive from coeval assemblages from other European production centres. For the chemical composition, the difference lies mainly in the alumina contents, which are surprisingly high in SCV glasses (>6 wt%) [14,17,20]. At the time, the purest silica source was quartz mineral, whose importation from distant regions was one of the reasons for the high quality of Venetian glass, but, in most cases, the base silica raw material was sand, usually obtained from sedimentary deposits close to the production centres. Thus, the hypothesis of national production was admitted, supported by documentary sources that attest to the existence of several glass production centres in the national territory during the 17th century [10,14,18,21].
Previous compositional studies on representative glass objects circulating in Portugal and dated to the 17th century (circa 100 objects chemically characterised) showed that a soda-rich glass type composes the great majority of the assemblages. Concerning the shapes and decorative features, some Venetian forms are present together with shapes or decorative patterns that are only found in objects excavated in Portugal [18,22]. Alumina proved to be especially important in proposing a national production and identifying imported glass objects among archaeological assemblages [2,17,20,22]. REE and other elements have also been explored to identify Portuguese glass production during the 17th century; however, lacking data on furnaces and production remains, prevents the formation of more definitive conclusions [14].
The objective of the present work is to contribute to a better understanding of the glass produced in Portugal during the 17th century, especially in what concerns the origin of employed raw materials, using SCV as a case study. By analysing the Mondego sands and other potential sources in proximity to reported glass production locations and synthesising glasses employing these materials, we evaluate their suitability for glass production. Furthermore, the making of historical glasses employing local sands is evaluated by comparing their chemical composition with the synthesised glasses.
This work aims to be a step further on identifying glass production locations and raw material sources in Portugal, significantly contributing to Portuguese glass history.
2. Materials and Methods
2.1. Collecting Potential Raw Materials
Sand and quartz pebbles were collected from six different locations: Choupal National Forest, Coimbra (three locations), Águeda and Oliveira de Azeméis (formerly Côvo). Figure 2 shows a map with the collecting locations of silica sources (marked with starred yellow balloons) and the location of the Monastery of Santa Clara-a-Velha (marked with a hearted pink balloon). In Table 1, the GPS coordinates, collecting date, nature of the geological source and designation code of the different locations are presented.

Figure 2.
(a) Map showing the of total Portuguese territory and the silica source collecting locations (marked with starred yellow balloons) (Google Maps). (b) Map (detail) with the locations and designation for the collected silica sources (marked with starred yellow balloons) and the location of Monastery of Santa Clara-a-Velha (marked with a hearted pink balloon) (Google Maps). (c) Geological map of the region.
Table 1.
Table with the location (GPS coordinates) of the collected silica sources, the collecting date, the designation code and the geological source of the sands.
Unlike the other potential raw materials sampled in sedimentary deposits, Côvo quartz came from a dyke intruding meta-sedimentary units. The Côvo location is very rich in clay, kaolin, and quartz. In previous studies, it was possible to recognise that this quartz was employed in glass production of the region [23].
2.2. From Sand to Glass: Experimental Melting Protocol
From the six collected silica raw materials presented in Table 1, only six were selected to be melted with flux and to test their suitability for glassmaking. The selection was based on the location the raw materials were collected and on their alumina content. From these Si sources, 11 soda-rich glasses were synthesised in the laboratory with the following initial composition in weight percent: 12.8 wt% of Na2O and 87.2 wt% of sand or crushed quartz. Na2O content was based on the average of SCV historical glasses analysed [17]. The material used as a source of Na2O was Na2CO3 (reagent from Sigma-Aldrich, anhydrous, 99.999% purity), where CO2 volatilises with temperature, leaving Na2O in the glass. Sands were employed directly with no treatment, such as washing, griding or sifting. The pebbles were ground using an agate mill to avoid contamination. Given that all SCV historical samples were of a soda-rich glass, the synthesised glass was also made using Na2O as a flux.
Glass production was tested both in alumina crucibles and platinum crucibles, meaning that each sand was melted twice (apart from S6) to investigate the extent to which the alumina contamination was detected in the glass composition. In Table 2, one can see the comparison of the same glass melted in both platinum and alumina crucibles. It can be observed that the glass melted in alumina crucibles had a much higher Al2O3 content due to contamination. For this reason, glasses melted in these crucibles were not considered for comparison with historical glass. This experiment served to fine-tune the experimental design and only consider glass resulting from platinum crucibles (a total of six synthesised glasses). It is important to clarify that the contamination of alumina from the crucibles is considered irrelevant for the production of the historical glasses since the used crucibles were most likely much bigger than the ones used in this experiment (circa 5 cm diameter). In previous studies, it was possible to verify that the interaction between crucible and glass happens in a small, restricted small layer (c. 1–2 mm) and does not affect most of the melted batch [24].
Table 2.
Comparison between alumina and silica values for synthesised glasses employing sands and quartz pebbles, both melted in platinum (Pt) and alumina (Al) crucibles, to assess the influence of alumina in the glass, analysed using LA-ICP-MS.
The raw materials were weighed and mixed to produce 80 g for each glass. The melting process took place within 24 h for the fusing process, with a maximum temperature ranging between 1400 °C and 1450 °C in platinum crucibles. The heating ramp was established at 6.5 °C/min until it reached the maximum temperature. After a 24 h dwell, the melted glass, in a hot state, was poured from the crucible, left to cool down and annealed at 510 °C for 1 h.
2.3. Characterisation of the Synthesised Glass
The synthesised glass was characterised by laser ablation inductively coupled plasma mass spectrometry (LA-ICP-MS). Since this technique can analyse solid samples, LA-ICP-MS has been broadly used in cultural heritage studies, including glass [9,20,25], metals [26] and also in the study of the natural glass obsidian [27]. LA-ICP-MS analysis was carried out on the resin embedded glass cross-section. The ablation system used here is located at the National Centre of Scientific Research in Orleans, France. It consists of an Nd:YAG laser working at 266 nm (quadrupled frequency) operating at a maximum energy of 2 mJ and a maximum pulse frequency of 15 Hz. The beam diameter can be adjusted from 20 to 100 μm. The glass analysis was performed at 8 Hz with a beam diameter of 80 μm. A pre-ablation time of 20 s was set to eliminate the transient part of the signal, which was then acquired for 55 s, corresponding to 20 mass scans from lithium to uranium (the signal in count/s was measured in a low-resolution mode for 58 different isotopes). Calibration for glass was undertaken by employing NIST610 and Corning B, C and D glass reference material [28]. The detection limits ranged from 0.1% to 0.01% for major elements and from 20 to 500 ng/g for other elements. Composition was calculated from the average of two ablations carried out in different areas of the sample. To validate results, glass reference standard Corning A was also analysed as an unknown sample, and results are presented in Table 3.
Table 3.
Chemical composition of the synthesised glasses measured by LA-ICP-MS in weight percent of oxides and in µg/g.
Historical glass samples from SCV were analysed by LA-ICP-MS following the same analytical protocol as the one described above for the synthesised glass. Compositional results for SCV historical glass is reported in [14]. In [20], readers find specific results for the façon-de-Venise samples and in [22], for the gourd-shaped vessels.
For the composition of the sands, since these were melted only with Na2CO3, assuming that no soda was present in the sand, the values of Na2O were subtracted from the composition of the resulting glass, and the calculated composition of the sand is presented.
A selection of synthesised glasses (S21, S22, S24 and S25) were also characterised by differential scanning calorimetry (DSC) to study their workability. The thermal analyses were performed using a Netzsch Pegasus® DSC 404 F3 (Netzsch, Selb, Germany), which is equipped with a kiln that can reach temperatures up to 1550 °C. The experiments were conducted using a platinum crucible at a heating rate of 10 K/min. in a nitrogen atmosphere. This technique provides the glass transition temperature (Tg).
3. Results and Discussion
3.1. Experimental Melting of the Collected Sands
Following the melting protocol described above, the various sands and quartz pebbles, after mixing with the flux (Na2O), all resulted in clear glass in different hues, with no inclusions and with a small content of air bubbles, both in size and quantity. Thus, all tested silica sources are suitable for glass production.
Table 4 shows the resulting synthesised glasses from the experimental melting.
Table 4.
Sample location and designation, colour and image of the resulting synthesised glasses. Magnified images were obtained with a Dino-lite® Edge Digital Microscope.
Apart from the glass made with Côvo quartz, which resulted in a completely transparent and colourless glass, all synthesised glasses presented green tonalities. This was expected since sands usually have iron contents known for tinting the glass with green hues. Although with small air bubbles, the resulting glass looked very homogeneous to the naked eye, with no inclusions or crystalline formations in the matrix. These results added to the fact that all glasses were easy to poor from the crucible, which may indicate that the obtained glasses, by using the collected sands, are workable and can be shaped using moulds and glassworking tools.
3.2. Composition of the Synthesised Glass
In Table 3, it is interesting to note that none of the melted sands presented CaO contents above 1 wt%, suggesting that, if these sands were employed for glass production, a CaO source to stabilise the glass was a necessary addition. According to previous studies, SCV historical glasses were made employing flux from a coastal plant ash origin [17,20,22]. The measured contents of MgO (>1.5 wt%), K2O (1.5–5 wt%), P2O5 (0.1–0.7 wt%) and the presence of chlorine were consistent with the use of coastal plant ashes. It is believed that CaO entered the glass together with the flux agent.
Synthesised glasses were compared among themselves, focusing on alumina contents and other silica trace elements that could be used to identify and distinguish between different silica sources.
In Figure 3, the plots of alumina versus titanium oxide and alumina versus iron oxide are presented. The alumina content of the melted sands were located in the high and very high alumina contents’ previously defined regions [17,20]. It is important to mention that these alumina regions in the chart were defined, following the need to accommodate façon-de-Venise glass found in Portugal. These glasses present such high contents for alumina that cannot be compared with any of the Venetian or façon-de-Venise glasses discovered and analysed in Europe [17]. Looking to Figure 3, the only exception to the high and very high alumina contents is the glass synthesised with quartz pebbles from Côvo, which presents a low alumina content. Quartz pebbles are known for having a much lower percentage of impurities in their composition, being the preferred source for glass production when a high quality, luxurious glass is intended, such as the Venetian cristallo that was made employing Ticino quartz pebbles [30].
Figure 3.
Binary charts of (a) alumina vs. iron oxide and (b) alumina vs. iron oxide in weight percent of oxides. The vertical lines indicate the proposed separation between low alumina (LA), medium alumina (MA), high alumina (HA) and very high alumina (VHA) contents [17].
The charts in Figure 3 show that three synthesised glasses (S6, S24 and S25) appeared together in the high alumina region, proposing a shared relation, with very close contents of alumina and titanium oxide, while iron oxide showed a higher variation. From these, two of them (S24 and S25) were made with geographically close sands. To verify the relationship of these silica sources, a selection of trace elements and REE were normalised to the upper Earth crust [31] and plotted in Figure 4.
Figure 4.
Contents of some trace elements and rare earth elements normalised to the upper Earth crust [31] for the synthesised glasses in logarithmic scale.
Looking to Figure 4, glasses made with S24 and S25 sands had a very similar trace element pattern. Glass S6 had a slightly different trace and REE signature for the selected elements, which was expected due to the geographic location (Águeda) of this sand that is not in proximity with S24 and S25 samples. However, S6 shared a close relation with S24 and S25 samples, showing a lower concentration for some elements, which usually relates with purer silica sources. In this plot, one may see that the pattern for the other synthesised glasses and samples S21 and S22 (in Figure 3, located in the very high alumina region with more than 6 wt% Al2O3), both collected in Coimbra, had a very similar pattern with S24 and S25. One may conclude that all samples collected in Coimbra present a very similar, almost coincidental, element pattern, although these samples show some differences in what regards alumina, titanium oxide and iron oxide. Sample S8, made with Côvo quartz pebbles, presents a depletion on the remaining crustal elements, which agrees with the use of a pure silica source [32].
Recalling the colour of the glass samples presented in Table 4, where the synthesised glass is presented, glasses made with sands S6, S24 and S25 presented the lightest green hue, which also corresponds to the lower iron oxide contents (<1 wt%). Samples S21 and 22 presented a deep green colour, which corresponds to higher iron oxide contents (>1 wt%). Finally, the glass made employing Côvo quartz pebbles (S8) was completely colourless, which corresponds to an iron content of 0.02 wt%.
3.3. When Synthesised Glasses Meet Historical Glasses
Previous results showed that the synthesised glasses have characteristics, such as the glasses’ natural hue and alumina values, related to the historical glasses from the Santa Clara-a-Velha monastery.
Synthesised glasses (where sands were mixed with a pure flux source) will necessarily present differences in comparison with historical glasses because of their simplified composition. Historical glasses are intrinsically more complex because of the nature of the used raw materials and all the elements that enter the glass composition as impurities. Figure 5 shows the relationship between synthesised glasses and SCV glasses in the alumina versus titanium oxide chart. The chart shows a clear relationship between synthesised glasses S21 and S22 with the historical glasses that have higher values for alumina. Synthesised glasses S6, S24 and S25, although close to historical glasses with medium alumina values, do not show a clear relationship between each other. Synthesised glass S8, made with quartz pebbles, appears to relate with SCV glasses that were identified as genuine Venetian glasses [20]. Quartz pebbles have a low signature in trace and REE elements, which explains the proximity between genuine Venetian glass (made with Ticino pebbles) and Côvo quartz pebbles.
Figure 5.
Binary chart of alumina vs. titanium oxide for SCV historical glasses and for the synthesised glasses in weight percent of oxides.
In Figure 6, a selection of trace and REE elements is presented for S8 (synthesised glass from Côvo pebbles), and historical glasses previously identified as genuine Venetian glass are presented. Although very pure, pebbles also showed different signatures. This comparison showed that glass made with pebbles from the Ticino River had a different signature than glass made with Côvo pebbles. Côvo pebbles left a weaker signature for most elements, with aluminium being the exception. SCV historical glasses identified as genuine Venetian presented a different Al/Ti ratio in comparison with S8 glass. Côvo pebbles had a higher content of alumina that changed the signature left on the glass. For an accurate comparison, we would need to analyse glass made with Ticino pebbles under the same conditions that the other synthesised glasses were made.
Figure 6.
Contents of selected trace elements and rare earth elements normalised to the upper Earth crust [30] for S8 synthesised glass and for four SCV historical glasses identified as genuine Venetian imports in logarithmic scale.
Hafnium and zirconium are elements considered to enter the glass with the silica source. These elements were previously used to help attribute provenance and to discuss the origin of silica raw materials employed in glassmaking [20,33]. However, it is necessary to consider that both Zr and Hf may be added to glass as contaminations during the preparation of raw materials (stones used for grinding quartz pebbles will introduce Zr in the mixture) as well as during melting (clay from the crucibles can contribute with Zr and Hf contents in the glass). Plotting zirconium versus hafnium for synthesised glasses and SCV historical glasses (Figure 7), a first conclusion is that the majority of SCV historical glasses have higher Hf and Zr contents than the synthesised glasses. Synthesised glasses presented zirconium and hafnium values below 80 and 2 µg/g, respectively. Most SCV glasses had more than 100 µg/g of Zr and 2 µg/g of Hf. This could be due to (i) for the majority of SCV historical glasses, silica sources from different geographic locations were used or (ii) higher Zr and Hf contents entered historical SCV glasses during the preparation of raw materials and melting. Synthesised glasses S21 and S22 are closely related to SCV V14, SCV V177 and SCV V420. S6, S24 and S25 also appear very close to these historical samples. All of these relationships will be further explored.
Figure 7.
Binary chart of zirconium vs. hafnium for SCV historical glasses and for the synthesised glasses in micro grams per gram.
Historical fragments SCV V14, SCV V177 and SCV V420 (Figure 8) belong to shapes with a specific design feature so far only found in glass excavated in Portugal. SCV V14 (4.4 wt% Al2O3) is a footless drinking cobalt blue glass categorised as type 10.1 by T. Medici [18]. Drinking glasses type 10.1 have a cylindric body with thick walls, mould blown, with a pattern of lozenges containing a four-petalled flower [16,18] and more recently proposed to be a cross. Lozenge’s pattern is quite common across coeval European glass; however, the central motif of four-petalled flowers or crosses have only been reported in Portugal [18]. By crossing this information with the glass composition, this object was attributed to possible Portuguese production. In Figure 7, glass SCV V14 appears closely related with glass S21 and S22 and not far from S6, S24 and S25, reinforcing the assumption of a Portuguese origin.
Figure 8.
Santa Clara-a-Velha Monastery objects: SCV-V14 (photo and archaeological drawing by T. Medici ©) footless drinking cup (type 10.1) with a pattern of a four-petalled flower or cross enclosed in lozenges; SCV-V177 (photo by I. Coutinho ©), a gourd-shaped vessel (type 2); and SCV-V420 (photo by I. Coutinho ©), a drinking glass with a foot and stem (type A.3) made from the same glass gather.
SCV V177 (7.8 wt% Al2O3) belongs to a gourd-shaped vessel with a globular body and a pear-shaped neck, categorised as type 2 gourds by T. Medici [18] (Figure 8). Coeval gourd-shaped vessels are known in Europe (although not a common shape); however, features like the pear-shaped neck are only known in the glass gourds excavated in Portugal. An in-depth study of gourd-shaped glass vessels excavated in Portugal led to the conclusion that high skilled glassmakers worked in Portugal to develop complex shapes such as the ones involved in the making of these objects [22]. SCV V177 is also related with synthesised glasses S6, S21, S22, S24 and S5, underlining the likelihood of a Portuguese production.
Finally, SCV V420 (4.5 wt% Al2O3) is made in an intense grey glass and had an incomplete profile; however, fragments suggest it was a drinking glass with a foot and stem (Figure 8). These drinking glasses categorised as type A.3 by T. Medici [18] have a truncated cone-shaped cup, a stem with two hollow buttons and a discoid base. These drinking glasses, common in Portuguese findings, are shaped from the same glass gather that is tooled with the glassmaker’s tweezers. Similar parallels were found in Europe; however, European examples were made with a different technique, where each part (cup and foot) were shaped from different glass gathers joined in a hot state. Linking the compositional information with the shape and the making process of the object, drinking glasses from this typology were identified as a probable Portuguese production [18]. The proximity between SCV V420 and synthesised glasses S6, S21, S22, S24 and S25 leads to suggestion that this object was locally made using local raw materials.
In Figure 9, the signature in selected elements for synthesised glasses S6, S21, S22, S24 and S25 are compared with SCV historical glasses SCV V14, SCV V177 and SCV V420. The resemblance between historical glasses and sands from Coimbra (S21, S22, S24 and S25) is striking, both for the shape and the contents of elements. S6 shows a different Ba content. For all three SCV historical glasses, trace and REE signature, presented in Figure 8, support the idea of a Portuguese provenance employing Coimbra sands. Relating all information from the shapes and decorative features and chemical composition of SCV historical glasses, especially for SCV V14, SCV V177 and SCV V420, we propose that sands collected in Coimbra were used to locally produce these objects.
Figure 9.
Contents of some trace elements and rare earth elements normalised to the upper Earth crust [31] for the synthesised glass collected in Coimbra and identified as probable sources for glass production, and three SCV historical glasses probably made with Si sources collected in Coimbra in logarithmic scale.
Synthesised glasses S21, S22, S24 and S25 were characterised using differential scanning calorimetry (DSC) to study their workability (see Figure 10). The determination of the glass transition temperature (Tg) gives an idea about the glass workability, more specifically about if glasses obtained from these sands with high and very high alumina contents are suitable for free glassblowing (tooling and shaping the glass with tweezers) and mould-blowing. Alumina is known for being a network modifier with stabilising properties that, when present in high contents, can form a tetrahedron with oxygen, taking part as a network former [34]. It is thus expected that high and very high alumina glasses have a higher Tg compared with glasses located in the low and medium alumina region. High and very high alumina contents usually result in a highly viscous glass that are difficult to work with. Glasses with higher alumina values, apart from being more chemically stable (less prone to degradation), are also more mechanically resistant. This also translates into a glass with less working time, with a higher surface resistance and that requires higher melting temperatures [34].
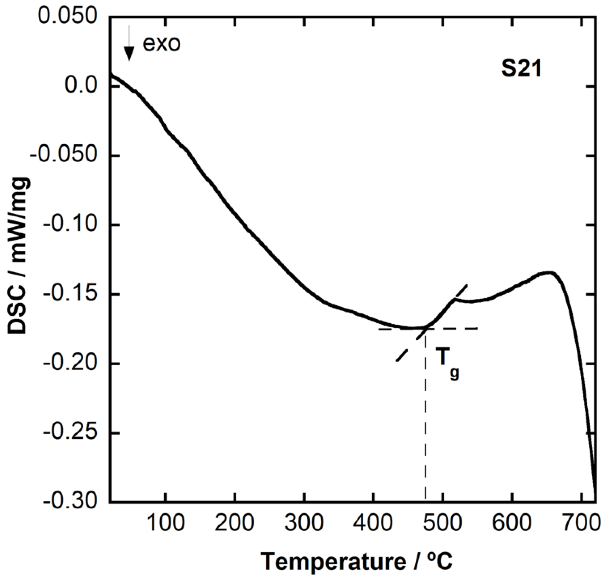
Figure 10.
Example of a differential scanning calorimetry (DSC) analysis. Glass sample S21.
Commonly, lower Tg values correspond to lower softening temperatures (Ts), which result in a more workable glass [35]. Observing the DSC results (Table 5), higher alumina contents generate higher Tg values (sample S22). From this, we can propose that these glasses can be more challenging to work, being S22 the most difficult when compared to glasses S24 and S25. All silica sources used to produce S21, S22, S24 and S25 were collected in Coimbra, in very close geographic areas (see Figure 2b), raising the interesting hypothesis that, in the same region, glassmakers would find various silica sources that would produce glasses with different degrees of workability in terms of blowing, shaping and tooling.
Table 5.
Tg values for glasses S21, S22, S24 and S25 obtained by DSC, determined at the onset.
Although alumina plays a critical role in glass workability, alkaline and alkaline-earth ions are fundamental to balance Tg and Ts. For a more definitive conclusion, these ions and the other glass components need to be considered. Further studies are needed to explore thermal properties in historical glasses.
4. Conclusions
Studies of glass provenance in Portugal have come a long way. Archaeological assemblages dating to the 17th century onwards were the focus because of the large quantity of material excavated from this period. Lacking excavations to glass furnaces from this period, provenance studies were based on the comparison of stylistic features and chemical compositions with coeval glasses from different European production centres. The current work aimed to be a step further on provenance studies of glass excavated in Portugal by looking to possible silica sources used for glass production. For this, six locations were selected to collect sand and quartz pebbles to study their suitability to produce glass and to compare the resulting glass with historical samples from the Santa Clara-a-Velha monastery in Coimbra.
Sands from five different locations plus quartz pebbles from the Côvo region were mixed with Na2O as a flux and successfully melted into 12 glasses using two types of crucibles: alumina and platinum crucibles.
The first important conclusion is that all five sands and the pebbles resulted in transparent and homogeneous glasses. All samples were analysed by LA-ICP-MS, following the same protocol used for the Santa Clara-a-Velha historical glasses. Results proved that alumina crucibles pass a significant amount of Al2O3 to the glass, which would have implications in the comparison with historical samples. For this reason, sands melted in alumina crucibles were discarded from the study, and only the ones melted in platinum crucibles (six glasses) were further characterised and compared with historical glasses.
Synthesised glasses have different alumina levels, from low amounts (<2 wt% Al2O3, quartz pebbles from Côvo) up to high alumina (>3 Al2O3 <6 wt%, three sands, one from Águeda and two from Coimbra) and very high alumina contents (>6 wt% Al2O3, two sands collected in Coimbra). The majority of Santa Clara-a-Velha historical glasses fall within the high and very high alumina regions, reducing the possible used sands to five, collected in Águeda (S6) and Coimbra (S21, S22, S24 and S25). The four sands with high very high alumina contents collected in Coimbra showed a consistent compositional relationship in trace and REE elements with three historical samples: SCV V14, SCV V177 and SCV V420. These specific objects have stylistic features suggested to be of Portuguese origin. SCV V14 has a mould-blown pattern, so far only found in glass excavated in Portugal, SCV V177 is a gourd-shaped vessel and SCV V420 is a footed goblet manufactured using a production methodology identified only in Portuguese assemblages. The relationship found between chemical composition, shapes and decorative features and the archaeological context led us to conclude that these three objects were most likely produced in the Coimbra region employing sands such as S21, S22, S24 and S25.
Lacking excavated furnaces, the study of raw materials for glassmaking proved to be a very powerful methodology. For future work, additional silica sources must be explored in the Coimbra region and in other locations in Portugal where written sources point to glass production.
This work that allowed for the identification of silica raw materials used in glassmaking in Portugal in the 17th century was a step further in the writing of the history of glass in Portugal, which is revealed to be of high quality and employs local raw materials.
Author Contributions
Conceptualisation, M.V., I.C., T.M. and A.L.; methodology, M.V., A.L.; software, I.C., B.G., P.D. and A.R.; validation, I.C., T.M., A.R., P.D., B.G. and M.V.; investigation, M.V., A.L., T.M., I.C., A.R.; data curation, I.C., B.G. and A.R.; writing—original draft preparation, I.C., P.D. and B.G.; writing—review and editing, I.C., T.M., A.R., P.D., B.G. and M.V.; visualisation, M.V. and I.C.; supervision, M.V., T.M., A.L. and I.C.; project administration, M.V., T.M., A.L. and I.C.; funding acquisition, M.V., T.M. and A.L. All authors have read and agreed to the published version of the manuscript.
Funding
This research was funded by Gulbenkian Foundation, grant number 125421. This work has been also partially funded by the Fundação do Ministério de Ciência e Tecnologia de Portugal through the research unit VICARTE (UID/00729/2020).
Conflicts of Interest
The authors declare no conflict of interest. The funders had no role in the design of the study; in the collection, analyses or interpretation of data; in the writing of the manuscript or in the decision to publish the results.
References
- Moretti, C.; Hreglich, S. Raw materials, recipes and procedures used for glass making. In Modern Methods for Analysing Archaeological and Historical Glass; Janssens, K., Ed.; Wiley: Chichester, UK, 2013; Volume I. [Google Scholar]
- Vilarigues, M.; Coutinho, I.; Medici, T.; Alves, L.; Gratuze, B.; Machado, A. From beams to glass: Determining compositions to study provenance and production techniques. Phys. Sci. Rev. 2019, 4, 1–24. [Google Scholar] [CrossRef]
- Brems, D.; Degryse, P. Trace Element Analysis in Provenancing Roman Glass-Making. Archaeometry 2014, 56, 116–136. [Google Scholar] [CrossRef]
- Velde, B. Glass Compositions over Several Millennia in the Western World. In Modern Methods for Analysing Archaeological and Historical Glass; Janssens, K., Ed.; Wiley: Chichester, UK, 2013; Volume I, pp. 67–78. [Google Scholar]
- Brems, D.; Boyen, S.; Ganio, M.; Degryse, P.; Walton, M. Mediterranean sand deposits as a raw material for glass production in antiquity. In Proceedings of the Annales du 18e Congrès de l’Association Internationale pour l’Histoire du Verre, Thessaloniki, Greece, 21–25 September 2009; Ignatiadou, D., Antonaras, A., Eds.; Association Internationale pour l’Histoire du Verre: Thessaloniki, Greece, 2012; pp. 120–127. [Google Scholar]
- Brems, D.; Degryse, P.; Hasendoncks, F.; Gimeno, D.; Silvestri, A.; Vassilieva, E.; Luypaers, S.; Honings, J. Western Mediterranean sand deposits as a raw material for Roman glass production. J. Archaeol. Sci. 2012, 39, 2897–2907. [Google Scholar] [CrossRef]
- Freestone, I.C. Glass production in Late Antiquity and the Early Islamic period: A geochemical perspective. Geol. Soc. Lond. Spéc. Publ. 2006, 257, 201–216. [Google Scholar] [CrossRef]
- Brems, D.; Degryse, P.; Ganio, M.; Boyen, S. The production of Roman glass with western Mediterranean sand raw materials: Preliminary results. Eur. J. Glas. Sci. Technol. A 2012, 53, 129–138. [Google Scholar] [CrossRef][Green Version]
- Wedepohl, K.H.; Simon, K.; Kronz, A. The chemical composition including the Rare Earth Elements of the three major glass types of Europe and the Orient used in late antiquity and the Middle Ages. Geochemistry 2011, 71, 289–296. [Google Scholar] [CrossRef]
- Amado Mendes, J. História do Vidro e do Cristal em Portugal; Inapa: Lisboa, Portugal, 2002. [Google Scholar]
- Custódio, J. A Real Fábrica de Vidros de Coina (1719–1747) e o vidro em Portugal nos séculos XVII e XVIII: Aspectos Históricos, Tecnológicos, Artísticos e Arqueológicos; Instituto Português do Património Arquitectónico: Lisboa, Portugal, 2002. [Google Scholar]
- Jardim Botânico UTAD Salsola Kali. 2021. Available online: https://jb.utad.pt/especie/Salsola_kali (accessed on 8 November 2021).
- Trindade, S.D.; Gambini, L.I. Mosteiro de Santa Clara-a-Velha—Do Convento à Ruína, da Ruína à Contemporaneidade, 2nd ed.; Direcção Regional de Cultura do Centro: Coimbra, Portugal, 2009. [Google Scholar]
- Coutinho, I. New Insights into 17th and 18th Century Glass from Portugal: Study and Preservation. Ph.D. Thesis, Universidade Nova de Lisboa, Lisbon, Portugal, 2016. [Google Scholar]
- Ferreira, M. Espólio vítreo proveniente da estação arqueológica do Mosteiro de Sta. Clara-a-Velha de Coimbra: Resultados preliminares. Rev. Port. Arqueol. 2004, 7, 541–583. [Google Scholar]
- Ferreira, M.; Medici, T. Mould-blown decorative patterns on Medieval and post-Medieval glass beakers found in Portugal (14th–18th century). In Proceedings of the Actes des 23e Rencontres de l’Association Française Pour l’Archéologie du Verre (Scientia Artis, 5), Bruxelles, Belgium; 2010; pp. 403–411. Available online: https://www.researchgate.net/publication/266078521 (accessed on 8 November 2021).
- Lima, A.; Medici, T.; de Matos, A.P.; Verità, M. Chemical analysis of 17th century Millefiori glasses excavated in the Monastery of Sta. Clara-a-Velha, Portugal: Comparison with Venetian and façon-de-Venise production. J. Archaeol. Sci. 2012, 39, 1238–1248. [Google Scholar] [CrossRef]
- Medici, T. Vidros da Terra, o vidro tardomedieval e moderno em Portugal (séculos XIV-XVII). O contributo da arqueologia. Ph.D. Thesis, Faculdade de Letras da Universidade de Coimbra, Coimbra, Portugal, 2014. [Google Scholar]
- Ramos, A.T.; Lima, A.; Medici, T.; Pires de Matos, A.; Pichon, L.; Moignard, B. Study and Analysis of 17th century filigrana glass fragments from the Monastery of Sta. Clara-a-Velha, Portugal. In Proceedings of the 18th Congress of the Association Internationale Pour l’Histoire du Verre, Thessaloniki, Greece, 21–25 September 2009; Ignatiadou, D., Antonaras, A., Eds.; Association Internationale pour l’Histoire du Verre: Thessaloniki, Greece, 2009. [Google Scholar]
- Coutinho, I.; Medici, T.; Alves, L.; Gratuze, B.; Vilarigues, M. Provenance studies on façon-de-Venise glass excavated in Portugal. J. Archaeol. Sci. Rep. 2016, 7, 437–448. [Google Scholar] [CrossRef]
- Valente, V. O Vidro em Portugal; Editora Portucalense: Porto, Portugal, 1950. [Google Scholar]
- Coutinho, I.; Medici, T.; Wiley, R.; Alves, L.C.; Gratuze, B.; Vilarigues, M. The Gourd-Shaped Vessel: A Portuguese Product? J. Glass Stud. 2017, 59, 215–234. [Google Scholar]
- Garcia, P. Prospecção na Quinta do Côvo. Master’s Thesis, Universidade de Aveiro, Aveiro, Portugal, 2009. [Google Scholar]
- Dungworth, D. Glass-ceramic reactions in some post-medieval crucibles. Glas. Technol. Eur. J. Glas. Sci. Technol. Part A 2008, 49, 157–167. [Google Scholar]
- Cagno, S.; Mendera, M.; Jeffries, T.; Janssens, K. Raw materials for medieval to post-medieval Tuscan glassmaking: New insight from LA-ICP-MS analyses. J. Archaeol. Sci. 2010, 37, 3030–3036. [Google Scholar] [CrossRef]
- Sarah, G.; Gratuze, B.; Barrandon, J.-N. Application of laser ablation inductively coupled plasma mass spectrometry (LA-ICP-MS) for the investigation of ancient silver coins. J. Anal. At. Spectrom. 2007, 22, 1163–1167. [Google Scholar] [CrossRef]
- Gratuze, B. Obsidian Characterization by Laser Ablation ICP-MS and its Application to Prehistoric Trade in the Mediterranean and the Near East: Sources and Distribution of Obsidian within the Aegean and Anatolia. J. Archaeol. Sci. 1999, 26, 869–881. [Google Scholar] [CrossRef]
- Gratuze, B. Glass Characterization Using Laser Ablation-Inductively Coupled Plasma-Mass Spectrometry Methods. In Recent Advances in Laser Ablation ICP-MS for Archaeology (coll. Natural Sciences in Archaeology); Dussubieux, L., Golitko, M., Gratuze, B., Eds.; Springer: Berlin/Heidelberg, Germany, 2016; pp. 179–196. [Google Scholar]
- Adlington, L.W. The Corning Archaeological Reference Glasses: New Values for “Old” Compositions. Pap. Inst. Archaeol. 2017, 27, 1–8. [Google Scholar] [CrossRef]
- Verità, M.; Zecchin, S. Thousand Years of Venetian Glass: The evolution of chemical composition from the origins to the 18th century. In Annales of the 17th Congress of the International Association for the History of Glass; Janssens, K., Degryse, P., Cosyns, P., Caen, J., Van’t dack, L., Eds.; University Press: Antwerp, Belgium, 2009; pp. 602–613. [Google Scholar]
- Wedepohl, K.H. The composition of the continental crust. Geochim. Cosmochim. Acta 1995, 59, 1217–1232. [Google Scholar] [CrossRef]
- Cagno, S.; Favaretto, L.; Mendera, M.; Izmer, A.; Vanhaecke, F.; Janssens, K. Evidence of early medieval soda ash glass in the archaeological site of San Genesio (Tuscany). J. Archaeol. Sci. 2012, 39, 1540–1552. [Google Scholar] [CrossRef]
- De Raedt, I.; Janssens, K.; Veeckman, J.; Vincze, L.; Vekemans, B.; Jeffries, T.E. Trace analysis for distinguishing between Venetian and façon-de-Venise glass vessels of the 16th and 17th century. J. Anal. At. Spectrom. 2001, 16, 1012–1017. [Google Scholar] [CrossRef]
- Navarro, J.M.F. El Vidrio, Colección Textos Universitarios, no6, 3rd ed.; Consejo Superior de Investigaciones Científicas Sociedad Española de Cerámica y Vidrio: Madrid, Spain, 2003. [Google Scholar]
- Santos, C.R.; Vilarigues, M.; Dabas, P.; Coutinho, I.; Palomar, T. Reproducing crystal glass from three 18th–20th centuries Portuguese glass arcana. Int. J. Appl. Glas. Sci. 2020, 11, 743–755. [Google Scholar] [CrossRef]
Publisher’s Note: MDPI stays neutral with regard to jurisdictional claims in published maps and institutional affiliations. |
© 2022 by the authors. Licensee MDPI, Basel, Switzerland. This article is an open access article distributed under the terms and conditions of the Creative Commons Attribution (CC BY) license (https://creativecommons.org/licenses/by/4.0/).






















