Abstract
To realize the efficient and comprehensive utilization of specularite resources, combined with the cement clinker production technology of rotary kilns, the coupling process of the direct reduction of specularite by lignite and the preparation of cementitious material was proposed, with the additional aim of achieving the reduction of iron oxide and transforming the gangue component into cementitious material. Thermodynamic software was used to calculate the product composition when the reaction reached equilibrium under the set conditions. By analyzing the influence of the ratio of C/O, basicity, temperature, and other parameters on the reduction of iron oxide and cementitious material generation, the feasibility of the process was judged and experimentally verified. The results showed that the coupling process of the direct reduction of specularite and the preparation of cementitious material was thermodynamically feasible when using highly volatile lignite with added calcium oxide. The optimal C/O ratio of the reducing agent was 1.2 for the complete reduction of iron oxide (Fe2O3, Fe3O4, FeO) without the gangue fraction; reduced iron could stably coexist with the cementitious material components, but the unreduced FeO would result in a substantial reduction in tricalcium silicate generation. Using lignite as a reducing agent, the hydrogen-rich volatiles in coal created a good reducing atmosphere, strengthened the reduction process of iron oxide, and provided favorable conditions for the generation of cementitious material. A two-stage heating system must be adopted to realize the reduction of iron oxide and the generation of cementitious material. The process parameters conducive to the reduction of specularite and cementitious materials were determined, the basicity range of the system was regulated to 2.4–3.3, the reasonable reduction temperature was close to and not higher than 1137 °C, and the optimal temperature of cementitious material generation was 1450 °C.
1. Introduction
Specularite is an important iron-containing mineral. In today’s vigorously promoted sustainable development strategy, steel enterprises try to apply specularite to the blast furnace production process [1,2,3]. However, due to the compact structure of specularite, it is not easy to make it form pellets and it is difficult to adhere specularite to other mineral particles. Combined with the high liquid phase generation temperature, specularite is easy to pulverize by adding it to a blast furnace; however, this results in poor granularity and burnability [4,5]. At present, its hydrophilic and surface activity can only be increased through multiple pretreatment processes so that it can participate in the preparation of sintering ore and pellet ore in the form of ingredients [6,7,8,9]. The use of a pretreatment process undoubtedly increases the production cost and complicates the process, and the increase in the matching amount produced is also limited. There are still many problems in utilizing specularite through the traditional blast furnace process, which makes the widespread utilization of specularite difficult.
The goal of “carbon peak and carbon neutrality” advocated by the Chinese government puts forward higher requirements for the maximization of resources and environmental protection of traditional steel enterprises. The development and optimization of the process should aim at the rational utilization of resources and the reduction of pollutant emissions. For poorly selected iron ore resources, taking specularite as an example, not only an increase in the recovery of iron but also the treatment of gangue should be given attention. Therefore, a direct reduction process is a reasonable choice for treating specularite [10,11]. The direct reduction process does not use metallurgical coke, which has certain advantages in treating low-grade complex symbiotic iron ore and makes use of China’s rich low-order coal resources at the same time. However, it is of great significance to the development of the iron and steel industry to further reduce resource and energy consumption in the steel production process, explore the high value-added resource utilization of solid waste, especially gangue components, and study new high-efficiency and energy-saving techniques to achieve less waste discharge and even waste-free iron and steel smelting technologies. At present, research has been conducted on producing silicate cement clinkers by using iron-containing materials, such as iron selective tailings [12,13,14] or copper slag [15] and slag [16,17]. The gangue composition is close to that of cement clinker, and direct reduction iron smelting and cement clinker production technology also use the same process and process conditions. Under this background, the coupling technology of the direct reduction of specularite by lignite and the preparation of cementitious material is proposed, combining direct reduction using the iron technology of rotary kiln production with cement clinker production technology, to realize an efficient no-solid-waste resource utilization of specularite. The basic process flow is shown in Figure 1.
Figure 1.
Flow chart of the comprehensive utilization of no-solid-waste resources of specularite.
This process produces direct reduction iron and cementitious material, with specularite as the main raw material. Lignite is added as a reducing agent according to the reduction requirements of specularite, and lime is added according to the production requirements of cement clinker. After grinding the ingredients, reducing the iron oxide, generating the cementitious material components, performing magnetic separation, and directly reducing the iron powder, the cementitious material was finally obtained.
In terms of previous research, scholars have published very useful work in the field. Young et al. [18] used high-magnesium and low-iron silicon tailings instead of partial clay to produce cement clinker via a conventional sintering process. When the additional amount was 10% at 1420 °C, chemical and mineral tests showed that the added iron tailings had little effect on the formation of the clinker mineral phase, and the quality of the clinker produced by the added tailings was improved. This indicated that using the iron-containing material to replace part of the raw material to produce silicate cement clinker was feasible. Rao [19] used high-grade hematite with carbon powder and additives to produce reduced iron and cementitious material. Thermodynamic calculations showed that reduced iron and cementitious material can be generated and can stably coexist. However, no tricalcium silicate was generated when the continuous heating method was adopted, while reduced iron and tricalcium silicate appeared in the products when the segmented heating method was used. Li [20] achieved the simultaneous production of reduced iron and cementitious material with nickel slag, carbon, and calcium oxide through one roasting. The results showed that the reduction of iron in nickel slag and the generation of cementitious material can be realized when the two-stage heating system method was adopted. These studies initially demonstrated that the process route of the simultaneous production of cementitious material by the direct reduction of iron-containing materials was experimentally feasible. However, without the corresponding theoretical support and mechanism analysis, the thermodynamic calculations and the experimental results do not agree well. Moreover, in the experimental results of these studies, the reduction effect of iron oxide and the content of the cementitious material obtained were not satisfactory. This may be due to their habitual use of less reactive graphite or anthracite as reducing agents, which led to the slow reaction rate and poor reaction effect of the reduction process, thus affecting the generation of cementitious material and, unfortunately, preventing the final product from reaching the target content.
Therefore, in this study, highly reactive lignite was used as a reducing agent, mainly for the thermodynamic study of the reduction of iron oxide and conversion of gangue components into cementitious material in the coupling process of coal-based reduction of specularite and preparation of cementitious material. The thermodynamic feasibility of the coupling process of direct reduction and cement clinker roasting was verified by thermodynamic calculations. The thermodynamic conditions conducive to the direct reduction of specularite and the generation of cementitious material were explored. The results proved the important effect of the heating system on the coupling preparation process of direct reduction and cementitious material and provided a theoretical basis for formulating reasonable process parameters.
2. Materials and Methods
2.1. Specularite
The specularite used in this study was from the Liangshan region, Sichuan Province, and the macroscopic morphology after fragmentation is shown in Figure 2. To ensure that the sample composition was uniform and convenient, the raw ore was ground to below 200 mesh (74 µm) and dried for preservation. The chemical composition and material phase composition of the mineral powder are shown in Table 1 and Figure 3, respectively.
Figure 2.
Macroscopic morphology of specularite.
Table 1.
Chemical composition of specularite (wt %).
Figure 3.
X-ray diffraction analysis of specularite.
As shown in Table 1, iron was the main element of recycling value, with an iron grade of 50.33%, the SiO2 content of the main gangue mineral was 12.02%, and the content of other impurities and harmful elements in the sample was low.
The X-ray diffraction analysis was performed using a D/MAX-2400 X-ray diffractometer from Rigaku, Japan, at room temperature (25 °C), in a continuous scanning mode, and the X-rays were monochromatic Cu-Kα radiation (λ = 0.15444 nm). The graphite monochromator had a target voltage of 40 kV, a target current of 30 mA, a scanning range of 2θ = 0~90°, and a scanning speed of 10°/min.
According to the X-ray diffraction analysis of specularite in Figure 3, the main forms of iron oxide in the specularite samples were Fe2O3 and FeCO3, which were composed of specularite and siderite. The main gangue minerals were quartz and a small amount of carbonate minerals, such as limestone and dolomite.
2.2. Reductant
The coal-based direct reduction process starts from a solid–solid reaction, relying on direct contact between the ore and the reducing agent, and then realizes the “carbon cycle” of the reduction reaction through the intermediate CO2. The addition of numerous basic additives to achieve the one-step generation of cementitious material would lead to a further reduction in the contact area of iron oxide and reducing agent, making the reduction conditions of iron oxide problematic. In this study, highly volatile lignite was used as a reductant; its proximate analysis and elemental analysis results are shown in Table 2.
Table 2.
Proximate analysis and element analysis of lignite as a reductant.
This coal ash content was low, and the contents of volatiles were high. The sulfur and nitrogen contents were also very low, belonging to the highly volatile and low metamorphic coal species. Pyrolysis could produce a large amount of reducing gas, which is very important for the direct coal-based reduction process. The coal samples were fully pyrolyzed at 1100 °C. The thermolysis products were determined, and the yield and composition of the pyrolysis gas were determined to provide a basis for the subsequent thermodynamic calculation, as shown in Table 3.
Table 3.
The pyrolysis product yield and composition of pyrolysis gas.
Characterization of the pyrolysis gas was carried out using an SP-3510 gas chromatograph (BFRL, Beijing, China). Pyrolyzed gas accounted for 24.96% of the highly volatile coal pyrolysis products. However, the reducing gas H2 accounted for 52.03%, and CO accounted for 17.26%. Considering that the coal-based direct reduction process was performed at sufficiently high reaction temperatures, H2 was stronger than CO at high temperatures, while the CH4 and CmHn compounds could still further decompose the resulting reducing gas and participate in the iron ore reduction reaction.
Combining the results of the coal characteristics, all the gases of the coal pyrolysis products were comprehensively considered and converted into volume proportions to determine the reducing properties of the pyrolysis gas. The values of CO/(CO + CO2) and H2/(H2 + H2O) of the reducing gas were calculated and annotated on the iron oxide reduction equilibrium diagram, as shown in Figure 4. The proportion of the gas released by the coal after sufficient pyrolysis was in the Fe-dominant region on the iron oxide gas-based reduction equilibrium diagram and had sufficient reduction capability.
Figure 4.
Reductive properties of coal pyrolytic gas.
Highly volatile lignite was reported to significantly promote the iron oxide reduction process and had a more obvious dominant reduction effect than bituminous coal or anthracite [21]. As the volatilization of coal escaped rapidly through pyrolysis, creating a good reducing atmosphere, it can promote the rapid start of the direct coal-based reduction process. In addition, the rich hydrogen in the volatiles can enhance the “hydrogen cycle” of the reduction system, make the reduction reaction easy to carry out and accelerate the reduction process, which is the essence of coal-based reductants strengthening the indirect reduction of iron oxides [22,23,24,25]. The rapid reduction of iron oxide provided more favorable conditions for the generation of cementitious material.
2.3. Additive
The silicate cement clinker was a hydraulic cementitious material containing CaO, SiO2, Al2O3, Fe2O3, and other raw materials ground into fine powder for partial melting, with calcium silicate as the main component. The main components of the clinker were tricalcium silicate, 3CaO·SiO2, abbreviated as C3S in this study, accounting for 50–60%; dicalcium silicate, 2CaO·SiO2, abbreviated as C2S, accounting for 20–25%; tricalcium aluminate, 3CaO·Al2O3, abbreviated as C3A, accounting for 5–10%; and ferric solid solvers, usually expressed as tetracalcium aluminoferrite, 4CaO·Al2O3·Fe2O3, abbreviated as C4AF, accounting for 10–15%. Among them, C3S and C2S are known as cemented minerals, while C3A and C4AF are known as melt minerals. C3S could not form after the liquid phase appeared, and it was difficult to generate cementitious material below the lowest co-melting temperature of these minerals.
The objective of the coupling preparation technology for the reduction of specularite and cementitious material was to achieve the complete reduction of specularite and to obtain the main cementitious components, C3S and C2S, in the cement clinker. High SiO2 content and insufficient CaO content (even with the breaking down of the limestone) existed in the original ore, so additional CaO was added to meet the material conditions required for calcium silicate generation. In this process, different raw material ratios, reasonable reaction temperature intervals, and reduced iron states are all important and worthy of study for the stable generation of cementitious material. For the convenience of understanding and computation, the basicity within the system was expressed as the ratio of the amount of matter of CaO and SiO2, .
2.4. Software for Thermodynamic Calculations
Thermodynamic calculations were performed using the FactSage® (Version 7.1) and MATLAB® (Version R2017a) software. The calculation is based on the principle of minimum free energy. The basic principle is that for a multicomponent multiphase system, when the system reaches thermodynamic equilibrium, the total free energy is minimal. The principle of minimum free energy considers the equilibrium of the system from the point of view of the initial and final states of the components in the system. Therefore, as long as the initial amount of the components in the system is known, the final amount of each component in equilibrium can be obtained via mathematical calculation, without considering how the possible reactions in the system are carried out. The calculation of FactSage® (Version 7.1) software is based on this principle, and MATLAB® (Version R2017a) software can also be programmed to achieve the same purpose [26,27].
2.5. Experimental Equipment
The verification experiment is realized by a high-temperature thermogravimetric atmosphere furnace. After the specularite, pulverized coal, and lime are mixed evenly, they are put into a corundum crucible and protected by a cover. This crucible was put into the furnace and sealed, evacuated to below −0.06 MPa, and then passed through argon as a protective gas until the pressure inside was balanced with the outside. The heating program used a two-stage heating system, and the argon flow was 300 mL/min. At the end of the program, high-temperature samples are taken out and rapidly cooled. Sample characterization was accomplished by X-ray diffraction.
3. Results and Discussion
3.1. Thermodynamic Study of the Coal-Based Direct Reduction of Specularite
3.1.1. Thermodynamic Equilibrium Model of the Specularite Direct Reduction System
The coal-based direct reduction process of specularite involves a variety of components and phase transitions. In the reduction stage, there is a linkage and coupling effect of pyrolysis, gasification, and reduction. Possible reactions include the following:
Indirect reduction based on CO:
Indirect reduction based on H2:
The hydrogen cycle, which is mediated by the water gas shift reaction, is shown in Equation (7):
The carbon cycle, mediated by the Boudouard reaction, is shown in Equation (8):
The H2O and CO2 that are contained in the coal pyrolysis gas and generated by the reaction are reconverted into H2 and CO through the water gas shift reaction and Boudouard reaction under the action of solid carbon, to achieve gas circulation and continuously provide reduction potential energy.
For this complex multicomponent multiphase system, there must be some interaction among these possible reactions. The intermediate process of the reaction system cannot be explored by thermodynamic means, and it is inaccurate to judge the limit of the reaction only by the free energy change of a single reaction. Therefore, a thermodynamic equilibrium model of a multi-component multiphase system is established under the condition of considering the coupling effect between the reactions in the system. Starting from the set initial state of the reaction system, the final state of the system is obtained by solving the extremum of the function under the constraints. In this way, the limit of each chemical reaction in the system is determined. The calculation flow chart of the thermodynamic model is shown in Figure 5.
Figure 5.
The calculation flow chart of the coupled thermodynamic model.
The thermodynamic calculation model is a closed system in an ideal state. Specific amounts of iron ore and coal were added as the initial conditions. Considering the pyrolysis of coal, the possible components in the system are shown in Table 4. It is assumed that the pyrolysis products of coal are solid carbon, H2O, and pyrolysis gas (H2, CO, CO2, and CH4), and the effects of ash and tar are not considered for the time being. The proportion of each product is determined according to the experimental test results. The initial masses of Fe2O3 and FeCO3 were set according to the specularite composition, and the initial masses of the solid carbon and each gas component were set according to the measured composition of the reducing agent.
Table 4.
The composition of the reduction thermodynamic system.
For this closed system, at a certain temperature, the amount of products needed, obtained by considering the pyrolysis of coal, can be calculated by using the mass of coal and iron ore in its initial state. Then, we can determine the total amount of each element in the system and finally calculate the content of each component in the final state (equilibrium state). The equilibrium calculation of the multicomponent multiphase closed system is based on the principle of minimum free energy, namely, when a multicomponent multiphase system reaches thermodynamic equilibrium, the total free energy is minimal. The chemical equilibrium problem of a multi-component multiphase system can be transformed into a function-minimum problem with mathematical constraints. Based on this method, MATLAB® (version R2017a) software programming is used to solve this problem.
3.1.2. Equilibrium Calculation Results of the Specularite Direct Reduction System
The initial ore mass was set to 100 g, the iron oxide mass was calculated according to the composition of specularite, and the initial carbon and each gas component mass were set according to the coal pyrolysis product and gas composition (). was set as the ratio of the molar amount of fixed carbon in the added reducing agent to the molar amount of iron-bound oxygen element in the iron oxide, and the reduction temperature was set at 900–1100 °C. The mass of each product when the system reaches equilibrium is shown in Figure 6 and Figure 7.
Figure 6.
Composition and content of the equilibrium solid phase: (a) T = 900 °C; (b) T = 1000 °C; (c) T = 1100 °C.
Figure 7.
Composition and content of the equilibrium gas phase: (a) T = 900 °C; (b) T = 1000 °C; (c) T = 1100 °C.
Figure 6 shows that with an increase in the coal blending amount, the mass of FeO in the equilibrium solid-phase product gradually decreases, while the mass of Fe obtained by reduction gradually increases. Fe2O3 and Fe3O4 were not found in the product. The amount of coal blending required to start the reduction process to generate Fe was 8.6 g, 8.8 g, and 9.0 g, respectively. The coal blending amounts required for the reduction of Fe metal are 23.9 g, 24.4 g, and 24.8 g, respectively, and the C/O ratio is close to 0.8. Therefore, it can be said that when C/O = 0.8, the iron oxide is completely reduced to metallic iron. When C/O = 1.2, excess carbon begins to appear. Thermodynamically, the three set temperatures only have an effect on the amount of coal blending from the beginning to the end of iron oxide reduction, but the difference is not large. When C/O = 0.8, this can already ensure that the iron oxide is completely reduced to iron.
With the increase in C/O, the total amount of gas in the system at equilibrium increases continuously. The percentage of each component in the gas phase is shown in Figure 7. Compared with Figure 6, it can be seen that the changes in the gas phase equilibrium composition and content have the same trend as the changes in the solid phase components. When C/O < 0.8, the reduction reaction and the gasification reaction are carried out simultaneously. The consumed reducing gas can be continuously replenished, so the content of each component remains basically unchanged. When 0.8 < C/O < 1.2, the reduction of the iron oxide has been completed, and only the gasification reaction remains in the system. Therefore, the content of the reducing gases H2 and CO increases, and the components CO2 and H2O decrease due to their consumption in the reaction. When C/O > 1.2, the proportion of H2 in the gas phase increases, the proportion of CO decreases, and CO2 and H2O tend to disappear. Excess carbon appears in the solid phase and increases with the increasing coal blending amount. This is because the proportion of H2 in the pyrolysis gas is relatively high, the excess H2 obtained from the pyrolysis of coal increases, and the corresponding proportion of CO decreases. There is almost no CH4 in the system at equilibrium, indicating that the CH4 in the pyrolysis gas is cracked or oxidized in the coupled system, thereby participating in the reduction process of iron oxides.
This conclusion can be drawn from the equilibrium calculation of the reduction system: the reduction of specularite with highly volatile coal is thermodynamically feasible. When C/O = 0.8, all the reductions of iron oxides can be achieved when the reaction reaches equilibrium at the three set temperatures.
3.2. Thermodynamics of the Formation of Cementitious Materials
3.2.1. Thermodynamics of C3S Formation
The binary phase diagram of the CaO-SiO2 system at 600–2600 °C is shown in Figure 8 [28].
Figure 8.
Binary phase diagram of CaO-SiO2 [28].
The phase diagram shows that the combination of CaO and SiO2 can form several calcium silicates with different properties, and various crystal transformations appear. The C2S in this study is a stable compound, while C3S is an unstable compound, which can only exist in the temperature range of 1300–1800 °C. Below or above this temperature range, C3S cannot exist. From the ratio of raw materials, when the molar basicity is between 2.0 and 3.0, both C2S and C3S exist. When the molar basicity is greater than 3, both C3S and unreacted free CaO coexist.
From this, the interval in which the cementitious material is formed and stable can be determined, i.e., the temperature range is 1300–1800 °C, and the molar basicity is 2.0–3.0. It can be seen from the phase diagram that C2S is easier to generate than C3S. When the molar basicity is between 2.0 and 3.0, C2S will be generated first with the increasing temperature. When the temperature reaches 1300 °C, C2S begins to combine with CaO to form C3S and exists stably, during which event a phase transition from α′-C2S to α-C2S occurs. When the temperature reaches 1800 °C, C3S decomposes into α-C2S and free CaO. In the preparation of cement from cementitious materials, when this free CaO reacts with water to generate Ca(OH)2, the volume expansion of the solid phase can reach 97.9%, which will cause local expansion stress in the hardened cement. Therefore, the amount of calcium oxide added needs to be strictly controlled to ensure the quality of the cement [29].
After determining the target interval for the formation of the cementitious material from the phase diagram, the standard Gibbs free energy change of the C3S formation reaction was calculated to be in the range of 1000–2000 °C. Since the phase transition of C2S occurs at 1436 °C, the standard Gibbs free energy change generated by C3S needs to be calculated in two parts, namely:
Based on this, the standard Gibbs free energy change ΔG㊀generated by C3S in the range of 1000–2000 °C can be plotted against temperature T, as shown in Figure 9.
Figure 9.
The curve generated by C3S.
The results in Figure 9 show that the calculated results of the Gibbs free energy change of the C3S generation reaction of the cementitious component are consistent with the analytical results of the CaO-SiO2 binary phase diagram. Here, ΔG㊀ is 0 at 1300 °C and 1800 °C, and in the temperature range of 1300–1800 °C, ΔG㊀ < 0, indicating that the reaction can proceed forward to form C3S. In addition, when ΔG㊀ > 0, C3S cannot be generated. The ΔG㊀ of the C3S generation reaction is the smallest at 1436 °C, which is the most favorable temperature for C3S generation in terms of thermodynamics.
3.2.2. Comprehensive Equilibrium Calculation of Cementitious Material Generation, Considering Gangue Components
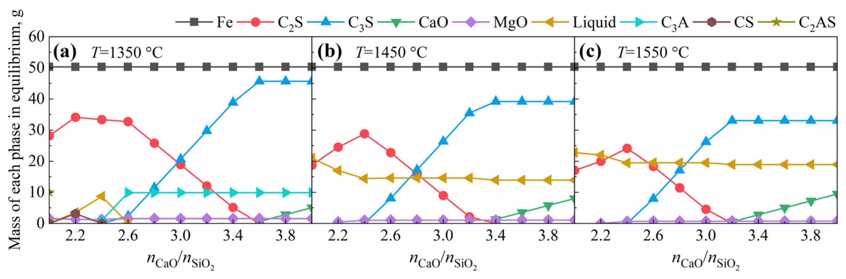
Through the calculation and analysis of the thermodynamics of the formation of C3S, the conditions for the formation and stable existence of the cementitious components were preliminarily determined. However, other gangue components in specularite, such as MgO and Al2O3, have a certain influence on the formation of cementitious materials. Therefore, a comprehensive equilibrium calculation of the formation of cementitious materials, considering gangue components, was carried out using the Equilib Module in the FactSage® (version 7.1) software. The mass of the initial specularite was set as 100 g, and the mass of the corresponding gangue component was calculated according to the specularite composition. The temperature was set to 1350 °C, 1450 °C, and 1550 °C, the molar basicity range was set to 2.0–4.0, and the mass of each phase when the system reached reaction equilibrium is shown in Figure 10.
Figure 10.
Effects of temperature and basicity on the formation of cementitious materials: (a) T = 1350 °C; (b) T = 1450 °C; (c) T = 1550 °C.
As seen in Figure 10, when T = 1350 °C, the main phases at equilibrium are C2S, C3S, and C3A. A small amount of liquid phase is formed when the molar basicity is low and disappears when the basicity increases. Here, with this increase in molar basicity, C2S gradually decreased until it disappeared, while C3S showed the opposite trend. When the basicity exceeds 3.6, the cementitious components are all converted into C3S, and free CaO appears. In our study, the amount of C3A generated increased with increasing basicity and remained unchanged after reaching the maximum amount. For the MgO component, a small amount will enter the liquid phase if the liquid phase exists and will not participate in the reaction when there is no liquid phase. At T = 1450 °C, the main phases are C2S, C3S, and the liquid phase, and the liquid phase components include SiO2, CaO, MgO, and Al2O3. Compared with the results at 1350 °C, the formation of the liquid phase increased, while the formation of C3S decreased. When the molar basicity reaches 3.3, free CaO appears, and C3S generation reaches the maximum. Continuing to increase the basicity, neither the C3S nor the liquid phase quality changes. In our study, when the temperature increased to 1550 °C, the main phases and changing trends of the system at equilibrium were consistent with those at 1450 °C. The formation of the liquid phase further increased, the maximum formation of C3S decreased, and the molar basicity of free CaO appeared earlier at 3.2.
By comprehensively analyzing the equilibrium components at the three temperatures, it is beneficial to appropriately increase the molar basicity for the formation of C3S. The effect of temperature on the formation of cementitious materials is mainly reflected in the quality of liquid phase formation. With increasing temperature, the formation of the liquid phase increases continuously, and a large amount of gangue components enter the liquid phase, which reduces the formation of cementitious material. The molar basicity required for maximum C3S formation is reduced.
Compared with the condition where only SiO2 and CaO are considered, the equilibrium composition becomes more complicated when there are other gangue components involved in the reaction. The increase in basicity required for the maximum production of C3S means that in each case, the amount of initial CaO added should be correspondingly increased. To achieve the optimal reaction conditions, the influence of the reaction temperature on the formation of cementitious materials should also be considered. According to the requirements for cementitious materials in the cement production process, when there is a certain content of liquid phase in the system, the formation of cementitious materials has excellent kinetic conditions. Therefore, according to the above analysis, it is considered that the temperature in the high-temperature section of the specularite reduction coupling when preparing the cementitious material should be set at 1450 °C.
3.3. Thermodynamic Study on the Coexistence of Direct Reduced Iron and Cementitious Materials
To achieve specularite reduction and the coupled preparation of cementitious materials, the interaction between the two reaction processes must be considered, namely, the effect of gangue on the thermodynamics of the iron oxide reduction reaction and the effect of iron oxide reduction on the thermodynamics of cementitious material formation. This complex system was calculated using FactSage® (Version 7.1) software. By changing the preset conditions, the coupling effect and stable coexistence conditions of reduced iron and cementitious materials were investigated from the perspective of thermodynamic equilibrium.
3.3.1. The Effect of Gangue on Iron Oxide Reduction
Considering the complexity of the computational setup after adding gangue components, three representative C/O ratios were set: 0.4, 0.8, and 1.2. They correspond to the partial reduction of iron, the complete reduction of iron, and the complete reduction of iron with excess carbon, respectively, without considering the gangue components. The effect of composition changes in the gangue components on iron oxide reduction under different C/O conditions is shown in Figure 11.
Figure 11.
The effect of various gangue compositions on iron reduction: (a) C/O = 0.4; (b) C/O = 0.8; (c) C/O = 1.2; (1) T = 900 °C; (2) T = 1000 °C; (3) T = 1100 °C.
At the three temperatures for C/O = 0.4, as shown in Figure 11a, iron exists in the form of FeO, Fe, and Ca2Fe2O5. These forms are a result of the insufficient amount of reducing agent added; the unreduced iron oxides combine with CaO to form Ca2Fe2O5. In addition, the interaction between the gangue components forms a variety of complex compounds, such as C3MA2 and C3MS2. The increase in temperature promotes the reaction between iron oxide and gangue. At the three temperatures of C/O = 0.8, as shown in Figure 11b, iron exists in the form of Fe and Ca2Fe2O5. This is different from the scenario where the gangue component is not considered because the Ca2Fe2O5 that is generated by the combination of part of the FeO with CaO cannot be reduced in this case Under these conditions, the temperature has little effect on the iron reduction degree. When the C/O ratio was increased to 1.2, the iron could be completely reduced at all three set temperatures, and a small amount of solid carbon remained, which did not change with increasing basicity. The temperature has no effect on the degree of iron reduction. There is no significant change in the equilibrium gas phase composition and, thus, will not be listed here.
The above calculation results show that CaO in the gangue component will combine with FeO to form Ca2Fe2O5, and Ca2Fe2O5 cannot be reduced when the C/O is low. Other gangue components also react, to form various complex compounds, but they do not affect the reduction of iron oxides. Properly increasing C/O can eliminate the adverse effects of gangue components (including added CaO) on reduction during iron oxide reduction. Furthermore, a moderate excess of C is also favorable for the rapid reduction of iron oxides, from the viewpoint of reduction kinetics. Therefore, considering the reaction conditions of the entire coupling system, C/O = 1.2 is the ideal raw material condition.
3.3.2. The Effect of Iron Oxide Reduction on the Formation of Cementitious Materials
The reduction process of specularite occurs before the formation of cementitious materials, so the influence of the reduction degree of iron ore on the formation state of cementitious materials must be considered. There may be two situations here: one is whether the reduced metal iron affects the formation of the cementitious material, and the other is whether the unreduced iron oxide affects the formation of the cementitious material.
Assuming that the iron oxide has been completely reduced, the remaining conditions are the same as given above (Figure 10), and the influence of iron on the formation of the cementitious material can be investigated. The calculation results are shown in Figure 12.
Figure 12.
The effect of iron on the formation of cementitious materials: (a) T = 1350 °C; (b) T = 1450 °C; (c) T = 1550 °C.
The calculation results of the three set temperatures show that the reduced iron and the cementitious material can coexist stably and will not change in response to changes in temperature and basicity. This shows that when the iron oxide is completely reduced to iron, it will not affect the formation of the cementitious material in the subsequent heating and heat preservation processes.
In terms of the second aspect, it is assumed that the unreduced iron oxide exists in the FeO state since the thermodynamic calculation cannot reflect the influence of the intermediate products on the reaction process. Three different basicity conditions (2.6, 3.0, and 3.6) were set to investigate the effect of unreduced FeO on the thermodynamic equilibrium of the formation stage of the cementitious material. The results are shown in Figure 13.
Figure 13.
The effect of unreduced iron on cementitious components: (a) ; (b) ; (c) ; (1) T = 1350 °C; (2) T = 1450 °C; (3) T = 1550 °C.
The three basicity values represent the situation when a small amount of C3S is generated, a large amount of C3S is generated, and the amount of C3S generation reaches a maximum (excess of CaO). It can be seen from the calculation results in Figure 13 that in the formation stage of the cementitious material, the residual FeO will have a great influence on the quality of the liquid phase in the system, and a small amount of FeO can liquefy the gangue components into slag. With an increase in the residual FeO content, the gangue components undergo eutectic fusion to produce a large amount of liquid phase, which will lead to a sharp decrease in the generation of cementitious material components. It can be seen that ensuring the rapid reduction of iron oxides in the reduction stage and obtaining the highest reduction degree, by as much as possible, are necessary for the stable generation of the cementitious material.
3.3.3. Experimental Verification of the Coupling Preparation of Specularite Reduction and Cementitious Material Preparation
To verify the thermodynamic calculation results, an experiment regarding the coupling process of specularite reduction and cementitious material preparation was carried out. According to the theoretical calculation results, four experimental conditions are set: (a) reductant ratio , temperature of reduction stage , molar basicity , and temperature of sintering stage ; (b) reductant ratio , temperature of reduction stage , molar basicity , and temperature of sintering stage ; (c) reductant ratio , temperature of reduction stage , molar basicity , and temperature of sintering stage ; and (d) reductant ratio , temperature of reduction stage , molar basicity , and temperature of sintering stage . After the experiment, the samples were cooled rapidly to ensure the stability of the phase, and the phases of the samples after grinding were characterized by X-ray diffraction. The results are shown in Figure 14.
Figure 14.
XRD characterization of the coupled system under different thermodynamic conditions: (a) the coexistence of iron and cementitious materials; (b) excessive CaO; (c) an incomplete reduction of iron; (d) the incomplete formation of cementitious material.
It can be seen from the XRD characterization results in the figure that the experimental results are qualitatively consistent with the expectations of the thermodynamic calculations. Experimental condition (a) meets the conditions of raw material and temperature simultaneously for the coexistence of cementitious material and iron. After ensuring the complete reduction of iron, the formation process of cementitious material occurred. Therefore, the reduced iron and cementitious material could coexist stably. The basicity of the ingredients in condition (b) exceeded the formation range of C3S, so there would be excess free CaO in the system, according to the thermodynamic analysis. The XRD result in Figure 14b also supports this. The amount of reductant in condition (c) was insufficient, and the reduction reaction temperature was low. At this point, the iron was not completely reduced, which hindered the formation of the cementitious material, C3S. Figure 14c shows that there is still unreduced FeO in the mixture, and calcium ferrite is formed by the reaction of iron oxide and CaO. The calculation results in the previous section show that a large number of liquid phases will be generated during high-temperature roasting. Therefore, in the cooled mixture, the diffraction peaks of the phase produced by the mutual melting of gangue components are significantly increased. In experimental condition (d), the set temperature of the high-temperature sintering stage is low. Although the reduction condition and ingredient ratio are appropriate, the low sintering temperature leads to too little C3S being formed, without an obvious diffraction peak.
3.3.4. Determination of a Reasonable Heating Schedule
Temperature is an important parameter that affects the thermodynamics of each chemical reaction in the system so it is necessary to determine a reasonable reaction temperature for realizing the coupled process of specularite reduction and cementitious material preparation. In the reduction system with high basicity, iron oxides that have not had time to be reduced can easily react with gangue components to form phases, such as calcium ferrite, fayalite, or liquid phase at high temperatures. Then, this part of the iron oxides reacting with the gangue will be difficult to reduce, thereby affecting the formation of the cementitious material. To determine the upper limit temperature that is conducive to the reduction reaction, FactSage® (version 7.1) software was used to calculate the initial melting temperature of the mixed system of iron oxide and gangue, under the condition of high basicity. The results are shown in Figure 15.
Figure 15.
The onset melting temperature of the mixed system of iron oxide and gangue.
It can be seen from the calculation results that the initial melting temperature of the mixed system of iron oxide and gangue shows a trend of first increasing and then decreasing with increasing basicity. When the basicity is greater than 1.8, the melting temperature is basically maintained at approximately 1137 °C. This is because the basis oxide, CaO, easily combines with SiO2 to form silicate, which destroys the structure of fayalite. Therefore, in this study, the temperature favorable for specularite reduction should be set no higher than 1137 °C.
Therefore, in the reduction stage, it is necessary to control the reaction between iron oxides and gangue components to reduce the entry of iron oxides into the liquid phase, and to reduce all iron quickly to avoid the influence of residual FeO on the formation of cementitious materials. Therefore, the temperature of the reduction section is set close to and not higher than the melting temperature of 1137 °C and the appropriate holding time is set.
In the formation stage of the cementitious material, it is desirable to generate a certain amount of liquid phase in the system. When the temperature of the material rises to the minimum eutectic temperature, the C3A and MgO, etc., are melted into a liquid phase, then the C2S and CaO are gradually dissolved in the liquid phase, and C2S absorbs CaO to form C3S. Likewise, the onset melting temperature of the cementitious material system was calculated, assuming that the iron had been completely reduced, and the results are shown in Figure 16.
Figure 16.
Onset melting temperature of the cementitious material system.
The lower limit temperature of the reaction of the cementitious material system should be 1384 °C. On the other hand, if the temperature in the formation stage of the cementitious material is too high, the amount of the liquid phase will increase, and the reduced iron may melt into the liquid phase, causing problems such as difficulties in sorting after cooling or the unsmooth operation of the kiln. Therefore, the optimal formation temperature of the cementitious material should be set above the minimum eutectic temperature and should not be too high. According to the results in Section 3.2, within the studied basicity range, the temperature of the high-temperature section for the preparation of the cementitious material should be set to 1450 °C.
In summary, if the continuous heating method is adopted, the complete reduction of iron oxides cannot be guaranteed before reaching the temperature for forming the cementitious material. The continuous heating method only sets the holding time for the temperature at which the cementitious material is formed, and the most important iron reduction stage is quickly passed. Iron oxides that are too late to be reduced and the gangue components are combined and liquefied into slag, resulting in the failure of the formation of the cementitious material. Then, no matter how long the holding time is set, C3S will not appear in the final product. Therefore, it is necessary to extend the holding time in the reduction stage of specularite. On the whole, the continuous heating method should actually be changed to a two-stage heating system, which allows sufficient reduction of iron oxides and the complete formation of cementitious materials. The schematic diagram is shown in Figure 17.
Figure 17.
Schematic diagram of the two-stage heating schedule.
4. Conclusions
- (1)
- The thermodynamic calculation results show that it is thermodynamically feasible to realize a coupled process of specularite direct reduction and cementitious material preparation under the condition of using high-volatile lignite and adding calcium oxide. A two-stage heating system is implemented to achieve the full reduction of iron oxides and the complete formation of cementitious materials.
- (2)
- In the process of iron oxide reduction, a sufficient amount of the reducing agent must be added to ensure the complete reduction of iron oxides. The optimal amount of reducing agent added is C/O = 1.2. A reasonable reduction temperature is close to and not higher than 1137 °C.
- (3)
- In the generation stage of the cementitious material, the optimum temperature for the generation of cementitious material is 1450 °C. Under this condition, an appropriate amount of CaO should be added according to the initial gangue composition of specularite, and the molar basicity of the control system should be in the range of 2.4–3.3. This is the optimal process parameter for the formation of cementitious components (C2S, C3S and appropriate liquid phase).
- (4)
- The reduction process of specularite takes place before the formation of cementitious materials, and the reduction degree of iron ore has an important influence on the formation state of cementitious materials. A small amount of unreduced FeO can lead to a large increase in the amount of liquid phase in the system so that the main cementitious component C3S cannot be formed. Using lignite as a reducing agent, the hydrogen-rich volatiles in the coal create a good reducing atmosphere, strengthen the reduction process of iron oxides, and ensure the rapid and complete reduction of specularite.
Author Contributions
Conceptualization, R.S. and Y.L.; methodology, Y.L.; software, B.L.; validation, Y.L., Q.M. and B.L.; formal analysis, C.Z. and Y.L.; investigation, Y.L.; resources, R.S.; data curation, B.L.; writing—original draft preparation, Y.L.; writing—review and editing, R.S.; visualization, Y.L.; supervision, B.L.; project administration, R.S. and C.Z.; funding acquisition, R.S. All authors have read and agreed to the published version of the manuscript.
Funding
This research was funded by the National Natural Science Foundation of China, grant number 51874224 and the China Postdoctoral Science Foundation, grant number 2021M702553.
Data Availability Statement
Not applicable.
Conflicts of Interest
The authors declare no conflict of interest.
References
- Zhu, D.; Guo, Z.; Pan, J.; Zhang, F. A study of pre-briquetting granulation sintering of the mixtures with high ratio of Brazilian specularite concentrate. Ironmak. Steelmak. 2016, 43, 721–729. [Google Scholar]
- Zhu, D.; Chun, T.; Pan, J.; Zhang, J. Influence of basicity and MgO content on metallurgical performances of Brazilian specularite pellets. Int. J. Miner. Process. 2013, 125, 51–60. [Google Scholar] [CrossRef]
- Chun, T.; Zhu, D. Oxidizing Roasting Performances of Coke Fines Bearing Brazilian Specularite Pellets. High Temp. Mater. Processes 2016, 35, 615–620. [Google Scholar] [CrossRef]
- Ding, C.; Chen, T.; Huang, X.; Ma, H.; Su, T.; Qu, W. The Mineral Composition and Disseminated Structure Change of Specularite in the Magnetic Roasting Process. Iron Steel Vanadium Titan. 2015, 36, 117–122. [Google Scholar]
- Zhu, D.; Liu, X.; Pan, J.; Shi, B. Status and development trend of specularite used in sintering and pellet production. In Proceedings of the 2014 Annual National Sintered Pelletizing Technology Exchange Conference, Xiamen, China, 22 December 2014. [Google Scholar]
- Zhu, D.; Shi, B.; Pan, J.; Zhang, F. Effect of pre-briquetting on the granulation of sinter mixture containing high proportion of specularite concentrate. Powder Technol. 2018, 331, 250–257. [Google Scholar] [CrossRef]
- Pan, J.; Zhu, D.; Hamilton, P.; Zhou, X.; Wang, L. Improving Granulating and Sintering Performance by Pretreating Specularite Concentrates Through Mechanical Activation. ISIJ Int. 2013, 53, 2013–2017. [Google Scholar]
- Pan, J.; Shi, B.; Zhu, D.; Mo, Y. Improving Sintering Performance of Specularite Concentrates by Pre-briquetting Process. ISIJ Int. 2016, 56, 777–785. [Google Scholar] [CrossRef] [Green Version]
- Zhang, F.; Zhu, D.; Pan, J.; Mo, Y.; Guo, Z. Improving the sintering performance of blends containing Canadian specularite concentrate by modifying the binding medium. Int. J. Miner. Metall. Mater. 2018, 25, 598–608. [Google Scholar] [CrossRef]
- Aslanoglu, Z. Direct reduction of mechanically activated specular iron oxide. Miner. Processing Extr. Metall. 2013, 114, 240–244. [Google Scholar] [CrossRef]
- Zang, Z.; Sun, T.; Hu, T. Experimental Research on Direct Reduction-Magnetic Separation of Iron Ore from Jingtieshan Mine of JISCO. Miner. Metall. Eng. 2014, 34, 54–57. [Google Scholar]
- Viggh, E.; Eriksson, M.; Wilhelmsson, B.; Backman, R. Early formation of belite in cement clinker raw materials with slag. Adv. Cem. Res. 2021, 33, 249–256. [Google Scholar] [CrossRef]
- Nastac, D.C.; Fechet, R.M. The Influence of Mine Tailings and Oily Sludge on the Portland Cement Clinker Manufacture. Rev. Rom. Mater. 2017, 47, 176–182. [Google Scholar]
- Luo, L.; Zhang, Y.; Bao, S.; Chen, T. Utilization of Iron Ore Tailings as Raw Material for Portland Cement Clinker Production. Adv. Mater. Sci. Eng. 2016, 1596047. [Google Scholar] [CrossRef] [Green Version]
- Jian, S.; Gao, W.; Lv, Y.; Tan, H.; Li, X.; Li, B.; Huang, W. Potential utilization of copper tailings in the preparation of low heat cement clinker. Constr. Build. Mater. 2020, 252, 119130. [Google Scholar] [CrossRef]
- Verma, Y.K.; Mazumdar, B.; Ghosh, P. CO2 emission reduction using blast furnace slag for the clinker manufacturing in Cement Industry. J. Indian Chem. Soc. 2020, 97, 1083–1087. [Google Scholar]
- Tsakiridis, P.E.; Papadimitriou, G.D.; Tsivilis, S.; Koroneos, C. Utilization of steel slag for Portland cement clinker production. J. Hazard. Mater. 2008, 152, 805–811. [Google Scholar] [CrossRef]
- Yong, G.; Yang, M. Preparation and characterization of Portland cement clinker from iron ore tailings. Constr. Build. Mater. 2019, 197, 152–156. [Google Scholar] [CrossRef]
- Rao, Y. Preparation of Iron and Cementitious Materials Synergistically through Iron Ore Direct Reduction Process. Master’s Thesis, Xi’an University of Architecture and Technology, Xi’an, China, June 2015. [Google Scholar]
- Li, X.; Xie, G.; Zhao, J.; Cui, Y. Study on Simultaneous Production of Reduced Iron and Bonding Component from Nickel Slag. Nonferrous Mater. (Extr. Metall.) 2015, 12, 51–55. [Google Scholar]
- Jiang, T. Manual of Production Technology for Sintering and Pelletizing, 1st ed.; Metallurgical Industry Press: Beijing, China, 2014. [Google Scholar]
- Bagatini, M.C.; Kan, T.; Evans, T.J.; Strezov, V. Iron Ore Reduction by Biomass Volatiles. J. Sustain. Metall. 2021, 7, 215–226. [Google Scholar] [CrossRef]
- Biswas, C.; Chaudhuri, M.G.; Dey, R. Reduction behaviour of agglomerated iron ore nuggets by devolatisation of high-ash, high-volatile lignite coal for pig iron production. Ironmak. Steelmak. 2017, 40, 762–772. [Google Scholar] [CrossRef]
- Sohn, I.; Fruehan, R.J. The reduction of iron oxides by volatiles in a rotary hearth furnace process: Part, I. The role and kinetics of volatile reduction. Metall. Mater. Trans. B 2005, 36, 605–612. [Google Scholar] [CrossRef]
- Sohn, I.; Fruehan, R.J. The reduction of iron oxides by volatiles in a rotary hearth furnace process: Part II. The reduction of iron oxide/carbon composites. Metall. Mater. Trans. B 2006, 37, 223–229. [Google Scholar] [CrossRef]
- Cao, Z.; Song, X.; Qiao, Z. Thermodynamic modeling software FactSage and its application. Chin. J. Rare Mater. 2008, 32, 216–219. [Google Scholar]
- Bale, C.W.; Chartrand, P.; Degterov, S.A.; Eriksson, G.; Hack, K.; Mahfoud, R.B.; Melancon, J.; Pelton, A.D.; Petersen, S. FactSage thermodynamical software and databases. Comput. Coupling Phase Diagr. Thermochem. 2002, 26, 189–228. [Google Scholar] [CrossRef]
- Huang, X. Principles of Iron and Steel Metallurgy, 4th ed.; Metallurgical Industry Press: Beijing, China, 2013. [Google Scholar]
- Yang, S.; Cao, W. Ordinary Silicate Technology, 1st ed.; Wuhan University of Technology Press: Wuhan, China, 1996. [Google Scholar]
Publisher’s Note: MDPI stays neutral with regard to jurisdictional claims in published maps and institutional affiliations. |
© 2022 by the authors. Licensee MDPI, Basel, Switzerland. This article is an open access article distributed under the terms and conditions of the Creative Commons Attribution (CC BY) license (https://creativecommons.org/licenses/by/4.0/).
















