Abstract
Intimate knowledge of the mineralogical assembly of the Yushui complex ore rich in Cu, Pb, and Ag is essential if efficient separation processing is to be conducted. With the aid of testing instruments, such as scanning electron microscope (SEM), X-ray diffractometer (XRD), and mineral liberation analyzer (MLA) combined with energy-dispersive X-ray analysis (EDX), the texture, such as the size distribution, dissemination, and association of the minerals, was investigated. The results demonstrate that the ore consists of 35 categories of minerals, assaying Cu 7.99%, Pb 9.39%, and Zn 1.96% in the forms of chalcopyrite, galena, and sphalerite, respectively, and silver assaying 157.9 g/t is closely associated with these sulfides; sulfides are present in amounts of 80.31% of the total, traditional gangues only 19.69%, and pyrite as a Cu-Pb-Zn-Ag carrier mineral up to 44.80%. According to the characteristics of the ore, the innovative process of flash copper flotation in weak acidic pulp and lead flotation, followed by further copper recovery, was developed. The closed-circuit test shows that copper concentrate assays Cu 16.33%, Pb 7.98%, Ag 242 g/t at Cu recovery of 86.67%; lead concentrate contains Pb 46.23%, Cu 3.75%, Ag 165 g/t at Pb recovery of 56.84%; total recovery of silver in both concentrates is 75.57%.
1. Introduction
Pyrite in complex metallic ore is a widely distributed sulfide on earth, commonly associated with copper, lead, and zinc sulfides, as well as gold and silver [1,2]. The production of separate concentrates from ores containing economic amounts of copper, lead, and zinc is complicated [3], especially for ores with high pyrite content [4,5,6,7]. Due to copper, lead, and zinc, valuable sulfide minerals are closely intergrown with the carrier mineral (pyrite), and pyrite has a similar flotability to these valuable minerals, so it is very difficult to separate them from each other [8,9,10]. Therefore, the complex sulfide ore with high sulfur content is also called “easy-to-float” and “difficult-to-separate” ore. So far, the effective separation of the complex polymetallic sulfide ore has been one of the hot research topics for mineral processors in the world [11,12,13,14].
Yushui Cu-Pb-Zn sulphide ore is a rare polymetallic ore with extremely high sulfur and high contained metals such as copper, lead, and silver within the ore, which is of high economic value in utilization [15]. The separation performance of the flotation in arithmetic average from 2016 to 2018 is as follows: the ore assays Cu 9.05% and Pb 11.11%, and the copper concentrate contains Cu 11.47% and Pb 15.42% at the copper recovery of 85.40%; the lead concentrate contains Pb 50.94% and Cu 6.64% at the lead recovery of 33.91%. The copper concentrate assays a high lead content and low recovery; in particular, the poor quality of both concentrates makes the ore difficult to be effectively utilized. In the past years, several research institutes in China have conducted numerous laboratory flotation tests to separate these valuable minerals from each other; however, the satisfactory separation performance of copper and lead in the ore was not achieved in the end, and copper and lead in the separate concentrates both contained with low grade and recovery could not meet the need of smelters.
In general, iron sulfides pyrite (FeS2) and pyrrhotine (Fe1-XS) are often associated with galena (PbS), chalcopyrite (CuFeS2), and sphalerite (ZnS) in complex sulphide ores. Pyrite as the main carrier mineral of copper, lead, and zinc, instead of traditional gangue minerals, impairs flotation separation because the iron sulfide minerals can easily float or be depressed with valuable minerals, resulting in poor quality of concentrates. Therefore, it becomes more and more important to the efficient and rapid removal of these minerals while they get adequately liberated [16,17]. In order to find some solutions for the separation of these valuable minerals, it is necessary to understand not only the nature of the valuable and gangue minerals but also the ore’s “texture” [18]. Therefore, it is necessary to investigate the mineralogy of the complex ore by all means, such as SEM [19,20,21,22,23], XRF [5,19,21,22,23,24], XRD [5,19,20,23,24], MLA [21,23,24,25,26], XPS [22,23,27] et al., which gives technical references for processing the ore in further tests and production.
The flotation separation of common copper-lead ore includes copper depression and lead flotation, or lead depression and copper flotation. The former often uses cyanide to depress chalcopyrite, pyrite, and sphalerite; the latter uses dichromate to depress galena, and also has depression effect on pyrite [28,29]. However, the above depressants used in these two methods are of harmful reagents, therefore, it is particularly important to find non-toxic and green depressants for the copper–lead separation process [30,31,32].
The appropriate dosage of depressant can maximize the depression effect and reduce the influence of the depressed mineral on other minerals. In addition, the pH value of the pulp will affect the flotability of the minerals in the pulp, and then affect the flotation separation process [33,34]. The choice and dosage of depressants and pH value in flotation are critical not only for the bulk flotation but also for the subsequential separation, as well as the preferential flotation. According to the process mineralogy characteristics of the ore, Cu-Pb-Zn bulk flotation, partial Cu-Pb bulk flotation, and preferential flotation tests were conducted. The results of the preliminary tests demonstrated that the Cu-Pb-Zn bulk flotation and partial Cu-Pb bulk flotation, followed by separation deal with a complex process flowsheet and reagent scheme, were difficult to realize the purposes of “discarding gangue minerals as soon as possible” as well as the Cu-Pb-Zn separation, due to good flotability of pyrite. For preferential flotation, concentrate quality in the flotation of copper first is much better than that of lead flotation first, which needs a shorter conditioning time and helps to recover copper minerals rapidly, i.e., realizing copper recovery as soon as possible and reducing the separation effects on the coming lead recovery, where copper minerals need to be depressed.
This study develops an advanced flotation technology that uses the copper-lead sulphide separation in a weak acidic condition by using sulfuric acid to adjust to pH = 6, sodium sulfite, and zinc sulphate as a combined depressant of PbS, ZnS and FeS2, and O-isopropyl-N-ethyl thionocarbamate (Z-200) and ammonium dibutyl dithiophosphate (ADD) as a combined collector for flash copper flotation, and its tailings for lead separation, followed by further copper recovery. Finally, the marketable end products such as the separate copper and lead concentrates are expected to be produced.
2. Materials and Methods
2.1. Mineralogical Study
Representative ore samples of about 800 kg at −100 mm were taken by the owner (Yushui Copper Mine, Meizhou, China) and provided to the State Key Laboratory of Complex Nonferrous Metal Resources Clean Utilization of Kunming University of Science and Technology. The bulk ore used for the mineralogical investigation was taken out from the above sample, and polished sections were prepared and examined using the optical and scanning electron microscope (SEM, FEI quanta-650, Portland, OR, USA). The rest of the sample was crushed, mixed, and homogenized to produce around 400 kg of −2 mm sample for flotation tests, from which the samples were taken for mineral composition, chemical analysis, and phase analysis. The ground sample at −0.074 mm 70% was used for preparing resin samples by secondary mosaic, followed by mineral liberation analysis (MLA, FEI quanta-650, Portland, OR, USA). Mineral liberation analysis results were obtained by the analysis and statistics of 179,335 mineral particles in the ore.
2.2. Flotation and Reagents
The ore sample was finely ground by the laboratory grinding mill (XMQ Φ 240 mm × 90 mm Wuhan Exploring Machinery Plant, Wuhan, China), and the slurry concentration was kept at 65%. Then, the XFD series laboratory flotation cells (volumes in 1.5 L, 1.0 L, and 0.5 L, Jilin Exploring Machinery Plant, Jilin, China) were used according to different purposes. For roughing, scavenging, and cleaning operations, the pulp concentrations were at the solid content of 25%–45%. The specific flotation reagents were added to the cell and stirred for a few minutes before tests were conducted.
Sulfuric acid and lime were used as pH regulator for the flash flotation of copper, lead flotation, and further copper recovery, respectively; sodium sulfate and zinc sulfate were used as the combined depressants for galena, and ammonium dibutyl dithiophosphate (ADD) and O-isopropyl-N-ethyl thionocarbamate (Z-200) as combination collectors of the flash flotation. Sodium thioglycolate and diethyldithiocarbamate (DDTC) were used as the depressant and collector for subsequent selective lead flotation, and butyl xanthate (SBX) was used as the collector for the further copper recovery. In the whole process, terpilenol was used as the frother. All above reagents (from Tiefeng Mineral Processing Reagent Co., Ltd., Kunming, China) were chemically pure and were diluted in water to a concentration of 1–5% before the flotation tests were carried out.
3. Results and Discussion
3.1. Composition, Content and Disseminated Particle Size
Figure 1 shows the XRD results of ore samples. The main metal minerals in the ore include pyrite, chalcopyrite, galena and sphalerite, while the transparent minerals mainly include quartz, siderite, dolomite and calcite.
Figure 1.
Results of XRD of ore samples.
Main chemical composition of the ore is Cu 7.99%, Pb 9.39%, Zn 1.96%, Fe 32.93%, Ag 157.9 g/t, S 33.68%, SiO2 7.44%, CaO 4.11%, Sb 0.021%, MgO 0.93%, Al2O3 0.57% and K2O 0.13%. Using the polarizing microscope, SEM, XRD, EDX and MLA, it was determined that there are 35 categories of minerals such as sulfide, oxide, carbonate, silicate, and phosphate in the ore accounting for 80.31%, 9.70%, 7.89%, 1.78% and, 0.32%, respectively. Mineral composition and disseminated particle size are presented in Table 1.
Table 1.
Mineral composition and disseminated particle size.
It can be observed from Table 1 that valuable minerals in the ore promising to be recovered are chalcopyrite, bornite, galena, sphalerite, as well as the associated silver; main gangue minerals are quartz, siderite, dolomite, etc. The disseminated particle sizes of the valuable minerals change a lot from minimum 1 micron to maximum 5000 microns, as does the gangue mineral.
3.2. Occurence of Valuable Minerals
Copper occurs mainly in the forms of chalcopyrite and bornite, accounting for 17.70% and 2.5% of the total minerals, respectively.
Chalcopyrite. Allotriomorphic granules are shown in pyrite, galena and bornite. Chalcopyrite precipitates along with fractures in pyrite (Figure 2A) or is replaced by pyrite, or included in pyrite, galena, sphalerite, bornite, pyrrhotite, etc. (Figure 2B), or intergrown with each other (Figure 2C). “Clean” liberation of chalcopyrite is quite difficult for the chain-like distribution practices with a surface coating of pyrite, which can be effectively recovered into a bulk concentrate by froth flotation. Separate “clean” concentrates of copper, lead and zinc is difficult to produce, and contamination of the concentrates with other metals is likely to happen [3]. The grain size of chalcopyrite generally ranges from 0.001 mm to 2.0 mm.
Figure 2.
Images and EDS analysis of chalcopyrite (Abbreviations used: Gn = galena, Clp = chalcopyrite, Py = pyrite, Bn = bornite, Po = pyrrhotite, Tt = Tetrahedrite, Sp = sphalerite, Cc = Chalcocite, Bet = Betekhtinite and Str = Stromeyerite. Green arrows indicate minerals); (A–C) represents the symbiotic relationship between chalcopyrite and other minerals); (D) represents the EDS analysis of chalcopyrite.
Bornite. Allotriomorphic granules. The pyrite grains are replaced by bornite, and the fragments are presented in subspherical, preserving the outlines of the pyrite grains about 0.005–3.5 mm. Bornite in a small amount is associated with chalcocite, betekhtinite stromeyerite and pyrite (Figure 3A).
Figure 3.
Images and EDS analysis of bornite (Py = pyrite, Bet = Betekhtinite, Cc = Chalcocite, Str = Stromeyerite, Bn = bornite); (A) represents the microscope image of the valuable mineral; (B) represents the EDS analysis of bornite.
Lead and zinc in the forms of galena and sphalerite, respectively, occupy a distribution rate of over 95%.
Galena. Allotriomorphic granules. Galena with a grain size ranging from 0.005 mm to 4.0 mm is enclosed in chalcopyrite, tennantite, sphalerite, bornite, pyrite, pyrrhotite, etc. (Figure 4A). Galena grains are often intergrown with pyrite, chalcopyrite, sphalerite, bornite, tennantite, etc., or fills pyrite fissures with chalcopyrite.
Figure 4.
Images and EDS analysis of galena (Po = pyrrhotite, Bn = bornite, Py = pyrite, Clp = chalcopyrite, Tt = Tetrahedrite, Gn = galena, Sp = sphalerite); (A) represents the microscope image of the valuable mineral; (B) represents the EDS analysis of galena.
Sphalerite. Allotriomorphic granule sphalerite is usually associated with chalcopyrite and galena or distributed in some transparent minerals (Figure 5A). Sphalerite grains from 0.005 mm to 2.2 mm are finely disseminated and dotted in chalcopyrite.
Figure 5.
Images and EDS analysis of sphalerite (Gn = galena, Clp = chalcopyrite, Bn = bornite, Po = pyrrhotite, Sp = sphalerite); (A) represents the microscope image of the valuable mineral; (B) represents the EDS analysis of sphalerite.
Silver minerals. The majority of the silver mineral occurs in stromeyrite with a grain size of 0.001 mm–0.2 mm. Stromeyrite is allotriomorphically granular, intergrown with chalcocite and included in bornite (Figure 6A) or disseminated in chalcocite and bornite in vein-like and foliated forms.
Figure 6.
Images and EDS analysis of stromeyrite (Bn = bornite, Cc = Chalcocite, Str = Stromeyerite). (A) represents the microscope image of the silver mineral; (B) represents the EDS analysis of the silver mineral.
3.3. Occurrence of Other Minerals
Pyrite. Hemihedral-allotriomorphic granular aggregates are present in fragmented forms, and the fractures are filled with chalcopyrite and galena; in some cases, the pyrite grains are intergrown with chalcopyrite and bornite, preserving the grain outlines of the pyrite, or in separated island-shape form. The pyrite grain sizes are generally from 0.001 mm to 1.6 mm.
Sulfur occurs mainly in pyrite with a distribution rate of 71.08%, while the distribution rates of sulfur in chalcopyrite, galena, and sphalerite are 18.35%, 4.31%, and 2.73%, respectively. The content of pyrite is as high as 44.80% with little pyrrhotite and both account for 45.90% of the total mineral content.
Compared with common Cu-Pb-Zn sulfide ores, a large amount of pyrite as the Cu-Pb-Zn carrier mineral instead of gangue is the main feature of the ore, where the traditional gangue accounts for only 19.69%. Since the flotability of pyrite is similar to that of chalcopyrite, galena, and sphalerite, the separation of copper, lead and zinc sulfides will surely be a greater challenge not only from the traditional gangue minerals but also from the carrier mineral (pyrite) in the flotation process.
Gangue minerals. The main gangue minerals are quartz and siderite with a small amount of 6.25% and 6.80%, respectively, followed by dolomite and ankerite, totaling 2.8%. The optical microscopic images show that the quartz exists in allotriomorphic granular and is distributed in the ore in the form of fragments. The recrystallized muscovite is distributed in the quartz fragments (Figure 7A) with a particle size ranging from 0.004 mm to 5.5 mm. The siderite is an allotriomorphic granule infiltrated by ferruginous clay, and some malachite is occasionally present in the uninfiltrated siderite (Figure 7B). Occasionally, the aggregates of microcrystalline siderite, metallic minerals, and kaolinite are intergrown in vein-like form (Figure 7C), at the size ranging from 0.004 mm to 0.8 mm.
Figure 7.
Images of main gangues (Abbreviations used: Qtz = Quartz, Ms = Muscovite, Sd = siderite, Mlc = Malachite, Fc = Ferruginous clay, Kln = Kaolinite and Mm = Metal minerals. Green arrows indicate minerals). The (A–C) subfigures show the microscope images of gangue and other minerals in the ore.
In summary, the Cu-Pb-Zn valuable minerals are closely associated with pyrite, mostly in allotriomorphic granular structures and the texture of the ore is complex in multiple patterns, such as vein-like, plate-like network, angular, fine crystalline, fragment, metasomatism, residual, solid solution and and inclusion ways. The pyrite particles are in fine grain sizes, and the other valuable minerals are in coarse grain sizes. Compared with that of copper, lead, and zinc minerals, the grain size of pyrite is only one-half of them. Even if these valuable minerals get completely liberated at a certain grinding fineness, due to the intergrowth relationships among pyrite and valuable minerals, a large number of “locked” particles (middling) promises to be produced during the grinding process, affecting the separation of valuable minerals from each other.
3.4. Development of Innovative Flash Flotation Separation Technology
The process mineralogy of Yushui polymetallic ore was studied. It is found that a large number of pyrite and valuable minerals are associated with each other. Generally, the grain size of pyrite is smaller than that of valuable minerals. Preliminary tests found that copper minerals with good flotability are preferred to float within a few minutes while few chalcopyrites with poor flotability need a longer time to float, so the flash copper flotation process was put forward. The flash copper flotation process can make full use of the characteristics of the liberation and the flotability differences between the minerals, and realizes the preferential flotation of most of the copper minerals with good flotability, which greatly reduces the subsequent difficulty in lead separation. Therefore, flash flotation was introduced to effectively recover copper as soon as possible, followed by lead recovery in differential flotation.
In flash copper flotation, the following conditions (grinding fineness −0.074 mm 80%, H2SO4 3000 g/t, Na2SO3 + ZnSO4 3000 + 2000 g/t, ADD + Z-200 10 + 40 g/t, terpilenol 10 g/t) are fixed and the flotation time was set at 2 min 4 min and 6 min to produce rough copper concentrates of 1, 2 and 3, respectively. The flash flotation time of the copper recovery were shown in Table 2.
Table 2.
Flash flotation time of the copper recovery.
It can be seen from Table 2, that the yield of the concentrate 1 within 2 min is 25.67%, the copper assays are as high as 18.49% with only Pb 5.05% at the copper recovery of 59.08%, which indicates most of the copper minerals with good flotability are recovered; however, the Cu grade in the concentrate 2 obtained in the 2nd two minutes does not change too much, but the lead content increased obviously, containing Pb 8.42% at the Cu recovery of 15.07% only, indicating that a small amount of galena began to float. The grade of copper in the concentrate 3 decreases rapidly and the grade of lead increases sharply, asdoes the recovery of copper and lead. In summary, the optimum time of the copper flotation is set at 4 min, and therefore an innovative flash flotation was put forward. In this case, a qualified copper concentrate containing Cu 18.31% and Pb 5.77% can be obtained, with the copper recovery as high as 74.15%.
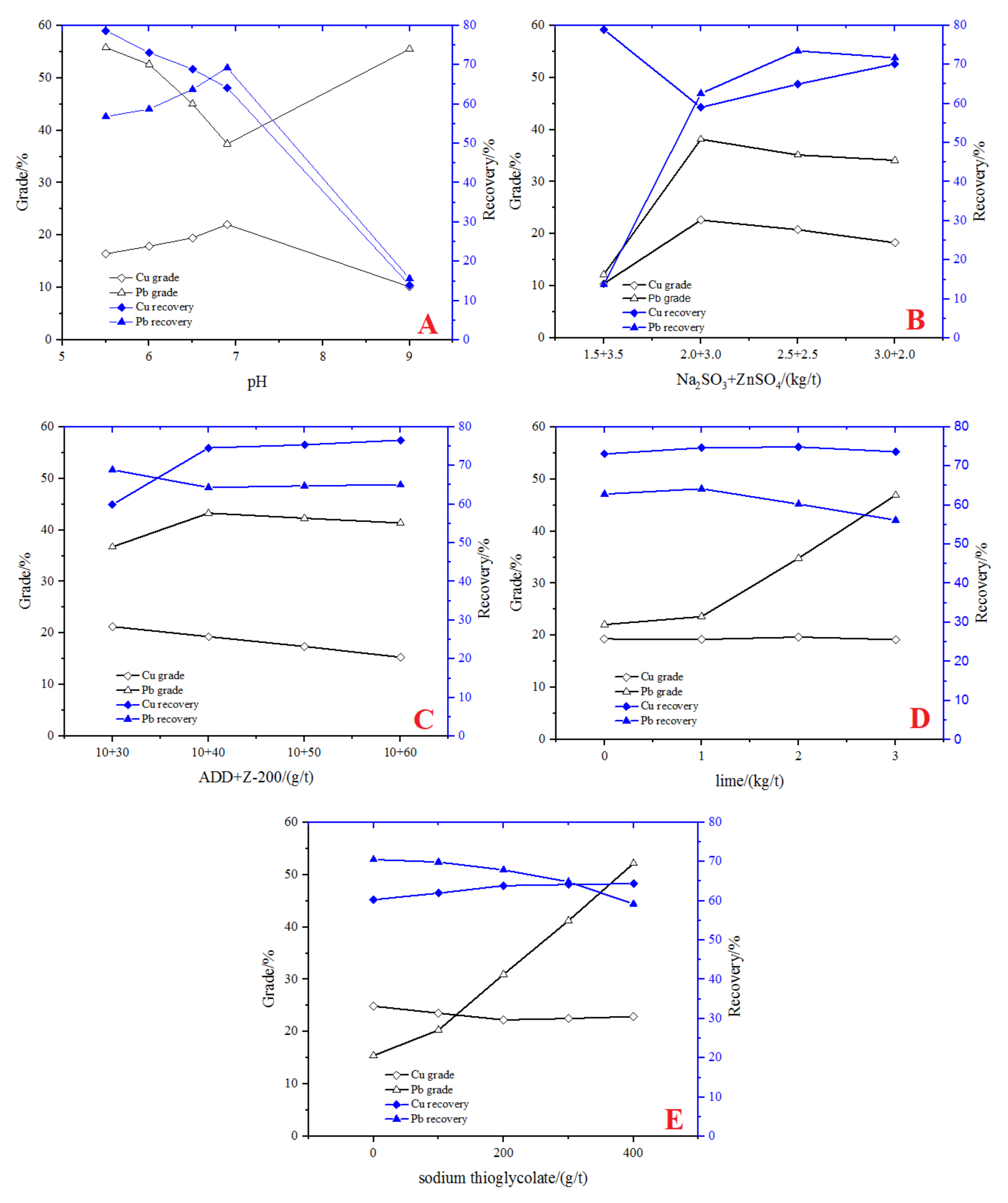
The influence of flotation reagent dosage on the flotation performance is shown in Figure 8. The following conditions (grinding fineness −0.074 mm 80%, flash flotation: Na2SO3 + ZnSO4 3000 + 2000 g/t, ADD + Z-200 10 + 40 g/t, terpilenol 10 g/t; lead flotation: CaO 2000 g/t, sodium thioglycolate 250 g/t, DDTC 250 g/t, terpilenol 10 g/t) are fixed. It can be observed from Figure 8A that the separation performance of copper and lead in natural pH medium is better than that in an alkaline medium, while the separation effect of copper and lead in the acidic condition is better than that in the natural pH medium. With the decrease in pH, Cu content decreases too, but Pb content and Cu recovery go up gradually as Pb recovery decreases. The most suitable of pulp pH is at 6.
Figure 8.
Effects of flotation parameters on Cu-Pb recovery: (A) slurry pH, (B) Na2SO3 + ZnSO4 dosage, (C) ADD + Z-200 dosage, (D) lime dosage and (E) sodium thioglycolate dosage.
The effect of the dosage of the combination depressant Na2SO3 + ZnSO4 is shown in Figure 8B. The following conditions (grinding fineness −0.074 mm 80%, flash flotation: pH = 6, ADD + Z-200 10 + 40 g/t, terpilenol 10 g/t; lead flotation: CaO 2000 g/t, sodium thioglycolate 250 g/t, DDTC 250 g/t, terpilenol 10 g/t) are fixed. As can be observed from the figure, the different dosage of the combined depressant has a significant impact on the separation of copper and lead, especially when the dosage of Na2SO3 + ZnSO4 is 3000 + 2000 g/t, and better flotation performances of copper and lead can be obtained.
Z-200, a copper selective collector, and ADD, a weak selective collector for pyrite, were used to study the synergistic effect of their combined use. The following conditions (grinding fineness −0.074 mm 80%, flash flotation: pH = 6, Na2SO3 + ZnSO4 3000 + 2000 g/t, ADD 10g/t, terpilenol 10 g/t; lead flotation: CaO 2000 g/t, sodium thioglycolate 250 g/t, DDTC 250 g/t, terpilenol 10 g/t) are fixed. The results are presented in Figure 8C. It can be observed from the figure that the copper grade decreases and its recovery increases as the dosage of Z-200 go up gradually. It is noteworthy that when the dosage is at 40 g/t and 50 g/t, the recovery does not change too much. Considering all aspects, the optimum dosage of Z-200 is at 40 g/t.
Using lime as a regulator for lead flotation, the lime can effectively depress pyrite in ore. The following conditions (grinding fineness −0.074 mm 80%, flash flotation: pH = 6, Na2SO3 + ZnSO4 3000 + 2000 g/t, ADD + Z-200 10 + 40 g/t, terpilenol 10 g/t; lead flotation: sodium thioglycolate 250 g/t, DDTC 250 g/t, terpilenol 10 g/t) are kept constant. The test results of lime dosage are shown in Figure 8D. As the lime dosage increases, the grade of rough lead concentrate gradually increases too, but its recovery decreases gradually. When the lime dosage is 2000 g/t, the recovery of lead reaches its peak. Increasing the lime dosage, the lead grade of the concentrate is still increasing, but the recovery begins to fall. Therefore, the optimum lime dosage of 2000 g/t was determined.
In the process of Cu depression during the Pb flotation, the sodium thioglycolate, an environmental-friendly organic substance, is used as a selective depressant of copper minerals and pyrite at a low dosage. The following conditions (grinding fineness −0.074 mm 80%, flash flotation: pH = 6, Na2SO3 + ZnSO4 3000 + 2000 g/t, ADD + Z-200 10 + 40 g/t, terpilenol 10 g/t; lead flotation: CaO 2000 g/t, DDTC 250 g/t, terpilenol 10 g/t) are fixed. The results of the sodium thioglycolate dosage test are shown in Figure 8E. With the increase in the sodium thioglycolate dosage, the grade of rough lead concentrate gradually improves and the recovery decreases gradually. Considered comprehensively, the optimum dosage of sodium thioglycolate is at 300 g/t.
Inspection on the lead flotation tailings by an optical microscope shows that some chalcopyrite and a little bornite with poor flotability are still highly intergrown with galena, sphalerite and pyrite. Due to the low content of lead and zinc minerals in the tailings, the chalcopyrite and bornite liberated are needed to be further recovered as far as possible by using lime to deeply depress the pyrite. In this case, the middlings containing copper, lead and zinc will surely be produced in a small amount.
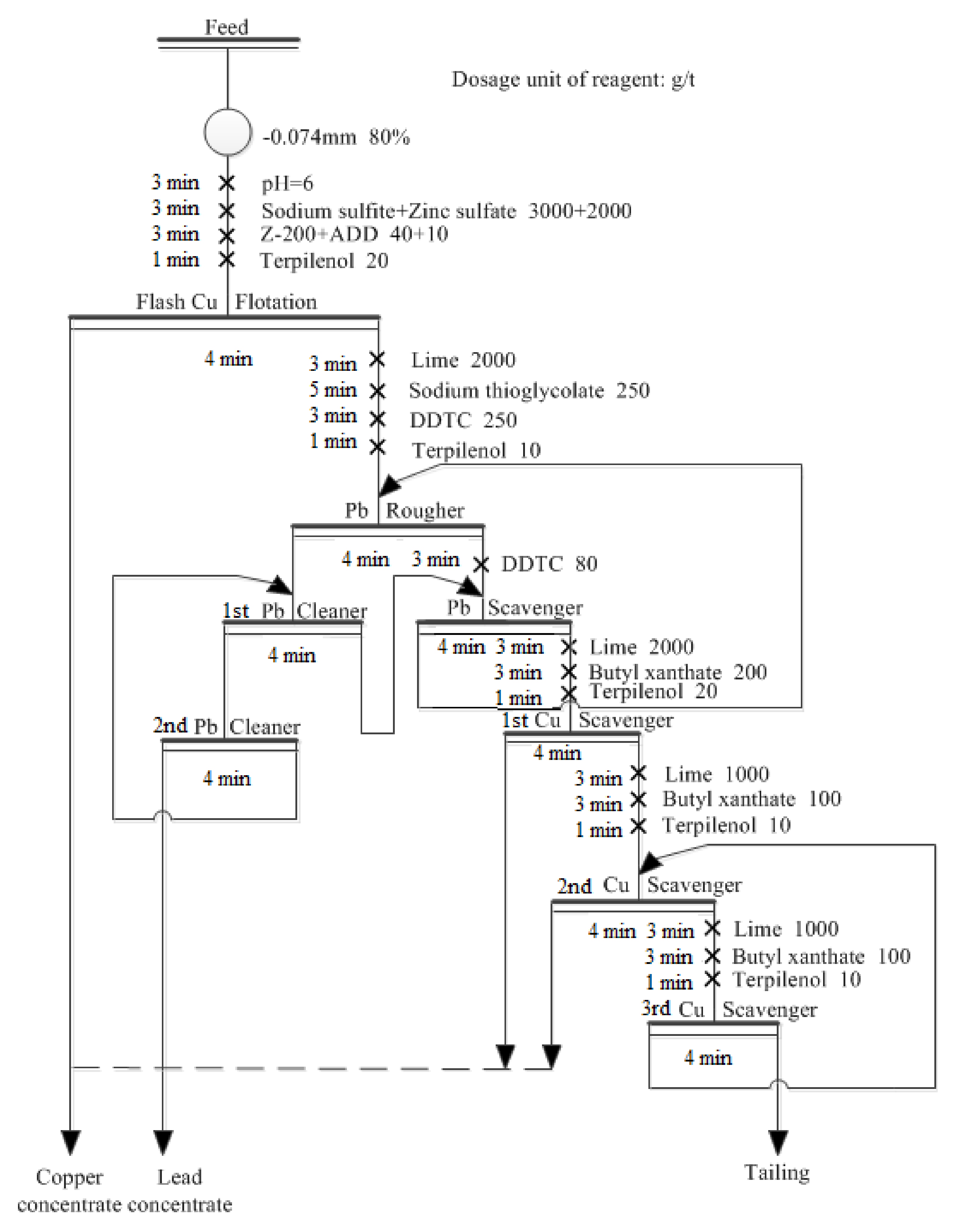
3.5. Closed-Circuit Test
A flowsheet of the closed-circuit test is shown in Figure 9, and the results are demonstrated in Table 3. The test results of Table 3 show that the final copper concentrate assays Cu 16.33% and Ag 242 g/t at Cu recovery 86.67% and Ag recovery 65.63%, respectively; lead concentrate assays Pb 46.23% and Ag 165 g/t at Pb recovery 56.84% and Ag recovery 12.20%, respectively.
Figure 9.
Closed−circuit process flow chart of flotation (X stands for agitation).
Table 3.
The results of closed-circuit flotation test (* Unit: g/t).
The grade of Cu, Pb and Zn in tailings is 1.40%, 1.50% and 0.84% at the recovery of 7.90%, 7.18% and 16.14% respectively. Since most of Zn is enriched and evenly distributed in copper and lead concentrates, and the rest of the zinc in the tailings is a little amount, it seems to be uneconomic to further recover the zinc from the tailings at present. However, due to most pyrite being depressed in the tailings, pyrite is expected to be further recovered in the future.
4. Conclusions
This research was to investigate the mineralogy of the complex sulfide ores with the aid of modern testing instruments. Characterized by high contents of metal sulfides and sulfur, and low content of traditional gangue minerals, the ore is of rare polymetallic sulfide ore, assaying Cu 7.99%, Pb 9.39%, Zn 1.96%, S 33.68%, and Ag 157.9 g/t, respectively.
The flotation time and pH value of the pulp are critical for the Cu-Pb preferential flotation, because most chalcopyrite with good floatability can float in a short time, while the rest of the intergrown particles with poor floatability need more time to float.
The innovative process of flash copper flotation in acidic pulp and lead flotation, followed by further copper recovery, is developed to find the solution for the refractory ore. The results demonstrate that in weak acidic conditions, Na2SO3 and ZnSO4 were used as depressants to depress galena, sphalerite and pyrite, while Z-200 and ADD were used as collectors to recover copper minerals with good floatability; adding the selective organic depressant, sodium thioglycolate, to the tailings of flash copper flotation, it can depress the rest copper minerals with poor flotability and a large amount of pyrite in lead flotation; in order to further recover the copper and lead, a copper scavenging operation was conducted by xanthate to produce the middlings, which can be mixed with the copper concentrate to produce the marketable end product, i.e., copper concentrate in the closed circuit assays Cu 16.33%, Pb 7.98% and Ag 242 g/t at Cu recovery of 86.67%, lead concentrate assays Pb 46.23%, Cu 3.75%, Ag 165 g/t at Pb recovery of 56.84%, and the associated silver was enriched and recovered in both concentrates with a total recovery of 75.57%.
Compared with the separation performances in practice beneficiation plants, the flotation performances in flash flotation increased copper grade and lead recovery greatly in separate concentrates. At the same time, the content of the associated silver in copper and lead concentrate was increased too. The marketable end product, the separate clean concentrates, can be obtained.
The grade of Cu, Pb, and Zn in tailings is 1.40%, 1.50% and 0.84% at the recovery of 7.90%, 7.18% and 16.14% respectively. Since most of Zn is enriched and evenly distributed in copper and lead concentrates, and the rest of the zinc in the tailings is in little amounts, it seems to be uneconomic to further recover the zinc from the tailings at present.
Author Contributions
Conceptualization, F.F. and S.C.; methodology, F.F.; formal analysis, F.F. and S.C.; data curation, S.C. and W.L.; writing—original draft preparation, F.F.; writing—review and editing, W.L. and S.L.; supervision S.L. All authors have read and agreed to the published version of the manuscript.
Funding
This research was funded by the National Natural Science Foundation of China (No. 52064027), and the industrial sponsor, Yushui Copper Mine of Jinyan Copper Industrial Co., Ltd., Meizhou Municipality, Guangdong Province China.
Data Availability Statement
No new data were created or analyzed in this study. Data sharing is not applicable to this article.
Acknowledgments
Many thanks are given to the supervising and consulting of Zi-Qing Jin, senior mineralogist from Kunming Metallurgical Institute, Kunming, China. All the ore samples used for mineralogical investigation are provided by the industrial sponsor, the Yushui Copper Mine.
Conflicts of Interest
The authors declare no conflict of interest.
References
- Huang, F.; Gao, W.; Gao, S.; Meng, L.; Zhang, Z.; Yan, Y.; Ren, Y.; Li, Y.; Liu, K.; Xing, M.; et al. Morphology Evolution of Nano-Micron Pyrite: A Review. J. Nanosci. Nanotechnol. 2017, 17, 5980–5995. [Google Scholar] [CrossRef]
- Khalid, M.; Larachi, F. Effect of silver on gold cyanidation in mixed and segregated sulphidic minerals. Can. J. Chem. Eng. 2016, 95, 698–707. [Google Scholar] [CrossRef]
- Wills, B.A.; Tim, N.-M.B. Forth flotation. In Mineral Processing Technology: An Introduction to the Practical Aspects of Ore Treatment and Mineral Recovery, 7th ed.; Napier-Munn, T., Ed.; Elsevier Science & Technology Books: New York, NY, USA, 2006; Volume 12, pp. 336–343. [Google Scholar]
- Cilek, E.; Tuzci, G. Flotation behavior of native gold and gold-bearing sulphide minerals in a polymetallic gold ore. Part. Sci. Technol. 2021, 40, 558–566. [Google Scholar] [CrossRef]
- Liu, Y.; Lei, S.; Huang, T. Research on mineralogy and flotation for coal-series kaolin. Appl. Clay Sci. 2017, 136, 37–42. [Google Scholar] [CrossRef]
- Sehlotho, N.; Sindane, Z.; Bryson, M. Flowsheet development for selective Cu-Pb-Zn recovery at Rosh Pinah concentrator. Miner. Eng. 2018, 122, 10–16. [Google Scholar] [CrossRef]
- Tang, Z.; Li, Z.; Song, X. Beneficiation Techniques Optimization and Production Practice of Refractory Polymetallic Copper-Lead-Zinc Ore. Miner. Met. Proc. 2013, 33, 74–77. [Google Scholar]
- Zhang, W.; Cao, J.; Wu, S. Synthesis of selective heteroatomic collectors for the improved separation of sulphide minerals. Sep. Purif. Technol. 2022, 287, 120563. [Google Scholar] [CrossRef]
- Ma, Y.; Yang, M.; Tang, L. Flotation separation mechanism for secondary copper sulphide minerals and pyrite using novel collector ethyl isobutyl xanthogenic acetate. Colloid Surf. A Physicochem. Eng. Asp. 2022, 634, 128010. [Google Scholar] [CrossRef]
- Wang, H.; Feng, L.; Manica, R.; Liu, Q. Selective depression of millerite (β-NiS) by polysaccharides in alkaline solutions in Cu-Ni sulphides flotation separation. Miner. Eng. 2021, 172, 107139. [Google Scholar] [CrossRef]
- Monyake, K.; Alagha, L. Enhanced separation of base metal sulphides in flotation systems using Chitosan-grafted-Polyacrylamides. Sep. Purif. Technol. 2022, 281, 119818. [Google Scholar] [CrossRef]
- Godirilwe, L.; Magwaneng, R.; Sagami, R. Extraction of copper from complex carbonaceous sulphide ore by direct high-pressure leaching. Miner. Eng. 2021, 173, 107181. [Google Scholar] [CrossRef]
- Xie, H.; Liu, Y.; Rao, B. Selective passivation behavior of galena surface by sulfuric acid and a novel flotation separation method for copper-lead sulphide ore without collector and inhibitor. Sep. Purif. 2021, 267, 118621. [Google Scholar] [CrossRef]
- Xu, B.; Wu, J.; Dong, Z. Flotation performance, structure–activity relationship and adsorption mechanism of a newly-synthesized collector for copper sulphide minerals in Gacun polymetallic ore. Appl. Surf. Sci. 2021, 551, 149420. [Google Scholar] [CrossRef]
- Huang, Y.; Sun, X.; Shi, G. Re–Os dating of sulphides from the Yushui Cu-polymetallic deposit in eastern Guangdong Province, South China. Ore Geol. Rev. 2015, 70, 281–289. [Google Scholar] [CrossRef]
- Boulton, A.; Fornasiero, D.; Ralston, J. Depression of iron sulphide flotation in zinc roughers. Miner. Eng. 2001, 14, 1067–1079. [Google Scholar] [CrossRef]
- Liu, G.-Y.; Zhong, H.; Dai, T.-G. The separation of Cu/Fe sulfide minerals at slightly alkaline conditions by using ethoxycarbonyl thionocarbamates as collectors: Theory and practice. Miner. Eng. 2006, 19, 1380–1384. [Google Scholar] [CrossRef]
- Dey, S.; Mohanta, M.K.; Singh, R. Mineralogy and textural impact on beneficiation of goethitic ore. Int. J. Min. Sci. Technol. 2017, 27, 445–450. [Google Scholar] [CrossRef]
- Wang, X.; Qin, W.; Jiao, F.; Yang, C.; Cui, Y.; Li, W.; Zhang, Z.; Song, H. Mineralogy and Pretreatment of a Refractory Gold Deposit in Zambia. Minerals 2019, 9, 406. [Google Scholar] [CrossRef]
- Liu, S.; Tong, X.; Song, B. Mineralogy study on a low-grade Cu-Ni-PGM sulphide ore in Jinbaoshan, China. Min. Metall. Explor. 2012, 29, 172–176. [Google Scholar]
- Abdollahi, M.; Bahrami, A.; Mirmohammadi, M.S.; Kazemi, F.; Danesh, A.; Ghorbani, Y. A process mineralogy approach to optimize molybdenite flotation in copper–molybdenum processing plants. Miner. Eng. 2020, 157, 106557. [Google Scholar] [CrossRef]
- Xu, W.; Shi, B.; Tian, Y. Process Mineralogy Characteristics and Flotation Application of a Refractory Collophanite from Guizhou, China. Minerals 2021, 11, 1249. [Google Scholar] [CrossRef]
- Mikhlin, Y. X-ray photoelectron spectroscopy in mineral processing studies. Appl. Sci. 2020, 10, 5138. [Google Scholar] [CrossRef]
- Yarluğkal, A.; Cebeci, Y.; Sis, H. A Process Mineralogy Approach to the Flotation of Complex Lead–Zinc Ores from Görgü (Malatya) Region. Min. Metall. Explor. 2022, 39, 1219–1232. [Google Scholar] [CrossRef]
- Tanhua, A.; Sinche-Gonzalez, M.; Kalapudas, R.; Tanskanen, P.; Lamberg, P. Effect of waste rock dilution on spodumene flotation. Miner. Eng. 2020, 150, 106282. [Google Scholar] [CrossRef]
- Hoang, D.; Kupka, N.; Peuker, U. Flotation study of fine grained carbonaceous sedimentary apatite ore—Challenges in process mineralogy and impact of hydrodynamics. Miner. Eng. 2018, 121, 196–204. [Google Scholar] [CrossRef]
- Kelvin, M.; Whiteman, E.; Petrus, J. Application of LA-ICP-MS to process mineralogy: Gallium and germanium recovery at Kipushi copper-zinc deposit. Miner. Eng. 2022, 176, 107322. [Google Scholar] [CrossRef]
- Wei, Q.; Jiao, F.; Dong, L. Selective depression of copper-activated sphalerite by polyaspartic acid during chalcopyrite flotation. Trans. Nonferrous Met. Soc. China 2021, 31, 1784–1795. [Google Scholar] [CrossRef]
- Miao, Y.; Wen, S.; Shen, Z. Flotation separation of chalcopyrite from galena using locust bean gum as a selective and eco-friendly depressant. Sep. Purif. Technol. 2022, 283, 120173. [Google Scholar] [CrossRef]
- Chen, Y.; Feng, B.; Guo, Y. The role of oxidizer in the flotation separation of chalcopyrite and galena using sodium lignosulfonate as a depressant. Miner. Eng. 2021, 172, 107160. [Google Scholar] [CrossRef]
- Lopéz, R.; Jordão, H.; Hartmann, R. Study of butyl-amine nanocrystal cellulose in the flotation of complex sulphide ores. Colloid. Surf. A 2019, 579, 123655. [Google Scholar] [CrossRef]
- Liu, M.; Zhang, C.; Hu, B. Enhancing flotation separation of chalcopyrite and galena by the surface synergism between sodium sulfite and sodium lignosulfonate. Appl. Surf. Sci. 2020, 507, 145042. [Google Scholar] [CrossRef]
- Jiao, F.; Cui, Y.; Wang, D. Research of the replacement of dichromate with depressants mixture in the separation of copper-lead sulfides by flotation. Sep. Purif. Technol. 2022, 278, 119330. [Google Scholar] [CrossRef]
- Bulatovic, S.; Wysouzil, D.; Bermejo, F. Development and introduction of a new copper/lead separation method in the raura plant (Peru). Miner. Eng. 2001, 14, 1483–1491. [Google Scholar] [CrossRef]
Publisher’s Note: MDPI stays neutral with regard to jurisdictional claims in published maps and institutional affiliations. |
© 2022 by the authors. Licensee MDPI, Basel, Switzerland. This article is an open access article distributed under the terms and conditions of the Creative Commons Attribution (CC BY) license (https://creativecommons.org/licenses/by/4.0/).








