Abstract
Weather-enhanced sulphide oxidation accelerates CO2 release into the atmosphere. However, over extended geological timescales, ultramafic and mafic magmatic minerals may transition from being sources of CO2 emissions to reservoirs for carbon sequestration. Ultramafic and mafic mine tailings present a unique opportunity to monitor carbon balance processes, as mine waste undergoes instantaneous and rapid chemical weathering, which shortens the duration between CO2 release and absorption. In this study, we analysed 30 vanadium-titanium magnetite mine tailings ponds with varying closure times in the Panxi region of China, where ~60 years of mineral excavation and dressing have produced significant outcrops of mega-mine waste. Our analysis of anions, cations, saturation simulations, and 87Sr/86Sr; δ13C and δ34S isotopic fingerprints from mine tailings filtrates reveals that the dissolution load of mine tailings may depend significantly on early-stage sulphide oxidation. Despite the abundance of ultramafic and mafic minerals in tailings, dolomite dominates chemical weathering, accounting for ~79.2% of the cationic load. Additionally, due to sulphuric-carbonate weathering, the filtrates undergo deacidification along with sulphide depletion. The data in this study suggest that pristine V-Ti-Fe tailings ponds undergo CO2 emissions in the first two years but subsequently begin to absorb atmospheric CO2 along with the filtrates. Our results provide valuable insights into monitoring weathering transitions and carbon balance in ultramafic and mafic rocks.
1. Introduction
The weathering of ultramafic and mafic magmatic minerals (e.g., olivine, pyroxene, and serpentine) plays a critical role in regulating atmospheric CO2 balance [1,2,3,4,5]. Weathering-derived sulphuric acid (H2SO4) can preferentially dissolve carbonates, leading to net CO2 release, which provides a temporary source of CO2 to the Earth’s atmosphere [6]. However, the timescale of sulphide oxidation to carbonate dissolution remains uncertain, hampering our understanding of carbon budgets.
Sulphuric acid is a key driver of chemical weathering reactions in river basins [7,8], deep groundwater [9], mountainous erosion [10], and glacial weathering [11]. Studies reveal that modern global sulphide oxidation fluxes range from 0.64 to 1.26 Tmol/year [8] and that sulphide-derived acid could release more CO2 into the atmosphere–ocean system than is consumed by silicate weathering [7]. Conversely, chemical weathering is generally recognized as a process that converts atmospheric CO2 into carbonates [12,13,14,15,16]. Further clarity on these processes requires quantification of the role of sulphide oxidation in surficial chemical processes.
The chemical weathering of ultramafic and mafic mine tailings waste offers an analogue for deciphering the timescale of sulphide oxidation and chemical weathering during their transition. Minerals for CO2 storage of tailings mainly include olivine, serpentine, pyroxene, and amphibole [17,18,19,20,21,22,23]. The secondary minerals include magnesite (MgCO3·3H2O), dypingite (Mg5(CO3)4(OH)2·5H2O) [24], hydromagnesite (Mg5(CO3)4(OH)2·4H2O) [25,26], aragonite, and iron dolomite [27,28]. Factors such as milling, high permeability, and increased surface area significantly enhance the reactivity of mine waste [29,30,31], intensifying the water–tailings reactions and leading to enhanced CO2 fixation efficiency in the tailings waste. For instance, the Baptiste iron-nickel mine in Canada can offset 42%–53% of the mine’s annual CO2 emissions [30], while iron-nickel mine tailings in New Caledonia can offset 90% of the annual CO2 emissions of mining operations [29]. BHP Group Limited reports that its tailings CO2 storage capacity is 10 times greater than the company’s CO2 emissions [32]. Other notable examples include the annual storage capacity of peridotite in Oman, which is about 104–105 tons [17]; the annual CO2 storage capacity of Diavik diamond tailings in Canada, which is about 6300 tons [19,33]; and the annual CO2 storage capacity of PGE tailings in South Africa, at about 32 million tons, accounting for 43.6% of the country’s total CO2 emissions [34]. In China, the Jinchuan copper-nickel mine tailings CO2 storage capacity is 40,000 tons per year [26].
Accelerated weathering of tailings waste can lead to the exhaustion of sulphides within years, further expediting the transition from CO2 emissions to fixation. This shortened timescale enables the investigation of the entire weathering process of ultramafic and mafic magmatic mine tailings. By doing so, (1) the chemical weathering processes involved in the sulphide oxidation of fresh tailings waste can be identified; (2) the timescale of CO2 released to sequestration of mine tailings can be quantified; and (3) potential weathering indices that may facilitate predictions regarding the transition from CO2 emissions to sequestration can be explored. This study aims to investigate these aspects for a series of tailings ponds located in the Panxi region of China. In the following sections, we describe this study area, sampling and analysis methods, and outline a series of findings that improve our understanding of weathering transitions and carbon balances in ultramafic and mafic minerals.
2. Study Area
The Panxi region, situated within the Anning River valley of Sichuan Province, China, hosts large quantities of outcropping ultramafic and mafic mine waste produced over ~60 years of V-Ti-Fe ore excavation and mineral dressing. The ore is associated with Emeishan ultramafic and mafic magmatic intrusion in Southwest China [35]. It is estimated to contain approximately 6.7% of global vanadium (V) and 35.2% of global titanium (Ti) resources [36]. Ore minerals typically include titanomagnetite, ilmenite, apatite, pyrrhotite, and pentlandite. Gangue minerals include clinopyroxene, plagioclase, hornblende, and olivine. During beneficiation, large quantities of tailings waste are discharged into storage facilities (tailings ponds) in the form of slurry. As of 2017, mine tailings waste had accumulated to ~3.1 billion tons [37]. Tailings waste primarily consists of ultramafic and mafic minerals, such as pyroxene, plagioclase, amphibole, and olivine. Tailings have a range of applications, including roadbed landfill, construction bricks, and fireproof materials. Furthermore, they possess the potential to sequester an estimated ~8.45 million tons of atmospheric CO2 annually [37]. Analogous cases have been studied in Platinum Group Element (PGE) mines in South Africa [34,38].
The Panxi region is characterised by several north–south oriented reverse faults. The lithological distribution in the valley comprises a Proterozoic crystalline basement, Cenozoic terrestrial red sedimentary rocks, Yanshanian granites, Palaeozoic and Mesozoic sedimentary cover, Neo-Palaeozoic rift basic intrusive rocks, Neo-Palaeozoic rift intrusive rocks, Late Palaeozoic rift basalts, Proterozoic diorites, and Proterozoic granites [39]. The topography is dominated by alpine valleys, with mine waste sites predominantly concentrated along the Anning River Valleys. The region’s climate is influenced by the Indian Ocean monsoon, southeast and plateau monsoon, and it experienced glacial activity during the Quaternary period [40]. The local annual rainfall is ~849.4 mm/year [41]. Rainfall is most intense during the summer months, while precipitation is less frequent in other seasons.
3. Methodology
3.1. Tailings Ponds Status
Figure 1 shows 94 mine area sites (including open-cut pits, milling infrastructure, waste rock dumps, and tailings storage facilities) identified in the Panxi region using remotely sensed datasets. These sites were validated through field investigations and were found to occupy 7665.5 ha [42,43,44]. Filtered water samples were obtained from 30 mine tailings ponds situated in the vicinity of Xichang (Taihe Town) and Panzhihua Cities (Baima, Xinjiu, Hongge, Yinjiang towns). The standardized construction of these tailings ponds minimizes interference factors, facilitating research on tailings chemical weathering processes. Moreover, the diverse operational histories of these ponds provide an ideal framework for investigating tailings chemical weathering across various temporal scales. Field investigation revealed that nine tailings ponds were actively receiving tailings, while the remaining ponds were either temporarily or permanently shut down (Table 1). For instance, the Detian tailings pond has been inactive for approximately five years (longest closure around 1850 days), and the overlying land has been converted into a weedy field.
Figure 1.
Spatial distribution of the ultramafic and mafic mine area and tailings pond sites in Panxi region, China. The spatial distribution of mine sites is modified by [42,43].
Table 1.
Hydrogeochemical characteristics of tailings ponds filtrates and background waters across V-Ti-Fe mine sites, Panxi region, Sichuan, China.
Filtrate samples from 30 tailings ponds arising from V-Ti-Fe mine mineral dressing were collected to determine the hydrogeochemical properties, with one sample per pond to assess their hydrogeochemical properties. There is a lower amount of seepage water from the tailings ponds owing to the high permeability of the tailings ponds and the valley’s hot and dry environment. To accurately reflect the chemical weathering processes within tailings ponds, filtrate sampling sites were strategically positioned in the starter dyke. This location ensures extended water-tailings contact, providing valuable insights for research purposes. For comparative purposes, background samples were collected at the upstream in the Wanniangou tailings pond, situated in an isolated valley with dense vegetation. This site, free from mining and agricultural disturbances, represents a natural weathering process. Meanwhile, the contemporaneous hydrogeochemical characteristics of the local river system (Anning River Basin) have been extensively documented in the existing literature [45].
3.2. Analysis
Tailings leachate samples were filtered (syringe, nylon needle filter, 0.45 μm) and temporarily stored in polyethylene bottles with air-tight caps at 4 °C to minimize CO2 leakage and biological activity. The temperature, electric conductance, and Total Dissolved Solids (TDS) were measured in the field work. The major cationic concentrations of the filtrates (e.g., Ca2+, Mg2+, Na+, K+, and Sr2+) were measured using an Inductively Coupled Plasma Optical Emission Spectrometer (ICP-OES) with a precision of 5% (Chengdu University of Technology, China). Anionic concentrations (Cl−, NO3−, and SO42−) were determined using a Dionex DX-120 Ionic Chromatograph (IC, Thermo ScientificTM, Waltham, MA, USA) with a precision of 5% (Chengdu University of Technology, China). The alkalinity of the leachate was determined in the field shortly after sampling, performing the Gran titration method [46]. The Dissolved Inorganic Carbon (DIC), also known as ΣCO2, is composed of four dominant species: dissolved carbon dioxide (CO2), carbonic acid (H2CO3), bicarbonate (HCO3−), and carbonate (CO32−) [47]. Within a neutral environment, alkalinity values were observed to be nearly equivalent to those of DIC, with a variation of approximately 5%.
The δ13CDIC-VPDB values of the leachate samples were determined using a Finnigan DeltaPlus XL mass spectrometer in the continuous flow mode with a gas bench device and an A200s auto-sampler (Thermo Finnigan LLC, San Jose, CA, USA). The analytical precision was 0.2‰, estimated from internal standards (Chengdu University of Technology, China). The δ34SV-CDT values were measured using an Elemental Analyzer and Isotope Ratio Mass Spectrometer (EA-IRMS) at the Iso-Analytical Laboratory of the Beijing Research Institute of Uranium Geology (BRIUG), China. The resulting SO2 gas is passed through a GC column and measured in the mass spectrometer. Analytical precision calculated from the standards is better than ±0.3‰ (1σ). The water sample 87Sr/86Sr isotopic compositions were measured using a Multi-Collector Inductively Coupled Plasma Mass Spectrometer (MC-ICP-MS) on a Nu Plasma Instrument after chromatographic purification using a cationic exchange resin. Analyses were referenced against NBS SRM 987 (0.710250), with long-term averages of 0.710246 and 0.710240 and 2–σ internal precisions of 0.000016 and 0.000014 on the Sector 54 and IsoProbe, respectively (Chengdu University of Technology, China).
4. Results
4.1. Major Ions
The tailings seepage exhibited a temperature range of 16.4 °C to 25.8 °C, averaging 21.9 °C. Collectively, the water was circumneutral, ranging from pH 7.1 to 8.2 (arithmetic mean 7.6 ± 2.3). However, the pH was significantly lower (5.8) in the Yuantong tailings pond. The TDS in the filtrates exhibited significant variability, ranging from 240 to 2059 mg/L (arithmetic mean 847 ± 481 mg/L). Correspondingly, the ionic concentrations in the filtrates varied greatly among tailings ponds. The cationic concentrations in the filtrates were in the order of Ca2+ (1174–17,484 μmol/L, arithmetic mean 5823 ± 3875 μmol/L) > Mg2+ (1186–16,079 μmol/L, arithmetic mean 5170 ± 4003 μmol/L) > Na+ (208–5862 μmol/L, arithmetic mean 1344 ± 1172 μmol/L) > K+ (8–1916 μmol/L, arithmetic mean 331 ± 489 μmol/L). The Ca2+ and Mg2+ accounted for 79%–95% (arithmetic mean 87%) of the total cations in the filtrates, and the mean [Mg2+/Ca2+] molar ratio was 0.92, which revealed that the cationic budgets in the filtrates were alternately liberated from dolomite and/or Mg-silicates [48,49]. Although dissolved Fe is present in significant quantities within the solid tailings waste, its occurrence in the filtrates was found to be minimal [37]. The SO42− showed a high concentration in the filtrates (621 to 34,351 μmol/L, arithmetic mean 8616 ± 9429 μmol/L), and other anions including HCO3− (981 to 8390 μmol/L, arithmetic mean 4267 ± 1862 μmol/L), Cl− (157 to 5494 μmol/L, arithmetic mean 869 ± 1075 μmol/L), and NO3− (0 to 124 μmol/L, arithmetic mean 75 ± 27 μmol/L). The [HCO3−/SO42−] molar ratio ranged from 0.04 to 13.1, with a mean value of 1.9. The hydrogeochemistry of the rivulet was lower than that of the tailings filtrates. The TDS is 166 mg/L, along with the lower level of cations (mean Ca2+, Mg2+, Na+, and K+ were 1057, 673, 130 and 54 μmol/L, respectively), and anions (mean HCO3−, SO42−, Cl−, and NO3− were 3328, 115, 66, and 21 μmol/L, respectively). The HCO3− concentration was significantly higher than SO42−, and the molar ratio [HCO3−/SO42−] was ~28.6 (Table 1).
The dissolved ions in the tailings filtrates exhibited significant interactions. The correlation between SO42− and cations (e.g., Ca2+, Mg2+, Na+, and K+) was positive, and the correlation coefficient sequence was Mg2+ (0.96) > Ca2+ (0.92) > K+ (0.82) > Na+ (0.68). These synergistic variations suggest that sulphide oxidation in the tailings is likely to be the major factor affecting the chemical weathering of the tailings (Table 2). However, SO42− and HCO3− were weakly negatively correlated (−0.16). Analysis revealed that NO3− concentrations remained relatively stable across the tailings ponds. Furthermore, no statistically significant correlation was observed between NO3− and any of the other measured parameters (Table 2, Figure 2). A weak positive correlation between NO3− concentrations and temperature (r = 0.37) was identified. This finding suggests that external inputs, rather than the chemical weathering processes within the tailings waste, likely constitute the primary source of NO3−.
Table 2.
Pearson correlation coefficients.
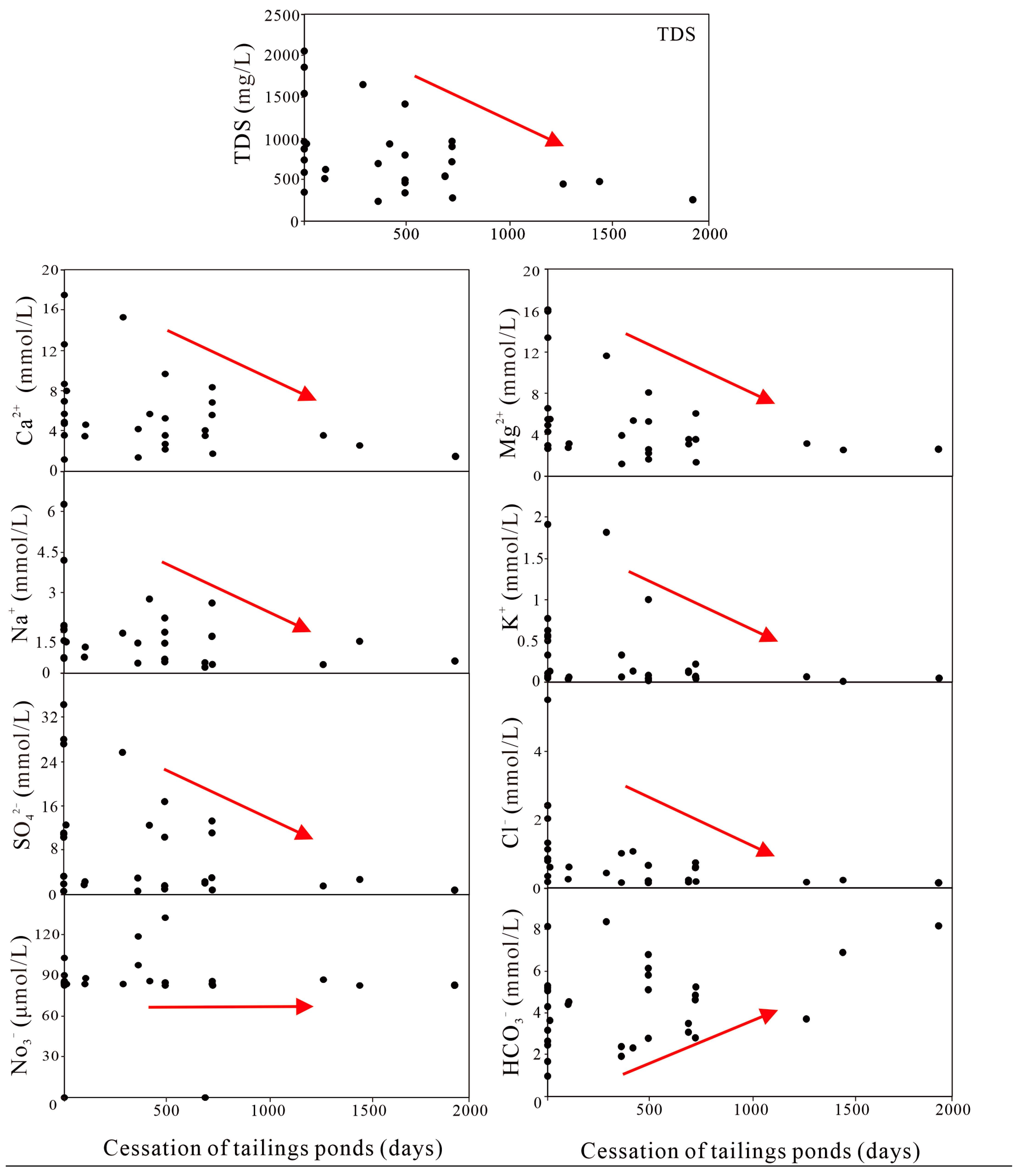
Figure 2.
Temporal variation of ions in the tailings ponds filtrates. The red arrows represent the direction of change in ionic contents on the time-scale.
4.2. Temporal Weathering Decline
The weathering rate of the tailings particles was significantly accelerated in mine tailings where rock crushing occurred (Table 3). The particle size of the Panxi V-Ti-Fe tailings waste ranged from 0.01 μm to 551.94 μm (arithmetic mean 63.18 μm) [37]. Consequently, the TDS of tailings filtrates are of much greater magnitude (8.8-, 3.8-, and 12.3-fold) than those of the Anning, Changjiang, and global average rivers, respectively [45,50,51,52,53], and 5.1-fold upstream and 19.4-fold measured upstream of the Emeishan basalt rocks [54].
Table 3.
Weathering loads of mine waste and river basins.
Nevertheless, the correlation coefficient between the closure time and the ions (Ca2+, Mg2+, Na+, K+, Sr2+, SO42−, and Cl−) exhibited a moderately negative correlation (less than −0.30; Table 2). Meanwhile, the TDS and most ions (Ca2+, Mg2+, Na+, K+, SO42− and Cl−, excluding NO3− and HCO3−) in the filtrates showed a decline from the operating to suspended tailings ponds (Figure 2). Average filtrate TDS decreased from 1228 mg/L during operation to 779, 694, and finally 593 mg/L for one, two, and more than three years of closure in the tailings ponds, respectively. Likewise, average SO42− concentrations declined from 14,514, 7686, and 6052 μmol/L to 4763 μmol/L, respectively (Table 1).
4.3. Isotopic Geochemistry
In Table 1, the Sr2+ concentrations in the tailings pond filtrates range from 1 to 28 μmol/L, averaging 11 μmol/L, which is significantly higher than the Anning River (mean 1.1 μmol/L) [14]. The 87Sr/86Sr ratios ranged from 0.7056 (Majiatian tailings pond, operating) to 0.7162 (Detian tailings pond, closed), with a mean value of 0.7091. This variation was comparable to the nearby Yalong River system, the mainstem of the Anning River, where 87Sr/86Sr ratios ranged from 0.7074 to 0.7198 [14].
The δ13C isotopic ratios ranged from −17.19 per-mil (Heigutian tailings pond, closed) to −5.48 per-mil (VPDB, Wanniangou tailings pond, operating), with a mean value of −10.72. Additionally, the δ34SV-CDT of the leachates predominantly ranged from 0.3 per-mil to 6.8 per-mil (mean 4.0 per-mil), except for the Detian tailings pond, which had a higher δ34SV-CDT (11.3 per-mil), similar to that of the Emeishan basalt [55].
5. Discussion
5.1. Sulphide Oxidation
5.1.1. Provenance of SO42−
The predominance of minor pyrrhotite (FeS1-1.18) and pentlandite (Fe(Ni,Fe)8S8) in non-oxidized Panxi V-Ti-Fe mine tailings (Fe(Ni,Fe)8S8) [37,56], coupled with the exclusive use of gravity and magnetic separation in mineral dressing [37], suggests that sulphide oxidation plays a crucial role in controlling the chemical weathering of these tailings. This conclusion is further supported by additional observations:
(1) An antagonistic relationship exists between SO42− and HCO3−. Generally, the oxidation of sulphide generates sulphuric acid, and the H+ ions can be neutralised by HCO3−, leading to a decrease in HCO3− concentration in the filtrates. In Table 2, SO42− in the filtrates shows a synergistic variation with cations but a negative correlation with HCO3−.
(2) Sulphide-trapped minerals (olivine, pyroxenes, ilmenite, and garnet) or rocks (basalt glasses, peridotites, eclogites, and kimberlites) exhibit a wide range of δ34S values, from −4.9 ± 1 per-mil to +8 ± 1 per-mil [57]. Concurrently, basaltic liquid δ34S values are estimated to range from +0.3 to +1.6 per-mil [58]. The V-Ti-Fe mine in the Panxi region is associated with the Emeishan basic magma intrusion [59], and the δ34S of the Emeishan basaltic rocks range from +0.4 to +7.0 per-mil [55]. Notably, the δ34S value of the V-Ti-Fe mine waste filtrates ranges from +0.3 to +6.8 per-mil (mean 4.0 per-mil, except for the Detian tailings pond), revealing that the sulphide in the V-Ti-Fe mine waste and the Emeishan basalt is quite homogeneous. These findings collectively support the hypothesis that sulphide oxidation significantly influences the chemical weathering of tailings wastes.
5.1.2. Sulphide Depletion in the Tailings Ponds
The observed enrichment of δ34S in the filtrates provides evidence for a substantial depletion of sulphide oxidation within the tailings pond environment. The δ34S of SO42− in water represents a mixture of S derived from rock, soil, and atmosphere. The heavier δ34S in the water (ranging from +4 to +14 per-mil) results from SO42− reduction or bacterial S reduction [47,60]. Alternatively, heavier δ34S can also be attributed to the sulphate-derived SO42− dissolution [61]. In terms of the tailings filtrates, the δ34S values of most ceased ponds’ filtrates were identical to those of the operating tailings ponds, with a conservative δ34S value of less than 6.8 per-mil, demonstrating the sulphide oxidation of mantle-derived ultramafic and mafic rock [55,57,58].
The Detian mine tailings, inactive for a period of five years, exhibit a significantly elevated δ34S value of 11.3‰. This finding suggests that the observed SO42− may originate from either sulphate reduction processes or other sources of sulphate within the environment. The scarcity of organic matter (vegetation) within the tailings limits the availability of oxygen-consuming organic decay, making sulphate reduction unlikely. On the other hand, the SO42− in the filtrates with higher δ34S may indicate a depletion of sulphide in the tailings ponds and an elevated portion of the upstream-derived S mixture. For example, the Detian pond filtrates disclose the lowest SO42− concentration among the ponds (621 μmol/L) with approximately one fifth coming from an external input in the tailings pond (~115 μmol/L of SO42− flux in the upstream and ~122 μmol/L in the Anning River [45]). Meanwhile, the diagrams of the molar ratios [HCO3−/Na+] and [Ca2+/Na+] depict the trend of end member evaporation (Figure 3a). The Anning River has a high proportion of sulphate from gypsum inputs (63%) [16]. Based on these observations, we infer that the Detian tailings filtrates could mix a higher portion of external SO42− (e.g., sulphate) than other ponds.
Figure 3.
Diagrams of (a) molar ratio [HCO3−/Na+] vs. [Ca2+/Na+], (b) molar ratio [Mg2+/Na+] vs. [Ca2+/Na+], and (c) the stoichiometry ratio from operating/dormant tailings pond filtrates, showing mixing between silicate and carbonate.
5.2. Carbonate Weathering
5.2.1. Provenance of Carbonates
The 87Sr/86Sr ratios of the filtrates (mean 0.7091) were consistent with modern marine carbonates (0.708–0.709) [62] and distinctly higher than the Panxi intrusion (0.7043–0.7055) [63,64]. This suggests that the Sr isotopes were derived from carbonates rather than magmatic silicates. The genesis of carbonates in the Panxi V-Ti-Fe deposit is linked to the intrusion of Emeishan mafic magma into dolomites from Neoproterozoic Sinian formations in the Sichuan Basin [65,66,67,68]. Large contact aureoles, mostly composed of brucite marbles, calc-silicate rocks, and skarns, develop at the contact of the intrusions [67]. Consequently, calcite (~4.2 vol. %) and dolomite (~1.5 vol. %) have been identified as constituents of the tailings waste [37]. Sulphuric acid preferentially dissolves carbonates owing to their dissolution kinetic potential [69]. Calcite dissolution is directly proportional to H+ activity. Dolomite dissolution is relatively inert compared to calcite dissolution, controlled by parallel reactions involving H+, H2O, and H2CO3 [70,71,72]. Accordingly, the dissolution of Ca-Mg-Fe-carbonate minerals occurs in the sequence of calcite, dolomite, ankerite, and siderite [73,74].
In this study, the dolomite dissolution was likely the main contributor to the filtrates. The weathering reaction within near-neutral pH conditions for the tailings waste will proceed most readily for calcite and dolomite and least readily for magnesite [75], which is nearly equivalent to the tailings filtrates in the present study (pH range 5.8–8.2). On the other hand, a [Mg2+/Ca2+] ratio ranging from 0.01 to 0.26 represents limestone dissolution, and a ratio greater than ~0.80 demonstrates dolomite dissolution [48,49]. The average [Mg2+/Ca2+] ratio in the filtrates is 0.92 (ranging from 0.38 to 2.55, 77% are larger than 0.8), indicating dolomite dominates the dissolution in the tailings. With rare exceptions, the [Mg2+/Ca2+] ratios of the Jintai and Jinlong tailings ponds were 0.38 and 0.42, respectively, suggesting both calcite and dolomite dissolution occurred in the operating tailings pond. These two ponds, characterized by elevated TDS values of approximately 1256 mg/L, demonstrated a higher dissolution load compared to the average TDS of approximately 818 mg/L observed in the remaining tailings ponds.
5.2.2. Deacidification of Tailings Ponds
Residual carbonates in the tailings ponds are vital for maintaining a neutral hydrogeochemical environment. In general, one mole of H2SO4 is consumed in an acid–base reaction to produce two moles of HCO3−. An [HCO3−/SO42−] molar ratio larger than two reveals that excessive bicarbonate can buffer the sulphuric acid in the filtrates.
In this study, the average [HCO3−/SO42−] ratio ranged from 0.04 to 13.1, with 10 of 30 tailings ponds (~33.3%) having a ratio greater than two (e.g., Hongfa, Tianlong, and Detian). In particular, the [HCO3−/SO42−] ratios of the ceased tailings ponds averaged ~2.5, proving sufficient bicarbonate present to buffer H2SO4. The [HCO3−/SO42−] ratio of the operating tailings ponds was approximately 0.66, and the pH of the filtrates was close to neutral. This is attributed to CO2 emissions (see Section 5.4). Therefore, such near-natural pH conditions (deacidification of H2SO4) are environmentally friendly to the ecosystem as they retard toxic metals [76,77]. In particular, the pH value of the Yuantong tailings pond (operating) was 5.79, which was below the average level of 7.6. The [HCO3−/SO42−]Yuantong ratio of 0.04 is significantly lower than two. These findings indicate that the pond is acidic and cannot neutralise acids. Engineering treatment is necessary to reduce the acidic load and to monitor environmental degradation.
5.3. Silicate Weathering
In this study, we assumed that the remaining cations were sourced from silicate weathering rather than from sulphate oxidation or carbonate dissolution. The reason is (1) the molar ratios of [HCO3−/Na+] to [Ca2+/Na+] and [Mg2+/Na+] to [Ca2+/Na+] indicated that the weathering process involves a combination of carbonate and silicate rocks (Figure 3a,b). (2) The K+ in river water is primarily derived from silicate weathering [78]. In this study, the K+ is relatively abundant in the filtrates (mean 330.8 μmol/L), which compares with the upstream (mean 54.0 μmol/L) and Anning River (mean 52.19 μmol/L) [45]. Hence, elevated K+ concentrations in the filtrates may be attributed to silicate weathering, given the presence of hornblende in the tailings [37]. (3) A molar ratio of [Na+/Cl−] equal to one suggests anthropogenic input. Excessive Na+ in water is linked to the chemical weathering of silicates [79]. The [Na+/Cl−] ratio of filtrates ranged from 0.47 to 4.79 (mean 2.06, the ratio of three tailings ponds less than one, including Wanniangou, Jintai, and Sandaoguai tailings ponds). This evidence suggests that silicate weathering contributes to the water–rock interactions within the tailings environment.
The solute flux of cations derived from silicate weathering was determined by correcting the background [13]. It was assumed that K+ originated from both external and silicate sources. The regional silicate Na+/K+ ratio was ~1.2 [14]. The background K+ concentration in this study was 54.0 μmol/L, similar to the average concentration in the Anning River (52.43 μmol/L) [45]. Once the silicate weathering of Na+ was calculated, it was possible to determine the other cations produced from the ratios of these cations to Na+ in the silicate rocks. The [Ca2+/Na+] ratio of the Emeishan basalt was reported as 1.87 [80], but this may be due to a mixture of carbonate and silicate dissolution. In contrast, the representative [Ca2+/Na+] ratio of silicate weathering was equal to 0.55, South Han River, South Korea [15] and 0.5 in the Skeena and Nass Rivers, Canada [13]. Therefore, 0.5 was the representative ratio for silicate weathering of V-Ti-Fe mine tailings. For the [Mg2+/Na+] ratio of silicate weathering, 0.4 was adopted as a conservative estimate [12], representing volcanic and volcanic-derived rock weathering (associated with basalts, andesites, and granodiorites) and concurrent with Emeishan mafic rock weathering [80].
According to the extrapolation described above, it is estimated that ~15.7% (ranging from 3.4% to 45.2%) of the cationic flux was sourced from exotic inputs, likely linked to the Anning River water. Atmospheric inputs were excluded from consideration as the sampling was conducted during sunny days without precipitation, and atmospheric input calculated into river inputs. Although sulphuric acid preferentially dissolves dolomite, silicate weathering is also very active in pristine tailings. Approximately 5.1% (ranging from 0.2% to 19.2%) of the cationic flux originated from silicate weathering. This contribution varied between active and ceased tailings ponds, with active ponds contributing approximately 8.7% and ceased ponds contributing approximately 3.6%. Carbonate weathering accounted for approximately 79.2% (from 53.9% to 90.1%, Figure 4) of the cationic input to the filtrates, consistent with the discussion in Section 5.2. For instance, in Figure 3 and Figure 4, the characteristics of Baicao tailings pond is consistent, with high Ca2+, Mg2+ and bicarbonate levels, indicating weathering of carbonate rocks.
Figure 4.
Apportionments of cationic loads in V-Ti-Fe tailings ponds filtrates. Hydrogeochemical concentrations of Anning River represent the average surface water characteristics [45].
The accumulation of secondary minerals prevents reactivity between primary minerals and water, consequently decelerating the dissolution reactions involving primary minerals [81,82]. The acidity of the tailings leachate is typically circumneutral, and the oxygenic oxidation of Fe(II) ions is accelerated, leading to the formation of Fe(III) precipitates (e.g., hydroxide coating) [83]. For instance, secondary melanterite, rozenite, gypsum, jarosite, and goethite can be reprecipitated at a 1 m depth in the tailings pond [84]. In Table 1, the SI of the FeOOH (mean 3.42) and Fe2O3 (7.82) are significantly larger than zero, indicating the dissolved iron is prone to precipitation in the tailings pond. As a result, the multi-layered phases passivated the tailings particles against further reactions and dissolution. Conversely, a modest increase in HCO3− concentration was observed within the filtrates, accompanied by a moderate positive correlation (0.34) between HCO3− and closure time. These observations suggest that the relative contribution of carbonic weathering processes may have increased with the decreased availability of sulfuric acid within the tailings.
5.4. Transitions of CO2 Emissions to Sequestration
5.4.1. CO2 Emissions
Equations (1) and (2) depict the complete neutralisation reaction of sulphuric-carbonate weathering (SCW). Importantly, this process leads to the production of one mole of H2CO3 per mole of sulfuric acid, thereby contributing to CO2 emissions. This results in a [HCO3−]/[Ca2++Mg2+] ratio of zero and a [SO42−]/[Ca2++Mg2+] ratio of one.
In neutral and unsaturated environments, DIC predominantly exists in the form of bicarbonate, and the ratios of [HCO3−]/[Ca2++Mg2+] and [SO42−]/[Ca2++Mg2+] approach ~1 and ~0.5, respectively (Equation (3)).
Under the condition of sulphide depletion, carbonic-carbonate weathering (CCW) leads the water–rock interaction, characterised by [HCO3−]/[Ca2++Mg2+] and [SO42−]/[Ca2++Mg2+] ratios of two and zero, respectively (Equation (4)) [79].
In the present study, the initial molar ratio of [HCO3−]/[Ca2++Mg2+] ranges from 0.04 to 1.96 (mean 0.60), and it declines to 0.44 (mean) after correcting external input [45]. The [HCO3−]/[Ca2++Mg2+] ratio of operating tailings ponds is 0.19 (mean), and it elevates to 0.55 (mean) for the closed tailings ponds. Conversely, the initial [SO42−]/[Ca2++Mg2+] ratio ranges from 0.15 to 1.14 (mean 0.61), and it elevates to 0.66 (mean) after correcting surface water input. In particular, the [SO42−]/[Ca2++Mg2+] ratio of 13 tailings ponds ranges from 0.9 to 1.1 (corrected ratio, average 1.06), which reflects a complete neutralisation and the presence of CO2 emissions (Equations (1) and (2)). For instance, the [SO42−]/[Ca2++Mg2+] ratio in the Wanniangou tailings pond was 1.05. The HCO3− concentration declined from 3328 μmol/L (background water) to 1681.5 μmol/L (filtrates), showing a net CO2 release in the filtrates.
Validation of the δ13C values reveals a range of −9.6 per-mil to 1.3 per-mil, with a mean of −2.5 per-mil, for the Panxi V-Ti-Fe ore [66]. These values coincide with those of the surrounding carbonate bodies (ranging from 1.58 to 2.63 per-mil) [66,85]. In the filtrates, the δ13CDIC appears to span a wider range of −17.19 to −5.48, which is parallel to most groundwater and surface water (from −15 to −5 per-mil) [86]. Therefore, a mixture of upstream and CO2-emissions modified carbon isotopes was observed in the filtrates, and the sulphide-derived acid caused the release of dissolved carbon.
5.4.2. Sequestration of CO2 in Tailings Ponds
The SO42− budget in the filtrates are equivalent to end-members of SCW, sulphide-silicate weathering (SSW), and the exotic sulphates input (ES, Equation (5)):
The CO2 emissions budget is the sum of the DIC of SCW and ES minus the DIC in the filtrates (Table 1, HCO3− ≈ DIC in a neutral pH ambient):
The annual CO2 emissions (F) can be expressed as:
where h is the local annual meteoric precipitation, 849.4 mm/year [41]; s is the land occupation of the tailings ponds (Table 1, 298.2 km2); and c is the (Equation (6), μmol/L). The quantity of CO2 emissions from the tailings ponds can be calculated from Equations (5)–(7). Our analysis indicates that 16 of the 30 tailings ponds, encompassing eight operating ponds and eight ceased ponds, are likely to emit CO2, accounting for ~238,743 tons/year. The remaining 14 tailings ponds, comprising one operating pond (Hongfa) and 13 ceased ponds (e.g., Detian and Qianfan), demonstrated a capacity to absorb atmospheric CO2 at an estimated rate of approximately 1508 tons per year. The net CO2 emissions from all tailings ponds were determined to be approximately 237,235 tons per year (Table 1).
5.4.3. CO2 Transition from Emissions to Sequestration
Table 1 shows that tailings ponds exhibit CO2 absorption with a closure time ranging from 101 to 1850 days, averaging 731 days (excluding the Hongfa tailings pond). This suggests that V-Ti-Fe tailings ponds may begin to act as net absorbers of atmospheric CO2 after approximately two years of closure. Nevertheless, this is an arbitrary estimate, as the CO2 transition from emission to sequestration largely depends on the geochemical conditions of the tailings waste. Our analysis revealed key factors influencing CO2 emissions and absorption in the tailings ponds (Figure 5):
Figure 5.
Indices for judging CO2 transition from emissions to sequestration in the tailings pond filtrates of V-Ti-Fe mine, Panxi region. The green dots represent CO2 absorption; the black dots represent CO2 emissions.
TDS contents: TDS values ranging from 698 to 2059 mg/L were generally associated with CO2 emissions, while CO2 absorption was observed within the TDS range of 240 to 719 mg/L.
Sulfate (SO42−) concentration: Higher SO42− concentrations (3010 to 34,351 μmol/L) were associated with CO2 emissions, while CO2 absorption was observed under conditions of decelerated sulfide oxidation, with SO42− concentrations ranging from 621 to 3068 μmol/L. Notably, SO42− loads below approximately 3000 μmol/L were generally associated with CO2 absorption.
[HCO3−]/[SO42−] ratio: An initial molar [HCO3−]/[SO42−] ratio exceeding 1.299 was indicative of CO2 absorption, whereas ratios below 1.294 were associated with CO2 emissions.
Therefore, a TDS of less than ~700 mg/L could help determine the CO2 absorption of V-Ti-Fe mine waste. We believe a portable TDS meter is an economical and simple way to judge the CO2 transition from emissions to sequestration during fieldwork. Overall, the reference values (SO42− ≈ 3000 μmol/L, [HCO3−/SO42−] ≈ 1.299, and TDS ≈ 700 mg/L) represent the transition episodes from CO2 emissions to sequestration.
6. Conclusions
The chemical weathering of ultramafic and mafic mine tailings was hypothesised to facilitate the transition from CO2 emissions to absorption over a shorter timescale. The study revealed the following key findings: (1) the dissolution load of mine tailings depended significantly on sulphide oxidation and the closure time of mine tailings. The depletion sequence of carbonate and sulphide in the V-Ti-Fe mine tailings waste could determine the deacidification and alkalinity of the tailings ponds, and further affect the remobilisation of ions within tailings ponds. (2) The geochemical indices around the critical value could represent the transition interval from CO2 emissions to sequestration (closure time ≈ 2 years, SO42− ≈ 3000 μmol/L, initial [HCO3−/SO42−] ≈ 1.29, and TDS ≈ 700 mg/L). (3) A portable TDS meter (TDS < 700 mg/L) is an economical and simple reference tool with which to infer the CO2 absorption of V-Ti-Fe mine waste.
Intensive sulphide oxidation often occurs at fresh interfaces (e.g., fresh mine tailings). Currently, the anthropogenic transformation of the Earth’s surface (e.g., agriculture, construction, and mining) has added new interfaces for sulphate release, and the impact of these activities should be considered in further studies. Meanwhile, this study presents a basis for shortened monitoring timescales of weathering processes of ultramafic and mafic rocks. Although this study was conducted on the V-Ti-Fe mine waste and specific environments of the Panxi Valley, China, it highlights the further opportunities to examine anthropogenic materials as proxies for shortening monitoring timescales.
Supplementary Materials
The following supporting information can be downloaded at: https://www.mdpi.com/article/10.3390/min15010068/s1. Table S1: Stable and radiogenic isotope data for carbonate minerals and DIC from Mount Keith (TSF2 and TSF1) [87]; Table S2: The Sr and C isotopes from the carbonatites derived from the mantle [88,89,90,91,92,93,94,95]; Table S3: The Sr and C isotopes from the Panxi mafic intrusion [66,96,97,98].
Author Contributions
X.Z.: Field investigation, formal analysis, writing original draft; L.-F.G.: Conceptualization, review & editing, funding acquisition; L.T.: Methodology, conceptualization, review & editing, supervision, project administration; S.L.: Conceptualization, review, funding acquisition; T.T.W. and A.M.: Review and language polishing; F.J. and Y.D.: Field investigation, modeling and sampling. All authors have read and agreed to the published version of the manuscript.
Funding
The National Natural Science Foundation of China (No. 42103055), the Key Project of Natural Science Basic Research Program of Shaanxi Province, China (2023-JC-ZD-16), and the Sichuan Natural Science Foundation Project, China (2023NSFSC0760).
Data Availability Statement
All data are available in the main text and Supplementary Materials of the paper. In addition, the data we summarize are available in the Supplementary Materials.
Acknowledgments
We are grateful to Albert Galy at the Centre de Recherches Pétrographiques et Géochimiques and Julien Bouchez at the Institut de Physique du Globe de Paris for their insightful comments on this research.
Conflicts of Interest
The authors declare that they have no known competing financial interests or personal relationships that could have appeared to influence the work reported in this paper.
References
- Manning, D.A.; Renforth, P. Passive sequestration of atmospheric CO2 through coupled plant-mineral reactions in urban soils. Environ. Sci. Technol. 2013, 47, 135–141. [Google Scholar] [CrossRef] [PubMed]
- Jorat, M.E.; Kraavi, K.E.; Manning, D.A. Removal of atmospheric CO2 by engineered soils in infrastructure projects. J. Environ. Manag. 2022, 314, 115016. [Google Scholar] [CrossRef]
- Jo, H.-K.; McPherson, G.E. Carbon storage and flux in urban residential greenspace. J. Environ. Manag. 1995, 45, 109–133. [Google Scholar] [CrossRef]
- Walker, J.C.G.; Hays, P.B.; Kasting, J.F. A negative feedback mechanism for the long-term stabilization of Earth's surface temperature. J. Geophys. Res. Ocean. 1981, 86, 9776–9782. [Google Scholar] [CrossRef]
- Hilton, R.G.; West, A.J. Mountains, erosion and the carbon cycle. Nat. Rev. Earth Environ. 2020, 1, 284–299. [Google Scholar] [CrossRef]
- Torres, M.A.; West, A.J.; Li, G. Sulphide oxidation and carbonate dissolution as a source of CO2 over geological timescales. Nature 2014, 507, 346–349. [Google Scholar] [CrossRef] [PubMed]
- Calmels, D.; Gaillardet, J.; Brenot, A.; France-Lanord, C. Sustained sulfide oxidation by physical erosion processes in the Mackenzie River basin: Climatic perspectives. Geology 2007, 35, 1003. [Google Scholar] [CrossRef]
- Berner, E.K.; Berner, R.A. Global Environment: Water, Air, and Geochemical Cycles; Princeton University Press: Princeton, NJ, USA, 2012. [Google Scholar]
- Calmels, D.; Galy, A.; Hovius, N.; Bickle, M.; West, A.J.; Chen, M.-C.; Chapman, H. Contribution of deep groundwater to the weathering budget in a rapidly eroding mountain belt, Taiwan. Earth Planet. Sci. Lett. 2011, 303, 48–58. [Google Scholar] [CrossRef]
- Das, A.; Chung, C.-H.; You, C.-F. Disproportionately high rates of sulfide oxidation from mountainous river basins of Taiwan orogeny: Sulfur isotope evidence. Geophys. Res. Lett. 2012, 39, 51549. [Google Scholar] [CrossRef]
- Torres, M.A.; Moosdorf, N.; Hartmann, J.; Adkins, J.F.; West, A.J. Glacial weathering, sulfide oxidation, and global carbon cycle feedbacks. Proc. Natl. Acad. Sci. USA 2017, 114, 8716–8721. [Google Scholar] [CrossRef]
- Gaillardet, J.; Millot, R.; Dupré, B. Chemical denudation rates of the western Canadian orogenic belt: The Stikine terrane. Chem. Geol. 2003, 201, 257–279. [Google Scholar] [CrossRef]
- Spence, J.; Telmer, K. The role of sulfur in chemical weathering and atmospheric CO2 fluxes: Evidence from major ions, δ13CDIC, and δ34SSO4 in rivers of the Canadian Cordillera. Geochim. Cosmochim. Acta 2005, 69, 5441–5458. [Google Scholar] [CrossRef]
- Zhang, X.; Xu, Z.; Liu, W.; Moon, S.; Zhao, T.; Zhou, X.; Zhang, J.; Wu, Y.; Jiang, H.; Zhou, L. Hydro-Geochemical and Sr Isotope Characteristics of the Yalong River Basin, Eastern Tibetan Plateau: Implications for Chemical Weathering and Controlling Factors. Geochem. Geophys. Geosystems 2019, 20, 1221–1239. [Google Scholar] [CrossRef]
- Ryu, J.-S.; Lee, K.-S.; Chang, H.-W.; Shin, H.S. Chemical weathering of carbonates and silicates in the Han River basin, South Korea. Chem. Geol. 2008, 247, 66–80. [Google Scholar] [CrossRef]
- Li, S.-L.; Chetelat, B.; Yue, F.; Zhao, Z.; Liu, C.-Q. Chemical weathering processes in the Yalong River draining the eastern Tibetan Plateau, China. J. Asian Earth Sci. 2014, 88, 74–84. [Google Scholar] [CrossRef]
- Kelemen, P.B.; Matter, J. In situ carbonation of peridotite for CO2 storage. Proc. Natl. Acad. Sci. USA 2008, 105, 17295–17300. [Google Scholar] [CrossRef]
- Cipolli, F.; Gambardella, B.; Marini, L.; Ottonello, G.; Vetuschi Zuccolini, M. Geochemistry of high-pH waters from serpentinites of the Gruppo di Voltri (Genova, Italy) and reaction path modeling of CO2 sequestration in serpentinite aquifers. Appl. Geochem. 2004, 19, 787–802. [Google Scholar] [CrossRef]
- Wilson, S.A.; Raudsepp, M.; Dipple, G.M. Quantifying carbon fixation in trace minerals from processed kimberlite: A comparative study of quantitative methods using X-ray powder diffraction data with applications to the Diavik Diamond Mine, Northwest Territories, Canada. Appl. Geochem. 2009, 24, 2312–2331. [Google Scholar] [CrossRef]
- Wilson, S.A.; Raudsepp, M.; Dipple, G.M. Verifying and quantifying carbon fixation in minerals from serpentine-rich mine tailings using the Rietveld method with X-ray powder diffraction data. Am. Mineral. 2006, 91, 1331–1341. [Google Scholar] [CrossRef]
- Harrison, A.L.; Power, I.M.; Dipple, G.M. Accelerated carbonation of brucite in mine tailings for carbon sequestration. Environ. Sci. Technol. 2013, 47, 126–134. [Google Scholar] [CrossRef]
- Beinlich, A.; Austrheim, H. In situ sequestration of atmospheric CO2 at low temperature and surface cracking of serpentinized peridotite in mine shafts. Chem. Geol. 2012, 332–333, 32–44. [Google Scholar] [CrossRef]
- McCutcheon, J.; Power, I.M.; Shuster, J.; Harrison, A.L.; Dipple, G.M.; Southam, G. Carbon Sequestration in Biogenic Magnesite and Other Magnesium Carbonate Minerals. Environ. Sci. Technol. 2019, 53, 3225–3237. [Google Scholar] [CrossRef]
- Raade, G. Dypingite, a new hydrous basic carbonate of magnesium, from Norway. Am. Mineral. 1970, 55, 1457–1465. [Google Scholar]
- Power, I.M.; Wilson, S.A.; Thom, J.M.; Dipple, G.M.; Gabites, J.E.; Southam, G. The hydromagnesite playas of Atlin, British Columbia, Canada: A biogeochemical model for CO2 sequestration. Chem. Geol. 2009, 260, 286–300. [Google Scholar] [CrossRef]
- Li, Z.; Liu, L.; Zhao, L.; Ji, J.; Chen, J. Carbon dioxide sequestration by ultramafic-hosted mine tailings: Example from Jinchuan copper-nickel mine tailing. Quat. Sci. 2011, 31, 464–475. (In Chinese) [Google Scholar] [CrossRef]
- Renforth, P.; Manning, D.A.C.; Lopez-Capel, E. Carbonate precipitation in artificial soils as a sink for atmospheric carbon dioxide. Appl. Geochem. 2009, 24, 1757–1764. [Google Scholar] [CrossRef]
- Ferrini, V.; De Vito, C.; Mignardi, S. Synthesis of nesquehonite by reaction of gaseous CO2 with Mg chloride solution: Its potential role in the sequestration of carbon dioxide. J. Hazard. Mater. 2009, 168, 832–837. [Google Scholar] [CrossRef]
- Kularatne, K.; Sissmann, O.; Kohler, E.; Chardin, M.; Noirez, S.; Martinez, I. Simultaneous ex-situ CO2 mineral sequestration and hydrogen production from olivine-bearing mine tailings. Appl. Geochem. 2018, 95, 195–205. [Google Scholar] [CrossRef]
- Power, I.M.; Dipple, G.M.; Bradshaw, P.M.; Harrison, A.L. Prospects for CO2 mineralization and enhanced weathering of ultramafic mine tailings from the Baptiste nickel deposit in British Columbia, Canada. Int. J. Greenh. Gas Control. 2020, 94, 102895. [Google Scholar] [CrossRef]
- Sheng, X.; Ji, J.; Chen, J. Assessment of carbon dioxide sequestration potential of ultramafic rocks in China. Quat. Sci. 2011, 31, 447–454. [Google Scholar]
- Billiton, B. Working for a Sustainable Future-BHP Billiton Health Safety Environment and Community Report Summary Report 2004; Lan, W., Ed.; Sustainable Development and Community Relations, BHP Billiton: Melbourne, Australia, 2004; p. 20. [Google Scholar]
- Wilson, S.A.; Dipple, G.M.; Power, I.M.; Thom, J.M.; Anderson, R.G.; Raudsepp, M.; Gabites, J.E.; Southam, G. Carbon Dioxide Fixation within Mine Wastes of Ultramafic-Hosted Ore Deposits: Examples from the Clinton Creek and Cassiar Chrysotile Deposits, Canada. Econ. Geol. 2009, 104, 95–112. [Google Scholar] [CrossRef]
- Vogeli, J.; Reid, D.L.; Becker, M.; Broadhurst, J.; Franzidis, J.-P. Investigation of the potential for mineral carbonation of PGM tailings in South Africa. Miner. Eng. 2011, 24, 1348–1356. [Google Scholar] [CrossRef]
- Zhou, M.-F.; Arndt, N.T.; Malpas, J.; Wang, C.Y.; Kennedy, A.K. Two magma series and associated ore deposit types in the Permian Emeishan large igneous province, SW China. Lithos 2008, 103, 352–368. [Google Scholar] [CrossRef]
- Zhou, M.-f.; Robinson, P.T.; Lesher, C.M.; Keays, R.R.; Zhang, C.-J.; Malpas, J. Geochemistry, petrogenesis and metallogenesis of the Panzhihua gabbroic layered intrusion and associated Fe–Ti–V oxide deposits, Sichuan Province, SW China. J. Petrol. 2005, 46, 2253–2280. [Google Scholar] [CrossRef]
- Tang, L. Inverstigation on the Mineralization of Tailings with CO2 in the Atmosphere; Sichuan University: Chengdu, China, 2017. (In Chinese) [Google Scholar]
- Meyer, N.; Vögeli, J.; Becker, M.; Broadhurst, J.; Reid, D.; Franzidis, J.-P. Mineral carbonation of PGM mine tailings for CO2 storage in South Africa: A case study. Miner. Eng. 2014, 59, 45–51. [Google Scholar] [CrossRef]
- Liu, J.; Liu, F.; He, J.; Chen, H.; You, Q. Study of seismic tomography in Panxi paleorift area of southwestern China. Sci. China Ser. D: Earth Sci. 2001, 44, 277–288. [Google Scholar] [CrossRef]
- Wang, J.; Pan, B.; Zhang, G.; Cui, H.; Cao, B.; Geng, H. Late Quaternary glacial chronology on the eastern slope of Gongga Mountain, eastern Tibetan Plateau, China. Sci. China Earth Sci. 2012, 56, 354–365. [Google Scholar] [CrossRef]
- PMSC. Climatic Background Analysis of Panzhihua City; PMSC: Panzhihua, China, 2016; pp. 1–3. [Google Scholar]
- Tang, L.; Liu, X.; Wang, X.; Liu, S.; Deng, H. Statistical Analysis of Tailings Ponds in China. J. Geochem. Explor. 2020, 216, 106579. [Google Scholar] [CrossRef]
- Tang, L.; Tim, T.W.; Xie, H.; Yang, J.; Shi, Z. A global-scale spatial assessment and geodatabase of mine areas. Glob. Planet. Change 2021, 204, 103578. [Google Scholar] [CrossRef]
- Tang, L.; Werner, T.T. Global mining footprint mapped from high-resolution satellite imagery. Commun. Earth Environ. 2023, 4, 134. [Google Scholar] [CrossRef]
- Liao, C.; Shi, Z.; Wang, D.; Zhang, F.; Xu, W.; Tang, L. Water Chemical Characteristics and the Substance Provenance in Anning River Basin of Sichuan Province. Earth Environ. 2020, 48, 680–688. (In Chinese) [Google Scholar] [CrossRef]
- Millero, F.J.; Zhang, J.-Z.; Lee, K.; Campbell, D.M. Titration alkalinity of seawater. Mar. Chem. 1993, 44, 153–165. [Google Scholar] [CrossRef]
- Ingri, J.; Torssander, P.; Andersson, P.; Mörth, C.-M.; Kusakabe, M. Hydrogeochemistry of sulfur isotopes in the Kalix River catchment, northern Sweden. Appl. Geochem. 1997, 12, 483–496. [Google Scholar] [CrossRef]
- Long, X.; Sun, Z.; Zhou, A.; Liu, D. Hydrogeochemical and isotopic evidence for flow paths of karst waters collected in the Heshang Cave, Central China. J. Earth Sci. 2015, 26, 149–156. [Google Scholar] [CrossRef]
- Veetil, S.P.; Mucci, A.; Arakaki, T. Dolomite dissolution kinetics in aqueous solutions in the presence of organic and inorganic additives at 25 °C and pCO2 ~1 atm. Chem. Geol. 2018, 483, 98–110. [Google Scholar] [CrossRef]
- Plaza-Cazon, J.; Benitez, L.; Murray, J.; Kirschbaum, P.; Donati, E. Influence of Extremophiles on the Generation of Acid Mine Drainage at the Abandoned Pan de Azucar Mine (Argentina). Microorganisms 2021, 9, 281. [Google Scholar] [CrossRef]
- Chetelat, B.; Liu, C.Q.; Zhao, Z.Q.; Wang, Q.L.; Li, S.L.; Li, J.; Wang, B.L. Geochemistry of the dissolved load of the Changjiang Basin rivers: Anthropogenic impacts and chemical weathering. Geochim. Cosmochim. Acta 2008, 72, 4254–4277. [Google Scholar] [CrossRef]
- Gou, L.-F.; Jin, Z.; Galy, A.; Gong, Y.-Z.; Nan, X.-Y.; Jin, C.; Wang, X.-D.; Bouchez, J.; Cai, H.-M.; Chen, J.-B.; et al. Seasonal riverine barium isotopic variation in the middle Yellow River: Sources and fractionation. Earth Planet. Sci. Lett. 2020, 531, 115990. [Google Scholar] [CrossRef]
- Gou, L.-F.; Jin, Z.; Pogge von Strandmann, P.A.E.; Li, G.; Qu, Y.-X.; Xiao, J.; Deng, L.; Galy, A. Li isotopes in the middle Yellow River: Seasonal variability, sources and fractionation. Geochim. Cosmochim. Acta 2019, 248, 88–108. [Google Scholar] [CrossRef]
- Xu, Z.; Huang, R. The assessment of the intensity of Emeishan basalt weathering based on rock blocks (Ⅱ): Hydrogeochemistry of the groudwater in the basalt slop and basalt soaking solution. Geol. China 2013, 40, 1298–1306. [Google Scholar]
- Naidu, G.; Ryu, S.; Thiruvenkatachari, R.; Choi, Y.; Jeong, S.; Vigneswaran, S. A critical review on remediation, reuse, and resource recovery from acid mine drainage. Environ. Pollut. 2019, 247, 1110–1124. [Google Scholar] [CrossRef]
- Pang, K.-N.; Zhou, M.-F.; Lindsley, D.; Zhao, D.; Malpas, J. Origin of Fe–Ti oxide ores in mafic intrusions: Evidence from the Panzhihua intrusion, SW China. J. Petrol. 2008, 49, 295–313. [Google Scholar] [CrossRef]
- Yucel, D.S. Characterization and comparison of mine wastes in Can Coal Basin, northwest Turkey: A case study. Environ. Earth Sci. 2019, 78, 1–19. [Google Scholar] [CrossRef]
- Olias, M.; Canovas, C.R.; Basallote, M.; Macias, F.; Perez-Lopez, R.; Gonzalez, R.M.; Millan-Becerro, R.; Nieto, J.M. Causes and impacts of a mine water spill from an acidic pit lake (Iberian Pyrite Belt). Environ. Pollut. 2019, 250, 127–136. [Google Scholar] [CrossRef] [PubMed]
- Bai, Z.-J.; Zhong, H.; Li, C.; Zhu, W.-G.; He, D.-F.; Qi, L. Contrasting parental magma compositions for the Hongge and Panzhihua magmatic Fe-Ti-V oxide deposits, Emeishan large igneous province, SW China. Econ. Geol. 2014, 109, 1763–1785. [Google Scholar] [CrossRef]
- Cameron, E.M.; Hall, G.E.; Veizer, J.; Krouse, H.R. Isotopic and elemental hydrogeochemistry of a major river system: Fraser River, British Columbia, Canada. Chem. Geol. 1995, 122, 149–169. [Google Scholar] [CrossRef]
- Szynkiewicz, A.; Borrok, D.M.; Skrzypek, G.; Rearick, M.S. Isotopic studies of the Upper and Middle Rio Grande. Part 1—Importance of sulfide weathering in the riverine sulfate budget. Chem. Geol. 2015, 411, 323–335. [Google Scholar] [CrossRef]
- Burke, W.; Denison, R.; Hetherington, E.; Koepnick, R.; Nelson, H.; Otto, J. Variation of seawater 87Sr/86Sr throughout Phanerozoic time. Geology 1982, 10, 516–519. [Google Scholar] [CrossRef]
- Abrosimova, N.; Gaskova, O.; Loshkareva, A.; Edelev, A.; Bortnikova, S. Assessment of the acid mine drainage potential of waste rocks at the Ak-Sug porphyry Cu–Mo deposit. J. Geochem. Explor. 2015, 157, 1–14. [Google Scholar] [CrossRef]
- Spellman, C.D., Jr.; Tasker, T.L.; Strosnider, W.H.J.; Goodwill, J.E. Abatement of circumneutral mine drainage by Co-treatment with secondary municipal wastewater. J. Environ. Manag. 2020, 271, 110982. [Google Scholar] [CrossRef] [PubMed]
- Ganino, C.; Arndt, N.T. Climate changes caused by degassing of sediments during the emplacement of large igneous provinces. Geology 2009, 37, 323–326. [Google Scholar] [CrossRef]
- Ganino, C.; Harris, C.; Arndt, N.T.; Prevec, S.A.; Howarth, G.H. Assimilation of carbonate country rock by the parent magma of the Panzhihua Fe-Ti-V deposit (SW China): Evidence from stable isotopes. Geosci. Front. 2013, 4, 547–554. [Google Scholar] [CrossRef]
- Ganino, C.; Arndt, N.T.; Zhou, M.-F.; Gaillard, F.; Chauvel, C. Interaction of magma with sedimentary wall rock and magnetite ore genesis in the Panzhihua mafic intrusion, SW China. Miner. Depos. 2008, 43, 677–694. [Google Scholar] [CrossRef]
- Xing, C.; Wang, C.Y.; Zhang, M. Volatile and CHO isotopic compositions of giant Fe-Ti-V oxide deposits in the Panxi region and their implications for the sources of volatiles and the origin of Fe-Ti oxide ores. Sci. China Earth Sci. 2012, 55, 1782–1795. [Google Scholar] [CrossRef]
- Anderson, S.P.; Drever, J.I.; Frost, C.D.; Holden, P. Chemical weathering in the foreland of a retreating glacier. Geochim. Cosmochim. Acta 2000, 64, 1173–1189. [Google Scholar] [CrossRef]
- Busenberg, E.; Plummer, N. The kinetics of dissolution of dolomite in CO2-H2O systems at 1.5 to 65°C and 0 to 1 atm PCO2. Am. J. Sci. 1982, 282, 45–78. [Google Scholar] [CrossRef]
- Davis, K.J.; Nealson, K.H.; Lüttge, A. Calcite and dolomite dissolution rates in the context of microbe–mineral surface interactions. Geobiology 2007, 5, 191–205. [Google Scholar] [CrossRef]
- Gautelier, M.; Oelkers, E.H.; Schott, J. An experimental study of dolomite dissolution rates as a function of pH from -0.5 to 5 and temperature from 25 to 80 °C. Chem. Geol. 1999, 157, 13–26. [Google Scholar] [CrossRef]
- Jurjovec, J.; Blowes, D.; Ptacek, C.J. Acid Neutralization in Mill Tailings and the Effect of Natrojarosite Addition; Environment Canada, Water Science and Technology Directorate Environnement: Gatineau, QC, Canada, 1995. [Google Scholar]
- Blowes, D.; Ptacek, C. Acid-Neutralization Mechanisms in Inactive Mine Tailings; National Water Research Institute: Fountain Valley, CA, USA, 1994. [Google Scholar]
- Palandri, J.L.; Kharaka, Y.K. A Compilation of Rate Parameters of Water-Mineral Interaction Kinetics for Application to Geochemical Modeling; Geological Survey: Menlo Park, CA, USA, 2004. [Google Scholar]
- Chukwura, U.O.; Hursthouse, A.S. Evaluating controls on potentially toxic element release in circum-neutral mine water: A case study from the abandoned Pb–Zn mines of Leadhills and Wanlockhead, South of Scotland, United Kingdom. Environ. Earth Sci. 2020, 79, 1–13. [Google Scholar] [CrossRef]
- Jurjovec, J.; Ptacek, C.J.; Blowes, D.W. Acid neutralization mechanisms and metal release in mine tailings: A laboratory column experiment. Geochim. Cosmochim. Acta 2002, 66, 1511–1523. [Google Scholar] [CrossRef]
- Dansgaard, W. Stable isotopes in precipitation. Tellus 1964, 16, 436–468. [Google Scholar] [CrossRef]
- Luis, A.T.; Cordoba, F.; Antunes, C.; Loayza-Muro, R.; Grande, J.A.; Silva, B.; Diaz-Curiel, J.; Ferreira da Silva, E. Extremely Acidic Eukaryotic (Micro) Organisms: Life in Acid Mine Drainage Polluted Environments-Mini-Review. Int. J. Environ. Res. Public Health 2022, 19, 376. [Google Scholar] [CrossRef] [PubMed]
- Viadero, R.C., Jr.; Zhang, S.; Hu, X.; Wei, X. Mine drainage: Remediation technology and resource recovery. Water Environ. Res. 2020, 92, 1533–1540. [Google Scholar] [CrossRef] [PubMed]
- Al, T.A.; Martin, C.J.; Blowes, D.W. Carbonate-mineral/water interactions in sulfide-rich mine tailings. Geochim. Cosmochim. Acta 2000, 64, 3933–3948. [Google Scholar] [CrossRef]
- Sun, L.; Werner, T.; Yang, F.; Xu, W.; Tang, L. CO2 fluxes in the chemical weathering of carbonate-hosted tailings ponds, Panxi valley, Sichuan province, China. Environ. Earth Sci. 2022, 81, 392. [Google Scholar] [CrossRef]
- Sasaki, K.; Tsunekawa, M.; Ohtsuka, T.; Konno, H. The role of sulfur-oxidizing bacteria Thiobacillus thiooxidans in pyrite weathering. Colloids Surf. A Physicochem. Eng. Asp. 1998, 133, 269–278. [Google Scholar] [CrossRef]
- Kefeni, K.K.; Msagati, T.A.; Mamba, B.B. Acid mine drainage: Prevention, treatment options, and resource recovery: A review. J. Clean. Prod. 2017, 151, 475–493. [Google Scholar] [CrossRef]
- Zhou, J.-X.; Luo, K.; Wang, X.-C.; Wilde, S.A.; Wu, T.; Huang, Z.-L.; Cui, Y.-L.; Zhao, J.-X. Ore genesis of the Fule PbZn deposit and its relationship with the Emeishan Large Igneous Province: Evidence from mineralogy, bulk COS and in situ SPb isotopes. Gondwana Res. 2018, 54, 161–179. [Google Scholar] [CrossRef]
- Leybourne, M.; Clark, I.; Goodfellow, W. Stable isotope geochemistry of ground and surface waters associated with undisturbed massive sulfide deposits; constraints on origin of waters and water–rock reactions. Chem. Geol. 2006, 231, 300–325. [Google Scholar] [CrossRef]
- Wilson, S.; Harrison, A.L.; Dipple, G.M.; Power, I.M.; Barker, S.L.; Mayer, K.U.; Fallon, S.J.; Raudsepp, M.; Southam, G. Offsetting of CO2 emissions by air capture in mine tailings at the Mount Keith Nickel Mine, Western Australia: Rates, controls and prospects for carbon neutral mining. Int. J. Greenh. Gas Control 2014, 25, 121–140. [Google Scholar] [CrossRef]
- Ying, J.; Zhou, X.; Zhang, H. Geochemical and isotopic investigation of the Laiwu? Zibo carbonatites from western Shandong Province, China, and implications for their petrogenesis and enriched mantle source. Lithos 2004, 75, 413–426. [Google Scholar] [CrossRef]
- Nelson, D.R.; Chivas, A.R.; Chappell, B.W.; McCulloch, M.T. Geochemical and isotopic systematics in carbonatites and implications for the evolution of ocean-island sources. Geochim. Et Cosmochim. Acta 1988, 52, 1–17. [Google Scholar] [CrossRef]
- Bell, K.; Tilton, G.R. Probing the mantle: The story from carbonatites. Eos Trans. Am. Geophys. Union 2002, 83, 273–277. [Google Scholar] [CrossRef]
- Keller, J.; Hoefs, J. Stable Isotope Characteristics of Recent Natrocarbonatites from Oldoinyo Lengai; Springer: Berlin/Heidelberg, Germany, 1995; pp. 113–123. [Google Scholar]
- Fan, Q.C.; Du, X.X.; Sui, J.L.; Zhao, Y.W. Genesis of carbonatite from Hannuoba and Yangyuan. Acta Petrol. Sin. 2010, 26, 3189–3194. [Google Scholar]
- Wu, F.Y.; Yang, Y.H.; Li, Q.L.; Mitchell, R.H.; Dawson, J.B.; Brandl, G.; Yuhara, M. In situ determination of U–Pb ages and Sr–Nd–Hf isotopic constraints on the petrogenesis of the Phalaborwa carbonatite Complex, South Africa. Lithos 2011, 127, 309–322. [Google Scholar] [CrossRef]
- Deines, P.; Gold, D.P. Isotopic composition of carbonatite and kimberlite carbonates and their bearing on the isotopic composition of deep-seated carbon. Geochim. Et Cosmochim. Acta 1973, 37, 1709–1733. [Google Scholar] [CrossRef]
- Hoernle, K.; Tilton, G.; Le Bas, M.J.; Duggen, S.; Garbe-Schönberg, D. Geochemistry of oceanic carbonatites compared with continental carbonatites: Mantle recycling of oceanic crustal carbonate. Contrib. Mineral. Petrol. 2002, 142, 520–542. [Google Scholar] [CrossRef]
- Howarth, G.H.; Prevec, S.A. Trace element, PGE, and Sr–Nd isotope geochemistry of the Panzhihua mafic layered intrusion, SW China: Constraints on ore-forming processes and evolution of parent magma at depth in a plumbing-system. Geochim. Et Cosmochim. Acta 2013, 120, 459–478. [Google Scholar] [CrossRef]
- Yu, S.Y.; Song, X.Y.; Ripley, E.M.; Li, C.; Chen, L.M.; She, Y.W.; Luan, Y. Integrated O–Sr–Nd isotope constraints on the evolution of four important Fe–Ti oxide ore-bearing mafic–ultramafic intrusions in the Emeishan large igneous province, SW China. Chem. Geol. 2015, 401, 28–42. [Google Scholar] [CrossRef]
- Zhong, H.; Yao, Y.; Prevec, S.A.; Wilson, A.H.; Viljoen, M.J.; Viljoen, R.P.; Liu, B.G.; Luo, Y.N. Trace-element and Sr–Nd isotopic geochemistry of the PGE-bearing Xinjie layered intrusion in SW China. Chem. Geol. 2004, 203 (Suppl. 3–4), 237–252. [Google Scholar] [CrossRef]
Disclaimer/Publisher’s Note: The statements, opinions and data contained in all publications are solely those of the individual author(s) and contributor(s) and not of MDPI and/or the editor(s). MDPI and/or the editor(s) disclaim responsibility for any injury to people or property resulting from any ideas, methods, instructions or products referred to in the content. |
© 2025 by the authors. Licensee MDPI, Basel, Switzerland. This article is an open access article distributed under the terms and conditions of the Creative Commons Attribution (CC BY) license (https://creativecommons.org/licenses/by/4.0/).




