Abstract
Tungsten is a series of metals considered strategic by the European Union, so there is great interest in its recovery from both raw materials and secondary products. Within these raw materials, there are cassiterite deposits containing tungsten. It is from one of these deposits (located in the northwest of Spain) that after electrostatic separation, a scheelite concentrate (4.8% tungsten) has been obtained. This concentrate has been processed through two hydrometallurgical procedures. In one case, alkaline leaching in sodium carbonate medium is used to obtain sodium tungstate solutions, which in turn allows synthetic scheelite (calcium tungstate) or tungstic acid to be obtained. The second procedure, which uses acidic leaching (hydrochloric acid medium), yields tungstic acid as the final product. In all of the above cases, the experimental conditions to yield the best tungsten recovery rates are defined. The different products (sodium tungstate solutions and tungstic acid) afforded were used as precursors to yield synthetic scheelite and nanotungsten compounds as amorphous meta- and paratungstate salts and non-stoichiometric tungsten blue oxides.
    1. Introduction
Being a critical raw material for EU standards [], the recovery of tungsten from its raw (scheelite, wolframite, and to some extent cassiterite) [,,] and secondary [,,] materials is currently of the utmost importance. Wolframite, cassiterite, coltan, and gold are known as conflict minerals, as are 3TG (tin, tantalum, tungsten, and gold). As is the case for many metals (the aforementioned 3TG group, rare earths, niobium, tantalum, etc.), several factors, such as, but not limited to, supply and demand imbalances, together with geopolitical and social health issues, can result in supply risks for tungsten materials, with an unexpected impact on economies [].
The importance of tungsten or tungsten compounds and their inclusion in the above list are no doubt a consequence of its use in a series of industrial advancements and applications. In addition to aerospace and military developments, these applications have included adsorbents for a series of contaminant gases (NH3, SO, SO2, NO, NO2 CO, CO2 and H2S) [], gas (NH3 and H2) sensors [,], catalysis [,], antibacterials [], smart optics [], radiation shielding materials [], and solar cells [].
Recent efforts to recover tungsten from its respective raw or secondary materials are summarized briefly below.
In the processing of raw materials, investigations include leaching of scheelite (synthetic) with solutions containing sulfuric acid and H2O2 [] or the use of an ammoniacal–ammonium bicarbonate medium in the dissolution of a scheelite derivative (WO3) []. A mixture of hydrochloric and oxalic acids has been used as the leachant for scheelite (originating in the Republic of Kazakhstan) to investigate the benefits of pelletizing the raw material used in a heap leaching procedure [].
As one can understand, mining produces tailings, and tungsten ores are no exception; thus, tungsten tailings coming from scheelite processing have been treated both through gravity separation [] and phytoremediation [].
Also, leaching tungsten from sodium tungstate has been investigated using other different methodologies, such the separation of rhenium and tungsten using hydrochloric acid and decomposition [].
The treatment of other raw material as being high-tin wolframite has been investigated by a different approach. In this case, one-step vacuum distillation was used to separate tin and tungsten []. By this procedure, volatile tin sulfide was formed and separated from tungsten by a vacuum distillation step. As has been described [], treatment of another wolframite concentrate was conducted via roasting of the concentrate in NaHSO4·H2O medium and water leaching to form a precursor solution from which ammonium paratungstate was produced.
Lignite is another (non-conventional) raw material in which tungsten can be present, and an investigation to enrich this element (and germanium) in a leachate is proposed []. The procedure consists in a subcritical water activation of the starting material followed by an alkaline leaching step. Apparently, this approach voids the need for energy-intensive combustion and the generation of toxic acidic effluents.
Concerning secondary raw materials, their processing involves a variety of starting materials. This list includes, among others, tungsten carbide presents in a cement carbide scrap, which is used as the basis for the next investigation [] aiming for the co-recovery of cobalt and tungsten using a sulfate-based leaching system. These waste tungsten carbides were used in another proposal [], which combines the steps of oxidation of the carbide, reduction to produce intermediate valence tungsten oxides, and dissolution in oxygen peroxide to produce peroxotungstic acid.
Tungsten–molybdenum scrap was utilized to produce tungsten–molybdenum bimetallic sulfides with a nanoflower structure utilizing hydrothermal processing []. Another secondary source for tungsten is tungsten-filled vinyl-methyl-silicone based flexible shielding materials, which are firstly pyrolyzed with the resulting material being treated via an ultrasonic cleaning procedure [].
In the separation of nickel–tungsten contained in electroplating wastes, in a first step tungsten was recovered using an acidic precipitation procedure, and the nickel was precipitated in alkaline medium after the treatment of the tungsten-lean solution with thermal oxidation to dismantle the organic complexes present in the solution [].
Recovery of tungsten from spent catalysts is another resource to recycle the element. The processing of selective catalytic reduction catalysts, containing valuable vanadium, tungsten, and titanium, separated these elements in the following order: firstly vanadium, followed by titanium and tungsten []. Liquid–liquid extraction was the technology used to achieve the separation of these elements.
Tungsten-bearing fine mud was utilized to recover the metal via leaching under pressure and caustic soda conditions [].
Not all of the leaching processes produced leachates containing just this element; in certain cases, tungsten is accompanied by a series of elements (some valuable, others not) which are necessary to separate to yield the final most pure product. These separations are obviously performed by separation technologies. In the case of tungsten, recent information about the use of these technologies includes adsorption, ion exchange resins, and liquid–liquid extraction.
In the case of adsorption, metal organic frameworks (MOFs) were used in the separation molybdenum–tungsten []. To improve the separation, a W-Mo cetyltrimethyl (CTAB) complexation strategy was used. A newly developed Schiff base was investigated in the removal of tungsten from both synthetic and real solutions coming from the leaching of spent catalysts [].
The recovery of metals by ion exchange resins is another popular procedure in the treatment of leachants and liquid effluents. Also, to separate tungsten and molybdenum, the work in [] described the utilization of resin 201 × 7 which presented quaternary ammonium groups.
Another popular separation technology of wide industrial use is liquid–liquid extraction. Using both synthetic and leaching solutions, the extraction-stripping processes of tungsten with tributylphosphate were studied where water was utilized as a strippant []. These systems (tributylphosphate and water) were also used to investigate the separation of W(VI)-Fe(III), and while W/Fe separation benefits from high HCl concentrations in the feed solution, no data about the stripping step were included in the work []. In another investigation, the quaternary ammonium salt Aliquat-336—in a sulfate cycle instead of the most ordinary chloride cycle—was utilized in the separation of vanadium(V), tungsten(VI), and arsenic(V) from a real leachate [].
Although not specifically considered a separation technology, flotation is another alternative or complement in the recovery processes of tungsten (and other metals).
Flotation is a stage that is normally carried out before leaching, and it is a concentration stage. Recent applications of flotation in the treatment of scheelite include the use of the concept of cation–anion association which mixes potassium dodecyl phosphate with amines: diethylenetriamine, triethylenetetramine, and tetraethylenepentamine []. Also, the separation of scheelite and calcite was studied utilizing a depressant based on a sulfonated phenolic resin [].
The present investigation deals with the recovery of tungsten from a scheelite concentrate of Spanish origin (Orense province, Galicia region). Various operational procedures are considered for this concentrate, allowing the obtainment of tungstic acid or pure calcium tungstate (synthetic scheelite) as final products which can serve as precursors for the production of nanotungsten species (ammonium meta and paratungstate and no-stoichiometric WO3−x blue oxides).
2. Materials and Methods
The concentrate was provided via a tin deposit located in northwest Spain. The ore, after the corresponding mining operations, was subjected to an electrostatic separation procedure. This operation yielded a tin concentrate and a scheelite concentrate [] with the following composition: tungsten 4.8%, tin 0.05%, and silico-calcareous gangue. Together with scheelite, other mineralogical species were calcite, quartz, pyrrhotite, and mica-feldspar. All chemicals used in the investigation were of AR grade.
The scheelite concentrate as supplied from the ore deposit was ground on obtainment. This material was further ground (ball mill), and after, it was milled in a TEMA mill (Siebtechnik, Cincinnati, OH, USA). This last material was seized on various meshes.
Leaching tests were carried out in a 1 L autoclave with independent heating and cooling systems, which permitted precise temperature control with negligible change in this variable. Once the autoclave was closed, it was heated to the temperature set for the experiment at which point the elapsed time was controlled. Synthetic scheelite precipitation experiments were conducted in a magnetically stirred glass reactor (Pobel, Madrid, Spain) and provided water reflux. When appropriate, pH measurements were carried out using a Crison pH/mV-meter 506 provided with a combined electrode (Crison S.A. Alella, Barcelona, Spain). Thet tungsten in the different solutions was analyzed by ICP-MS (Perkin Elmer ELAN 6000. Waltham, MA, USA), and the analytical error associated with the analysis of tungsten was ±1%.
The leaching efficiency (% W) was calculated using the relationship below:
      
        
      
      
      
      
    
      where [W]t is the tungsten concentration in the solution at an elapsed time and [W]T is the theoretical tungsten concentration in the solution assuming 100% yield in the operation under the experimental conditions tested in each case. The usefulness of this Equation (1) depends on the fact that the tungsten concentrations in both the real and theoretical solutions are determined for the same volume. Obviously, other equations can be used to calculate this efficiency [,].
Precipitation experiments were carried out in a glass reactor provided with water reflux and a four-blade glass impeller connected to a Heidolph RZR-1 variable-speed agitator (Heidolph Scientific Products GmbH, Schwabach, Germany). The precipitating agent was added via a glass bromine funnel, or directly when the precipitating agent was a solid (reactions carried out at room temperature (no reflux here)).
Surface characterization (tungstic acid and synthetic scheelite) was carried out using a scanning electron microscope with a field emission gun (FEG-SEM) (Hitachi S 4800, Hitachi Europe S.A. (Spanish branch), Madrid, Spain) also equipped for energy-dispersive X-ray spectroscopy (EDX) (Oxford Instruments NanoAnalysis, High Wycombe, UK). X-ray diffractograms (XRD) were recorded on a Bruker D8 Discover (co-irradiation and λ = 1.78897 Å) equipment (Bruker (Spanish branch), Madrid, Spain). Figure S4 was obtained from an Olympus SZ51 microscope (Olympus Iberia S.A.U. L’Hospitalet de Llobregat, Barcelona, Spain). IR spectra were recorded on a PYE UNICAM SP3-200S infrared spectrophotometer (Philips, Amsterdam, The Netherlands) using CsI windows and nujol mull.
3. Results and Discussion
3.1. Leaching in Sodium Carbonate Medium
One of the methods used in the processing of tungsten-bearing materials is alkaline leaching [,]; thus, this medium was used in the present investigation using sodium carbonate solutions to dissolve the scheelite concentrate.
3.1.1. Influence of the Pulp Density and the Sodium Carbonate Concentration on Tungsten Dissolution
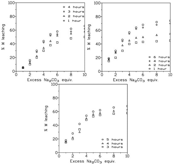
These experiments were carried out on the scheelite concentrate with a particle size of 106 µm < sample < 149 µm and a temperature of 100 °C. Various pulp densities and sodium carbonate concentrations were used (expressed as sodium carbonate equivalents in excess with respect to the dissolution reaction (see below)). The results of these experiments are shown in Figure 1, whereas Table 1 summarizes the results of using various pulp densities.
 
      
    
    Figure 1.
      Tungsten leaching at various excess Na2CO3 concentrations. Pulp densities: 9 wt% (upper left), 16 wt% (upper right), 26 wt% (down center).
  
 
       
    
    Table 1.
    Percentage of tungsten leaching at various pulp densities.
  
With respect to the leaching results shown in Figure 1, it can be observed that there is an increase in the solubilization of tungsten as a greater excess of sodium carbonate is used with respect to the stoichiometric concentration. Although, from six times the theoretical concentration this effect is less important. In general terms, it is necessary to use at least this six-times excess to reach leaching rates of at least 50%. These results are systematically repeated for all of the pulp densities used in the experiments.
On the other hand, the pulp density variation (Table 1) has a minimal influence on the performance of this leaching operation. According with the results shown in this table, and after four hours of reaction, the tungsten concentration in the leachate reached 2.8 g/L, 5.9 g/L, and 10.4 g/L for pulp densities ranging from 9 to 26 wt%, respectively.
3.1.2. Influence of Particle Size on Tungsten Leaching
The possible influence of this variable on tungsten leaching was investigated using particles sizes of 106 µm < sample < 149 µm and 53 µm < sample < 74 µm and various sodium carbonate concentrations. Other experimental conditions were fixed as 100 °C and pulp density 16 wt%. Figure 2 shows the results of these experiments for the above particle sizes, respectively. These results indicate that a decrease in particle size was only slightly beneficial (10–15%) in this particle size range (53–149 μm) for tungsten dissolution regardless of the excess carbonate concentration used in the experiments.
 
      
    
    Figure 2.
      Influence of the particle size on tungsten leaching. Particle size: <149 µm (left), <74 µm (right).
  
3.1.3. Influence of the Temperature
Since the use of 100 °C as a reaction temperature only allowed us to achieve discrete tungsten leaching results, it was decided to use greater temperatures; thus, the use of autoclaving was mandatory. Therefore, a pulp density of 16 wt% was set for all the experiments. In the experiments, the concentrate with a particle size of 106 µm < sample < 149 µm was used, and the effect of temperature in the 100–200 °C range on tungsten leaching was investigated. Moreover, these experiments were carried out using various sodium carbonate concentrations in excess to the stoichiometry marked by Equation (2) (see below). Figure 3 shows these results for the temperatures of 150 and 200 °C, respectively (results at 100 °C are represented in the left of Figure 2).
 
      
    
    Figure 3.
      Tungsten leaching at various temperatures: 150 °C (left), 200 °C (right).
  
From this figure, it is observed that the increase in temperature increased dramatically the rate of tungsten leaching. In the case of using 100 °C (Figure 2, left), it is not possible to obtain yields higher than 80%, even after 6 h of reaction, utilizing a greater excess of sodium carbonate. But on the other hand, when the reaction temperature rises to 200 °C, yields above 90% are achieved even for reaction times as short as 30 min, and even when using an excess of sodium carbonate (5–7 equivalents in excess) below the best result obtained at 100 °C (9 excess equivalents).
The above data indicated that the dissolution of scheelite using sodium carbonate is best carried out at temperatures of 200 °C and using an excess of sodium carbonate with respect to the stoichiometry shown in Equation (2):
      
        
      
      
      
      
    
Calcium carbonate precipitates as consequence of the reaction. The formation of this salt can be a problem due to the (possible) formation of a salt film around the unreacted scheelite particle and can prevent the further dissolution process. These experimental results also showed that when the sodium carbonate concentrations are low (lower salt excess), the reaction rates tend to be higher for short times, about half an hour, which seems to indicate chemical control of the reaction. Against, for longer reaction times, this rate decreases and this is attributable to diffusion control. This behavior may be due to the formation of this calcium carbonate film and this effect is more noticeable when the scheelite particles are coarse, decreasing this influence when the particles are fine.
Moreover, the use of high concentrations of sodium carbonate can lead to the formation of insoluble complex carbonates, which can also coat the scheelite particles and slow down the dissolution of tungsten. It is worth noting here that these complex carbonates (Na2CO3·xCaCO3 x = 1 and 2) are usually formed when the carbonate concentration is higher than 250 g/L; thus, these concentrations should be avoided in the treatment of the starting material. Since in the dissolution of the scheelite it is necessary to use an excess of the leaching agent, it is advisable to carry out this stage using pulp densities as low as possible.
3.1.4. Treatment of the Leachate
As expected, in the leachates, tungsten is present in the form of Na2WO4, allowing the use of these solutions as a starting point to synthesize smart tungsten products. Thus, experiments were carried out to yield tungstic acid from these solutions by precipitation of the acid using HCl 10 M. Figure 4 shows the results obtained from this series of experiments by plotting the percentage of tungsten recovery (as tungstic acid) versus the percentage in excess of HCl 10 M used to precipitate the acid. This excess refers to the stoichiometry of Equation (3):
      
        
      
      
      
      
    
 
      
    
    Figure 4.
      Tungsten precipitation as tungstic acid at two temperatures. Feed solution: 10 g/L tungsten at pH 10.
  
The experiments on the precipitation of tungstic acid indicated that in general terms it is advisable to use higher temperatures to render a better precipitation yield, and that in any case (temperature) a significant excess of HCl 10 M must be used to achieve yields above 90%. It is better to add the hot tungstate solution on top of the hot HCl solution, and not the other way around. Also, the quick addition of the tungstate solutions favors the formation of tungstic acid with coarser particles. It is worth noting that temperature has a significant effect on the appearance of the acid: at low temperature (20 °C) the precipitated acid presents a white color, while if the precipitation is conducted at 80 °C the precipitate presents the characteristic yellow color of tungstic acid.
As an alternative to the formation of tungstic acid, this work has addressed the precipitation of CaWO4 (synthetic scheelite) from the Na2WO4 solution. These precipitation experiments were carried out using CaCl2 solutions, so that precipitation occurred according to the following reaction:
      
        
      
      
      
      
    
The variation in temperature influenced this precipitation (Figure 5); the elimination of tungsten from the solution is favored by increasing the temperature from 20 to 40 °C.
 
      
    
    Figure 5.
      Tungsten precipitation as synthetic scheelite at two temperatures. Feed solution: 10 g/L at pH 10.
  
It is necessary to use an excess of CaCl2 with respect to the stoichiometry of Equation (4), and this excess is quantified to be around 15% of the stoichiometric ratio. Also, it is necessary to maintain the solution pH value above 8. On the other hand, to yield a precipitate with a finer particle size it is necessary to add the calcium chloride solution on top of the sodium tungstate solution. Figure 6 shows an SEM image of the synthetic scheelite precipitated at 40 °C, where the solid precipitates as semi-spherical granules. Figure 7 shows the XRD spectrum of the same sample, from this Figure 7, and it can be seen that the solid has crystallized in the tetragonal system.
 
      
    
    Figure 6.
      SEM image of the synthetic scheelite.
  
 
      
    
    Figure 7.
      XRD diffractogram of synthetic scheelite (Figure 6).
  
As an alternative to calcium chloride, calcium hydroxide can be used to precipitate the synthetic scheelite, though this procedure has not been investigated in the present work.
Leaching of the scheelite concentrate in alkaline medium (sodium carbonate) needs to use an excess of sodium carbonate relative to the corresponding stoichiometric concentration (5–7 equivalents with respect to Equation (2)) and a temperature of 200 °C. From the alkaline leachate, tungstic acid or synthetic scheelite is precipitated under the experimental conditions given in the corresponding subsection.
3.2. Leaching in Hydrochloric Acid Medium
As a logical alternative to the alkaline attack of the scheelite, an acidic medium was investigated. Hydrochloric acid was used in this experiment.
3.2.1. Influence of the HCl Concentration and Temperature on Tungsten Leaching
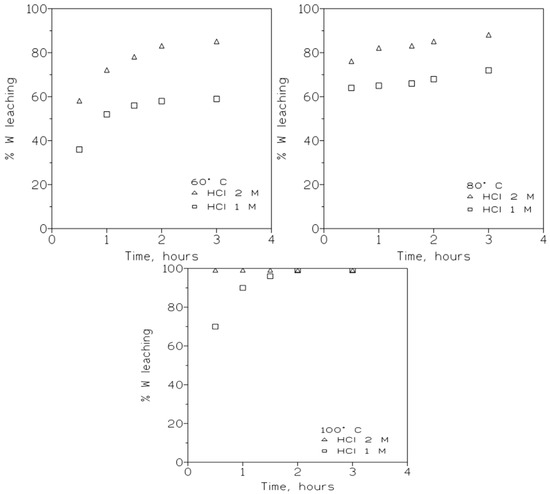
Using the concentrate fraction with a particle size of 106 µm < sample < 149 m, a series of experiments were carried out to investigate the effect of these two variables in the recovery of tungsten. Pulp densities of 16 wt% was used throughout the experimentation. Figure 8 shows the results derived from the above experiments conducted at temperatures of 60, 80, and 100 °C, respectively.
 
      
    
    Figure 8.
      Tungsten leaching at various temperatures: 60 °C (upper left), 80 °C (upper right), 100 °C (lower center).
  
These results indicated that for short reaction times, on the order of half to one hour, the leaching process is very sensitive with respect to time and temperature. In short, the tungsten dissolution increases with the increase in both variables, which seems to indicate that chemical reaction control predominates in this zone [,]. As the reaction time increases, the leaching yield is less sensitive to the change in this variable (HCl concentration), which seems to indicate that the leaching occurs under diffusional control [].
Considering each HCl concentration, the results showed that an increase in temperature leads to an increase in tungsten leaching yield. Likewise, the increase in HCl concentration is accompanied by an increase in the yield of the tungsten solubilization process, this being particularly important when working at 100 °C, since with half an hour of contact and using 1 M HCl the yield is 70%, rising to 99% when using 2 M HCl with leachates containing about 9 g/L W.
3.2.2. Influence of the Particle Size on Tungsten Leaching
This variable was investigated using a pulp density of 16 wt% and 80 °C and various HCl concentrations. The results of these experiments are shown in Table 2.
 
       
    
    Table 2.
    Percentage of tungsten recovery at various HCl concentrations and particle sizes of the scheelite concentrate.
  
As is somewhat expected, using the same HCl concentration the increase in the particle size produced a decrease in the leaching rate. As shown above, an increase in the HCl concentration, from 1 M to 3 M, produced an increase in the leaching rate, with this effect being more noticeable in the case of the larger particles than in the smaller ones, i.e., near 20% difference between 1 and 3 M for the former against a mere 9% for the latter particle size. It is worth noting the decrease in the leaching rate when the HCl concentration increases from 3 to 5 M. The increase in the ionic strength of the leaching solution is probably responsible for this decrease in yield.
The leaching of tungsten from scheelite using HCl solutions responded to the reaction below:
      
        
      
      
      
      
    
The solubilization of tungstic acid is dependent on the experimental conditions. This acid is always insoluble when the solution containing it is cooled [], and a residual and variable concentration of the element may remain in the solution; this residual tungsten species can be recovered by some separation technology (liquid–liquid extraction, ion exchange resins, or adsorbents). It is necessary to consider that the HCl concentration necessary for Reaction (5) to take place, and therefore the attack of the scheelite, is not the one indicated by the stoichiometry of the same reaction, but it is necessary to use an excess of HCl (ranging between 75% and 250%) with respect to this theoretical stoichiometry. The necessity of using this excess HCl can be attributed to the formation of a tungstic acid film around the scheelite particle, preventing its further attack [,,,].
Next, Figure 9 shows an SEM image of the yellow tungstic acid precipitated after cooling the solution from 100 °C, whereas Figure S2 (Supplementary Materials) shows the corresponding EDX analysis.
 
      
    
    Figure 9.
      SEM image of the precipitated yellow tungstic acid.
  
Leaching of the concentrate in acidic medium (HCl) formed tungstic acid, though an excess of HCl with respect to the corresponding stoichiometry Equation (5) is needed.
4. Obtaining Advanced Tungsten Compounds (Nanotungsten Derivatives)
Once the conditions for leaching the scheelite concentrate had been established, the next step was to investigate the possibility of synthesizing more advanced tungsten compounds and whether it was possible for them to contain nanometric structures (typically, structures with a particle size in the 0–100 nm range). The investigation was carried out using the two types of solutions, and different approaches were followed for each one.
4.1. From the Alkaline Solutions
Starting with a leaching solution (250 mL) containing 10 g/L of W at pH 10, obtained at 80 °C using a pulp density of 26 wt% (see Section 3.1), the stoichiometric quantity (plus 10%) of sodium borohydride was gradually added and stirred thoroughly. Although hydrogen formation was observed from the first instant, no precipitate was obtained (i.e., metallic tungsten). After a series of trials and errors, it was concluded that this procedure is not effective (as in other cases [,]) for obtaining the metal in nanometric form. This phenomenon is attributed to the fact that in this medium (and neutral medium), the BH4− ion decomposes according to the following reaction:
      
        
      
      
      
      
    
According to this reaction, OH− ions are formed, causing the pH to shift to more alkaline values, which inhibited subsequent hydrolysis of the borohydride ion:
      
        
      
      
      
      
    
Therefore, unlike what occurs in an acidic medium, Equation (7) is not complete. It was experimentally found that after NaBH4 addition, the solution pH increased from 9.5 to 11.5 (as Equation (6) predicted).
Alternatives to this failed procedure have been sought. One of them is the synthesis of ammonium metatungstate (AMT) from these tungstate solutions. Being of interest and a technologically sound chemical, AMT has not received the same interest as ammonium paratungstate. However, this tendency is changing since there are a series of recent investigations about the use of AMT in different smart fields, including optics [,], fabrication of WC nanoparticles [,] and tungsten-bearing composites [], gas and organics sensors [,], catalysis [,], fabrication of ammonium paratungstate [], etc.
Although there are several ways to precipitate AMT, this study followed a reaction described in []. The same alkaline solution was used as in the previous case, adding, at room temperature and with stirring, a solution of ammonium chloride (15% in excess with respect to the stoichiometry shown in Equation (8)). Further, a solution of HCl (4:1) was added to this mixture, stirring slowly. After a series of trials and errors, it was concluded that this addition should be stopped when a pH near 3 is reached. This is because this pH range favors the subsequent precipitation of AMT. The overall reaction can be represented as
      
        
      
      
      
      
    
        where y runs from 2 to 8 []. The solution was allowed to evaporate (60 °C) and a white solid began to form (Figure S1, Supplementary Materials); after further evaporation, the solid was filtered, washed with a diluted ammonium nitrate solution and further with alcohol, and dried at a temperature of 40 °C. The product (which decomposes near 100 °C) was hydrated ammonium metatungstate (Figure 10) containing nanoforms (Figure S3, Supplementary Materials).
 
      
    
    Figure 10.
      SEM images of the hydrated ammonium metatungstate.
  
As mentioned above, ammonium paratungstate (APT) is a well-known precursor in the production of tungsten metal from tungsten ores. As in the previous case, APT also has other uses, including, among others, the fabrication of optics (WO3) [] and carbide tungsten nanocrystals [].
Based on the literature [], on this occasion and starting with the same leaching solution as in the previous cases, tungstic acid was first precipitated by slowly adding the leaching solution to hydrochloric acid in excess of the stoichiometric amount while gently stirring (see Section 3.1.4). Once the yellow tungstic acid had been filtered and water-washed, it was added to a concentrated ammonium hydroxide solution at room temperature (25 °C). Further, the solution was left to evaporate and concentrate at the same temperature to remove excess ammonia, allowing the precipitation of APT (Figure 11) with nanoforms (Figure S4, Supplementary Materials).
 
      
    
    Figure 11.
      SEM images of the hydrated ammonium paratungstate.
  
The same procedure as above but carried out at 70 °C produced APT (Figure 12) with a different hydration number (seven water molecules).
 
      
    
    Figure 12.
      SEM image of the APT specimen formed after the 70 °C procedure.
  
The overall reaction to precipitate APT can be written as
      
        
      
      
      
      
    
IR assignments [,] of AMT and APT are given in Table S1 (Supplementary Materials). In both compounds, the presence of water is confirmed.
4.2. From Acidic Medium
In this case, a solution of 10 g/L of tungsten at pH 0, obtained from leaching experiments at 80 °C and 2 M HCl (see Section 3.2), was used in the experimentation. From the first sodium borohydride addition, the solution turned to a deep blue color due to the appearance of a blue precipitate. Once the addition of borohydride was completed, the system was left under agitation at 80 °C for 15 min. After filtering the blue solid, it was dried at 60 °C for 2 h (Figure S5, Supplementary Materials).
Undoubtedly, this solid belongs to the tungsten oxides family presenting oxygen vacancies (oxygen vacancies in WO3−x stoichiometry) [,,]. SEM imaging (Figure 13) shows that the solid presented a conformation of agglomerated nanoglobules with a typical size of 70 nm (Figure S6, Supplementary Materials). The XRD results (Figure S7, Supplementary Materials) showed that the solid is basically amorphous.
 
      
    
    Figure 13.
      SEM image of the blue tungsten oxide (WO3−x).
  
From the W-alkaline leachates, the use of sodium borohydride was not successful to precipitate zero-valent tungsten. However, both ammonium meta- and paratungstate salts can be precipitated from this alkaline solution under the corresponding procedure. From W-acidic leachates, the addition of sodium borohydride does not precipitate zero-valent tungsten but non-stoichiometric WO3−x blue oxide.
5. Conclusions
Research has been conducted into obtaining tungsten-based nanomaterials from the hydrometallurgical treatment of a scheelite concentrate of Spanish origin.
Leaching of the concentrate in alkaline medium (sodium carbonate) solubilizes the tungsten contained in the starting material under the best experimental conditions: using at least six-times excess of sodium carbonate with respect to the corresponding stoichiometry and temperatures above 100 °C. Thus, the use of autoclaving is mandatory in the experimentat.
In acidic medium (hydrochloric acid), the concentrate dissolves to form tungstic acid, with optimum tungsten dissolution rates (99%) at the temperature of 100 °C, 0.5 h of reaction time, and using 2 M hydrochloric acid as a leachant.
The chemical processing of the alkaline tungsten leachates produced tungstic acid and further synthetic scheelite. Also, some tungsten-polytungstate salts (ammonium metatungstate (AMT) and ammonium paratungstate (APT)) can be derived from the treatment of the sodium tungstate alkaline leachates. AMT is synthesized from the treatment of a tungsten leachate of pH 10 to which a (15% in excess) solution of ammonium chloride is added; further, the reaction is complete by the addition of a HCl solution (4:1) to the previous mixture. After evaporation of the solution, AMT precipitates. APT was prepared from tungstic acid precipitated from the pH 10 solution. Then, tungstic acid was added to a concentrated ammonium hydroxide solution at room temperature (25 °C). Further, the solution was left to evaporate and concentrate at the same temperature to remove excess ammonia, allowing the precipitation of APT. A variation of this procedure was followed but reacting at 70 °C to yield APT with a different number of water molecules.
From the acidic tungsten solution, both tungstic acid and/or non-stoichiometric blue tungsten oxides (synthesized from a suspension of tungstic acid to which solid sodium borohydride is added) can be yielded under the pertinent chemical treatment.
Supplementary Materials
The following supporting information can be downloaded at https://www.mdpi.com/article/10.3390/min15101095/s1, Figure S1. Ammonium metatungstate begins to precipitate; Figure S2. EDX of Figure 9: oxygen (27.89% weight, 81.63% atomic) and tungsten (72.11% weight, 18.37% atomic); Figure S3. Ammonium metatungstate nanoforms; Figure S4. Ammonium paratungstate nanoforms; Figure S5. Microscopic image of the blue tungsten oxide; Figure S6. SEM image of the blue tungsten oxide showing the size of some of the globules; Figure S7. XRD of the blue tungsten oxide; Table S1. Assignment (cm−1) of AMT and APT IR bands.
Funding
This research received no external funding.
Data Availability Statement
The original contributions presented in this study are included in the article. Further inquiries can be directed to the corresponding author.
Acknowledgments
The author thanks the CSIC for support and the technicians of the electronic microscope, microscope, and XRD services of CENIM-CSIC.
Conflicts of Interest
The author declares no conflicts of interest.
References
- Grohol, M.; Veeh, C. Study on the Critical Raw Materials for the EU 2023—Final Report; European Commission: Directorate-General for Internal Market, Industry, Entrepreneurship and SMEss; Publications Office of the European Union: Luxembourg, 2023. [Google Scholar] [CrossRef]
- Alguacil, F.J.; Alonso, M. Recovery of tungsten from raw and secondary materials using hydrometallurgical processing. Metals 2025, 15, 799. [Google Scholar] [CrossRef]
- Chen, Y.; Huo, G.; Guo, X.; Chen, J. A review of flowsheets for tungsten recovery from scheelite, wolframite and secondary resources and challenges for sustainable production. Hydrometallurgy 2025, 234, 106455. [Google Scholar] [CrossRef]
- Li, X.; Jiang, H.; Peng, Z.; Duan, A.; Zhang, T.; Gong, Z. Leaching of scheelite concentrate for tungsten extraction. Minerals 2025, 15, 475. [Google Scholar] [CrossRef]
- Zhao, J.-Y.; Mu, P.-P.; Liu, H.; Chachina, S.B.; Zhang, X.-G.; Zhang, S.-G.; Pan, D. Extraction and response surface methodology optimization of tungsten and molybdenum from spent fluidized catalytic cracking catalysts. Tungsten 2025, 7, 268–283. [Google Scholar] [CrossRef]
- Li, D.; Chang, J.; Wei, Y.; Qiao, J.; Yue, X.; Fan, H.; Zhang, L.; Guo, X. Green and efficient recovery of tungsten from spent SCR denitration catalyst by Na2S alkali leaching and calcium precipitation. Adv. Sust. Syst. 2025, 9, 2400895. [Google Scholar] [CrossRef]
- Cera, M.; De Gaudenzi, G.P.; Tedeschi, S.; Muntoni, A.; De Gioannis, G.; Serpe, A. Valorisation of hard metal wastes using organic acids in an eco-friendly process. Int. J. Refract. Met. Hard Mater. 2025, 128, 107062. [Google Scholar] [CrossRef]
- Zheng, X.; Li, H.; Liu, X.; Wang, X.; Zhang, Y.; Tang, Q.; Ren, B. Supply risk propagation in international trade networks of the tungsten industry chain. Humanit. Soc. Sci. Commun. 2025, 12, 54. [Google Scholar] [CrossRef]
- Asghar, M.Z.; Saeed, A.; Ain, N.U.; Alarfaji, S.S.; Khan, M.I. Tungsten tetraboride nanosheet as a potential gas adsorption material: A density functional theory (DFT) study. Chem. Phys. Lett. 2025, 870, 142090. [Google Scholar] [CrossRef]
- Zhao, K.; Shi, Y.; Niu, H.; Qinglong Chen, Q.; Liu, J.; Tang, B.; Zheng, C. Polyaniline/tungsten disulfide composite for room-temperature NH3 detection with rapid response and low-ppm sensitivity. Sensors 2025, 25, 3948. [Google Scholar] [CrossRef]
- Verma, A.M.; Prakash, C.; Yadav, N.; Verma, V.; Singh, P.; Ojha, S.; Sanjay Kumar Kedia, S.K.; Singh, F.; Siva Kumar, V.V.; Brajpuriya, R.K.; et al. Enhanced hydrogen gas sensing performance with Ag-doped WO3 thin film. Int. J. Hydrogen Energy 2025, 137, 1161–1170. [Google Scholar] [CrossRef]
- Wu, H.; Peng, Z.; Hao, J.; Tesfaye, F.; Shen, L. Gradient recovery of tungsten, cerium, and titanium from spent W-Ce/TiO2 catalysts. Processes 2025, 13, 1678. [Google Scholar] [CrossRef]
- Sasikumar, K.; Thangabalu, S.; Muthuramamoorthy, M. Ni-doped WO3 nanoparticles: An efficient dual-functional material for photocatalytic and antibacterial applications. Ceram. Int. 2025, 51, 21424–21440. [Google Scholar] [CrossRef]
- Xie, H.; Li, X.; Wang, Z.; Zhao, J.; Chen, Q.; Wang, Y.; Khalifa, M.A.; Zhao, B.; Pei, G.; Zheng, J.; et al. Boosting WO3-based electrochromic performance for practical smart windows: Balancing charge density and matching color based on Mn2+/MnO2 counter-electrode reaction. Adv. Opt. Mater. 2025, 13, 2500015. [Google Scholar] [CrossRef]
- Zhang, X.; Li, Z.; Jin, G.; Ma, Y.; Bian, Y.; Hu, M.; Li, C.; Luo, S. Research on the effect of ultrasonic-electric pulse composite milling on the machining performance of tungsten alloy. Int. J. Adv. Manuf. Technol. 2025, 138, 5521–5536. [Google Scholar] [CrossRef]
- Pandey, B.; Mishra, R.; Chauhan, R.K.; Patel, A.K. Performance investigation of double absorber based thin film solar cell with MoS2 and WS2 as absorber layers. Phys. Scr. 2025, 100, 055529. [Google Scholar] [CrossRef]
- Tuncer, I.M.; Yue, H.; Liu, J. An optimisation study for leaching synthetic scheelite in H2SO4 and H2O2 solution. Can. Metall. Q. 2025, 64, 653–663. [Google Scholar] [CrossRef]
- Shen, L.T.; Liu, Y.; Guo, J.-L.; Zhou, Q.-S.; Qi, T.-G.; Peng, Z.-H.; Liu, G.-H.; Xiao-bin Li, X.-L. Leaching of WO3 from sulfuric acid converted product of scheelite in NH3·H2O−NH4HCO3 solution. Trans. Nonferrous Met. Soc. China 2025, 35, 326–337. [Google Scholar] [CrossRef]
- Karimova, L.; Oleinikova, T.; Terentyeva, I.; Korabayev, A.; Tussupbekova, T. Study of the efficiency of using pelletizing poor scheelite ore for leaching tungsten. Acta Metall. Slovaca 2025, 31, 11–15. [Google Scholar] [CrossRef]
- Han, Z.; Edraki, M.; Golev, A. Characterization, potential valuable metals recovery and remediation of historic wolframite mining waste. Sep. Purif. Technol. 2025, 354, 129009. [Google Scholar] [CrossRef]
- Zheng, X.; Wang, Z.; Li, Q.; Liu, L.; Chen, M. The tungsten tailings remediation by soilless plant establishment: Varied aggregation structure, heavy metal mobilization, and microbial community structure. Ecol. Eng. 2025, 213, 107565. [Google Scholar] [CrossRef]
- Chen, K.; Li, L.; Cao, Q. Recovery of rhenium and tungsten from calcium tungstate containing rhenium via hydrochloric acid decomposition. Sep. Sci. Technol. 2025, 60, 480–493. [Google Scholar] [CrossRef]
- Zhang, P.; Ren, Q.; Mi, H.; Kang, S.; Yang, B.; Wang, F. Simultaneous separation and enrichment of tungsten and tin from wolframite by one-step vacuum distillation. Sep. Purif. Technol. 2025, 376, 133966. [Google Scholar] [CrossRef]
- Pu, T.; Chen, Z.; Liu, Y.; Hu, H.; Liang, Y. Factors affecting purity of ammonium paratungstate (APT) prepared from wolframite ((Fe,Mn)WO4) concentrate by NaHSO4·H2O roasting, water/ammonia leaching and evaporation crystallization. Hydrometallurgy 2025, 234, 106467. [Google Scholar] [CrossRef]
- Wang, C.; Wu, J.; Wan, K.; Miao, Z. Synergistic recovery of Ge and W from lignite via subcritical water activation followed by alkaline leaching. Min. Eng. 2025, 232, 109580. [Google Scholar] [CrossRef]
- Shemi, A.; Ndlovu, S.; Sacks, N. An optimized recovery of cobalt and tungsten carbide (WC) from a binary-phase WC-6 wt% Co cemented tungsten carbide hard metal using design of experiments. Min. Eng. 2025, 233, 109597. [Google Scholar] [CrossRef]
- Huo, T.; Sun, F.; Liu, X.; Chen, X.; Li, J.; He, L.; Zhang, W.; Zhao, Z. Synthesis of intermediate valence tungsten oxides via carbon reduction and their dissolution behavior in hydrogen peroxide. Int. J. Refract. Met. Hard Mater. 2025, 131, 107191. [Google Scholar] [CrossRef]
- Guan, Y.; Liu, Y.; Xi, X.; Nie, Z. 1T/2H-Mo1-xWxS2 obtained from secondary resources and its superior piezoelectric catalysis. J. Environ. Chem. Eng. 2025, 13, 115500. [Google Scholar] [CrossRef]
- Wu, T.; Wang, J.; Sun, Q.; Yang, Y.; Si, Q.; Liang, C.; Liu, G.; Mi, A.; Wang, S. Recycling efficiency optimization of tungsten-filled vinyl-methyl-silicone-based flexible gamma ray shielding materials. Nucl. Eng. Technol. 2025, 57, 103163. [Google Scholar] [CrossRef]
- Lin, S.; Yi, B.; Hu, X.; Fang, L.; Yu, S.; Yu, S.; Wu, D. Advanced sequential treatment approach for enhanced recovery in tungsten-nickel electroplating wastewater. J. Water Proc. Eng. 2025, 71, 107421. [Google Scholar] [CrossRef]
- Li, H.; Li, Q.; Zhang, G.; Zeng, L.; Wu, S.; Guan, W.; Wang, M.; Wu, X. A novel pyro-hydrometallurgy process for efficient recovery of tungsten, vanadium, and titanium from spent SCR catalysts. J. Environ. Chem. Eng. 2025, 13, 115253. [Google Scholar] [CrossRef]
- Xie, T.; Pu, T.; Liu, Y.; Zhang, M.; Lei, X.; Hu, H.; Chen, Z. Extraction of tungsten from tungsten fine mud by caustic soda autoclaving. ACS Omega 2025, 10, 6901–6907. [Google Scholar] [CrossRef]
- Zhang, C.; Xi, X.; Ma, L.; Chen, N.; Nie, Z. Highly efficient separation of tungsten and molybdenum by selective adsorption with iron based metal organic framework enhanced by cetyltrimethyl ammonium bromide as complex agent. Desalination 2025, 614, 119122. [Google Scholar] [CrossRef]
- Ahmed, Z.M.A.; Morad, A.R.; Gubari, M.Q.; Mahmoud, M.A.; Eldoma, M.A.; Alomar, M.A.; Abouatia, A.F.F.; Marashdeh, A.; Cheira, M.F.; Hassanein, T.F. Recovery of tungsten from catalytic converter scraps using a Schiff-base adsorbent and subsequent preparation of tungsten oxide nanoparticles. Mater. Chem. Phys. 2025, 344, 131146. [Google Scholar] [CrossRef]
- Zhao, H.; Yang, H.; Tong, L.; Zhang, Q.; Zhang, J. Coupled precipitation enrichment of molybdenum and tungsten for synthesizing AMTOF (artificial molybdenum and tungsten ore first) from a complex trace molybdenum-tungsten mixed solution. Min. Eng. 2025, 228, 109328. [Google Scholar] [CrossRef]
- Zhu, J.; Qiu, Y.; He, J.; Chen, X.; Chen, A.; Liu, X.; Li, J.; He, L.; Sun, F.; Zhao, Z. Research on the ammonia-free solvent extraction of tungsten from sodium tungstate solution using TBP. Chem. Eng. J. 2025, 513, 162869. [Google Scholar] [CrossRef]
- Deng, L.-Q.; Liu, X.-H.; Chen, X.-Y.; Li, J.-T.; He, L.-H.; Sun, F.-L.-; Zhao, Z.-W. Competitive behaviors between tungsten and iron in TBP−HCl−H2O extraction system. Trans. Nonferrous Met. Soc. China 2025, 35, 990–999. [Google Scholar] [CrossRef]
- Wang, C.; Liu, L.; Hu, W.; Wang, C.; Hou, X.; Li, H. Separation of vanadium, tungsten, and arsenic from alkaline leachate of spent SCR catalysts via coextraction and stepwise stripping. Sep. Purif. Technol. 2025, 352, 127991. [Google Scholar] [CrossRef]
- Chen, W.; Liu, Q.; Qi, J.; Liu, G. Probing the improved collecting ability of dodecyl phosphate/poly-amine cation-anion association collector towards scheelite. Adv. Powder Technol. 2025, 36, 104977. [Google Scholar] [CrossRef]
- Wang, X.; Cui, Y. Mechanism of flotation separation of scheelite from calcite using sulfonated phenolic resin as a novel depressant. Min. Eng. 2025, 230, 109393. [Google Scholar] [CrossRef]
- Rodriguez, J.F.; Alguacil, F.J.; Martinez, S.; Caravaca, C. Production of high-grade tin in a new electrolytic plant. In Hydrometallurgy’94; Institution of Mining and Metallurgy, Society of Chemical Industry, Eds.; Chapman & Hall: London, UK, 1994; pp. 939–946. [Google Scholar]
- Ye, L.; Tang, K.; Zhang, L.; Xia, Z.; Liu, S. Separation of cobalt and tungsten from grinding waste of cemented carbide by a midly process of chloridizing roasting and water leaching combining. Int. J. Refract. Met. Hard Mater. 2025, 132, 107303. [Google Scholar] [CrossRef]
- Li, J.; Chen, Z.; Lv, S.; Luo, Y.; Zhao, Z.; Chen, X.; Liu, X.; Lihua He, L.; Sun, F. Mechanism of calcite inhibiting scheelite decomposition during the NaOH decomposition process. JOM 2025, 77, 3074–3081. [Google Scholar] [CrossRef]
- Barton, I.F.; Hiskey, J.B. Chalcopyrite leaching in novel lixiviants. Hydrometallurgy 2022, 207, 105775. [Google Scholar] [CrossRef]
- Ibrahim, A.I.I.; Aboelgamel, M.; Kaan Soylu, K.K.; Top, S.; Kursunoglu, S.; Altiner, M. Production of high-grade antimony oxide from smelter slag via leaching and hydrolysis process. Sep. Purif. Technol. 2025, 355, 129355. [Google Scholar] [CrossRef]
- Grebenkov, D.S. Diffusion-controlled reactions: An overview. Molecules 2023, 28, 7570. [Google Scholar] [CrossRef] [PubMed]
- Martins, J.I.; Moreira, A.; Costa, S.C. Leaching of synthetic scheelite by hydrochloric acid without the formation of tungstic acid. Hydrometallurgy 2003, 70, 131–141. [Google Scholar] [CrossRef]
- Kahruman, C.; Yusufoglu, I. Leaching kinetics of synthetic CaWO4 in HCl solutions containing H3PO4 as chelating agent. Hydrometallurgy 2006, 81, 182–189. [Google Scholar] [CrossRef]
- Alguacil, F.J.; Alonso, M.; Lozano, L.J.; Robla, M. Strategies for the recovery of tungsten from wolframite, scheelite, or wolframite–scheelite mixed concentrates of Spanish origin. Metals 2025, 15, 819. [Google Scholar] [CrossRef]
- Alguacil, F.J. Mechanistic investigation of facilitated transport of gold(III) from HCl media using ionic liquid Cyphos IL102 as carrier across a supported liquid membrane. Gold Bull. 2019, 52, 145–151. [Google Scholar] [CrossRef]
- Alguacil, F.J.; Escudero, E. The removal of toxic metals from liquid effluents by ion exchange resins. Part XII: Mercury(II)/H+/Lewatit SP112. Rev. Metal. 2020, 56, e160. [Google Scholar] [CrossRef]
- Zheng, Z.; Li, J.; Dong, X.; Zeng, Z.; Lin, K.; Li, J. Rapid pyrolysis-based fabrication of high-performance electrochromic WO3 films using polyethylene glycol as a pore-forming agent. J. Mater. Sci. 2025, 60, 2297–2313. [Google Scholar] [CrossRef]
- Jiang, B.; Ning, H.; Li, M.; Yao, R.; Guo, C.; Yucheng, H.; Zijie, G.; Luo, D.; Yuan, D.; Peng, J. Predictive modeling of electrochromic performance in ammonium metatungstate solutions using machine learning algorithms. AIP Adv. 2025, 15, 025308. [Google Scholar] [CrossRef]
- Lu, Z.; Wang, B.; Li, S.; Pan, F.; Zhu, X.; Wei, X.I. N-S co-doped WC nanoparticles show high catalytic activity in hydrogen evolution reaction. Coatings 2025, 15, 630. [Google Scholar] [CrossRef]
- Li, Y.; Long, R.; Tao, J.; Chen, X.; Liu, Y.; Li, C.; Xu, Z.; Yi, J. Regulation of the interfacial structure in CNTs/Cu composites by chemical vapor deposited WC to enhance mechanical properties and conductivity. Ceram. Int. 2025, 51, 23725–23740. [Google Scholar] [CrossRef]
- Zhou, Y.; Ding, W.; Wei, J.; Luo, L.; Ma, B.; Zhang, Y.; Wang, J.; Liu, J.; Hai, W.; Wu, Y. The effect of reduction heat treatment after mechanical alloying on the microstructure and properties of Cu-Y2O3/W composites. J. Alloys Compd. 2025, 1030, 180835. [Google Scholar] [CrossRef]
- Jiang, H.-Y.; Chen, G.-L.; Xin, Y.-Y.; Shen, S.-K.; Deng, Z.-P.; Xu, Y.-M.; Huo, L.-H.-; Gao, S. Honeycomb-like WO3 architecture derived from grapevine boosts efficient detection of trace NO2 gas at near room temperature. Sens. Actuators B Chem. 2025, 436, 137686. [Google Scholar] [CrossRef]
- Chen, G.-L.; Jiang, H.-Y.; Jiang, Y.; Deng, Z.-P.; Xu, Y.-M.; Huo, L.-H.; Gao, S. Temperature-tuned dual-selective NO2/diisopropylamine sensor based on (NH4)0.33WO3 doped γ-WO3 nanosheets-assembled hollow microspheres via simple pyrolysis of commercial ammonium metatungstate. Chem. Eng. J. 2025, 512, 162684. [Google Scholar] [CrossRef]
- Li, J.; Liu, Y.; Zhou, X.; Yang, L. Boosting oxidative-adsorptive desulfurization of fuel oil by constructing a mesoporous coupled desulfurizer with bimetal of MoO3 and WO3. J. Porous Mater. 2025, 32, 1429–1441. [Google Scholar] [CrossRef]
- Baba, A.A.; Girigisu, S.; Raji, M.A.; Ibrahim, A.S.; Ayinla, K.I.; Adeyemi, C.O.; Abdulkareem, A.Y.; Abdul, M.J.; Alabi, A.G.F. Preparation of high grade ammonium metatungstate (AMT) as precursor for industrial tungsten catalyst. In Rare Metal Technology; Azimi, G., Ouchi, T., Forsberg, K., Kim, H., Alam, S., Baba, A.A., Neelamegg, N.R., Eds.; The Minerals, Metals & Materials Series; Springer: Cham, Switzerland, 2021. [Google Scholar] [CrossRef]
- Liming, Z.; Leiting, S.; Zhou, Q.; Qi, T.; Peng, Z.; Liu, G.; Li, X. Green and low-carbon preparation of ammonium paratungstate by adding ammonia to ammonium metatungstate solution. Hydrometallurgy 2023, 222, 106196. [Google Scholar] [CrossRef]
- Chinatungsten. Available online: http://news.chinatungsten.com (accessed on 1 June 2025).
- Eder, F.; Weil, M.; Schubert, W.-D.; Gierl-Mayer, C. Ammonium metatungstate, (NH4)6[H2W12O40]: Crystallization and thermal behavior of various hydrous species. Cryst. Growth Des. 2021, 21, 6195–6212. [Google Scholar] [CrossRef]
- Althubayti, M.M.; Abdel-Daiem, A.; Farghal, M.; Loucif, A.; Aida, M.S. Electrical and dielectric properties of sprayed tungsten oxide thin films. Next Mater. 2025, 8, 100672. [Google Scholar] [CrossRef]
- Lourenço, C.S.; Oliveira, G.S.; Morais, L.M.F.; do Nascimento, A.B.G.; Silva, A.S.; Morales, M.A.; Lima, M.J.S.; Gomes, U.U. Influence of temperature on the APT carborreduction process for obtaining nanocrystalline WC powder from scheelite concentrate. Mat. Res. 2025, 28, 0279. [Google Scholar] [CrossRef]
- Brauer, G. Handbuch der Präparativen Anorganischen Chemie; Spanish Edition for Ed. Reverte S.A. Barcelona (Spain); Ferdinand Enke Verlag: Stuttgart, Germany, 1958. [Google Scholar]
- Nakamoto, K. Infrared Spectra of Inorganic Compound and Coordination Compounds; Wiley: New York, NY, USA, 1963. [Google Scholar]
- Nyquist, R.A.; Kagel, R.O. Infrared Spectra of Inorganic Compounds; Academic Press: New York, NY, USA, 1971. [Google Scholar]
- Agrawal, A.; Cho, S.H.; Zandi, O.; Ghosh, S.; Johns, R.W.; Milliron, D.L. Localized surface plasmon resonance in semiconductor nanocrystals. Chem. Rev. 2018, 118, 3121–3207. [Google Scholar] [CrossRef] [PubMed]
- Zafari, M.; Shariatmadar Tehrani, F. Enhanced photocatalytic performance of non-stoichiometric WO3−x nanocrystals via near-infrared localized surface plasmon resonance. Sci. Rep. 2025, 15, 14624. [Google Scholar] [CrossRef] [PubMed]
- Mousavi-Zadeh, S.H.; Poursalehi, R.; Yourdkhani, A. Photocatalytic activity mechanism of oxygen vacancy saturated blue WO3−x/exfoliated g-C3N4 Z-scheme heteronanostructures. Appl. Surf. Sci. Adv. 2025, 27, 100755. [Google Scholar] [CrossRef]
| Disclaimer/Publisher’s Note: The statements, opinions and data contained in all publications are solely those of the individual author(s) and contributor(s) and not of MDPI and/or the editor(s). MDPI and/or the editor(s) disclaim responsibility for any injury to people or property resulting from any ideas, methods, instructions or products referred to in the content. | 
© 2025 by the author. Licensee MDPI, Basel, Switzerland. This article is an open access article distributed under the terms and conditions of the Creative Commons Attribution (CC BY) license (https://creativecommons.org/licenses/by/4.0/).
