Effect of Wall Roughness in the Middle Zone of Spiral Concentrator on the Flow Field Evolution of Hematite–Quartz Slurry and Particle Separation Behaviour
Abstract
1. Introduction
2. Methodology
2.1. Geometric Modelling and Meshing
2.2. Numerical Model and Test Conditions
2.2.1. Multiphase Flow Model
2.2.2. Turbulence Model
2.2.3. Wall Roughness Model
2.2.4. Experimental Setup and Conditions
2.2.5. Method of Setting Wall Roughness for the Middle Zone
2.3. Data Processing and Methodology
3. Results and Discussion
3.1. Effects of Wall Roughness in the Middle Zone on the Distribution and Evolution of Flow Field Parameters in Hematite–Quartz Slurry
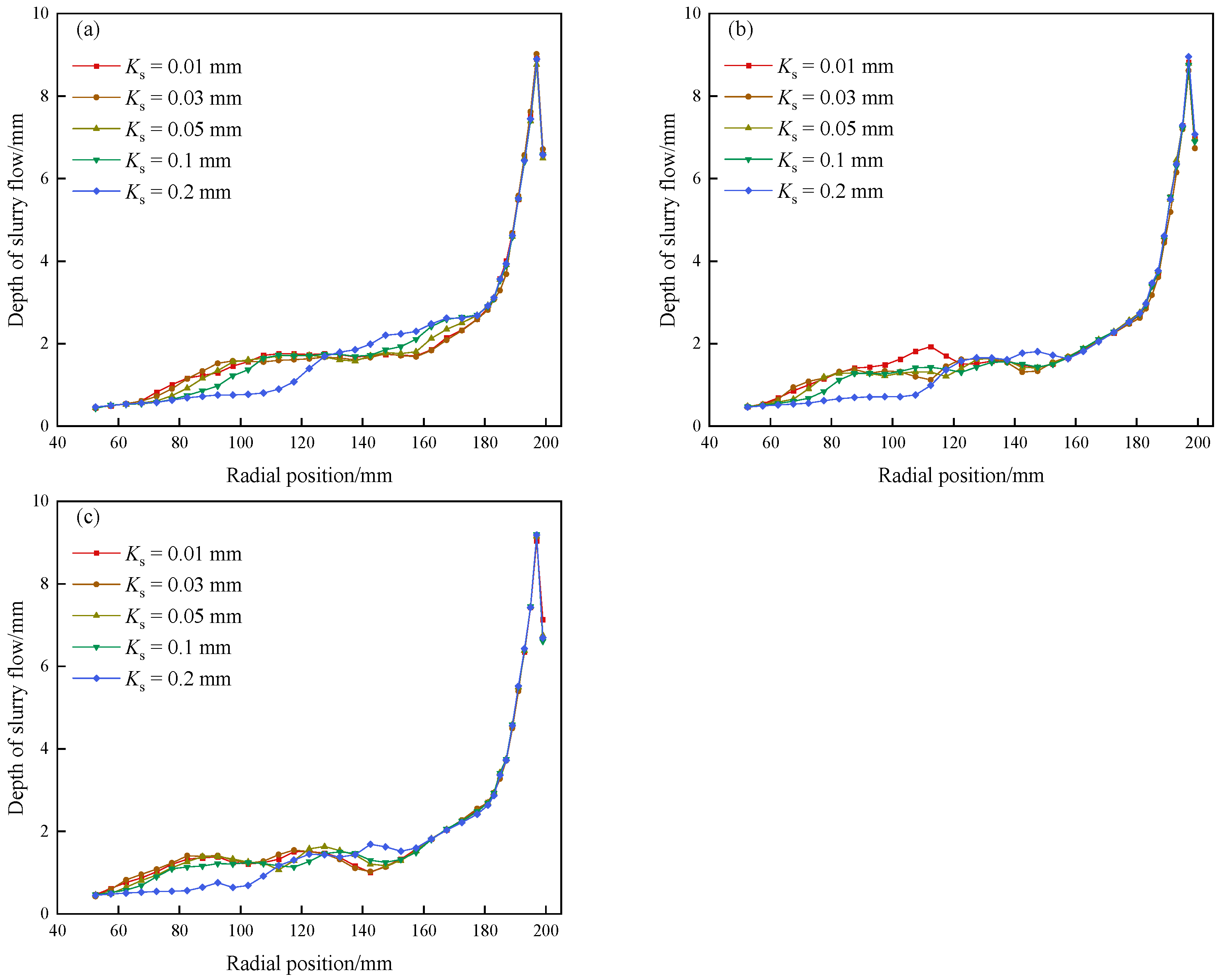
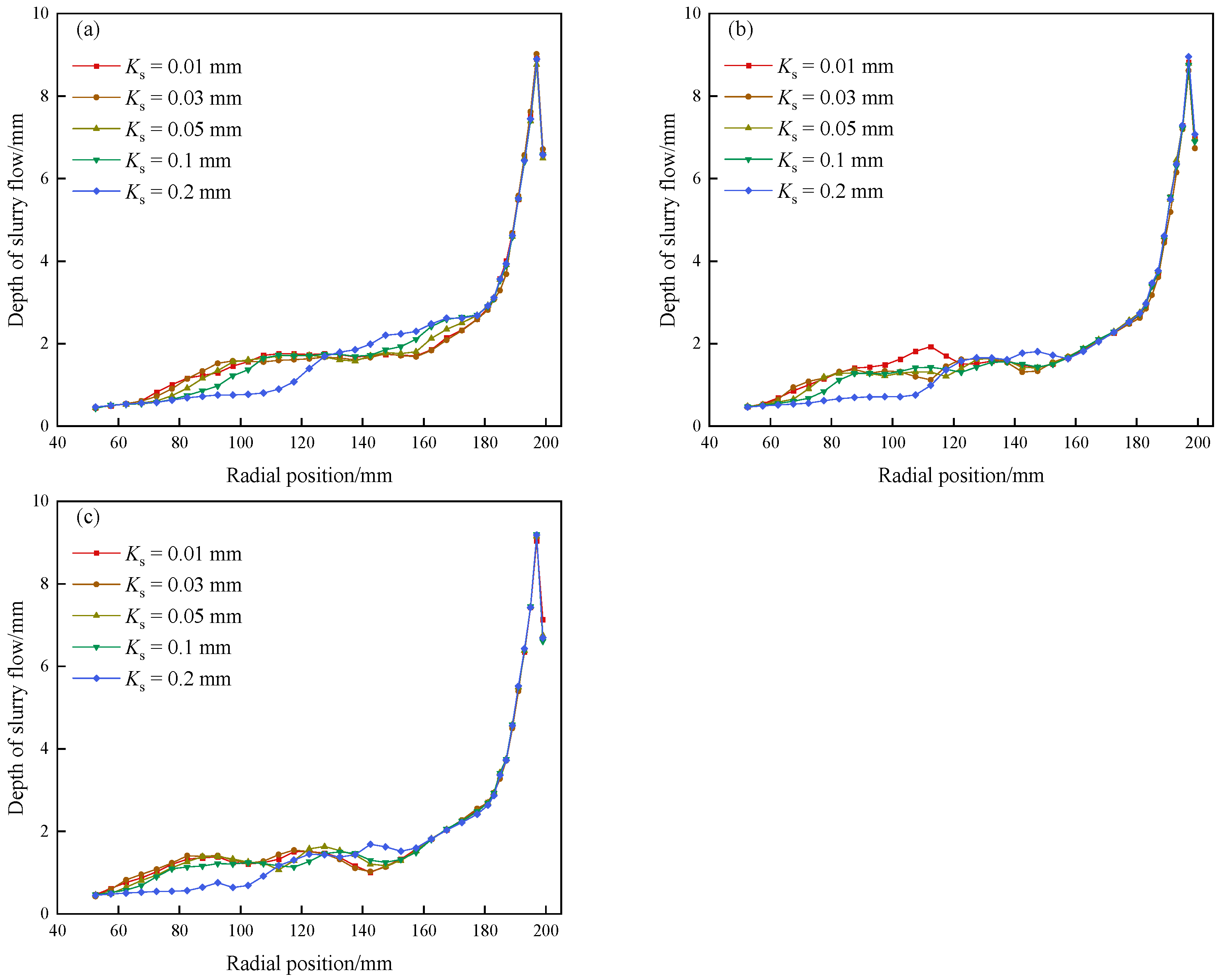
3.1.1. Variation of Slurry Spreading Depth
3.1.2. Evolution of the Spatial Distribution of Secondary Flow in the Slurry
- (1)
- In the initial stage (0.5 turn), when the slurry flow is fed into the trough surface, both the inward and outward flow show an obvious intermittent distribution.
- (2)
- Within 1 to 2 turns of the stroke, the inward and outward flow gradually evolved to exhibit continuous distribution characteristics.
- (3)
- Within 2.5 to 3 turns stroke, the upper and lower distributions of the inward and outward flow tend to be stable and consistent.
3.1.3. Variation of Velocity Distribution of Secondary Flow in the Slurry
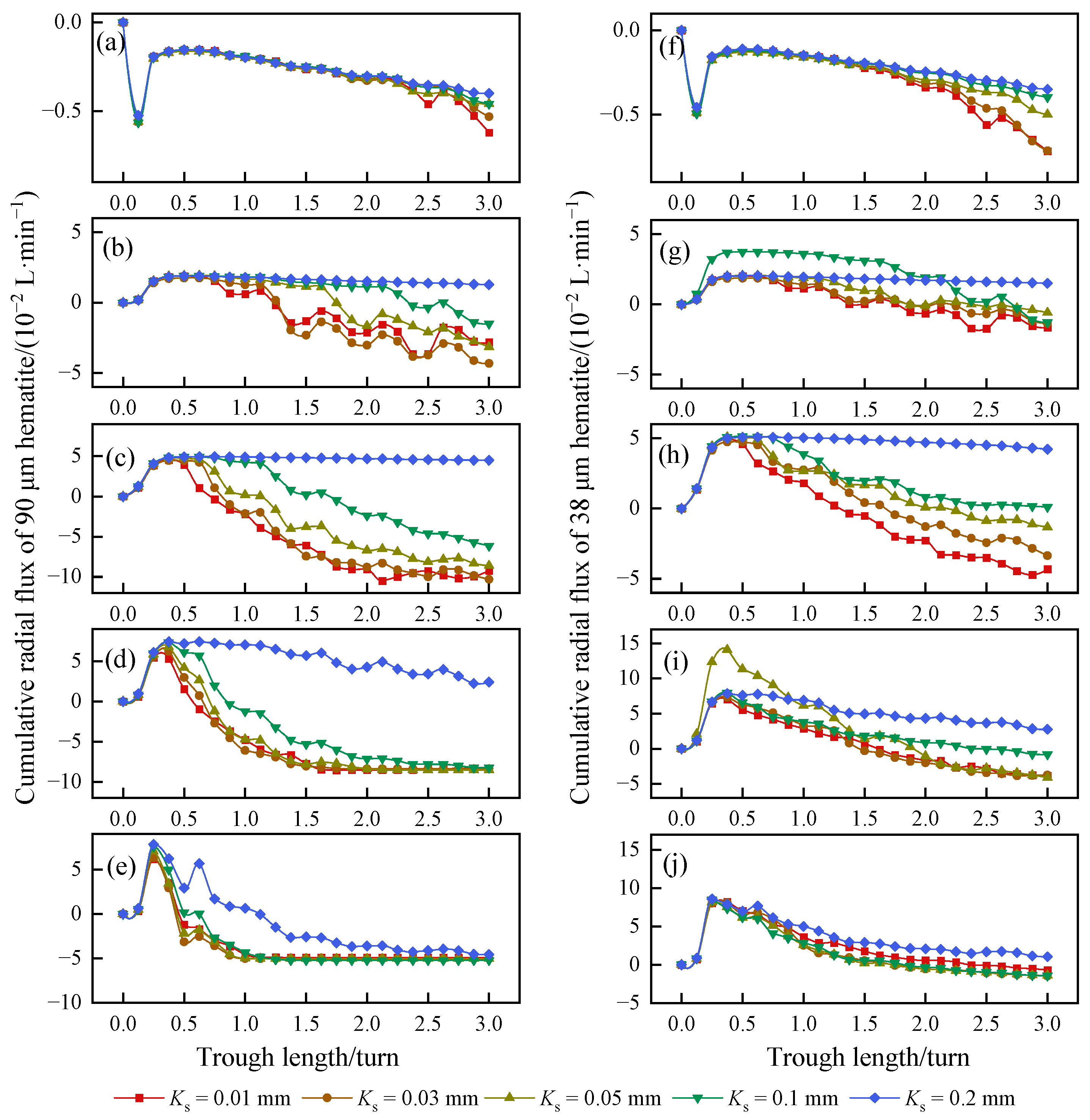
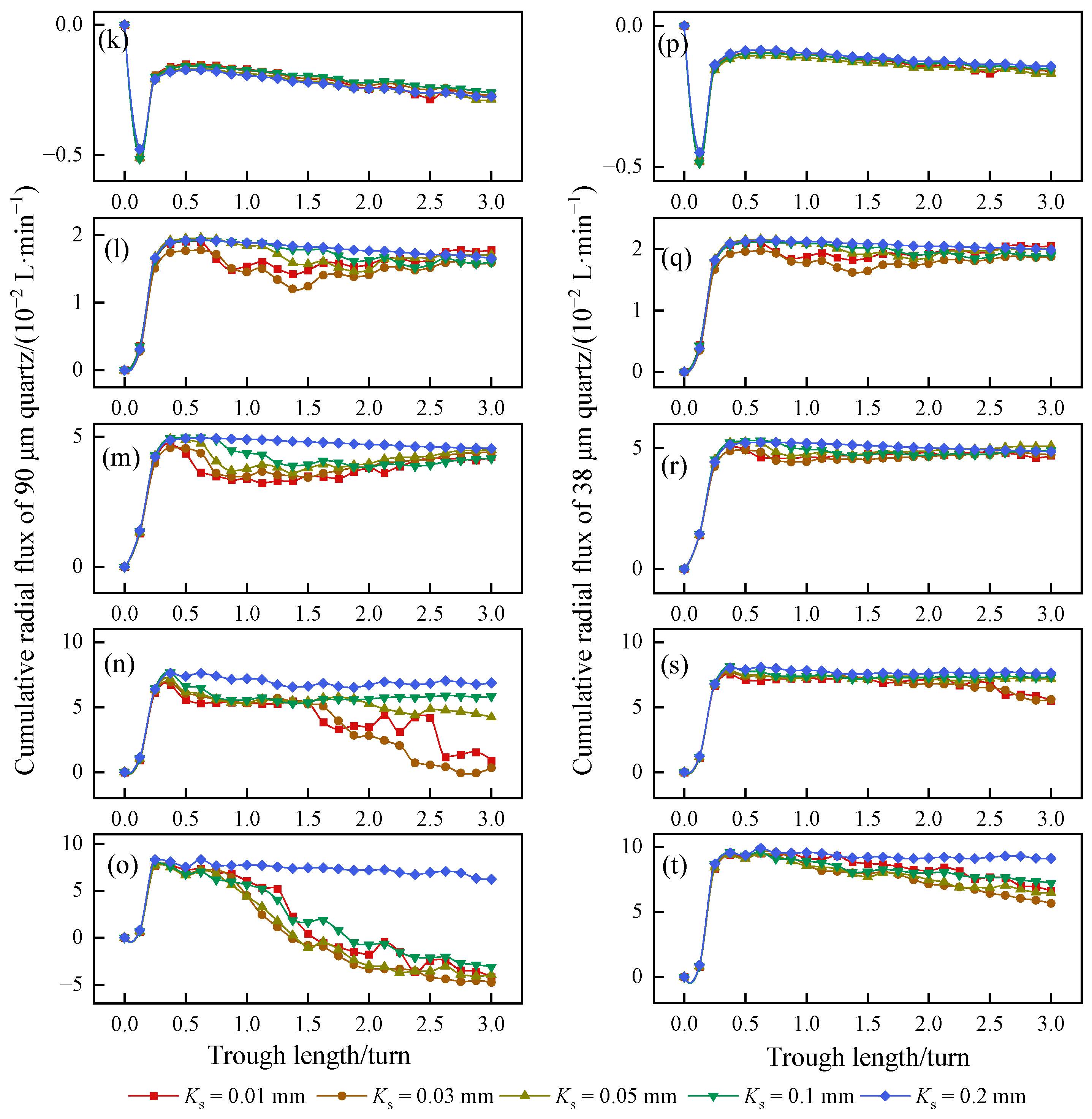
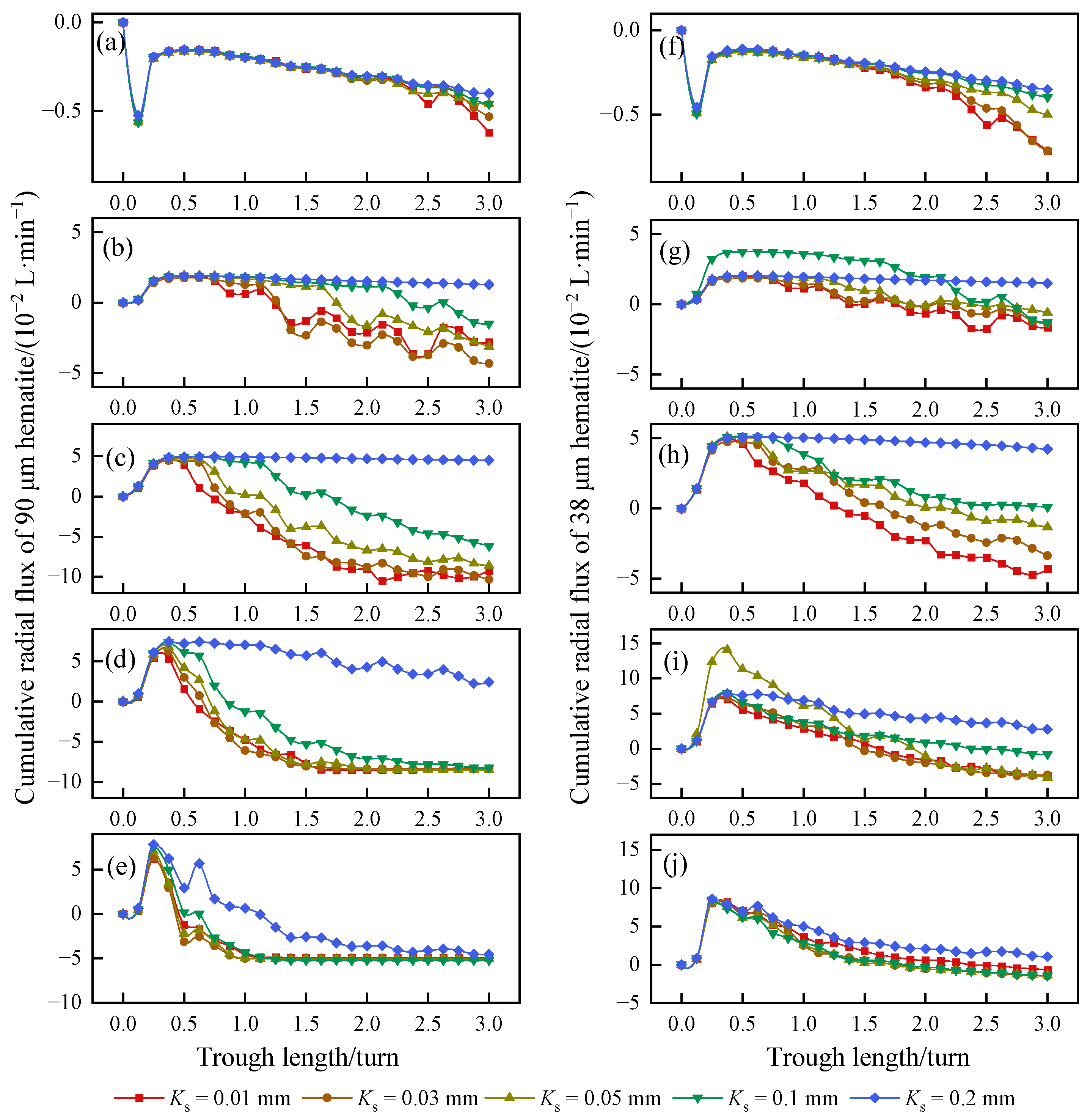
3.1.4. Distribution and Evolution of Radial Fluxes of Secondary Flow
3.2. Influence of Wall Roughness in the Middle Zone on Particle Migration Motions and Separation Indexes
3.2.1. Variation in the Radial Migration Behaviour of Hematite and Quartz Particles
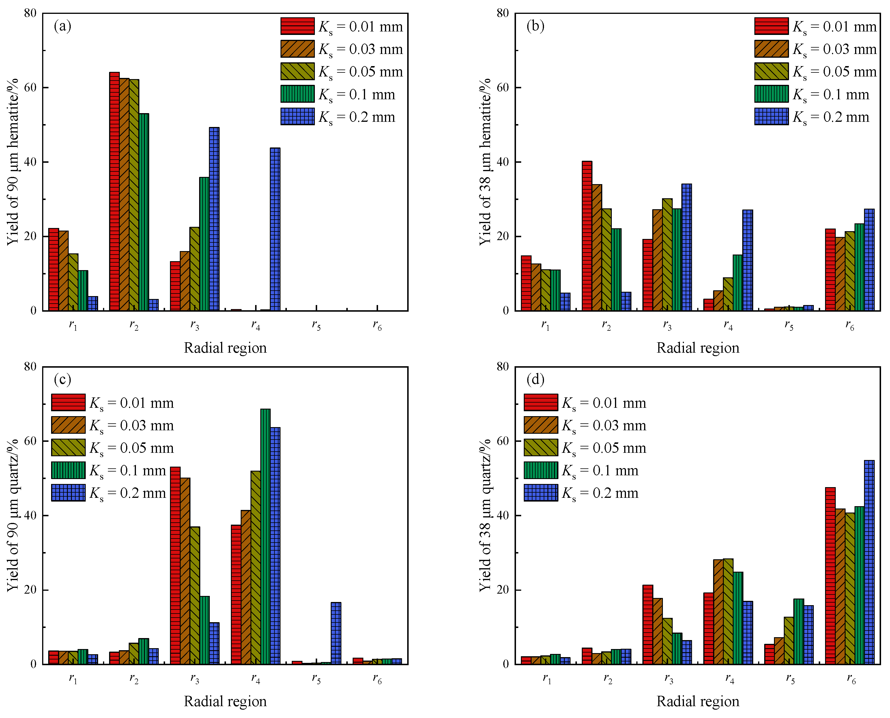
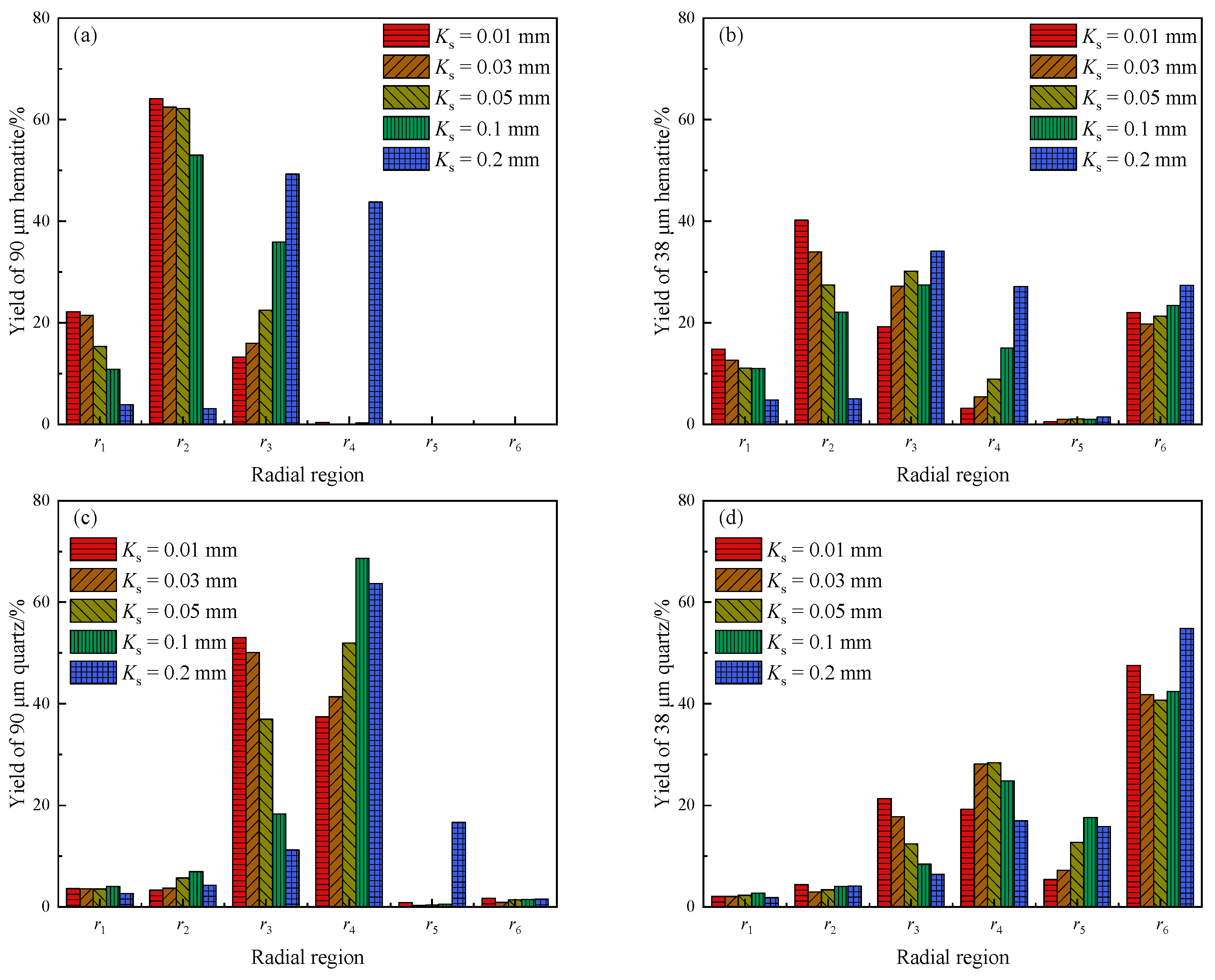
3.2.2. Spatial Distribution Characteristics of Hematite and Quartz Particles
3.2.3. Variation of Separation Indexes of Hematite and Quartz Particles
3.2.4. Comparison of Separation Efficiency of Hematite and Quartz Particles with Different Sizes
4. Conclusions
- The slurry fluid needs to develop a certain stroke of evolution to form a continuous secondary flow distribution in the spiral concentrator. Increasing the value of wall roughness Ks in the middle zone within the range of 0.01~0.1 mm, the depth of the slurry flow in the inner and the middle zone is slightly reduced. The separation fluid space is severely reduced when the Ks value is increased to 0.2 mm. The inward flow shows obvious discontinuity.
- The longitudinal evolution of velocities and radial fluxes of the secondary flow exhibits fluctuations and tends to equilibrium gradually. The velocities of inward and outward flow show a decreasing trend with an increase in the wall roughness of the middle zone. The radial flux of the fluid decreases more at the inner and middle zones of the trough, especially when Ks increases from 0.1 mm to 0.2 mm.
- The inward migration of hematite particles decreases and the outward migration of quartz particles increases as the degree of wall roughness of the middle zone increases, resulting in the outward shifting of particles’ enrichment zones. The distribution and variation patterns of the two minerals in the trough exhibit remarkable differences in density and particle size, which is consistent with the trend of the along-track radial flux of the particles.
- A number of concentrate products can be obtained by adjusting the splitter location in the numerical experiments. The separation index decreases slightly as the wall roughness Ks value in the middle zone increases from 0.01 to 0.1 mm, but the iron grade of concentrate decreases obviously as the Ks value increases to 0.2 mm.
- The separation effect of hematite and quartz particles in the spiral concentrator is influenced by the comprehensive interaction of feed size and wall roughness in the middle zone. The initial value of wall roughness in the middle zone of the spiral trough should be differentiated to recover hematite particles of different sizes. It is also necessary to reduce wear in production to prevent wall roughness from increasing to a harmful range.
Author Contributions
Funding
Data Availability Statement
Acknowledgments
Conflicts of Interest
References
- Jain, P.K.; Rayasam, V. An analytical approach to explain the generation of secondary circulation in spiral concentrators. Powder Technol. 2017, 308, 165–177. [Google Scholar] [CrossRef]
- Jain, P.K. A novel concept of composite coefficient of friction for slurry systems and development of flow equations for spiral concentrators. Powder Technol. 2021, 386, 411–419. [Google Scholar] [CrossRef]
- Ye, G.; Huo, Y.; Li, C.; Deng, C.; Yu, Y.; Huang, G.; Ma, L. A comparative study of trough profile and operating parameters performance in spiral concentrator. Int. J. Coal Prep. Util. 2021, 41, 678–691. [Google Scholar] [CrossRef]
- Holland-Batt, A.B. Some design considerations for spiral separators. Miner. Eng. 1995, 8, 1381–1395. [Google Scholar] [CrossRef]
- Atasoy, Y.; Spottiswood, D.J. A study of particle separation in a spiral concentrator. Miner. Eng. 1995, 8, 1197–1208. [Google Scholar] [CrossRef]
- Matthews, B.W.; Fletcher, C.A.J.; Partridge, A.C.; Vasquez, S. Computations of curved free surface water flow on spiral concentrators. J. Hydraul. Eng. 1999, 125, 1126–1139. [Google Scholar] [CrossRef]
- Dixit, P.; Tiwari, R.; Mukherjee, A.K.; Banerjee, P.K. Application of response surface methodology for modeling and optimization of spiral separator for processing of iron ore slime. Powder Technol. 2015, 275, 105–112. [Google Scholar] [CrossRef]
- Gao, S.; Meng, L.; Wei, D.; Song, Z.; Yuan, J. Research advance of flow characteristics in spirals and its separation performance. Conserv. Util. Miner. Resour. 2020, 40, 166–171. (In Chinese) [Google Scholar] [CrossRef]
- Romeijn, T.; Behrens, M.; Paul, G.; Wei, D. Experimental analysis of water and slurry flows in gravity-driven helical mineral separators. Powder Technol. 2022, 405, 117538. [Google Scholar] [CrossRef]
- Luo, K.; Dai, Q.; Liu, X.; Fan, J. Effects of wall roughness on particle dynamics in a spatially developing turbulent boundary layer. Int. J. Multiph. Flow 2019, 111, 140–157. [Google Scholar] [CrossRef]
- Keirsbulck, L.; Labraga, L.; Mazouz, A.; Tournier, C. Surface roughness effects on turbulent boundary layer structures. J. Fluids Eng. 2002, 124, 127–135. [Google Scholar] [CrossRef]
- Sun, Z.; Li, X.; Zhao, S.; Zhong, T.; Wang, L.; Yan, X.; Zhang, H. Enhanced selective recovery of fine minerals in flotation by the oscillatory turbulence. J. Environ. Chem. Eng. 2025, 13, 115164. [Google Scholar] [CrossRef]
- Li, X.; Sun, Z.; Wang, H.; Wang, L.; Yan, X.; Zhang, H.; Ran, J.; Liu, J. Particle motion under turbulent eddies: Inspiration for fine minerals flotation. Chem. Eng. Sci. 2025, 301, 120754. [Google Scholar] [CrossRef]
- Wang, H.; Chen, R.; Li, D.; Zhang, B.; Yan, X.; Ran, J.; Zhang, H. Probing the adaptability relationship between flow characteristics and mineral particles with different size and surface hydrophobicity. Powder Technol. 2025, 452, 120588. [Google Scholar] [CrossRef]
- Zhou, R.; Li, X.; Li, D.; Wang, H.; Song, Z.; Yan, X.; Zhang, H. The effect of energy input on bubble-particle collision, attachment, detachment, and collection efficiencies in a mechanical flotation cell. Powder Technol. 2025, 453, 120659. [Google Scholar] [CrossRef]
- Davies, P.O.J.; Goodman, R.H.; Deschamps, J.A. Recent developments in spiral design, construction and application. Miner. Eng. 1991, 4, 437–456. [Google Scholar] [CrossRef]
- Jiménez, J. Turbulent flows over rough walls. Annu. Rev. Fluid Mech. 2004, 36, 173–196. [Google Scholar] [CrossRef]
- Orlandi, P.; Leonardi, S. DNS of turbulent channel flows with two- and three-dimensional roughness. J. Turbul. 2006, 7, N73. [Google Scholar] [CrossRef]
- Bons, J.P.; McClain, S.T.; Wang, Z.J.; Chi, X.; Shih, T.I. A comparison of approximate versus exact geometrical representations of roughness for cfd calculations of cf and St. J. Turbomach. 2008, 130, 021024. [Google Scholar] [CrossRef]
- Prakash, A.; Laurendeau, E. Consistent surface roughness extension for wall functions. Int. J. Heat Fluid Flow 2020, 82, 108552. [Google Scholar] [CrossRef]
- Arnold, D.J.; Stokes, Y.M.; Green, J.E.F. Thin-film flow in helically wound shallow channels of arbitrary cross-sectional shape. Phys. Fluids 2017, 29, 013102. [Google Scholar] [CrossRef]
- Romeijn, T.; Fletcher, D.F.; de Andrade, A. Evaluation of numerical approaches for the simulation of water-flow in gravity-driven helical mineral separators. Sep. Sci. Technol. 2023, 58, 2519–2538. [Google Scholar] [CrossRef]
- Zhou, F.; Sun, G.; Zhang, Y.; Ci, H.; Wei, Q. Experimental and CFD study on the effects of surface roughness on cyclone performance. Sep. Purif. Technol. 2018, 193, 175–183. [Google Scholar] [CrossRef]
- Gao, S.; Zhou, X.; Wang, Q.; Liu, W. Evolution characteristic of slurry flow field parameters and particles separation behavior in spirals with rough wall. Conserv. Util. Miner. Resour. 2023, 43, 127–136. (In Chinese) [Google Scholar] [CrossRef]
- Zhao, Q.; Cui, B.; Hou, D.; Wei, D.; Song, T.; Feng, Y. Effects of wall roughness on the separation performance of hydrocyclones under different inlet conditions. Ind. Eng. Chem. Res. 2021, 60, 11251–11266. [Google Scholar] [CrossRef]
- Gao, S.; Meng, L.; Zhou, X.; Shen, Y.; Cui, B.; Song, Z. Design of partial cross-sectional geometry and prediction of separation performance in the spiral separator. Sep. Sci. Technol. 2022, 57, 2127–2144. [Google Scholar] [CrossRef]
- Gao, S.; Zhou, X.; Meng, L.; Zhao, Q.; Liu, W. Variation of flow hydrodynamic parameters and prediction of particle separation indices in the spiral concentrator with the regulation of pitch-diameter ratio. Separations 2023, 10, 410. [Google Scholar] [CrossRef]
- Gao, S.; Wang, Q.; Zhou, X.; Liu, C.; Shen, Y.; Cui, B. Effect of the cross-sectional geometry of the mixed particle zone on the spiral separation process and its structural optimization. Minerals 2024, 14, 1251. [Google Scholar] [CrossRef]
- Meng, L.; Gao, S.; Wei, D.; Cui, B.; Shen, Y.; Song, Z.; Yuan, J. Effects of cross-sectional geometry on flow characteristics in spiral separators. Sep. Sci. Technol. 2021, 56, 2967–2977. [Google Scholar] [CrossRef]
- Xiang, M.; Cheung, S.C.P.; Tu, J.Y.; Zhang, W.H. A multi-fluid modelling approach for the air entrainment and internal bubbly flow region in hydraulic jumps. Ocean Eng. 2014, 91, 51–63. [Google Scholar] [CrossRef]
- Parsi, M.; Agrawal, M.; Srinivasan, V.; Vieira, R.E.; Torres, C.F.; McLaury, B.S.; Shirazi, S.A.; Schleicher, E.; Hampel, U. Assessment of a hybrid CFD model for simulation of complex vertical upward gas–liquid churn flow. Chem. Eng. Res. Des. 2016, 105, 71–84. [Google Scholar] [CrossRef]
- Zahedi, P.; Zhang, J.; Arabnejad, H.; McLaury, B.S.; Shirazi, S.A. CFD simulation of multiphase flows and erosion predictions under annular flow and low liquid loading conditions. Wear 2017, 376–377, 1260–1270. [Google Scholar] [CrossRef]
- Akhlaghi, M.; Mohammadi, V.; Nouri, N.M.; Taherkhani, M.; Karimi, M. Multi-Fluid VOF model assessment to simulate the horizontal air–water intermittent flow. Chem. Eng. Res. Des. 2019, 152, 48–59. [Google Scholar] [CrossRef]
- Denèfle, R.; Mimouni, S.; Caltagirone, J.-P.; Vincent, S. Multifield hybrid approach for two-phase flow modeling—Part 1: Adiabatic flows. Comput. Fluids 2015, 113, 106–111. [Google Scholar] [CrossRef]
- Chen, G.; Wang, Q.; He, S. Assessment of an Eulerian multi-fluid VOF model for simulation of multiphase flow in an industrial Ruhrstahl–Heraeus degasser. Metall. Res. Technol. 2019, 116, 617. [Google Scholar] [CrossRef]
- Shonibare, O.Y.; Wardle, K.E. Numerical investigation of vertical plunging jet using a hybrid multifluid–VOF multiphase CFD Solver. Int. J. Chem. Eng. 2015, 2015, 1–14. [Google Scholar] [CrossRef]
- Cerne, G.; Petelin, S.; Tiselj, I. Coupling of the interface tracking and the two-fluid models for the simulation of incompressible two-phase flow. J. Comput. Phys. 2001, 171, 776–804. [Google Scholar] [CrossRef]
- Meng, L.; Gao, S.; Wei, D.; Zhao, Q.; Cui, B.; Shen, Y.; Song, Z. Particulate flow modelling in a spiral separator by using the Eulerian multi-fluid VOF approach. Int. J. Min. Sci. Technol. 2023, 33, 251–263. [Google Scholar] [CrossRef]
- Hou, D.; Zhao, Q.; Cui, B.; Wei, D.; Song, Z.; Feng, Y. The effects of solid shear stress and wall roughness on the simulation of cylindrical hydrocyclone classification. Powder Technol. 2021, 393, 184–204. [Google Scholar] [CrossRef]
- Gidaspow, D. Multiphase Flow and Fluidization: Continuum and Kinetic Theory Descriptions; Harcourt Brace & Company Academic Press: San Diego, CA, USA, 1994; ISBN 978-0-12-282470-9. [Google Scholar]
- Hou, D.; Cui, B.; Zhao, Q.; Wei, D.; Song, Z.; Feng, Y. Research on the structure of the cylindrical hydrocyclone spigot to mitigate the misplacement of particles. Powder Technol. 2021, 387, 61–71. [Google Scholar] [CrossRef]
- Huo, J.; Wang, Z.; Luan, X.; Jing, M.; Hou, S.; Jiang, J.; Zhang, B. The CFD modeling of bund overtopping phenomena and prediction of dynamic pressure on the bund. J. Loss Prev. Process. Ind. 2022, 74, 104653. [Google Scholar] [CrossRef]
- Pattanapol, W.; Wakes, S.J.; Hilton, M.J.; Dickinson, K.J.M. Modeling of surface roughness for flow over a complex vegetated surface. In Proceedings of the World Academy of Science, Engineering and Technology, Canakkale, Türkiye, 14–16 December 2007; Volume 26, pp. 273–281. [Google Scholar]
- Cebeci, T.; Bradshaw, P. Momentum Transfer in Boundary Layers; Hemisphere Publishing Corporation: Washington, DC, USA, 1977; ISBN 978-0-07-010300-3. [Google Scholar]
- Schlichting, H.; Gersten, K. Boundary-Layer Theory, 9th ed.; Springer: Berlin, Germany, 2017; ISBN 978-3-662-52919-5. [Google Scholar]
- Adams, T.; Grant, C.; Watson, H. A simple algorithm to relate measured surface roughness to equivalent sand-grain roughness. Int. J. Mech. Eng. Mechatron. 2012, 1, 66–71. [Google Scholar] [CrossRef]
- Gao, S.; Meng, L.; Wei, D.; Zhao, Q.; Cui, B.; Zhou, X. A Method for Predicting and Optimising Mineral Particle Separation Indexes in Spiral Concentrator Flow Film. CN Patent CN115270587A, 9 July 2023. [Google Scholar]
- Mishra, B.K.; Tripathy, A. A preliminary study of particle separation in spiral concentrators using DEM. Int. J. Miner. Process. 2010, 94, 192–195. [Google Scholar] [CrossRef]
- Lee, S.; Stokes, Y.; Bertozzi, A.L. Behavior of a particle-laden flow in a spiral channel. Phys. Fluids 2014, 26, 043302. [Google Scholar] [CrossRef]














| Structural Parameters | Value | 
|---|---|
| Outer radius R/mm | 200 | 
| Inner radius r0/mm | 50 | 
| Pitch of spiral/mm | 240 | 
| Downward sloping angle γ/° | 12.81 | 
| Turns | 3.25 | 
| Wall Roughness (Ks) /mm | Surface Roughness (Ra) /μm | Maximum Iron Grade /% | Splitter Location /mm | Concentrate Yield /% | Recovery of Iron /% | 
|---|---|---|---|---|---|
| 0.01 | 1.36 | 66.83 | 95 | 41.86 | 61.43 | 
| 0.03 | 4.61 | 66.74 | 100 | 45.30 | 65.87 | 
| 0.05 | 7.68 | 65.55 | 100 | 40.73 | 58.42 | 
| 0.1 | 15.36 | 63.86 | 105 | 37.95 | 52.97 | 
| Disclaimer/Publisher’s Note: The statements, opinions and data contained in all publications are solely those of the individual author(s) and contributor(s) and not of MDPI and/or the editor(s). MDPI and/or the editor(s) disclaim responsibility for any injury to people or property resulting from any ideas, methods, instructions or products referred to in the content. | 
© 2025 by the authors. Licensee MDPI, Basel, Switzerland. This article is an open access article distributed under the terms and conditions of the Creative Commons Attribution (CC BY) license (https://creativecommons.org/licenses/by/4.0/).
Share and Cite
Gao, S.; Zhou, X.; Li, B.; Wang, Q.; Liu, C. Effect of Wall Roughness in the Middle Zone of Spiral Concentrator on the Flow Field Evolution of Hematite–Quartz Slurry and Particle Separation Behaviour. Minerals 2025, 15, 208. https://doi.org/10.3390/min15030208
Gao S, Zhou X, Li B, Wang Q, Liu C. Effect of Wall Roughness in the Middle Zone of Spiral Concentrator on the Flow Field Evolution of Hematite–Quartz Slurry and Particle Separation Behaviour. Minerals. 2025; 15(3):208. https://doi.org/10.3390/min15030208
Chicago/Turabian StyleGao, Shuling, Xiaohong Zhou, Bochao Li, Qian Wang, and Chunyu Liu. 2025. "Effect of Wall Roughness in the Middle Zone of Spiral Concentrator on the Flow Field Evolution of Hematite–Quartz Slurry and Particle Separation Behaviour" Minerals 15, no. 3: 208. https://doi.org/10.3390/min15030208
APA StyleGao, S., Zhou, X., Li, B., Wang, Q., & Liu, C. (2025). Effect of Wall Roughness in the Middle Zone of Spiral Concentrator on the Flow Field Evolution of Hematite–Quartz Slurry and Particle Separation Behaviour. Minerals, 15(3), 208. https://doi.org/10.3390/min15030208
 
        





 
                         
       