Abstract
Artisanal and small-scale gold mining (ASGM) poses significant environmental challenges globally, particularly due to mercury (Hg) use. As an example, in Ecuador, Hg use still persists, despite its official ban in 2015. This study investigated the geogenic and anthropogenic contributions of potentially toxic elements (PTEs) in the Ponce Enriquez Mining District (PEMD), a region characterized by hydrothermally altered basaltic bedrock and Au-mineralized quartz veins. To assess local baseline values and identify PTE-bearing minerals, a comprehensive geochemical, mineralogical, and petrographic analysis was conducted on bedrock and mineralized veins. These findings reveal distinct origins for the studied PTEs, which include Hg, As, Cu, Ni, Cr, Co, Sb, Zn, and V. Specifically, Hg concentrations in stream sediments downstream (up to 50 ppm) far exceed natural bedrock levels (0.03–0.707 ppm), unequivocally indicating significant anthropogenic input from gold amalgamation. Furthermore, copper shows elevated concentration primarily linked to gold extraction. Conversely, other elements like As, Ni, Cr, Co, Sb, Zn, and V are primarily exhibited to be naturally abundant in basalts due to the presence of primary mafic minerals and to hydrothermal alterations, with elevated concentrations particularly seen in sulfides like pyrite and arsenopyrite. To distinguish natural geochemical anomalies from mining-related contamination, especially in volcanic terrains, this study utilizes Upper Continental Crust (UCC) normalization and local bedrock baselines. This multi-faceted approach effectively helped to differentiate basalt subgroups and assess natural concentrations, thereby avoiding misinterpretations of naturally elevated element concentrations as mining-related pollution. Crucially, this work establishes a robust local geochemical baseline for the PEMD area, providing a critical framework for accurate environmental risk assessments and sustainable mineral resource management, and informing national environmental quality standards and remediation efforts in Ecuador. It underscores the necessity of evaluating local geology, including inherent mineralization, when defining environmental baselines and understanding the fate of PTEs in mining-impacted environments.
1. Introduction
Artisanal and small-scale gold mining (ASGM) poses significant environmental and health challenges in many regions of the world, particularly where mercury (Hg) is still used for gold extraction, despite international and national restrictions. The main issues include contamination of water, soil, and biota with potentially toxic elements (PTEs), such as Hg, As, and Pb, which are mobilized during ore processing [1,2]. Recent studies (e.g., [3,4]) emphasize the persistent impact of ASGM despite regulatory efforts.
In Ecuador, gold mining has a long historical tradition dating back to pre-Columbian times [5]. Today, the sector includes both legal and informal operations, especially in the provinces of Zamora-Chinchipe, Azuay, and El Oro. A large portion of ASGM remains unauthorized or illegal to extract, often driven by poverty and lack of economic alternatives [6,7]. Ecuador has aligned with the Minamata Convention on Mercury since 2013, with the country officially banning elemental mercury in all mining activities, including artisanal and small-scale gold mining (ASGM), ratified in July 2015. Although mercury use has been officially banned, its application remains widespread, raising serious concerns for environmental quality and human health [8,9,10]. Since mining represents a significant source of income for many communities, mitigating its impacts on water and soil quality, biodiversity, and public health is a key priority [7].
Several studies have reported high concentrations of PTEs (such as As, Cu, Cd, Zn, Hg, Cr, Ni, Sb, and Pb) in soils, sediments, and waters near ASGM zones in Ecuador and elsewhere, often exceeding national and international quality standards [8,11,12,13,14]. These enrichments are typically due to the combined effects of natural geochemical anomalies (i.e., mineralized bedrock) and anthropogenic activities, particularly gold extraction and processing. The determination of geochemical baseline values in areas characterized by the presence of natural geochemical anomalies (i.e., mineralized rocks) and anthropogenic impact (i.e., artisanal and small-scale mining) is essential for accurate environmental assessment. In such contexts, defining a local baseline that comprehensively accounts for these natural geological enrichments, including inherent mineralization, is crucial. Therefore, identification of local baseline values is needed to differentiate between geogenic and anthropogenic sources.
Distinguishing between geogenic and anthropogenic sources of PTEs is essential for accurate environmental assessment and for designing effective mitigation strategies. Although global average values (e.g., average shale or upper continental crust) are often used as reference geochemical backgrounds ([15] and reference therein), these may not reflect local lithological variability, especially in mineralized or volcanic regions. Geochemical baselines must therefore be locally defined, taking into account lithology, mineralogy, and post-depositional processes such as hydrothermal alteration, or weathering. This challenge underscores the necessity for site-specific geochemical baselines, a point increasingly highlighted in the recent environmental geochemistry literature (e.g., [16,17,18,19]).
In areas affected by hydrothermal mineralization, background levels of metals in rocks and soils can be naturally elevated. When mining and ore processing occur, metal mobilization increases significantly, leading to higher concentrations in downstream environments. While anthropogenic activities are generally the dominant source of PTE contamination, understanding the contribution of natural sources is critical to assessing risk levels accurately.
Although several studies have investigated the geogenic abundance of PTEs in ultramafic rocks (e.g., [20,21,22]), black shale (e.g., [23]), and limestone (e.g., [24]), few have addressed PTE mobilization from basalts, especially in hydrothermally altered and mineralized contexts, where naturally high metal contents may occur [25,26,27,28,29,30]. Building upon the acknowledged necessity for site-specific geochemical baselines in such complex environments, this study represents one of the first comprehensive efforts in Ecuador to define and apply such a robust baseline in a geologically intricate, hydrothermally altered basaltic terrain directly impacted by ASGM. This research specifically addresses the critical gap in understanding PTE contamination in this unique setting, providing novel insights into both geogenic and anthropogenic sources, which are often challenging to decouple. This work, therefore, offers a significant and much-needed contribution to environmental baseline definition and pollution assessment in complex mineralized terrains.
This research focuses on a basalt-hosted gold mining district in southern Ecuador, where gold-bearing quartz veins cut through hydrothermally altered basaltic bedrock. The concentrations of Zn, Ni, Cu, As, Co, V, Cr, Sb, and Hg in fresh and mineralized rock samples were analyzed with the following objectives: (i) defining local background concentrations that accurately encompass the natural geological variability, including the inherent abundance from widespread mineralization, to effectively decouple geogenic and anthropogenic sources; (ii) identifying PTE-bearing minerals through mineralogical and mineral chemistry analyses; and (iii) providing baseline data for environmental risk assessments and sustainable land use planning in mining-affected areas.
2. Study Area
The Ponce Enriquez Mining District (PEMD), located in southern Ecuador on the western flank of the Western Cordillera, spans three hydrographic basins: Río Siete, Fermin, and Guanache (Figure 1). The PEMD is among the most significant gold mining areas in Ecuador, with mining activities dating back to the 1980s [13]. The development of mining in this area followed the El Niño event of 1982–1983, which devastated agricultural fields and led local inhabitants to discover gold in creeks and river sediments. This discovery triggered artisanal mining, which later evolved into small-scale mining centered around the Bella Rica area. Initial mining efforts focused on the Guanache River and Quebrada La Florida until the discovery of mineralized veins in Bella Rica, where the current mining district was established as a formal small-scale mining industry.
Figure 1.
(A) Location map of the PEMD, Ecuador; (B) geological map of the study area (modified after Fulignati et al., [31]), illustrating key features including gold mines, ore processing plants, sampling sites for rock specimens, and locations of previously collected stream sediment samples.
Mining operations in the PEMD are predominantly coordinated and regulated by the Bella Rica Mining Cooperative, founded in 1983. The cooperative manages around 28 active mining operators engaged in the exploration and extraction of minerals from local veins [32]. Although cyanidation techniques for gold extraction have increased in recent decades, mercury amalgamation remains the dominant method [33,34]. Due to the limited availability of cyanidation facilities within the PEMD, miners often stockpile amalgamated tailings at processing centers such as Chanchas and Chilean Mills for future cyanide treatment.
The geological framework of the study area comprises outcrops of the Pallatanga, Yunguilla, and Las Trancas Formations, which are part of the Western Cordillera [35]. Cenozoic calc-alkaline magmatism and sedimentation, derived from pre-Cretaceous terranes (Loja, Alao, Chaucha, and Pallatanga), dominate the region and shape the lithology observed today [36]. The bedrock primarily consists of tholeiitic basalt, with subordinate occurrences of andesitic basalts and calc-alkaline andesites [37]. Gold mineralization in the PEMD occurs in an epithermal setting, with characteristic sulfide minerals such as pyrite, arsenopyrite, chalcopyrite, pyrrhotite, and sphalerite hosted within quartz and calcite veins [31]. Despite the economic and strategic importance of the PEMD for Ecuadorian small-scale mining, recent high-resolution studies on the environmental geochemistry of the area remain limited. This research contributes to filling this gap by providing new data on trace element abundance in bedrock and mineralized zones.
3. Material and Methods
A total of fourteen bedrock samples were collected in the field, selected to represent varying rock textures and degrees of mineralization (Figure 1). These included Andesites (samples PE02, PE07), Basalts (samples PE01, PE03, PE06, PE10, PE13, PE15, PE16, PE17, PE18, PE19, PE23), and a Qz-vein sample (PE24). For a broader environmental assessment, stream sediment geochemical data (212 samples in total) were integrated from previous studies by Appleton et al. [12] and Pesantes et al. [38]. Given the inherent differences in analytical methodologies and sampling protocols across these historical datasets, direct quantitative harmonization with primary bedrock data was not performed. Instead, these external data were utilized to provide a broader qualitative context for regional environmental assessment, with potential biases related to varying detection limits and data quality explicitly acknowledged during their interpretation.
3.1. Bulk Geochemical Analyses
Total mercury concentrations were determined using a Direct Mercury Analyzer (DMA-80, Milestone Srl, Sorisole, BG, Italy), following US EPA Method 7473. Certified reference materials included NIST 2711a, ERM-CC018 (sandy soil), and MESS-3 (marine sediment). The analytical precision was ±5% (RSD), and accuracy was within 10%.
Data for other elements in whole-rock samples were collected in this work for samples PE02, PE17, PE23, and PE24, and, for the rest of samples, the data were obtained from Fulignati et al. [31]. Trace element concentrations (i.e., PTEs: V, Cr, Co, Ni, Cu, Zn, As, Sb, and Pb; and REE) in bulk rock samples were determined by ICP-MS (Perkin-Elmer NexION 300X, Perkin Elmer Inc., Waltham, MA, USA) following HNO3–HF acid digestion, at the Department of Earth Sciences, University of Pisa. Analytical uncertainty was evaluated by repeated analysis of reference material ERM-CC018. The RSD was below 5%, except for As (6%) and Co (8%).
3.2. Petrography and Mineral Chemistry
Petrographic observations were performed under transmitted and reflected light microscopy to identify PTE-bearing minerals in bedrocks and quartz veins.
Field-emission scanning electron microscopy with energy-dispersive spectroscopy (FE-SEM–EDS) analyses were conducted using a ThermoFisher (Waltham, MA, USA) FEI Quanta FEG 450 at the Centre for Instrument Sharing, University of Pisa (CISUP, Pisa, Italy).
Electron probe microanalyses (EPMA) of minerals such as chlorite, epidote, feldspar, and amphibole were performed on polished, carbon-coated thin sections using JEOL (Tokyo, Japan) JXA-8200 SuperProbe at the Earth Sciences Department “Ardito Desio,” University of Milan. Analyses were carried out at a 15 kV accelerating voltage and a 5 nA beam current. The instrument was equipped with five wavelength-dispersive spectrometers (WDSs) and one EDS detector. Internal calibration was performed using natural and synthetic standards, including grossular (Si, Ca, Al), omphacite (Na), forsterite (Mg), fayalite (Fe), ilmenite (Ti), orthoclase (K), rhodonite (Mn), and pure Cr metal (Cr). Raw data were ZAF-corrected using a φ(ρz) correction program, and element concentrations were converted into oxide contents assuming ideal stoichiometry. Total iron (FeOt) is expressed as FeO.
3.3. In Situ Trace Element Analysis (LA-ICP-MS)
In situ trace element analyses of chlorite and epidote (previously characterized by EPMA) were performed by laser ablation inductively coupled with plasma mass spectrometry (LA-ICP-MS) using Perkin-Elmer (Waltham, MA, USA) NexION 2000 ICP-MS coupled to a New Wave Research (Fremont, CA, USA) 193 nm ArF excimer laser, at CISUP, Pisa.
For chlorite and epidote, analyses were performed at a 10 Hz repetition rate, with spot sizes of 35–40 µm and an energy density of 4.6 J/cm2. NIST SRM 612 glass was used for external calibration, while CaO and SiO2 were used as internal standards for epidote and chlorite, respectively. Analytical accuracy was verified using NIST SRM 610 as a secondary reference.
LA-ICP-MS analyses of sulfide minerals were conducted using a 50 µm spot size, 10 Hz repetition rate, and 4 J/cm2 energy density. STD-GL-3 was used as internal standard, and FES-5 served as a secondary reference material. Data were reduced using the IOLITE (version 4) software package [39].
4. Results
4.1. Petrography and Mineralogy
Petrographic analysis shows that the rocks of the Pallatanga and Yunguilla Formations are basaltic lavas exhibiting either porphyritic or aphanitic textures. Figure 2 provides macroscopic views of representative samples, highlighting their diverse textures and varying degrees of alteration and mineralogical composition. Phenocrysts primarily consist of plagioclase and olivine, often forming spherulitic textures, occasionally axiolitic, with characteristic radial and fibrous structures. In some samples, an aphanitic texture prevails, with allotriomorphic epidote and quartz, occasionally showing partially chloritized axiolitic-spherulitic structures.
Figure 2.
Representative rock samples collected from the PEMD. The samples displayed include fresh bedrock (Basalt I-blue, Basalt II-green, and Andesite-orange) as well as mineralized quartz veins (Qz-veins-black).
Sample PE07 is hornblende–plagioclase porphyritic with a medium-grained groundmass, suggesting subvolcanic emplacement. The crystals are subhedral to euhedral, with sizes up to 1.5 mm.
Mineralogical composition includes up to 30% amphibole, 20% plagioclase, and 10% feldspar. Some samples exhibit a higher degree of chloritization, and plagioclase is partially obliterated by pervasive alteration.
Using the classification diagrams by Hastie et al. [40] for altered volcanic rocks, most samples are subalkaline basalts of the tholeiitic series, with two samples classified as a calc-alkaline andesite. Primitive mantle-normalized trace element patterns reveal MORB-like features in the basalts. In contrast, the andesite samples show higher Th/Ta, Ba/Nb, and La/Nb ratios, typical of calc-alkaline magmas. Rare Earth Element (REE) concentrations were utilized for petrogenetic affinity, and their patterns further support this distinction, with the andesite displaying higher La/Sm and La/Yb ratios, consistent with similar observations from the PEMD in previous studies [31].
Based on REE and trace element contents, the basalts can be subdivided into two groups. Basalt I (samples PE01, PE06, PE010, PE013, PE15, PE16) is slightly depleted in REEs compared to Basalt II (samples PE03, PE17, PE18, PE19, PE23). Basalt I is enriched in Cr and Sb, whereas Basalt II is enriched in V, Cu, Hg, and Co. Geographically, Basalt I occurs in the southwestern part of the study area, and Basalt II in the northeastern part; the two sectors are separated by NW–SE- and E–W-trending fault systems.
Quartz veins (sample PE24) showing Au mineralization reach several centimeters in thickness. The quartz is extensively fractured and filled by calcite that frequently contains galena. Arsenopyrite is the dominant sulfide mineral, accompanied by chalcopyrite, pyrite, galena, and sphalerite.
4.2. Mineral Chemistry of the PTE-Bearing Minerals
Twelve rock samples were examined under an optical microscope, revealing PTE-bearing minerals such as epidote, chlorite, titanite, and sulfides (e.g., sphalerite, galena, pyrite, and chalcopyrite). Representative backscattered electron images are shown in Figure 3.
Figure 3.
Backscattered electron images of PTE-bearing minerals in representative rock types from the PEMD: (A–C) Basalt I; (D–F) Basalt II; (G–I) Qz-veins. Images (A,B) are modified from Fulignati et al. [31] (Ep = epidote; Chl = chlorite; Ttn = titanite; Py = pyrite; Apy = arsenopyrite; Po = pyrrhotine; Ccp = chalcopyrite; Gn = galena; Sp = sphalerite).
Pyrite is the most abundant sulfide, occurring both in a disseminated manner within propylitic alteration zones and in a concentrated manner in veins. Arsenopyrite is also common, with lesser amounts of chalcopyrite, galena, and sphalerite. Locally, pyrrhotite and cobaltite are also present.
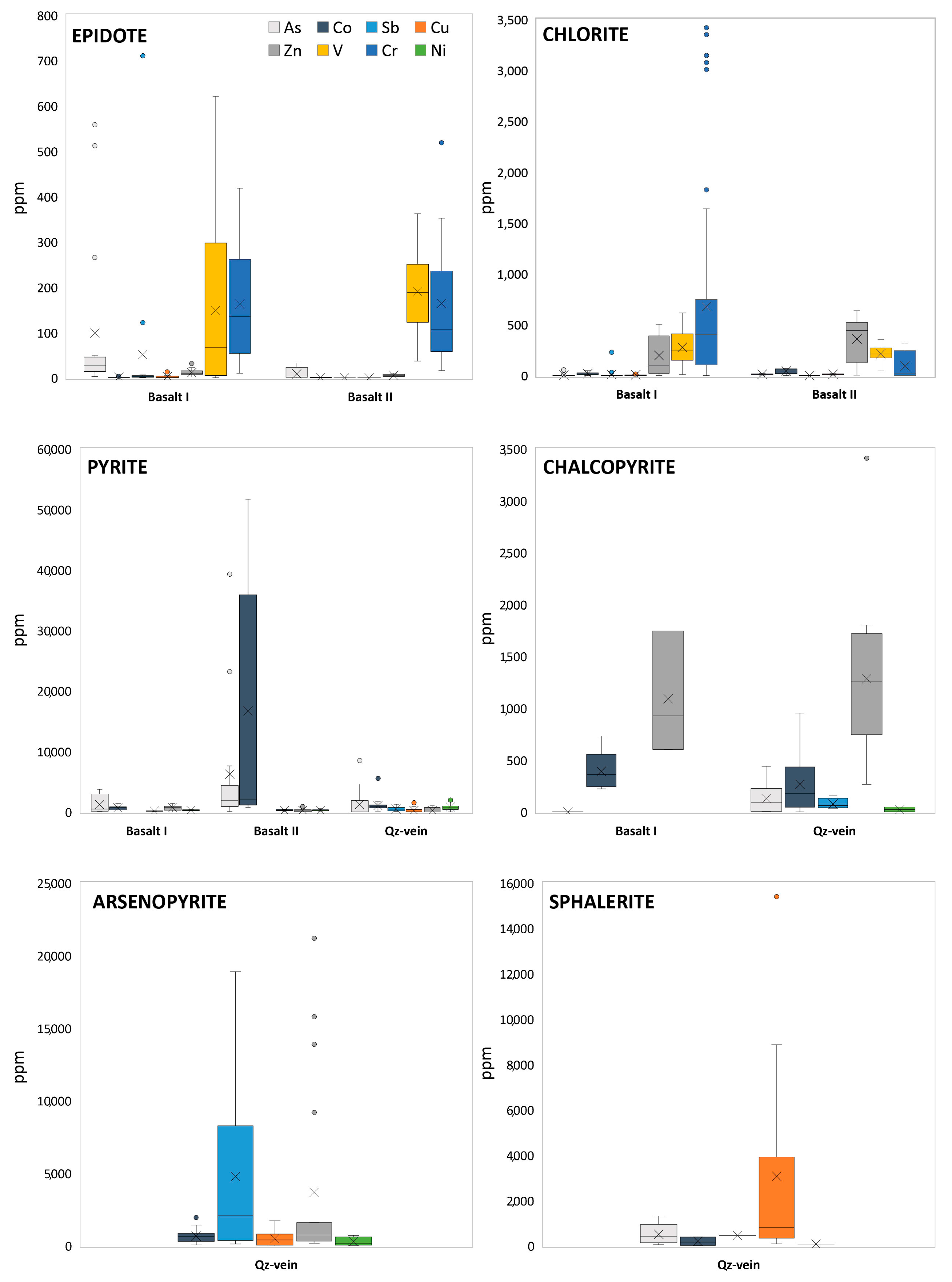
In Basalt II (Figure 4), pyrite shows the highest concentrations of As (up to 39,300 ppm) and Co (up to 49,800 ppm), while pyrite from quartz veins is enriched in Sb (up to 1299 ppm), Cu (up to 61 ppm), and Ni (up to 1714 ppm). Chalcopyrite exhibits similar Co (3–952 ppm) and Zn (276–1802 ppm) concentrations in both basalts and quartz veins but is enriched in Sb (up to 156 ppm) and Ni (up to 48 ppm) in the latter. Arsenopyrite contains high levels of Sb (up to 18,900 ppm) and Zn (up to 21,200 ppm), while sphalerite is notably rich in Cu (up to 15,400 ppm).
Figure 4.
Box-and-whisker plots of the concentration ranges of selected potentially toxic elements (PTEs) in sulfide minerals from the PEMD area. Cu in chalcopyrite, As in arsenopyrite, and Zn in sphalerite are not shown.
Chlorite in Basalt I shows higher Cr contents (14–3421 ppm) than in Basalt II (47–321 ppm) (Figure 4). Zn and Co show similar concentration intervals in chlorite from both Basalt types: Zn ranges from 1 to 506 ppm in chlorite in Basalt I and from 4 to 638 ppm in Basalt II; Co ranges from 2 to 48 ppm in chlorite in Basalt I and from 1 to 71 ppm in Basalt II. Both basalt types contain chlorite with elevated V concentrations, ranging from 11 to 616 ppm.
Epidote shows comparable PTE concentrations in both basalt groups (Figure 4), with V and Cr as the most abundant elements (1–621 ppm and 10–519 ppm, respectively). Arsenic is slightly enriched, ranging from 0.08 to 559 ppm.
4.3. Bulk Chemistry
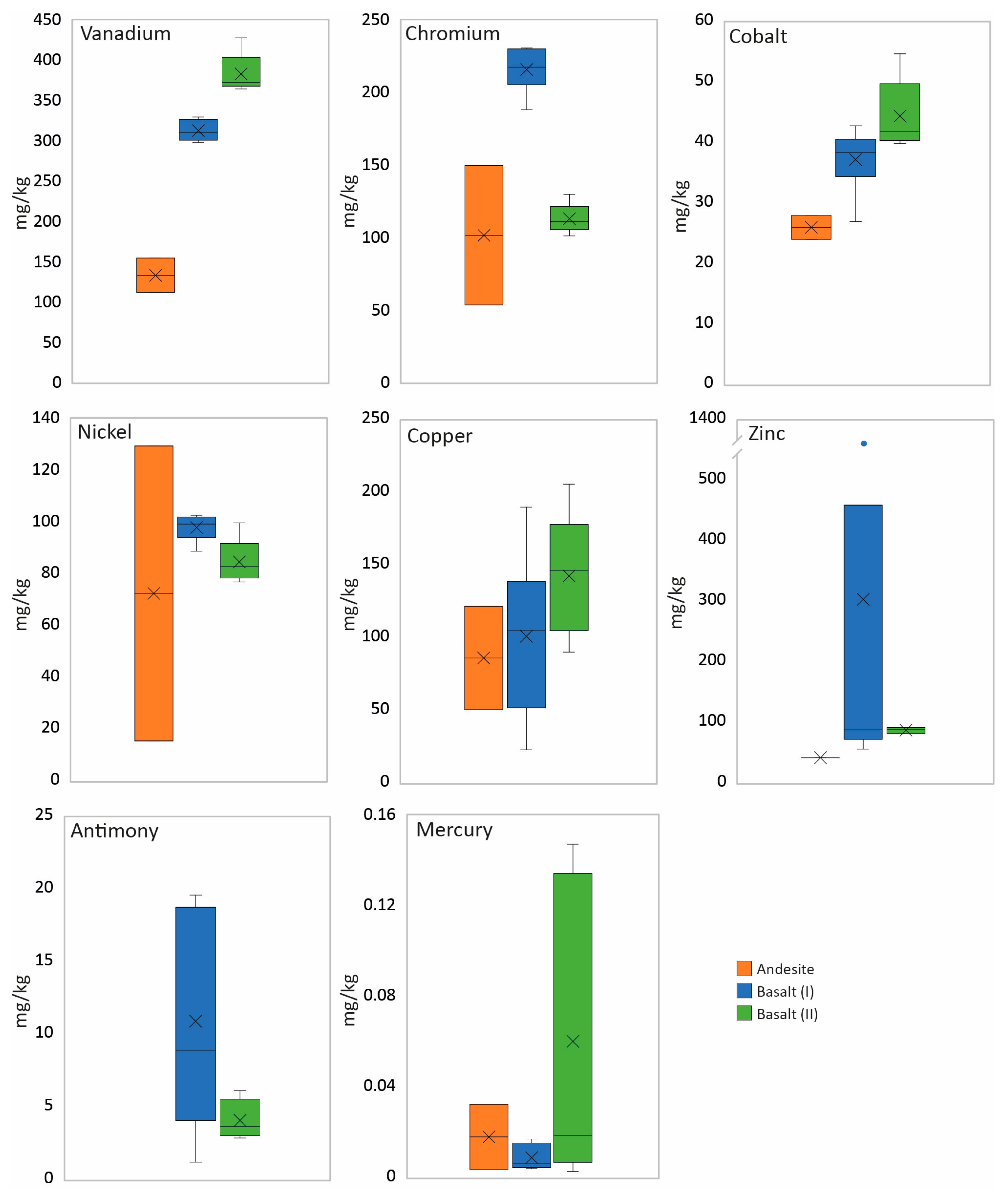
Vanadium, Co, and Cu in the bulk rock analyses exhibit similar patterns, with the highest levels found in Basalt II (up to 430, 130, and 207 ppm, respectively) and the lowest levels in andesitic rocks (up to 154, 28, and 122 ppm, respectively) (Table 1, Figure 5). Chromium, Zn, and Sb concentrations peak in Basalt I (up to 231, 1358, and 20 ppm, respectively) and are lowest in andesitic basalt. Nickel reaches its highest concentration in andesites (up to 130 ppm), while mercury peaks in Basalt II (up to 0.15 ppm). Correlation diagrams show a good correlation between Fe2O3t and V, Cu, Zn, Co, and Sb. In comparison to the primitive mantle composition [41], the three rock groups display a similar pattern. They are enriched in V, Cu, Zn, Hg, Sb, and As, while being depleted in Co, Cr, and Ni. Regarding the Upper Continental Crust (UCC) normalization [42], the samples are enriched in V, Co, Cu, Ni, Sb, and As, and are partially enriched in Cu and Cr, whereas they are depleted in Hg (Figure 6).
Table 1.
Bulk concentrations of PTEs in rock samples (mg/kg) (nd = not detected).
Figure 5.
Box-and-whisker plots showing the distribution of bulk rock concentrations (mg/kg) of selected PTEs: V, Cr, Co, Ni, Cu, Zn, Sb, and Hg. Boxes represent the interquartile range (IQR), the horizontal line within each box indicates the median, and whiskers extend to the minimum and maximum values within 1.5 × IQR. Outliers are shown as individual points.
Figure 6.
Normalized patterns of PTEs in basaltic and mineralized rock samples from the Ponce Enríquez Mining District: (A) primitive mantle (PM)-normalized concentrations [41]; (B) upper continental crust (UCC)-normalized concentrations [42].
5. Discussion
To determine the accumulation characteristic of PTEs in basalt bedrock, UCC (upper continent crust) and PM (primitive mantle) normalization for the concentration of PTEs in bedrock was conducted (Figure 6). Compared with the UCC and PM, bedrock showed significant concentrations of V, Co, Cu, Ni, Cr, As, and Sb. In andesitic bedrocks, Zn concentrations are depleted. On the contrary, strong depletion of Hg was observed in UCC, except for in two samples.
5.1. Chromium, Nickel, Vanadium, and Cobalt
Basalt contains significantly higher concentrations of PTEs such as Cr, Ni, V, and Co when compared to granite and sandstone, making it an important reservoir of these elements in terrestrial environments.
Petrographic observations from this study and previous work in the PEMD [31] confirm that the local basaltic lavas are rich in mafic minerals such as olivine, pyroxenes, and amphiboles, with the crystal lattices being known hosts for these transition metals. Under surface conditions, these PTEs are progressively released as these primary mafic silicate minerals undergo chemical weathering. The rate of release is influenced by mineral stability; for example, olivine and pyroxenes typically weather more rapidly than amphiboles, contributing to the initial flux of these elements into the soil and water systems [43,44]. However, a significant portion of these elements can also be retained by secondary minerals such as clay minerals and Fe-Mn (hydro)oxides, reducing their overall mobility in the environment. The concentrations of Cr, Ni, V, and Co observed in the studied bedrock samples (Table 1) are consistent with the ranges reported for unimpacted basaltic terrains globally [45,46,47]. This consistency, coupled with the lack of significant amounts in stream sediments compared to the local basaltic background [14], strongly suggests a predominant geogenic origin for these elements in the PEMD. These findings align with those of recent research on basalts as significant natural sources of these elements that investigates similar altered basaltic environments but also highlight the complex interplay of these geogenic origins with hydrothermal alterations in the enhanced concentrations of these metals [25,26,27,28,29]. Hence, these transition metals do not appear to be significantly influenced by anthropogenic mining activities in the district, primarily because they are not directly targeted, utilized in the gold extraction processes, or significantly mobilized by the common chemical reagents (e.g., mercury, cyanide) employed in ASGM activities.
5.2. Mercury
Natural mercury enrichment in bedrock can occur due to the hydrothermal fluids associated with gold mineralization, whereas one of the main anthropogenic sources is the use of mercury in gold extraction activities, particularly via amalgamation.
In the studied rocks from the PEMD area, the mercury content in fresh bedrock (including Basalt I, Basalt II, and Andesites) averages 0.03 ppm, whereas that in quartz veins (Qz-veins) reach 0.707 ppm (Table 1). When considering both bedrock and Qz-veins, the average Hg concentration is 0.078 ppm, indicating that mercury can be naturally abundant in association with hydrothermal mineralization. However, this natural background shows substantially lower Hg concentrations than those measured in stream sediments downstream of mining operations, which range from 0.08 to 50 ppm [14], this being up to four orders of magnitude higher compared to the concentrations found in bedrocks.
These results suggest that natural hydrothermal processes contribute relatively minor amounts of Hg, while artisanal and small-scale gold mining, which relies heavily on Hg amalgamation, is the dominant source of Hg contamination in the environment despite existing regulatory restrictions. The pervasive use of Hg amalgamation directly influences its environmental distribution. During the initial amalgamation process, elemental mercury is mixed with gold-bearing crushed ore to form an amalgam. Subsequently, mercury is often separated from the gold by heating, typically in open air, leading to significant volatilization of Hg into the atmosphere. The remaining mercury-rich tailings are frequently discharged directly into rivers, contributing to aquatic and sediment contamination. In contrast, while cyanidation is an alternative gold extraction method that does not directly utilize or introduce mercury, it is currently not a widespread practice in small-scale gold recovery operations in the PEMD in a manner that would significantly alter Hg distribution directly. Therefore, amalgamation remains the primary driver for anthropogenic Hg input in this area.
Furthermore, no primary mercury-bearing minerals (e.g., cinnabar) were identified in the ore, suggesting that Hg occurs in trace quantities, likely associated with sulfide phases or adsorbed onto secondary mineral surfaces.
Mercury, as a volatile chalcophile element [48], is often expected to show correlations with other chalcophile elements such as Cu, Sb, As, and S. However, such correlations were weak or absent in the dataset, implying a heterogeneous distribution of mercury and a strong influence of anthropogenic addition over natural processes. These findings are consistent with global studies indicating that anthropogenic mercury inputs from ASGM often overwhelm natural geogenic sources, even in areas where hydrothermal mineralization enhances background levels of Hg [2,49].
5.3. Arsenic
Arsenic is commonly associated with gold mineralization and is widely recognized as a pathfinder element in gold exploration. It typically occurs in epithermal and porphyry-type systems, hosted in minerals such as arsenopyrite and arsenian pyrite, indicating that areas surrounding gold deposits are often prone to As contamination.
In igneous rocks, average As concentrations are generally low. Global background levels are around 1.5 ppm [50], with values for volcanic glasses being slightly higher, averaging around 6 ppm [51]. In contrast, fresh bedrock samples (basalts and andesites) from the PEMD area show significantly elevated As contents, ranging from 13 to 39 ppm, while mineralized quartz veins reach concentrations up to 2000 ppm. The mean As concentration across all samples is 684 ppm, far exceeding typical crustal background values. Moreover, stream sediments collected downstream of the mining area show even higher As levels, ranging from 47 to 2489 ppm [38].
Mineralogical evidence supports the idea of arsenic having a hydrothermal. Back-scattered electron (BSE) images of pyrite grains from mineralized zones reveal clear compositional zoning (Figure 3), and EPMA analyses show As concentrations ranging from 2 to 39,300 ppm within individual pyrite crystals (Table 1). These findings confirm the presence of arsenian pyrite, a known source of arsenic release during weathering and mining.
The PEMD deposit is hosted in a propylitically altered volcanic–sedimentary complex, related to a porphyry-centered hydrothermal system [31]. These systems are known to contain arsenic-bearing sulfides, particularly arsenopyrite, as part of their alteration assemblage.
A comparison with similar settings confirms the significance of pyrite as a host for As. For instance, Yokobori et al. [52] documented As concentrations up to 1580 mg/kg in boring core samples from mineralized rocks in Japan, where pyrite and sphalerite were the main As-bearing minerals. Tabelin and Igarashi [53] and Villafane et al. [54] also found As to be the dominant PTE in altered zones of closed Au–Ag–Cu mines in northern Japan.
Detailed work by Tabelin et al. [55] using SEM-EDX and EPMA showed that As enrichment in pyrite is directly related to hydrothermal alteration, with arsenian pyrite precipitating from As-rich fluids, regardless of the alteration style (phyllic vs. sericitic). As was not found in the silicate matrix but was present exclusively in pyrite grains, consistent with these findings. Importantly, arsenic is incorporated into pyrite in several chemical forms, including As− [56], As3+ [57], and As2+ [58], or as amorphous Fe–As–S nanoparticles [59]. These mechanisms underscore the role of pyrite as the primary As-bearing phase in hydrothermally altered rocks.
Most silicate and carbonate minerals contain low levels of As (typically <10 ppm) [51]. In these samples, chlorite shows As contents consistent with this range (up to 15 ppm), whereas epidote in Basalt I is notably enriched, reaching 559 ppm, suggesting As incorporation during alteration.
Since no arsenic is introduced during artisanal gold processing, the high As concentrations in stream sediments are attributed to the natural leaching and breakdown of arsenian pyrite from mineralized rocks. These observations are consistent with recent studies that emphasize the role of geogenic arsenic in highly altered systems [60,61,62], demonstrating the arsenic release during pyrite weathering in porphyry-type deposits, which drives significant downstream contamination and reinforces the idea of the geogenic origin of arsenic in similar mineralized terrains. These findings support the interpretation that arsenic in the PEMD system is predominantly of natural origin, associated with hydrothermal processes and sulfide mineral breakdown.
Given this natural geogenic source and the potential for enhanced mobilization during weathering and mining activities, future environmental management strategies in the PEMD should consider measures to minimize the exposure of sulfide-rich materials to oxidizing conditions (e.g., proper waste rock and tailings management) and to monitor water quality for arsenic to mitigate potential risks to ecosystems and human health.
5.4. Copper, Zinc, and Antimony
Copper, Zn, and Sb are widely distributed in rocks and soil but generally occur at trace levels (mg/kg). On the other hand, they are commonly associated with gold mineralization in hydrothermal systems. In the PEMD, elevated concentrations of these elements were observed within the mineralized veins and altered bedrock (Table 1). The mineralogical investigations confirm the presence of Cu-bearing minerals (e.g., chalcopyrite) and Zn-bearing minerals (e.g., sphalerite), alongside pyrite. No Sb-primary minerals are detected, but high concentrations of Sb have been detected within arsenopyrite grains (Figure 4). These minerals are intrinsic components of the hydrothermal system that formed the gold deposits in the district. Concentrations of Cu, Zn, and Sb in the PEMD bedrock are comparable to, or even exceed, those reported in similar epithermal and porphyry-related gold deposits globally [63,64].
The release of these elements into the environment is primarily driven by the weathering of these sulfide and sulfosalt minerals. For instance, the oxidation of sphalerite and chalcopyrite can mobilize Zn and Cu, respectively, especially under acid-generating conditions often associated with sulfide-rich mining wastes.
Regarding Cu, it has to be noted that in stream sediments, Cu can reach a value of up to 8000 mg/kg [12], one or two orders of magnitude greater than the background level. This anthropogenic input for copper can be linked to the use of copper sulfate (CuSO4) in froth flotation processes, a common practice carried out in some small-scale mining operations to enhance gold recovery, as suggested by studies conducted in similar ASGM contexts [65,66]. Specifically, CuSO4 is used as an activator to improve the flotation recovery of sulfide minerals (including those bearing gold), leading to its accumulation in discharged tailings and its subsequent environmental release.
5.5. Environmental Implications
In the PEMD area, the bedrock exhibits considerable variability in elemental composition due to lithological diversity and the presence of locally altered or mineralized zones. Among the PTEs, As, Sb, Pb, Zn, and Cu show significant positive anomalies relative to the UCC (Figure 6). These elements also display higher coefficients of variation, consistent with patterns observed in large-scale geochemical soil surveys from northern Europe [67].
The geoaccumulation index (Igeo) is an environmental index that is widely used to assess the level of metal contamination in sediments by comparing current concentrations with reference values [68]. It is calculated using the following formula:
where Cn is the measured concentration of the element in the sediment sample; Bn is the geochemical background or pristine value of the element; 1.5 is a correction factor. The classification of contamination levels based on Igeo values is as follows: Class 0 (Igeo ≤ 0), uncontaminated; Class 1 (0 < Igeo ≤ 1), uncontaminated to moderately contaminated; Class 2 (1 < Igeo ≤ 2), moderately contaminated; Class 3 (2 < Igeo ≤ 3), moderately to heavily contaminated; Class 4 (3 < Igeo ≤ 4), heavily contaminated; Class 5 (4 < Igeo ≤ 5), heavily to extremely contaminated; Class 6 (Igeo > 5), extremely contaminated.
Igeo = log2 (Cn/(1.5 × Bn))
This index is typically calculated by comparing elemental concentrations with globally accepted reference values, such as those of the UCC values [69,70]. However, an increasing number of researchers advocate for the use of local or regional geochemical baselines to obtain more accurate and context-specific reference values (e.g., [71,72,73]. This preference for local baselines over universal standards has gained substantial traction in recent environmental assessments, particularly in geologically complex or mining-affected areas [74,75,76].
In this study, Igeo was calculated using three different normalization baselines (Figure 7): (i) the UCC; (ii) the average composition of fresh bedrock (slightly mineralized basalts and andesites); and (iii) the average composition of both fresh and mineralized bedrock, used to define the total natural geogenic background of the district, as inherent mineralization is a pervasive natural feature that contributes to background concentrations. When normalized to the UCC, all stream sediment samples appear moderately to extremely polluted for all studied PTEs. In contrast, normalization against the average composition of fresh plus mineralized bedrock results in only Cu and Hg showing Igeo values indicative of moderate to extreme pollution. These two elements are directly linked to gold extraction processes: Hg through amalgamation and Cu via copper sulfate flotation.
Figure 7.
Geoaccumulation index (Igeo) calculated using different reference values: (A) UCC-normalized; (B) fresh bedrock-normalized; (C) fresh bedrock + mineralized bedrock-normalized. Blue lines are data from Pesantas et al. [38], and green lines are data from Appleton et al. [12].
The striking differences observed between contamination levels calculated using global (UCC) versus local baselines (Figure 7) explicitly demonstrate the enhanced accuracy provided by context-specific data. Utilizing local baselines, particularly the “fresh + mineralized bedrock” baseline, is crucial in geologically complex and naturally mineralized regions like PEMD because it accurately accounts for the inherent geogenic enrichment of elements. This approach prevents the misclassification of naturally elevated concentrations as being due to anthropogenic pollution, thereby providing a more precise and actionable assessment of human-induced contamination, directly aiding targeted environmental management strategies.
To further visualize and reinforce the spatial distribution of contamination, particularly for elements identified as anthropogenically influenced, Igeo maps for Cu and Hg in stream sediments are presented in Figure 8. This map overlays the stream sediment sampling sites, color-coded by Igeo class, with the bedrock sampling locations and known mining areas, thereby clearly illustrating the spatial correlation between mining activities and elevated Cu and Hg contamination hotspots. Such visual representation confirms the localized impact of ASGM on stream sediment geochemistry.
Figure 8.
Spatial distribution of Cu (a) and Hg (b) Igeo in stream sediments with bedrock samples and mining areas in the PEMD. Specific Igeo classes are represented by colors in the legend for both Cu and Hg and symbols indicate the bedrock samples, mining areas, and processing plant.
To the best of our knowledge, this study represents the first large-scale effort in Ecuador to define a regional geochemical background in an area with widespread mineralization and a significant mining industry. Establishing a geochemical baseline is essential to avoid misinterpretations of elevated elemental concentrations, particularly for PTEs, which might otherwise be incorrectly attributed to mining activities rather than natural geological enrichment. For PEMD, this geochemical baseline serves as a critical reference for interpreting environmental media such as soils, dust, and sediments. This approach provides a more nuanced understanding of contamination sources, a factor increasingly recognized as vital in environmental management within active mining regions [47,73,74].
6. Conclusions
The study reveals that while mineralized rocks in the PEMD area naturally exhibit elevated concentrations of elements like Zn, As, and Sb, which can be inherited by soil and sediments, observed concentrations of Hg and Cu in downstream stream sediments significantly exceed natural bedrock levels, unequivocally indicating substantial anthropogenic inputs from gold amalgamation and other mining activities. This underscores the critical importance of establishing local geochemical baselines, accounting for specific geological characteristics, to accurately distinguish between naturally occurring elemental concentrations and those resulting from anthropogenic influences, especially in regions like PEMD where mining is economically significant.
The data presented provide a robust baseline concentration of Hg in bedrock and hydrothermal veins, essential for informing and updating Ecuadorian environmental quality standards, such as the “Norma de Calidad Ambiental del Recurso Suelo” (TULSMA, Libro VI). Based on these findings, which distinguish geogenic from anthropogenic sources, we recommend implementing stricter and more targeted monitoring protocols for mercury in stream sediments downstream from ASGM sites. Furthermore, given the dominant role of sulfide minerals (e.g., pyrite, arsenopyrite) in hosting PTEs, remediation efforts should focus on stabilization techniques or preventing their oxidative weathering to reduce environmental contamination effectively. These actionable insights can guide remediation efforts, assess environmental liabilities, establish robust risk thresholds, and strengthen regulatory enforcement in mining-impacted areas.
Identifying PTE-bearing minerals in bedrock is also vital, as their weathering and transport contribute to PTEs in environmental compartments. Detailed petrographic and geochemical studies of these minerals are essential for informed decision-making in mineral resource management and mitigating environmental degradation.
The insights from this research comprise a valuable framework for determining baseline concentrations of mercury and other PTEs in volcanic districts. Differentiating between geogenic and anthropogenic contamination is increasingly emphasized in international discussions on sustainable mining and environmental risk assessments in complex geological settings, advocating for the integration of local geochemical baselines to enhance the sustainability of mining operations and protect environmental and human health.
Author Contributions
Conceptualization, S.F.; methodology, S.F.; formal analysis, S.F.; investigation, S.F., P.F., A.G. and M.M.; resources, P.F., A.G. and M.M.; data curation, S.F.; writing—original draft preparation, S.F.; writing—review and editing, P.F., A.G., M.M. and D.G.; visualization, S.F.; funding acquisition, P.F. and A.G. All authors have read and agreed to the published version of the manuscript.
Funding
The project was partially funded by the ERASMUS+KA107 European Project 2019 University of Pisa-ESPOL, which permitted the research mobility.
Data Availability Statement
The original contributions presented in this study are included in the article. Further inquiries can be directed to the corresponding author.
Acknowledgments
We appreciate the help of Melanie Menoscal, Pierina Mendoza, Erwin Larreta, and Michelle Villalta for the sampling activities, and Alberto Grassi for the data acquisition. The authors thank the three reviewers for their constructive feedback.
Conflicts of Interest
The authors declare no conflicts of interest.
References
- Donkor, A.K.; Ghoveisi, H.; Bonzongo, J.C.J. Use of metallic mercury in artisanal gold mining by amalgamation: A review of temporal and spatial trends and environmental pollution. Minerals 2024, 14, 555. [Google Scholar] [CrossRef]
- Aldous, A.R.; Tear, T.; Fernandez, L.E. The global challenge of reducing mercury contamination from artisanal and small-scale gold mining (ASGM): Evaluating solutions using generic theories of change. Ecotoxicology 2024, 33, 506–517. [Google Scholar] [CrossRef] [PubMed]
- Charkiewicz, A.E.; Omeljaniuk, W.J.; Garley, M.; Nikliński, J. Mercury exposure and health effects: What do we really know? Int. J. Mol. Sci. 2025, 26, 2326. [Google Scholar] [CrossRef] [PubMed]
- Brocza, F.M.; Rafaj, P.; Sander, R.; Wagner, F.; Jones, J.M. Global scenarios of anthropogenic mercury emissions. Atmosph. Chem. Phys. 2024, 24, 7385–7404. [Google Scholar] [CrossRef]
- Estupiñan, R.; Romero-Crespo, P.; Garcia, M.; Garces, D.; Valverde, P. La minería en Ecuador. Pasado, presente y futuro. Boletín Geol. Y Min. 2021, 132, 533–549. [Google Scholar] [CrossRef]
- Funoh, K.N. The Impacts of Artisanal Gold Mining on Local Livelihoods and the Environment in the Forested Areas of Cameroon; CIFOR: Bogor, Indonesia, 2014; Volume 150, p. 150. [Google Scholar]
- Betancourt, Ó.; Tapia, M.; Méndez, I. Decline of general intelligence in children exposed to manganese from mining contamination in Puyango River Basin, Southern Ecuador. Ecohealth 2015, 12, 453–460. [Google Scholar] [CrossRef]
- Garcés, D.; Sanchez-Palencia, Y.; Jimenez, S.; Llamas, J. Environmental statistical analysis of the basins of the mining district of Ponce Enríquez (Ecuador). In Proceedings of the 24th International Multidisciplinary Scientific GeoConference SGEM 2024, Albena, Bulgaria, 24–30 June 2024; Trofymchuk, O., Rivza, B., Eds.; STEF92 Technology: Sofia, Bulgaria, 2024. [Google Scholar]
- Mestanza-Ramón, C.; Jiménez-Oyola, S.; Montoya, A.V.G.; Vizuete, D.D.C.; D’Orio, G.; Cedeño-Laje, J.; Straface, S. Assessment of Hg Pollution in Stream Waters and Human Health Risk in Areas Impacted by Mining Activities in the Ecuadorian Amazon. Environ. Geochem. Health 2023, 10, 7183–7197. [Google Scholar] [CrossRef]
- Vangsnes, G.F. The meanings of mining: A perspective on the regulation of artisanal and small-scale gold mining in southern Ecuador. Extr. Ind. Soc. 2018, 5, 317–326. [Google Scholar]
- Williams, T.M.; Dunkley, P.N.; Cruz, E.; Acitimbay, V.; Gaibor, A.; Lopez, E.; Aspden, J.A. Regional geochemical reconnaissance of the Cordillera Occidental of Ecuador: Economic and environmental applications. Appl. Geochem. 2000, 15, 531–550. [Google Scholar] [CrossRef]
- Appleton, J.D.; Williams, T.M.; Orbea, H.; Carrasco, M. Fluvial Contamination Associated with Artisanal Gold Mining in the Ponce Enríquez, Portovelo-Zaruma and Nambija Areas, Ecuador. Water Air Soil Poll. 2001, 131, 19–39. [Google Scholar] [CrossRef]
- Tarras-Wahlberg, N.H. Environmental management of small-scale and artisanal mining: The Portovelo-Zaruma goldmining area, southern Ecuador. J. Environ. Manag. 2002, 65, 165–179. [Google Scholar] [CrossRef]
- Jiménez-Oyola, S.; García-Martínez, M.J.; Ortega, M.F.; Chavez, E.; Romero, P.; García-Garizabal, I.; Bolonio, D. Ecological and probabilistic human health risk assessment of heavy metal (loid) s in river sediments affected by mining activities in Ecuador. Environ. Geochem. Health 2021, 43, 4459–4474. [Google Scholar] [CrossRef]
- Pekey, H. The distribution and sources of heavy metals in Izmit Bay surface sediments affected by a polluted stream. Mar. Poll. Bull. 2006, 52, 1197–1208. [Google Scholar] [CrossRef]
- Wu, J.; Huang, C. Machine learning-supported determination for site-specific natural background values of soil heavy metals. J. Hazard Mat. 2025, 487, 137276. [Google Scholar] [CrossRef] [PubMed]
- Skála, J.; Grygar, T.M.; Achasova, A. Novel definition of local baseline values for potentially toxic elements in Czech farmland using adaptive spatial weighting. Appl. Geochem. 2024, 170, 106082. [Google Scholar] [CrossRef]
- Armiento, G.; Barsanti, M.; Caprioli, R.; Chiavarini, S.; Conte, F.; Crovato, C.; Spaziani, F. Heavy metal background levels and pollution temporal trend assessment within the marine sediments facing a brownfield area (Gulf of Pozzuoli, Southern Italy). Environ. Monit. Assess. 2022, 194, 814. [Google Scholar] [CrossRef] [PubMed]
- Lo Medico, F.; Varrica, D.; Zuccolini, M.V.; Miola, M.; Scopelliti, G.; Alaimo, M.G. Geochemical baseline values and spatial distribution of major, trace, and rare earth elements in unpolluted soils of the Sicily region (Italy). Environ. Geochem. Health 2025, 47, 1–17. [Google Scholar] [CrossRef] [PubMed]
- Kierczak, J.; Pietranik, A.; Pędziwiatr, A. Ultramafic geoecosystems as a natural source of Ni, Cr, and Co to the environment: A review. Sci. Total Environ. 2021, 755, 142620. [Google Scholar] [CrossRef]
- Marescotti, P.; Comodi, P.; Crispini, L.; Gigli, L.; Zucchini, A.; Fornasaro, S. Potentially toxic elements in ultramafic soils: A study from metamorphic ophiolites of the Voltri Massif (Western Alps, Italy). Minerals 2019, 9, 502. [Google Scholar] [CrossRef]
- Koner, S.; Chen, J.S.; Rathod, J.; Hussain, B.; Hsu, B.M. Unravelling the ultramafic rock-driven serpentine soil formation leading to the geo-accumulation of heavy metals: An impact on the resident microbiome, biogeochemical cycling and acclimatized eco-physiological profiles. Environ. Res. 2023, 216, 114664. [Google Scholar] [CrossRef]
- Liu, Y.; Xiao, T.; Perkins, R.B.; Zhu, J.; Zhu, Z.; Xiong, Y.; Ning, Z. Geogenic cadmium pollution and potential health risks, with emphasis on black shale. J. Geochem. Explor. 2017, 176, 42–49. [Google Scholar] [CrossRef]
- Wen, Y.; Li, W.; Yang, Z.; Zhang, Q.; Ji, J. Enrichment and source identification of Cd and other heavy metals in soils with high geochemical background in the karst region, Southwestern China. Chemosphere 2020, 245, 125620. [Google Scholar] [CrossRef] [PubMed]
- Guo, W.; Liu, X.; Liu, Z.; Li, G. Pollution and potential ecological risk evaluation of heavy metals in the sediments around Dongjiang Harbor, Tianjin. Procedia Environ. Sci 2010, 2, 729–736. [Google Scholar] [CrossRef]
- Manga, V.E.; Agyingi, C.M.; Suh, C.E. Trace element soil quality status of Mt. Cameroon soils. Adv. Geol. 2014, 2014, 894103. [Google Scholar] [CrossRef]
- Srinivasarao, C.; Rama Gayatri, S.; Venkateswarlu, B.; Jakkula, V.S.; Wani, S.P.; Kundu, S.; Gopala Krishna, G. Heavy metals concentration in soils under rainfed agro-ecosystems and their relationship with soil properties and management practices. Int. J. Environ. Sci. Tech. 2014, 11, 1959–1972. [Google Scholar] [CrossRef]
- Hošek, M.; Pavlíková, P.; Šoltýs, M.; Tůmová, Š.; Matys Grygar, T. Distinguishing Geogenic Load and Anthropogenic Contribution to Soil Contamination in Mineralised Mountain Landscape of Ore Mountains (Czech Republic) Using Cumulative Distribution Functions. Land 2024, 13, 218. [Google Scholar] [CrossRef]
- Sun, S.S.; Ao, M.; Geng, K.R.; Chen, J.Q.; Deng, T.H.B.; Li, J.J.; Qiu, R.L. Enrichment and speciation of chromium during basalt weathering: Insights from variably weathered profiles in the Leizhou Peninsula, South China. Sci. Total Environ. 2022, 822, 153304. [Google Scholar] [CrossRef] [PubMed]
- Nakajima, K.; Yamamoto, T.; Arima, T.; Mufalo, W.; Igarashi, T. Frequency distribution of naturally occurring arsenic leached from excavated rocks of Hokkaido Shinkansen tunnels between Shin-Hakodate-Hokuto and Oshamambe. Soils Found. 2024, 64, 101445. [Google Scholar] [CrossRef]
- Fulignati, P.; Mulas, M.; Villalta Echeverria, M.D.P.; Fornasaro, S.; Larreta, E.; Mendoza Arteaga, P.L.; Gioncada, A. The propylitic alteration in the Ponce Enriquez Gold Mining district, Azuay province, Ecuador: Genetic constraints from a mineral chemistry and fluid inclusions study. Front. Earth Sci. 2023, 11, 1255712. [Google Scholar] [CrossRef]
- Cooperative Minera Bella Rica. Available online: https://bellarica.org/index.php/desarollo-tecnico/96-la-cooperativa-bella-rica-y-su-ambito-tecnico-minero (accessed on 1 February 2025).
- Velásquez-López, P.C.; Veiga, M.M.; Klein, B.; Shandro, J.A.; Hall, K. Cyanidation of mercury-rich tailings in artisanal and small-scale gold mining: Identifying strategies to manage environmental risks in Southern Ecuador. J. Clean. Prod. 2011, 19, 1125–1133. [Google Scholar] [CrossRef]
- Gonçalves, A.O.; Marshall, B.G.; Kaplan, R.J.; Moreno-Chavez, J.; Veiga, M.M. Evidence of reduced mercury loss and increased use of cyanidation at gold processing centers in southern Ecuador. J. Clean. Prod. 2017, 165, 836–845. [Google Scholar] [CrossRef]
- Vallejo, C.; Spikings, R.A.; Horton, B.K.; Luzieux, L.; Romero, C.; Winkler, W.; Thomsen, T.B. Late Cretaceous to Miocene stratigraphy and provenance of the coastal forearc and Western Cordillera of Ecuador: Evidence for accretion of a single oceanic plateau fragment. In Andean Tectonics; Elsevier: Amsterdam, The Netherlands, 2019; pp. 209–236. [Google Scholar]
- Prodeminca, B. Prospecto beroen. Campo Mineral. Molleturo 2000, 2, 114. [Google Scholar]
- Jaillard, E.; Ordoñez, M.; Suárez, J.; Toro, J.; Iza, D.; Lugo, W. Stratigraphy of the late Cretaceous–Paleogene deposits of the Cordillera Occidental of central Ecuador: Geodynamic implications. J. S. Am. Earth Sci. 2004, 17, 49–58. [Google Scholar] [CrossRef]
- Pesantes, A.A.; Carpio, E.P.; Vitvar, T.; López, M.M.M.; Menéndez-Aguado, J.M. A multi-index analysis approach to heavy metal pollution assessment in river sediments in the Ponce Enríquez Area, Ecuador. Water 2019, 11, 590. [Google Scholar] [CrossRef]
- Paton, C.; Hellstrom, J.; Paul, B.; Woodhead, J.; Hergt, J. Iolite: Freeware for the visualisation and processing of mass spectrometric data. J. Anal At. Spectrom 2011, 26, 2508–2518. [Google Scholar] [CrossRef]
- Hastie, A.R.; Kerr, A.C.; Pearce, J.A.; Mitchell, S.F. Classification of altered volcanic island arc rocks using immobile trace elements: Development of the Th–Co discrimination diagram. J. Pet. 2007, 48, 2341–2357. [Google Scholar] [CrossRef]
- McDonough, W.F.; Sun, S.S. The composition of the Earth. Chem. Geol. 1995, 120, 223–253. [Google Scholar] [CrossRef]
- Hu, Z.; Gao, S. Upper crustal abundances of trace elements: A revision and update. Chem. Geol. 2008, 253, 205–221. [Google Scholar] [CrossRef]
- Oelkers, E.H.; Declercq, J.; Saldi, G.D.; Gislason, S.R.; Schott, J. Olivine dissolution rates: A critical review. Chem. Geol. 2018, 500, 1–19. [Google Scholar] [CrossRef]
- Wen, D.; Liu, H.; Guo, Y.; Zeng, Q.; Wu, M.; Liu, R.S. Disorder–order conversion-induced enhancement of thermal stability of pyroxene near-infrared phosphors for light-emitting diodes. Angew. Chem. Int. Ed. 2023, 61, e202204411. [Google Scholar] [CrossRef]
- Nieder, R.; Benbi, D.K. Potentially toxic elements in the environment–a review of sources, sinks, pathways and mitigation measures. Rev. Environ. Health 2024, 39, 561–575. [Google Scholar] [CrossRef]
- Dupla, X.; Möller, B.; Baveye, P.C.; Grand, S. Potential accumulation of toxic trace elements in soils during enhanced rock weathering. Eur. J. Soil Sci. 2023, 74, e13343. [Google Scholar] [CrossRef]
- Meloni, F.; Dinelli, E.; Cabassi, J.; Nisi, B.; Montegrossi, G.; Rappuoli, D.; Vaselli, O. Provenance and distribution of potentially toxic elements (PTEs) in stream sediments from the eastern Hg-district of Mt. Amiata (central Italy). Environ. Geochem. Health 2025, 47, 123. [Google Scholar] [CrossRef] [PubMed]
- Palme, H.; O'Neill, H.S.C.; Benz, W. Evidence for collisional erosion of the Earth. In Proceedings of the 45th Lunar and Planetary Science Conference, The Woodlands, TX, USA, 17–21 March 2014; p. 1741. [Google Scholar]
- Nitschke, N.; Guédron, S.; Tessier, E.; Tisserand, D.; Campillo, S.; Amouroux, D. Evaluation of the Hg Contamination from Gold Mining in French Guiana at the Watershed Scale Using Hg Isotopic Composition in River Sediments. ACS EST Water 2024, 4, 3443–3452. [Google Scholar] [CrossRef]
- Ure, A.M.; Berrow, M.L. The Elemental Constituents of Soils; Royal Society of Chemistry: London, UK, 1982. [Google Scholar]
- Smedley, P.L.; Nicolli, H.B.; Macdonald, D.M.J.; Barros, A.J.; Tullio, J.O. Hydrogeochemistry of arsenic and other inorganic constituents in groundwaters from La Pampa, Argentina. Appl. Geochem. 2002, 17, 259–284. [Google Scholar] [CrossRef]
- Yokobori, N.; Igarashi, T.; Yoneda, T. Leaching characteristics of heavy metals from mineralized rocks located along tunnel construction sites. In Engineering Geology for Society and Territory-Volume 6: Applied Geology for Major Engineering Projects; Springer International Publishing: Cham, Switzerland, 2014; pp. 429–433. [Google Scholar]
- Tabelin, C.B.; Igarashi, T. Mechanisms of arsenic and lead release from hydrothermally altered rock. J. Hazard Mat. 2009, 169, 980–990. [Google Scholar] [CrossRef]
- Villafane, O.R.S.; Igarashi, T.; Kurosawa, M.; Takase, T. Comparison of potentially toxic metals leaching from weathered rocks at a closed mine site between laboratory columns and field observation. Appl. Geochem. 2012, 27, 2271–2279. [Google Scholar] [CrossRef]
- Tabelin, C.B.; Basri, A.H.M.; Igarashi, T.; Yoneda, T. Removal of arsenic, boron, and selenium from excavated rocks by consecutive washing. Water Air Soil Poll. 2012, 223, 4153–4167. [Google Scholar] [CrossRef]
- Reich, M.; Deditius, A.P.; Chryssoulis, S.; Li, J.W.; Ma, C.Q.; Parada, M.A.; Barra, F.; Mittermayr, F. Pyrite as a record of hydrothermal fluid evolution in a porphyry copper system: A SIMS/EMPA trace element study. Geochim. Cosmochim. Acta 2013, 104, 42–62. [Google Scholar] [CrossRef]
- Deditius, A.P.; Utsunomiya, S.; Renock, D.; Ewing, R.C.; Ramana, C.V.; Becker, U.; Kesler, S.E. A proposed new type of arsenian pyrite: Composition, nanostructure and geological significance. Geochim. Cosmochim. Acta 2008, 72, 2919–2933. [Google Scholar] [CrossRef]
- Qian, G.; Brugger, J.; Testamale, D.; Skiner, W.; Pring, A. Formation of As(II)—Pyrite during experimental replacement of magnetite under hydrothermal conditions. Geochim. Cosmochim. Acta 2013, 100, 1–10. [Google Scholar] [CrossRef]
- Deditius, A.P.; Utsunomiya, S.; Ewing, R.C.; Kesler, S.E. Nanoscale “liquid” inclusions of As-Fe-S in arsenian pyrite. Am. Miner. 2009, 94, 391–394. [Google Scholar] [CrossRef]
- Morales-Simfors, N.; Bundschuh, J. Arsenic-rich geothermal fluids as environmentally hazardous materials–A global assessment. Sci. Total Environ. 2022, 817, 152669. [Google Scholar] [CrossRef] [PubMed]
- Alam, M.A.; Mukherjee, A.; Bhattacharya, P.; Bundschuh, J. An appraisal of the principal concerns and controlling factors for Arsenic contamination in Chile. Sci. Rep. 2023, 13, 11168. [Google Scholar] [CrossRef]
- Bavi, H.; Gharaie, M.H.M.; Moussavi-Harami, R.; Zand-Moghadam, H.; Mahboubi, A.; Tohidi, M.R. Spatial dispersion hot spots of contamination and human health risk assessments of PTEs in surface sediments of streams around porphyry copper mine, Iran. Environ. Geochem. Health 2023, 45, 3907–3931. [Google Scholar] [CrossRef]
- Tian, Y.; Mao, J.; Jian, W.; Wang, Y.; Feng, R.; Ye, H.; Wang, P. Recognition of the Xiayu intermediate-sulfidation epithermal Ag-Pb-Zn-Au (-Cu) mineralization in the East Qinling polymetallic ore belt, China: Constraints from geology and geochronology. Ore Geol. Rev. 2023, 156, 105398. [Google Scholar] [CrossRef]
- Guo, X.; Zhou, T.; Wang, F.; Fan, Y.; Fu, P.; Kong, F. Distribution of Co, Se, Cd, In, Re and other critical metals in sulfide ores from a porphyry-skarn system: A case study of Chengmenshan Cu deposit, Jiangxi, China. Ore Geol. Rev. 2023, 158, 105520. [Google Scholar] [CrossRef]
- Castellón, C.I.; Toro, N.; Gálvez, E.; Robles, P.; Leiva, W.H.; Jeldres, R.I. Froth flotation of chalcopyrite/pyrite ore: A critical review. Materials 2022, 15, 6536. [Google Scholar] [CrossRef]
- Teague, A.J.; Van Deventer, J.S.J.; Swaminathan, C. The effect of copper activation on the behaviour of free and refractory gold during froth flotation. Int. J. Min. Proc. 2000, 59, 113–130. [Google Scholar] [CrossRef]
- Reimann, C.; Garrett, R.G. Geochemical background—Concept and reality. Sci. Total Environ. 2005, 350, 12–27. [Google Scholar] [CrossRef]
- Muller, G. Index of geo-accumulation in sediments of the Rhine River. GeoJournal 1969, 2, 108–118. [Google Scholar]
- Saleem, M.; Iqbal, J.; Akhter, G.; Shah, M.H. Fractionation, bioavailability, contamination and environmental risk of heavy metals in the sediments from a freshwater reservoir, Pakistan. J. Geochem. Explor. 2018, 184, 199–208. [Google Scholar] [CrossRef]
- Hasan, M.; Kausar, D.; Akhter, G.; Shah, M.H. Evaluation of the mobility and pollution index of selected essential/toxic metals in paddy soil by sequential extraction method. Ecotox. Environ. Safe 2018, 147, 283–291. [Google Scholar] [CrossRef] [PubMed]
- Kříbek, B.; Majer, V.; Knésl, I.; Nyambe, I.; Mihaljevič, M.; Ettler, V.; Sracek, O. Concentrations of arsenic, copper, cobalt, lead and zinc in cassava (Manihot esculenta Crantz) growing on uncontaminated and contaminated soils of the Zambian Copperbelt. J. Afr. Earth Sci 2014, 99, 713–723. [Google Scholar] [CrossRef]
- Akopyan, K.; Petrosyan, V.; Grigoryan, R.; Melkomian, D.M. Assessment of residential soil contamination with arsenic and lead in mining and smelting towns of northern Armenia. J. Geochem. Explor. 2018, 184, 97–109. [Google Scholar] [CrossRef]
- Fornasaro, S.; Ghezzi, L.; Arrighi, S.; Shukurov, N.; Petrov, M.; Tomei, A.; Petrini, R. Geochemistry and risk assessment of potentially toxic elements in surface river sediments (Chirchik-Akhangaran basin, Uzbekistan). Environ. Geochem. Health 2025, 47, 127. [Google Scholar] [CrossRef]
- Githaiga, K.B.; Njuguna, S.M.; Yan, X. Local geochemical baselines reduce variation caused by the use of different conservative elements in predicting Cu and Zn enrichment in agricultural soils, Kenya. Chem. Afr. 2021, 4, 869–880. [Google Scholar] [CrossRef]
- Correa-Burrows, J.P.; Navarrete-Calvo, Á.; Valenzuela-Díaz, M.J.; Zapata-Aguiló, V.A.; Montserrat, S.; Navarro-Valdivia, L.; Caraballo, M.A. The role of local geochemical and mineralogical backgrounds as essential information to build efficient sediment quality guidelines at high-mountainous hydrothermally-altered basins (Mapocho basin, Chile). Sci. Total Environ. 2021, 785, 147266. [Google Scholar] [CrossRef]
- Mascarenhas, R.B.; Gloaguen, T.V.; Hadlich, G.M.; Gomes, N.S.; da Conceição Almeida, M.; de Souza Souza, E.; Santos, J.A.G. The challenge of establishing natural geochemical backgrounds in human-impacted mangrove soils of Northeastern Brazil. Chemosphere 2025, 376, 144261. [Google Scholar] [CrossRef]
Disclaimer/Publisher’s Note: The statements, opinions and data contained in all publications are solely those of the individual author(s) and contributor(s) and not of MDPI and/or the editor(s). MDPI and/or the editor(s) disclaim responsibility for any injury to people or property resulting from any ideas, methods, instructions or products referred to in the content. |
© 2025 by the authors. Licensee MDPI, Basel, Switzerland. This article is an open access article distributed under the terms and conditions of the Creative Commons Attribution (CC BY) license (https://creativecommons.org/licenses/by/4.0/).







