Abstract
This paper explores the role of one-part alkali-activated cement, utilizing metakaolin as a precursor, in the long-term stabilization of mining tailings. Investigating three key factors (Si/Al and Na/Si ratios and curing period), this study reveals insights into the mechanical performance and microstructure of alkali-activated cemented iron ore tailings. Unconfined compressive strength test, statistical analysis, and Scanning Electron Microscopy analysis with Energy Dispersive Spectroscopy were performed. Findings indicate that the Si/Al ratio significantly influences strength, with an optimal ratio of 3.5. The Na/Si ratio introduces complexity, affecting alkali availability and reactivity, leading to nuanced strength variations. Extended curing periods consistently enhance the strength of alkali-activated cement, highlighting its dynamic nature. Notably, the 7-day specimens exhibit a less homogeneous distribution, weaker bonding, and decreased structural integrity compared to their 60-day counterparts. This research underscores the intricate nature of alkali-activated cement hydration, emphasizing the interdependence of Si/Al and Na/Si ratios. The observed strengthening effect with prolonged curing suggests the potential for tailoring these materials to specific applications. Addressing a research gap, especially in applying alkali-activation to mining tailings stabilization, this study highlights metakaolin’s role as a suitable precursor.
1. Introduction
The mining industry plays a crucial role in global economic development by supplying essential raw materials for various industries, from precious metals to minerals used in technology and infrastructure production [1]. In addition to being a significant source of employment, the mineral industry substantially contributes to the tax revenues of many countries, funding social programs, infrastructure, and public services. However, it is important to balance economic benefits with environmental responsibility, ensuring sustainable practices that minimize negative impacts on the environment and local communities [2,3,4].
Despite the economic benefits associated with the mining industry, addressing the responsible generation of waste, primarily in the form of mining waste, is imperative. Mining waste, defined as the byproduct of mineral extraction and processing, can include various materials such as soil, rocks, fine particles, water, and processing chemicals [5]. Reports suggest that approximately 19–25 billion tons of solid mining waste are generated annually globally, with 5–8 billion tons being mining tailings. Proper management of mining tailings is crucial to avoid negative environmental impacts [6,7]. If not treated and disposed of correctly, mining tailings can contaminate soil and water, adversely affecting local fauna and flora. Instances of tailings dam failures have led to significant environmental disasters, causing severe damage to surrounding communities and ecosystems [8]. Brazil has experienced events related to dam failures with devastating consequences for the environment and local communities. In 2014, Itabirito experienced a dam failure resulting in significant environmental and social damage. A year later, the 2015 disaster in Mariana took on even more serious proportions when a tailings dam failed, releasing a huge amount of toxic mud into the Rio Doce basin, affecting aquatic ecosystems and riverside communities [9]. In 2019, the city of Brumadinho faced a similar tragedy, with the collapse of a tailings dam, resulting in a large number of victims, the destruction of villages, and environmental pollution [10,11]. These events underscore the urgency of reevaluating tailings management practices in the mining industry, emphasizing the need for rigorous safety and inspection measures to prevent future tragedies and promote socio-environmental responsibility in mineral exploration.
Therefore, the mining industry and regulatory authorities must adopt responsible tailings management practices to minimize environmental impacts and protect surrounding communities [12]. This may include using safer disposal techniques or ways to increase the overall strength of these earth structures, such as the application of chemical stabilization. This method offers several advantages for geotechnical engineering [13,14]. By introducing conventional stabilizing agents, such as Portland cement, it is possible to improve the mechanical properties, increasing strength and load-bearing capacity [15]. Nevertheless, the use of conventional cement in chemical stabilization has notable disadvantages [16]. Firstly, the Portland cement production process is energy-intensive, resulting in substantial carbon dioxide (CO2) emissions, contributing to global warming [17]. Furthermore, the high costs associated with the production, transportation, and application of cement can make this technique economically challenging, especially in large-scale projects or remote areas. These disadvantages highlight the need to consider more sustainable and economically viable alternatives for soil stabilization, seeking to balance the benefits of mechanical resistance with environmental and economic concerns [16,18]. In this sense, chemical stabilization with alkali-activated cement may be presented as a solution to this problem.
Alkali-activation is a process that involves the alkaline activation of aluminosilicate precursors, rather than relying exclusively on conventional Portland cement [19]. In this method, an alkaline activator is mixed with the precursor, triggering chemical reactions that result in cementitious products with remarkable mechanical properties and durability [20]. In the context of mining tailings stabilization with alkali-activated cements, the use of metakaolin and agro-industrial wastes (e.g., rice husk ash, sugar cane bagasse ash, and fly ash) as precursor materials stands out, with or without the addition of alternative calcium sources (e.g., carbide lime and eggshell lime) [13,14,18,21,22,23]. These materials have been applied to several tailings, such as iron ore and gold mine tailings, with studies evaluating mechanical behavior, microstructure, leaching, and, more recently, environmental impacts [13,14,18,21,22,23].
Alkali-activation is recognized for its reduced carbon footprint compared to Portland cement, offering a more sustainable approach [16,24,25]. Two distinct approaches can be found in alkali-activation: the One-part Method (OPM) and Two-part Method (TPM). In OPM, precursor and alkaline activators are pre-mixed in a solid state before application; this approach simplifies the on-site mixing process, providing operational convenience [26]. In TPM, alkaline activators (liquid state) and precursors (solid state) are kept separate until the moment of application. This allows for greater control over on-site mixing, enabling customized adjustments to ingredient proportions [27,28]; however, it results in higher environmental impact and costs due to the equipment required to prepare the alkaline activator solution [16].
Several studies can be found in the literature regarding the application of alkali-activation for soil stabilization, indicating that this technique is a viable alternative to conventional one [29,30,31]. In this context, the use of one-part alkali-activated materials is still limited but has been gaining prominence through some studies. Tigue et al. [32] verified the high resistance of a soil stabilized with one-part coal fly ash geopolymer to acid attack, reaching 3.2 MPa after 56-day immersion; however, leaching results showed high mobility of arsenic. Zheng and Wu [33] reported satisfactory stabilization of a soft soil with one-part ground granulated blast furnace slag and fly ash-based geopolymer: strength of 1.5 MPa after 14 days at 23 °C justified by cementing gels formation (e.g., calcium aluminosilicate hydrate and sodium aluminosilicate hydrate). Based on strength and microstructure tests, Bazarbekova et al. [31] verified that one-part alkali-activated binder (composed of fly ash, ground granulated blast-furnace slag- GGBFS, and dry sodium metasilicate) was efficient in stabilizing a weak clayey soil for potential use in roadways, airfield pavements, and railways. Recently, a one-part alkali-activated GGBFS proved effective on iron ore tailings stabilization, outperforming Portland cement at 7 and 28 days [34].
Indeed, the use of OPM in soil stabilization needs to be further explored, especially in alkaline cements applied to mining tailings over time. To address this knowledge gap, this study evaluates the mechanical behavior of a stabilization system for iron ore tailings using an alkali-activated cement composed of metakaolin, sodium hydroxide (NaOH), and sodium silicate (Na2SiO3), via the OPM. To this end, mechanical and microstructural tests were conducted to evaluate the feasibility of the proposed technique. This research aims to contribute to filling the gap between economic development and environmental responsibility by offering sustainable solutions for tailings stabilization in mining activities.
2. Materials and Methods
2.1. Materials
The materials utilized in this research were divided into three groups: (i) material to be stabilized (iron ore tailings—IOT); (ii) precursor (metakaolin—MK); and (iii) alkaline-activator (sodium silicate + sodium hydroxide). IOTs were collected from a mining industry in the state of Minas Gerais, Brazil, while the precursors and activators were purchased directly from manufacturers, the latter with analytical grade (i.e., high-purity reagents).
2.2. Characterization
Materials characterization (Figure 1 and Figure 2 and Table 1 and Table 2) was verified by determining the specific weight of grains (ASTM D854 [35]), Atterberg limits (ASTM D4318 [36]), and grain size distribution (ASTM D7928 [37]) for both IOT and MK. In addition, materials were also chemically and mineralogically characterized through X-ray fluorescence spectrometry (XRF) and X-ray diffraction (XRD) tests. XRF analysis was performed by means of quantitative analysis with a calibration curve based on tabulated rock patterns from Geostandards. The samples were prepared using the pressed tablet method: 9 g of powdered sample material was mixed with 1 g of Panalytical Wax additive and then pressed using a Fluxana manual press at 25 tons. The presence of volatiles was assessed using gravimetric techniques. The X-ray fluorescence spectrometer is an S2 Ranger (BRUKER), equipped with an Rh X-ray tube. XRD analysis was performed on a D2 Phaser X-ray diffractometer (BRUKER), model D-5000 (θ–2θ), equipped with a fixed Cu anode tube (λ = 1.54184 Å) and operating at 30 kV and 10 mA in the primary beam and curved graphite monochromator in the secondary beam, under the following conditions: 3.0020–70.0030 2theta range, 0.0200° step size, and 0.5s scan time.
Figure 1.
Grain size distribution of metakaolin and iron ore tailings, and their correspondence with clay, silt, and sand size particles.
Figure 2.
Mineralogical composition of metakaolin and iron ore tailings.
Table 1.
Materials’ physical properties.
Table 2.
Materials’ chemical properties.
IOTs presented a predominance of sand and silt, classified according to the Unified Soil Classification System (USCS) [38] as sandy silt (SM) (Table 1). The chemical analysis (Table 2) demonstrated that the IOTs were mainly composed of silicon oxide (69.74%), iron oxide (24.04%), and aluminum oxide (4.77%). In the mineralogical composition (Figure 2), it was possible to identify the existence of kaolinite (Al2Si2O5(OH)4), quartz (SiO2), goethite (FeOOH), hematite (Fe2O3), and amorphous phases indicated by the broad hump in the pattern.
MK is also predominantly composed of sand and silt-size particles, being classified according to USCS as SM (Table 1). The chemical analysis (Table 2) showed the presence of mainly silicon oxide (52.59%) and aluminum oxide (43.97%). In the mineralogical composition (Figure 2), it was possible to identify the existence of quartz (SiO2), muscovite (KAl2(Si3Al)O10(OH,F)2), microcline (KAlSi3O8), and amorphous phases from the dehydroxylation of kaolinite mineral.
2.3. Molding and Curing Procedures
The specimens used in this study were molded following specific parameters to ensure uniformity in testing. The adopted maximum dry unit weight was 19.2 kN/m3, determined through Proctor compaction tests with normal energy. Similarly, the optimal moisture content fixed for the samples was 11.2%, also derived from the results obtained in the Proctor compaction tests.
Furthermore, the curing temperature was maintained at 23 ± 2 °C, which corresponds to room temperature. This strategic choice enhances the applicability of the method, making it more relevant to real-world situations. Regarding the cementitious agent content, a decision was made to maintain consistency in the experiments. Thus, the content was fixed at 5%, following the guidelines presented by the current literature on cemented geotechnical materials [39,40].
The molding process was standardized for all specimens and initiated with the weighing of dry materials: iron ore tailings, sodium silicate, sodium hydroxide, and metakaolin. These components were mixed until a homogeneous powder was achieved. Following the OPM, distilled water was gradually added to ensure the desired moisture, resulting in the formation of a uniformly consistent mixture. Subsequently, three small portions of the mixture were separated to assess the molding moisture content, and another three samples were designated for compaction.
Compaction occurred statically in three layers in a split cylindrical mold, achieving the reference dry density using the under-compaction method [41]. The resulting specimen was extruded from the mold, measured, and accurately weighed. Subsequently, they were properly identified and cured in a controlled environment, at a temperature of 23 ± 2 °C and relative humidity around 95%. In order to minimize possible suction effects, the samples were immersed in a water tank at a temperature of 23 ± 2 °C for 24 h before the end of the curing period [42]. Each specimen was considered suitable for testing when it met the following requirements: density within ±1% of the reference value (d); moisture content within ±0.5% of the reference value (w); and dimensions (height and diameter) within ±1% of the reference value.
2.4. Experimental Program
A three-factor full factorial design, each composed of three levels (33), with triplicates, resulting in 81 specimens, was used throughout this research [43]. Analyzed controlled factors were Si/Al ratio (A), Na/Si ratio (B), and curing period (C). Factors and their respective levels can be seen in Table 3. Analysis of variance (ANOVA), performed using Minitab software (version 19), was used to determine the statistical significance of controlled factors over the mechanical response.
Table 3.
Factorial design.
The levels of Si/Al and Na/Si for the alternative cement were defined according to the current literature on the alkali-activation of metakaolin [44,45,46,47]. These molar ratios were calculated based on the chemical compositions of the raw materials, obtained through chemical analysis of the metakaolin and the iron ore tailings, as detailed in the characterization section. The compositions of both sodium hydroxide (NaOH) and sodium silicate (Na2SiO3), used as alkaline activators, were also considered in the calculation of the Na and Si contents. Specifically, the elemental contents of Si, Al, and Na (expressed in moles) were quantified from all sources, including the activator solution, and the final ratios were adjusted to fall within the optimal ranges reported in the literature for alkali-activated metakaolin systems. This approach ensured that the compositions selected were consistent with established formulations, thereby supporting the synthesis and performance of the alternative cement.
As for the curing period, three different levels were chosen to explore the effects of time over the development of strength, also based on the current literature of cemented soils [13,48].
2.5. Unconfined Compressive Strength Test
Unconfined compressive strength (UCS) tests were executed in accordance with ASTM D2166 [49], using an automatic loading machine, with a maximum load capacity of 50 kN; the rate of displacement adopted was 1.14 mm per minute, to produce an axial strain at a rate between 0.5%/min and 2%/min.
2.6. Microstructural Analysis
The Scanning Electron Microscopy (SEM) analyses were conducted using a Zeiss Scanning Electron Microscope (model EVO LS25), manufactured by Carl Zeiss AG, Oberkochen, Germany. The equipment was operated with secondary electrons (SE) at magnifications ranging from 150 to 2500 times and an electron beam voltage of 20 kV, and it was equipped with an Energy Dispersive X-ray Spectroscopy (EDS) detector. The samples were gold-coated using a Quorum SC7620 sputter coater, manufactured by Quorum Technologies Ltd, Lewes, UK. Microstructural analysis was performed on specimens exhibiting the highest strength after both the shorter (7 days) and longer (60 days) curing periods. This methodology was employed to unravel the cementitious reactions occurring within the matrix. Notably, this investigation focused on specimens with a Si/Al ratio of 3.5 and a Na/Si ratio of 0.5, intensifying the precision of the microstructural analysis, based on the statistical analysis.
3. Results and Discussion
3.1. Unconfined Compressive Strength
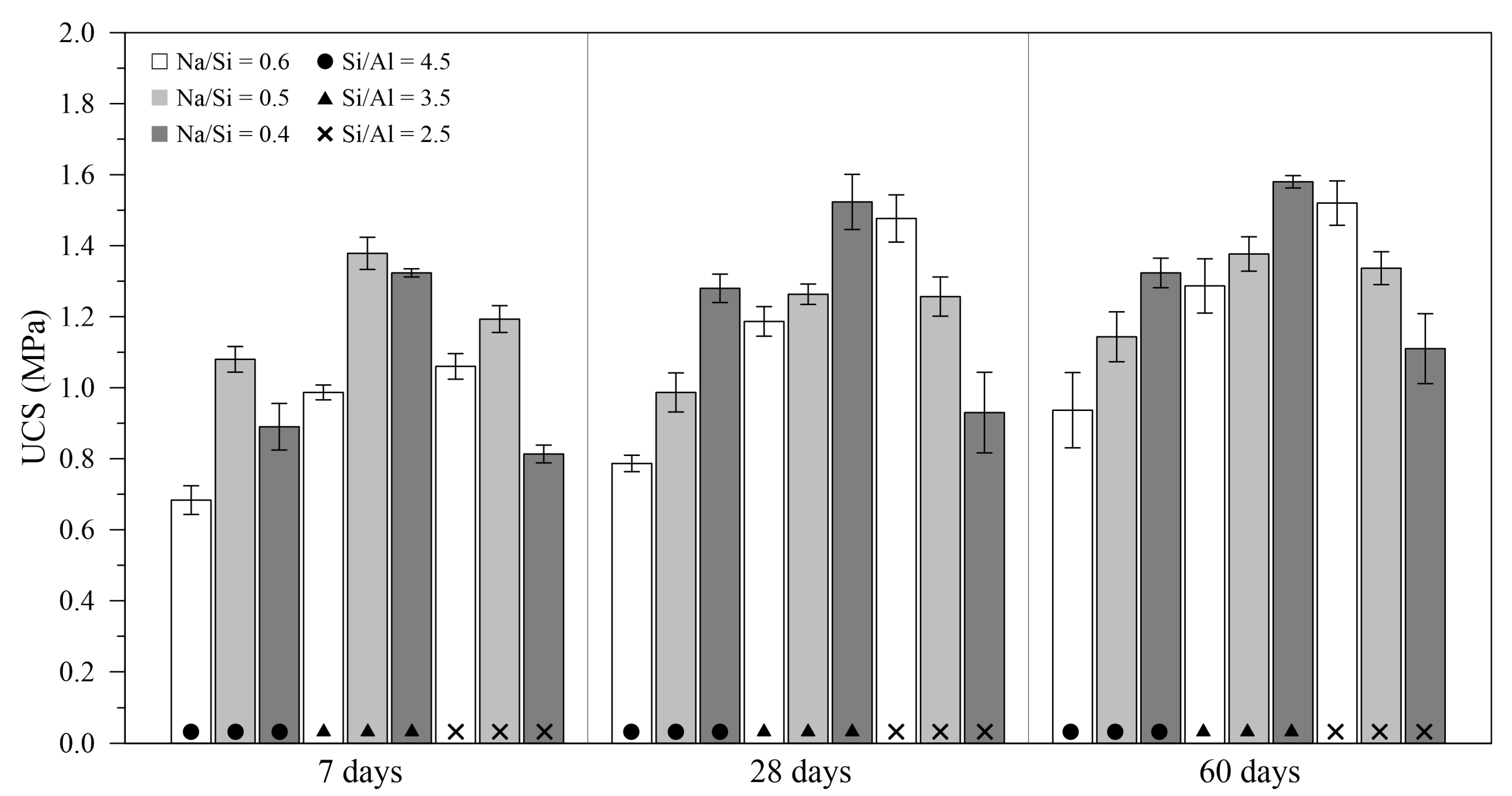
Figure 3 presents the results for the UCS of the cemented tailings over the variation in the three controllable factors (Si/Al ratio, Na/Si ratio, and curing period). At 7 days of curing, the cemented material with 3.5 Si/Al and 0.5 Na/Si ratios reached 1.38 MPa; however, at 28 and 60 days, the highest strengths (1.52 and 1.58 MPa, respectively) were observed in the IOT cement with 3.5 Si/Al and 0.4 Na/Si ratios. In general, the IOT cement mixtures showed a tendency for strength gain at intermediate Si/Al and lower Na/Si ratios. Additionally, strength development occurred significantly over the 28 days, with a smaller increase from that period up to 60 days.
Figure 3.
Unconfined compressive strength of the IOT cement mixtures for different Na/Si and Si/Al ratios under the studied curing periods.
The Si/Al ratio influenced the properties of the proposed alkali-activated cement, directly affecting strength development. This influence is rooted in its role in the dissolution and polymerization reactions of aluminosilicate precursors. An increase in the Si/Al ratio from 2.5 to 3.5 correlates with enhanced strength, while a further increase to 4.5 hinders strength development. In alkali-activated cements, reactions involve the dissolution and polymerization of aluminosilicate precursors, breaking down silica (SiO2) and alumina (Al2O3) components in an alkaline activator [50,51,52]; in this study, the alkali activation reactions occur with the amorphous aluminosilicates present in the metakaolin (Table 2 and Figure 2) in the presence of sodium hydroxide and sodium silicate. This process leads to the formation of new amorphous aluminosilicate gels through the partial dissolution and reorganization of the original amorphous phase present in metakaolin. While the precursor already contains a significant amount of amorphous aluminosilicate material, the alkali activation promotes chemical restructuring, resulting in a distinct gel network with different structural and mechanical properties from the original precursor phase [53]. The Si/Al ratio shapes these reactions, impacting the mechanical and chemical characteristics. According to previous studies [54,55], higher Si/Al ratios tend to favor the formation of more polymerized aluminosilicate gels, which are often associated with improved long-term strength and durability. However, these conditions may also reduce the reactivity of the system, leading to slower setting and lower early strength. On the other hand, lower Si/Al ratios have been linked to the formation of less polymerized gels, potentially enhancing early reactivity but compromising long-term performance. Although these effects were not directly measured in the present study, the mechanical performance observed for each mixture aligns with the trends reported in the literature. While enhancing reactivity and leading to faster setting times and higher early strength, this may involve compromises in long-term performance [47]. Results indicate that a Si/Al ratio of 3.5 demonstrated superior mechanical performance for all studied mixtures. This trend aligns with the understanding derived from fundamental principles, where a Si/Al ratio of 3.5 strikes an equilibrium, promoting the formation of well-polymerized gels. This optimal gel structure, resulting from the harmonization of silica and alumina components, substantiates the higher mechanical properties.
The Na/Si ratio introduces another layer of complexity, particularly during the initial 7-day curing period. The transition from a Na/Si ratio of 0.6 to 0.5 to a Si/Al ratio of 4.5 likely heightened alkali availability during the early stages of curing, promoting increased reactivity during the activation process and an associated increase in strength. Conversely, the subsequent shift from a Na/Si ratio of 0.5 to 0.4, also during the initial 7-day period, may have induced alterations in the gel structure or affected specific reaction kinetics, resulting in a decrease in strength. The finding that the strength at a Na/Si ratio of 0.4 surpassed that observed at 0.6 suggests a balance in these chemical processes. Similarly, specimens with a Si/Al ratio of 3.5 exhibited a comparable behavior during the 7-day curing period. The observed increase in strength with a shift from a Na/Si ratio of 0.6 to 0.5 aligns with the notion of heightened alkali availability enhancing reactivity, leading to improved mechanical performance. The subsequent decrease in strength when transitioning from 0.5 to 0.4 Na/Si further underscores the sensitivity of the system to variations in the Na/Si ratio. Specimens with a Si/Al ratio of 2.5 displayed a slightly different response during the initial 7-day period. While the increase in strength with a Na/Si ratio shift from 0.6 to 0.5 can be attributed to enhanced reactivity, the subsequent decrease from 0.5 to 0.4 suggests a nuanced Si/Al ratio-dependent behavior. At lower Si/Al ratios, the observed decrease in strength at a Na/Si ratio of 0.4, compared to 0.6, may indicate a more intricate interaction between alkali concentrations and the specific chemical reactions governing the cementitious matrix [53,56].
An alternative outcome emerged with extended curing periods (28 and 60 days), revealing a different response to Na/Si ratios. The decrease in the Na/Si ratio (0.6 to 0.5 to 0.4) led to higher strength for Si/Al ratios of 4.5 and 3.5. This phenomenon can be explained by the extended time available for alkali-activated reactions to progress, allowing for a more comprehensive and favorable gel formation, thereby resulting in increased strength [50]. Conversely, for a Si/Al ratio of 2.5, the increase in strength with an increase in the Na/Si ratio during the extended curing periods may be attributed to nuanced variations in the alkali-activated reactions. The prolonged curing time likely facilitated a more thorough development of the cementitious matrix, influenced by the interplay between Si/Al and Na/Si ratios [54]. These findings underscore the intricate nature of alkali-activated cement hydration, revealing the interdependence of Si/Al and Na/Si ratios and their varying effects over different curing periods. The evolving mechanical properties observed underscore the need for a comprehensive understanding to tailor alkali-activated cements for specific applications.
Across all investigated combinations encompassing various Si/Al and Na/Si ratios, a consistent trend was observed: an increase in the curing period corresponded to a concurrent increase in strength. This can be attributed to the prolonged time available for alkali-activated reactions to occur. During the extended curing periods, the chemical processes inherent to alkali-activated cements were afforded additional time for reaction kinetics and gel formation [57]. The extended duration facilitated a more favorable development of the cementitious matrix. The interactions between Si/Al and Na/Si ratios, in conjunction with the alkaline activation process, exhibited heightened efficacy over time, contributing to enhanced mechanical properties. This effect with prolonged curing underscores the dynamic nature of alkali-activated cements, where the interplay of key factors becomes increasingly pronounced, offering valuable insights for tailoring these materials to specific applications with optimal strength characteristics.
A statistical analysis was applied to the research data, considering the three controlled factors: Si/Al ratio (A), Na/Si ratio (B), and curing period (C). In evaluating the primary factors’ effects (Figure 4), it was observed that augmenting both the Si/Al and Na/Si ratios initially resulted in a strength increase, followed by a subsequent decline. Conversely, the increase in the curing period consistently demonstrated a positive correlation with strength, emphasizing its unilateral impact in enhancing material properties.
Figure 4.
Main effect plots obtained during three-factor full factorial design study for unconfined compressive strength of IOT cement mixtures: (a) Si/Al ratio; (b) Na/Si ratio; and (c) curing period.
Furthermore, the importance of the primary factors and their second-order interactions was analyzed using a Pareto chart (Figure 5). Factors surpassing the dotted line wield significant influence on the response variable. In this context, all primary factors (A, B, and C) and two second-order interactions (AB and BC) exerted significant influence on strength, whereas the second-order interaction AC did not. This additional analysis serves to reinforce the mechanical results, substantiating the observed trends.
Figure 5.
Pareto chart obtained during three-factor full factorial design study for unconfined compressive strength of IOT cement mixtures.
The unconfined compressive strength of the cemented tailings ranged from 0.68 to 1.38 MPa at 7 days, 0.79 to 1.52 MPa at 28 days, and 0.94 to 1.58 MPa at 60 days. These results indicate that the material presents sufficient strength for various low to moderate load-bearing applications. Potential uses include non-structural construction components such as interlocking blocks and paving units, stabilized layers in low-traffic or rural roads, mine backfill, and subbase layers in geotechnical works [58,59]. The continuous strength gain over time and the mechanical consistency highlight its viability as a sustainable alternative to conventional materials, particularly in applications where environmental considerations, durability, and reuse of industrial byproducts are key priorities.
3.2. Microstructural Results
Figure 6 displays SEM images of cemented specimens with a Si/Al ratio of 3.5 and a Na/Si ratio of 0.5 for both investigated curing periods (7 and 60 days). The images unveil a distinct variation in the distribution of cementing agents within the iron ore matrix for the 7-day and 60-day curing periods. While both periods exhibit identifiable cement particles through Scanning Electron Microscopy, a difference emerges: the 7-day specimens display a less homogeneous distribution (Figure 6a,b) compared to the 60-day counterparts (Figure 6c,d), with visual analysis indicating less coverage of cement particles across the surface. Sequential microstructural images taken at the analyzed curing intervals illustrate the evolving matrix structure during these specific periods. Similar findings have been found for alkali-activated materials [31,44,45].
Figure 6.
SEM images of the IOT cement mixture at different curing stages and magnifications: (a) 7-day curing period, 200× magnification; (b) 7-day curing period, 2000× magnification; (c) 60-day curing period, 150× magnification; and (d) 60-day curing period, 2500× magnification. The red symbols (Spectra 1, 2, 3, and 4) correspond to the points analyzed by EDS. In (d), the yellow dashed lines outline iron ore tailings (IOTs) particles, and the blue dashed lines indicate the surrounding cementitious binder.
In the early stages, a prevalence of unreacted particles is observed (Figure 6a), evolving into a more compact and homogeneous microstructure, indicative of continued reaction and binder formation (Figure 6c). This time-dependent evolution underscores the significance of extended curing periods in optimizing material properties [31,44,45]. Microscopic examination further highlights well-defined interfaces between the cementitious binder and iron ore particles (see Figure 6d). The presence of a dense interfacial transition zone suggests effective adhesion, promoting load transfer between phases. These microstructural findings align with the mechanical results, wherein the 7-day specimens exhibit lower resistance compared to their 60-day counterparts. The less uniform distribution in the 7-day specimens and the identified regions of weaker bonding contribute to decreased structural integrity and mechanical strength, emphasizing the consequential impact of curing duration on the performance of the cemented material.
The EDS analysis (Figure 7) provides valuable insights into the complex mineral composition of iron ore mining tailings. EDS Point 1 reveals the presence of iron minerals, such as goethite and hematite. This identification is corroborated by both XRF and XRD analyses, confirming the presence of these elements and the identified minerals. In EDS Point 2, quartz particles in the iron ore tailings are observed. Various silicon peaks at this point confirm the identification of quartz, as observed in XRD analysis.
Figure 7.
SEM-EDS chemical mapping of the IOT cement mixture: (a) Spectrum 1; (b) Spectrum 2; (c) Spectrum 3; and (d) Spectrum 4. The presence of Au in the spectra is due to the gold coating used for sample preparation and is not part of the actual sample composition.
EDS Points 3 and 4 represent the cementitious gels used, offering crucial insights into the cement matrix. The observed cementitious gel indicates the formation of a silicon-rich gel (Si), incorporating sodium (Na) in its composition, known as N-A-S-H gel (sodium aluminosilicate hydrate). This formation is characteristic of the use of precursors with low calcium content, such as metakaolin [46,52,53]. Corroborating evidence from XRF and XRD analyses of the precursor materials used in the alkali-activated process further supports the identification of the components in EDS Points 3 and 4. Furthermore, N-A-S-H gel exhibits a three-dimensional structure, where silicon and aluminum tetrahedra are randomly distributed [60]. This structure imparts distinct mechanical properties to the material, directly influencing its strength and integrity [19,30].
The correlation between microstructural analyses and mechanical properties is evident in the results, where the 7-day specimens exhibit lower strength compared to the 60-day specimens. The less uniform distribution of particles in the 7-day specimens, along with identified areas with weaker bonding, contributes to decreased structural integrity and mechanical strength, underscoring the significant impact of the curing duration on the performance of the cemented material.
4. Conclusions
The research outcomes offer valuable insights into mining tailings stabilized with a one-part alkali-activated metakaolin over time, considering three factors: Si/Al ratio, Na/Si ratio, and curing period. Based on the findings of this research, the following conclusion can be drawn:
- (a)
- Si/Al ratio is pivotal for alkali-activated cement strength. Increasing the ratio from 2.5 to 3.5 enhances strength, but exceeding 4.5 impedes development. Optimal mechanical performance is observed at a Si/Al ratio of 3.5.
- (b)
- The Na/Si ratio introduces complexity, especially in the initial 7-day curing period. Shifts in Na/Si ratio influence alkali availability, impacting reactivity and strength. A decrease in Na/Si ratio during extended curing (28 and 60 days) correlates with higher strength for certain Si/Al ratios.
- (c)
- Prolonged curing periods (28 and 60 days) consistently yield increased strength. Extended duration benefits alkali-activated reactions, facilitating favorable cementitious matrix development. Statistical analysis confirms the significant influence of Si/Al and Na/Si ratios and curing periods on strength.
- (d)
- SEM images reveal variations in cementing agent distribution between the 7-day and 60-day curing periods. Seven-day specimens exhibit a less homogeneous distribution, weaker bonding, and decreased structural integrity. EDS analysis aids in identifying the mineral composition of iron ore mining tailings and cementitious gels.
- (e)
- This research underscores the intricate nature of alkali-activated cement hydration. The interdependence of Si/Al and Na/Si ratios and their varying effects over different curing periods are highlighted. Strengthening effects observed with prolonged curing emphasize the dynamic nature of alkali-activated cement.
Finally, the findings suggest that one-part alkali-activated cements present a viable and sustainable solution for the responsible management of mining waste. The emphasis on considering both environmental and economic factors in tailings stabilization techniques is crucial.
It is important to acknowledge some limitations of this study. The current investigation focused primarily on mechanical strength and microstructural characteristics of the stabilized material. Aspects related to long-term durability, such as wet-dry cycling, freeze–thaw resistance, and metal leaching, were not addressed. In addition, advanced characterization techniques such as Fourier Transform Infrared Spectroscopy and Mercury Intrusion Porosimetry were not included. These limitations do not undermine the value of the findings but rather highlight opportunities for future research. Incorporating these aspects in subsequent studies would provide a more comprehensive understanding of the long-term performance and durability of one-part alkali-activated binders in tailings stabilization. Further research in this field holds promise for developing more effective and environmentally friendly practices in the mining industry.
Author Contributions
Conceptualization: N.C.C., G.J.B., S.T.F., M.T.d.A., A.M.L.C., and J.P.d.S.S.; methodology: N.C.C., F.M.J., T.P.F., G.J.B., S.T.F., M.T.d.A., A.M.L.C., and J.P.d.S.S.; validation: N.C.C., F.M.J., T.P.F., G.J.B., S.T.F., M.T.d.A., A.M.L.C., and J.P.d.S.S.; formal analysis: G.J.B. and S.T.F.; investigation: F.M.J. and T.P.F.; data curation: N.C.C., F.M.J., T.P.F., G.J.B., S.T.F., M.T.d.A., and A.M.L.C.; writing—original draft preparation: G.J.B. and S.T.F.; writing—review and editing: N.C.C., F.M.J., T.P.F., M.T.d.A., A.M.L.C., and J.P.d.S.S.; visualization: N.C.C., F.M.J., T.P.F., G.J.B., S.T.F., M.T.d.A., A.M.L.C., and J.P.d.S.S.; supervision: N.C.C. and A.M.L.C. All authors have read and agreed to the published version of the manuscript.
Funding
This research received no external funding.
Data Availability Statement
The datasets used and/or analyzed during the current study are available from the corresponding author upon reasonable request.
Conflicts of Interest
João Paulo de Sousa Silva is an employee of VALE S.A. This paper reflects the views of the scientists and not the company.
Abbreviations
| OPM | One-part method |
| TPM | Two-part method |
| GGBFS | Ground granulated blast-furnace slag |
| IOT | Iron ore tailings |
| MK | Metakaolin |
| ASTM | American Society for Testing and Materials |
| XRF | X-ray fluorescence spectrometry |
| XRD | X-ray diffraction |
| USCS | Unified Soil Classification System |
| SM | Sandy silt |
| ANOVA | Analysis of variance |
| UCS | Unconfined compressive strength |
| SEM | Scanning Electron Microscopy |
| EDS | Energy dispersive X-ray spectroscopy |
| N-A-S-H | Sodium aluminosilicate hydrate |
References
- Osei, V.; Bai, C.; Asante-darko, D.; Quayson, M. Evaluating the Barriers and Drivers of Adopting Circular Economy for Improving Sustainability in the Mining Industry. Resour. Policy 2023, 86, 104168. [Google Scholar] [CrossRef]
- Lima, A.T.; Bastos, F.A.; Teubner, F.J., Jr.; Neto, R.R.; Cooper, A.; Barroso, G.F. Strengths and Weaknesses of a Hybrid Post-Disaster Management Approach: The Doce River (Brazil) Mine-Tailing Dam Burst. Environ. Manag. 2020, 65, 711–724. [Google Scholar] [CrossRef] [PubMed]
- Duarte, G.M.C.; Lameiras, F.S. Challenges for the Destiny of Iron Mining Tailings in the Iron Quadrangle of Minas Gerais, Brazil. Rev. Virtual Química 2022, 14, 552–559. [Google Scholar] [CrossRef]
- Mashifana, T.; Sithole, T. Evaluation of Chemically Treated and Lime Stabilized Gold Mine Tailings: Effect on Unconfined Compressive Strength. Key Eng. Mater. 2019, 803, 366–370. [Google Scholar] [CrossRef]
- Dayo-olupona, O.; Genc, B.; Celik, T.; Bada, S. Adoptable Approaches to Predictive Maintenance in Mining Industry: An Overview. Resour. Policy 2023, 86, 104291. [Google Scholar] [CrossRef]
- Hernández-Ramos, S.M.; Trejo-Arroyo, D.L.; Cholico-González, D.F.; Rodríguez-Torres, G.M.; Zárate-Medina, J.; Vega-Azamar, R.E.; León-Patiño, C.A.; Ortíz-Lara, N. Characterization and Effect of Mechanical and Thermal Activation in Mining Tailings for Use as Supplementary Cementitious Material. Case Stud. Constr. Mater. 2024, 20, e02770. [Google Scholar] [CrossRef]
- Zúñiga-Barra, H.; Toledo-Alarcón, J.; Torres-Aravena, Á.; Jorquera, L.; Rivas, M.; Gutiérrez, L.; Jeison, D. Improving the Sustainable Management of Mining Tailings through Microbially Induced Calcite Precipitation: A Review. Miner. Eng. 2022, 189, 107855. [Google Scholar] [CrossRef]
- Lumbroso, D.; Mcelroy, C.; Goff, C.; Collell, M.R.; Petkovsek, G.; Wetton, M. The Potential to Reduce the Risks Posed by Tailings Dams Using Satellite-Based Information. Int. J. Disaster Risk Reduct. 2019, 38, 101209. [Google Scholar] [CrossRef]
- Gomes, L.E.d.O.; Correa, L.B.; Sá, F.; Neto, R.R.; Bernardino, A.F. The Impacts of the Samarco Mine Tailing Spill on the Rio Doce Estuary, Eastern Brazil. Mar. Pollut. Bull. 2017, 120, 28–36. [Google Scholar] [CrossRef] [PubMed]
- Armstrong, M.; Langrené, N.; Petter, R.; Chen, W.; Petter, C. Accounting for Tailings Dam Failures in the Valuation of Mining Projects. Resour. Policy 2019, 63, 101461. [Google Scholar] [CrossRef]
- Furlan, J.P.R.; dos Santos, L.D.R.; Moretto, J.A.S.; Ramos, M.S.; Gallo, I.F.L.; Alves, G.d.A.D.; Paulelli, A.C.; Rocha, C.C.d.S.; Cesila, C.A.; Gallimberti, M.; et al. Occurrence and Abundance of Clinically Relevant Antimicrobial Resistance Genes in Environmental Samples after the Brumadinho Dam Disaster, Brazil. Sci. Total Environ. 2020, 726, 138100. [Google Scholar] [CrossRef] [PubMed]
- Carmignano, O.R.; Vieira, S.S.; Teixeira, A.P.C.; Lameiras, F.S.; Brandão, P.R.G.; Lago, R.M. Iron Ore Tailings: Characterization and Applications. J. Braz. Chem. Soc. 2021, 32, 1895–1911. [Google Scholar] [CrossRef]
- Servi, S.; Lotero, A.; Silva, J.P.S.; Bastos, C.; Consoli, N.C. Mechanical Response of Filtered and Compacted Iron Ore Tailings with Different Cementing Agents: Focus on Tailings-Binder Mixtures Disposal by Stacking. Constr. Build. Mater. 2022, 349, 128770. [Google Scholar] [CrossRef]
- Caetano, I.; Rios, S.; Milheiro-Oliveira, P. Response Surface Design Models to Predict the Strength of Iron Tailings Stabilized with an Alkali-Activated Cement. Appl. Sci. 2024, 14, 8116. [Google Scholar] [CrossRef]
- Marques, S.F.V.; Bruschi, G.J.; De Araújo, M.T.; Consoli, N.C. Establishing Hoek–Brown Strength Parameters for Artificially Cemented Soils: Practical Methodology. Int. J. Geomech. 2024, 24, 04023292. [Google Scholar] [CrossRef]
- Ferrazzo, S.T.; Tonini de Araújo, M.; Consoli, N.C. Which Solution Is More Sustainable: Waste Foundry Sand Stabilized with Alkali-Activated Binder or Portland Cement? J. Build. Eng. 2024, 84, 108448. [Google Scholar] [CrossRef]
- Zhang, G.; Yang, H.; Ju, C.; Yang, Y. Novel Selection of Environment-Friendly Cementitious Materials for Winter Construction: Alkali-Activated Slag/Portland Cement. J. Clean. Prod. 2020, 258, 120592. [Google Scholar] [CrossRef]
- Levandoski, W.M.K.; Ferrazzo, S.T.; Piovesan, M.A.; Bruschi, G.J.; Consoli, N.C.; Korf, E.P. Long—Term Performance: Strength and Metal Encapsulation in Alkali—Activated Iron Ore Tailings. Environ. Sci. Pollut. Res. 2024, 31, 47071–47083. [Google Scholar] [CrossRef] [PubMed]
- Cristelo, N.; Rivera, J.; Miranda, T.; Fernández-Jiménez, A. Stabilisation of a Plastic Soil with Alkali Activated Cements: Developed from Industrial Wastes. Sustainability 2021, 13, 4501. [Google Scholar] [CrossRef]
- Xiaolong, Z.; Shiyu, Z.; Hui, L.; Yingliang, Z. Disposal of Mine Tailings via Geopolymerization. J. Clean. Prod. 2021, 284, 124756. [Google Scholar] [CrossRef]
- Farenzena, H.P.; Bruschi, G.J.; Medina, G.S.; Silva, J.P.d.S.; Lotero, A.; Consoli, N.C. Iron Ore Tailings Stabilization with Alternative Alkali-Activated Cement for Dry Stacking: Mechanical and Microstructural Insights. Can. Geotech. J. 2024, 61, 649–667. [Google Scholar] [CrossRef]
- Saldanha, R.B.; Caicedo, A.M.L.; De Araújo, M.T.; Scheuermann Filho, H.C.; Moncaleano, C.J.; Silvia, J.P.S.; Consoli, C. Potential Use of Iron Ore Tailings for Binder Production: A Life Cycle Assessment. Constr. Build. Mater. 2023, 365, 130008. [Google Scholar] [CrossRef]
- Cunha, J.T.d.; Ferreira, I.C.; Campos, L.J.F.; Galery, R.; Mazzinghy, D.B. Geopolymer as an Alternative Stabilizer of Waste and Tailings from Iron Mining. Tecnol. Metal. Mater. Mineração 2025, 22, e3201. [Google Scholar] [CrossRef]
- Ibrahim, J.E.F.M.; Tihtih, M.; Kurovics, E.; Gömze, L.A.; Kocserha, I. Innovative Glass-Ceramic Foams Prepared by Alkali Activation and Reactive Sintering of Clay Containing Zeolite (Zeolite-Poor Rock) and Sawdust for Thermal Insulation. J. Build. Eng. 2022, 59, 105160. [Google Scholar] [CrossRef]
- Batuecas, E.; Ramón-Álvarez, I.; Sánchez-Delgado, S.; Torres-Carrasco, M. Carbon Footprint and Water Use of Alkali-Activated and Hybrid Cement Mortars. J. Clean. Prod. 2021, 319, 128653. [Google Scholar] [CrossRef]
- Al-noaimat, Y.A.; Chougan, M.; Albar, A.; Skibicki, S.; Federowicz, K.; Hoffman, M.; Sibera, D.; Cendrowski, K.; Techman, M.; Pacheco, J.N.; et al. Recycled Brick Aggregates in One-Part Alkali-Activated Materials: Impact on 3D Printing Performance and Material Properties. Dev. Built Environ. 2023, 16, 100248. [Google Scholar] [CrossRef]
- Zhao, Q.; Ma, C.; Huang, B.; Lu, X. Development of Alkali Activated Cementitious Material from Sewage Sludge Ash: Two-Part and One-Part Geopolymer. J. Clean. Prod. 2023, 384, 135547. [Google Scholar] [CrossRef]
- Ren, J.; Sun, H.; Li, Q.; Li, Z.; Ling, L.; Zhang, X.; Wang, Y.; Xing, F. Experimental Comparisons between One-Part and Normal (Two-Part) Alkali-Activated Slag Binders. Constr. Build. Mater. 2021, 309, 125177. [Google Scholar] [CrossRef]
- Metekong, J.V.S.; Kaze, C.R.; Adesina, A.; Nemaleu, J.G.D.; Djobo, J.N.Y.; Lemougna, P.N.; Alomayri, T.; Kamseu, E.; Melo, U.C.; Tatietse, T.T. Influence of Thermal Activation and Silica Modulus on the Properties of Clayey-Lateritic Based Geopolymer Binders Cured at Room Temperature. Silicon 2022, 14, 7399–7416. [Google Scholar] [CrossRef]
- Tonini de Araújo, M.; Ferrazzo, S.T.; Chaves, H.M.; Da Rocha, C.G.; Consoli, N.C. Mechanical Behavior, Mineralogy and Microstructure of Alkali-Activated Wastes-Based Binder for a Clayey Soil Stabilization. Constr. Build. Mater. 2023, 362, 129757. [Google Scholar] [CrossRef]
- Bazarbekova, A.; Naik, S.R.; Kim, Y.; Little, D.; Jung, J.S.; Park, Y.-B. One-Part Alkali-Activated Soil Stabilization with Sodium Metasilicate: Mechanical-Geochemical-Mineralogical Characterization. Transp. Geotech. 2024, 44, 101163. [Google Scholar] [CrossRef]
- Tigue, A.A.S.; Malenab, R.A.J.; Dungca, J.R.; Yu, D.E.C.; Promentilla, M.A.B. Chemical Stability and Leaching Behavior of One-Part Geopolymer from Soil and Coal Fly Ash Mixtures. Minerals 2018, 8, 411. [Google Scholar] [CrossRef]
- Zheng, X.; Wu, J. Early Strength Development of Soft Clay Stabilized by One-Part Ground Granulated Blast Furnace Slag and Fly Ash-Based Geopolymer. Front. Mater. 2021, 8, 616430. [Google Scholar] [CrossRef]
- Consoli, N.C.; Pedroso de Oliveira, J.; Lotero, A.; Scheuermann Filho, H.C.; Nuñéz, V. One-Part Alkali-Activated GGBFS as a Cement for Enhancing Compacted Filtered Iron Ore Tailings Disposal by Stacking. Transp. Geotech. 2024, 48, 101306. [Google Scholar] [CrossRef]
- ASTM D854; Standard Test Methods for Specific Gravity of Soil Solids by the Water Displacement Method. ASTM International: West Conshohocken, PA, USA, 2023; pp. 1–9.
- ASTM D4318; Standard Test Methods for Liquid Limit, Plastic Limit, and Plasticity Index of Soils. ASTM International: West Conshohocken, PA, USA, 2017; pp. 1–20. [CrossRef]
- ASTM D7928; Standard Test Method for Particle-Size Distribution (Gradation) of Fine-Grained Soils Using the Sedimentation (Hydrometer) Analysis. ASTM International: West Conshohocken, PA, USA, 2017; pp. 1–25. [CrossRef]
- ASTM D2487-17; Standard Practice for Classification of Soils for Engineering Purposes (Unified Soil Classification System). ASTM International: West Conshohocken, PA, USA, 2017; pp. 1–10. [CrossRef]
- Lima, B.M.; Bruschi, G.J.; Festugato, L.; Consoli, N.C. Mechanical Behavior of a Granular Soil Stabilized with Alkali-Activated Waste. J. Mater. Civ. Eng. 2024, 36, 04023485. [Google Scholar] [CrossRef]
- Festugato, L.; da Silva, A.P.; Diambra, A.; Consoli, N.C.; Ibraim, E. Modelling Tensile/Compressive Strength Ratio of Fibre Reinforced Cemented Soils. Geotext. Geomembr. 2018, 46, 155–165. [Google Scholar] [CrossRef]
- Ladd, R. Preparing Test Specimens Using under Compaction. Geotech. Test. J. 1978, 1, 16–23. [Google Scholar] [CrossRef]
- Consoli, N.C.; Foppa, D.; Festugato, L.; Heineck, K.S. Key Parameters for Strength Control of Artificially Cemented Soils. J. Geotech. Geoenviron. Eng. 2007, 133, 197–205. [Google Scholar] [CrossRef]
- Montgomery, D.C. Design and Analysis of Experiments, 9th ed.; Montgomery, D.C., Ed.; John Wiley & Sons: Hoboken, NJ, USA, 2017; ISBN 9781119113478. [Google Scholar]
- Zhang, Y.; Zhang, S.; Liu, C.; Çopuroglu, O. Characterizing Two Types of Zonation within Slag Rims of Aged Alkali-Activated Slag Pastes through SEM and TEM. Cem. Concr. Res. 2024, 176, 107409. [Google Scholar] [CrossRef]
- Sun, Y.; Zhang, S.; Rahul, A.V.; Tao, Y.; Van Bockstaele, F.; Dewettinck, K.; Ye, G.; Schutter, G. De Rheology of Alkali-Activated Slag Pastes: New Insight from Microstructural Investigations by Cryo-SEM. Cem. Concr. Res. 2022, 157, 106806. [Google Scholar] [CrossRef]
- Dembovska, L.; Bajare, D.; Ducman, V.; Korat, L.; Bumanis, G. The Use of Different By-Products in the Production of Lightweight Alkali Activated Building Materials. Constr. Build. Mater. 2017, 135, 315–322. [Google Scholar] [CrossRef]
- Duxson, P.; Fernández-Jiménez, A.; Provis, J.L.; Lukey, G.C.; Palomo, A.; van Deventer, J.S.J. Geopolymer Technology: The Current State of the Art. J. Mater. Sci. 2007, 42, 2917–2933. [Google Scholar] [CrossRef]
- Cristelo, N.; Glendinning, S.; Fernandes, L.; Pinto, A.T. Effect of Calcium Content on Soil Stabilisation with Alkaline Activation. Constr. Build. Mater. 2012, 29, 167–174. [Google Scholar] [CrossRef]
- ASTM D2166/D2166M; Standard Test Method for Unconfined Compressive Strength of Cohesive Soil. ASTM International: West Conshohocken, PA, USA, 2024; pp. 1–8.
- Komnitsas, K.; Vathi, D.; Steiakakis, E.; Bartzas, G.; Perdikatsis, V. Insights on Stabilization of Marly Soils through Alkali Activation with the Use of Slag and Metakaolin as Additives. Case Stud. Chem. Environ. Eng. 2023, 8, 100400. [Google Scholar] [CrossRef]
- Duxson, P.; Mallicoat, S.W.; Lukey, G.C.; Kriven, W.M.; van Deventer, J.S.J. The Effect of Alkali and Si/Al Ratio on the Development of Mechanical Properties of Metakaolin-Based Geopolymers. Colloids Surfaces A Physicochem. Eng. Asp. 2007, 292, 8–20. [Google Scholar] [CrossRef]
- Kong, L.; Fan, Z.; Ma, W.; Lu, J.; Liu, Y. Effect of Curing Conditions on the Strength Development of Alkali-Activated Mortar. Crystals 2021, 11, 1455. [Google Scholar] [CrossRef]
- Kiventerä, J.; Lancellotti, I.; Catauro, M.; Dal Poggetto, F.; Leonelli, C.; Illikainen, M. Alkali Activation as New Option for Gold Mine Tailings Inertization. J. Clean. Prod. 2018, 187, 76–84. [Google Scholar] [CrossRef]
- Zhang, L.; Ahmari, S.; Zhang, J. Synthesis and Characterization of Fly Ash Modified Mine Tailings-Based Geopolymers. Constr. Build. Mater. 2011, 25, 3773–3781. [Google Scholar] [CrossRef]
- Tchakouté, H.K.; Rüscher, C.H.; Kong, S.; Kamseu, E.; Leonelli, C. Comparison of Metakaolin-Based Geopolymer Cements from Commercial Sodium Waterglass and Sodium Waterglass from Rice Husk Ash. J. Sol-Gel Sci. Technol. 2016, 78, 492–506. [Google Scholar] [CrossRef]
- Fernández-Jiménez, A.; Palomo, A. Composition and Microstructure of Alkali Activated Fly Ash Binder: Effect of the Activator. Cem. Concr. Res. 2005, 35, 1984–1992. [Google Scholar] [CrossRef]
- Hong, F.; Yu, S.; Hou, D.; Li, Z.; Sun, H.; Wang, P.; Wang, M. Study on the Mechanical Properties, Gelling Products and Alkalization Process of Alkali—Activated Metakaolin: From Experiment to Molecular Dynamics Simulation. J. Build. Eng. 2023, 79, 107705. [Google Scholar] [CrossRef]
- U.S. Department of Defense. UFC 3-250-11: Soil Stabilization and Modification for Pavements. Available online: https://www.wbdg.org/FFC/DOD/UFC/ufc_3_250_11_2020.pdf (accessed on 2 May 2025).
- Consoli, N.C.; Collatto, D.; Carvalho, J.V.d.A.; Wagner, A.C.; Silva, J.P.d.S.; Sousa, G.M.d.; Scheuermann Filho, H.C. Resilience of Compacted Iron Ore Tailings—Binder Blends for Dry Stacking. Geotech. Geol. Eng. 2025, 43, 164. [Google Scholar] [CrossRef]
- García-lodeiro, I.; Maltseva, O.; Palomo, Á.; Fernández-Jiménez, A. Hybrid Alkaline Cements: Part I. Fundamentals. Rom. J. Mater. 2012, 42, 330–335. [Google Scholar]
Disclaimer/Publisher’s Note: The statements, opinions and data contained in all publications are solely those of the individual author(s) and contributor(s) and not of MDPI and/or the editor(s). MDPI and/or the editor(s) disclaim responsibility for any injury to people or property resulting from any ideas, methods, instructions or products referred to in the content. |
© 2025 by the authors. Licensee MDPI, Basel, Switzerland. This article is an open access article distributed under the terms and conditions of the Creative Commons Attribution (CC BY) license (https://creativecommons.org/licenses/by/4.0/).






