Abstract
In the absence of appropriate tools and a knowledge base for exploring high-grade metamorphic terrains, felsic gneiss complexes at granulite facies have long been considered barren and have remained undermapped and understudied. This was the case of the Bondy gneiss complex in the southwestern Grenville Province of Canada which consists of 1.39–1.35 Ga volcanic and plutonic rocks metamorphosed under granulite facies conditions at 1.19 Ga. Iron oxide–apatite and Cu-Ag-Au mineral occurrences occur among gneisses rich in biotite, cordierite, garnet, K-feldspar, orthopyroxene and/or sillimanite-rich gneisses, plagioclase-cordierite-orthopyroxene white gneisses, magnetite-garnet-rich gneisses, garnetites, hyperaluminous sillimanite-pyrite-quartz gneisses, phlogopite-sillimanite gneisses, and tourmalinites. Petrological and geochemical studies indicate that the precursors of these gneisses are altered volcanic and volcaniclastic rocks with attributes of pre-metamorphic Na, Ca-Fe, K-Fe, K, chloritic, argillic, phyllic, advanced argillic and skarn alteration. The nature of these hydrothermal rocks and the ore deposit model that best represents them are further investigated herein through lithogeochemistry. The lithofacies mineralized in Cu (±Au, Ag, Zn) are distinguished by the presence of garnet, magnetite and zircon, and exhibit pronounced enrichment in Fe, Mg, HREE and Zr relative to the least-altered rocks. In discrimination diagrams, the metamorphosed mineral system is demonstrated to exhibit the diagnostic attributes of, and is interpreted as, a metasomatic iron and alkali-calcic (MIAC) mineral system with iron oxide–apatite (IOA) and iron oxide copper–gold (IOCG) mineralization that evolves toward an epithermal cap. This contribution demonstrates that alteration facies diagnostic of MIAC systems and their IOCG and IOA mineralization remain diagnostic even after high-grade metamorphism. Exploration strategies can thus use the lithogeochemical footprint and the distribution and types of alteration facies observed as pathfinders for the facies-specific deposit types of MIAC systems.
1. Introduction
The most recognized hydrothermal alteration zones metamorphosed to upper amphibolite to granulite facies are those situated in proximity to, and among known mineral deposits [1,2]. In the Grenville Province, the volcano-plutonic belts and associated hydrothermal systems now occurring as dominantly felsic gneiss complexes have remained largely unrecognized until this millennium [2,3,4], although knowledge of what to look for in terms of the most diagnostic lithotypes of hydrothermal alteration zones had been known for decades [5]. Still, metamorphosed alteration zones are often misinterpreted as metapelites, meta-exhalites, and other metasedimentary rocks based on the presence of sillimanite-rich rocks, garnetites, tourmalinites and cordierite- or garnet-rich rocks (e.g., Refs. [3,6]) [2]. Without the recognition of metamorphosed alteration zones and a robust assessment of a genetic ore deposit model [2], the mineral potential of high-grade metamorphic terranes may remain unrecognized or undervalued, given the common lack of gossans associated with mineralization metamorphosed at granulite facies conditions in glaciated terranes. The field criteria for the identification of fossil hydrothermal systems metamorphosed to high grades [1,2,3,4,5,6,7,8,9,10,11,12,13,14] have been applied to the Bondy gneiss complex (BGC) in the southwest Grenville Province of Canada. The BGC is listed as a rare example of metasomatic iron and alkali-calcic (MIAC) mineral system with iron oxide–apatite (IOA) and iron oxide copper–gold (IOCG) mineralization at granulite facies in the review papers of Corriveau and Spry [2] and Corriveau and Montreuil [15]. In addition to IOA and IOCG mineralization, skarn and epithermal mineralization also occur [4,8,14], yet the BGC remains underexplored with no known ore deposits [4,8]. Success of future exploration programs requires a robust ore deposit model.
With recent advances on the understanding of the MIAC mineral system [7,15,16,17,18,19,20,21,22], it is now recognized that unmetamorphosed MIAC systems have diagnostic and distinctive geological and lithogeochemical footprints that are largely independent of the initial composition of the host volcanic, volcaniclastic, sedimentary or plutonic rocks [17,18,19,20,21]. The stability of the distinct sets of metasomatic mineral parageneses (i.e., alteration facies) —precipitated as the physicochemical conditions of fluids evolve— controls the lithogeochemical signatures of the metasomatites [15,16,17,18,19,20,21,22]. Each alteration facies precipitate a distinct metal association and can form distinct deposit types (see ore deposit model in Figure 7 of Ref. [15]). The distinct alteration facies thus serve as mappable prospectivity criteria to guide exploration, and as will be shown here, they remain so after high-grade metamorphism.
In previous work, mineral paragenesis, mineral contents and lithological associations of the BGC were shown to be consistent with a MIAC ore system model [2,3,4,14] even though the complex underwent significant deformation and metamorphism under granulite facies conditions (~950 °C, 10 kbar [23,24]). However, a second example of MIAC systems listed in review papers [2,15], the Johnnies Reward Cu-Pb-Zn-(Ag-Au) prospect in Australia, has been interpreted as (i) metamorphosed volcanic-hosted massive sulfide (VMS), (ii) IOCG and (iii) syn-sedimentary mineralization [2,25,26,27]. The syn-sedimentary model was derived from the interpretation of tourmalinites as meta-exhalites and other gneisses as sedimentary in origin [28]. A similar series of past interpretations has also taken place for the BGC [3,9].
This paper builds on the diagnostic lithogeochemical signatures and footprints of alteration facies in MIAC systems and their distinctiveness from other types of mineral systems to characterize the footprint of the metamorphosed metasomatic lithotypes of the BGC and in the process validate the MIAC ore system model proposed for it [2,4,8]. This is done by characterizing the element mobility induced by the pervasive and intense metasomatism of the host rocks prior to metamorphism. Then the available lithogeochemical data are plotted on the AIOCG lithogeochemical diagram of Montreuil et al. [20] and on the CCPI-AI diagram of Large et al. [29] with their molar Na, Ca, Fe, K, and Mg proportions as barcodes of the changes in major element chemistry in each sample [3,17,21,22]. The distribution and barcodes signatures of the BGC are shown to be diagnostic of known MIAC systems and to present significant similarities to a MIAC system of the Carajás mineral province in Brazil developed in a mafic-rich geological environment. The outcome is an additional case example of MIAC systems metamorphosed to high grades (see also [7,26]) that can be used worldwide to explore high-grade metamorphic terranes for IOA, IOCG and affiliated MIAC deposits, complementing the better knowledge acquired through time on other types of mineral systems [1,2,11,12,13,25].
2. Geological Setting
2.1. The Grenville Province
In the Grenville Province, crust formation occurred during two major events at 1.71–1.60 Ga (Labradorian) and 1.52–1.46 Ga (Pinwarian; [30]). Labradorian crustal-age domains are mostly exposed at the northeastern end of the orogen, though they are also sporadically recognized across the entire province, as are Pinwarian age rocks. For example, Labradorian and Pinwarian igneous rocks are present in the Central Gneiss Belt [31] including to the northeast of the Central metasedimentary Belt in Québec [32] (Figure 1). In the Grenville Province, the Mesoproterozoic domains exhibit significant lateral variability, with continental arc affinity and ~1.50–1.65 Nd model ages in the east [33], a large juvenile domain with older crustal fragments in central Grenville (Figure 1; Quebecia; [33,34,35], and mixed Nd model ages and continental arc affinity with some juvenile components to the west [36]. In the southwest Grenville Province, the younger Central Metasedimentary Belt (CMB; Figure 1; [4,37]) has been interpreted as a multi-stage back-arc aulacogen with juvenile (1.35–1.20 Ga) Elzevirian-age crust [38]. This back-arc was built on the continental arc margin of Laurentia [33,38]. Alternative interpretations have been proposed as reviewed in Refs [37,38].
In the province of Québec, the CMB consists of a western marble domain and an eastern quartzite domain (Figure 1), both of Elzevirian ages ([24,38,39,40,41] and references therein). The marble domain consists of calcitic and dolomitic marble interlayered with calc-silicate rock, quartzite, and pelitic or quartzofeldspathic gneiss [14]. The quartzite domain consists of quartzite intercalated with metapelite, quartzofeldspathic gneiss, marble, calc-silicate rock, and amphibolite [14]. The structural basement to these supracrustal domains comprises 1.39–1.35 Ga quartzofeldspathic gneiss complexes that outcrop as tectonic domes (Figure 1; BGC and Lacoste gneisses of the 1.45–1.30 Ga Elsonian event; [24,33,39,40,41]). In Québec, all the CMB units were metamorphosed at granulite facies conditions at 1.19 Ga during which a pervasive regional gneissic fabric formed. Subsequently, crystallization of in situ anatectic leucosomes occurred [14,39,40]. Chevreuil intrusions (1.19–1.16 Ga) are non-deformed and sharply cut the gneiss fabric and the leucosomes in the BGC [14,40]. Outside the BGC, the gneisses are extensively re-equilibrated at upper amphibolite conditions [14,24,39,40,41] and the Chevreuil intrusions still cut the gneiss fabric, exhibiting increasing deformation fabrics towards, and evidence of syn-tectonic magma emplacement within the deformation zones of the CMB of Québec [14,40]. This extensive overprinting metamorphic event and associated magmatism corresponds to the Shawinigan orogeny (1.18–1.16 Ga; [37]).
Figure 1.
(A) Simplified geologic map of eastern Canada with main crustal-age domains (modified from Indares et al. [37]). AH, Adirondacks; B, Bondy gneiss complex; CGB, Central Gneiss Belt; CMB, Central Metasedimentary Belt; MT, Morin terrane; PT, Pinwarian terrane; R, La Romaine; W, Wakeham; (B) Simplified geological map of the Central Metasedimentary Belt of Quebec from Ref. [14] with ages of intrusive suite updated from Ref. [41]. Ri, Rivard minette dyke; Ro, Rolleau ultramafic stock; Gi, Girard dyke. Deformation zones are BDZ, Baskatong-Désert zone; CZ, Cayamant zone; HZ, Heney zone; LZ, Labelle zone.
Figure 1.
(A) Simplified geologic map of eastern Canada with main crustal-age domains (modified from Indares et al. [37]). AH, Adirondacks; B, Bondy gneiss complex; CGB, Central Gneiss Belt; CMB, Central Metasedimentary Belt; MT, Morin terrane; PT, Pinwarian terrane; R, La Romaine; W, Wakeham; (B) Simplified geological map of the Central Metasedimentary Belt of Quebec from Ref. [14] with ages of intrusive suite updated from Ref. [41]. Ri, Rivard minette dyke; Ro, Rolleau ultramafic stock; Gi, Girard dyke. Deformation zones are BDZ, Baskatong-Désert zone; CZ, Cayamant zone; HZ, Heney zone; LZ, Labelle zone.

2.2. The Bondy Gneiss Complex
The BGC is a volcano-plutonic complex that dates to 1.39–1.35 Ga, comprising predominantly leucocratic granitic and tonalitic orthogneisses, interspersed with sporadic mafic amphibolite and mafic granulite units, which are meter- to kilometer-thick in places [4,14,39]. In its southern sector, the complex includes a metatonalitic pluton, 1386 ± 10 Ma in age [39]. This pluton is relatively homogeneous, leucocratic, and granoblastic, exhibiting local foliation with the occurrence of biotite, amphibole, and orthopyroxene. However, the precise nature of the contact of the intrusion with the host gneisses (i.e., homogeneous and isotropic versus gneissic) remains uncertain (a crosscutting timing relationships or a rheological difference inhibiting pervasive ductile deformation to a gneissic fabric?). Surrounding this mass is a series of monotonous orthogneisses with hornblende, biotite, orthopyroxene, and/or garnet as accessory minerals. This tonalitic pluton may be contemporaneous with the surrounding tonalitic gneisses [14,39]. The amphibolite and metamafic units intercalated with the gneisses have in some cases a ghost diabase texture or in one case a compositional igneous layering and are interpreted as transposed mafic sills and dykes [14]. In spite of the occurrence of granulite facies metamorphism, mafic granulite, intermediate gneiss, and tonalitic gneiss display reproducible major-, trace-, and minor-element, as well as Nd-isotope signatures that are compatible with those of volcanic and plutonic rocks formed in a mature island-arc environment developed on a continental basement [42]. In contrast, the tholeiitic mafic granulite exhibits geochemical characteristics consistent with those of modern back-arc basalts. The association of these rocks with K-feldspar-rich laminated gneiss, which has been interpreted as having a high-silica rhyolite or rhyolitic tuff protolith, suggests the presence of a bimodal volcanic sequence that was formed during the early stages of arc rifting [42]. Coeval gneisses complexes to the north, notably the Lacoste gneisses, display continental arc signatures [43]. An alternative interpretation to that of Blein et al. [42] is that the tonalites represent crustal melts with TDM age of 1.4 Ga whereas the mafic gneisses have mixed isotopic signatures derived from contamination of younger magmas with crustal material with the BGC representing a back arc-rifting [33]. The geometry of the CMB and the distribution of the Nd isotope model ages in Québec is best interpreted as representing an ensialic back-arc rift zone that failed, tapering northward, with a series of en-echelon basins over older horsts such as the BGC [33,38,44].
The BGC hosts in its northern part an extensive zone characterized by aluminous lithofacies with series of Cu-Ag-Au mineralization zones and prospects (Figure 2; [3,4,45,46]). Aluminous lithofacies, concentrated in the northern part of the BGC, are represented on the map as extending over 12 km following a 100 m wide N-S band with a kilometer S fold. Despite their mineralogical assemblages typical of pelitic and semipelitic gneisses, these aluminous lithofacies have mineral contents and bulk rock composition of hydrothermally altered volcanic rocks not metapelite and are interpreted as hydrothermally altered rocks metamorphosed under granulitic facies conditions [2,4,14]. Further characterization of their metasomatic origin is undertaken herein.
Figure 2.
Simplified geological map of the northern part of the Bondy gneiss complex (modified and information added from Refs. [4,45,46]). Mineralized zones include the Breccia Trail (BT), Lac Bing (LB), Lac Harvey (LH), and the EM1 zones of outcrops and the EM3 mineral occurrence with a magnetite ironstone (IOA-type mineralization).
The various zones of metamorphosed metasomatites of the Bondy gneiss complex are represented as a series of enveloping surface with distinct geophysical properties and lithofacies, each of which may not consist of lithofacies that are coeval stratigraphically (Figure 2 and Figure 3) [4,46]. From north to south, the footprint of the metasomatic mineral system comprises the following: (i) a 200 m thick magnesian tourmalinite unit with siliceous and sodic gneisses; (ii) a variety of felsic orthogneisses (Figure 3A–E); (iii) a variety of plagioclase-rich cordierite-orthopyroxene bearing gneisses (Figure 3F–G; (iv) a series of aluminous gneisses (biotite, cordierite, orthopyroxene and/or sillimanite); (v) subordinate units of K-feldspar-rich laminated gneisses; (vi) a series of garnetites with magnetite and chalcopyrite interlayered with cupriferous or non-mineralized layered amphibolites (Figure 3H); (vii) a zone of hyperaluminous sillimanite and quartz gneiss with pyrrhotite; (viii) some biotite-rich garnetites among biotite-garnet gneisses; and (ix) diverse units of layered amphibolites commonly with hornblende-bearing garnetites. A few horizons of marbles and calc-silicate rocks are also observed (Figure 2). They form a metric lens or entire outcrops among aluminous gneisses and garnetites. This contrasts markedly from the repeatedly interleaved occurrence of marble among paragneisses in the marble and quartzite domains that structurally overly the BGC [24].
Figure 3.
Examples of outcrops in the BGC; (A) Overview of the Lac Harvey showing with garnet (Grt)-bearing quartzofeldspathic (Qz-Fsp) gneisses; (B) Amphibolite with biotite (Bt)-orthopyroxene (Opx) and garnet-rich quartzofeldspathic gneisses in A; (C) Focus on the garnet- or biotite-rich layers in A; (D) Outcrop 1687, layered quartzofeldspathic gneiss with garnet ± clinopyroxene; (E) Outcrop 1687, calc-silicate pods with garnet and clinopyroxene (Cpx) among a quartzofeldspathic gneiss; (F) Outcrop 1654, plagioclase (Pl)-rich cordierite (Crd)-orthopyroxene (Opx) gneiss with garnet-rich layers; (G) Outcrop 1655, plagioclase-rich cordierite-orthopyroxene gneiss with layers rich in tourmaline (Tur); (H) Outcrop 4953, amphibolite with a zone of garnetite. Additional photographs of the BGC lithotypes can be found in Refs. [4,14,46].
The BGC hydrothermal system hosts four main Cu mineralized zones (EM1, Breccia Trail, Harvey Lake and Bing Lake), comprising (i) chalcopyrite-magnetite-quartz garnetites and an associated metamafic lens; (ii) quartzofeldspathic orthopyroxene gneisses; (iii) aluminous gneisses; and (iv) calc-silicate garnetites (Figure 2; [4,45,46]). A magnetite ironstone typical of IOA mineralization also occurs near the EM3 electromagnetic anomaly (Figure 2, outcrop 1687; [4]). Samples of this more recent discovery have not been analyzed within this project. Mineralized outcrops sampled by Richmond Minerals reach 4.2 wt% Cu and 0.11 g/t Au at the Bing prospects and 0.39 wt% Cu and 0.09 g/t Au at the Breccia Trail prospect [45]. Additional geochemical data on follow-up exploration programs, including of drill cores have not been released publicly.
Discoveries of other geological indicators of hydrothermal alteration such as garnetites and coticules, tourmalinites, hyperaluminous sillimanite-quartz gneisses and aluminous biotite, cordierite, garnet, orthopyroxene and/or sillimanite gneisses with or without abundant magnetite significantly improve effectiveness in targeting key area for mineral exploration during regional mapping of gneiss complexes.
3. Description of Lithotypes
This section describes the atypical gneisses of the BGC as their distinct mineralogy, mineral assemblages, mineral contents and lithotype associations are known to be valuable exploration guide in identifying metamorphosed hydrothermal alteration zones in metamorphic terranes [2,10,14]. Hydrothermal alteration (i.e., metasomatism where chemical transformation of host rocks is significant) may lead to the presence of minerals or lithological associations that deviate from those typically observed in normal paragneisses and orthogneisses, as well as the development of aluminous, sillimanite or muscovite-rich nodules and veins [2,9,10,11,12,13]. Textures and structures such as the recrystallized volcaniclastic fragments observed at one outcrop of the BGC among atypical rock compositions also provide insights into the nature of protoliths [2,10,12,13].
At granulite facies, the medium to coarse grain size of the minerals enables the assessment of the mineral assemblages and their textural relationships right in the field and on rock slabs from hand specimens and channel sampling; it also provides a mean to assess the generic major elements variations among and within gneisses and optimize the representative sampling of a mineral system for lithogeochemistry [2,10,14]. For this project, the variety of lithotypes were documented in the field, on rock slabs and on representative rock slabs etched with HF and stained with a cobaltinitrate solution to assess the proportions of plagioclase and K-feldspar and their distribution. Microscopic descriptions refine the megascopic assessment of mineral contents and mineral paragenesis and have been published in Refs. [3,9,14,23,47]. The microscopically assessed mineral contents are provided herein and the ≥ or ≤ signs is added where field geology indicate that some of the minerals vary significantly on the outcrops.
The mineralized medium-to-coarse grained metamafic rocks contain orthopyroxene (35%), biotite (20%–30%), plagioclase (15%), garnet (5%–15%), and sulfides (<2%). Biotite outlines the foliation. Pyrite is spatially associated with biotite or garnet. These metamafic rocks are associated with aluminous gneisses. In outcrops 4281 and 6026 (Figure 2), these rocks are associated with K-feldspar-rich laminated gneisses. Magnetite- or spinel-rich layered metamafic rocks, locally mineralized in chalcopyrite, are associated with the Cu-showing at outcrop 1659 (Figure 2 and Figure 4D). Other metamafic rocks were shown to be least altered and were described in previous publications [42]
Figure 4.
(A,B) Rock slabs of K-feldspar-rich laminated gneisses showing laminations and layers rich in K-feldspar (Kfs), K-feldspar and quartz (Kfs-Qz) or orthopyroxene and biotite (Opx-Bt) at outcrop 4548. In B the rock slab has been etched with HF and then stained with cobaltinitrate with minor plagioclase (stain in white) among the K-feldspar dominant gneiss where K-feldspar stains yellow; (C) Rock slab of a metamafic rock with zones of hornblende (Hbl), garnet (Grt) and plagioclase (Pl) and others with garnet, clinopyroxene (Cpx) and plagioclase at outcrop 4286; (D) Rock slab of an amphibolite mineralized in chalcopyrite (0.51 wt% Cu) at outcrop 1659 (sample number 1659d in [14]); (E) Rock slab of a biotite-rich garnetite with magnetite (Mag) and minor orthopyroxene and sulfides at outcrop 2401; (F) Rock slab of a garnet-orthopyroxene gneiss at outcrop 1659; (G) Rock slab of a plagioclase-rich gneiss with melanocratic layers of orthopyroxene, tourmaline and minor garnet at outcrop 1654 (cordierite is common in this rock but not visible in photograph); (H) Rock slab of a tourmaline-rich gneiss with veins of tourmalinite at outcrop 4957; (I) Rock slab of a clinopyroxene-garnet calc-silicate mineralized in chalcopyrite (Ccp) at the Lac Bing prospect (photograph courtesy of Richmond Minerals Inc.). Additional photographs of the BGC lithotypes can be found in Refs. [4,14,46,47].
K-feldspar-rich laminated quartzofeldspathic gneisses are unusual in having a cyclic, compositional layering with millimetric to centimetric thickness, continuous along several decimeters to meters (Figure 2 and Figure 4A). The dominance of K-feldspar over plagioclase throughout the layers is shown by the pervasive yellow staining in Figure 4B (plagioclase stains white). The layered sequence is repetitive as follows: (i) a layer of coarse-grained K-feldspar; (ii) a layer of fine-to-medium-grained K-feldspar and minor quartz that is more resistive to weathering (Figure 4A); and (iii) a more melanocratic layer with biotite and orthopyroxene (15%–20% and 15%, respectively) among K-feldspar (≥30%), plagioclase (≤15%), quartz (≤25%), garnet (5%) and apatite (<5%) in association with sulfide (<1%) and magnetite (1%–3%). The contact between the K-feldspar- and biotite-rich layers is invariably abrupt. Sulfides (chalcopyrite, pyrrhotite and pyrite) locally reach 5% and are associated with a significant increase in zircon contents.
Aluminous gneisses can be subdivided into biotite-rich, garnet-rich, and sillimanite-rich to quartz and Fe-sulfide rich aluminous to hyperaluminous gneisses. Their distinct compositions impact on which Fe-Mg-Al mineral phases (i.e., garnet, cordierite, or orthopyroxene) are stable with or form at the expense of biotite and sillimanite [14,48]. These gneisses are closely associated with magnesian lithofacies, such as plagioclase-rich cordierite-orthopyroxene gneisses. Layering occurs in some outcrops but in many cases the distribution of the melanocratic minerals and their contents are highly variable.
Biotite-rich aluminous gneisses contain at least 50% biotite with (1) garnet, (2) pyrite, garnet and sillimanite, or (3) orthopyroxene and garnet, among K-feldspar, plagioclase, accessory magnetite and local Cu mineralization (pyrite, pyrrhotite, and chalcopyrite). Cordierite occurs locally and is partly retrograded to green biotite and sillimanite [14]. The sulfides can be present in the pressure shadows of garnet porphyroblasts, illustrating microscopic-scale sulfide remobilization.
Garnet-rich aluminous gneisses consist of medium to coarse-grained melanocratic garnet-cordierite or garnet-orthopyroxene biotite-bearing gneisses with trace amounts of sillimanite and chalcopyrite (Figure 4F). This lithology occurs near sillimanite-biotite rusty gneisses and garnet-biotite white quartzofeldspathic gneisses or garnetites.
The hyperaluminous gneisses (outcrop 4378, Figure 2) consist of rusty sillimanite gneisses where sillimanite (15%–60%) occurs among quartz (30%–60%), K-feldspar (5%–15%), and disseminated sulfides (1%–2%) subparallel to the foliation. Sulfides-rich zones contain pyrrhotite (<20%) with some pyrite and traces of chalcopyrite.
Orthopyroxene-magnetite-rich gneisses contain plagioclase (50%), biotite (20%), magnetite (5%–10%), orthopyroxene (10%), garnet (5%), quartz (5%), and sulfide (<5%; pyrite, chalcopyrite and pyrrhotite).
The plagioclase-rich cordierite-orthopyroxene gneisses have a distinctive white coloration, a quartz-poor nature, local tourmaline-rich layers and a decimeter- to meter-thick compositional layering (Figure 4G). Leucocratic layers comprise plagioclase (45%), quartz (25%–30%), phlogopite (10%), cordierite (5%–10%) and pale to dark orthopyroxene (1%–5%). They are intercalated with millimeter to decimeter brownish melanocratic layers with kornerupine (15%–35%), orthopyroxene (10%–30%), black tourmaline (5%–20%), cordierite (20%–25%), quartz (30%–35%), and variable amounts of plagioclase, garnet, zircon, and accessory minerals. Their protolith was shown to be a rhyolite [9] while the plagioclase-rich and very sodic composition are typical of albitite [4]. The early genetic interpretation [9] was the classic one by which the cordierite-orthopyroxene gneisses were derived from interactions between volcanic rocks and seawater on the seafloor as is typical of volcanic massive sulfide (VMS) deposits [49,50,51,52]. Based on extensive mapping of non-metamorphosed MIAC mineral systems, Corriveau et al. [4] have reinterpreted these gneisses as albitites that have been chloritized and tourmaline-altered.
Five major types of garnetites have been identified in the metasomatic system of the BGC: (1) magnetite-rich; (2) quartz-rich; (3) clinopyroxene-rich; (4) biotite-rich (Figure 4E); and (5) hornblende-bearing garnetites. Garnet contents vary significantly at the outcrop scale with garnetite lens, up to several tens of centimeters thick and a few meters long, or schlierens grade into aluminous gneisses or amphibolites. In contrast to typical meta-exhalite units, none of the garnetites display systematic cm-scale laminations.
Magnetite-rich garnetites comprise decimeter-thick layers with garnet (20%–50%), magnetite (5%–15%), biotite or orthopyroxene (10%–30%), K-feldspar (5%–10%), plagioclase (5%–10%) and local mineralization with 1%–2% chalcopyrite in association with pyrite. The garnet grains have Mn contents from 0.2 to 1.7% [47]. Quartz-rich garnetites consist of garnet (25%–55%), quartz (15–40%), biotite (1%–20%), plagioclase (5%), K-feldspar (5%), and magnetite (5%). These units are interlayered with magnetite-rich metamafic rocks, K-feldspar-rich laminated gneisses, garnet-cordierite gneisses, and garnet-orthopyroxene gneisses. One outcrop hosts a 30 × 10 cm lens of chalcopyrite-rich metamafic rocks (5 to 7%). Clinopyroxene-rich garnetites occur among amphibolites as decimeter-thick layers with garnet (30%–50%), clinopyroxene (up to 20%), orthopyroxene (5%), biotite (5%), plagioclase (5%), and sulfides (up to 5%). Biotite-rich garnetites consist of garnet (15%–40%), biotite (10%–35%), orthopyroxene (up to 20%), quartz (10%), K-feldspar (5%–10%), and plagioclase (5%–10%). Hornblende-rich garnetites consist of garnet (20%–40%), hornblende (up to 20%), biotite (10%–15%), quartz (10%), K-feldspar (5%–10%), and plagioclase (5%–10%). These lithotypes occur adjacent to a major amphibolite unit.
North of Rivard Lake (outcrops 4956 and 4957, Figure 2 and Figure 4H), laminated tourmalinites and quartz-tourmaline gneisses form a 200 m-long lens among amphibolites, quartz-kornerupine-phlogopite-sillimanite-orthopyroxene gneisses, and quartz-phlogopite-pyrrhotite gneisses. Discontinuous centimeter-thick layers and lenses containing 90% tourmaline are common. The dominant mineral assemblage of the tourmalinites is composed of quartz (20–50%), tourmaline, traces of apatite, biotite, monazite, rutile, and up to 2%–3% pyrite ± pyrrhotite (e.g., 4956c). Tourmaline occurs as fine equigranular grains of 1 mm diameter, either totally black to brownish-black or honey-colored in outcrop, and olive green to yellow in thin sections.
Quartz-tourmaline gneisses consist primarily of quartz, with additional minerals including biotite or phlogopite, orthopyroxene, kornerupine, cordierite, and sillimanite. Their AFM assemblages include cordierite-phlogopite-sillimanite (sample 4956f), kornerupine-phlogopite (sample 4957), biotite-garnet-sillimanite (sample 4961a), biotite-cordierite-garnet-orthopyroxene-sillimanite (sample 4961b), cordierite (partially retrograded to green biotite and sillimanite)-sillimanite (sample 4961d), and cordierite-kornerupine-orthopyroxene-sillimanite (sample 4961e, f).
4. Lithogeochemistry
4.1. Analytical Methods
Special care was taken in the field and during sample preparation to avoid perturbations related to partial melting of the granulitic rocks. This was facilitated by the low partial melting of many of the metasomatic rocks (viz. host compositional layering preserved and discrete in situ leucosomes are present [14]). All the samples were pulverized in an agate mortar. The major elements and two trace elements (Zr and Y) were determined by X-ray fluorescence in the laboratories of the Centre de Recherche Minérale (Québec). The analytical precision of major elements is better than 1%; and for most trace elements, it is better than 5%. Rare-earth and other trace elements (Ba, Rb, Sr, Cs, Th, U, Hf, Nb, Ta, Pb) were determined by ICP-MS at the laboratories of INRS-ETE (Québec) with analytical precision better than 3 to 5%. For ICP-MS, we used Parr acid digestion bombs to dissolve all the accessory minerals present in the granulite facies rocks. Hundred mg of rock powder was dissolved with 3 mL of HF and 1 mL of HNO3 in Teflon cups enclosed in steel jackets and placed on a hot plate (at 150 °C) for four days. After evaporation to dryness, the residues were dissolved with a concentrated 6N HCl solution and evaporated to dryness. All elements used to make the lithogeochemical diagrams in the paper were analyzed and most analyses are reported in Refs [3,14]. Another set of geochemical data analyzed by SGS Lakefield targeted the mineralized zones during the first phase of exploration. As it does not include SiO2 and that the analytical method was not described in the company report [45], the processing of these analyses has been kept separate from the main datasets and the lithogeochemical diagrams derived from them are provided in Figure A1.
4.2. Mobility of Major, Trace and Rare Earth Elements Through Hydrothermal Alteration
The various aluminous facies of the hydrothermal system have undergone upper amphibolite to granulite facies metamorphism. The potential chemical mobility associated with the high-grade metamorphism was thus assessed by Blein et al. [42] using the least-altered rocks of the BGC and shown to be negligible. Accordingly, the lithogeochemistry of the gneisses will be that of their precursor rocks (i.e., host rocks or metasomatized host rocks prior to metamorphism) which means that we can apply the variety of alteration indices developed for unmetamorphosed or low-grade metamorphic rocks to the gneisses of the BGC. The chemical mobility of the major elements was thus evaluated using the geochemical Alteration Index (AI = 100 [(MgO + K2O)/(Na2O + K2O + CaO + MgO)]), the Chlorite-Carbonate-Pyrite Index (CCPI = (100 (MgO + Fe2O3t))/(MgO + Fe2O3t + Na2O + K2O)), and the Per-aluminous Index (PI = Al2O3/(Na2O + K2O + CaO) (molecular) as defined by Hashiguchi et al. [53] and Large et al. [29]. These alteration indices measure the intensity of replacement of feldspars and glass by sericite, chlorite, carbonate and pyrite associated with hydrothermal alteration (Table 1). When applied to mineral systems metamorphosed to high grades, these indices enable to trace such hydrothermal alteration in the rocks prior to their metamorphism to gneisses. Recently, new indices have been defined to measure the intensity of metasomatism in MIAC systems (AIOCG2 ((2Ca + 5Fe + 2Mn)/(2Ca + 5Fe + 2Mn + Mg + Si)molar) and AIOCG1 (K/(K + Na + 0.5Ca)molar) as defined by Montreuil et al. [20]. They are also used herein to assess the presence of such metasomatism prior to the metamorphism of the BGC to high grades. Again, the largely isochemical nature of the metamorphism (beyond the loss of volatiles) enables to apply these indices to the lithotypes of the BGC.
Table 1.
Examples of alteration facies and their diagnostic minerals in VMS, porphyry, epithermal and MIAC mineral systems prior to high-grade metamorphism [15,18]). A detailed list of minerals in the 20 alteration facies, sub-facies and transitional facies of MIAC systems is provided in Tables 1–7 of Ref. [15].
In the Large et al. [29] AI vs. CCPI diagram, the AI quantifies the depletion and enrichment of Ca and Na relative to Mg and K. An increase in the AI indicates either the destruction of plagioclase or of increasing chloritization, sericitization, and K-feldspar alteration. This method helps assess the extent of alteration and the impacts of hydrothermal alteration on major element concentrations prior to high-grade metamorphism. The CCPI is capable of measuring pre-metamorphic chlorite and amphibole alteration, as well as pyrite, magnetite, or hematite precipitation prior to metamorphism. The AI is compared to individual major-element concentrations to visualize the effect of increasing hydrothermal alteration.
In the Montreuil et al. [20] AIOCG2 vs. AIOCG1 diagram, the AIOCG1 index discriminates between sodic (Na), potassic (K) and calcic-ferroan (Ca-Fe) alteration types. The AIOCG2 index is designed to discriminate alkali (Na-K) alteration from Ca-Fe, potassic-ferroan (K-Fe) and ferroan (Fe) alteration types. These two indices characterize the different types of alteration in MIAC systems: Na, Ca-Fe, K-Fe at high and low temperatures and K and low-temperature (LT) Ca-Mg as exemplified by the breath of MIAC systems investigated (Table 1; [15,16,17,18,19,20,21,22]). The main feature of the MIAC system is its high Fe content, which systematically results in Fe-rich alteration (Fe-rich oxides, silicates, sulfides, sulfarsenides or carbonates). These Fe-rich alteration types are associated with enrichments of alkali metals (K as biotite, K-feldspar; Na as albite, oligoclase, scapolite and more rarely pyroxene or amphibole) or alkaline-earth metals (Ca as amphibole, calcite, dolomite and ankerite; Mg as amphibole, chlorite, clinopyroxene and talc; Ba as barite), hence the classification of the system as alkali-calcic [15]. The application of these indices to the BGC gneisses further helps to assess the presence of hydrothermal alteration (i.e., the metasomatism) in the rocks prior to high-grade metamorphism.
In the following lithogeochemical description of the BGC, a particular attention is paid to the description of rare earth patterns of the gneisses to assess if rare earth mobility took place within the BGC prior to high-grade metamorphism. Rare earth element mobility may be linked to complexation processes in hydrothermal fluids and/or to leaching from the pre-metamorphic host rocks, which may induce specific rare earth patterns. Not all systems can remobilize rare earths like MIAC systems do [15,19], hence the importance of tracing rare earth mobility in addition to that of major elements.
4.3. Geochemistry of Hydrothermal Lithofacies
4.3.1. Metamafic Rocks
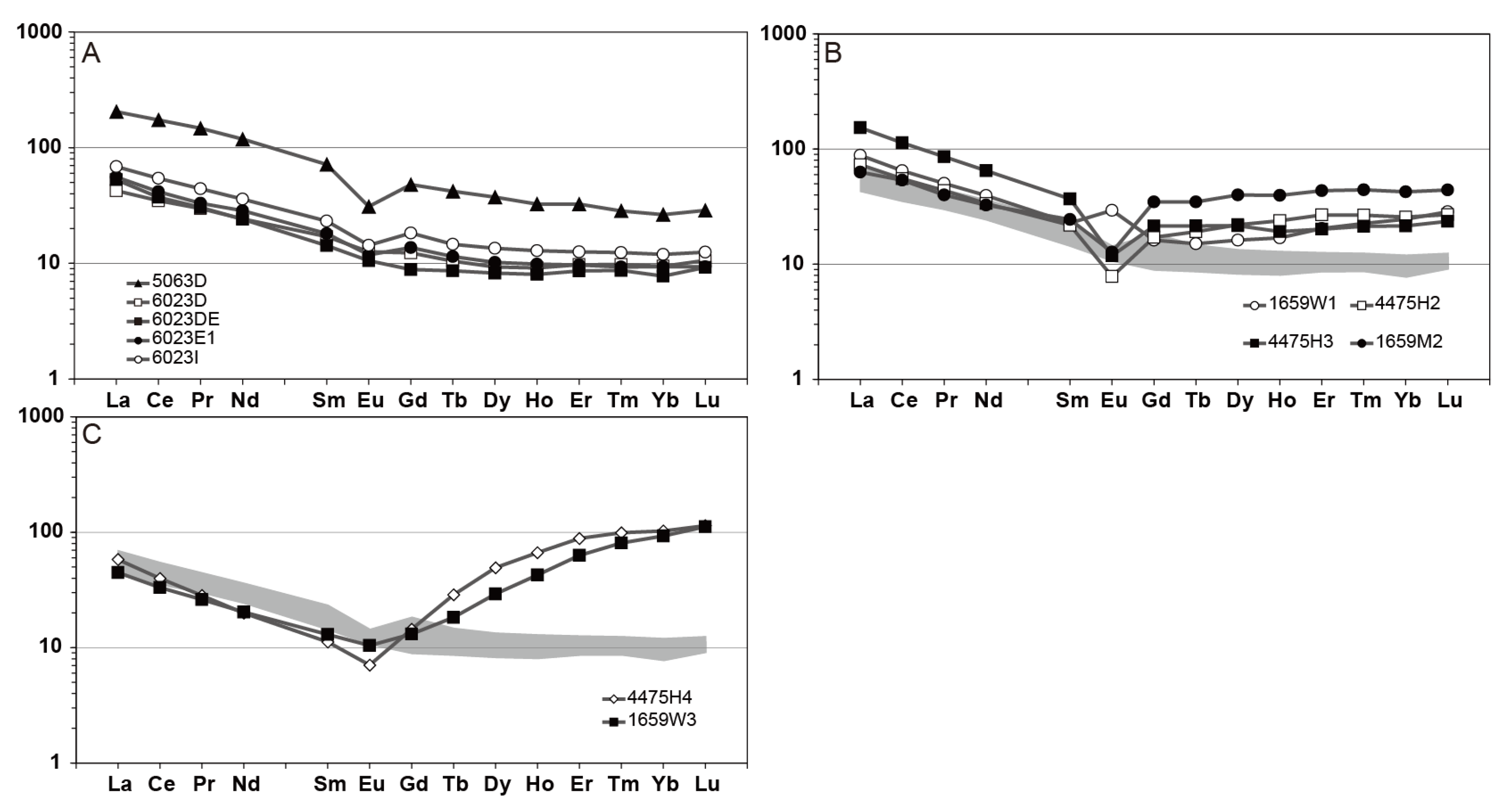
Orthopyroxene-biotite-garnet metamafic rocks have SiO2 + Al2O3 + Fe2O3t + MgO contents ranging from 83 to 88 wt%. Alteration index values correlate negatively with Na2O and CaO, and positively with K2O and MgO (Figure 5). In Figure 6A, metamafic rocks define a horizontal trend typical of biotite alteration (Trend 1). In Figure 6B, metamafic rocks define a vertical trend typical of K-Fe alteration. The samples show an enrichment in LREE ([La/Sm]n = 1.5–3; Figure 7A,B), with [Tb/Yb]n ratios between 0.8 and 1.4. The [Zr/Sm]n ratios range from 0.86 to 3. There is a negative correlation between [Zr/Sm]n and [Tb/Yb]n (Figure 8).
Figure 5.
Alteration index (AI) versus CaO, MgO, Na2O, Fe2O3t, and K2O. AI = 100 (K2O + MgO)/(K2O + MgO + Na2O + CaO). Mineral abbreviations follow Warr [54]. Source of data listed in Table S1.
Figure 6.
Alteration box plot for the facies from the northern part of the Bondy Gneiss complex. (A) AI versus CCPI alteration box plot after Large et al. [29]. 1 and 4: biotite alteration; 2: K-feldspar alteration; 3: chlorite alteration; 5: chlorite alteration; 6: albite alteration. Green-, blue-, yellow- and red-contoured boxes are the field of composition of igneous rocks with SiO2 contents lower than 52 wt%, between 52 and 63 wt%, between 63 and 69 wt%, and higher than 69 wt%, respectively [13]. (B) (2Ca + 5Fe + Mn)/(2Ca + 5Fe + 2Mn + Mg + Si)molar versus K/(K + Na + 0.5Ca)molar AIOCG alteration box plot after Montreuil et al. [20]. Symbols as in Figure 5. Source of data listed in Table S1.
Figure 7.
Chondrite-normalized rare earth element diagrams of orthopyroxene-biotite-garnet and sulfide-rich metamafic rocks. (A,B) Orthopyroxene-biotite-garnet metamafic rocks; (C) Sulfide-rich metamafic rocks. Normalization according to Sun and McDonough [55]. Source of data in Table S1.
Sulfide-rich metamafic rocks have SiO2 + Al2O3 + Fe2O3t + CaO contents ranging from 82 to 88 wt%, show a negative correlation between AI and CaO (Figure 5). In contrast to orthopyroxene-biotite-garnet metamafic rocks, sulfide-rich metamafic rocks show a large increase in CCPI (Figure 6A). In Figure 6B, with their low AIOCG1 (0.03–0.21) and moderate AIOCG2 (0.52–0.68), sulfide-rich metamafic rocks fall in the field of Na-Ca-Fe alteration. They exhibit a slight depletion of LREE ([La/Sm]n = 0.67–1.15, Figure 7C), as well as fractionated HREE ([Tb/Yb]n = 1.2–1.6), and chondritic [Zr/Sm]n ratios (0.9–1.3; Figure 8).
4.3.2. K-Feldspar-Rich Laminated Gneisses
K-feldspar-rich laminated gneisses, biotite-orthopyroxene, and sulfide-rich layers have SiO2 + Al2O3 + K2O contents ranging from 84 to 96 wt%. They have AI values ranging from 38 to 87. The AI values are negatively correlated with Na2O and CaO (Figure 5) and positively with K2O (Figure 5). In Figure 6A, the K-feldspar-rich laminated gneisses show a first trend related to K alteration (i.e., K-feldspar pole, Trend 2), and a second trend toward the chlorite pole typical of chlorite-pyrite-bearing assemblages (Trend 3). Two samples with high Na2O (4.9 to 6.2 wt%) and low K2O (1.4 to 3.7 wt%) contents are interpreted as albitized rocks. In Figure 6B, the K-feldspar-rich laminated gneisses fall essentially in the field of K.
K-feldspar-rich laminated gneisses show a systematic LREE enrichment ([La/Sm]n > 2.5), flat to slightly fractionated HREE patterns ([Tb/Yb]n = 0.99–1.6), and negative Eu anomalies (0.31–0.61; Figure 9A). Biotite-orthopyroxene layers show an enrichment in HREE characterized by [Tb/Yb]n ratios less than 1 (Figure 9B). Sulfide-rich layers have low REE contents, with a negative LREE slope, and a positive HREE slope ([Tb/Yb]n < 0.60; Figure 9C).
Figure 9.
Chondrite-normalized rare earth element diagrams of K-feldspar-rich laminated gneisses. (A) K-feldspar-rich laminated gneisses; (B) Biotite-orthopyroxene-rich K-feldspar-rich laminated gneisses; (C) sulfide-rich K-feldspar-rich laminated gneisses. Normalization according to Sun and McDonough [55]. Source of data listed in Table S1.
K-feldspar-rich laminated gneisses and biotite-orthopyroxene layers have high Zr contents (249–434 ppm), and [Zr/Sm]n ratios greater than unity (1.6–4.0), without any correlation between [Zr/Sm]n and [Tb/Yb]n ratios (Figure 8). In contrast, sulfide-rich layers, with high Zr contents (340–391 ppm) and [Zr/Sm]n ratios (8.6–368) show a correlation between [Zr/Sm]n and [Tb/Yb]n ratios (Figure 8).
4.3.3. Aluminous Gneisses
Biotite-rich gneisses have SiO2 + Al2O3 + Fe2O3t + K2O contents ranging from 81 to 87 wt%, and a considerable range of AI (14–57) and CCPI (42–63). In Figure 6A,B biotite-rich gneisses fall in the field of least-altered rocks. Garnet-orthopyroxene gneisses have SiO2 + Al2O3 + Fe2O3t + MgO contents ranging from 87 to 93 wt%, moderate to high AI (39–82) and CCPI (62–80), and fall essentially in the field of least-altered rocks (Figure 6A,B). One sample falls in the field of K-Fe alteration in Figure 6B. Garnet-biotite gneisses have a range of SiO2 + Al2O3 + Fe2O3t + K2O contents from 86 to 95 wt%, low to high AI (30–93) and CCPI (28–84), and define a trend towards the biotite pole (Trend 4, Figure 6A). Garnet-cordierite gneisses have SiO2 + Al2O3 + Fe2O3t + MgO contents range from 92 to 97 wt%, high AI (72–97) and CCPI (77–94), and define a trend towards the chlorite pole (Trend 5, Figure 6A). In Figure 6B, garnet-cordierite gneisses show a vertical trend typical of K-Fe alteration.
Biotite-rich gneisses show fractionated LREE ([La/Sm]n = 2.2–3.8), with high HREE and a flat pattern ([Yb]n = 22; [Tb/Yb]n = 1.1) or with low and slightly fractionated HREE ([Yb]n = 5–9; [Tb/Yb]n = 1.2–2; Figure 10A). Garnet-orthopyroxene aluminous gneisses show fractionated LREE ([La/Sm]n = 2.0–5.0), with a flat HREE pattern ([Tb/Yb]n = 1.1) and varying HREE contents ([Yb]n = 11–66; Figure 10B). Garnet-biotite gneisses show fractionated LREE ([La/Sm]n = 2.7–4.6), with a slight enrichment in HREE ([Yb]n = 17–42; [Tb/Yb]n = 0.59–1.2; Figure 10C) and generally negative Eu anomalies (0.39–0.96). Garnet-cordierite aluminous gneisses show V-shaped REE patterns with fractionated LREE ([La/Sm]n = 2.2–4.8) and pronounced enrichment in HREE ([Yb]n > 30; [Tb/Yb]n < 0.70; Figure 10D), and negative Eu anomalies (0.14–0.65). Biotite-rich gneisses have [Zr/Sm]n ratios close to chondritic values (1.7 ± 0.5), whereas garnet-orthopyroxene, garnet-cordierite, and garnet-biotite gneisses have superchondritic [Zr/Sm]n ratios (>4). Furthermore, the [Zr/Sm]n ratios show a negative correlation with the [Tb/Yb]n ratios (Figure 8).
Figure 10.
Chondrite-normalized rare earth element diagrams of aluminous gneisses. (A) Biotite-rich gneisses; (B) Garnet-orthopyroxene gneisses (see also [9]); (C) Garnet-biotite quartzofeldspathic gneisses; (D) Garnet-cordierite gneisses. Normalization according to Sun and McDonough [55]. The field in blue represents the field of the most representative biotite-rich gneisses in A. Source of data listed in Table S1.
4.3.4. Orthopyroxene-Magnetite-Rich Gneisses
Orthopyroxene-magnetite-rich gneisses have SiO2 + Al2O3 + Fe2O3t contents ranging from 81 to 95 wt%, and AI values (20–90) correlate negatively with Na2O and CaO (Figure 5) and positively with MgO (Figure 5). Three orthopyroxene-magnetite-rich gneisses with low AI (20–25) and high CCPI (91–96) values are close to the ankerite end member (Figure 6A). Other orthopyroxene-magnetite-rich gneisses form a trend toward the chlorite pole (Figure 6A). In Figure 6B, orthopyroxene-magnetite-rich gneisses show a first sub-horizontal trend from least-altered field to Ca-Fe alteration, and a second trend from Ca-Fe alteration to K-Fe alteration.
Orthopyroxene-magnetite-rich gneisses with fractionated LREE ([La/Sm]n = 2.5–5.2) can be classified into three groups based on the abundance of HREE. Group I rocks are characterized by fractionated HREE ([Tb/Yb]n = 1.1–1.6; Figure 11). Group II rocks are enriched in HREE ([Tb/Yb]n < 1.0; Figure 11). Group III rocks are highly enriched in HREE ([Tb/Yb]n < 0.28; Figure 11C). The development of a positive slope for HREE in the REE profiles is correlated with increasing Zr content. From Group I to Group III, the [Zr/Sm]n ratios increase from 2.0 to 8. Furthermore, a negative correlation is observed between the [Zr/Sm]n ratios and the [Tb/Yb]n ratios (Figure 8).
Figure 11.
Chondrite normalized rare earth element diagrams of orthopyroxene-magnetite rich gneisses. (A) Group I; (B) Group II; (C) Group III. Normalization according to Sun and McDonough [55]. The field in gray represents the field of the most representative analyses in A. Source of data listed in Table S1.
4.3.5. Plagioclase-Rich Cordierite-Orthopyroxene Gneisses
Plagioclase-rich cordierite-orthopyroxene gneisses have SiO2 + Al2O3 + MgO + Na2O contents ranging from 82 to 96 wt%. AI values (16–77) correlate positively with MgO (Figure 5). Plagioclase-rich cordierite-orthopyroxene gneisses define a first trend toward the albite pole (Trend 6), and a second trend toward the chlorite pole (Figure 6A). In Figure 6B, plagioclase-rich cordierite-orthopyroxene gneisses fall in the field of Na alteration.
Rare earth elements can be used to classify these gneisses into four groups (Figure 12). Group I gneisses exhibit fractionated LREE ([La/Sm]n = 3.3–13.4), with a light enrichment in HREE ([Tb/Yb]n = 0.8 ± 0.2; Figure 12A). Groups II, III, and IV display V-shaped profiles, with negative LREE and positive HREE slopes. Group II gneisses are characterized by slightly fractionated LREE ([La/Sm]n = 1.2–2.3), with a slight enrichment in HREE ([Tb/Yb]n = 0.61–0.90; Figure 12B). Group III gneisses are characterized by highly fractionated LREE ([La/Sm]n = 2.9–7.2), with an enrichment in HREE ([Tb/Yb]n = 0.24–0.71; Figure 12C). In contrast, Group IV gneisses are characterized by a total REE less than 3 ppm, with fractionated LREE ([La/Sm]n = 1.9–6.7), and an enrichment in HREE ([Tb/Yb]n < 0.30; Figure 12D).
Figure 12.
Chondrite-normalized rare earth element diagrams of white plagioclase-rich cordierite-orthopyroxene gneisses. (A) Group I; (B) Group II; (C) Group III; (D) Group IV. In D, the analyses represent the Group III in [9]. Normalization according to Sun and McDonough [55]. Source of data listed in Table S1.
4.3.6. Garnet-Rich Rocks
Garnet-rich rocks (e.g., garnetites) have SiO2 + Al2O3 + Fe2O3t + MgO contents ranging from 80 to 100 wt%. Northern magnetite-rich and quartz-rich garnetite units have high AI (75–97), and plot at the chlorite pole in Figure 6A. AI is negatively correlated with Na2O, CaO, and K2O (Figure 5), and positively with MgO (Figure 5). Southern clinopyroxene-rich, biotite-rich, and hornblende-bearing garnetite units are characterized by AI ranging from 49 to 91. Clinopyroxene-rich garnetites define a trend towards the dolomite pole, while biotite-rich garnetites define a trend towards the chlorite pole (Figure 6A). In Figure 6B, northern and southern garnetite units define a vertical trend from Ca-Fe to K-Fe alteration.
The northern garnetite units differ from the southern ones by an enrichment in HREE. Magnetite-rich garnetites have V-shaped REE profiles with large negative Eu anomalies (0.15–0.27; Figure 13A). Quartz-rich garnetites differ from magnetite-rich garnetites by a higher enrichment in HREE, with positive [Tb/Yb]n slopes and [Yb]n values higher than [La]n values (Figure 13B). Clinopyroxene-rich garnetites show fractionated LREE ([La/Sm]n = 4.21 ± 0.41), with [Tb/Yb]n values ranging from 0.66 to 1.05 (Figure 13C). Finally, biotite-rich garnetite units show slightly fractionated LREE ([La/Sm]n = 1.7 ± 0.5; Figure 13D), and flat HREE pattern ([Tb/Yb]n = 0.93 ± 0.12). In all the garnetite units, [Tb/Yb]n ratios decrease with increasing Zr contents. A negative correlation is observed between the [Zr/Sm]n and [Tb/Yb]n ratios (Figure 8), with a considerable range of [Zr/Sm]n ratios spanning from chondritic to superchondritic values.
Figure 13.
Chondrite-normalized rare earth element diagrams of garnet-rich rocks. (A) Magnetite-rich garnetites; (B) Quartz-rich garnetites; (C) Clinopyroxene-rich garnetites; (D) Biotite-rich garnetites. Normalization according to Sun and McDonough [55]. Source of data listed in Table S1.
4.3.7. Tourmalinites and Siliceous Gneisses
Tourmalinites and siliceous gneisses have SiO2 + Al2O3 + Fe2O3t contents ranging from 87 to 94 wt%. Tourmalinites display high AI (73–74), with strong depletion of Na2O, CaO, and K2O contents (Figure 5). In siliceous gneisses, AI (54–100) is negatively correlated with Na2O, CaO, and K2O (Figure 5), and positively with MgO. In Figure 6B, tourmalinites fall in the field of Na alteration, a potential artifact of high Mg, Ca and Si values as illustrated in Section 5.2, and siliceous gneisses define a trend from least-altered field to K alteration.
Tourmalinite units have low REE contents, with fractionated LREE ([La/Sm]n = 1.7–2.6), and an enrichment in HREE ([Tb/Yb]n < 0.80; Figure 14A). Siliceous gneisses, more enriched in REE, exhibit fractionated LREE ([La/Sm]n = 1.5–3.3), with HREE patterns that are either flat or slightly elevated ([Tb/Yb]n = 0.91–1.31; Figure 14B). All samples have high Zr contents (199–394 ppm), with superchondritic [Zr/Sm]n ratios that are higher in tourmalinites ([Zr/Sm]n > 5) than in siliceous gneisses ([Zr/Sm]n = 1.2–3.2; Figure 8).
Figure 14.
Chondrite normalized rare earth element diagrams of tourmalinites and associated siliceous gneisses. (A) Tourmalinites; (B) Siliceous gneisses; (C) Hyperaluminous gneisses. Normalization according to Sun and McDonough [55]. Source of data listed in Table S1.
4.3.8. Hyperaluminous Gneisses
Hyperaluminous gneisses have SiO2 +Al2O3 + Fe2O3t contents ranging from 91 to 93 wt%, and high AI (76–88). In Figure 6B, hyperaluminous gneisses fall in the field of K alteration. Hyperaluminous gneisses are distinguished by slightly fractionated LREE ([La/Sm]n = 1.8–4.7), and HREE ([Tb/Yb]n = 1.1–1.4; Figure 14C). Sulfide-rich hyperaluminous gneiss is characterized by fractionated LREE ([La/Sm]n = 16.3), and low HREE contents (Figure 14C). All samples exhibit high Zr contents (182–427 ppm), and chondritic [Zr/Sm]n ratios (0.8–2.8) (Figure 8).
5. Identification of the Main Alteration Types
5.1. Petrological Interpretation of Alteration Facies
In the field, the recognition of stratigraphic markers across the BGC was challenging. However, the presence of coarse-grained minerals, their contents and their relative proportions allowed us to formulate a hypothesis about geochemical variations within similar rock types and among rock types and to assess the nature of alteration [4]. This enabled us to create a tentative alteration zonation pattern in the field based on the relative enrichments of K, Ca, Na, Al, Mg, Fe, Cu, and B recorded by the presence of unusual contents and atypical mineral assemblages of biotite, clinopyroxene, plagioclase, sillimanite, cordierite, garnet, orthopyroxene, phlogopite, magnetite, chalcopyrite, tourmaline, or kornerupine within gneisses [3,4,14,42]. These atypical mineral assemblages and mineral contents significantly differ from those of metamorphic rocks derived from common igneous or sedimentary protoliths.
In K-feldspar-rich laminated gneisses, the cyclic nature of the layering is hypothesized to be a primary geological phenomenon of the protolith rather than an artifact of deformation or segregation during the partial melting process [14]. The concordant nature of the mineralization zones, significant increase of zircon contents, lack of pervasive migmatization, and cyclical orthopyroxene-biotite layers suggest that the protolith was originally layered. Given their igneous trace element geochemistry, a high-silica rhyolitic tuff is the most likely interpretation especially since fragmental rocks, which are typical of lapilli, are observed adjacent to one of the units [14,42]. In contrast, the K-feldspar-rich and quartz-poor contents may be the result of intense stratabound potassic (K-feldspar) hydrothermal alteration prior to metamorphism, which inhibited partial melting and preserved the laminated nature of the protolith. The thicknesses of the layers are highly distinctive and have also been observed in other hydrothermally altered rocks of the BGC, particularly in orthopyroxene-rich quartzofeldspathic gneisses. Thus, the protolith for this and some other lithotypes was most likely a tuffaceous sequence.
The garnetites and tourmalinites among sillimanite ± garnet ± orthopyroxene ± cordierite gneisses, and among the felsic and mafic layered gneisses, exhibit poor lamination or layering, which contrasts sharply with what is expected of meta-exhalites [4,14]. These gneisses transition into various unusual tourmaline, kornerupine and garnet gneisses that maintain their distinctive characteristics, even compared to typical metamorphosed sedimentary rocks. The tourmaline-rich unit, hosted by biotite-sillimanite-bearing gneisses, is a promising candidate for a metamorphosed tourmaline alteration zone. This is especially the case given its association with gneisses that have characteristics of metamorphosed argillic or sericitic altered units (discussed later on).
The poorly layered white plagioclase-rich cordierite-orthopyroxene gneisses display similarities with chloritized albitite units [4]. The biotite, cordierite, garnet, K-feldspar, orthopyroxene, and/or sillimanite gneisses are suitable candidates for high- to low-temperature (HT, LT) K-Fe, argillic, and sericitic altered volcaniclastic rocks. The magnetite-rich gneisses and the garnetites are potential candidates for iron oxide-altered, magnetite-dominated, and magnetite-phyllosilicate-dominated HT Ca-Fe or HT or LT K-Fe alteration types as defined in Corriveau et al. [15,18]. The sillimanite-quartz-pyrrhotite rocks are characteristic of advanced argillic or phyllic alteration zones. The biotite-rich garnetites may be either K-altered amphibolites or HT or LT K-Fe metasomatites.
5.2. Lithogeochemical Footprint of the BGC Lithotypes Induced by Major Elements Mobility During Metasomatism
5.2.1. Rationale
The lithogeochemical CCPI-AI diagram of Large et al. [29] and the AIOCG diagram of Montreuil et al. [20] help assess the chemical changes induced on host rocks by metasomatism (hydrothermal alteration) prior to high-grade metamorphism and to assess the alteration types (i.e., the alteration facies as per Refs. [15,18]). In addition, these diagrams have proven efficient in discriminating the lithogeochemical footprints of MIAC, VMS, porphyry and epithermal systems when the molar proportions of Na, Ca, Fe, K, and Mg in the bulk rock analyses are plotted as barcodes [4,19]. The differences in the distribution of the samples in the diagrams and the changes in molar proportions in the barcodes enable the interpretation of the evolution of the mineral systems in terms of (i) alteration types, (ii) increasing intensity of alteration, and (iii) overprinting relationships —which results in very distinct barcodes—as well as the assessment of the most appropriate metallogenic model for the system [17,19,56]. As high-grade metamorphism is commonly isochemical beyond the loss of volatiles, as demonstrated for the BGC [42], the footprints of the BGC on these diagrams is thus key to interpret to which mineral system it belongs. These diagrams also facilitate the establishment of a link between the observed metamorphic assemblages and the primary metasomatic/hydrothermal mineralogical assemblages of the metasomatized (hydrothermally altered) protoliths.
On the AIOCG and CCPI-AI diagrams, the barcodes are plotted at the location of the bulk composition from the bottom to the top in the following order: Na, Ca, Fe, K and Mg. Sodium proportion enables to identify sodic alteration and its most intense expression, albitite, a common host for subsequent alteration and mineralization. Overprints on albitite induce very distinct cation proportions that help distinguish overprints from least-altered rocks where mixing lines between albitite and overprints cross the least-altered field in the AIOCG diagram. Calcium, Fe and K (e.g., pre-metamorphic actinolite, iron oxides, K-feldspar, sericite; Table 1) help trace the extent of the HT Ca-Fe, HT K-Fe and other high to low temperature MIAC alteration facies (Table 1; Tables 1–7 in Ref. [15]). Magnesium is highly unstable in the high-temperature stages of MIAC systems (≥350°C) but can precipitate extensively at lower temperatures as chlorite, particularly in geological environments rich in mafic and ultramafic rocks [15]. Hence Mg is most abundant in (i) early skarns that have not been replaced by subsequent alteration facies, (ii) within the low temperature alteration facies and (iii) as extensive overprints on earlier alteration facies, including on albitite [15,16]. The inclusion of Si and Al in the barcodes instead of Mg allows the identification of quartz, carbonate and other veins, as well as the differentiation of MIAC systems from other systems and sedimentary iron formations.
5.2.2. Lithogeochemical Footprints, Element Mobility and Alteration Trends
The K-feldspar-rich laminated gneisses exhibit two trends: one related to K alteration, with increasing K molar proportions; and the second related to chlorite-pyrite-bearing assemblages, with increasing Fe and Mg molar proportions (Figure 15A). Sulfide-rich metamafic rocks define a trend with high Fe and Ca molar proportions associated with Ca-Fe alteration (Figure 15D). The mineral assemblage that characterizes advanced argillic alteration in epithermal deposits is mainly composed of quartz + kaolinite + pyrophyllite + alunite + dickite + pyrite [57] or Si, Al, Fe, and K. Thus, hyperaluminous gneisses define a K-Fe alteration trend (Figure 15B) and suggest a silicification (Figure 16E).
Figure 15.
Hydrothermal lithofacies of the Bondy gneiss complex plotted on the alteration box plot after Large et al. [29]. AI versus CCPI. AI = 100(K2O + MgO)/(K2O + MgO + Na2O + CaO). CCPI = 100(MgO + FeOt)/(MgO + FeOt + Na2O + K2O). (A) Magnetite and quartz-rich garnetites, cordierite-orthopyroxene gneisses, and K-feldspar-rich laminated gneisses; (B) Biotite and clinopyroxene-rich garnetites, and hyper-aluminous gneisses; (C) Garnet-orthopyroxene, garnet-cordierite, and garnet-biotite aluminous gneisses; (D) Sulfide-rich, and orthopyroxene-biotite-garnet metamafic rocks; (E) Orthopyroxene-magnetite gneisses; (F) Toumalinites and siliceous gneisses. Barcodes reflect the molar proportions of Na (pink), Ca (dark green), Fe (black), K (red) and Mg (light green) in whole-rock composition [19,22]. Bulk composition plots at the base of the barcodes. Boxes as per Figure 5. Gns: gneiss. Source of data listed in Table S1.
Figure 16.
Samples of hydrothermal facies of the Bondy gneiss complex plotted on the AIOCG diagram of Montreuil et al. [20]. (A,B) Hydrothermal alteration facies. Symbols for each lithotype are shown above the diagrams; (C,D) Mg-K-Fe-Ca-Na barcodes of hydrothermal facies; (E,F) (Si + Al)/10-K-Fe-Ca-Na barcodes of hydrothermal facies. (A,C,E) Na, HT Ca-Fe, HT K-Fe, K, and LT K-Fe alterations facies. (B,D,F) Hydrothermal facies characterized by superimposed LT Si and/or Mg alteration. Color coding of barcodes as per Figure 15; (Si + Al)/10 proportion is in yellow. Mineral abbreviations follow Warr [54]. Source of data listed in Table S1.
Aluminous gneisses define two distinct trends. The first is associated with K-Fe alteration and the second with the pre-metamorphic chlorite pole (Figure 15C). In garnetites, we observe the following: (1) a mixing line between the Ca-Fe and K-Fe alteration poles, between clinopyroxene-rich and biotite-rich garnetites (Figure 15B); and (2) magnetite- and quartz-rich garnetites with high AI and CCPI values and high Mg molar proportions (Figure 15A). This second trend suggests pre-metamorphic chloritization and/or silicification of earlier Ca-Fe and/or K-Fe alteration types.
Orthopyroxene-magnetite-rich gneisses are characterized by high Fe molar proportions and high CCPI values above 80. Two clusters can be distinguished: (1) a first group that defines a Ca-Fe alteration (Figure 15E); and (2) a second group that is characterized by an increase in Mg molar proportions, defining an overlying Mg alteration that is associated with pre-metamorphic chloritization (Figure 15E). Plagioclase-rich cordierite-orthopyroxene gneisses exhibit two distinct trends: the first trend points toward the pre-metamorphic albite pole (Figure 15A), and the second trend points toward the pre-metamorphic chlorite pole (chlorite trend in Figure 15A). This second trend suggests that chloritization overprinted sodic alteration prior to metamorphism. Tourmalinites and associated siliceous gneisses are characterized by high Mg molar proportions. The siliceous gneisses define a Mg trend towards the pre-metamorphic chlorite pole (Figure 15F). Siliceous gneisses associated with tourmalinites are enriched in SiO2 and Al2O3, indicating advanced argillic alteration and silicification prior to metamorphism.
As shown in the AIOCG discrimination diagrams (Figure 16A,B and Figure A1), BGC metasomatites are located within the Na, HT to LT Na-Ca-Fe, HT to LT Ca-Fe, HT to LT Ca-K-Fe, HT to LT K-Fe, and K alteration fields. The Na-Ca-Fe-K-Mg molar proportions of the samples are characterized by the predominance of one or two cations, which is typical of intensely metazomatized rocks. The K-feldspar-rich laminated gneisses essentially fall within the K alteration field, trending toward the K-feldspar pole (Figure 16A,C). The biotite-orthopyroxene and sulfide-rich layers of the K-feldspar-rich laminated gneisses define a trend reaching the K-Fe alteration field (Figure 16A,C). Sulfide-rich metamafic rocks essentially fall within the Na-Ca-Fe alteration field, trending toward decreasing Mg proportions toward the Ca-Fe field. The trend of the orthopyroxene-magnetite gneisses, with Fe- or Fe-Mg dominated barcodes, proceeds toward the Ca-K-Fe and K-Fe alteration fields (Figure 16C,D). However, two samples of orthopyroxene-magnetite gneisses with Na-Fe dominated barcodes fall within the least-altered field (Figure 16D). The absence of K and Ca in the barcodes is atypical of least-altered rocks and better corresponds to a mixing trend between the Na-rich and the Ca-Fe-rich fields (e.g., albitized rocks overprinted by a Ca-Fe alteration). Plagioclase-rich cordierite-orthopyroxene gneisses fall within the Na alteration field, with barcodes dominated by Na (Figure 16C), or by Na and Mg (Figure 16D). Tourmalinites with Mg-dominated barcodes fall within the Na alteration field. This is a result of high proportions of Mg, Si, and Al, as well as a greater proportion of Na relative to K, as shown by the barcodes dominated by Si + Al (Figure 16D,F). Siliceous gneisses with Mg- or Si-Al-dominated barcodes fall mainly within the K alteration field (Figure 16D,F).
Northern garnetites, with Fe-Mg-dominated barcodes, fall within the Ca-Fe, Ca-K-Fe, and K-Fe alteration field (Figure 16D). Southern garnetites, with K-Fe or Fe-Mg-K-dominated barcodes, fall within the Ca-K-Fe and K-Fe alteration fields (Figure 16C,D). Overall, the garnetites fall within similar fields as the garnet-orthopyroxene aluminous, orthopyroxene-magnetite and the metamafic gneisses (Figure 16A,B).
Biotite-rich aluminous gneisses fall within the field of least-altered rocks, but their molar proportions of Na or Ca or Fe or K are atypical of common rocks. These proportions likely record a mixing trend induced by the overprinting of two distinct alteration types (Figure 16A). Garnet-orthopyroxene aluminous gneisses show a trend related to K-Fe alteration (Figure 16A,C), with an increase in K and Fe proportions in barcodes. Garnet-biotite aluminous gneisses show a trend related K ± Fe alteration (Figure 16A–D), with barcodes dominated by K and Fe. Garnet-cordierite aluminous gneisses show a vertical trend related to K-Fe alteration (Figure 16A–D), with barcodes dominated by Mg, Fe and K. Some altered rocks show barcodes dominated by Mg and/or Si + Al (Figure 16C,E). These reflect the intense chloritization and silicification of earlier Na, Ca-Fe, Ca-K-Fe, K-Fe and K altered facies.
Despite the early interpretation of the cordierite-orthopyroxene gneisses as having VMS affinities [9], the observed hydrothermal footprint in the BGC has been demonstrated to be distinct from that typically seen in VMS deposits. Figure 17C,D show that the hydrothermal alteration associated with VMS is characterized by the absence of extreme Fe enrichment. The high Mg and Si contents of the VMS hydrothermal facies result in a low AIOCG2 ratio, shifting the samples to the left in the diagram. Consequently, the samples are mainly located in the Na and Na-Ca-Fe alteration fields due to these elevated Mg and Si contents. The albitization in VMS systems does not decrease the Si and Al contents of the host rocks as much as in MIAC systems, hence the greater proportion of Si + Al in albitized rocks in VMS systems than in MIAC albitite [19]. Overall, the hydrothermal footprint of the VMS differs from that of MIAC systems [19]. Conversely, Fe-dominant alteration is abundant. Due to its Fe enrichment and Na, Ca-Fe and K-Fe alteration zones, the BGC has many similarities with MIAC systems.
Figure 17.
(A,B) Samples from VMS hydrothermal system plotted on the diagram of Large et al. [29] ((A): Mg-K-Fe-Ca-Na barcodes (color coding as per Figure 15); (B: (Si + Al)/10-K-Fe-Ca-Na barcodes (color coding as per Figure 16). 1: sericite ± chlorite alteration; 2: chlorite alteration; 3: epidote-carbonate alteration; 4: potassic (K-feldspar) alteration; 5: albitic alteration; (C,D) Samples from VMS hydrothermal systems plotted on the AIOCG diagram of Montreuil et al. [20] ((C): Mg-K-Fe-Ca-Na barcodes; (D): (Si + Al)/10-K-Fe-Ca-Na barcodes). Data compiled from Hollis et al. [58].
The BGC displays seven major hydrothermal alteration trends (Figure 6, Figure 15, Figure 16). They are as follows: (1) Na alteration in plagioclase-rich cordierite-orthopyroxene gneisses; (2) Ca-Fe alteration in orthopyroxene-magnetite-rich gneisses and some garnetite units typical of the high-temperature Ca-Fe; (3) K-Fe alteration in magnetite-rich, garnet-bearing gneisses, sulfide-rich metamafic rocks, and magnetite-rich and quartz-rich garnetites; (4) K alteration in K-feldspar-rich laminated gneisses; (5) Mg-rich overprint (i.e., pre-metamorphic chlorite alteration) in siliceous gneisses associated with tourmalinites, and in plagioclase-rich cordierite-orthopyroxene gneisses, K-feldspar-rich laminated gneisses, aluminous gneisses and in some types of garnetites; (6) silicic alteration in siliceous gneisses associated with tourmalinites, plagioclase-rich cordierite-orthopyroxene gneisses and in some types of garnetites; and (7) local advanced argillic alteration in hyperaluminous gneisses. As is typical of MIAC systems, Au and Cu mineralization largely fall within the K-Fe alteration field (Figure A1) and form IOCG mineralization. This includes mineralization that occurs as veins, which are commonly remobilized from or form coevally with the K-Fe alteration in MIAC systems worldwide [7,15,17,19,22].
6. Trace and Rare Earth Elements Mobility
6.1. Mass-Balance Calculations
If the chemistry of the source rock is well constrained, a mass balance analysis can be performed using Grant’s formula [59,60], a reformulation of Gresens’ formula [61]. The simplified equation (1) for composition-mass relationships in hydrothermally altered rocks is CAi = MP/MA (CPi + ΔCi). Ci is the concentration of element i, and “A” refers to the altered rock and “P” to the precursor rock as calculated by the neural networks. MP and MA are the equivalent masses before and after alteration. The slope of the isochron, MP/MA, is used in subsequent mass balance calculations. Elements that are immobile during the alteration process are used to constrain the slope of the isochron.
When an element is immobile (ΔCi = 0), Equation (1) can be simplified as follows: CAi = (MP/MA) CPi. The resulting estimate of the MP/MA ratio provides the slope of the constant mass isocon and enables calculation of the ΔCi value for each element. This allows estimation of mass gain (MP/MA < 1) or loss (MP/MA > 1) for each element during hydrothermal alteration based on the equation ΔCi = CAi/(MP/MA)– CPi.
In many hydrothermal systems, the typically immobile elements remain relatively immobile. However, in some hydrothermal/metasomatic systems, these elements become mobilized by fluids. Elements such as Zr, Y, Ti and Nb have been documented to be mobile in rocks altered by fluorine-enriched fluids [62,63], in samples of oceanic crust [64], and in various mineralized zones [65]. In the magnetite-group IOCG deposits in the Great Bear magmatic zone in Canada, high F- and Cl-activities in the hydrothermal fluids are believed to have facilitated the mobilization of normally immobile (Nb, Ta, REE and Th) or weakly mobile elements as well as some metals (e.g., V, Ni, Co; [66]). However, in most cases, Zr, Al, Ti, Nb, Cr, Y and Th are considered immobile. In this study, Ti was chosen as the immobile incompatible element of reference.
We investigated the formation of metamafic and sulfide-rich metamafic rocks through mass-balance calculations, assuming that the protolith was Group I metamafic rocks [42]. Al-rich metamafic rocks have large gains in K, Na, P, Al, and in LILE, HFSE and REE (Figure 18). Sulfide-rich metamafic rocks have slight gains in K, and major gains in LILE, HFSE and REE (Figure 18).
Figure 18.
Mass balance analyses for hydrothermal lithofacies of the Bondy gneiss complex. (A) K-feldspar-rich laminated gneisses and metamafic rocks; (B) Garnetites and aluminous gneisses; (C) Orthopyroxene-magnetite-rich gneisses, cordierite-orthopyroxene gneisses, and siliceous gneisses associated with tourmalinites. Source of data listed in Table S1.
Mass-balance calculations were used to study the formation of K-feldspar-rich laminated gneisses and their biotite-orthopyroxene and sulfide-rich layers. The calculations assumed that the protolith was the K-feldspar-rich laminated gneiss of sample 4546A3e6, which is characterized by the lowest alteration index. These gneisses have large gains in K and Si, and partially high losses in P, Ca, and Na. The LILE, HFSE, and REE are generally slightly enriched (Figure 18). Mass-balance calculations in the biotite-orthopyroxene and sulfide-rich layers confirmed large gains in K and Si, and gains in Fe and Mg, with losses in P, Ca, and Na (Figure 18). Biotite-orthopyroxene layers are characterized by large gains in LREE, a gain in HREE, and immobility in MREE (Figure 18). Sulfide-rich layers of K-feldspar-rich laminated gneisses exhibit large gains in Ba, Sr, and Zr, and large losses in LREE and MREE (Figure 18). This mobility is responsible for the formation of V-shaped REE patterns in sulfide-rich layers of the K-feldspar-rich laminated gneisses (Figure 9C).
Mass-balance calculations were performed for the aluminous gneisses, with intermediate or tonalitic gneisses serving as the protoliths [42]. Biotite gneisses with an alteration index below 50 are distinguished by an enrichment in K, Fe, Rb, Pb, Hf, and HREE (Figure 18). Garnet-biotite quartzofeldspathic gneisses show large enrichments in K, Mg, Si, Rb, Th, U, REE, and Zr, and partial to complete losses of P, Ca, Na, and Sr (Figure 18). Garnet-orthopyroxene gneisses have large gains in K, Fe, Mg, P, Si, Rb, Ba, Th, U, REE, and Zr, and partial to complete losses of Ca and Sr (Figure 18). Garnet-cordierite gneisses show large gains in Mg, Fe, Si, Rb, Th, U, HREE, and Zr, and partial to complete losses of Ca, Na, P, and Sr (Figure 18).
For orthopyroxene-magnetite-rich gneisses, mass-balance calculations were performed using tonalitic gneisses as protoliths [42]. Group I orthopyroxene-magnetite-rich gneisses exhibit large increases in Fe, Si, K, Mg, Rb, Th, U, Nb, Zr, Y, and REE, as well as partial losses of P and Sr (Figure 18). Group II orthopyroxene-magnetite rich gneisses exhibit by large gains in Fe, Si, Mg, K, Rb, Th, U, Nb, Zr, Y, and REE, and by partial losses of Ca and Sr (Figure 18). REE were mobilized, showing a general decrease in the gain from La to Sm and an increase in the gain from Gd to Yb (Figure 18). Finally, the Group III orthopyroxene-magnetite-rich gneisses show large gains in Mg, Fe, Si, Rb, Th, U, Zr, La, Y, and HREE, and by partial to complete losses in Ca, P, Na, and Sr (Figure 18). As in sulfide-rich layers of K-feldspar-rich laminated gneisses, the very high gains in HREE explain the development of V-shaped REE patterns.
The formation of the garnetites was investigated using mass-balance calculations, assuming that the protolith was intermediate gneiss. Magnetite-rich garnetites have large gains in Fe, Mg, Si, Rb, Th, U, Zr, LREE, and HREE, as well as partial to complete losses in Na, Ca, P and Sr (Figure 18). Quartz-rich garnetites have large gains in Mg, Fe, Si, K, Al, Rb, Th, U, Zr, Nb, La and HREE, and partial to complete losses in P, Ca, Na, and Sr (Figure 18). Clinopyroxene-rich garnetites have large gains in K, Mg, Fe, Rb, Ba, Th, U, Zr, La, and partial to complete losses in P, Na, Ca, and Sr (Figure 18). Biotite-rich garnetites have large gains in K, Mg, Fe, and Rb, and partial to complete losses in Ca, Na, P, Si, U, Sr and LREE (Figure 18).
For siliceous gneisses, mass-balance calculations were performed using tonalitic gneisses as protoliths. Most of the siliceous gneisses show partial to complete loss of Na, Ca, K, Fe, Ba, Th, and Sr, and large enrichments in Mg, U, and REE (Figure 18). The HREE are slightly more enriched than the LREE. However, europium is significantly lower than the neighboring REE (Figure 18).
6.2. Rare Earth Elements Mobility During Metasomatism
For a long time, REE were considered immobile in igneous rocks subjected to hydrothermal alteration and metasomatism. However, during the 1990s, studies of natural systems, theoretical assessments of rare earth mobility, and experimental studies of REE stability in hydrothermal fluids refuted this notion of REE immobility [67,68]. Hydrothermal fluids generally play an important role in mobilizing REE and forming REE deposits [69,70,71,72]. Aqueous speciation and REE-ligand complexes are the main factors controlling REE mobility [69,73,74,75,76]. The most convincing evidence of this mobility linked to hydrothermal fluids is the existence of REE deposits of essentially hydrothermal or metasomatic origin. Examples include the giant Bayan Obo deposit in China [77,78], the Josette iron oxide–apatite REE deposits in the Grenville Province in Canada [79,80] and other smaller but economic significant deposits [81,82,83].
In MIAC systems, metasomatism plays an important role in the mobility and precipitation of REE. Consecutive metasomatic facies in the MIAC systems of the Great Bear magmatic zone and the Josette IOA deposit, and their REE-mineralized IOA bodies, show regular REE enrichment or depletion in comparison to less altered rocks and earlier or later alteration facies [19]. Iron oxide apatite deposits include iron ores with significant REE mineralization, where the systems have transitioned to HT Ca-K-Fe, HT K-Fe or LT K-Fe alteration facies, and where the initial metal endowment has been remobilized. Examples include the Pea Ridge deposit in the Missouri district and the Josette REE deposit [19,84].
In the altered rocks of the Bondy mineral system, major element mobility is occasionally associated with a compelling example of trace element and REE mobility. REE patterns of certain gneisses exhibit a positive slope of HREE. These V-shaped profiles are called birdwing profiles [85]. Normal igneous and sedimentary rocks have negative or flat HREE slopes and variable LREE fractionation. Some unusual rocks, such as boninites, are exceptions. Birdwing shaped REE profiles result in a reversal of the slope of the HREE pattern slope. This suggests that REE mobility is selective and related to rock interaction with hydrothermal fluids.
REE contents in K-feldspar-rich laminated gneisses, aluminous gneisses, and orthopyroxene-magnetite-rich gneisses decreases with increasing alteration intensity. This trend is evident in rocks ranging from the least-altered rocks to the most altered rocks, the latter of which are characterized by high AI values. The systematic depletion of REE, especially MREE, is illustrated by their chondrite-normalized patterns and the development of birdwing-shaped profiles.
Garnet-cordierite aluminous gneisses, orthopyroxene-magnetite-rich gneisses, and magnetite- and quartz-rich garnetites show a slight increase in LREE, and a large enrichment in HREE. This increase is associated with a systematic rise in MgO, and a systematic decrease in CaO and Na2O. Like REE, HFSEs such as Zr and Nb are mobile in these rock types. Additionally, mass-balance calculations reveal a slight yet consistent increase in calculated mass from Gd to Yb. This finding is consistent with the increased stability of REE complexes (carbonate, fluoride, etc.) observed with increasing atomic number under seafloor hydrothermal alteration conditions [86]. Birdwing-shaped REE profiles form through two primary mechanisms: leaching of LREE and MREE from normal rocks and metasomatic addition of HREE to rocks in association with fluoride and/or carbonate complexing agents. These results are confirmed by the mass-balance calculations of sulfide-rich metamafic rocks. In these mineralized facies, we observe an increase in HFSE and REE, with a general increase from La to Lu, which is consistent with the presence of ligand complexes. The development of birdwing-shaped profiles is closely related to Mg enrichment during chloritization, as well as zirconium enrichment in hydrothermal zircon during alteration (prior to metamorphism).
Zircon is highly soluble in alkali- and F-rich magmas [87], leading to a progressive Zr enrichment in differentiating magmas. Over a range of 0–6 wt % F, zircon solubility increases with the square of the F content. This pattern is reflected in the solubility of other refractory minerals, such as rutile and thorite, which exhibit a similar pattern [87]. REE and Zr are usually the least soluble elements in metamorphic rocks and many common hydrothermal systems, so large amounts of fluorine fluids, especially hydrofluoric acid, must have been involved in the alteration processes. The excess of fluorine in hydrothermal systems may originate from ortho-magmatic fluids, derived from felsic plutonic rocks or from the hydrothermal leaching of evaporitic rocks, which may have been present in the supracrustal rocks of the study area. Zircon mobility is a common phenomenon in F-rich hydrothermal systems, which are often associated with alkaline, F-rich igneous suites. These suites have compositions ranging from peralkaline to metaluminous to peraluminous. The highly anomalous REE signatures indicate that the host rocks were in contact with a reducing hydrothermal solution enriched in ionic complexes. This phenomenon can only be explained by the presence of HREE and Zr complexing agents in the hydrothermal fluids.
As proposed by Montreuil et al. [66], high fluorine and chlorine contents of the country rocks, and unusual element mobility recorded in the alteration facies, provide strong evidence of high halogen activities (F- and Cl-) in the magmatic-hydrothermal fluids of magnetite-group IOCG deposits. In the Bondy mineral system, the presence of metasomatic facies characterized by an enrichment in HREE, Nb and Zr, and super-chondritic [Zr/Sm]n ratios suggests that the metasomatic mineral system was enriched in fluorine.
7. Metallogenic Model and Implications for Exploration
7.1. A MIAC Lithogeochemical Signature
The Bondy gneiss complex comprises a series of metasomatic lithofacies (hydrothermal alteration zones) that have been metamorphosed to high grades. These lithofacies represent the footprint of a regional mineral system mineralized in Cu (±Au, Ag, Zn). On alteration diagrams, these lithofacies largely plot outside the least-altered fields and exhibit the following: (i) K and K-Fe alteration with the development of biotite in metamafic rocks, biotite-rich gneisses, K-feldspar-rich laminated gneisses, and biotite-rich garnetites; (ii) K ± Fe alteration with the development of garnet-orthopyroxene and garnet-biotite quartzofeldspathic gneisses; (iii) Fe-rich alteration with the development of orthopyroxene-magnetite gneisses and magnetite-rich garnetites; (iv) Na alteration leading to plagioclase-rich gneisses and (v) Mg-rich alteration forming layers of cordierite-orthopyroxene gneisses among the plagioclase-rich gneisses and formed orthopyroxene- and sulfide-rich layers among the K-feldspar-rich laminated gneisses. All alteration facies record systematic and extensive mobility of major elements.
Mobility of REE and HFSE is limited to a few facies and mineralization in the northern and eastern parts of the hydrothermal system and is particularly pronounced in Mg-enriched gneisses. Copper (±Au, Ag, Zn) mineralization also occurs in the northern and eastern parts of the Bondy metasomatic mineral system. There, K-feldspar-rich laminated gneisses, aluminous gneisses, orthopyroxene-magnetite gneisses, plagioclase-rich cordierite-orthopyroxene gneisses, and quartz- and magnetite-rich garnetites occur, but not in the southern part, where amphibolite units are more abundant and associated with biotite-rich, clinopyroxene-rich, or hornblende-rich garnetites.
To best assess the metallogenic model for the Bondy metasomatic mineral system, we compared the metasomatic lithogeochemical footprints of MIAC systems across the globe with those of other types of mineral systems (VMS, porphyry, epithermal, etc.) using the AIOCG and CCPI diagrams. A diagnostic lithogeochemical footprint for MIAC systems emerges in the AIOCG diagram regardless of the geological context in which the MIAC systems were formed. Case studies include MIAC systems in volcano-plutonic environments ranging from felsic to intermediate-dominated to mafic to ultramafic (e.g., Olympic Cu-Au Province of Australia [19,22]; Bondy gneiss complex [4], Great Bear magmatic zone [19,22], Central Mineral Belt [21], Josette REE deposit [19] and other case studies in Canada [88,89]; southeast Missouri district in USA [19,84]; Bafq district in Iran [88]; Norrbotten district in Sweden [7,17]; Carajás Mineral Province in Brazil, this work). The footprints of MIAC systems hosted within large sedimentary basins were also studied such as those of the Cloncurry district in Australia [17], and the Wanapitei district and Romanet Horst in Canada.
The barcodes and distribution of the samples that plot within the Na, Ca-Fe, K-Fe, and K alteration fields are typical of the high-temperature prograde metasomatic evolution of MIAC systems such as those well demonstrated in the MIAC systems of the Great Bear magmatic zone, Canada [19]. However, the metasomatic footprint of the Bondy mineral system on the AIOCG diagram shifts slightly to the left compared to the typical prograde metasomatic path of the Great Bear MIAC systems (Figure 19A), and other studied mineral systems [19,22]. Additionally, the Mg and Si proportions within the barcodes exceed those of most case studies. The ubiquitous and locally intense Mg and/or Si fingerprints within the Bondy metasomatites are highly characteristic of the low-temperature alteration facies of MIAC systems, such as chloritization and silicification, which commonly overprint the high-temperature Na, Ca-Fe K-Fe and/or K metasomatites (Figure 16E). This superimposition on earlier high-temperature MIAC alteration facies (prior to metamorphism) explains the barcode footprints and the leftward shift in the AIOCG diagram. Among all the case studies investigated, only those from the Carajás Mineral Province exhibit Mg proportions within their barcodes comparable to those of the Bondy mineral system.
Figure 19.
Samples of MIAC systems plotted on the AIOCG diagram of Montreuil et al. [20]. (A,B) Great Bear magmatic zone (Canada). Data compiled from Corriveau et al. [90], Figure reproduced from Blein et al. [22] under GAC’s Fair Dealing/Fair use policy; (C,D) Carajás Mineral Province (Brazil). Data compiled from Lacasse et al. [91]; (E,F) Chloritized ± magnetite-hematite samples from the Carajás Mineral Province (Brazil). Data compiled from Lacasse et al. [91]. A, C and E have Na-Ca-Fe-K-Mg barcodes. B, D and F have Na-Ca-Fe-K-(Si + Al)/10 barcodes. Color coding of barcodes as in Figure 15 and Figure 16.
Chloritization and silicification are common in IOCG deposits observed in the Carajás Mineral Province of Brazil which formed in a mafic to ultramafic geological environment [91,92] and are less developed in the magnetite-dominated IOCG system of the Great Bear magmatic zone of Canada which formed in a dominantly intermediate to felsic geological environment [18].
The Carajás Mineral Province consists of two Mesoarchean to Neoarchean tectonic domains, the northern Carajás Domain and the southern Rio Maria Domain [93,94,95,96]. The Carajás Domain displays a metallogenetic diversity, containing IOCG, Cu-Au, Fe, Ni-Co, PGE-Cr and Au-PGE deposits. IOCG deposits are located along WNW regional shear zones hosted within mafic and felsic volcanic rocks of the Itacaiúnas Supergroup, Mesoarchean basement, and bimodal 2.76–2.73 Ga Neoarchean granitoids and gabbro [95]. Like the IOCG deposits of the Itacaiúnas Supergroup, the mineralization of the BGC is hosted within mafic and felsic volcanic rocks. Furthermore, the Bondy hydrothermal system exhibits metasomatic fingerprints similar to the IOCG deposits of the Carajás Mineral Province, notably the Alvo 118 deposit.
The Alvo 118 deposit, hosted by mafic and felsic volcanic rocks and intruded by granitoid and gabbro, has undergone the following hydrothermal sequence [92]: (1) a first stage of distal Na alteration (albite and scapolite) (Figure 19C,D); (2) a second stage of pervasive K-Fe alteration with K-feldspar accompanied by magnetite and silicification; and (3) a third stage of chloritization associated with iron oxide, concomitant with ore deposition (Figure 19E,F).
In the Alvo 118 deposit, the early sodic alteration is typically observed in distal parts of the system. Scapolite is abundant in gabbro and mafic volcanic rocks, where it has replaced plagioclase, while albite has replaced microcline in intermediate volcanic rocks and granites. In proximal areas, K alteration becomes increasingly pervasive, overprinting Na alteration. Biotite is the major K-Fe alteration mineral in mafic rocks, although K-feldspar also occurs as a replacement of previously Na altered plagioclase. Silicification is a common process of K alteration in the felsic host rocks. Magnetite is the major accessory hydrothermal phase within K alteration domains and marks the onset of iron oxide precipitation. Chloritization is the most pervasive and widespread alteration, forming a proximal halo around the main orebodies. It occurs during both the pre- and syn-mineralization stages [92].
The Bondy metasomatic mineral system and the Alvo 118 deposit are similar despite the high-grade metamorphism of the BGC: (i) hosted by mafic and felsic metavolcanic rocks; (ii) early Na alteration; (iii) K-Fe alteration; (iv) chlorite (Mg) alteration associated with the Cu-Au mineralization; and (v) enrichment in HREE. Both systems have developed to structurally high levels and can be considered as having shallow IOCG mineralization. The Bondy MIAC systems preserved advanced argillic alteration typical of epithermal caps, supporting the preservation of near-surface components of the system.
Depending on the mineral phases, particularly the accessory phases, of the protoliths and the minerals whose crystallization is linked to hydrothermal fluids, hydrothermal activities can generate atypical rare-earth profiles in altered rocks and hydrothermal minerals [19]. In the Bondy gneiss complex, Cu ± Au mineralized lithofacies are characterized by the presence of magnetite and zircon, as well as strong MgO, HREE, and Zr enrichment relative to the least altered rocks. However, not all HREE-enriched facies show systematic enrichment in Cu and Au. This anomalous trace-element signature implies interaction between the rock and a reducing hydrothermal solution, particularly rich in an ionic complex of Zr and HREE. In the Bondy gneiss complex, the primary processes of hydrothermal alteration and fractionation of rare earths must have been induced by a fluorine-rich fluids and mineral phases enriched in light rare earths and heavy rare earths, respectively. Leaching of rare earth elements from protoliths associated with the dissolution of certain mineral phases, but also with the external influx of high rare earth elements, can produce birdwing-shaped rare earth profiles. These profiles can be associated with unusual Nb/Ta and Zr/Sm ratios and can also be used as sensitive markers to identify hydrothermally altered rocks for mineral exploration.
7.2. Implications for Exploration of High-Grade Metamorphic Terranes
Identifying metasomatites and their alteration facies in the field and along drill cores is critical for identifying and exploring MIAC systems at regional to deposit scale, as it is for unmetamorphosed terranes. However, lithogeochemical studies help eliminate the potential confusion that can arise when MIAC lithotypes at granulite facies appear to have a sedimentary origin due to the presence of aluminous gneisses and tourmalinites, a problem exacerbated by the transposition of metasomatites into layered gneisses through regional deformation.
In the field, the most extensive and obvious alteration types observed are represented by the variety of garnetites; they systematically plot in the Ca-Fe, Ca-K-Fe and K-Fe fields of the AIOCG diagram (Figure 16). Their widespread distribution, distinctive appearance, and geochemical signatures, which are characteristic of MIAC mineral systems, have significant implications for exploring high-grade metamorphic terranes and assessing their mineral prospectivity at local to national scales.
Coticules, including garnetites, quartz garnetites, and garnet-rich ‘quartzites’, are among the most easily recognizable rock types of a metamorphosed hydrothermal system, but the presence of such rocks alone is not conclusive evidence that hydrothermal activity took place, as other genetic models may be applicable in some instances [97,98,99,100,101,102,103]. Coticules (quartz garnetites in [97]) consist of quartz and garnet, with garnetites having more than 50% garnet. Originally, the term coticule referred strictly to spessartine-garnet quartz rocks [99,100]. Spry et al. [97] propose to extend the term to encompass all garnet compositions. This extension is based on the recognition that coticules, with spessartine-, almandine-, and grossular-rich garnets, are now understood to have precipitated in situ with stratiform massive sulfide deposits and hydrothermal rocks [100,101]. Many coticule units are described as thin layers or lenses hosted in metapelites. While most examples of coticules lack primary sedimentary structures, they are considered as meta-exhalites derived from a carbonate and chlorite precursors [102] and are used to indicate the proximity of metamorphosed mineral deposits [97]. A more comprehensive interpretation of the genesis of garnetites is that they are a metamorphic byproduct of aluminum enrichment resulting from pre- to syn-metamorphic hydrothermal alteration and MIAC metasomatism, or the precipitation of aluminous clay colloids and dissolved silica from exhalative brines. Another possibility is the selective redeposition of aluminous clay [2,98].
Tourmalinites are commonly interpreted as meta-exhalites [103]. In the Bondy mineral system, the tourmalinites hosted by biotite-sillimanite-bearing gneisses are good candidates for a metamorphosed tourmaline alteration among argillic or sericitic altered units. The white plagioclase-rich cordierite-orthopyroxene gneisses, with local orthopyroxene-bearing layers, display similarities with chloritized albitite units and their tourmaline-kornerupine layers with tourmaline alteration of albitite [4]. The biotite, cordierite, garnet, K-feldspar, orthopyroxene, and/or sillimanite gneisses are suitable candidates for HT to LT K-Fe, argillic, and sericitic altered volcaniclastic rocks. The magnetite-rich gneisses and the garnetites are potential candidates for iron oxide-altered, magnetite-dominated, and magnetite-phyllosilicate-dominated HT Ca-Fe or HT or LT K-Fe alteration types. The sillimanite-quartz-pyrrhotite rocks are characteristic of advanced argillic or phyllic alteration zones. The biotite-rich garnetites may be either K-altered amphibolites or HT or LT K-Fe metasomatites. The atypical lithotypes of the Bondy mineral system illustrate well the results of high-grade metamorphism of the diagnostic alteration facies of MIAC systems and their epithermal caps (this work; [4,19,46]).
Knowledge of the Bondy metasomatic mineral system has implications for defining new exploration targets on a regional to global scale. Exploration strategies can use the lithogeochemical footprint and the distribution and types of alteration facies that are observed in the Bondy MIAC system as pathfinders for IOCG, IOA and affiliated critical and precious metal deposits. Each MIAC alteration facies has been shown to recrystallize to distinct and diagnostic gneissic lithotypes at granulite facies. As each alteration facies of MIAC systems is associated with a distinct type of mineralization [18], the main types of hydrothermal alteration/metasomatites (now metamorphosed at granulite facies) observed in the Bondy gneiss complex (Figure 16) can guide exploration as follows: (i) Na alteration as a potential host for albitite-hosted U or Au-Co mineralization; (ii) Ca-Fe alteration for IOA mineralization and associated Fe, P, Ni, REE resources; (iii) Ca-K-Fe for metasomatic Fe-Co deposits, (iv) K-Fe alteration for IOCG and ISCG deposits with precious and critical metals such as Ag, Au, Cu, and REE; (v) K alteration as host to subsequent mineralization; (vi) Mg and Si alteration as evidence that the systems have evolved to the low temperatures typical of hematite-group IOCG deposits and other low temperature deposits of MIAC systems; (vii) advanced argillic alteration as potential host of epithermal deposits and as a record of potential epithermal caps that attest to preservation of near-surface components of mineral systems even at granulite facies; and (viii) local tourmaline alteration that differs from meta-exhalites but is typical of tourmaline alteration associated with MIAC alteration as observed in the Great Bear magmatic zone, Canada [4]. In MIAC systems, the specific changes in major elements associated with the distinct alteration facies —as portrayed by the distribution of bulk-rock samples in the AIOCG diagram—, and the variations in the molar proportions of diagnostic cations—as shown by the barcodes signatures—provide insights on the mineral potential for distinct deposit types [15,19]. Once identified, the alteration facies are the key metallotects in mineral exploration, as shown in the ore deposit model of the review paper [15], which links alteration facies to metal associations and deposit types.
The regional scale of the atypical and diagnostic lithogeochemical footprint and of the distribution of metasomatites of MIAC systems even at granulite facies provides robust mappable criteria for national mineral potential assessment. Currently, national mineral potential assessments for IOCG deposits use the magnetic footprint of IOCG deposits as mappable criteria [104,105,106]. However, Fe-rich alteration facies remain rich in magnetite once metamorphosed at granulite facies where magnetite was the dominant mineral of the alteration assemblage such as in the localized magnetite ironstone preserved in the Bondy gneiss complex [4]. As observed within the outcrop with the ironstone [4] and based on the lithogeochemical fingerprints (this work) and phase equilibria modeling [107], the availability of Al and Si favors the stability of garnet, biotite and/or orthopyroxene at the expense of magnetite as metasomatites with magnetite among plagioclase and other silicates become metamorphosed.
8. Conclusions
Under granulite facies conditions, the Bondy gneiss complex exhibits a variety of unusual lithofacies that are diagnostic of metamorphosed hydrothermal alteration zones. Relative enrichments in Al, Ca, Fe, K, Mg, Cu and B can be identified by mapping the unusual content and proportions of the following minerals: (1) sillimanite, cordierite and garnet, (2) clinopyroxene or plagioclase, (3) magnetite, (4) biotite, (5) orthopyroxene, (6) chalcopyrite and (7) tourmaline and kornerupine. Lithogeochemical investigations based on the AIOCG and CCPI-AI diagrams confirm the presence of metamorphosed hydrothermal alteration zones, help assess alteration facies and select the most appropriate ore deposit model. In this contribution, the lithogeochemical footprint of the Bondy gneiss complex on the AIOCG diagram reveals the following types of alteration facies: (1) Na, (2) Ca-Fe, (3) K-Fe, (4) K, (5) Mg-rich chlorite ± pyrite, (6) Si and (7) advanced argillic alteration. Chloritic and silicic alteration are superimposed on previous alteration types prior to high-grade metamorphism. The spatial relationships and transitions between the observed alteration types in the AIOCG diagrams for the Bondy mineral system are analogous to those observed in the evolution of metasomatic iron and alkali-calcic (MIAC) mineral systems towards epithermal caps.
Locally, REE are mobilized by hydrothermal processes, modifying the REE contents of the protoliths (i.e., prior to high-grade metamorphism), and forming birdwing-shaped REE patterns in some of the most highly metasomatized rocks. F-rich fluid and mineral phases enriched in LREE and HREE are interpreted to have been involved in hydrothermal alteration and REE fractionation. Birdwing-shaped REE profiles form when REE are removed from the interstitial glass of the volcanic protoliths, accompanied by the dissolution of plagioclase and the subsequent external influx of HREE and HFSE. These patterns therefore provide information on the pre-metamorphic hydrothermal/metasomatic history of the gneisses.
Recognizing such lithological facies highlights the potential of unexplored high-grade metamorphic terranes to host the wide variety of mineral deposits known to form within MIAC systems.
Supplementary Materials
The following supporting information can be downloaded at: https://www.mdpi.com/article/10.3390/min15080803/s1, Table S1: Sources of geochemical data for each sample processed for this study (see Data Availability Statement for additional information).
Author Contributions
Conceptualization, O.B. and L.C. Methodology, O.B. and L.C. Validation, O.B. and L.C. Formal analysis, O.B. Investigation, O.B. and L.C. Resources, O.B. and L.C. Data curation, O.B. Writing—original draft preparation, O.B. and L.C. Writing—review and editing, O.B., L.C. Visualization, O.B. Supervision, O.B. Project administration, L.C. Funding acquisition, L.C. All authors have read and agreed to the published version of the manuscript.
Funding
This research was funded by the Ore system project of the Targeted Geoscience Initiative Program (Phase 6) of the Geological Survey of Canada (Natural Resources Canada). The field and lithogeochemical data were acquired thought earlier projects, including project 920002QN (1990–1995) funded by the Geological Survey of Canada, the project IPP 920002-1 of the Industrial Partnership Program of the Geological Survey of Canada with partial funding from KWG Resources, project 15267-689 (1996–1998) of the Institut National de la Recherche Scientifique led by M. Laflèche and L. Corriveau [3] in collaboration with the Geological Survey of Canada and partly funded by Stratmin. An additional project of the Institut National de la Recherche Scientifique led by L. Harris in collaboration with the Geological Survey of Canada was partly funded by Richmond Minerals [8,45,46].
Data Availability Statement
Geochemical data are available in [3,14,45,108] and field descriptions in [3,4,8,14,46,108]. Additional geochemical data will be published by the Geological Survey of Canada of Natural Resources Canada.
Acknowledgments
This paper is an outcome of the sub-activity Metasomatic iron and alkali calcic systems and their IOCG and affiliated critical mineral deposits of the Targeted Geoscience Initiative Program of the Geological Survey of Canada (Natural Resources Canada). The research builds on earlier projects of the Geological Survey of Canada and the Institut National de la Recherche Scientifique. The authors wish to thank M. Laflèche and L. Harris for their significant contributions to the data acquisition, and early contributions to research and interpretations on the Bondy gneiss complex [3,8,9,42,45,46] and for their involvement in the management of the research projects of the Institut National de la Recherche Scientifique in collaboration with the Geological Survey of Canada and private sector. The authors acknowledge A. Godet and Minerals reviewers and an editor for their reviews of this paper.
Conflicts of Interest
The authors declare no conflicts of interest.
Abbreviations
Mineral abbreviations of Warr [54] are used in this manuscript.
Appendix A
Figure A1.
Grab samples of mineralized hydrothermal facies of the Bondy gneiss complex collected during a first phase of exploration by Richmond Minerals [45] and analyzed by SGS Lakefield with their original datasets provided in Ref. [45]. The data are plotted on the CCPI-AI diagram of Large et al. [29] in A to D and on the AIOCG diagram of Montreuil et al. [20] from E to H. (A,E) Composition of samples for each prospect; (B,F) Na-Ca-Fe-K-Mg barcodes are provided for each sample; (C,G) Copper values; (D,H) Gold values.
Figure A1.
Grab samples of mineralized hydrothermal facies of the Bondy gneiss complex collected during a first phase of exploration by Richmond Minerals [45] and analyzed by SGS Lakefield with their original datasets provided in Ref. [45]. The data are plotted on the CCPI-AI diagram of Large et al. [29] in A to D and on the AIOCG diagram of Montreuil et al. [20] from E to H. (A,E) Composition of samples for each prospect; (B,F) Na-Ca-Fe-K-Mg barcodes are provided for each sample; (C,G) Copper values; (D,H) Gold values.

References
- McFarlane, C.; Mavrogenes, J.A.; Tomkins, A. Recognizing hydrothermal alteration through a granulite facies metamorphic overprint at the Challenger Au deposit, South Australia. Chem. Geol. 2007, 243, 64–89. [Google Scholar] [CrossRef]
- Corriveau, L.; Spry, P.G. Metamorphosed hydrothermal ore deposits. In Treatise on Geochemistry, 2nd ed.; Holland, H.D., Turekian, K.K., Eds.; Elsevier: Amsterdam, The Netherlands, 2014; Volume 13, pp. 175–194. [Google Scholar] [CrossRef]
- Corriveau, L.; Blein, O.; Laflèche, M. Progress Report on the Bondy Gneiss Complex and Its Cupriferous Hydrothermal System, Mont-Laurier Area; GM 54808; Ministère des Ressources Naturelles: Québec, QC, Canada, 1997. [Google Scholar]
- Corriveau, L.; Blein, O.; Gervais, F.; Trapy, P.H.; De Souza, S.; Fafard, D. Iron-Oxide and Alkali-Calcic Alteration, Skarn and Epithermal Mineralizing Systems of the Grenville Province: The Bondy Gneiss Complex in the Central Metasedimentary Belt of Quebec as a Case Example—A Field Trip to the 14th Society for Geology Applied to Mineral Deposits (SGA) Biennial Meeting; Open File 8349; Geological Survey of Canada: Ottawa, ON, Canada, 2018. [Google Scholar] [CrossRef]
- Allard, G.O.; Carpenter, R.H. Mineralogical anomalies in metamorphosed terranes, a neglected but promising exploration tool. In Proceedings of the International Conference of Geochemical Evolution: Continental Crust, Pocos de Caldas, Brazil, 11–16 July 1988; pp. 229–236. [Google Scholar]
- Tomkins, A.G.; Mavrogenes, J.A. Mobilization of gold as a polymetallic melt during pelite anatexis at the Challenger gold deposit, South Australia: A metamorphosed Archean gold deposit. Econ. Geol. 2002, 97, 1249–1271. [Google Scholar] [CrossRef]
- Drejing-Carroll, D.; Hitzman, M.W.; Coller, D. Geology of the Nautanen North Cu-Au-Ag-(Mo) deposit, Norrbotten, Sweden. Econ. Geol. 2023, 118, 1765–1794. [Google Scholar] [CrossRef]
- Harris, L.B. Research Applied to Exploration for IOCG-Style Mineralization in the Grenville Province, SW Quebec - Progress Report and Research Plan (Spring 2007 - Winter 2008); GM 65498; Ministère des Ressources Naturelles: Québec, QC, Canada, 2007. [Google Scholar]
- Blein, O.; Corriveau, L.; Laflèche, M.R. Cordierite-orthopyroxenes white gneiss: A key to unveiling pre-metamorphic hydrothermal activity in the Bondy gneiss complex, Grenville Province, Quebec. In Proterozoic Tectonic Evolution of the Grenville Orogen in North America; Tollo, R.P., Corriveau, L., McLelland, J., Bartholomew, M.J., Eds.; The Geological Society of America: Boulder, CO, USA, 2004; Memoir 197; pp. 19–33. [Google Scholar]
- Bonnet, A.-L.; Corriveau, L. Alteration vectors to metamorphosed hydrothermal systems in gneiss terranes. In Mineral Deposits of Canada: A Synthesis of Major Deposit-Types, District Metallogeny, the Evolution of Geological Provinces, and Exploration Methods; Goodfellow, W.D., Ed.; Geological Association of Canada, Mineral Deposits Division: St. John’s, NL, Canada, 2007; Special Publication 5. [Google Scholar]
- Spry, P.G.; McFadden, S.; Teale, G.S.; Alers, B.; Shallow, J.M.; Glenn, J.M. Nodular sillimanite rocks as field indicators to metamorphosed massive sulfide deposits. Ore Geol. Rev. 2022, 141, 104632. [Google Scholar] [CrossRef]
- Stevens, B.P.J.; Barron, L.M. Volcanic Textures in the Palaeoproterozoic Hores Gneiss, Broken Hill, Australia; Quarterly Notes 113; Geological Survey of New South Wales: Maitland, NSW, Australia, 2002; pp. 1–22. [Google Scholar]
- Gifkins, C.; Herman, W.; Large, R. Altered Volcanic Rocks: A Guide to Description and Interpretation; Centre for Ore Deposit Research (CODES), University of Tasmania: Hobart, TAS, Australia, 2005; pp. 241–246. [Google Scholar]
- Corriveau, L. Architecture de la Ceinture Métasédimentaire Centrale au Québec, Province de Grenville: Un Exemple de l’Analyse de Terrains de Métamorphisme Élevé; Bulletin 586; Geological Survey of Canada: Ottawa, ON, Canada, 2013. [Google Scholar]
- Corriveau, L.; Montreuil, J.-F. Metasomatic mineral systems with IOA, IOCG and affiliated critical and precious metal deposits: A review from a field geology perspective. Minerals 2025, 15, 365. [Google Scholar] [CrossRef]
- Hamilton, M.; Montreuil, J.-F.; Adlakha, E.; Corriveau, L.; Bain, W. Base, Critical, and Precious Metals Mineralization in the Metasomatic Iron and Alkali-calcic Systems of the Southern Province in the Sudbury Area: A Geological Guidebook; Open File Report 6391 Ontario Geological Survey: Sudbury, ON, Canada, 2023. [Google Scholar]
- Blein, O.; Harlaux, M.; Corriveau, L.; Niiranen, T.; Lynch, E.P.; Lisitsin, V.; Ehrig, K.; Montreuil, J.F.; Gourcerol, B. Geochemical footprints of IOA and IOCG deposits in Northern Norrbotten, Sweden, and Cloncurry District, Australia. J. Geochem. Explor. 2025, 277, 107820. [Google Scholar] [CrossRef]
- Corriveau, L.; Montreuil, J.-F.; Potter, E.G. Alteration facies linkages among IOCG, IOA and affiliated deposits in the Great Bear magmatic zone, Canada. Econ. Geol. 2016, 111, 2045–2072. [Google Scholar] [CrossRef]
- Corriveau, L.; Montreuil, J.-F.; Blein, O.; Ehrig, K.; Potter, E.G. Mineral systems with IOCG and affiliated deposits: Part 2—Geochemical Footprints. In Mineral Systems with Iron Oxide Copper-Gold (IOCG) and Affiliated Deposits; Corriveau, L., Potter, E.G., Mumin, A.H., Eds.; Special Paper 52; Geological Association of Canada: St. John’s, NL, Canada, 2022; pp. 159–204. [Google Scholar]
- Montreuil, J.-F.; Corriveau, L.; Grunsky, E.C. Compositional data analysis of IOCG systems, Great Bear magmatic zone, Canada: To each alteration types its own geochemical signature. Geochem. Explor. Envir. Anal. 2013, 13, 229–247. [Google Scholar] [CrossRef]
- Acosta-Góngora, P.; Potter, E.G.; Lawley, C.J.M.; Corriveau, L.; Sparkes, G. Geochemical characterization of the Central Mineral Belt U±Cu±Mo±V mineralization, Labrador, Canada: Evaluation of IOCG potential and application of unsupervised machine-learning. J. Geochem. Expl. 2022, 237, 106995. [Google Scholar] [CrossRef]
- Blein, O.; Corriveau, L.; Montreuil, J.-F.; Ehrig, K.; Fabris, A.; Reid, A.; Pal, D. Geochemical signatures of metasomatic ore systems hosting IOCG, IOA, albite-hosted uranium and affiliated deposits: A tool for process studies and mineral exploration. In Mineral Systems with Iron Oxide Copper-Gold (IOCG) and Affiliated Deposits; Corriveau, L., Potter, E.G., Mumin, A.H., Eds.; Special Paper 52; Geological Association of Canada: St. John’s, NL, Canada, 2022; pp. 263–298. [Google Scholar]
- Boggs, K.; Corriveau, L. Granulite-facies P-T-t paths and the influence of retrograde cation diffusion during polyphase orogenesis, western Grenville Province, Québec. In Proterozoic Tectonic Evolution of the Grenville Orogen in North America; Tollo, R.P., Corriveau, L., McLelland, J., Bartholomew, M.J., Eds.; The Geological Society of America: Boulder, CO, USA, 2004; Memoir 197; pp. 35–64. [Google Scholar]
- Corriveau, L.; Morin, D. Modelling 3D architecture of western Grenville from surface geology, xenoliths, styles of magma emplacement, and Lithoprobe reflectors. Can. J. Earth Sci. 2000, 37, 235–251. [Google Scholar] [CrossRef]
- Warren, R.G.; Shaw, R.D. Volcanogenic Cu-Pb-Zn bodies in granulites of the central Arunta Block, central Australia. J. Metamorph. Geol. 1985, 3, 481–499. [Google Scholar] [CrossRef]
- Hussey, K.J.; Huston, D.L.; Claoue-Long, J.C. Geology and Origin of Some Cu-Pb-Zn (Au-Ag) Deposits in the Strangways Metamorphic Complex, Arunta Region, Northern Territory; Report 17; Northern Territory Geological Survey: Darwin, NT, Australia, 2006. [Google Scholar]
- McGloin, M.V.; Creaser, R.A. Summary of Results. Re–Os Molybdenite Dating of the Mount Hardy Deposit, Aileron Province; Record 2017–014; Northern Territory Geological Survey: Darwin, NT, Australia, 2017. [Google Scholar]
- McGloin, M.V.; Weisheit, A.; Trumbull, R.B.; Maas, R. Using Tourmaline to Identify Base Metal and Tungsten Mineralising Processes in the Jervois Mineral Field and Bonya Hills, Aileron Province; Rec 2019-001; Northern Territory Geological Survey: Darwin, NT, Australia, 2019. [Google Scholar]
- Large, R.R.; Gemmell, J.B.; Paulick, H.; Huston, D.L. The alteration box plot: A simple approach to understanding the relationship between alteration mineralogy and lithogeochemistry associated with volcanic-hosted massive sulfide deposits. Econ. Geol. 2001, 96, 957–971. [Google Scholar] [CrossRef]
- Gower, C.F.; Krogh, T.E. A U–Pb geochronological review of the Proterozoic history of the eastern Grenville Province. Can. J. Earth Sci. 2002, 39, 795–829. [Google Scholar] [CrossRef]
- Slagstad, T.; Easton, R.M.; Huyskens, M.; Culshaw, N. Complementarity of Lu–Hf isotopes from detrital and igneous zircon: An example from the Central Gneiss Belt, Grenville Province, Ontario. Can. J. Earth Sci. 2024, 62, 192–210. [Google Scholar] [CrossRef]
- Moukhsil, A.; El Bourki, M. Synthèse Géologique et Métallogénique de la Région de Clova Jusqu’au Nord du Lac-Saint-Jean, Parties Ouest et Centrale de la Province de Grenville, Québec, Canada; BG 2024-08; Ministère des Ressources Naturelles et des Forêts: Québec, QC, Canada, 2024. Available online: https://gq.mines.gouv.qc.ca/bulletins-geologiques/bg-2024-08-synthese-grenville/ (accessed on 26 February 2025).
- Dickin, A.P.; McNutt, R.H.; Martin, C.; Guo, A. The extent of juvenile crust in the Grenville Province: Nd isotope evidence. Geol. Soc. Am. Bull. 2010, 122, 870–883. [Google Scholar] [CrossRef]
- Dickin, A.P.; Hynes, E.; Landry, E.; Vautour, S. The significance of Nd isotope mapping in Precambrian orogenic belts: A case study from the Saguenay region of the Quebec Grenville Province. Precambrian Res. 2023, 394, 107–126. [Google Scholar] [CrossRef]
- Vautour, S.; Dickin, A. Nd isotope mapping of a Pinwarian-age composite arc belt in the Quebecia terrane of the central Grenville Province, Canada. Precambrian Res. 2019, 332, 105409. [Google Scholar] [CrossRef]
- Culshaw, N.; Van De Kerckhove, S.; Slagstad, T.; Marsh, J.; Easton, R.M. Crustal evolution of the Laurentian continental margin from the Paleo through Mesoproterozoic: A zircon U–Pb and Hf transect through the western Grenville Province, Ontario, Canada. Precambrian Res. 2023, 386, 106963. [Google Scholar] [CrossRef]
- Indares, A.; Moukhsil, A.; Groulier, P.A. Geon 14 to early geon 13 granitoid magmatism in. the Grenville Province of Canada, northeastern Laurentia: Distribution, geochemical patterns, and links with an active-margin setting. In Laurentia: Turning Points in the Evolution of a Continent; Whitmeyer, S.J., Williams, M.L., Kellett, D.A., Tikoff, B., Eds.; The Geological Society of America: Boulder, CO, USA, 2004; Volume 220. [Google Scholar] [CrossRef]
- Dickin, A.; Hynes, E.; Strong, J.; Wisborg, M. Testing a back-arc ‘aulacogen’ model for the Central Metasedimentary Belt of the Grenville Province. Geol. Mag. 2016, 153, 681–695. [Google Scholar] [CrossRef]
- Wodicka, N.; Corriveau, L.; Stern, R.A. SHRIMP U-Pb zircon geochronology of the Bondy gneiss complex: Evidence for circa 1.39 Ga arc magmatism and polyphase Grenvillian metamorphism in the Central Metasedimentary Belt, Grenville Province, Quebec. In Proterozoic Tectonic Evolution of the Grenville Orogen in North America; Tollo, R.P., Corriveau, L., McLelland, J., Bartholomew, M.J., Eds.; The Geological Society of America: Boulder, CO, USA, 2004; Memoir 197; pp. 243–266. [Google Scholar]
- Corriveau, L.; van Breemen, O. Docking of the Central Metasedimentary Belt to Laurentia: Evidence from the 1.17-1.16 Ga Chevreuil intrusive suite and host gneisses, Quebec. Can. J. Earth Sci. 2000, 37, 253–269. [Google Scholar] [CrossRef]
- Davis, D.W.; Nantel, S. Datations U-Pb dans la Partie Nord de la Ceinture Centrale des Métasédiments, Province de Grenville, Région de Mont-Laurier; MB 2016-04; Ministère des Ressources Naturelles et des Forêts: Québec, QC, Canada, 2016. [Google Scholar]
- Blein, O.; Laflèche, M.R.; Corriveau, L. Geochemistry of the granulitic Bondy gneiss complex: A 1.4 Ga arc in the central metasedimentary belt, Grenville Province, Canada. Precambrian Res. 2003, 102, 193–218. [Google Scholar] [CrossRef]
- Nantel, S. Géologie et Aperçu de la Géochronologie et des Indices Métalliques Découverts Entre 1996 et 2007 dans la Partie Nord de la Ceinture Centrale des Métasédiments, Province de Grenville, Région de Mont-Laurier; RG2008-04; Ministère des Ressources Naturelles: Québec, QC, Canada, 2008. [Google Scholar]
- Dickin, A.P.; McNutt, R.H. The Central Metasedimentary Belt (Grenville Province) as a failed back-arc rift zone: Nd isotope evidence. Earth Planet. Sci. Lett. 2007, 259, 97–106. [Google Scholar] [CrossRef]
- Richmond Minerals Inc. Report on the Geophysical Surveying and Ground Sampling at the Bondy Gneiss Complex; GM 65497; Ministère des Ressources Naturelles: Québec, QC, Canada, 2010. [Google Scholar]
- Dufréchou, G.; Harris, L.B.; Corriveau, L.; Antonoff, V. Regional and local controls on mineralization and pluton emplacement in the Bondy gneiss complex, Grenville Province, Canada interpreted from aeromagnetic and gravity data. J. Appl. Geophys. 2015, 116, 192–205. [Google Scholar] [CrossRef]
- Boggs, K. Retrograde Cation Exchange in Garnets During Slow Cooling of Mid Crustal Granulites and the P-T-t Trajectories from the Mont-Laurier Region, Grenville Province, Québec. Master’s Thesis, Université du Québec à Chicoutimi, Saguenay, QC, Canada, 1996. [Google Scholar]
- Carrington, D.P.; Harley, S.L. Partial melting and phase relations in high-grade metapelites: An experimental petrogenetic grid in the KFMASH system. Contrib. Mineral. Petrol. 1995, 120, 270–291. [Google Scholar] [CrossRef]
- Vallance, T.G. Mafic rock alteration and isochemical development of some cordierite-anthophyllite rocks. J. Petrol. 1967, 8, 84–96. [Google Scholar] [CrossRef]
- Franklin, J.M.; Lydon, J.W.; Sangster, D.F. Volcanic-associated massive sulfide deposits. Econ. Geol. 1981, 75, 486–627. [Google Scholar]
- Schandl, E.S.; Gorton, M.P.; Wasteneys, H.A. Rare-earth element geochemistry of the metamorphosed volcanogenic massive sulphide deposits of the Manitouwadge mining camp, Superior Province, Canada: A potential exploration tool? Econ. Geol. 1995, 90, 1217–1236. [Google Scholar] [CrossRef]
- Zaleski, E.; Peterson, V.L. Depositional setting and deformation of massive sulfide deposits, iron-formation, and associated alteration in the Manitouwadge Greenstone Belt, Superior Province, Ontario. Econ. Geol. 1995, 90, 2244–2261. [Google Scholar] [CrossRef]
- Hashiguchi, H.; Yamada, R.; Inoue, T. Practical application of low Na2O anomalies in footwall acid lava for delimiting promising areas around the Kosaka and Fukazawa Kuroko deposits, Akita Prefectural, Japan. In The Kuroko Massive Sulfide Deposits; Ohmoto, H., Skinner, B.J., Eds.; Monograph 5 Society of Economic Geologists: Littleton, CO, USA, 1983; pp. 387–394. [Google Scholar]
- Warr, L.M. IMA–CNMNC approved mineral symbols. Min. Mag. 2021, 85, 291–320. [Google Scholar] [CrossRef]
- Sun, S.S.; McDonough, W.F. Chemical and isotopic systematics of oceanic basalts: Implications for mantle composition and processes. Geol. Soc. Spec. Publ. 1989, 42, 313–345. [Google Scholar] [CrossRef]
- Roberts, M.D.; Oliver, N.H.S.; Fairclough, M.C.; Hölttä, P.S.; Lahtinen, R. Geochemical and oxygen isotope signature of sea-floor alteration associated with a polydeformed and highly metamorphosed massive sulphide deposit, Ruostesuo, Central Finland. Econ. Geol. 2003, 98, 535–556. [Google Scholar] [CrossRef]
- Taylor, B.E. Epithermal gold deposits. In Mineral Deposits of Canada: A Synthesis of Major Deposit-Types, District Metallogeny, the Evolution of Geological Provinces, and Exploration Methods; Goodfellow, W.D., Ed.; Special Publication 5; Geological Association of Canada, Mineral Deposits Division: St. John’s, NL, Canada, 2007; pp. 113–139. [Google Scholar]
- Hollis, S.P.; Yeats, C.J.; Wyche, S.; Barnes, S.J.; Ivanic, T.J.; Belford, S.M.; Davidson, G.J.; Roache, A.J.; Wingate, M.T.D. A review of volcanic-hosted massive sulfide (VHMS) mineralization in the Archean Yilgarn craton, Western Australia: Tectonic, stratifraphic and geochemical associations. Precambrian Res. 2015, 260, 113–135. [Google Scholar] [CrossRef]
- Grant, J.A. The isocon diagram—A simple solution to Gresens’ equation for metasomatic alteration. Econ. Geol. 1986, 81, 1976–1982. [Google Scholar] [CrossRef]
- Grant, J.A. Isocon analysis: A brief review of the method and applications. Phys. Chem. Earth 2005, 30, 997–1004. [Google Scholar] [CrossRef]
- Gresens, R.L. Composition-volume relationships of metasomatism. Chem. Geol. 1967, 2, 47–65. [Google Scholar] [CrossRef]
- Salvi, S.; Fontan, F.; Monchoux, O.; Williams-Jones, A.E.; Moine, B. Hydrothermal mobilization of high field strength elements in alkaline igneous systems: Evidence from the Tamazeght Complex (Morocco). Econ. Geol. 2000, 95, 559–576. [Google Scholar] [CrossRef]
- Jiang, S.-Y.; Wang, R.-C.; Xu, X.-S.; Zhao, K.-D. Mobility of high field strength elements (HFSE) in magmatic-, metamorphic-, and submarine-hydrothermal systems. Phys. Chem. Earth 2005, 30, 1020–1029. [Google Scholar] [CrossRef]
- Cann, J.R. Rb, Sr, Y, Zr and Nb in some ocean-floor basaltic rocks. Earth Planet. Sci. Lett. 1970, 10, 7–11. [Google Scholar] [CrossRef]
- van Dongen, M.; Weinberg, R.F.; Tomkins, A.G. REE-Y, Ti, and P remobilization in magmatic rocks by hydrothermal alteration during Cu–Au deposit formation. Econ. Geol. 2010, 105, 763–776. [Google Scholar] [CrossRef]
- Montreuil, J.-F.; Potter, E.G.; Corriveau, L.; Davis, W.J. Element mobility patterns in magnetite-group IOCG systems: The Fab IOCG system, Northwest Territories, Canada. Ore Geol. Rev. 2016, 72, 562–584. [Google Scholar] [CrossRef]
- Williams-Jones, A.E.; Wood, S.A. A preliminary petrogenetic grid for rare earth element fluorocarbonate and related minerals. Geochim. Cosmochim. Acta 1992, 56, 725–738. [Google Scholar] [CrossRef]
- Gammons, C.H.; Wood, S.A.; Williams-Jones, A.E. The aqueous geochemistry of the rare earth elements and yttrium: VI. Stability of neodymium chloride complexes from 25 to 300 °C. Geochim. Cosmochim. Acta 1996, 60, 4615–4630. [Google Scholar] [CrossRef]
- Gysi, A.P.; Williams-Jones, A.E. Hydrothermal mobilization of pegmatite-hosted REE and Zr at Strange Lake, Canada: A reaction path model. Geochim. Cosmochim. Acta 2013, 122, 324–352. [Google Scholar] [CrossRef]
- Gysi, A.P.; Williams-Jones, A.E.; Collins, P. Lithogeochemical vectors for hydrothermal processes in the Strange Lake peralkaline granitic REE-Zr-Nb deposit. Econ. Geol. 2016, 111, 1241–1276. [Google Scholar] [CrossRef]
- Elliott, H.A.; Wall, F.; Chakhmouradian, A.R.; Siegfried, P.R.; Dahlgren, S.; Weatherley, S.; Finch, A.A.; Marks, M.A.; Dowman, E.; Deady, E. Fenites associated with carbonatite complexes: A review. Ore Geol. Rev. 2018, 93, 38–59. [Google Scholar] [CrossRef]
- Walter, B.F.; Giebel, R.J.; Steele-MacInnis, M.; Marks, M.A.; Kolb, J.; Markl, G. Fluids associated with carbonatitic magmatism: A critical review and implications for carbonatite magma ascent. Earth Sci. Rev. 2021, 215, 103509. [Google Scholar] [CrossRef]
- Kolonin, G.; Shironosova, G. Thermodynamic model for REE complexation in the course of interaction between REE-fluorite and hydrothermal fluid. Geochem. Int. 2002, 40, 103–112. [Google Scholar]
- Migdisov, A.A.; Williams-Jones, A.E. Hydrothermal transport and deposition of the rare earth elements by fluorine-bearing aqueous liquids. Miner. Depos. 2014, 49, 987–997. [Google Scholar] [CrossRef]
- Migdisov, A.A.; Williams-Jones, A.E.; Brugger, J.; Caporuscio, F.A. Hydrothermal transport, deposition, and fractionation of the REE: Experimental data and thermodynamic calculations. Chem. Geol. 2016, 439, 13–42. [Google Scholar] [CrossRef]
- Perry, E.; Gysi, A.P. Rare earth elements in mineral deposits: Speciation in hydrothermal fluids and partitioning in calcite. Geofluids 2018, 2018, 5382480. [Google Scholar] [CrossRef]
- Smith, M.; Henderson, P.; Campbell, L. Fractionation of the REE during hydrothermal processes: Constraints from the Bayan Obo Fe-REE-Nb deposit, Inner Mongolia, China. Geochim. Cosmochim. Acta 2000, 64, 3141–3160. [Google Scholar] [CrossRef]
- Smith, M.P.; Campbell, L.; Kynicky, J. A review of the genesis of the world class Bayan Obo Fe–REE–Nb deposits, Inner Mongolia, China: Multistage processes and outstanding questions. Ore Geol. Rev. 2015, 64, 459–476. [Google Scholar] [CrossRef]
- Gagnon, R.; Buro, Y.A.; Ibrango, S.; Gagnon, D.; Stapinsky, M.; Del Carpio, S.; Larochelle, E. Projet de Terres Rares Kwyjibo; Rapport technique NI 43-101 révisé, 2018; Dra Met-Chem: Montréal, QC, Canada, 2018; Available online: https://www.sedarplus.ca/csa-party/records/document.html?id=6fe7e177d4d03d91a694437e1ea496e30055103b092233ae7ba5039ea38c7265 (accessed on 15 December 2023).
- Sappin, A.-A.; Perreault, S. Drill Core Pictures and Description of Samples Collected from the REE Kwyjibo Deposit (SOQUEM Warehouse, Val d’Or, QC–October 2015); Open File 8794; Geological Survey of Canada: Ottawa, ON, Canada, 2021. [Google Scholar]
- Williams-Jones, A.E.; Samson, I.; Olivo, G. The genesis of hydrothermal fluorite-REE deposits in the Gallinas Mountains, New Mexico. Econ. Geol. 2000, 95, 327–341. [Google Scholar] [CrossRef]
- Cook, N.J.; Ciobanu, C.L.; O’Reilly, D.; Wilson, R.; Das, K.; Wade, B. Mineral chemistry of rare earth element (REE) mineralization, Browns Range, Western Australia. Lithos 2013, 172–173, 192–213. [Google Scholar] [CrossRef]
- Trofanenko, J.; Williams-Jones, A.E.; Simandl, G.J.; Migdisov, A.A. The nature and origin of the REE mineralization in the Wicheeda carbonatite, British Columbia, Canada. Econ. Geol. 2016, 111, 199–223. [Google Scholar] [CrossRef]
- Day, W.C.; Slack, J.F.; Ayuso, R.A.; Seeger, C.M. Regional geologic and petrologic framework for iron oxide ± apatite ± rare earth element and iron oxide copper-gold deposits of the Mesoproterozoic St. Francois Mountains Terrane, Southeast Missouri, USA. Econ. Geol. 2016, 111, 1825–1858. [Google Scholar] [CrossRef]
- Baker, J.H.; Hellingwerf, R.H. Rare-earth elements in lithochemical prospecting for W-Mo-Au mineralized granites and related high- and low-temperature skarns [abs.]. In Proceeding of the South Symposium on Exploration Geochemistry, Athens, Greece, 10–11 November 1986; Program with Abstract; Institute of Geology and Mineral Exploration and Association of Exploration Geologists Internat: Athens, Greece, 1986. [Google Scholar]
- Wood, S.A. The aqueous geochemistry of the rare-earth elements and yttrium 2. Theoretical predictions of speciation in hydrothermal solutions to 350 °C at saturated water vapour pressure. Chem. Geol. 1991, 88, 99–125. [Google Scholar] [CrossRef]
- Keppler, H. Influence of fluorine on the enrichment of high field strength trace elements in granitic rocks. Contrib. Mineral. Petrol. 1993, 114, 479–488. [Google Scholar] [CrossRef]
- Corriveau, L.; Montreuil, J.-F.; Blein, O.; Potter, E.; Ansari, M.; Craven, J.; Enkin, R.; Fortin, R.; Harvey, B.; Hayward, N.; et al. Metasomatic Iron and Alkali Calcic (MIAC) System Frameworks: A TGI-6 Task Force to Help De-Risk Exploration for IOCG, IOA and Affiliated Primary Critical Metal Deposits; Geological Survey of Canada: Ottawa, ON, Canada, 2021; Scientific Presentation 127; 105 p. [Google Scholar]
- Corriveau, L.; Montreuil, J.-F.; Hayward, N.; Tschirhart, V.; Blein, O.; Boulanger, O.; Adlakha, E.; Pippy, R. Metasomatic iron and alkali-calcic (MIAC) mineral systems: A TGI6 geoscience foundation for critical mineral wealth and Indigenous mineral resources development. In Targeted Geoscience Initiative 6: Volcanic, Sedimentary, and Hydrothermal Ore Systems Genesis and Exploration Methods; Peter, J.M., Gadd, M.G., Eds.; Open File; Geological Survey of Canada: Ottawa, ON, Canada, 2025; in press. [Google Scholar]
- Corriveau, L.; Lauzière, K.; Montreuil, J.-F.; Potter, E.; Prémont, S.; Hanes, R. Dataset of New Lithogeochemical Analysis in the Great Bear Magmatic Zone, Northwest Territories, Canada; Open File 7643; Geological Survey of Canada: Ottawa, ON, Canada, 2015. [Google Scholar]
- Lacasse, C.M.; Ganade, C.E.; Mathieru, L.; Teixeira, N.A.; Lopes, L.B.L.; Monteiro, C.F. Restoring original composition of hydrothermally altered Archean metavolcanic rocks of the Carajás Mineral Province (Brazil): Geodynamic implications for the transition from lid to mobile tectonics. Lithos 2020, 373, 105647. [Google Scholar] [CrossRef]
- Torresi, I.; Xavier, R.P.; Bortholote, D.F.A.; Monteiro, L.V.S. Hydrothermal alteration, fluid inclusions and stable isotope systematics of the Alvo 118 iron-oxide-copper-gold deposit, Carajás Mineral Province (Brazil): Implications for ore genesis. Miner. Depos. 2012, 47, 299–323. [Google Scholar] [CrossRef]
- Holdsworth, R.E.; Pinheiro, R.V.L. The anatomy of shallow-crustal transpressional structures: Insights from the Archaean Carajás fault zone, Amazon, Brazil. J. Struct. Geol. 2000, 22, 1105–1123. [Google Scholar] [CrossRef]
- Almeida, J.A.C.; Dall’Agnol, R.; Oliveira, M.A.; Macambira, M.J.B.; Pimentel, M.M.; Rämö, O.T.; Guimaraes, F.V.; Leite, A.A.S. Zircon geochronology and geochemistry of the TTG suites of the Rio Maria granite-greenstone terrane: Implications for the growth of the Archean crust of Carajás Province, Amazonian craton, Brazil. Precambrian Res. 2013, 227, 157–185. [Google Scholar] [CrossRef]
- Trunfull, E.F.; Hagemann, S.G.; Xavier, R.P.; Moreto, C.P.N. Critical assessment of geochronological data from the Carajás Mineral Province, Brazil: Implications for metallogeny and tectonic evolution. Ore Geol. Rev. 2020, 121, 103556. [Google Scholar] [CrossRef]
- Oliveira, R.G. Insights on the framework of the Carajás province, Amazonian craton, Brazil, and on the three-dimensional shape of the Carajás Basin, based on gravity data. J. Geol. Surv. Brazil 2018, 1, 101–112. [Google Scholar] [CrossRef]
- Spry, P.G.; Peter, J.M.; Slack, J.F. Meta-exhalites as exploration guides to ore. In Metamorphic and Metamorphogenic Ore Deposits; Spry, P.G., Marshall, B., Vokes, F.M., Eds.; Society of Economic Geologists: Littleton, CO, USA, 2000; Reviews in Economic Geology 11; pp. 163–201. [Google Scholar]
- Thompson, J.A. Relationships of coticule geochemistry to stratigraphy in the Perry Mountain and Megunticook Formations, New England Appalachians. Can. Mineral. 2001, 39, 1021–1037. [Google Scholar] [CrossRef]
- Willner, A.P.; Pawlig, S.; Massonne, H.-J.; Hervé, F. Metamorphic evolution of spessartine quartzites (coticules) in the high-pressure, low-temperature complex at Bahia Mansa, Coastal Cordillera of South-Central Chile. Can. Mineral. 2001, 39, 1547–1569. [Google Scholar] [CrossRef]
- Renard, A. Sur la Structure et la Composition Minéralogique du Coticule et sur ses Rapports avec le Phyllade Oligistifère; Mémoires Couronnés de l’Académie Royale de Belgique; Editions de l’Académie Royale de Belgique: Brussels, Belgium, 1978; Volume 41. [Google Scholar]
- Spry, P.G. Geochemistry and origin of coticules (spessartine-quartz rocks) associated with metamorphosed massive sulfide deposits. In Regional Metamorphism of Ore Deposits and Genetic Implications; Spry, P.G., Bryndzia, L.T., Eds.; VSP: Utrecht, The Netherlands, 1990; pp. 49–75. [Google Scholar]
- Krosse, S.; Schreyer, W. Comparative geochemistry of coticules (spessartine-quartzites) and their red schist country rocks in the Ordovician of the Ardennes Mountains, Belgium. Chem. Erde 1993, 53, 1–20. [Google Scholar]
- Slack, J.F.; Shaw, D.R.; Leitch, C.H.B. Tourmalinites and coticules from Sullivan-type Pb-Zn-Ag deposit and vicinity, British Columbia: Geology, geochemistry and genesis. In Geological Environment of the Sullivan Deposit, British Columbia; Lydon, J.W., Hoy, T., Slack, J.F., Knapp, M.E., Eds.; Geological Association of Canada, Mineral Deposits Division: St John’s, NL, Canada, 2000; Special Volume 1. [Google Scholar]
- Martins, T.F.; Seoane, J.C.S.; Tavares, F.M. Cu–Au exploration target generation in the eastern Carajás Mineral Province using random forest and multi-class index overlay mapping. J. S. Am. Earth Sci. 2022, 116, 103790. [Google Scholar] [CrossRef]
- Nykänen, V.; Groves, D.I.; Ojala, V.J.; Eilu, P.; Gardoll, S.J. Reconnaissance scale conceptual fuzzy-logic prospectivity modeling for iron oxide copper-gold deposits in the northern Fennoscandian Shield, Finland. Aust. J. Earth Sci. 2008, 55, 25–38. [Google Scholar] [CrossRef]
- Cloutier, J.; Ford, A.; Huston, D.; Haynes, M.; Schofield, A.; Doublier, M.; Sanchez, G.; Duan, J.; Goodwin, J.; Beyer, E.; et al. Iron oxide copper–gold potential of Australia using a hybrid data- and knowledge-driven approach and its implications for the formation of IOCG mineral systems. Ore Geol. Rev. 2025, 185, 106802. [Google Scholar] [CrossRef]
- Trapy, P.-H. Modélisation d’Équilibre de Phase Prédictive des Faciès d’Altération Associés aux Gîtes à Oxydes de Fer-Cuivre-Or dans les Terrains de Hauts Grades Métamorphiques. Unpublished Master’s Thesis, École Polytechnique de Montréal, Montréal, QC, Canada, 2018. [Google Scholar]
- Ministère des Ressources Naturelles et des Forêts. SIGEOM Database. Available online: https://sigeom.mines.gouv.qc.ca/signet/classes/I1108_afchCarteIntr?l=A (accessed on 1 May 2025).
Disclaimer/Publisher’s Note: The statements, opinions and data contained in all publications are solely those of the individual author(s) and contributor(s) and not of MDPI and/or the editor(s). MDPI and/or the editor(s) disclaim responsibility for any injury to people or property resulting from any ideas, methods, instructions or products referred to in the content. |
© 2025 by the authors. Portions of this work are reproduced with permission under crown copyright, held by his Majesty the King in Right of Canada, and are made available under the terms and conditions of the Creative Commons Attribution (CC BY) license (https://creativecommons.org/licenses/by/4.0/).

















